Патент на изобретение №2271364
|
||||||||||||||||||||||||||
(54) СПОСОБ ПОЛУЧЕНИЯ БЕТУЛИНОВОЙ КИСЛОТЫ ИЗ БЕТУЛОНОВОЙ КИСЛОТЫ
(57) Реферат:
Изобретение относится к улучшенному способу получения бетулиновой кислоты из бетулоновой кислоты и может быть использовано в производстве антиопухолевых и анти-ВИЧ лекарственных препаратов. Способ осуществляют восстановлением бетулоновой кислоты боргидридом натрия в воде. Способ упрощает и удешевляет процесс получения бетулиновой кислоты и повышает экологическую безопасность.
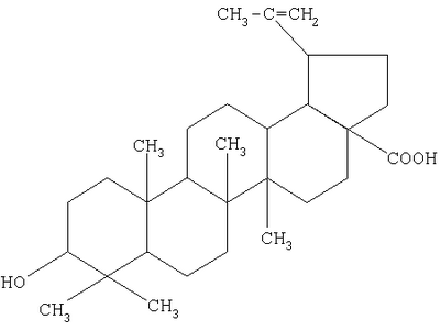
Изобретение относится к способам получения биологически активных веществ из продуктов химической переработки наружного слоя коры березы (бересты), а именно к способам получения бетулиновой кислоты из бетулоновой кислоты. Бетулиновая кислота (3
Недостатком данного способа является применение взрывопожароопасного тетрагидрофурана в качестве растворителя, увеличение затрат энергии, связанных с необходимостью охлаждать реакционную массу до 0°С в течение всего процесса восстановления, а также длительность самого процесса (12 часов). Известны способы восстановления бетулоновой кислоты в бетулиновую в пропаноле-2 или смешанных растворителях (этанол-диоксан или метанол-хлороформ) [Флехтер О.Б., Нигматуллина Л.Р., Балтина Л.А. и др. Химико-фармацевтический журнал Т.36, №9, С.26-28, 2002]. По данному способу бетулоновую кислоту восстанавливают боргидридом натрия в изопропаноле при температуре 0°С или 20°С в течение двух часов с выходом 92-95% (смесь 3 К недостаткам данного способа можно отнести применение пожароопасных и токсичных растворителей – изопропанола, диоксана, хлороформа. Наиболее близким по технической сущности и достигаемому результату является способ получения бетулиновой кислоты, в котором бетулоновую кислоту восстанавливают боргидридом натрия при комнатной температуре в спиртах C2-С4 в течение трех часов с последующим выделением целевого продукта перекристаллизацией [RU 2190622, 10.10.2002]. По данному способу выход бетулиновой кислоты в виде смеси 3 К недостаткам этого способа можно отнести применение пожароопасных и токсичных растворителей – спиртов С2-С4. Задачей изобретения является упрощение процесса, его удешевление, создание безопасного и экологически чистого способа получения бетулиновой кислоты. Поставленная задача решается тем, что в способе получения бетулиновой кислоты путем восстановления бетулоновой кислоты боргидридом натрия при комнатной температуре с последующим вьщелением целевого продукта перекристаллизацией, согласно изобретению, восстановление проводят в воде. Сопоставительный анализ с прототипом показывает, что отличительным от прототипа признаком является восстановление бетулоновой кислоты в воде, а не в спиртах C2-С4, что значительно упрощает и удешевляет процесс восстановления, делает его более экологичным и безопасным. Процесс осуществляют следующим образом. Навеску боргидрида натрия растворяют в воде при комнатной температуре, затем при перемешивании небольшими порциями в раствор вводят бетулоновую кислоту (соотношение бетулоновой кислоты и боргидрида натрия остается постоянным и равным 1:8). Перемешивание продолжают в течение 4-х часов. По окончании реакции избыток боргидрида натрия разлагают 10% раствором соляной кислоты. Осадок промывают водой, сушат. Бетулиновая кислота представляет смесь 3 Данные ПМР-спектроскопии для 3 Пример. Боргидрид натрия – 2,53 г (66,7 ммоль) растворяют в 40 мл воды (исходная концентрация боргидрида натрия 6%), затем небольшими порциями при перемешивании в раствор вводят 3,78 г (8,3 ммоля) бетулоновой кислоты. Перемешивание продолжают в течение 4-х часов при комнатной температуре. Избыток боргидрида натрия разлагают 83 мл 10% раствора соляной кислоты. Осадок бетулиновой кислоты отфильтровывают, промывают водой, сушат. Выделение биологически активного 3 Из данного примера видно, что в качестве растворителя можно с успехом использовать воду при восстановлении бетулоновой кислоты боргидридом натрия, так как восстановление протекает с количественным выходом (85,2). Таким образом, данное изобретение предлагает более простой и экологически безопасный способ получения бетулиновой кислоты из бетулоновой кислоты за счет использования в качестве растворителя воды вместо органических растворителей при восстановлении боргидридом натрия.
Формула изобретения
Способ получения бетулиновой кислоты из бетулоновой кислоты восстановлением боргидридом натрия при комнатной температуре с последующим выделением целевого продукта перекристаллизацией, отличающийся тем, что восстановление осуществляют в воде.
|
||||||||||||||||||||||||||

-гидрокси-20(29)-лупаен-28-овая)-природное биологически активное вещество, подавляющее рост раковых клеток, а также обладающее анти-ВИЧ активностью.
-изомера в соотношении 19:1.
), (м.д.) 4,79 (сингл. 1H, 29Н); 4,65 (сингл. 1H, 29Н); 3,22 (дубл. дубл. 1Н, 3Н 3