|
|
(21), (22) Заявка: 2003115586/09, 26.05.2003
(24) Дата начала отсчета срока действия патента:
26.05.2003
(43) Дата публикации заявки: 27.11.2004
(45) Опубликовано: 10.03.2006
(56) Список документов, цитированных в отчете о поиске:
SU 951305 A, 15.08.1982. SU 398949 A, 27.09.1973. SU 744549 A, 30.06.1980. EP 0357212 A2, 07.03.1990. EP 0482376 A2, 29.04.1992.
Адрес для переписки:
355017, г.Ставрополь, ул. Артёма, 2, ФРВИРВ НИО
|
(72) Автор(ы):
Червяков Николай Иванович (RU), Горденко Дмитрий Владимирович (RU)
(73) Патентообладатель(и):
Червяков Николай Иванович (RU), Горденко Дмитрий Владимирович (RU)
|
(54) НЕЙРОННАЯ СЕТЬ ДЛЯ ОКРУГЛЕНИЯ И МАСШТАБИРОВАНИЯ ЧИСЕЛ, ПРЕДСТАВЛЕННЫХ В СИСТЕМЕ ОСТАТОЧНЫХ КЛАССОВ
(57) Реферат:
Заявленное изобретение относится к вычислительной техники и, в частности, к модулярным нейрокомпьютерным средствам. Техническим результатом является уменьшение объема оборудования, повышение скорости округления чисел и расширения функциональных возможностей. Для этого заявленная сеть содержит входной слой нейронов, нейронную сеть конечного кольца определения ранга числа, нейронную сеть конечного кольца вычисления остатка по основанию n+1, n-нейронные сети конечного кольца вычисления масштабированного числа, нейронную сеть вычисления разности чисел между входными остатками и остатком по основанию. 1 ил. 
Изобретение относится к вычислительной техники и, в частности, к модулярным нейрокомпьютерным средствам и предназначено для выполнения операций округления и масштабирования над числами, представленными в системе остаточных классах (СОК).
Известно устройство для округления чисел в системе остаточных классов (А.С. СССР №398949, М. кл.3 G 06 F 7/52, 1973 г.), содержащее входной регистр, блоки хранения констант, сумматоры констант по основаниям рабочего и дополнительного диапазона, блоки вычисления неточных рангов, блок коррекции округления.
Недостатком данного устройства является большой объем оборудования и низкая скорость округления числа.
Наиболее близким к данному изобретению техническим решением является устройство для округления чисел в системе остаточных классов (А.С. СССР №651305, М. кл.3 G 06 F 7/52 1982 г.), содержащее входной регистр, первую и вторую группу из n-шифраторов (n – количество оснований системы остаточных классов), первый и второй накапливающие сумматоры, группу из n-сумматоров по модулю pi (pi – основания системы остаточных классов), выходы которых являются выходами устройства, входы входного регистра являются информационными входами устройства.
Недостатком устройства является большой объем оборудования, низкая скорость округления числа и суженное функциональное назначение.
Целью изобретения является уменьшение объема оборудования, повышение скорости округления и масштабирования чисел, расширение функциональных возможностей.
Поставленная цель достигается тем, что нейронная сеть для округления и масштабирования чисел, представленных в системе остаточных классов, содержащая входной слой 3 с нейронами 2, НСКК 4, состоящей из нейронной сети конечного кольца по наибольшему модулю 13 и нейронной сети конечного кольца по коэффициенту масштабирования 14, нейронных сетей конечного кольца по модулям СОК 5, нейронной сети конечного кольца по модулям СОК 6, коэффициента масштабирования К 7. В основе изобретения лежит формируемая нейронная сеть прямого распространения. Структура нейронной сети зависит от внешних параметров, которые определяются модулями СОК и коэффициентами масштабирования. Посредствам весовых коэффициентов, коэффициента масштабирования и НСКК нейронная сеть осуществляет округление и масштабирование числа. Функционирование нейронной сети зависит от весовых коэффициентов между слоями нейронов, коэффициента масштабирования, которые являются константами и определяются заранее. Так как сеть формируемая, весовые коэффициенты сети постоянны, поэтому режим обучения сети не используется.
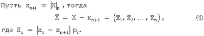
Введем следующие обозначения: p1, р2, …, pn-основания СОК, – диапазон системы, при этом число А записывается в СОК в следующей форме: А=( 1, 2, …, n), где – наименьший неотрицательный остаток от деления целого числа А на основание pi.
Как известно, замена позиционной системы на СОК позволяет существенно (порой в десятки раз) повысить выполнение таких операций, как умножение, сложение и вычитание. Однако реализация операции масштабирования в СОК (она связана с делением) вызывает существенные затруднения.
Масштабирование предполагает операцию деления, поэтому можно выбрать такой делитель, который позволяет осуществить легкую реализацию. Например, в двоичной системе счисления выбираются коэффициенты масштабирования, являющиеся степенями двойки. Масштабирование в СОК реализуется наиболее легко, когда коэффициент масштабирования есть один из модулей системы или является произведением нескольких модулей. Известны методы деления, но все они основаны на выполнении ряда последовательных операций. В данном изобретении предлагается распараллеливание операций при реализации округления и масштабирования.
Фундаментальной проблемой, возникающей при реализации масштабирования, является то, что в отличие от сложения и умножения СОК не является замкнутой относительно операции масштабирования. Предположим, что процедура масштабирования осуществляется с округлением путем отбрасывания некоторой части числа. Пусть Х является входной величиной, У- выходной, а К – коэффициент масштабирования, тогда

где [ ] означает целочисленное значение. Это можно переписать в виде

или

Однако для быстрого определения требуется, чтобы К являлось произведением некоторых модулей. Таким образом, алгоритм высокоскоростного масштабирования должен выводить коэффициент масштабирования из одного или произведения нескольких модулей.
Если К=р1, тогда можно получить непосредственно из первого остатка; если при s>1, то для определения используется итеративный процесс масштабирования.
Рассмотрим метод масштабирования числа Х на число К с отбрасыванием остатка в предположении, что К – целое положительное число, попарно простое с р1,р2,…,рn. Если Х делится на К без остатка, то операция масштабирования является модульной операцией и сравнительно просто реализуется в табличном варианте. Поэтому перед масштабированием в качестве вспомогательной операции выполняют операцию нахождения числа , которое делится на К без остатка. Операция нахождения заменяет операцию отбрасывания остатка от деления.

Из (4) видно, что делится без остатка на К. На основании того, что

где rx – ранг числа; – ортогональные базисы;
mi – целое положительно число, удовлетворяющее сравнению

На основе выражения (5) можно записать выражения для xn+1 и rх:

где для i=1,2,…,n-1; 

где для i=1,2,…,n-1; 
Итак, метод масштабирования числа Х на число K с отбрасыванием остатка можно представить как последовательность следующих операций:
1. Определение ранга числа rх, выражение (7).
2. Определение xn+1, выражение (6).
3. Вычисление , выражение (4).
4. Нахождение масштабированного числа от деления на К.
При этом нахождение осуществляется с помощью совокупности модульных операций:

В случае если pi – простое число

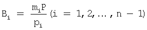
Пример. Пусть задана система оснований р1=2, р2=3, р3=5, р4=7. Требуется число X=(1,2,3,2) промасштабировать числом K=11. В соответствии с выражением (5) и (7) определяем B1=15, В2=10, В3=6, Р=30, а также 1=4, 2=5, 3=3, 4=3. Следовательно, выражение (7) в условиях примера примет вид

Далее находим и затем остаток от деления Х на константу К – величину xn+1 по формуле (6): 
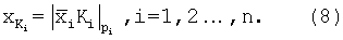
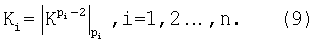
По формуле (4) находим =(1,2,3,2)-(1,1,1,1)=(0,1,2,1). На основе формулы (9) определяем К1=1, К2=2, К3=1 и К4=2 и далее определяем по формуле (8):

Полученное масштабированное число можно представить в сокращенной либо в расширенной системе оснований.
Предложенный метод округления и масштабирования чисел отличается от известных тем, что его реализация полностью состоит из модульных операций и его можно легко реализовать нейронными сетями конечного кольца, которые выполняют вычисления по модулю pi, где 
На чертеже представлена структура нейронной сети для реализации округления и масштабирования чисел, представленных в СОК.
Принцип работы данного изобретения излагается ниже. Изобретением является формируемая нейронная сеть прямого распространения, состоящая из совокупности нейронных сетей конечного кольца. Информация в виде остатков (х1, х2,…, хn) 1 поступает на вход нейронов 2 нейронной сети (нейроны 2 входного слоя 3), масштабированное число 8, выходы 17, (xK1, xK2,…, хKn) появляется в выходном слое нейронов 16 НСКК 6.
Входной слой 3 используется для сбора входов числа (х1, х2,…, хn) 1 (нейроны 2), которые масштабируются. Нейронная сеть конечного кольца определения ранга числа (НСКК 4), нейрон 13, определяет ранг числа, реализует вычислительную модель (7). Нейронная сеть конечного кольца вычисления остатка по основанию n+1 (НСКК 4), нейрон 14, реализует вычислительную модель (6). Между входным слоем 3 и входом НСКК 4 (нейрон 13) весовые коэффициенты win 18 определяются значениями i выражением (7), а входом НСКК 4, нейрон 14, весовые коэффициенты wiK 9 определяются значениями i‘ выражения (6), a wnK 10 определяется выражением (7). НСКК 4 (нейрон 13) реализует вычислительную модель (7), а НСКК 4 (нейрон 14) реализует вычислительную модель (6). Значения в дополнительном коде с выхода НСКК 4 (нейрон 14) поступают на вход нейронной сети конечного кольца вычисления разности чисел между входными остатками и остатком по основанию n+1 (НСКК 5), нейроны 15, весовые коэффициенты wi 19 между входным слоем 3 (нейроны 2) равны 1. НСКК 5 (нейроны 15) выполняет вспомогательную операцию нахождения числа , реализуют вычислительную модель (4), при этом операция вычитания заменяется операцией сложения в дополнительном коде. Значения с выхода НСКК 5 (нейроны 15) и значения К (вход 7) поступают на вход нейронной сети конечного кольца вычисления масштабированных остатков (НСКК 6), нейроны 16. Весовые коэффициенты 12 и wK 20 равны единице. Масштабированное число 8 появляется на выходе НСКК 6 (выходы 17). Операция масштабирования выполняется за 4 цикла синхронизации и не зависит от количества модулей, что и отличает это изобретение от известного, где операция округления зависит от количества модулей СОК. Изобретение предназначено для быстрого округления и масштабирования чисел в модулярных нейрокомпьютерных системах.
Формула изобретения
Нейронная сеть для округления и масштабирования чисел, представленных в системе остаточных классов, содержащая входной слой нейронов, нейронную сеть конечного кольца определения ранга числа, нейронную сеть конечного кольца вычисления остатка по основанию n+1, нейронную сеть конечного кольца вычисления разности чисел между входными остатками и остатком по основанию n+1, n-нейронные сети конечного кольца вычисления масштабированного числа, отличающаяся тем, что выходы нейронов входного слоя соединены с нейронами нейронных сетей конечного кольца вычисления ранга числа и остатка по основанию n+1, выход нейронов нейронной сети конечного кольца вычисления ранга числа соединен со входом нейронов нейронной сети вычисления остатка по основанию n+1, выход нейронов нейронной сети конечного кольца вычисления остатка по основанию n+1 соединен с первой группой входов нейронов нейронных сетей конечного кольца вычисления разности чисел между входными остатками и остатком по основанию n+1, вторая группа входов нейронов нейронной сети конечного кольца вычисления разности остатков соединена с выходами нейронов входного слоя, выходы нейронов нейронных сетей конечного кольца вычисления разности остатков соединены с первой группой входов нейронов нейронных сетей конечного кольца вычисления масштабированных остатков, а вторая группа входов нейронов нейронных сетей конечного кольца вычисления масштабированных остатков соединена с входом К-масштабированного коэффициента, масштабируемое число появляется на выходе нейронов нейронных сетей конечного кольца вычисления масштабированных остатков.
РИСУНКИ
PC4A – Регистрация договора об уступке патента Российской Федерации на изобретение
(73) Патентообладатель(и):
Червяков Николай Иванович, Горденко Дмитрий Владимирович
(73) Патентообладатель:
Общество с ограниченной ответственностью научно-производственная фирма “Нейрон”
Дата и номер государственной регистрации перехода исключительного права: 12.10.2006 № РД0013070
Извещение опубликовано: 20.11.2006 БИ: 32/2006
MM4A – Досрочное прекращение действия патента СССР или патента Российской Федерации на изобретение из-за неуплаты в установленный срок пошлины за поддержание патента в силе
Дата прекращения действия патента: 27.05.2007
Извещение опубликовано: 27.08.2008 БИ: 24/2008
|
|