|
|
(21), (22) Заявка: 2004131153/09, 27.10.2004
(24) Дата начала отсчета срока действия патента:
27.10.2004
(45) Опубликовано: 10.03.2006
(56) Список документов, цитированных в отчете о поиске:
SU 1117646 А, 07.10.1984. SU 1541604 A1, 07.02.1990. SU 842766, 30.06.1981. SU 285343, 29.01.1971. US 2001/0012364 A1, 09.08.2001.
Адрес для переписки:
109074, Москва, Китайгородский пр-д, 9/5, Военная академия Ракетных войск стратегического назначения им. Петра Великого
|
(72) Автор(ы):
Горшенев Геннадий Анатольевич (RU), Толпарев Радомир Георгиевич (RU), Фролкова Светлана Михайловна (RU)
(73) Патентообладатель(и):
Военная академия Ракетных войск стратегического назначения им. Петра Великого (RU)
|
(54) ГЕНЕРАТОР МОДЕЛИРОВАНИЯ ПОТОКА ЗАЯВОК В СИСТЕМАХ МАССОВОГО ОБСЛУЖИВАНИЯ
(57) Реферат:
Изобретение относится к вычислительной технике. Технический результат заключается в уменьшении аппаратных затрат. Генератор содержит задающий генератор (1), генератор (2) экспоненциального напряжения, генератор (3) равномерно распределенных случайных чисел, цифроаналоговый преобразователь (4), элементы ИЛИ (5, 6), блок (7) сравнения, формирователь (8) импульсов, элемент запрета (9), триггер (10), блок (11) умножения, вход (12) и выход (13) устройства. Поток заявок формируется из простейшего потока путем исключения одной заявки с сохранением второй заявки, т.е. на выходе (13) генератора через временные интервалы, распределенные по закону Эрланга второго порядка, вырабатываются импульсы, моделирующие поступление заявок. 1 ил. 
Изобретение относится к вычислительной технике и может быть использовано для статистического моделирования потока заявок в системах массового обслуживания.
Известен генератор пуассоновского потока импульсов. Содержащих последовательно соединенные генераторы равномерно распределенных случайных чисел, цифроаналоговый преобразователь, блоки сравнения, прерыватель, формирователь импульсов, генератор экспоненциального напряжения, блок усреднения и сумматор [1].
Недостатком известного устройства является относительно низкие функциональные возможности, не позволяющие моделировать поток заявок, описываемый потоком Эрланга второго порядка.
Наиболее близким техническим решением является устройство [2], которое содержит задающий генератор, генератор линейного напряжения, сумматор, делитель, логарифмический усилитель, первый блок умножения, первый элемент запрета, первый элемент ИЛИ, блок сравнения, формирователь импульсов, генератор равномерно распределенных случайных чисел, первый цифроаналоговый преобразователь, второй блок умножения, второй элемент ИЛИ, триггер, второй генератор равномерно распределенных случайных чисел, второй цифроаналоговый преобразователь, второй элемент запрета, третий элемент ИЛИ, генератор экспоненциального напряжения, третий элемент запрета и блок задания постоянных коэффициентов.
Указанное устройство позволяет моделировать поток заявок, описываемый потоком Эрланга второго порядка. Однако указанное устройство имеет сложную аппаратную реализацию.
Целью изобретения является уменьшение аппаратных затрат при тех же функциональных возможностях устройства.
Поставленная цель достигается тем, что в предполагаемом генераторе, содержащем задающий генератор, первый и второй элементы ИЛИ, генератор равномерно распределенных случайных чисел, цифроаналоговый преобразователь, блок сравнения, блок умножения, генератор экспоненциального напряжения, формирователь импульсов, элемент запрета и триггер, выход которого подключен к управляющему входу элемента запрета, выход задающего генератора подключен к первому входу первого элемента ИЛИ, к второму входу которого к счетному входу триггера подключен выход формирователя импульсов, вход которого соединен с выходом блока сравнения, выход первого элемента ИЛИ подключен к входу генератора равномерно распределенных случайных чисел, выход которого подключен к выходу цифроаналогового преобразователя, дополнительно выход задающего генератора подключен к первому входу второго элемента ИЛИ, к второму входу которого подключен выход формирователя импульсов, выход второго элемента ИЛИ подключен к входу запуска генератора экспоненциального напряжения, выход которого соединен с первым входом блока сравнения, выход цифроаналогового преобразователя соединен со вторым входом блока сравнения, выход формирователя импульсов подключен также к информационному входу элемента запрета, выход которого является выходом устройства, вход устройства подключен к входу блока умножения, выход которого соединен с управляющим входом генератора экспоненциального напряжения.
Такая совокупность признаков предлагаемого устройства по сравнению с прототипом показывает, что оно отличается сокращением числа элементов при сохранении положительного эффекта. Таким образом, заявляемое устройство соответствует критерию «новизна».
Сравнение заявляемого решения с другими техническими решениями показывает, что вновь вводимые связи с меньшим числом элементов позволяют упростить устройство при сохранении функциональных возможностей. Это позволяет сделать вывод о соответствии технического решения критерию «существенные отличия».
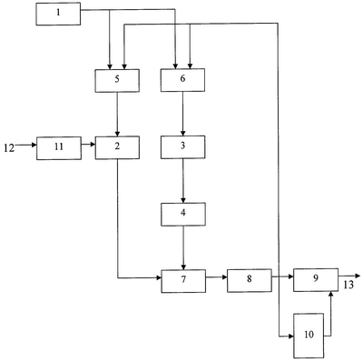
На чертеже представлена структурная схема генератора для моделирования потока заявок в системах массового обслуживания.
Генератор для моделирования потока заявок в системах массового обслуживания содержит задающий генератор 1, генератор 2 экспоненциального напряжения, генератор 3 равномерно распределенных случайных чисел, цифроаналоговый преобразователь (ЦАП) 4, второй 5, первый 6 элементы ИЛИ, блок 7 сравнения, формирователь 8 импульсов, элемент запрета 9, триггер 10, блок 11 умножения, вход 12 и выход 13 устройства.
Прямой выход триггера 10 подключен к управляющему входу элемента 9 запрета. Выход генератора 1 соединен с соответствующим входом элемента ИЛИ 6, к второму входу которого и к счетному входу триггера 10 подключен выход формирователя 8, вход которого соединен с выходом блока 7. Выход элемента ИЛИ 6 подключен через генератор 3 к входу ЦАП 4, выход генератора 1 также соединен с первым входом элемента ИЛИ 5, к второму выходу которого подключен выход формирователя 8, а выход элемента ИЛИ 5 соединен с входом запуска генератора 2, выход которого подключен к первому входу блока 7. Выход ЦАП 4 соединен со вторым входом блока 7, выход формирователя 8 подключен также к информационному входу элемента 9, выход которого является выходом 13 генератора. Вход 12 генератора соединен с входом блока 11, выход которого подключен к управляющему входу генератора 2.
Генератор для моделирования потока заявок работает следующим образом.
Триггер 10 находится в единичном состоянии. На входе 12 генератором устанавливается значение параметра моделируемого потока. В блоке 11 умножения происходит удвоение параметра потока. Задающий генератор 1 вырабатывает импульс, запускающий в работу устройство. Приходом импульса на выходе генератора 2 экспоненциального напряжения в соответствии с кодом, поступающим с выхода блока умножения 11, вырабатывается возрастающее по экспоненте напряжение. Одновременно импульс от задающего генератора 1 через элемент ИЛИ 6 поступает на вход генератора 3 равномерно распределенных случайных чисел. По приходу импульса генератор 3 равномерно распределенных случайных чисел вырабатывает код, в соответствии с которым находится величина напряжения на выходе ЦАП 4. Блок 7 вырабатывает сигнал при установлении на выходах генератора 2 и ЦАП 4 равных значений напряжений. Таким образом, в блоке 7 сравниваются текущие значения сигналов е2yi и рi. В момент выполнения соотношения

сигнал с выхода блока 7 формируется в виде импульса в формирователе 8.
Так как в моменты времени ti при i=1,3,5,7… элемент 9 закрыт, то моменты поступления заявок tj будут определяться моментами выполнения соотношения

Следовательно, поток заявок формируется из простейшего потока путем исключения одной заявки с сохранением каждой 2-й заявки, т.е. поток заявок описывается распределением Эрланга второго порядка. Формирователь 8 импульсов вырабатывает импульс, который поступает на счетный вход триггера 10, на информационный вход элемента 9 запрета и на первые входы элементов ИЛИ 5 и 6, по обратному фронту импульса триггер 10 изменяет свое состояние и открывает элемент 9 для прохождения следующего импульса. Импульс с выхода формирователя 8 через элемент ИЛИ 5 запускает генератор 2 экспоненциального напряжения и через элемент ИЛИ 6 генератор 3 равномерно распределенных случайных чисел.
Таким образом, на выходе 13 генератора для моделирования потока заявок в системах массового обслуживания через временные интервалы, распределенные по закону Эрланга второго порядка, вырабатываются импульсы, моделирующие поступление заявок.
Положительный результат от внедрения изобретения выражается в том, что предлагаемое устройство позволяет со значительно меньшими аппаратными затратами моделировать поток заявок, описываемый потоком Эрланга второго порядка.
Источники информации
1. Авт. свид. СССР №842766, кл. G 06 F 15/20, 1979.
2. Авт. свид. СССР №1117646, кл. G 06 F 15/20, 1984 (прототип).
Формула изобретения
Генератор моделирования потока заявок в системах массового обслуживания, содержащий задающий генератор, первый и второй элементы ИЛИ, генератор равномерно распределенных случайных чисел, цифроаналоговый преобразователь, блок сравнения, блок умножения, генератор экспоненциального напряжения, формирователь импульсов, элемент запрета и триггер, выход которого подключен к управляющему входу элемента запрета, выход задающего генератора подключен к первому входу первого элемента ИЛИ, к второму входу которого и счетному входу триггера подключен выход формирователя импульсов, вход которого соединен с выходом блока сравнения, выход первого элемента ИЛИ подключен к входу генератора равномерно распределенных случайных чисел, выход которого подключен к входу цифроаналогового преобразователя, отличающийся тем, что, с целью уменьшения аппаратных затрат при тех же функциональных возможностях устройства, выход задающего генератора дополнительно подключен к первому входу второго элемента ИЛИ, к второму входу которого подключен выход формирователя импульсов, выход второго элемента ИЛИ подключен к входу запуска генератора экспоненциального напряжения, выход которого соединен с первым входом блока сравнения, выход цифроаналогового преобразователя соединен со вторым входом блока сравнения, выход формирователя импульсов подключен также к информационному входу элемента запрета, выход которого является выходом устройства, вход устройства подключен к входу блока умножения, выход которого соединен с управляющим входом генератора экспоненциального напряжения.
РИСУНКИ
|
|