|
|
(21), (22) Заявка: 2004120010/28, 30.06.2004
(24) Дата начала отсчета срока действия патента:
30.06.2004
(45) Опубликовано: 20.03.2006
(56) Список документов, цитированных в отчете о поиске:
RU 2206871 C2, 20.06.2003. RU 2194274 C1, 10.12.2002. RU 2153163 C1, 20.07.2000. US 5460046 A, 24.10.1995. US 4522063 A, 11.06.1985.
Адрес для переписки:
410086, г.Саратов, Песчанно-Уметский тракт, 2, ЗАО “Газприборавтоматикасервис”
|
(72) Автор(ы):
Синев Андрей Иванович (RU), Рамзаев Анатолий Павлович (RU), Макаров Владимир Зиновьевич (RU), Черепанов Дмитрий Владимирович (RU), Чигирев Петр Григорьевич (RU)
(73) Патентообладатель(и):
Закрытое акционерное общество “Газприборавтоматикасервис” (RU)
|
(54) СПОСОБ ОПРЕДЕЛЕНИЯ ЛОКАЛЬНЫХ УЧАСТКОВ МАГИСТРАЛЬНЫХ ТРУБОПРОВОДОВ С МАКСИМАЛЬНОЙ ДЕФОРМАЦИЕЙ
(57) Реферат:
Использование: для определения локальных участков магистральных трубопроводов с максимальной деформацией. Сущность: заключается в том, что измеряют колебания трубы в районе камер запуска и приема, колебания снаряда при его неподвижном состоянии, определяют частоты и коэффициенты демпфирования затухающих колебаний ускорения снаряда и время переходного процесса при прохождении швов для выбора дистанции спектрального анализа, оценивают спектральные характеристики сигналов ускорения в вертикальном направлении снаряда между швами, исключают уровень амплитуд, равный шуму в виде колебаний трубы и снаряда при его неподвижном состоянии, а также пульсации давления газа; на дискретных частотах выявляют максимальные резонансные значения составляющих Фурье-разложения сигналов ускорения, обнаруживают частоты трех форм колебаний трубы на репрезентативных участках, определяют их положения на трассе магистрального газопровода и амплитуды колебаний. Технический результат: оценка величин вертикальных и горизонтальных деформаций труб. 2 з.п. ф-лы, 8 ил. 
Способ относится к контрольно-измерительной технике, а именно к области контроля труб и предназначен для оценки величин их вертикальных и горизонтальных деформаций.
Известна инерциальная мониторинговая система трубопроводов (Патент США №4945775, МКИ G 01 C 9/06, 1990), в которой реализуется следующий способ:
1) система проходит по трубопроводу и измеряет динамические характеристики несущих снарядов внутри трубопровода относительно инерциальной системы координат в пространстве данного трубопровода.
2) записываются внутри несущих средств цифровые сигналы измерений динамических характеристик.
В качестве динамических характеристик измеряются акселерометрами и гироскопами ускорения и углы ориентации несущих средств по трем направлениям, скорость и относительная ориентация несущих средств в трубопроводе системой ультразвуковых датчиков. Обнаруживаются швы с помощью микрофона, аналоговые сигналы фильтруются, преобразуются в цифровые и калибруются динамические характеристики по швам трубопровода.
Недостатком этого способа является низкая точность определения локальных смещений трубопроводов из-за ухода гироскопов.
Известен способ в устройстве для определения и регистрации геометрических параметров трубопроводов (Патент RU №2102704, МКИ G 01 В 17/02, БИ №2, 1998). В этом патенте реализуется следующий способ:
1) внутритрубный инспектирующий снаряд пропускают внутри трубопровода;
2) трехкомпонентным измерителем угловой скорости и трехкомпонентным измерителем кажущегося ускорения измеряются в системе координат, связанной с внутритрубным снарядом, три компонента абсолютной угловой скорости и три компонента кажущегося ускорения;
3) одометром измеряются приращения пути снаряда, ультразвуковыми датчиками – его положение относительно стенок трубопровода;
4) результаты измерений записываются в памяти устройства вычислений и регистрации, а затем пересчитываются в текущие географические координаты местоположения снаряда и углы его ориентации, а также радиусы кривизны продольной оси трубопровода в вертикальной и горизонтальной плоскостях.
Недостатком этого технического решения является отсутствие методики определения воздействий внешних и внутренних факторов на точность определения локальных смещений газопроводов, выявления и прогнозирования опасных участков трубопроводов, а также компенсации накапливающихся во времени погрешностей навигационной системы за счет коррекции от других систем.
Наиболее близким по технической сущности и достигаемому эффекту является выбранный в качестве прототипа способ определения локальных смещений магистральных трубопроводов (Патент RU 2206871, G 01 В 17/02, G 1 N 29/04, БИ №17, 2003 г.)
В этом патенте реализуется способ определения локальных смещений магистральных трубопроводов с помощью внутритрубных инспектирующих снарядов, включающем определение с помощью инерциальной системы ориентации и навигации координат продольной оси трубопровода, углов и радиусов ее искривления в горизонтальной и вертикальной плоскостях с одновременной записью указанной информации и текущего времени в память бортового компьютера в функции пройденного расстояния, определенного с помощью одометров, и количества сварных швов и расстояний между ними, с последующей обработкой записанной информации на стационарном компьютере, внутритрубный инспектирующий снаряд пропускают n раз по одному и тому же участку трубопровода в интервалы времени, характеризующиеся различными установившимися температурными и погодными условиями, и при каждом пропуске определяют и записывают в память бортового компьютера трехмерные координаты продольной оси трубопровода, углы и радиусы ее искривления в функции текущего времени и пройденного расстояния, мгновенную температур и профиль по окружности трубы не менее чем в 8 равноудаленных точках, давление газа на передней и задней стенках внутритрубного инспектирующего снаряда, а затем после “n” пропусков внутритрубного инспектирующего снаряда с помощью стационарного компьютера определяют приращения всех измеренных параметров по отношению к соответствующим параметрам первого пропуска, а также градиенты температуры в горизонтальной и вертикальной плоскостях для одноименных точек сварных швов и маркеров, установленных на участке трубопровода и привязанных к плоскости горизонта. Кроме того, по вышеназванному способу строят семейство графиков смещений трех координат продольной оси трубопровода, углов и радиусов ее искривлений в вертикальной и горизонтальной плоскостях в функции одноименных точек в зависимости от номера пропуска внутритрубного инспектирующего снаряда, являющегося параметром семейства, находят места пучностей и узлов графиков смещений, по которым устанавливают критические точки механических напряжений, вызывающих стресс-коррозию трубопровода, и для этих точек, которые совмещены с маркерными устройствами, включающими GPS, при обработке информации внутритрубного снаряда на стационарном компьютере сопоставляются географические координаты соответствующих критических точек, определенные с одной стороны с помощью GPS, а с другой стороны, с помощью инерциальной системы ориентации и навигации, колес одометров снаряда и сварных швов трубопровода и по выявленной разнице трех координат соответствующих критических точек определяются параметры дрейфа инерциальной системы, по которым вносится коррекция в ее алгоритмы функционирования и вычисления приращений. При том в вышеназванном способе семейство графиков выполняется в виде функции регрессии для части одноименных критических точек, которые совмещены с реперными точками, в которых измеряется температурный режим трубопровода

где к – номер измерения; хк, хко – приращения измеряемых параметров; Тг, Тв – градиенты температур в противоположных точках трубы в горизонтальной и вертикальной плоскостях; Т – средняя температура для измерений, лежащих в одной окружности; – коэффициенты; Р – градиент давления между передней и задней стенками; Р – давление в трубопроводе; – коэффициенты влияния;
и в промежутках времени между пропусками снарядов прогнозируют по статистическому уравнению регрессии возможные смещения оси трубопровода от грунтовой и ветровой нагрузки.
Недостатком этого технического решения является отсутствие методики определения локальных участков магистральных трубопроводов с максимальной деформацией при одноразовом пропуске снаряда.
Была поставлена задача – разработать способ определения локальных участков магистральных трубопроводов с максимальной деформацией и выявление участков опасных напряжений от внешних и внутренних воздействий на трубопровод.
Новым в предлагаемом способе является измерение колебаний трубы в районе камер запуска и приема, колебания снаряда при его неподвижном состоянии, оценивание спектральных характеристик сигналов ускорения в вертикальном направлении снаряда, исключение уровня амплитуд, равного шуму в виде колебаний трубы и снаряда при его неподвижном состоянии, выявление максимальных резонансных значений составляющих Фурье-разложения сигналов ускорения между швами в низкочастотной области и определение положения репрезентативных участков трубы на трассе.
Это достигается тем, что в способе определения локальных участков магистральных трубопроводов с максимальной деформацией с помощью внутритрубных инспектирующих снарядов, включающем определение с помощью бесплатформенной инерциальной системы ориентации и навигации трех компонентов вектора абсолютной угловой скорости и трех компонентов вектора кажущегося ускорения внутритрубного инспектирующегося снаряда, измерение давления газа на передней и задней стенках снаряда, определение с помощью одометра приращений его пути с записью в память бортового компьютера всего объема информации, при пропускании снаряда по участку трубопровода измеряют колебания трубы в районе камер запуска и приема, колебания снаряда при его неподвижном состоянии, определяют частоты и коэффициенты демпфирования затухающих колебаний ускорения снаряда и время переходного процесса при прохождении швов, оценивают спектральные характеристики сигналов ускорения в вертикальном направлении снаряда между швами, исключают уровень амплитуд, равный шуму в виде колебаний трубы и снаряда при его неподвижном состоянии, а также пульсации давления газа; на дискретных частотах выявляют максимальные резонансные значения составляющих Фурье-разложения сигналов ускорения, обнаруживают частоты трех форм колебаний трубы на репрезентативных участках, определяют их положения на трассе магистрального газопровода и амплитуды колебаний по формуле:

где – величина ускорения в вертикальном направлении; mc – масса снаряда; mT – масса отрезка трубы на двух опорах длиной l;

с – частота колебаний снаряда.

kТ – эквивалентная изгибная жесткость отрезка трубы; kc – жесткость снаряда в трубе; Е – модуль упругости материала трубы; J – момент инерции трубы; m – коэффициент (22,4; 61,7; 121 для первой, второй и третьей форм колебаний соответственно), – жесткость снаряда, определяемая по периоду его затухающих колебаний T после взаимодействия со швом трубы.
Кроме того, положение репрезентативных участков выявляют по почвенным картам и углам наклона земной поверхности, привязанных к географическим координатам измеренных величин, а также по аэрокосмическим снимкам.
Изобретение поясняется чертежами.
На фиг.1 представлено устройство для реализации предложенного способа, на фиг.2 – схема модели механической системы “снаряд-труба-грунт”, на фиг.3 – спектрограмма фонового ускорения в вертикальном направлении снаряда при его неподвижном состоянии, на фиг.4 – схема расположения открытого участка трубопровода, на фиг.5 – изменение ускорения снаряда в вертикальном направлении при прохождении его по трубопроводу, на фиг.6 – изменение ускорения снаряда в вертикальном направлении при взаимодействии манжет со швом, на фиг.7 – спектрограмма ускорения в вертикальном направлении снаряда при прохождении открытого участка трубопровода, на фиг.8 – спектрограмма ускорения в вертикальном направлении снаряда при прохождении участка трубопровода в грунте.
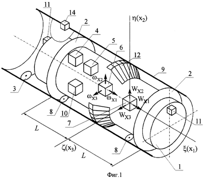
Устройство для определения и регистрации геометрических параметров трубопроводов (фиг.1) состоит из герметичного контейнера 1, эластичных манжет 2, жестко закрепленных в носовой и хвостовой частях контейнера 1, датчика пути 3, блока 4 вычислений и управления и регистратора 5, размещенных внутри контейнера 1. Внутри контейнера 1 жестко закреплены трехкомпонентный гироскопический измеритель 6 угловой скорости, трехкомпонентный измеритель 7 кажущегося ускорения, выходы которых соединены с входов блока 4 вычислений и управления. Герметичный контейнер 1 следует рассматривать в жесткой связи с системой координат OX1; ОХ2; ОХ3 (соответственно продольная, нормальная и поперечная оси устройства), X1, X2, X3 – компоненты вектора абсолютной угловой скорости контейнера 1; WX1, WX2, WX3 – компоненты вектора кажущегося ускорения герметичного контейнера 1, измеряемые соответственно трехкомпонентным гироскопическим измерителем 6 угловой скорости и трехкомпонентным измерителем 7 кажущегося ускорения. На фиг.1 показаны также колеса 8 герметичного контейнера 1 и трубопровод 9. С трубопроводом 9 связана система координат O  , причем в начальный момент времени системы координат O  и OX1Х2Х3 совпадают. Устройство имеет аккумуляторную батарею 10 и датчики давления газа 11, систему обнаружения маркерных устройств 12 с известными географическими координатами от приемников GPS. На трубопроводе 9 между швами 13 установлено устройство определения колебаний трубы 14 (фиг.4).
Для осуществления способа с помощью предлагаемого устройства производится определение координат маркерных точек в виде камер запуска приема, охранных кранов воздушных переходов на трассе газопровода аэрокосмическими методами или приемниками GPS. Герметичный контейнер 1 с манжетами 2, колесами 8 и включенным питанием от аккумулятора 10 к элементам, блокам устройства 3-7, 11, 12 вводится в трубопровод 9. При неподвижном снаряде осуществляется измерение параметров колебаний трубы устройством 14. При подаче давления газа контейнер 1 начинает двигаться относительно трубы 9. При этом в неподвижном состоянии снаряда и во время движения записываются в блок вычислений и управления 4, бортовой компьютер 5 показания датчика пути 3, трехкомпонентных измерителей угловой скорости 6 и кажущегося ускорения 7, а также датчика давления газа 11. После извлечения контейнера из камеры приема информация переносится в стандартный компьютер и строится трасса в виде графиков расстояний по меридиану, параллели и высоте. При этом определяется по показаниям датчиков ускорений 7 количество сварных швов 13 и учитываются известные расстояния между соответствующими реперными точками, определяют параметры дрейфа инерциальной системы, а затем вносится коррекция в алгоритм вычисления координат трубопровода. При прохождении контейнера вблизи маркерного устройства записываются также показания от устройства обнаружения маркеров 12.
Выбор репрезентативных участков осуществляют исходя из анализа физико-географических и геоэкологических условий, т.е. выбираются гидроморфные участки с малым коэффициентом защемления трубопровода (СНиП 2.05.06-85), по гипсометрическим и почвенным картам, аэрокосмическим снимкам магистрального газопровода и на них по спектральным характеристикам сигналов ускорений в вертикальном направлении выявляют максимальные резонансные значения составляющих Фурье-разложения сигналов ускорения. Исключают уровень амплитуд, равный шуму в виде колебаний трубы и снаряда при его неподвижном состоянии. Определяют частоту затухающих и собственных недемпфированных колебаний снаряда, по периоду и логарифмическому декременту затухания колебаний после взаимодействия снаряда со швом. Вычисляют значения жесткости снаряда Кс= 2mc, отрезка трубы по формуле (2) и величины трех форм колебаний отрезка трубы по формулам (1)-(3). Выявляют наличие их на спектральных характеристиках и определяют значения амплитуд колебаний отрезка трубы по формуле (1).
Частота изгибных колебаний отрезка трубы магистрального газопровода при двухстороннем концевом закреплении определяется по формуле (Биргер И.А., Шорр Б.Ф., Иосилевич Г.Б. Расчет на прочность деталей машин. Спр. М.: Машиностроение. 1993, С.401-402). Коэффициенты m1=22,4; m2=61,2; m3=121 соответствуют первой, второй и третьей формам колебаний.
Колебания снаряда с трубой при концевом закреплении (фиг.4) (на воздухе, промыв в грунте) можно рассматривать как колебания системы с двумя степенями свободы. Частоты колебаний снаряда массой mc и отрезка трубы (mT) определяются для схемы на фиг.2 в виде, (Тимошенко С.П., Янг Д.Х., Унвер У. Колебания в инженерном деле. М.: Машиностроение, 1985, С.192-194).

где – коэффициенты жесткости отрезка трубы и снаряда в трубе; mT,с – масса отрезка трубы и снаряда.
На схеме (фиг.2) К 1, К 2 – коэффициенты демпфирования колебаний трубы и снаряда соответственно.
Эквивалентную жесткость отрезка трубы при изгибных колебаниях можно записать так:

Расчеты по формуле (5) показывают, что для трубы газопровода DY=1020±6 мм, DВ=1000 мм и l=5…15 м с первой формой колебаний m1=22,4. Наши экспериментальные данные для снаряда СИТ-1200 показали, что kc=3,1·107 Н/м, а для СИТ-1000 – kC=2,1·107 Н/м.
Обозначим
.
Тогда выражения для параметров системы вида (4) можно записать так: .
Формулу (4) после разложения в ряд подкоренного выражения представим в виде:

Для грунта с большим коэффициентом защемления
.
Кинематическое возбуждение колебаний снаряда определяется перемещением снаряда по трубопроводу с поперечными швами высотой Нм и определяется при гармонических колебаниях как
,
здесь LT – длина отрезка трубы между швами; LM – расстояние между манжетами; Vc – линейная скорость снаряда.
Силовое возбуждение колебаний определяется пульсацией газа в линейной части магистрального газопровода. При этом уровень пульсаций газа на выходе компрессорной станции определяется частотой 28,8 Гц, а вибрации основных трубопроводов (
Масса измерительного блока (ВОГ-951, АК-6) равна 6,5 кг, магнитного экрана из пермаллоя – 4,5 кг, всего блока ИТЦ-Э24СБ равна 28 кг. Если рассматривать колебания инерциального блока на консольной балке, то частота собственных колебаний этой массы на консоли определяется в виде (Биргер И.А. и др. Расчет на прочность деталей машин. Спр. 4-е изд.: – М., Машиностроение, 1993, С.19).

где k – коэффициент, зависящий от расположения опор и характера нагрузки (для консольной балки с силой на свободном конце k=3); E – модуль упругости; – момент инерции сплошного круглого сечения; D=20 мм – диаметр стержня; l=260 мм – длина стержня.
Расчет по формуле (7) показывает, что частота колебаний равна 36,6 Гц. Результаты экспериментальных исследований спектральной плотности сигналов с ВОГ-951 и акселерометров при движении снаряда показали, что такая частота присутствует и равна 34,5…36 Гц,
На фиг.3 представлена спектрограмма фонового ускорения в вертикальном направлении при неподвижном снаряде. Фоновый сигнал представляет собой белый шум, в основном, лежащий в пределах до 0,001 g.
На фиг.7, 8 показаны графики спектрограмм частот, полученных в результате пропуска внутритрубного инспектирующего снаряда СИТ-1000 на трассе газопровода “Парабель-Кузбасс”, отрезка трубы балочного закрепления длиной 7 м, расположенного в воздухе на дистанции 72441,52-72447,45 м, и трубы в грунте на дистанции 151577,22-151586,00 м между швами в вертикальном направлении. Наблюдаются следующие идентифицированные частоты колебаний:
– в воздухе (фиг.7): частоты трех форм колебаний снаряда fc1=11,1 Гц (точка M1), fc2=12,8 Гц (точка M2), fc3=13,6 Гц (точка М3) от изгибных колебаний трубы;
– в грунте (фиг.8): частота колебаний снаряда fс=13,5 Гц (точка МP);
Расчетные значения частот трех форм колебаний снаряда от изгибных колебаний трубы и собственной частоты колебаний снаряда, определенные по формуле (2), составили fc1=11,1 Гц, fс2=12,9 Гц, fс3=13,5 Гц, fс=13,5 Гц соответственно.
На участке трассы газопровода Алгай-Мокроус были проведены измерения сигналов блока акселерометров снаряда и трубы в районе камеры запуска инспектирующего снаряда СИТ-1200 на дистанции 35 км. Уровень фона сигналов составил 10-6 g. Экспериментально наблюдались следующие резонансные частоты изгибных колебаний:
– отрезка трубы балочного закрепления длиной 6,1 м – 9,6; 10; 12,9 Гц с амплитудой 3·10-6 g.
– снаряда – 9,8; 11, 5; 13,5 Гц с амплитудой 0,02 g.
Формула изобретения
1. Способ определения локальных участков магистральных трубопроводов с максимальной деформацией с помощью внутритрубных инспектирующих снарядов, включающий определение с помощью бесплатформенной инерциальной системы ориентации и навигации трех компонентов вектора абсолютной угловой скорости и трех компонентов вектора кажущегося ускорения внутритрубного инспектирующего снаряда, измерение давления газа на передней и задней стенках снаряда, определение с помощью одометра приращений его пути с записью в память бортового компьютера всего объема информации при пропускании снаряда по участку трубопровода, отличающийся тем, что измеряют колебания трубы в районе камер запуска и приема, колебания снаряда при его неподвижном состоянии, определяют частоты и коэффициенты демпфирования затухающих колебаний ускорения снаряда и время переходного процесса при прохождении швов для выбора дистанции спектрального анализа, оценивают спектральные характеристики сигналов ускорения в вертикальном направлении снаряда между швами, исключают уровень амплитуд, равный шуму в виде колебаний трубы и снаряда при его неподвижном состоянии, а также пульсации давления газа; на дискретных частотах выявляют максимальные резонансные значения составляющих Фурье-разложения сигналов ускорения, обнаруживают частоты трех форм колебаний трубы на репрезентативных участках, определяют их положения на трассе магистрального газопровода и амплитуды колебаний по формуле:

где – величина ускорения снаряда в вертикальном направлении; mc – масса снаряда; mT – масса отрезка трубы на двух опорах длиной l;

с – частота колебаний снаряда.

kT – эквивалентная изгибная жесткость отрезка трубы;
Е – модуль упругости материала трубы;
J – момент инерции трубы;
m – коэффициент (22, 4; 61,7; 121 для первой, второй и третьей форм колебаний соответственно),
– жесткость снаряда, определяемая по периоду затухающих колебаний T после взаимодействия со швом.
2. Способ по п.1, отличающийся тем, что положение репрезентативных участков выявляют по почвенным картам и углам наклона земной поверхности, привязанных к географическим координатам измеренных величин.
3. Способ по п.1, отличающийся тем, что положение репрезентативных участков выявляют по аэрокосмическим снимкам.
РИСУНКИ
MM4A – Досрочное прекращение действия патента СССР или патента Российской Федерации на изобретение из-за неуплаты в установленный срок пошлины за поддержание патента в силе
Дата прекращения действия патента: 01.07.2006
Извещение опубликовано: 20.08.2007 БИ: 23/2007
|
|