|
|
(21), (22) Заявка: 2004102182/09, 26.01.2004
(24) Дата начала отсчета срока действия патента:
26.01.2004
(43) Дата публикации заявки: 20.07.2005
(45) Опубликовано: 10.03.2006
(56) Список документов, цитированных в отчете о поиске:
RU 2168859 C1, 10.06.2001. SU 527001, 30.08.1976. RU 2159505 C2, 20.11.2000. RU 2119249 C1, 20.09.1998. SU 1427578 A1, 30.09.1988. US 5113525 A, 12.05.1992. DE 2148852, 30.09.1971. US 4375051, 22.02.1983.
Адрес для переписки:
644009, г.Омск, ул. Масленникова, 231, ФГУП ОНИИП
|
(72) Автор(ы):
Лузан Юрий Степанович (RU), Петров Евгений Никандрович (RU), Щеков Павел Федорович (RU)
(73) Патентообладатель(и):
ФЕДЕРАЛЬНОЕ ГОСУДАРСТВЕННОЕ УНИТАРНОЕ ПРЕДПРИЯТИЕ Омский научно-исследовательский институт приборостроения (RU)
|
(54) РАДИОПЕРЕДАЮЩЕЕ УСТРОЙСТВО С АВТОМАТИЧЕСКОЙ АДАПТАЦИЕЙ К НАГРУЗКЕ
(57) Реферат:
Изобретение относится к радиотехнике и может быть использовано в радиосвязи. Достигаемый технический результат – увеличение выходной мощности и промышленного КПД KB радиопередатчика, работающего на рассогласованную нагрузку. Результат достигается благодаря использованию импульсного источника питания с падающей регулировочной характеристикой, обеспечивающего постоянство отдаваемой в нагрузку мощности, а также благодаря поддержанию напряжения возбуждения выходного каскада на уровне, обеспечивающем его работу в критическом (оптимальном) режиме. Устройство содержит возбудитель (1), регулируемый (3) и выходной (6) каскады, источник питания в виде силового импульсного модуля (5), широтно-импульсного контроллера (4) и источника опорного напряжения (12), а также дифференциальные усилители (9,13), перемножители (8,11), датчик амплитуды входного сигнала (2), датчик тока потребления выходного каскада (10), датчик пикового напряжения выходного каскада (7). 1 ил. 
(56) (продолжение):
CLASS=”b560m”КИБАКИН В.М. Основы теории и расчета транзисторных низкочастотных усилителей мощности. Москва, Радио и связь, 1988, с.171-173,186-187, рис.8.1,8.7.
Изобретение относится к радиотехнике и может быть использовано в радиосвязи.
Радиопередающее устройство с автоматической адаптацией к нагрузке, состоящее из возбудителя, регулируемого каскада, усилителя мощности и источника питания с падающей характеристикой при стабильной выходной мощности, состоящего из ШИМ контролера, силового ключевого модуля, датчика тока, перемножителя, источника опорного напряжения и дифференциального усилителя.
Известны технические решения [1], направленные на стабилизацию выходной мощности передатчиков регулированием напряжения возбуждения по сигналу с датчика мощности, проходящей в нагрузку. Однако такая стабилизация возможна только при неполном использовании транзисторов выходного каскада по напряжению, т.е. при пониженном КПД. Выходную мощность можно стабилизировать с большим КПД согласно [2], управляя напряжением питания и амплитудой импульса, т.е. по датчикам остаточного напряжения и выходной мощности.
Основным недостатком такой стабилизации является то, что необходим датчик выходной мощности, обладающий собственной частотной характеристикой, что приводит к дополнительному увеличению неравномерности АЧХ передающего тракта в диапазоне рабочих частот.
Наиболее близким к изобретению по технической сущности является устройство передающее [3]. Однако это устройство не повышает промышленного КПД передатчика, предполагает работу в УКВ диапазоне в режиме ЧМ и не предназначено для работы в системах KB связи, требующих линейного усиления мощности.
Задачей изобретения является увеличение выходной мощности и промышленного КПД KB радиопередатчика, работающего на рассогласованную нагрузку.
Поставленная задача достигается тем, что в известном радиопередающем устройстве, состоящем из соединенных последовательно возбудителя, регулируемого и выходного каскадов, источника питания, состоящего из силового импульсного модуля, источника опорного напряжения, последовательно соединенных второго перемножителя и второго дифференциального усилителя, выход которого соединен с управляющим входом ШИМ-контроллера, между входом регулируемого каскада и шиной питания выходного каскада введены датчик амплитуды входного сигнала, первый перемножитель и первый дифференциальный усилитель, выход которого последовательно соединен с управляющим входом регулируемого каскада.
Для повышения КПД при работе передатчика на рассогласованную нагрузку применен импульсный источник питания с падающей регулировочной характеристикой, при которой мощность, отдаваемая в нагрузку, постоянная, а регулировка напряжения возбуждения усилителя мощности поддерживается на уровне, обеспечивающем работу выходного каскада в критическом (оптимальном) режиме.
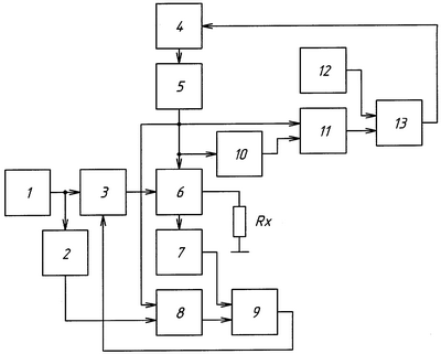
На чертеже представлена структурная электрическая схема предложенного устройства.
Радиопередающее устройство состоит из возбудителя “1”, датчика амплитуды входного сигнала “2”, регулируемого каскада “3”, выходного каскада “6”, датчика пикового напряжения “7”, первого перемножителя “8”, первого дифференциального усилителя “9”, ШИМ-контроллера “4”, силового импульсного модуля “5”, датчика тока “10”, второго перемножителя “11”, источника опорного напряжения “12” и второго дифференциального усилителя “13”.
Выходной каскад “6” передающего устройства работает в режиме класса “АВ”. С возбудителя “1” на регулируемый каскад “3” поступает сигнал, мощности которого достаточно для полного использования транзисторов выходного каскада по напряжению (т.е. критического режима) при работе на номинальную нагрузку. При этом мощность, потребляемая выходным каскадом “6”, определяется уровнем стабилизации мощности силового импульсного модуля “5”. Сигнал с датчика тока “10” поступает на вход перемножителя “11”, на второй вход которого поступает выходное напряжение силового импульсного модуля “5”. На выходе перемножителя “11” формируется сигнал, пропорциональный потребляемой мощности выходного каскада “6”, который после сравнения на втором дифференциальном усилителе “13” с напряжением источника опорного напряжения “12” подается на управляющий вход ШИМ-контроллера “4”, изменяющий режим работы силового импульсного модуля “5” таким образом, что отдаваемая им мощность остается постоянной.
При этом номинальный уровень возбуждения для обеспечения критического режима транзисторов выходного каскада зависит от напряжения питания выходного каскада “6” и от нагрузки Rx.
Так, если сопротивление нагрузки Rx увеличивается, растет амплитуда импульса тока стоков транзисторов выходного каскада “6”, возрастает уровень сигнала на выходе датчика пикового напряжения “7”, растет сигнал на выходе первого дифференциального усилителя “9”, поступающий на управляющий вход регулируемого каскада “3”, падает коэффициент усиления регулируемого каскада “3”, снижается напряжение возбуждения выходного каскада усилителя мощности “6”, падает потребляемый им ток, уменьшается уровень сигнала с датчика тока “10”, падает уровень сигнала на выходе второго перемножителя “11”, в результате его сравнения с сигналом от источника опорного напряжения “12” на втором дифференциальном усилителе “13” формируется сигнал ошибки, подаваемый на управляющий вход ШИМ-контроллера “4”. Напряжение на выходе силового импульсного модуля “5” возрастает до значения, при котором уровень сигнала на выходе второго перемножителя “11” уравняется с опорным напряжением. Таким образом, увеличив напряжение и пропорционально снизив ток, система авторегулирования сохранит потребляемую выходным каскадом “6” мощность. Напротив, если сопротивление нагрузки Rx уменьшается, падает амплитуда импульса тока стоков транзисторов выходного каскада “6”, уменьшается уровень сигнала на выходе датчика пикового напряжения “7”, уменьшается сигнал на выходе первого дифференциального усилителя “9”, поступающий на управляющий вход регулируемого каскада “3”, растет коэффициент усиления регулируемого каскада “3”, увеличивается напряжение возбуждения выходного каскада усилителя мощности “6”, растет потребляемый им ток, увеличивается уровень сигнала с датчика тока “10”, растет уровень сигнала на выходе второго перемножителя “11”. В результате его сравнения с сигналом от источника опорного напряжения “12” на втором дифференциальном усилителе “13” формируется сигнал ошибки, подаваемый на управляющий вход ШИМ-контроллера “4”. Напряжение на выходе силового импульсного модуля “5” уменьшается до значения, при котором уровень сигнала на выходе второго перемножителя “13” уравняется с опорным напряжением. Таким образом, понизив напряжение и пропорционально увеличив ток, система авторегулирования сохранит потребляемую выходным каскадом “6” мощность. В обоих случаях результатом авторегулирования является согласование сопротивления выходного каскада с нагрузкой Rx.
Ток и напряжение питания выходного каскада “6” ограничен максимально допустимыми значениями для примененного типа транзисторов.
Кроме того, при отсутствии напряжения возбуждения система авторегулирования повышает напряжение питания транзисторов выходного каскада “6” до максимума, в этом случае в момент поступления с возбудителя “1” сигнала с крутым передним фронтом возникает опасность перехода транзисторов выходного каскада “6” в сильно перенапряженный режим. При этом не исключен пробой транзисторов выходного каскада “6” отрицательным импульсом.
Для решения данной проблемы сигнал с детектора амплитуды входного сигнала “2” подается на первый вход перемножителя “8”, на второй вход перемножителя “8” подается напряжение питания выходного каскада “6”. Полученный в результате сигнал сравнивается на дифференциальном усилителе “9” с сигналом от датчика пикового напряжения “7”, полученный сигнал ошибки с выхода дифференциального усилителя “9” подается на управляющий вход регулируемого усилителя “3”, при отсутствии напряжения возбуждения снижая усиление регулируемого каскада “3” до минимума. В результате крутой передний фронт входного сигнала не приводит к перегрузке выходного каскада “6”.
Источники информации.
1. Широкополосные радиопередающие устройства. М.: “Связь” 1978 г. Под редакцией Алексеева.
2. Авторское свидетельство № 1136306 (СССР) “Устройство автоматической стабилизации мощности”. Вайнер. Г.А., Корчагин Ю.В. и др. Опубл. 1985 г. БИ № 3
3. Авторское свидетельство № 2168859 (РФ) “Передающее устройство”. Беляков А.И. Опубл. 2001, БИ № 16.
Формула изобретения
Радиопередающее устройство с автоматической адаптацией к изменяющейся нагрузке, содержащее последовательно соединенные возбудитель, регулируемый и выходной каскады, источник питания, состоящий из силового импульсного модуля, управляемого от широтно-импульсного контроллера, и источника опорного напряжения, а также включающее в себя первый дифференциальный усилитель, на инвертирующий вход которого поступает выходной сигнал первого перемножителя, один из входов которого подключен датчику амплитуды входного сигнала регулируемого каскада, второй дифференциальный усилитель, на инвертирующий вход которого поступает выходной сигнал второго перемножителя, один из входов которого подключен к датчику тока потребления выходного каскада, причем второй вход первого дифференциального усилителя соединен с датчиком пикового напряжения выходного каскада, результат сравнения выходного сигнала второго перемножителя с напряжением источника опорного напряжения на втором дифференциальном усилителе подается на управляющий вход широтно-импульсного контроллера, отличающееся тем, что выход силового импульсного модуля источника питания подключен к выходному каскаду и ко вторым входам первого и второго перемножителей.
РИСУНКИ
QB4A Регистрация лицензионного договора на использование изобретения
Лицензиар(ы): Федеральное государственное унитарное предприятие “Омский научно-исследовательский институт приборостроения” (ФГУП ОНИИП)
НИЛ
Лицензиат(ы): Федеральное государственное унитарное предприятие “Омское производственное объединение “ИРТЫШ” (ФГУП “ОмПО “ИРТЫШ”)
Договор № РД0021576 зарегистрирован 03.05.2007
Извещение опубликовано: 10.06.2007 БИ: 16/2007
* ИЛ – исключительная лицензия НИЛ – неисключительная лицензия
|
|