Патент на изобретение №2271809
|
||||||||||||||||||||||||||||||||||||||||||||||||||||||||||||||||||||||||||||||||||||||||||||||||||||||||||||||||||||||||||||||||||||||||||||||||||||||||||||||||||||||||||||||||||||||||||||||||||||||||||||||||||||||||||||||||||||||||||||||||||||||||||||||||||||||||||||||||||||||||||||||||||||||||||||||||||||||||||||||||||||||||||||||||||||||||||||||||||||||||||||||||||||||||||||||||||||||||||||||||||||||||||||||||||||||||||||||||||||||||||||||||||||||||||||||||||||||||||||||||||||||||||||||||||||||||||||||||||||||||||||||||||||||||||||||||||||||||||||||||||||||||||
(54) ПРИМЕНЕНИЕ АНТАГОНИСТА РЕЦЕПТОРА AT-1 ИЛИ МОДУЛЯТОРА РЕЦЕПТОРА АТ-2 ДЛЯ ЛЕЧЕНИЯ БОЛЕЗНЕЙ, СВЯЗАННЫХ С УВЕЛИЧЕНИЕМ СОДЕРЖАНИЯ РЕЦЕПТОРОВ АТ-1 ИЛИ АТ-2
(57) Реферат:
Предложено применение антагониста АТ-1 рецептора и модулятора АТ-2 рецептора валсартана для лечения инвазивного рака легкого или рака молочной железы. Изобретение отличается тем, что во всех карциномах обнаружено присутствие рецепторов АТ-2, в то время как при гиперплазии нормальных эпителиальных клеток – локализация рецепторов АТ-1, и это позволяет не только диагностировать злокачественное развитие опухоли, но и лечить валсартаном указанные заболевания благодаря модуляции рецепторов АТ-2 (т.е. за счет изменения биологической реакции хозяина на клетки опухоли). 13 табл.
Ангиотензиноген, т.е. Ангиотензин II взаимодействует со специфическими рецепторами на поверхности клетки-мишени. В настоящее время были достигнуты успехи в идентификации подтипов рецепторов, которые, например, обозначают как АТ1-рецепторы и АТ2-рецепторы. Количество исследований системы ренин-ангиотензин, в частности в отношении гипертензии, за последние десять лет возрастало почти по экспоненциальному закону. В результате в настоящее время выявлен целый ряд рецепторов ангиотензина II, и некоторые из них были клонированы и проанализированы. В настоящее время значительные усилия предпринимаются для выявления веществ, которые связываются с AT1-рецептором, и активные соединения такого типа часто называют антагонистами ангиотензина-II. С результате ингибирования AT1-рецептора эти антагонисты могут, например, применяться в качестве гипотензивных средств или для лечения застойной сердечной недостаточности. АТ1– и АТ2-рецепторы также изучены в отношении их распределения (относительного содержания) и биологических свойств и было установлено, что несмотря на 30%-ную гомологию, для них характерно очень различное распределение и активность. АТ1-рецептор, который играет основную роль в регуляции кровяного давления, был обнаружен в корковом веществе надпочечников, почке, матке и т.д. На клеточном уровне он обнаружен в фибробластах, макрофагах и клетках гладкой мускулатуры (ГМК). В противоположность этому, АТ2-рецептор обнаружен в основном в эмбриональных тканях, а также в тканях взрослых организмов, прежде всего, в подверженной патологическому изменению ткани, например, при ишемической болезни сердца. В этой ткани он локализован на фибробластах и эндотелиальных клетках. Целью представленного в настоящем описании исследования было изучение распределения АТ1– и АТ2-рецепторов в легком человека с использованием иммуноцитохимических методов и гибридизации in situ. Ранее были созданы специфические антитела к эпитопам AT1-рецептора, но такие специфичные инструменты для исследования отсутствуют для АТ2-рецептора. В результате для его оценки применяются гистологические исследования, основанные на использовании меченных с помощью радиоактивного изотопа антагонистов рецептора, в сочетании с авторадиографией, что позволяет получить только относительно грубые данные о локализации в ткани. Однако в последние 2 года стали доступны специфические хорошо охарактеризованные антитела к человеческому рецептору, и их применяли в представленных ниже исследованиях. Методы и материалы 1. Специфичность антитела и зонда для гибридизации in situ (ISГ) и титрования Для того, чтобы подтвердить специфичность иммуноцитохимических (ИЦХ) исследований и исследований методом ISГ, из департамента патологии университетского госпиталя (Pathology Dept., University Hospital), Гент, Бельгия, получали залитые в парафин блоки нормальных человеческих надпочечников (корковое вещество и мозговое вещество) и использовали в качестве материала для тестирования. Известно, что АТ1-рецепторы в основном локализованы в корковом веществе надпочечников, а АТ2-рецепторы в мозговом веществе. Для изучения человеческих легких контрольный материал получали после аутопсии, когда пациенты умирали по причинам, не связанным с болезнью легких, например, в результате несчастных случаев. Некоторые такие материалы получали из указанной выше организации г. Гента, некоторые из архивов департамента патологии госпиталя Пенсильвании (Pathology Dept. of The Pennsylvania Hospital), Филадельфия, США. Отбирали ткани, содержащие небольшие дыхательные пути, поскольку они, вероятно, более подвержены повреждению. Все образцы фиксировали в 10%-ном забуференном формалине максимально быстро после смерти, обезвоживали и заливали в парафиновый воск. Делали срезы толщиной 3-5 мкм и помещали препараты на покрытые силаном предметные стекла. Для того, чтобы свести к минимуму различные изменения, связанные с обработкой, на каждое предметное стекло помещали по два последовательных среза, один для обработки антителом к АТ2, а другой для обработки антителом к АТ2. Одновременно обрабатывали до 20 предметных стеком так, чтобы за исключением первичного антитела, все реагенты, включая хромоген, были идентичными. Таким образом, единственным вариабельным фактором являлась толщина срезов, которую нельзя полностью контролировать. 2. Антитела Тестировали два антитела к AT1-рецептору, полученные от фирмы Santa Cruz Inc., Сан-Диего, штат Калифорния США, (клоны N 10 и 306), и было установлено одинаковое распределение рецептора в корковом веществе надпочечников. Основная часть исследований проведена с антителом к АТ2-рецептору, полученным от фирмы Santa Cruz (клон С18), при использовании которого для опытов обнаружено, что он дает такую же схему окрашивания в мозговом веществе надпочечников и в легком, что и первое антитело. Все антитела были строго проанализированы фирмами-производителями и отдельными поставщиками в отношении их специфичности и перекрестной реактивности. 3. ISГ-зонды Продукты полимеразной цепной реакции (ПЦР-продукты) получали и применяли следующим образом. Конструировали олигонуклеотиды, специфичные для человеческого рецептора типа I ангиотензина II (GenBank, регистрационный номер М93394) и рецептора типа II ангиотензина II (GenBank регистрационный номер U15592), используя программное обеспечение Oligo 5.0 для гомологичных областей обеих последовательностей (таблица 1). кДНК из человеческой костной ткани получали с помощью стандартных методов (Sambrook J, Fritsch EF, Maniatis T. Molecular Cloning: a Laboratory Manual, 2-е изд., Cold Spring Harbor Laboratory Press, Cold Spring Harbor, NY, 1989). Для ПЦР применяли следующие пары олигонуклеотидных праймеров: для рецептора типа I ангиотензина II – 5′-CTggCTgACTTATgCTTTTTACTgACT-3′ и 5′-gATgCAggTgACTTTggCTACA-3′; (ПЦР-продукт длиной 236 пар оснований) и рецептора типа II ангиотензина II – 5′-ATTTACTCCTTTTggCTACTCTTCCTC-3′ и 5′-ggTCACgggTTATCCTgTTCTTC-3′ (ПЦР-продукт длиной 489 пар оснований). ПЦР-амплификацию осуществляли с использованием 10 нг кДНК-матрицы, применяя термоячейку типа MJ Research PCR Cycle и следующие циклы ПЦР: 1) 94°С/2 мин, 2) 94°С/10 с, 60°С/30 с, 72°С/15 с в течение 35 циклов, с использованием полимеразы High Fidelity Taq (фирма Boehringer Mannheim) в сочетании с компонентами, входящими в наборы производителей. Продукты ПЦР-амплифиации идентифицировали с помощью электрофореза на 0,8% агарозном/ТВЕ-геле (Sambrook J, Fritsch EF, Maniatis T. Molecular Cloning: a Laboratory Manual, 2-е изд., Cold Spring Harbor Laboratory Press, Cold Spring Harbor, NY, 1989). Для подтверждения идентичности продуктов ПЦР-амплификации ДНК элюировали из геля и клонировали в клонирующем векторе А/Т pMOSBlue (фирма Amersham). Для колоний, содержащих ДНК-вставки правильного размера (таблица 1), проводили полное секвенирование обеих цепей для подтверждения их идентичности. Каждый зонд, как смысловой, так и антисмысловой для АТ1, и только антисмысловой, как описано выше, метили флуоресцином (флуоресцинизотиоцианат; ФИТЦ) и наличие мРНК в клетках определяли после гибридизации с зондом, применяя для обнаружения мышиное антитело к ФИТЦ плюс систему щелочная фосфатаза – антитело к щелочной фосфатазе (АРААР). Такой метод введения метки повышает вероятность обнаружения очень небольших количеств копий. 4. Иммуноцитохимия Для всех антител использовали следующую процедуру. Срезы толщиной 5 мкм сначала обрабатывали с помощью методов возвращения антигена в сочетании с обработкой микроволнами в цитратном буфере (рН 6,0). Время экспозиции составляло 20 мин, и предметные стекла оставляли для охлаждения в буфере. Когда антитела представляли собой козлиные поликлональные антитела, то применяли метод на основе смеси пероксидаза-антитело к пероксидазе (РАР) с диаминобензидином (ДАБ) в качестве хромогена, а для кроличьих поликлональных антител использовали систему АРААР с новым фуксином. Срезы сначала обрабатывали 1%-ным бычьим сывороточным альбумином (БСА) в течение 30 мин для того, чтобы блокировать неспецифичные рецепторы, а затем инкубировали с первичным антителом в течение 30 мин при комнатной температуре. Каждое антитело титровали и получали следующие оптимальные разведения.
В качестве отрицательного контроля для кроличьего поликлонального антитела применяли отрицательную сыворотку из Dako (фирма Prosan, Гент, Бельгия), для козьего поликлонального антитела первичное антитело не использовали. ISГ Срезы толщиной 5 мкм освобождали от парафина и затем подвергали гибридизации “in situ” согласно хорошо известным методам. Срезы сначала обрабатывали раствором для предварительной гибридизации в течение 20 мин при 55°С. Затем их промывали перед обработкой зондами в течение ночи при 55°С. После дополнительной промывки их обрабатывали мышиным антителом к ФИТЦ и системой для обнаружения АРААР с целью локализации специфического транскрипта. Для AT1-рецептора смысловой зонд представлял собой отрицательный контроль, для АТ2-рецептора зонд не применяли. Анализ изображения Для количественной оценки интенсивности окрашивания предметные стекла визуально обследовали с помощью устройства типа Leica MR500 и количество окраски на единицу площади ткани оценивали в единицах изображения (пикселях), следуя инструкции фирмы Leica. Это осуществляли для определения соотношений АТ1-рецептора и АТ2-рецептора в различных областях. Эти области включают а) эпителий дыхательных путей, б) расположенный под эпителием интерстеций, в) ГМК из участка вокруг кровеносных сосудов и г) слизистые железы. Результаты Распределение в срезах надпочечников Распределение АТ1-рецептора. С помощью обоих антител получена следующая схема распределения в корковом веществе надпочечников, для которой, как и предполагалось, характерно различное окрашивание вокруг клеток гладкой мускулатуры, окружающих кровеносные сосуды, а также сети интерстеция на фибробластах и вокруг них. Окрашивания эндотелиальных клеток не выявлено. Распределение АТ2-рецептора. С использованием антитела оценивали распределение в мозговом веществе надпочечников, в этой области выявлено выраженное окрашивание клеток феохромоцитомы. ISГ. Оба антисмысловых зонда дали одинаковую картину. Оценка легкого Распределение AT1-рецептора. Обнаружено очень четкое окрашивание клеток интерстеция, подстилающих эпителий дыхательных путей (субэпителиальных), а также краев клеток гладкой мускулатуры (ГМК), окружающих кровеносные сосуды. Позитивное окрашивание обнаружено также для макрофагов. Распределение АТ2-рецептора: Для этого рецептора выявлено, что он в значительной степени связан с эпителиальными клетками дыхательный путей, причем наиболее сильно окрашивается щеточная каемка. Позитивно окрашенные клетки также обнаружены в некоторых слизистых железах, на некоторых эндотелиальных клетках сосудов и на фибробластах, хондроцитах и макрофагах. Не обнаружено окрашивания ГМК. ISF. При этом анализе зонды также дали одинаковую картину. В частности, с использованием АТ2-зонда сильный сигнал получен только на эндотелиальных клетках и некоторых слизистых железах. Анализ изображения Распределение протеина и, следовательно, рецепторов, определенное по интенсивности окрашивания, т.е. в пикселях/мкм2 ткани, представлено в следующей таблице.
Присутствие рецепторов ангиотензина II в корковом веществе и мозговом веществе надпочечников ранее было продемонстрировано с помощью биохимических и гистологических методик. Данные, полученные с использованием как имеющихся в продаже, так и полученных от специалистов антител, подтверждают эти результаты, но также позволяют доказать возможность применений иммуноцитохимического и ISГ-методов, которые использовались в настоящем изобретении. С учетом полученных в настоящем исследовании результатов было проведено сравнение распределения АТ1– и АТ2-рецепторов в нормальной и пораженной болезнью тканях легкого с целью выяснения специфичности распределения АТ1– и АТ2-рецепторов и их соотношения. Присутствие AT1-рецепторов в легком ранее было подтверждено биохимически и в настоящем исследовании продемонстрирована их четкая клеточная локализация. Эта информация является чрезвычайно важной для выявления относительного содержания АТ1– и АТ2-рецепторов в различных областях легкого в нормальном и патологическом состояниях. Сведения о распределении, прежде всего АТ2-рецептора, являются абсолютно новыми, поскольку к настоящему времени отсутствовали данные о их присутствии или распределении. Из результатов настоящего исследования вытекает несколько важных положений. Во-первых, присутствие АТ2-рецептора на эпителиальных клетках бронхов небольших дыхательных путей. Как уже было известно, этот рецептор считается антифиброзным, антипролиферативным и проапоптозным. Следовательно, повышающая или понижающая регуляция на эпителиальных клетках оказывает выраженные воздействия на замещение эпителиальных клеток, развитие гиперплазии и даже играет роль в развитии рака легких. Во-вторых, присутствие значительных количеств протеина на щеточной каемке эпителиальных клеток может хорошо кореллировать с уровнем секреции слизи, поскольку, как было установлено, некоторые из эпителиальных клеток слизистых желез также несут этот рецептор. Из данных, полученных с помощью ISГ, следует, что некоторые железы содержат большое количество копий мРНК. И наконец, присутствие АТ2-рецептора на эндотелиальных клетках сосудов в настоящем изобретении подтверждено как с помощью иммуноцитохимии, так и с помощью гибридизации in situ. Обнаружено, что они встречаются сравнительно редко и не на всех клетках каждого конкретного сосуда. Эти исследования подтверждают и расширяют данные о присутствии и распределении рецепторов ангиотензина II типа АТ1 и АТ2 в легком человека. Присутствие АТ2-рецептора на эпителиальных клетках небольших дыхательных путей имеет важное значение для понимания происхождения болезней, связанных с изменением функции этих клеток. Имеется очень немного данных о локализации АТ-рецепторов в легком человека и о их распределении, повышающей или понижающей регуляции и соотношении в нормальной и пораженной болезнью ткани легкого. Для такого исследования получали образцы из нормального легкого и образцы, взятые у пациентов, страдающих хроническим обструктивным легочным заболеванием (хроническая обструкция дыхательных путей) (ХОЛЗ) ± гипертензией. Образцы легкого Образцы легкого получали у следующих групп пациентов, все из которых имели клинически подтвержденный диагноз.
Дыхательные пути осторожно отсекали от легких немедленно после удаления легкого из организма пациента при резекции опухоли или по другим показаниям. Тщательно выбирали область, не содержащую какой-либо раковой ткани. Затем небольшие блоки фиксировали в 4%-ном параформальдегиде в течение 2 ч при комнатной температуре до заливки в парафиновый воск. Это гарантирует оптимальную структурную целостность и сохранение антигенной активности. Методы определения локализации рецептора а) Иммуноцитохимия (ИЦХ). Тестировали 2× антитела к АТ1, фирма Santa Cruz (клоны N-10 и 306). Также тестировали одно антитело к АТ2, фирма Santa Cruz (клон С 18). Данные цифровых изображений показали: Распределение АТ2-рецептора в эпителиальных клетках бронхиол, включая щеточную каемку, и на клетках слизистых желез. Для соседнего среза, окрашенного в отношении AT1-рецептора, обнаружено сильное различие в распределении на клетках гладкой мускулатуры, фибробластах/строме и макрофагах. Анализ человеческого легкого, взятого у пациентов Из всего полученного материала готовили срезы и окрашивали согласно ИЦХ для выявления локализации как AT1-, так и АТ2-рецептора с использованием соответствующих отрицательных контролей. Анализы изображения начинали с получения данных для одного среза, полученного из легкого одного пациента (это представляет собой медленный процесс, поскольку должны быть строго соблюдены базисные линии). Были оценены эпителий и субэпителий и кровеносный сосуд. Этот анализ проводили “вслепую”, так что не могло быть сделано никаких комментариев за исключением того факта, что у некоторых “пациентов” имеются выраженные уровни, сильно отличающиеся от среднего. Расхождения, связанные с различной толщиной срезов и окрашиванием, были минимизированы в результате одновременного осуществления АТ1– и АТ2-ИЦХ с использованием двух последовательных срезов. Таким образом, также могла быть использована одна партия хромогена. Данные о локализации в эпителии легкого АТ2-рецептора важны по ряду причин. Поскольку установлено, что этот рецептор является антипролиферативным, антифиброзным и проапоптозным, то можно ожидать, что его повышающая регуляция может привести к различным заболеваниям легких; например, что только одно курение оказывает определенное влияние. Этот рецептор играет роль в таких связанных с фиброзом состояниях, как респираторный дистресс-синдром взрослых (ARDS), или даже в снижении пролиферативной способности эпителия при раке легкого. Результаты Локализация рецептора Все антитела и рибонуклеотидные зонды тестировали в отношении нормального коркового вещества и мозгового вещества надпочечников, где, как известно, оба типа рецепторов присутствуют в относительно больших количествах. Процесс повторяли с использованием нормальной ткани легкого, в которой заявителям удалось обнаружить и АТ1– и АТ2-рецепторы и их мРНК. Локализация оказалась следующей: АТ1 – на клетках гладкой мускулатуры, фибробластах/строме, макрофагах. Этот результат оказался весьма предсказуемым за исключением того, что интенсивность окраски и количество рецепторов в нормальной ткани легкого оказалась весьма высокой. АТ2 – на эпителиальных клетках бронхов (особенно на щеточной каемке), на слизистых железах (некоторых). Кроме того, на эпителиальных клетках сосудов, фибробластах, макрофагах и хрящевых клетках. Эти данные являются полностью неожиданными и новыми и нуждаются в дополнительном исследовании. Локализация на эпителиальных клетках и слизистых железах подтверждена по содержанию как протеина, так и мРНК, локализация в щеточной каемке связана с секрецией слизи. Распределение АТ1– и АТ2-рецепторов ангиотензина в легких пациентов, страдающих хроническим бронхитом, по сравнению с контролем
Устройство фирмы Leica (анализатор изображения типа MR 500) переводит интенсивность окраски в серую шкалу (0-250), каждая единица соответствует одному пикселю. Это дает возможность надежно количественно оценить данные. Эти данные основаны на анализах изображения органа пациента. Данные выражают в пикселях на единицу площади позитивно окрашенной ткани и в виде среднего значения для пяти областей на предметное стекло. Как видно из приведенных результатов, отношение содержания АТ1 в субэпителии и АТ2 в эпителии в нормальной ткани легкого существенно ниже 1, в то время как это соотношение близко к 1 или выше 1 в пораженной болезнью ткани легкого. Эпителий образует внутреннюю выстилку трахей и большинства бронхов. Увеличение соотношения содержаний рецепторов AT1/АТ2 в бронхиальной субэпителиальной области легкого пациентов, страдающих хроническим бронхитом, по сравнению с контролем прежде всего является следствием повышения количества AT1-рецептора, обнаруженных на фибробластах и макрофагах, окружающих эпителий дыхательных путей, что проявляется в повышенных уровнях воспаления и фиброза, характерных для ХОЛЗ. Приведенные выше результаты ясно свидетельствуют о том, что АТ1-рецепторы, которые модулируют ангиотензин II, локализованы в субэпителиальной ткани легкого и, прежде всего, что их относительное содержание в соответствующей ткани легкого повышается. Таким образом, ингибирование ангиотензина II антагонистами АТ1-рецептора приводит к снижению обструкции дыхательных путей. Кроме того, эксперименты продемонстрировали, что относительное содержание АТ2 в эпителиальной ткани легкого, прежде всего, в соответствующей пораженной болезнью ткани, например, главным образом на эпителиальных клетках бронхов, а также в структурных клетках альвеол, например, на слизистых железах альвеол, повышается. Поскольку АТ2-рецепторы являются антипролиферативными, антифиброзными и проапоптозными, их модуляция может применяться для лечения определенных форм состояний и болезней легких, прежде всего, для лечения респираторного дистресс-синдрома взрослых (ARDS), и для снижения пролиферативной способности эпителия при раке легкого и молочной железы, кроме того, для лечения септического синдрома, форм поражения легкого, таких как пневмония, аспирация содержимого желудка, травма грудной клетки, шок, ожоги, жировая эмболия, экстракорпоральное кровообращение, отравление О2, геморрагический панкреатит, интерстициальное и бронхоальвеолярное воспаление, пролиферация эпителиальных и интерстициальных клеток, накопление коллагена, фиброз. Распределение рецепторов в нормальной ткани молочной железы и в ткани молочной железы пациентов, страдающих раком молочной железы Образцы ткани молочных желез, проанализированные в этом исследовании, выбраны случайным образом из файлов департамента патологии университетского госпиталя (Pathology Dept., University Hospital), Гент, Их всех фиксировали в формалине, помещали в парафиновый воск и с помощью патологоанатомов из департамента патологии определяли их патологический статус. Было изучено 16 случаев: 14 инвазивных относящихся к протоку (проточных) карцином, 1 инвазивная коллоидная карцинома и 1 инвазивная относящаяся к дольке (дольковая) карцинома. Иммуноцитохимический анализ осуществляли с использованием залитых в парафиновый воск срезов ткани с применением поликлональных антител к АТ1 и АТ2, которые использовались при изучении легких, в сочетании с указанным выше методом, основанным на использовании комплекса стрептавидин-биотин-пероксидаза. Для создания пригодной модели для оценки антагонистов, линии клеток, полученные из тканей молочной железы человека, также оценивали в отношении содержания рецепторов. Это может являться пригодной рабочей моделью для дальнейшей биохимических и цитологических исследований in vitro. Результаты Полученные данные ясно свидетельствуют о присутствии рецепторов типа 1 и 2 ангиотензина II в нормальной ткани молочной железы человека, причем АТ2 обнаружен на кубовидных клетках эпителиальной выстилки протоков, а АТ1 главным образом присутствует на миоэпителиальных клетках протока. Все окрашивание прекращалось при удалении первичного антитела из смеси для инкубации. Во всех случаях для соединительной ткани обнаружено позитивное окрашивание на АТ1-рецептор, но при этом окрашивание раковых клеток отсутствовало (11/16) или было слабым (5/16). В противоположность этому для АТ2-рецептора обнаружено позитивное окрашивание всех карцином и почти полное отсутствие реактивности в строме (1/16). Результаты, полученные с использованием изученных линий клеток, оказались очень интересными с точки зрения различной схемы окрашивания, обнаруженной для каждой из них. Короткоживующие культуры нормальных эпителиальных клеток молочной железы давали очень сильную позитивную реакцию на АТ1-рецептор, но лишь слабое окрашивание в отношении АТ2-рецептора. Карциномы молочной железы
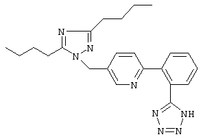
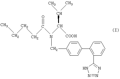
Заключение Как видно из приведенных результатов, присутствие AT1-рецептора на нормальных эпителиальных клетках, вероятно, очень варьируется в легком. Однако тип эпителиальных клеток можно отнести к миоэпителиальному, поскольку АТ2-рецептор в обеих тканях обнаружен на кубовидных эпителиальных клетках. В то же время, позитивное окрашивание стромы в отношении AT1-рецепторов также обнаружено в обеих тканях. Очевидно, что последний факт связан с присутствием фибробластов во внеклеточном матриксе. Присутствие АТ2-рецептора на клетках карциномы, а также их столь широкое и воспроизводимое распространение является неожиданным. Описанные типы клеток, несущие специфические рецепторы, представляют собой идеальную модель для исследований in vitro. Эти эксперименты ясно демонстрируют неожиданное явление, состоящее в том, что при использовании согласно настоящему изобретению в качестве модели клеток карциномы молочной железы, АТ1-рецепторы в основном распределены в строме, в то время как АТ2-рецепторы главным образом выявлены в клетках карциномы. Все эти неожиданные результаты ясно свидетельствуют о том, что любой антагонист АТ1-рецептора или модулятор АТ2-рецептора может применяться для лечения состояний или болезней, связанных с увеличением содержания AT1-рецепторов в субэпителиальной области или с увеличением содержания АТ2-рецепторов в эпителии, прежде всего, для лечения обструктивных заболеваний дыхательных путей. Согласно классификации к обструктивны заболеваниям дыхательных путей относятся респираторные заболевания, которые характеризуются увеличением размера дыхательных путей и повышенной секрецией в дыхательных путях, что приводит к снижению вентиляции альвеол. Обструктивные заболевания дыхательных путей включают обратимые и необратимые состояния и к ним относятся, например, хроническое обструктивное заболевание легких, такое как бронхит, например хронический бронхит и эмфизема, а также астма, кистозный фиброз, интерстициальное легочное заболевание, инвазивный рак легкого и повышенная устойчивость дыхательных путей при принудительной экспирации. Любой из таких вариантов лечения также не обязательно может быть связан с лечением гипертензии как у не курящих, так и у курящих пациентов. Эти неожиданные результаты ясно свидетельствуют о том, что любой модулятор АТ2-рецептора может использоваться для лечения состояний или болезней, связанных с увеличением содержания АТ2-рецепторов в эпителиальной легочной ткани, прежде всего, для лечения определенных форм состояний и болезней легких, в частности, для лечения респираторного дистресс-синдрома взрослых (ARDS), и для снижения пролиферативной способности эпителия при инвазивном раке легкого, кроме того, для лечения септического синдрома, форм поражения легкого, таких как пневмония, аспирация содержимого желудка, травма грудной клетки, шок, ожоги, жировая эмболия, экстракорпоральное кровообращение, отравление O2, геморрагический панкреатит, интерстициальное и бронхоальвеолярное воспаление, пролиферация эпителиальных и интерстициальных клеток, накопление коллагена, фиброз. Антагонисты АТ1-рецептора или модулятор АТ2-рецептора представляют собой агенты, которые изменяют биологическую реакцию хозяина на клетки опухоли, что обеспечивает их терапевтическую ценность. Повышенный уровень экспрессии AT1-рецептора в миоэпителии протока молочной железы и АТ2-рецептора в кубовидном эпителии молочной железы свидетельствует о том, что любой антагонист AT1-рецептора или модулятор АТ2-рецептора может применяться для лечения инвазивной карциномы молочной железы. Эти карциномы включают уплотненные, инфильтрирующиеся папиллярные, проточные, медуллярные и дольковые злокачественные опухоли молочной железы, а также метастазы в легких, плевре, скелете и печени. Лечение может рассматриваться, как дополнительные лечебные мероприятия в сочетании с хирургией, радиотерапией, или в качестве паллиативной терапии в сочетании с гормональной терапией или с другими модификаторами биологических реакций, такими как интерфероны, интерлейкины, факторы некроза опухоли, моноклинальные антитела и т.д. В то время как клиническое обследование или маммография позволяют предположить наличие рака молочной железы, но только установить диагноз позволяет оценка биопсии ткани. Схема распределения АТ1– и АТ2-рецепторов может применяться в качестве маркера гиперплазии (локализация АТ1-рецепторов) и инвазивного рака (локализация АТ2-рецепторов) и, следовательно, для диагностики злокачественного развития опухоли. Антагонисты АТ1-рецептора включают соединения, имеющие различные структурные особенности. Например, следует отметить соединения, перечисленные в заявке на европейский патент, опубликованной под номером 443983 (ЕР 443983), в частности, заявленные соединения и конечные продукты примеров получения, содержание этой публикации изобретения включено в настоящее описание в качестве ссылки. Предпочтительным является (S)-N-(1-карбокси-2-метилпроп-1-ил)-N-пентаноил-N-[2′(1Н-тетразол-5-ил)бифенил-4-илметил]амин [валсартан] формулы и его фармацевтически приемлемые соли. Кроме того, соединения, указанные в заявке на европейский патент, опубликованной под номером 253310 (ЕР 253310), в частности, заявленные соединения и конечные продукты примеров получения, включенные в настоящее описание в качестве ссылки. Предпочтительным является соединение [лосартан] следующей формулы и его фармацевтически приемлемые соли. Кроме того, следует отметить соединения, указанные в заявке на европейский патент, опубликованной под номером 403159 (ЕР 403159), в частности, заявленные соединения и конечные продукты примеров получения, включенные в настоящее описание в качестве ссылки. Предпочтительным является соединение [эпросартан] следующей формулы и его фармацевтически приемлемые соли. Также следует отметить соединения, указанные в заявке на патент РСТ, опубликованной под номером WO 91/14679, в частности, заявленные соединения и конечные продукты примеров получения, включенные в настоящее описание в качестве ссылки. Предпочтительным является соединение [ирбесартан] следующей формулы и его фармацевтически приемлемые соли. Кроме того, следует отметить соединения, указанные в заявке на европейский патент, опубликованной под номером 420237 (ЕР 420237), в частности, заявленные соединения и конечные продукты примеров получения, включенные в настоящее описание в качестве ссылки. Предпочтительным является соединение [Е-1477] следующей формулы и его фармацевтически приемлемые соли. Также следует отметить соединения, указанные в заявке на европейский патент, опубликованной под номером 502314 (ЕР 502314), в частности, заявленные соединения и конечные продукты примеров получения, включенные в настоящее описание в качестве ссылки. Предпочтительным является соединение [телмисартан] следующей формулы и его фармацевтически приемлемые соли. Кроме того, следует отметить соединения, указанные в заявке на европейский патент, опубликованной под номером 459136 (ЕР 459136), в частности, заявленные соединения и конечные продукты примеров получения, включенные в настоящее описание в качестве ссылки. Предпочтительным является соединение [кандесартан] следующей формулы и его фармацевтически приемлемые соли. Также следует отметить соединения, указанные в заявке на европейский патент, опубликованной под номером 504888 (ЕР 504888), в частности, заявленные соединения и конечные продукты примеров получения, включенные в настоящее описание в качестве ссылки. Предпочтительным является соединение [SC-52458] следующей формулы и его фармацевтически приемлемые соли. Кроме того, следует отметить соединения, указанные в заявке на европейский патент, опубликованной под номером 514198 (ЕР 514198), в частности, заявленные соединения и конечные продукты примеров получения, включенные в настоящее описание в качестве ссылки. Предпочтительным является соединение [саприсартан] следующей формулы и его фармацевтически приемлемые соли. Кроме того, следует отметить соединения, указанные в заявке на европейский патент, опубликованной под номером 475206 (ЕР 475206), в частности, заявленные соединения и конечные продукты примеров получения, включенные в настоящее описание в качестве ссылки. Предпочтительным является соединение следующей формулы и его фармацевтически приемлемые соли. Также следует отметить соединения, указанные в заявке на патент РСТ, опубликованной под номером WO 93/20816, в частности, заявленные соединения и конечные продукты примеров получения, включенные в настоящее описание в качестве ссылки. Предпочтительным является соединение [ZD-8731] следующей формулы и его фармацевтически приемлемые соли. Лиганды (модуляторы) АТ2-рецептора включают соединения, имеющие различные структурные особенности. Например, следует отметить соединения, перечисленные в WO 94/13651, в частности, заявленные соединения и конечные продукты примеров получения, содержание этой публикации изобретения включено в настоящее описание в качестве ссылки. Также следует отметить соединения, указанные в WO 94/13642, в частности, заявленные соединения и конечные продукты примеров получения, включенные в настоящее описание в качестве ссылки. Антагонисты АТ1-рецептора или лиганды АТ2-рецепторы соответственно, которые, например, несут по меньшей мере один основный центр, могут образовывать кислотно-аддитивные соли. Они могут быть получены, например, с сильными неорганическими кислотами, такими как минеральные кислоты, например серная кислота, фосфорная кислота или галогенводородная кислота, с сильными органическими карбоновыми кислотами, такими как С1-С4алканкарбоновые кислоты, которые могут быть незамещены или замещены, например, галогеном, например уксусная кислота, такими как насыщенные или ненасыщенные дикарбоновые кислоты, например щавелевая, малоновая, янтарная, малеиновая, фумаровая, фталевая или терефталевая кислота, такими как гидроксикарбоновые кислоты, например аскорбиновая, гликолевая, молочная, яблочная, винная или лимонная кислота, такими как аминокислоты, например аспарагиновая или глутаминовая кислота, или такой как бензойная кислота, или с использованием органических сульфоновых кислот, таких как С1-С4алкансульфоновые кислоты или арилсульфоновые кислоты, которые могут быть незамещены или замещены, например, галогеном, например метансульфоновая кислота или пара-толуолсульфоновая кислота. Примерами приемлемых солей с основаниями являются соли металлов, например соли щелочных металлов или соли щелочно-земельных металлов, например соли натрия, калия или магния, или соли с аммиаком или органическим амином, таким как морфолин, тиоморфолин, пиперидин, пирролидин, моно-, ди- или три(низш.)алкиламин, например, этил-, трет-бутил-, диэтил-, диизопропил-, триэтил-, трибутил- или диметилпропиламины, или моно-, ди- или тригидрокси(низш.)алкиламин, например моно-, ди- или триэтаноламин. Кроме того, могут быть получены соответствующие внутренние соли. Изобретение также относится к фармацевтическим композициям, включающим антагонист AT1-рецептора или модулятор АТ2-рецептора соответственно или его фармацевтически приемлемую соль, предназначенным для лечения состояний или болезней, связанных с повышением содержания АТ1-рецепторов в субэпителиальной области или с повышением содержания АТ2-рецепторов в эпителии. Изобретение также относится к применению антагониста АТ1-рецептора или модулятора АТ2-рецептора соответственно или его фармацевтически приемлемой соли для приготовления фармацевтической композиции, предназначенной для лечения состояний или болезней, связанных с повышением содержания AT1-рецепторов в субэпителиальной области или с повышением содержания АТ2-рецепторов в эпителии. Изобретение также относится к способу лечения состояний или болезней, связанных с повышением содержания AT1-рецепторов в субэпителиальной области или с повышением содержания АТ2-рецепторов в эпителии, предусматривающему введение терапевтически эффективного количества антагониста AT1-рецептора или модулятора АТ2-рецептора соответственно или его фармацевтически приемлемой соли. Изобретение также относится к применению антагониста AT1-рецептора или модулятора АТ2-рецептора соответственно или его фармацевтически приемлемой соли для лечения состояний или болезней, связанных с повышением содержания AT1-рецепторов в субэпителиальной области или с повышением содержания АТ2-рецепторов в эпителии. Эти фармацевтические композиции могут быть предназначены для энтерального, например перорального, а также ректального или парентерального введения теплокровным животным, причем композиции содержат фармакологически активное соединение либо индивидуально, либо в сочетании с общепринятыми фармацевтическими вспомогательными веществами. Например, фармацевтические композиции содержат от примерно 0,1% до 100%, предпочтительно от примерно 1% до примерно 80% действующего вещества. Фармацевтические композиции для энтерального или парентерального введения, а также для введения в глаз, представляют собой, например, стандартные дозы, такие как филмтаблетки, таблетки, капсулы или суппозитории, а также ампулы. Их приготавливают хорошо известными методами, например, с помощью обычных процессов смешения, грануляции, нанесения покрытия, солюбилизации или лиофилизации. Так, фармацевтические композиции для перорального введения могут быть приготовлены путем объединения действующего вещества с твердыми эксципиентами, если требуется грануляция полученной смеси, и если целесообразно или необходимо, путем обработки смеси или гранулята после добавления приемлемых вспомогательных веществ с получением таблеток или ядер филмтаблеток. Доза действующего вещества может зависеть от многочисленных факторов, таких как путь введения, вид теплокровного животного, возраст и/или индивидуальное состояние, Как правило, в случае перорального введения приблизительная суточная доза составляет от примерно 10 мг до примерно 360 мг, например в случае валсартана, например примерно 40 мг, 80 мг, 160 мг или 320 мг, для пациента весом примерно 75 кг. Еще одним объектом настоящего изобретения являются твердые пероральные дозируемые формы валсартана, которые могут применяться для лечения болезней и состояний, например, указанных выше в настоящем описании. В WO 97/49394 (содержание которой включено в настоящее описание в качестве ссылки, в качестве конкретного (но не ограничиваясь этим) заявляемого объекта) описаны прессованные твердые пероральные дозируемые формы, например, полученные уплотнением валсартана (необязательно в форме соли), необязательно в сочетании с гидрохлортиазидом (ГХТЗ). В WO 97/49394 концентрации целлюлозы предпочтительно составляют от 10 до 30%, например 21%, для композиций валсартана/ГХТЗ, и 5% в случае одного валсартана. Предпочтительный диапазон концентраций сшитого поливинилпирролидона (кросповидон) составляет 10-20%, например 13%. После исчерпывающего исследования неожиданно было установлено, что можно повысить характеристики биологической доступности известных твердых композиций валсартана путем увеличения относительного содержания микрокристаллической целлюлозы. Также неожиданно было установлено, что можно улучшить качество, например достичь большей однородности в отношении массы или улучшить способность таблеток к прессованию, известных твердых композиций валсартана путем снижения относительного содержания сшитого поливинилпирролидона (ПВП) кросповидона. Таким образом, еще одним объектом настоящего изобретения является твердая пероральная дозируемая форма, включающая валсартан в качестве действующего вещества и более 30% микрокристаллической целлюлозы в пересчете на общую массу компонентов ядра твердой пероральной дозируемой формы, например, 31-65%, например 50%. И еще одним объектом настоящего изобретения является твердая пероральная дозируемая форма, включающая валсартан в качестве действующего вещества и микрокристаллическую целлюлозу, в которой массовое соотношение валсартана и микрокристаллической целлюлозы составляет от 2,5:1 до 0,3:1, например от 2:1 до 1:1, например 1,4:1. Согласно еще одному варианту осуществления твердая пероральная дозируемая форма по изобретению содержит менее 13% кросповидона, например от 2 до 10% в пересчете на общую массу компонентов ядра твердой пероральной дозируемой формы. Предпочтительно массовое соотношение валсартана и кросповидона составляет от 7:1 до 3:1, например от 6:1 до 4:1, например 5,3:1. Предпочтительно массовое соотношение микрокристаллической целлюлозы и кросповидона составляет от 7:1 до 1:1, например от 4:1 до 2:1 например, 3,6:1. Твердая пероральная дозируемая форма по изобретению может содержать от 20 до 360 мг валсартана, например, 40, 80, 160, 320 мг. При использовании такого диапазона доз может быть повышена гибкость и эффективность лечения, например, в отношении снижения кровяного давления. Еще одним объектом изобретения является твердая пероральная дозируемая форма, включающая 20-65% валсартана 31-65% микрокристаллической целлюлозы 2-13% кросповидона. Типичная композиция может включать: 20-65% валсартана 31-50% микрокристаллической целлюлозы 2-10% кросповидона 1-10% стеарата магния 0,5-5% коллоидного безводного диоксида кремния. При необходимости может быть добавлено от 1 до 10% в пересчете на массу компонентов ядра, например 5-10% кутина, или от 1 до 10% в пересчете на 20 массу компонентов ядра, например 5-10% стеариновой кислоты. Предпочтительно твердые пероральные дозируемые формы по изобретению имеют форму спрессованной таблетки. И еще одним объектом изобретения является твердая пероральная дозируемая форма, например спрессованная таблетка, которая включает более 250 мг и менее 360 мг, например 320 мг, валсартана в качестве действующего вещества. Могут применяться другие эксципиенты, такие как замасливатели или улучшающие скольжение вещества, которые обычно используются в твердых композициях для перорального введения, соответствующие соединения широко описаны в литературе, см., например, в Fiedler’s “Lexicon der Hilfstoffe”, 4-ое изд., ECV Aulendorf 1996 и “Handbook of Pharmaceutical Excipients”, под ред. Wade и Weller (1994), содержание которых включено в настоящее описание в качестве ссылки. Твердые пероральные дозируемые формы по настоящему изобретению могут представлять собой драже, в этом случае на твердую пероральную дозируемую форму наносится покрытие, как правило из сахара, шеллака или другого пленочного покрытия, хорошо известного в данной области. Следует упомянуть многочисленные известные методы нанесения покрытий, применяемые в данной области, например нанесение покрытия распылением в псевдоожиженном слое, например, известными методами с использованием устройств, которые поставляются фирмами Aeromatic, Glatt, Wurster или Hüttlin, в перфорированном чане согласно методу Accela Cota, или согласно методу нанесения покрытия с использовании метода погруженного листа. В таких методах используют добавки, обычно применяемые при производстве. Например, покрытия, которые можно использовать, описаны в WO 97/49394, у Opadry и т.п. Фармацевтические композиции по настоящему изобретению могут применяться при известных показаниях для применения конкретного включенного в них действующего вещества. Точная доза действующего вещества и конкретный состав, подлежащий введению, зависят от многочисленных факторов, например от состояния, подлежащего лечению, требуемой продолжительности лечения и скорости высвобождения действующего вещества. Например, количество требуемого действующего вещества и его скорость высвобождения могут быть определены с помощью известных методик in vitro или in vivo, которые позволяют определить как долго определенная концентрация действующего вещества сохраняется в плазме крови на уровне, достаточном для терапевтического действия. Например, композиция по изобретению в клинических испытаниях оказалась сопоставимой по биологической доступности с поступающей в продажу формой Diovan®. Предпочтительно скорость растворения твердой формы по настоящему изобретению составляет примерно 90% через 30 мин. Например, для лечения млекопитающего, например человека, весом 75,5 кг, и на стандартных моделях с использованием животных может применяться от 10 мг до 360 мг валсартана в день. Очень высокая переносимость валсартана при включении его в композиции может быть обнаружена в стандартных опытах на животных и в клинических испытаниях. Следующим объектом изобретения является способ приготовления описанной выше твердой пероральной дозируемой формы. Такая твердая пероральная дозируемая форма может быть приготовлена путем обработки компонентов, указанных в WO 97/49394 (включена в настоящее описание в качестве ссылки), взятых в количествах, достаточных для приготовления стандартных дозируемых форм, например с использованием описанного ниже процесса. Например, ниже представлен способ приготовления вышеуказанных твердых пероральных дозируемых форм, предусматривающий стадии I) измельчения действующего вещества и фармацевтически приемлемых добавок, II) уплотнения смеси измельченных действующего вещества и добавок уплотнению с получением копримата (уплотненная масса), III) превращения копримата в гранулят и IV) прессования гранулята с получением твердой пероральной дозируемой формы. Этот процесс осуществляют в отсутствии воды, т.е. он представляет собой метод сухого прессования. Процесс может быть проведен при температуре и влажности окружающей среды; необязательно, чтобы процесс осуществлялся в безводной атмосфере. Начальная стадия измельчения I) может быть осуществлена с использованием общепринятых методов размола или тонкого измельчения. Действующее вещество и добавки могут размалываться либо индивидуально, либо совместно с получением частиц, размер которых составляет от примерно 0,1 микрометра (мкм) до примерно 1500 мкм, например от 1,0 мкм до 900 мкм, например от 60 мкм до 600 мкм. По меньшей мере 90% кристаллов как действующего вещества, так и добавок имеют размер частиц в указанных диапазонах. Частицы такого размера получают общепринятыми методами измельчения, например размалыванием в воздухоструйной мельнице, молотковой дробилке и мельнице с ситами, мельнице тонкого помола, шаровой мельнице или вибромельнице. Тонкое измельчение предпочтительно осуществляют известными методами, например, с использованием ультразвукового дезинтегратора, например, типа BRANSON Sonifier, или путем перемешивания суспензии с помощью высокоскоростного смесителя, например, смесителя типа HOMOREX. На этой стадии размолотые частицы необязательно могут быть просеяны и смешаны с помощью известных методов. Уплотнение с получением копримата предусматривает прессование сухих измельченных компонентов. Уплотнение может быть осуществлено с использованием методов комкования или предпочтительно вальцового уплотнения. Устройство для вальцового уплотнения является обычным и в основном основано на использовании двух валков, которые вращаются навстречу друг другу. Гидравлический поршень прижимает один из валков к другому, что приводит к возникновению сжимающей силы, действующей на размолотые частицы, загруженные в вальцовый уплотнитель с помощью червячной конвейерной системы. Может применяться сжимающая сила от 25 до 65 кН, например, от 25 до 45 кН. При создании изобретения неожиданно установлено, что внутри указанного диапазона сжимающих сил для каждой конкретной композиции должна использоваться минимальная сжимающая сила для того, чтобы получить твердую пероральную дозируемую форму, в которой гранулят распадается на отдельные первичные частицы с требуемой скоростью, например, разрушение происходит в 6 раз быстрее для твердой пероральной дозируемой формы, уплотненной с использованием силы, превышающей минимальную сжимающую силу. Такая высокая скорость разрушения является необычной для таблеток и соответствует скорости разрушения композиции в виде капсул. Конкретная минимальная сжимающая сила зависит от содержания действующего вещества в конкретной композиции и, следовательно, также зависит от количества и природы присутствующих добавок. С учетом этой информации специалист в данной области может легко определить минимальную сжимающую силу для других композиций с помощью обычных экспериментов и без чрезмерных усилий. Скорость валков может быть установлена на уровне от 1 до 20 об/мин и предпочтительно 9-15 об/мин. После прохождения через валки уплотненная масса (копримат) представляет собой тонкую сегментированную ленту. Копримат может быть просеян или измельчен с получением гранул. Просеивание в своей самой простой форме включает пропускание копримата, снятого с валков, через сито с механическим давлением. Более предпочтительно копримат просеивают с помощью вибрационной мельницы, например, типа MGI 624 Prewitt (фирма Key International Inc.). Прессование гранулятов с получением ядер таблеток может быть осуществлено с помощью обычной таблетирующей машины, например с помощью эксцентрической таблетирующей машины типа ЕК-0 Korsch, или роторной таблетирующей машины, например, при сжимающей силе более 2 кН. Ядра таблеток могут варьироваться по форме и могут иметь, например, круглую, овальную, продолговатую, цилиндрическую или любую другую пригодную форму, а также могут варьироваться по размеру в зависимости от концентрации терапевтических агентов. Отличительной особенностью таблеток по изобретению является их небольшой размер относительно входящего в их состав количества действующего вещества. Согласно предпочтительному варианту осуществления таблетки, полученные описанным выше методом прессования, являются слегка овальными. Края таблеток могут быть скошены или закруглены. Согласно особенно предпочтительному варианту осуществления твердую пероральную дозируемую форму прессуют с получением таблетки, имеющей продолговатую форму, в которой соотношение размеров длина:ширина:высота составляет, например, 2,5-5,0:0,9-2,0:1,0, и в которой предпочтительно нижняя и верхняя поверхности таблетки независимо друг от друга являются плоскими или выпуклыми относительно продольной оси; боковые стороны являются плоскими, торцевые стороны могут иметь любую форму, а края необязательно скошены или закруглены. Согласно наиболее предпочтительному варианту осуществления твердую пероральную дозируемую форму прессуют из гранулята с получением таблетки продолговатой формы, длина которой составляет примерно 10,0-15,0 мм, ширина примерно 5,0-6,0 мм и высота примерно 3,0-4,0 мм. Согласно еще одному наиболее предпочтительному варианту осуществления твердую пероральную дозируемую форму прессуют из гранулята с получением таблетки продолговатой формы, длина которой составляет примерно 15,0-18,0 мм, ширина примерно 6,0-9,0 мм и высота примерно 3,5-5,0 мм. И еще одним предпочтительным вариантом осуществления является таблетка, имеющая практически дисковидную форму, верхняя и нижняя стороны которой имеют слегка выпуклую поверхность. Предпочтительно таблетка имеет диаметр примерно 8-8,5 мм и высоту примерно 3-3,5 мм или диаметр примерно 16 мм и высоту примерно 6 мм. Таблетки могут иметь объем от примерно 0,1 см3 до примерно 1 см3, например от 0,1 см3 до примерно 0,45 см3, например от 0,2 до 0,3 см3, например примерно 0,125 см3 или 0,25 см3. Кроме того, они могут быть прозрачные, бесцветные или окрашенные и на них также могут быть нанесены метки, что придает этому продукту характерный внешний вид и делает его быстро распознаваемым. Применение красителей может способствовать улучшению внешнего вида, а также распознаваемости композиций. Пригодные для применения в фармации красители обычно включают каротиноиды, оксиды железа или хлорофилл. Приведенные ниже примеры иллюстрируют описанное выше изобретение; однако они никоим образом на направлены на ограничение его объема. Пример 1 композиции. Филмтаблетки.
Филмтаблетки изготавливают, например, следующим образом. Смесь, содержащую валсартан, микрокристаллическую целлюлозу, кросповидон, часть коллоидного безводного диоксида кремния/коллоидного диоксида кремния/Aerosil 200, диоксид кремния и стеарат магния, предварительно смешивают в диффузионном смесителе и затем просеивают через мельницу с ситами. Образовавшуюся смесь вновь предварительно смешивают в диффузионном смесителе, уплотняют в вальцовом уплотнителе и затем просеивают через мельницу с ситами. К образовавшейся смеси добавляют оставшуюся часть коллоидного безводного диоксида кремния/коллоидного диоксида кремния/Aerosil 200 и готовят окончательную смесь в диффузионном смесителе. Всю смесь прессуют на роторной таблетирующей машине и на таблетки наносят пленочное покрытие в перфорированном чане, используя светло-красный краситель Diolack. Пример 2 композиции. Филмтаблетки.
Филмтаблетки изготавливают, например, согласно процессу, описанному в примере 1 композиции. Пример 3 композиции. Филмтаблетки.
Состав Opadry®:
Филмтаблетки изготавливают, например, согласно процессу, описанному в примере 1 композиции. Пример 4 композиции. Капсулы.
Таблетку изготавливают следующим образом. Грануляция/сушка Валсартан и микрокристаллическую целлюлозу гранулируют распылением в грануляторе с псевдоожиженным слоем с использованием раствора для грануляции, который содержит повидон и лаурилсульфат натрия, растворенные в очищенной воде. Полученный гранулят сушат в сушилке с псевдоожиженным слоем. Измельчение/смешение Высушенный гранулят измельчают вместе с кросповидоном и стеаратом магния. Затем массу перемешивают в коническом смесителе шнекового типа в течение примерно 10 мин. Капсулирование Пустые желатиновые капсулы с твердым покрытием заполняют перемешенной порцией гранул при контролируемой температуре и влажности. Заполненные капсулы обеспыливают, визуально обследуют, осуществляют проверку массы и сертифицируют в Департаменте гарантии качества. Пример 5 композиции. Капсулы.
Композицию изготавливают, например, согласно процессу, описанному в примере 4 композиции. Пример 6 композиции. Желатиновая капсула с твердым покрытием.
Примеры 7-11.
Пример 12. Растворимость таблеток с пленочным покрытием (ППТ) (филтаблеток) Приемлемым критериями растворимости являются Q=75% в течение 30 мин (лопастная мешалка 50 об/мин, фосфатный буфер, рН 6,8)
Формула изобретения
Применение валсартана формулы или его фармацевтически приемлемой соли для приготовления фармацевтической композиции, предназначенной для лечения инвазивного рака легкого или рака молочной железы.
|
||||||||||||||||||||||||||||||||||||||||||||||||||||||||||||||||||||||||||||||||||||||||||||||||||||||||||||||||||||||||||||||||||||||||||||||||||||||||||||||||||||||||||||||||||||||||||||||||||||||||||||||||||||||||||||||||||||||||||||||||||||||||||||||||||||||||||||||||||||||||||||||||||||||||||||||||||||||||||||||||||||||||||||||||||||||||||||||||||||||||||||||||||||||||||||||||||||||||||||||||||||||||||||||||||||||||||||||||||||||||||||||||||||||||||||||||||||||||||||||||||||||||||||||||||||||||||||||||||||||||||||||||||||||||||||||||||||||||||||||||||||||||||

2-макрогликопротеин, расщепляется ферментом ренином с образованием декапептида ангиотензина I, который сам обладает лишь очень слабой биологической активностью. На следующей стадии пути превращения отщепляются еще 2 аминокислоты под действием ангиотензинпревращающего фермента (АСЕ), который главным образом связан с эндотелием, с образованием ангиотензина II. Последний, как полагают, является одним из наиболее сильных природных вазоконстрикторов.










