Патент на изобретение №2270708
|
|||||||||||||||||||||||||||||||||||||||||||||||||||||||||||||||||||||||||||||||||||||||||||||||||||||||||||||||||||||||||||||||||||||||||||||||||||||||||||||||||||||||||||||||||||||||||||||||||
(54) НАТРИЕВАЯ СОЛЬ СОПОЛИМЕРА КАРБОКСИМЕТИЛЦЕЛЛЮЛОЗЫ И ГОССИПОЛА, ФАРМАЦЕВТИЧЕСКАЯ КОМПОЗИЦИЯ И СПОСОБ ПРОФИЛАКТИКИ ИЛИ ЛЕЧЕНИЯ ВИРУСНЫХ ЗАБОЛЕВАНИЙ
(57) Реферат:
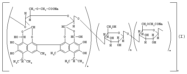
Изобретение относится к новому производному госипола – натриевой соли сополимера госсипола и карбоксиметилцеллюлозы. Натриевая соль сополимера госсипола и карбоксиметилцеллюлозы (формула I), где а: б: в = 1: (3-6): (5-7), М.м. 120000-130000, степень замещения 0,35-0,80. Фармацевтический препарат обладает противовирусной активностью, содержит натриевую соль сополимера госсипола и карбоксиметилцеллюлозы вышеуказанной формулы и фармацевтически приемлемый носитель или разбавитель. Способ лечения герпесной инфекции включает введение пациенту эффективного количества вышеуказанного фармацевтического препарата. Изобретение позволяет получить соединение, обладающее повышенной растворимостью и сниженной токсичностью. 3 н. и 2 з.п.ф-лы. 3 табл.
Изобретение относится к новому производному госсипола – натриевой соли сополимера госсипола и натрийкарбоксиметилцеллюлозы, фармацевтической композиции на его основе и к способу профилактики или лечения вирусных заболеваний, например гриппа, ОРВИ, герпеса, с помощью указанного препарата. Известно, что низкомолекулярный полифенол – госсипол – стимулирует синтез интерферона в организме животных и обладает противовирусной активностью [АС СССР 721103, А 61 К 45/02, 1974]. Сам госсипол имеет следующие недостатки – плохая растворимость в воде, высокая токсичность и сравнительно низкая противовирусная активность и, как следствие, невысокий химико-терапевтический индекс (ХТИ). Поэтому исследования специалистов были направлены на разработку новых производных госсипола, сохраняющих его полезные свойства индуктора интерферона и лишенные недостатков, присущих самому госсиполу. На основе госсипола и его производных были созданы и внедрены в практику различные препараты противовирусного (линимент госсипола), антигерпетического (мазь мегосина), иммуносупрессивного (таблетки батридена), антихламидийного (таблетки гозалидона) и интеферониндуцирующего действия. Однако в фармацевтической практике все еще остается потребность в разработке препаратов на основе госсипола, которые при сохранении и усилении полезных свойств госсипола были бы удобны в применении для различных терапевтических и профилактических целей. Целью изобретения является расширение арсенала исходного сырья, используемого в качестве матрицы для связывания госсипола, повышение растворимости и снижение токсичности. Наиболее близким к предлагаемому производному госсипола является натриевая соль сополимера карбоксиметилцеллюлозы со степенью замещения 0,5 и госсипола, обладающая противовирусным действием [RU 2002755 C1, 15.11.1993]. Однако и у этого производного следует отметить относительно слабую растворимость в воде, при его получении используют карбоксиметилцеллюлозу только со степенью замещения 0,5. Заявители обнаружили, что, используя специально подобранное соотношение неактивных и активных ингредиентов на основе карбоксиметилцеллюлозы как с низкой степенью замещения, так и с высокой степенью замещения, можно получать хорошо растворимый в воде нетоксичный препарат на основе госсипола. Таким образом, было получено новое производное госсипола, обладающее улучшенными свойствами, расширяющее ассортимент препаратов на основе госсипола, а именно: натриевая соль сополимера (1 [(C38H39NaO15)а(C6H10O5)б[(C8H11NaO7)в], М.м. 120000-130000, где а: б: в = 1: (3-6): (5-7), n может принимать значения приблизительно от 35 до 53. Предложена также фармацевтическая композиция на основе указанного выше соединения, обладающая противоифекционными свойствами, а также способ профилактики или лечения вирусных заболеваний, например гриппа, респираторно-вирусных заболеваний, герпеса. Указанная фармацевтическая композиция содержит эффективное для профилактики или лечения количество соединения формулы (I) и фармацевтически приемлемый носитель или разбавитель. Фармацевтическая композиция может быть представлена в различном виде в зависимости от выбранного способа ее использования – таблетки, мази, растворы. Количество активного компонента в фармацевтической композиции может варьировать в широком пределе в зависимости от факторов, широко известных специалистам в области фармации. В качестве фармацевтически приемлемого носителя или разбавителя можно указать обычно используемые для вышеуказанных лекарственных форм наполнители. Например, в таблетках в качестве наполнителя могут использоваться крахмал, например, картофельный, стеарат кальция или магния, сахар молочный и т.п. Примером препарата в виде таблеток могут быть таблетки следующего состава, мас.%:
Более конкретно, таблетка может иметь следующий состав, мас.%:
Предложен также способ лечения инфекционных заболеваний, таких как грипп, ОРВИ, герпес, вышеуказанным препаратом на основе госсипола. Продолжительность лечения гриппа и ОРВИ составляет 4 дня и более. Предпочтительно назначают в первые два дня по 2 таблетки 3 раза в день, в последующие дни по одной таблетке 3 раза в день. То есть курс 18 таблеток на 4 дня. Продолжительность лечения герпеса составляет 5 дней и более. Как правило, предпочтительно, назначают по 2 таблетки 3 раза в день в течение 5 дней, то есть на курс 30 таблеток. Обычно для лечения гриппа и респираторно-вирусных заболеваний назначают в первые два дня по 2 таблетки 3 раза в день, в последующие дни по одной таблетке 3 раза в день. Всего на курс 18 таблеток, длительность курса 4 дня. Как правило, для лечения герпеса назначают по 2 таблетки 3 раза в день в течение 5 дней. Всего на курс 30 таблеток, длительность курса 5 дней. Профилактика респираторно-вирусных заболеваний может проводиться 7-дневными циклами: два дня по 2 таблетки 1 раз в день, 5 дней перерыв, затем цикл повторить. Длительность профилактического курса от одной недели до нескольких месяцев. Далее представлены примеры получения и исследования биологической активности заявленного производного целлюлозы и госсипола, а также примеры фармацевтических композиций и способов лечения. ЭКСПЕРИМЕНТАЛЬНАЯ ЧАСТЬ Примеры получения 1-9 Методика: В колбу, снабженную механической мешалкой, вносят 10 г натрийкарбоксиметилцеллюлозы со степенью замещения 0,35-0,80 и 100 мл смеси: 1-6% водный раствор йодной кислоты и изопропиловый спирт, взятые в массовом соотношении 1:1. Смесь перемешивают в течение 2 часов при температуре 26±1°С. По окончании перемешивания смесь отфильтровывают, промывают смесью органический полярный растворитель:Н2O (массовое соотношение 6:4), подкисленной соляной кислотой до рН 2,0-3,0. В промытый продукт, представляющий собой диальдегид карбоксиметилцеллюлозы, добавляют госсипол (или госсиполуксусную кислоту) в количестве 10-20 мас.% в расчете на натрийкарбоксиметилцеллюлозу и инкубируют при 18-20°С, интенсивно перемешивая до получения одноцветной массы, а затем постепенно, в течение 30 минут, добавляют 15% водный раствор едкого натра до растворения полученной массы, которую быстро осаждают 100 мл органического растворителя. Осажденный продукт фильтруют, промывают вышеуказанным растворителем и сушат при температуре 55 ± 5°С. Выход определяют в расчете на исходную натрийкарбоксиметилцеллюлозу. Конкретные показатели, относящиеся к примерам получения, представлены в следующей таблице 1. Таблица 1
Биологические исследования I. Исследование противоинфекционной активности. 1. Противовирусная активность 1.1 Противовирусная активность в отношении вируса гриппа Активность заявленного средства была изучена на модели экспериментальной инфекции, воспроизводимой посредством заражения белых мышей вирусом гриппа (штаммы A/Aichi/68/Н3N2 и R-94) (1). Препарат вводили по профилактической (за 24 и 4 часа до заражения) и лечебной (через 4 и 24 часа после заражения) схемам. Пример исследования 1 В эксперименте использовали 80 мышей линии СВА. На каждую точку заражения брали 20 мышей. Заражение мышей осуществляли вирусом гриппа штаммом A/Aichi/68/Н3N2. Препарат вводили в дозе 10 мг/кг за 24 и 4 часа до заражения мышей и через 4 и 24 часа после заражения. Определяли процент выживаемости и средней продолжительности жизни по сравнению с контролем. При введении препарата за 4 часа до заражения мышей из группы в 20 мышей выжило 7 мышей, что составило 35%, средняя продолжительность жизни у данной группы – 8,9 дня. При введении препарата за 24 часа до заражения мышей из группы выжило 10 мышей, т.е. 50%. Средняя продолжительность жизни составила 9,4 дня. При введении препарата через 4 часа после заражения выжило 35% животных, при этом средняя продолжительность жизни составила 7,5 дня. При введении препарата через 24 часа после заражения из 20 животных выжило 9 мышей, т.е. 45%, а продолжительность жизни составила 8,4 дня. Критерием эффективности действия препарата служили выживаемость и средняя продолжительность жизни мышей по сравнению с контролем. Полученные результаты представлены в таблице 2.
В другой серии исследований обнаружено, что при экспериментальной гриппозной инфекции штаммом R-94 наилучший защитный эффект (75%) наблюдался при пероральном введении по лечебной схеме (через 4 и 24 часа после заражения) в дозе, равной 20 мг/кг веса. Следует отметить, что уровень защиты животных коррелировал с увеличением средней продолжительности жизни. Таким образом, описываемый препарат обладает выраженной противовирусной активностью. Особенностью действия препарата является низкая токсичность и эффективность при лечебном введении. Исследования острой токсичности показали, что препарат в дозах выше 2000 мг/кг вызывает у мышей некоторое возбуждение, однако ни в одном случае гибели животных не наблюдалось. Таким образом, препарат относится к V классу практически не токсичных веществ. Пример лекарственной формы 1. Таблетки. Таблетки получали обычным способом, а именно: путем смешивания ингредиентов и таблетирования на таблетирующей машине. Качественный и количественный состав таблетки приведены далее в таблице 3. Таблица 3
При проверке растворимости установлено, что при растворении таблетки в 500 мл воды при 100 оборотах мешалки в минуту в раствор за 45 мин переходит 100% активного вещества. Профилактика инфекционных заболеваний Исследования проводили в период сезонного подъема респираторно-вирусных заболеваний. В исследованиях принимали участие две группы добровольцев, получавших соответственно заявленный препарат и плацебо в течение 4-х недель. Парные сыворотки крови исследовались с помощью иммуноферментного анализа для определения IgG к вирусам гриппа А, В и к некоторым другим респираторным вирусам (адено, РС, ПГ-1). Как в основной, так и в контрольной группах одновременно циркулировали все включенные в исследования возбудители. У заболевших в течение 30 дней после приема препарата лихорадка длилась в среднем 1,8 дней, тогда как у заболевших из контрольной группы она продолжалась в среднем 2,7 дня, при этом частота заболеваний у принимавших препарат в 2,5 раза меньше по сравнению с контрольной группой (р < 0,05). При этом у больных респираторно-вирусными заболеваниями, принимавших препарат в профилактических целях, в 2 раза реже возникали осложнения. Лечение инфекционных заболеваний Грипп Как показали исследования, при раннем (до 48 часов после начала болезни) применении заявленный препарат оказывает четкий терапевтический эффект при неосложненном гриппе, вызванном вирусами А(Н1N1), А(Н3N2) и В: нормализация температуры в первые 24-36 часов от начала лечения имела место у 70% пациентов, получавших препарат, тогда как этот показатель был 25% у получавших плацебо (р < 0,01). Исчезновение симптомов токсикоза в эти же сроки отмечали у 63,2 и 20,0% соответственно. Герпес Обследованию подвергали пациентов с тяжелым течением генитальной формы хронической герпес-вирусной инфекции с частотой рецидивов в среднем 12 раз в год, у которых отсутствовала корреляция между частотой, длительностью и тяжестью рецидивов, что подтверждает строго индивидуальный характер течения заболевания. Заявленный препарат назначали по 0,024 г внутрь 3 раза в день с момента начала рецидива генитальной формы хронической герпес-вирусной инфекции в течение 5-ти дней (лучше начать в первые 48 часов от начала рецидива). В результате лечения наблюдалось достоверное уменьшение частоты (p < 0,01), длительности (p < 0,01) и тяжести (p < 0,01) рецидивов в течение 6-и месяцев после лечения. Источники информации 1. АС СССР 72/103, А 61 К45/02, 1974. 2. Патент RU 2002755, С 08 В 15/00, 15.11.93.
Формула изобретения
1. Натриевая соль сополимера госсипола и карбоксиметилцеллюлозы формулы (I): [(C38H39NaO15)a(C6H10O5)б[(C8H11NaO7)в], М.м. 120000-130000 где а:б:в=1:(3-6):(5-7), со степенью замещения 0,35-0,80. 2. Фармацевтический препарат, обладающий противовирусной активностью, содержащий натриевую соль сополимера госсипола и карбоксиметилцеллюлозы формулы по п.1 и фармацевтически приемлемый носитель или разбавитель. 3. Фармацевтический препарат по п.2 следующего состава, мас.%:
4. Фармацевтический препарат по п.3, где крахмал является картофельным крахмалом. 5. Способ лечения герпесной инфекции, включающий введение пациенту эффективного количества фармацевтического препарата по п.2.
|
|||||||||||||||||||||||||||||||||||||||||||||||||||||||||||||||||||||||||||||||||||||||||||||||||||||||||||||||||||||||||||||||||||||||||||||||||||||||||||||||||||||||||||||||||||||||||||||||||


4)-6-O-карбоксиметил-
-D-глюкозы, (1