|
(21), (22) Заявка: 2004129261/28, 06.10.2004
(24) Дата начала отсчета срока действия патента:
06.10.2004
(45) Опубликовано: 10.03.2006
(56) Список документов, цитированных в отчете о поиске:
RU 2141108 C1, 10.11.1999. RU 2201780 C1, 10.04.2003. RU 2146819 C1, 20.03.2000. US 3966412 A, 29.06.1976.
Адрес для переписки:
105005, Москва, Бригадирский пер., 13, Военный университет радиационной, химической и биологической защиты
|
(72) Автор(ы):
Дружинин Андрей Александрович (RU), Волков Вячеслав Викторович (RU)
(73) Патентообладатель(и):
Военный университет радиационной, химической и биологической защиты (RU)
|
(54) СПОСОБ КОЛОРИМЕТРИЧЕСКОГО ОБНАРУЖЕНИЯ БЕТА-ХЛОРВИНИЛДИХЛОРАРСИНА В КАПЕЛЬНО-ЖИДКОМ СОСТОЯНИИ
(57) Реферат:
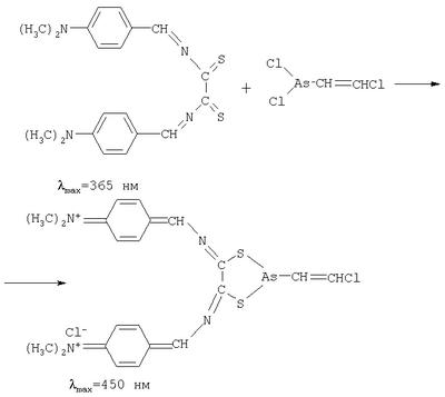
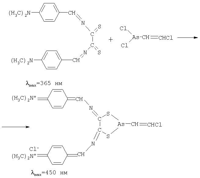
Изобретение относится к области аналитической химии. В качестве индикатора используют бис-(4-диметиламинобензанилид) рубеановодородной (тиощавелевой) кислоты. Предлагаемым индикатором в виде 1% раствора в диметилсульфоксиде пропитываются полоски фильтровальной бумаги и высушиваются на воздухе. Индикаторное средство, при контакте с капельно-жидким люизитом изменяет цвет от бледно-желтого ( max=365 нм) до красно-коричневого ( max=450 нм), устойчивого в течение многих часов. Технический результат – повышение специфичности обнаружения. 2 з.п. ф-лы, 1 ил. 
Изобретение относится к области аналитической химии элементорганических соединений и может быть использовано при решении аналитических задач, связанных с хранением, переливанием, транспортировкой и уничтожением -хлорвинилдихлорарсина (люизита). Кроме того, изобретение может быть использовано в интересах Министерства Обороны Российской Федерации как средство экспресс-обнаружения капельно-жидкого люизита на поверхностях объектов окружающей среды.
В целях экспресс-обнаружения люизита получило применение ограниченное число способов. В средствах химической разведки иностранных армий получил применение способ обнаружения люизита как в виде паров до концентрации 1·10-2 мг/л, так и в капельно-жидком состоянии на основе тиокетона Михлера (тетраметил-N,N,N’,N’-диаминотиобензофенона). При наличии паров или капельно-жидкого люизита исходный тиокетон Михлера желто-оранжевого цвета окрашивается в оливково-синий цвет [Franke S. u.a., Lehrbuch der Militarchemie, Bad 1 n 2, Berlin, 1967 г.]. Недостатком этого способа обнаружения люизита является неустойчивость тиокетона Михлера при хранении. Это соединение даже при действии кислорода воздуха постепенно окисляется в темно-синее соединение. Особенно быстро этот процесс осуществляется на свету.
Способом обнаружения люизита и средством на его основе, принятым на снабжение армии РФ, является способ, основанный на разрушении люизитом комплексного соединения кристаллвиолета с солями ртути и меди, нанесенного на фильтровальную бумагу [Руководство по работе в автомобильной радиометрической и химической лаборатории АЛ-4М, Москва, Военное издательство, 1988, 144 с.]. При контакте капельно-жидкого люизита или его паров с концентрацией С>0,05 мг/л и индикаторной бумаги, получившей название “Бумага К-7а”, ее исходный светло-фиолетовый цвет изменяется в месте контакта на зеленый. “Бумага К-7а” входит в комплектацию химических лабораторий типа полевой химической лаборатории (ПХЛ) и автолаборатории (АЛ) для экспресс-обнаружения капельно-жидкого люизита.
Недостатками индикаторной “Бумаги К-7а” являются неустойчивость колориметрического эффекта действия люизита (образовавшаяся зеленая окраска переходит в синюю через несколько минут), а также неудовлетворительная специфичность определения люизита, так как другие токсичные соединения вызывают аналогичный эффект.
В связи с тем, что предлагаемое изобретение и “Бумага К-7а” предназначены для экспресс-обнаружения люизита в капельно-жидком состоянии, способ определения люизита под названием индикаторная “Бумага К-7а” берется за прототип предлагаемого изобретения.
Технической задачей, на решение которой направлено предлагаемое изобретение, является: повышение специфичности обнаружения люизита, увеличение контрастности изменения цвета индикатора при контакте с капельно-жидким люизитом, большая сохранность аналитического эффекта во времени, а также достижение большей как фотоустойчивости, так и устойчивости индикатора при хранении.
Решение поставленной технической задачи достигается применением для обнаружения капельно-жидкого люизита нового индикатора – бис-(4-диметиламинобензанилида) – рубеановодородной (тиощавелевой) кислоты. Предлагаемым индикатором в виде 1% раствора в диметилсульфоксиде пропитываются полоски фильтровальной бумаги и высушиваются на воздухе. Приготовленное индикаторное средство хранится в закрытой емкости темного стекла, которое затем может быть использовано для специфичного, контрастного и высокочувствительного обнаружения люизита в капельно-жидком состоянии. Индикаторная бумага, пропитанная предлагаемым индикатором, при контакте с капельно-жидким люизитом изменяет цвет от бледно-желтого ( max=365 нм) до красно-коричневого ( max=450 нм), устойчивого в течение многих часов. Другие токсичные химикаты, кроме паров фосгена и дифосгена, в том числе такие, как иприты, не мешают обнаружению. Мешают определению сильные окислители (хлорамины, хлорная известь) и высокие концентрации солей тяжелых металлов (ртуть, кадмий, свинец, медь, серебро, таллий).
Аналитический эффект от воздействия люизита на предлагаемый индикатор сохраняется неопределенно долго:

Пример. Колориметрическое обнаружение -хлорвинилдихлорарсина в капельно-жидком состоянии.
1. Используемые реагенты и аппаратура:
-хлорвинилдихлорарсин – очищенный перегонкой в вакууме, Ткип. – 460 К;
бис-(4-диметиламинобензанилид) рубеановодородной кислоты получен нагреванием при температуре 363 К смеси рубеановодородной кислоты (хч, VEB, LA-BORCHEMIE, APOL DA) и 4-диметиламинобензальдегида (МРТУ 6-09-634-63 с доп. оч.) в молярном соотношении 1:2 в спирте в течение четырех часов. Выпавший оранжевый осадок отфильтровывался и перекристализовывался из спирта. Продукт при нагревании возгоняется при (463…468) К;
спирт этиловый ГОСТ 4197-74 ректификованный;
диметилсульфоксид ТУ 6-09-3818-77, хч;
бумага фильтровальная;
весы аналитические АДВ-200.
2. Изготовление индикаторного средства.
Для изготовления индикаторного средства обнаружения капельно-жидкого -хлорвинилдихлорарсина готовят 1% раствор бис-(4-диметиламинобензанилида) рубеановодородной кислоты в диметилсульфоксиде. В этот раствор погружают полоски фильтровальной бумаги стандартного размера длиной 6 см и шириной 1 см. Полоски выдерживают в растворе 1…2 минуты, вынимают и сушат на воздухе без облучения прямым солнечным или люминесцентным светом. Высушенные бумаги хранятся в закрытом флаконе темного стекла при комнатной температуре.
3. Обнаружение капельно-жидкого люизита.
Для обнаружения капельно-жидкого люизита приготовленная индикаторная полоска достается из флакона темного стекла и прикасается к капле (жидкости), подозреваемой на наличие люизита. В случае необходимости проверки поверхности объекта на наличие люизита индикаторная бумага плотно прижимается к анализируемой поверхности. При наличии капельно-жидкого люизита или при наличии люизита на исследуемой поверхности через 10…20 секунд в зависимости от количества люизита (>0,05 мг) индикаторная бумага изменяет цвет с бледно-желтого ( max>365 нм) до кирпично-красного ( max>450 нм). Индикаторную бумагу можно использовать для обнаружения люизита в воздухе при его содержании не ниже 5-10-2 мг/л. Окраска индикаторной бумаги также изменяется от светло-желтой до красно-коричневой за 1…2 минуты в зависимости от концентрации паров люизита.
При определении люизита после дегазации поверхностей необходимо удалить дегазаторы по стандартной методике обработкой тиосульфатом натрия.
Формула изобретения
1. Способ колориметрического обнаружения -хлорвинилдихлорарсина в капельно-жидком состоянии, включающий взаимодействие капельно-жидкого -хлорвинилдихлорарсина с индикатором, нанесенным на фильтровальную бумагу, сопровождающееся изменением цвета индикатора, отличающийся тем, что в качестве колориметрического индикатора обнаружения капельно-жидкого -хлорвинилдихлорарсина используют бис-(4-диметиламинобензанилид) рубеановодородной кислоты.
2. Способ по п.1, отличающийся тем, что специфичное обнаружение капельно-жидкого -хлорвинилдихлорарсина осуществляется по изменению цвета индикатора с max=365 нм до max=450 нм, нанесенного на фильтровальную бумагу в виде 1%-ного раствора в диметилсульфоксиде.
3. Способ по п.1, отличающийся тем, что индикационный эффект от действия капельно-жидкого -хлорвинилдихлорарсина в количестве не ниже 5-10-2 мг развивается в течение 10…20 с и сохраняется длительное время (несколько суток).
РИСУНКИ
MM4A – Досрочное прекращение действия патента СССР или патента Российской Федерации на изобретение из-за неуплаты в установленный срок пошлины за поддержание патента в силе
Дата прекращения действия патента: 07.10.2006
Извещение опубликовано: 20.06.2008 БИ: 17/2008
|