|
|
(21), (22) Заявка: 2003119460/14, 29.05.1999
(24) Дата начала отсчета срока действия патента:
29.05.1999
(30) Конвенционный приоритет:
08.06.1998 EP 98110433.4
(43) Дата публикации заявки: 20.12.2004
(45) Опубликовано: 10.03.2006
(56) Список документов, цитированных в отчете о поиске:
ЕР 0707855, 24.04.1996. ЕР 0593868, 27.04.1994. ЕР 0510356, 28.10.1992. WO 9523090, 18.05.1995. ШУЛУТКО Б.И. Болезни печени и почек. СПб.: Ренкор, 1995, с.76-78, 126-129.
(62) Номер и дата подачи первоначальной заявки, из которой данная заявка выделена: 2001101445 29.05.1999
Адрес для переписки:
101000, Москва, М.Златоустинский пер., 10, кв.15, “ЕВРОМАРКПАТ”, пат.пов. И.А.Веселицкой, рег. № 11
|
(72) Автор(ы):
ЗАМ Фридерик (DE)
(73) Патентообладатель(и):
Ф.ХОФФМАНН-ЛЯ РОШ АГ (CH)
|
(54) ПРИМЕНЕНИЕ ПЭГ-ИНТЕРФЕРОНА- (ПЭГ-IFN- ) И РИБАВИРИНА ДЛЯ ЛЕЧЕНИЯ ХРОНИЧЕСКОГО ГЕПАТИТА С
(57) Реферат:
Изобретение относится к медицине, в частности к гепатологии, и касается лечения хронического гепатита С. Для этого больному вводят пегелированный 2А-интерферон (конъюгат ПЭГ-IFN- 2А) в сочетании с рибавирином. Способ обеспечивает длительный клиренс вируса, что способствует наряду с активностью в отношении пролиферации клеток эффективному лечению заболевания. 2 н.п. ф-лы, 1 табл.
Настоящее изобретение относится к лечению заболеваний хроническим гепатитом С с использованием эффективного в отношении лечения гепатита С количества конъюгата ПЭГ-IFN- в сочетании с рибавирином.
Интерфероны (IFN) представляют собой встречающиеся в естественных условиях протеины, обладающие антивирусной, антипролиферативной и иммунорегуляторной активностью. Установлено, что в организме человека присутствует четыре различных класса интерферонов (Pestka и др., Ann. Rev. Biochem. 56, 727-777 (1987) и Emanuel и Pestka, J. Biol. Chem. 268, 12565-12569 (1993)). Семейство IFN- представляет собой преобладающий класс IFN, продуцируемых стимулированными лейкоцитами периферической крови (Pestka и др., в упомянутом месте; Havell и др., Proc. Natl. Acad. Sci. USA 72, 2185-2187 (1975); Cavalieri и др., Proc. Natl. Acad. Sci. USA 74, 3287-3291 (1977)) и лимфобластоидными и миелобластоидными линиями клеток (Familleti и др., Antimicrob. Agents. Chemother. 20, 5-9 (1981). Антивирусное действие IFN- достигается не только вследствие прямого воздействия на сами вирусы, но и благодаря действию на клетки-мишени, приводящему к защите от вирусной инфекции. Интерфероны могут оказывать действия на раковые опухоли и могут воздействовать на иммунную систему организма, что выражается, например, в том, что они активируют макрофаги и ЕК-клетки (естественные киллерные клетки) и интенсифицируют экспрессию различных важных с точки зрения иммунитета составляющих клеточной мембраны. Подробности, касающиеся получения кДНК интерферона и его непосредственной экспрессии, прежде всего в Е. coli, составляют предмет многочисленных публикаций. Так, например, получение рекомбинантных интерферонов описано в Nature 295, 503-508 (1982), Nature 284, 326-320 (1980), Nature 290, 20-26 (1981), Nucleic Acids Res. 8, 4057-4074 (1980), а также в ЕР 32134, ЕР 43134 и ЕР 211148.
Для лечения заболеваний хроническим гепатитом С была предложена совместная терапия с использованием IFN- и рибавирина (ЕР-А 707855), однако такое лечение не всегда оказывается эффективным.
Таким образом, совместная терапия с использованием конъюгатов ПЭГ-IFN- и рибавирина может оказаться более эффективной, чем совместная терапия с использованием IFN- и рибавирина.
Было установлено, что ПЭГилирование IFN- приводит к увеличению времени полужизни в кровотоке и времени нахождения в плазме, снижает иммуногенность, уменьшает клиренс и повышает активность in vivo.
Поэтому в настоящем изобретении предложено применение конъюгатов ПЭГ-IFN- в сочетании с рибавирином для приготовления лекарственных средств, предназначенных для лечения заболеваний хроническим гепатитом С. Кроме того, в настоящем изобретении предложен способ лечения заболеваний хроническим гепатитом С у пациентов, нуждающихся в таком лечении, предусматривающий введение эффективного в отношении лечения хронического гепатита С количества конъюгата ПЭГ-IFN- в сочетании с рибавирином.
Понятие “конъюгат ПЭГ-IFN- ” в контексте настоящего описания относится к IFN- , полученным из любого природного источника (например, из лейкоцитов, фибробластов, лимфоцитов) или продукта, являющегося его производным (например, из линий клеток), или к IFN- , полученным методом рекомбинантной ДНК. Подробности клонирования IFN- и непосредственной его экспрессии, прежде всего в Е. coli, описаны во многих публикациях. Получение рекомбинантных IFN- описано, например, у Goeddel и др., Nature 284, 316-320 (1980) и Nature 290, 20-26 (1981), в ЕР 32134, 43980 и 211148. Известны многочисленные типы IFN- , такие как IFN- I, IFN- 2; а также их подтипы, включающие IFN- 2A, IFN- 2B, IFN- 2C и IFN- II (также называемый IFN- II или -IFN- ), но не ограничены ими. Понятие “IFN- ” также включает консенсусный IFN- , поставляемый фирмой Amgen, или смеси природных и/или рекомбинантных IFN- . Предпочтительным является применение IFN- 2A. Производство IFN- 2A описано в ЕР 43980 и ЕР 211148.
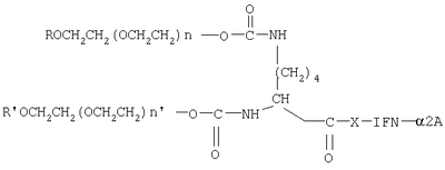
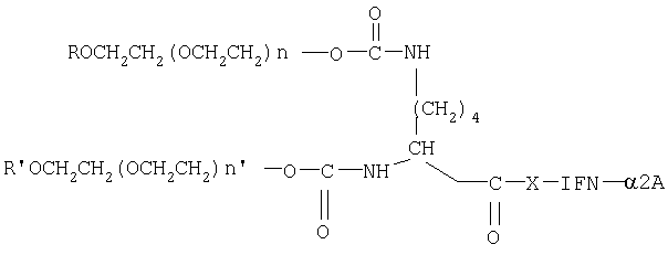
IFN- конъюгируют с полимером, таким как полиалкиленгликоль (замещенный или незамещенный), например, полиэтиленгликоль, получая конъюгат ПЭГ-IFN- . Конъюгация может быть осуществлена с помощью различных линкеров, известных в данной области, в частности с помощью таких линкеров, которые описаны в опубликованных заявках на европейский патент 0510356, 593868 и 809996. Молекулярная масса полимера, предпочтительно полиэтиленгликоля, может находиться в диапазоне от 300 до 70000 Да, при этом с IFN- может(гут) быть сконъюгированы один или несколько, предпочтительно один-три, полимер (а). Предпочтительный конъюгат ПЭГ-IFN- имеет формулу:

где R и R’ обозначают метил, Х обозначает NH, и n и n’ каждый по отдельности или оба равны 420 или 520.
Рибавирин, т.е. 1- -В-рибофуранозил-1Н-1,2,4-триазол-3-карбоксамид, описан в Merck Index, 11-е издание, как соединение №8199. Его производство и приготовление препаративной формы на его основе описаны в патенте US 4211771.
Согласно настоящему изобретению конъюгат ПЭГ-IFN- и рибавирин вводят пациенту, страдающему заболеванием хроническим гепатитом С, в количествах, которые в сумме (в объединенных количествах) являются эффективными для устранения или по крайней мере ослабления одного или нескольких признаков или симптомов хронического гепатита С, включающих повышенный уровень аланинаминотрансферазы (ALT), положительный тест на антитела к HCV (вирус гепатита С), присутствие HCV, подтверждающееся положительным тестом на присутствие РНК HCV, клинические стигмы хронической болезни печени и повреждения клеток печени.
Доза конъюгата ПЭГ-IFN- при осуществлении совместной терапии по настоящему изобретению составляет приблизительно от 33 до 540 мкг в неделю безотносительно к весу тела (эффективная доза) и вводится один или два раза в неделю.
Доза рибавирина при осуществлении лечения согласно настоящему изобретению составляет приблизительно от 400 до 1200 мг в день (эффективная доза) в течение по крайней мере пяти дней в неделю, предпочтительно в течение семи дней в неделю. Если предположить, что вес пациента составляет от 40 до 150 кг, то диапазон доз составляет от 10 до 30 мг/кг веса тела в день. В более предпочтительном варианте суточная доза рибавирина составляет 800-1200 мг. Эта суточная доза может вводиться один раз в день в виде однократной дозы или в виде разделенных доз дважды или трижды в день. Предпочтительным режимом суточных доз рибовирина является введение в виде разделенных доз дважды в день.
Согласно настоящему изобретению рибавирин вводят пациенту совместно с конъюгатом ПЭГ-IFN- , это означает, что дозу конъюгата ПЭГ-IFN- вводят в те же самые промежутки времени, в которые пациент получает дозы рибавирина, или в отличные от них промежутки времени. В одном из вариантов осуществления изобретения по крайней мере одна суточная доза рибавирина вводится в течение той же недели, когда вводится по крайней мере одна доза конъюгата ПЭГ-IFN- . В более предпочтительном варианте большую часть доз рибавирина вводят в течение той же недели, когда вводится одна или несколько доз конъюгата ПЭГ-IFN- . В другом предпочтительном варианте осуществления все или практически все дозы рибавирина вводят в течение той же недели, когда вводится одна или несколько доз конъюгата ПЭГ-IFN- . В настоящее время композиции, включающие конъюгат ПЭГ-IFN- , не являются эффективными при введении орально, поэтому предпочтительным способом введения конъюгата ПЭГ-IFN- является парентеральное введение, предпочтительно путем подкожной (s.c.) или внутримышечной (i.m.) инъекции. Рибавирин может вводиться орально в форме капсулы или таблетки совместно с парентеральным введением конъюгата ПЭГ-IFN- . Конечно, могут рассматриваться и другие пути введения обоих лекарственных средств, как только они будут разработаны, например, с помощью спрея для назального введения, трансдермального введения, введения с помощью суппозитория, с помощью дозирующих форм с непрерывным высвобождением и т.д. Любая форма введения должна работать в течение такого периода времени, чтобы соответствующие дозы могли быть доставлены без разрушения действующего вещества.
Эффективность лечения может быть определена в контролируемых клинических опытах по применению совместной терапии в сравнении с монотерапией и/или совместной терапией с использованием IFN- и рибавирина. Эффективность совместной терапии в отношении ослабления признаков и симптомов заболевания хроническим гепатитом С и частоты и серьезности побочных действий определяют путем сравнения с результатами предшествующей монотерапии с использованием IFN- и/или совместной терапии с использованием IFN- и рибавирина. Для оценки подходят три группы пациентов, страдающих заболеванием хроническим гепатитом С. Изучение может быть проведено на любой одной или всех трех группах пациентов:
1. Пациенты, ранее не подвергавшиеся лечению.
2. Пациенты, ранее подвергавшиеся лечению IFN- и/или рибавирином или любым другим лекарством, у которых впоследствии наступил рецидив болезни.
3. Пациенты, не восприимчивые к лечению IFN- и/или рибавирином или любым другим лекарством.
Эффективность совместной терапии определяют по степени, в которой ослабляются описанные ранее признаки и симптомы хронического гепатита.
Пример
Фаза III рандомизированного, проведенного в нескольких центрах, исследования эффективности и безопасности комбинации ПЭГилированный интерферон- 2А и рибавирин в сравнении с REBETRON при лечении пациентов, страдающих хроническим заболеванием HCV (СНС)
Основной целью данного исследования являлось сравнение эффективности и безопасности комбинации ПЭГ-IFN- 2А и рибаверина с эффективностью REBETRON [интрон А + ребетол (рибавирин, выпускаемый фирмой Schering/ICN)] при лечении СНС. Группам, состоящим из одинакового количества пациентов (330 пациентов), вводили на протяжении 48 недель либо комбинацию ПЭГ-IFN- 2А и рибаверина, либо REBETRON. Третьей группе пациентов (165 пациентов) вводили на протяжении 48 недель ПЭГ-IFN- 2А + плацебо. Результаты, полученные для групп, подвергавшихся монотерапевтическому лечению, использовались для сравнения безопасности и эффективности лечения с использованием комбинации, включающей ПЭГ-IFN- 2А.
Доза интрона А составляла 4 Mio в 0,5 мл раствора и ее вводили подкожно (s.c.) три раза в неделю (tiw) в течение 48 недель.
Доза ПЭГ-IFN- 2А составляла 180 мкг и ее вводили s.c. один раз в неделю в сочетании с рибавирином или плацебо в течение 48 недель.
Доза рибавирина и ребетола составляла 1000 или 1200 мг в день в зависимости от веса тела и она вводилась в виде разделенных доз. Пациентам, имеющим вес <75 кг (165 фунтов), вводили 1000 мг в день (400 мг утром и 600 мг вечером), в то время как пациентам, имеющим вес 75 кг, вводили 1200 мг в день (600 мг утром и 600 мг вечером).
Основными критериями эффективности являлись объединенные продолжительная вирологическая [т.е. количество РНК HCV, не обнаруживаемое с помощью AMPLICOR, – ПЦР-анализа (чувствительность 100 копий/мл)] и биохимическая (нормализация концентрации ALT в сыворотке) реакции после окончания следующего за лечением периода, когда обработки не производилось. Для того чтобы пациенты рассматривались как респондеры, они должны были иметь нормальную активность аланинаминотрансферазы (ALT) в сыворотке по истечении 68 и 72 недель и у них не должно быть обнаруживаемого количества вируса по истечении 72 недель с начала эксперимента.
Оценки безопасности проводили в течение периода отбора, в начале эксперимента, через 1, 2, 4, 6 и 8 недель, а затем каждые 4 недели в течение 48-недельного периода обработки. Оценку безопасности проводили в течение последующего 24-недельного периода. Критерии безопасности включали побочные действия, жизненно важные показатели и результаты лабораторных анализов, а также регистрацию случаев регулировки дозы и преждевременного отказа от лечения по требованиям безопасности или переносимости.
В группу пациентов входили страдающие СНС мужчины и женщины возрастом от 18 лет или выше, которые ранее не подвергались лечению какой-либо из форм IFN- 2A или рибавирином. В группу включали пациентов, у которых можно было количественно оценить уровень РНК HCV и которые имели постоянный аномальный уровень ALT и у которых результаты биопсии печени в течение 12 месяцев подтверждали наличие СНС. Пациенты с другими формами болезни печени – анемией, зараженные вирусом иммунодефицита человека (ВИЧ), с карциномой клеток печени, имевшие ранее серьезную депрессию или другие психические заболевания, болезнь сердца, болезнь почек, припадки или серьезную ретинопатию, исключались из участия в эксперименте.
В клинических испытаниях периоду лечения (48 недель) предшествовал период отбора до 35 дней (время от первого отбора пациентов до первого введения тестируемого лекарства). Пациентов, удовлетворявших всем критериям отбора, случайным образом распределяли на три группы с различным режимом лечения.
Пациенты во всех группах, у которых на 12-й неделе не была выявлена реакция на лечение [определяемая как снижение по сравнению с исходным уровнем их титра РНК HCV по крайней мере на одну (1) единицу десятичного логарифма или уменьшение по крайней мере на 50% (или нормализация) их уровня ALT в сыворотке по сравнению с исходным уровнем], рассматривались как нереспондеры и их лечение прекращалось. Лечение пациентов, которые на 12-й неделе удовлетворяли указанному критерию реакции, прекращалось после 24-й недели, если они не имели уровень РНК HCV, меньший порога обнаружения (<100 копий/мл), или нормальный уровень ALT. Пациентов, исключенных из группы лечения, обследовали только с точки зрения безопасности проведенного лечения. Всех пациентов, удовлетворявших указанным критериям на 12-й и 24-й неделе, лечили в течение 48 недель. Основным критерием эффективности являлась объединенная вирусная и биохимическая реакция (РНК HCV <100 копий/мл и нормализация ALT) после окончания следующего за лечением периода (24 недели), когда обработки не производились.
Известные в настоящее время коэффициенты продолжительной вирологической реакции при совместном лечении с использованием комбинации интрон А + ребетол и оценки коэффициентов продолжительной вирологической реакции при монотерапии в течение 48 недель с использованием ПЭГ-IFN- 2А (на основе данных, полученных на фазе II клинических испытаний) и комбинации ПЭГ-IFN- 2А + рибавирин, обобщены ниже в таблице:

Формула изобретения
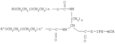
1. Применение конъюгатов ПЭГ-IFN- в сочетании с рибавирином для лечения хронического гепатита С, где конъюгат ПЭГ-IFN- представляет собой конъюгат ПЭГ-IFN- 2А формулы

где R и R’ обозначают метил, Х обозначает NH и n и n’ каждый по отдельности или оба равны 420 или 520.
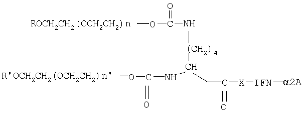
2. Способ лечения хронического гепатита С, предусматривающий введение конъюгата ПЭГ-IFN- в сочетании с рибавирином в количествах, эффективных для лечения хронического гепатита С, где вводимый конъюгат ПЭГ-IFN- представляет собой ПЭГ-IFN- 2А формулы

где R и R’ обозначают метил, Х обозначает NH и n и n’ каждый по отдельности или оба равны 420 или 520.
|
|