Патент на изобретение №2270665
|
||||||||||||||||||||||||||||||||||||||||||||||||||||||||||||||||||||||||||||||||||||||||||||||||||||||||||||||||||||||||||||||||||||||||||||||||||||||||||||||||||||||||||||||||||||||||||||||||||||||||||||||||||||||||||||||||||||||||||||||||||||
(54) ОБРАТНАЯ ЭМУЛЬСИЯ, СОДЕРЖАЩАЯ ДЕГИДРОЭПИАНДРОСТЕРОН
(57) Реферат:
Изобретение относится к композиции, предназначенной для активизации липогенеза эпидермиса, содержащая дегидроэпиандростерон (DHEA) и/или его предшественники или химические и/или биологические производные, где композиция представляет собой эмульсию типа “гидрофильная фаза, диспергированная в липофильной фазе”, содержащую гликолевую или гидрогликолевую дисперсную гидрофильную фазу, непрерывную липофильную фазу и эмульгатор с ГЛБ от 2 до 7, причем дегидроэпиандростерон (DHEA) и/или его предшественники или химические и/или биологические производные солюбилизированы в гликолевой или гидрогликолевой дисперсной гидрофильной фазе, а также к ее применениям. Технический результат: изобретение позволяет получить средство, облегчающее размножение или метаболизм клеток, в особенности живых клеток эпидермиса, для предупреждения или борьбы против атрофии эпидермиса и, таким образом, придания коже молодого вида. 9 н. и 17 з.п. ф-лы, 3 табл.
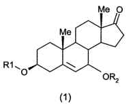
Изобретение относится к новой композиции типа обратной эмульсии, содержащей дегидроэпиандростерон (DHEA) и/или его предшественники или химические и/или биологические производные, и ее применениям в косметике и дерматологии. Человеческая кожа образована двумя отделами, а именно внутренним отделом, дермой, и наружным отделом, эпидермисом. Дерма служит эпидермису твердой основой. Это также его питательный элемент. Она образована главным образом фибробластами и внеклеточным матриксом, который сам образован главным образом коллагеном, эластином и веществом, так называемым основным веществом. В нем находятся также лейкоциты, мастоциты, а также тканевые макрофаги. Она содержит также кровеносные сосуды и нервные волокна. Эпидермис находится в контакте с внешней окружающей средой. Его роль заключается в защите организма от обезвоживания и внешних агрессий, которые могут быть химическими, механическими, физическими или инфекционными. Естественный человеческий эпидермис образован главным образом тремя типами клеток, представляющими собой составляющие очень большую долю кератиноциты, меланоциты и клетки Лангерганса. Каждый из этих типов клеток за счет присущих ему функций вносит свой вклад в основную роль, выполняемую в организме кожей. Образующие эпидермис клетки ограничены липидной областью. Эпидермические липиды синтезируются главным образом в живом эпидермисе. Они по существу образованы фосфолипидами, сфинголипидами, холестерином, свободными жирными кислотами, сложными эфирами холестерина и алканами. В процессе клеточной дифференцировки фосфолипиды, роль которых заключается в формировании жидкой структуры клеточных мембран живых слоев эпидермиса, постепенно заменяются смесью, образованной большей частью жирными кислотами, холестерином и сфинголипидами, основными компонентами рогового слоя эпидермиса (stratum corneum). Липиды цементирующего межкорнеоцитарного вещества кожи и, в частности, керамиды образованы из пластинчатых или листообразных бислоев и способствуют когезии рогового слоя эпидермиса с целью поддержания целостности барьера и, в частности, его защитной, противопенетрационной и направленной против раздражения роли. Понятно, что активация метаболизма на уровне живых клеток эпидермиса или увеличение клеточной пролиферации на уровне живых слоев выражается в повышении в содержания в эпидермисе фосфолипидов (сфингомиелин-I-фосфатидилинозитола или мембранных фосфолипидов, соответственно) и в результате приводит к увеличению размера или числа живых клеток, то есть к утолщению эпидермиса. Эта физиологическая активация позволяет, таким образом, предохранять или бороться против симптомов хронологического или актинического старения, а также против некоторых кожных патологий. В самом деле, известно, что в процессе хронобиологического старения, в частности при менопаузе, наблюдают атрофию эпидермиса, являющуюся результатом общего замедления клеточного метаболизма и которая является отчасти ответственной за появление морщин и морщинок. Атрофию эпидермиса также идентифицируют как один из гистологических симптомов фотостарения (B.A. Glinchrest, Skin and Aging Processes, 1989, CRG Press). Эти процессы также протекают на уровне других слизистых оболочек, в частности во время атрофии вульвы или вагины. Следовательно, понятна заинтересованность в средстве, облегчающем размножение или метаболизм клеток, в особенности живых клеток эпидермиса, для предупреждения или борьбы против атрофии эпидермиса и, таким образом, придания коже молодого вида. DHEA, или дегидроэпиандростерон, также известный как 3-бета-гидроксиандростерон-5-ен-17-он или дегидроизоандростерон или транс-дегидроандростерон или прастерон, является природным стероидом, продуцируемым главным образом корковым веществом надпочечников. Экзогенный DHEA, вводимый локальным или пероральным путем, известен своей способностью содействовать кератинизации эпидермиса (патент Японии 07196467) и лечить сухие кожи путем повышения эндогенной продукции и секреции кожного сала и усиления, таким образом, барьерного эффекта кожи (патент США 4496556). Также в патенте США 5843932 уже описано использование DHEA для избежания атрофии дермы путем ингибирования потерь коллагена и соединительной ткани. Наконец, заявитель выявил способность DHEA к борьбе против пергаментного вида кожи (патент Франции 2803513), к модуляции пигментации кожи и волос (Европейский патент 1092443) и к борьбе против атрофии эпидермиса. Эти свойства DHEA делают его лучшим “кандидатом” в качестве активного вещества против старения. Однако DHEA обладает тем недостатком, что очень незначительно растворим в обычно используемых косметических или фармацевтических растворителях, таких как вода, полярные или аполярные масла. На деле известно, что DHEA с трудом поддается солюбилизации в водных средах, что ограничивает его использование в косметических или дерматологических композициях, вводимых локальным или оральным путем. Он обладает также тенденцией к рекристаллизации. В самом деле, DHEA имеет несколько полиморфных форм, тип и распределение которых могут быть плохо контролируемыми, так как зависимы от условий окружающей среды и способа получения действующего начала (Chang и др., J. Pharm. Sci., 84, 1169-1179 (1995)). Существует от трех до пяти полиморфных безводных форм и по меньшей мере три гидратированные формы. Эти полиморфные формы могут быть различимы только аналитическими методами, такими как дифракция рентгеновских лучей, инфракрасная спектроскопия и дифференциальная сканирующая калориметрия (DSC) (WO-00/54763). В зависимости от источника обеспечения DHEA может быть изменяемое полиморфное распределение исходного материала, что потенциально может иметь следствием значительные изменения терапевтической биодоступности и эффективности. Из этого следует потеря эффективности и переменчивость в том, что касается наличия в этих композициях более или менее значительной дозы DHEA, в зависимости от степени рекристаллизации, что препятствует искомой цели. Кроме того, эта рекристаллизация может модифицировать общую стабильность этих композиций, а также их внешний вид, что может заставить пользователя отказаться от них. Кроме того, достижение стабильности отдельной дисперсии может оказаться трудным в осуществлении. В таблице I представлены различные примеры, показывающие незначительную растворимость DHEA в липофильной фазе:
Эти максимальные растворимости DHEA определяли после перемешивания с помощью магнитной мешалки в течение 12 часов при комнатной температуре с избытком действующего начала в анализируемом эксципиенте. Суспензию затем фильтровали (1,2 мкл), после чего фильтрат анализировали с помощью высокоэффективной жидкостной хроматографии (ВЭЖХ). Выше измеренной концентрации при комнатной температуре происходит рекристаллизация DHEA. Несмотря на это, самой обычной, используемой на сегодняшний день галеновой формой является эмульсия масло-в-воде, в которой DHEA включен в липофильную фазу. Однако этот раствор остается мало удовлетворительным, так как для соответствия цели активной концентрации, обладающей терапевтической эффективностью, которую можно определить, нужны очень высокие концентрации в масляных растворителях, приводящие к продуктам без всякого сомнения малоприятным для применения при, все равно, ограниченной концентрации DHEA. Получение обратной эмульсии (под обратной эмульсией понимают эмульсию типа: гидрофильная фаза, диспергированная в липофильной фазе) в качестве альтернативы не являлось очевидным для специалиста, учитывая известные затруднения в отношении растворимости DHEA в воде. Использование других гидрофильных солюбилизаторов, таких как пропиленгликоль, также не было само собой разумеющимся для специалиста, учитывая, что требующиеся высокие концентрации неблагоприятны для хорошей стабильности и приемлемого косметического качества на ощупь. Достижение хорошей толерантности при использовании солюбилизаторов, таких как пропиленгликоль, также не было очевидным, так как у человека обнаружены явления кожной нетолерантности, например у здорового человека (Motoyochi и др., Cosmet and toiletries, 99, 83-89 (1984)), когда пропиленгликоль оказывался раздражающим в высоких концентрациях, но только при окклюзии. Наконец, в уровне техники упоминается использование композиции типа вода-в-масле. Так, в патенте Франции 2777194 описывается косметическая или дерматологическая композиция типа вода-в-масле, содержащая 10-50% разветвленного насыщенного жидкого (С20-С40)-углеводорода или смеси таких углеводородов, 1-47% природного фосфолипида или смеси природных фосфолипидов и 50-80% воды. Однако даже если DHEA указывается вообще в широком перечне активных соединений, никаких конкретных данных не приводится. Кроме отсутствия реального осуществления в этом уровне техники, специалист не склонен следовать этому пути получения композиции, учитывая высокий процент воды, указанный в патенте Франции 2777194 (50-80%) и незначительную растворимость DHEA в воде (максимальная растворимость 0,02 мг/мл), в которой DHEA очень быстро осаждается. Кроме того, содержание этого уровня техники направлено главным образом на применение фосфолипидов, а не на получение композиций, используемых для сложных производных, таких как DHEA и/или его предшественники или химические и/или биологические производные. Однако фосфолипиды обладают ограниченной химической стабильностью по отношению к явлениям окисления, что не вызывает у специалиста желания использовать этот документ в его поисках стабильных композиций на основе DHEA или аналогов. Следовательно, существует потребность в композиции, которая может соответствовать одному или нескольким из следующих аспектов: иметь хорошую стабильность по отношению к холоду и к теплу, в частности, в том, что касается сохранения размера глобул и отсутствия фазового сдвига; иметь хорошую резистентность по отношению к явлениям окисления; допускать хорошую стабильность и биодоступность DHEA и/или его предшественников или химических и/или биологических производных; обладать хорошей кожной толерантностью. Также полезно, чтобы композиция, допускала высокую объемную диспергированную часть. Кроме того, желательно, чтобы для получения таких композиций можно было использовать недорогостоящий в осуществлении способ получения. Итак, заявитель неожиданно получил композицию типа гликоль-в-масле, которая позволяет преодолеть различные проблемы, связанные с вышеуказанными аспектами, позволяя, в частности, иметь хорошую стабильность композиции как таковой, однако, также допускать хорошую стабильность и биодоступность DHEA и/или его предшественников или химических и/или биологических производных, которые она содержит. Композиция согласно изобретению обладает также тем преимуществом, что имеет хорошую кожную толерантность и допускает высокую объемную диспергированную часть. В частности, обнаружено, что можно использовать хорошую растворимость DHEA в высоких количествах в гидрофильных гликолях (обнаружено заявителем) для получения стабильной композиции без явления рекристаллизации действующего начала. Таким образом, изобретение относится к композиции, содержащей DHEA и/или его предшественники или химические и/или биологические производные, отличающейся тем, что композиция представляет собой обратную эмульсию, содержащую дисперсную гликолевую или гидрогликолевую гидрофильную фазу, непрерывную липофильную фазу и эмульгатор с ГЛБ, составляющим от 2 до 7. Под термином ГЛБ понимают гидрофильно/липофильное соотношение или “гидрофильно/липофильный баланс (ГЛБ)”, которое (который) соответствует равновесию между размером и силой гидрофильной группы и размером и силой липофильной группы эмульгатора. Изобретение позволяет также преодолеть поблемы, возникающие вследствие полиморфизма DHEA, и также достигать хорошей биодоступности действующего начала в коже, причем DHEA используют в солюбилизированной форме. Под солюбилизированной формой понимают дисперсию в молекулярном состоянии в жидкости, причем не заметно никакой кристаллизации действующего начала ни невооруженным глазом, ни даже под оптическим микроскопом при перекрестной поляризации. Композиция на основе DHEA и/или его предшественников или химических и/или биологических производных, солюбилизированных в гликолевой или гидрогликолевой фазе, в виде обратной эмульсии, таким образом, неожиданно позволяет преодолеть проблемы рекристаллизации за счет старения (Kabalnov и др., J. Colloid and Interface Science, 118, 590-597 (1987)) этой последней. Настоящее изобретение, таким образом, относится к получению обратных эмульсий, содержащих гликолевую или гидрогликолевую гидрофильную фазу, полностью стабильных (размер глобул и величина вязкости), даже при высокой объемной дисперсной части, не обладающие никакой значительной рекристаллизацией DHEA и/или его предшественников или химических и/или биологических производных. Под предшественниками DHEA понимают его непосредственные биологические предшественники или субстраты, а также его химические предшественники. Примерами биологических предшественников являются Под производными DHEA также понимают как его метаболические производные, так и его химические производные. В качестве метаболических производных можно назвать, в частности, 7 В качестве химических производных можно также назвать сложные эфиры, такие как эфиры гидроксикарбоновых кислот и DHEA, описанные в патенте США 5736537, или другие сложные эфиры, такие как салицилат, ацетат, валерат и энантат DHEA. Другие химические производные DHEA, пригодные для осуществления настоящего изобретения, представляют собой производные формулы (1): в которой: R1 и R2, независимо, выбирают из: – насыщенной или ненасыщенной, линейной, разветвленной или циклической (С1-С12)-алкильной группы, которая может содержать, в случае необходимости, один или несколько гетероатомов и которая незамещена или замещена одной или несколькими группами, выбираемыми из -OR’ и/или -SR’, и/или -COOR’, и/или -NR’R’, и/или галогена, и/или сульфата, и/или фосфата, и/или арила, и/или гетероцикла, причем вышеуказанный гетероцикл может быть преимущественно выбран из индола, пиримидина, пиперидина, морфолина, пирана, фурана, пиперазина и пиридина; – алкилкарбонильной группы, (С1-С24)-алкильная часть которой является насыщенной или ненасыщенной, линейной, разветвленной или циклической и незамещенной или замещенной одной или несколькими группами, выбираемыми из -OR’ и/или -SR’, и/или -COOR’, и/или -NR’R’, и/или галогена, и/или сульфата, и/или фосфата, и/или арила, и/или гетероцикла, причем вышеуказанный гетероцикл может быть преимущественно выбран из индола, пиримидина, пиперидина, морфолина, пирана, фурана, пиперазина, пиридина; – арилкарбонильной группы, предпочтительно фенилкарбонила, или арилалкилкарбонильной группы, предпочтительно бензилкарбонила, незамещенной или замещенной одной или несколькими группами -OR’ и/или -SR’, и/или -COOR’, и/или -NR’R’, и/или галогена, и/или арила, и/или гетероцикла; – группы О=Р(ОН)OR’; – группы (O)2SOR’; – триалкилсилильной группы (SiR’3), в которой 3 группы R’ могут быть одинаковыми или разными; – карбонилоксиалкильной группы (R’OCO); – карбониламиноалкильной группы (R’NHCO); в которых R’ выбирают из атома водорода; (С1-С12)-алкильной группы, предпочтительно (С1-С6)-алкильной группы, насыщенной или ненасыщенной, линейной, разветвленной или циклической, которая может в случае необходимости содержать один или несколько гетероатомов, возможно функционализированной одной или несколькими группами -OR”, -COOR”, галогена, -NR”R”, или арильной группой, предпочтительно фенилом, возможно функционализированным одной или несколькими группами -OR”, -COOR”, атомами галогена или группами -NR”R”; причем R” означает атом водорода, насыщенную или ненасыщенную, линейную, разветвленную или циклическую алкильную цепь, предпочтительно с 1-6 атомами углерода; при условии, что в каждой из групп -NR’R’ и -NR”R” заместители R’, соответственно R” являются одинаковыми или разными. Из производных формулы (1) можно назвать, в частности, сложные диэфиры 7-ОН-DHEA и более предпочтительно 3-О-ацетил-7-бензоилоксидегидроэпиандростерон, который, в частности, выпускается фирмой GATTEFOSSE под торговым названием DHEA-3-ацетокси-7-бензоат. Композиция согласно изобретению предпочтительно приспособлена для локального нанесения на кожу, защитные покровы кожи и/или слизистые оболочки. Она обычно включает физиологически приемлемую среду и количество соединения на основе DHEA, достаточное для достижения искомого эффекта. Массовая доля DHEA и/или его предшественников или химических и/или биологических производных по отношению к общей массе композиции, таким образом, может составлять от 0,001% до 20% (мас./мас.), например от 0,1% до 20%, в особенности от 0,2% до 10%, в частности от 0,2% до 4%, например от 0,2% до 2%. Предусматриваемые согласно настоящему изобретению гликоли могут быть определены как алкилен- или полиалкиленгликоли. В качестве не ограничивающих объема охраны изобретения примеров можно назвать алкилен- и полиалкиленгликоли с 1-6 атомами углерода, такие как этиленгликоль, полиэтиленгликоль (2-20 мономерных звеньев), пропиленгликоль, дипропиленгликоль, бутиленгликоль, пентиленгликоль, гексиленгликоль. Они могут быть оксиэтиленированными или нет (2-50 этиленоксидных групп (ОЕ)). Предпочтительными согласно изобретению являются гексиленгликоль, пропиленгликоль и дипропиленгликоль. Гликоли, используемые согласно изобретению, предпочтительно обладают в качестве параметра растворимости Объемная доля дисперсной гидрофильной фазы, диспергированной в эмульсии согласно изобретению, составляет 10-90% по отношению к общему объему эмульсии. Она может быть исключительно гликолевой или гидрогликолевой при условии, что DHEA и/или его предшественники или химические и/или биологические производные в ней предпочтительно солюбилизированы. Объемная доля гликолей (по отношению к общему объему дисперсной фазы) составляет 10-100%, например от 30% до 100%, в особенности от 60% до 100% и предпочтительно от 80% до 100%. Для применения в косметике предпочтительно используют 30-50% гликолей (доля по отношению к общему объему дисперсной фазы). Также можно охарактеризовать предпочтительный вариант осуществления изобретения в отношении активности в воде (аw) гидрофильной фазы в композиции согласно изобретению. Изобретение, таким образом, также относится, в особенности, к композиции, такой как указанная выше, отличающейся тем, что активность в воде аw гидрофильной фазы ниже 0,85. Активность в воде аw среды, содержащей воду, представляет собой соотношение давления водяного пара продукта “РН2О продукта” и давления чистого водяного пара “РН2О чистый” при одной и той же температуре. Она также может быть выражена в виде соотношения числа молекул воды “NH2O” к числу всех молекул “NH2O + Nрастворенных веществ“, которое учитывает молекулы растворенных веществ “Nрастворенных веществ“. Ее представляют в виде следующих формул: Можно использовать различные способы измерения активности в воде аw. Самым обычным является манометрический способ, согласно которому измеряют непосредственно давление пара. Обычно косметическая или дерматологическая композиция обладает активностью в воде в пределах от 0,95 до 0,99. Активность в воде ниже 0,85 означает значительное уменьшение. Эмульгаторы (или поверхностно-активные вещества или поверхностно-активные агенты) представляют собой природные или синтетические вещества, образованные гидрофильной или полярной частью и липофильной или аполярной частью. Они являются амфифильными молекулами, поскольку они имеют двойную полярность. Эмульгаторы характеризуют по их ГЛБ; если ГЛБ является высоким, то гидрофильная часть является преобладающей, если ГЛБ является незначительным, то преобладает липофильная часть. В число этих эмульгаторов включают предпочтительно полимерные эмульгаторы, характеризующиеся высокой молекулярной массой и нелинейной структурой, которая позволяет осуществляться в более значительной степени сцеплению с границей раздела фаз вода/масло, чем таковое, достигаемое при использовании эмульгаторов мономерного типа. Эмульгаторами, которые можно использовать согласно изобретению, индивидуально или в виде смеси, являются такие, которые позволяют получать обратные эмульсии и имеют ГЛБ ниже 7. В общем, предпочтительными эмульгаторами являются полиорганосилоксаны, такие как: – Е1) полиалкилметиконсополиолы (оксиалкиленированные, возможно сшитые полиалкилметилсилоксаны), содержащие насыщенные или нет, линейные или разветвленные алкильные цепи с 6-20 атомами углерода; полиоксиэтиленовое звено из 1-50 ОЕ (этиленоксидных групп) и/или полиоксипропиленовое звено из 1-50 ОР (пропиленоксидных групп); – Е2) оксиалкиленированные полиалкилдиметилметилсилоксаны, содержащие насыщенные или нет, линейные или разветвленные алкильные цепи с 6-20 атомами углерода; полиоксиэтиленовое звено из 1-50 ОЕ и/или полиоксипропиленовое звено из 1-50 ОР. Полиорганосилоксаны композиции согласно изобретению содержат, в частности, одну или несколько оксиалкиленовых групп и, в особенности, оксиэтиленовых групп (ОЕ), например 1-40 оксиалкиленовых звеньев, предпочтительно 1-20, лучше 10-20, более предпочтительно 12-20 и еще лучше 12-18 оксиалкиленовых звеньев, которые могут образовывать полиоксиалкиленовые цепи и, в частности, полиоксиэтиленовые цепи. Эти группы могут быть боковыми или в виде концевых групп цепи. Атомы кремния, несущие эти группы, имеются преимущественно в количестве около 1-10 и лучше 1-6. Кремнийорганическая структура, образующая полимерный скелет полиорганосилоксана с оксиалкиленовой группой (оксиалкиленовыми группами), преимущественно является полидиметилсилоксановой структурой (PDMS), в которой часть метильных групп может быть замещена (С2-С30)-алкильными группами и предпочтительно (С8-С24)-алкильными группами и лучше (С10–20)-лкильными группами или фенилом, либо в виде концевых групп цепи, либо в виде боковых групп. Следовательно, в качестве эмульгаторов типа Е1 или Е2 преимущественно используют кремнийорганические эмульгаторы, такие как алкилдиметиконсополиолы, например Abil EM-90, или смесь диметиконсополиола и циклометикона, выпускаемая фирмой Dow Corning под названием 3225С Formulation Aid; лаурилметиконсополиол, выпускаемый фирмой Dow Corning под названием Emulsifier 10; или смеси на основе кремнийорганического полимера, такого как цетилдиметиконсополиол, с полиглицерил-4-изостеаратом и гексиллауратом, выпускаемые фирмой Goldschmidt под названием Abil WE09, Abil EM97 (диметиконсополиол и циклометикон); Wacker SPG 128 P (циклометикон и октилдиметиконметоксигликозил), выпускаемый фирмой Wacker; или еще Silwax-IS (диметиконсополиол-изостеарат); Е3) сложные моно- или полиалкилэфиросилоксаны, например Silwax S фирмы Lambent (диметиконолстеарат); Е4) алкоксилированные эфиры карбоновых кислот, такие как полигидроксилированные сложные алкиловые эфиры полиэтиленгликоля (ПЭГ), например Arlacel P 135 фирмы Uniqema (диполигидроксистеарат ПЭГ-30). Предпочтительно используют эмульгаторы с ГЛБ от 2 до 7, предпочтительно кремнийорганический эмульгатор для эмульсии вода-в-масле с ГЛБ от 2 до 7, предпочтительно полимерный кремнийорганический эмульгатор для эмульсии вода-в-масле с ГЛБ от 2 до 7. Обратная эмульсия согласно изобретению, в качестве варианта, может быть получена и стабилизирована предпочтительно с помощью следующих эмульгаторов или ассоциаций с эмульгирующим характером: 1) ассоциация сшитого оксиалкиленированного эластомерного полиорганосилоксана и сшитого и по меньшей мере частично нейтрализованного полимера поли(2-акриламидо-2-метилпропансульфокислота). В частности, полиорганосилоксан с оксиалкиленовой группой (оксиалкиленовыми группами) может включать один или несколько кремнийорганических скелетов, связанных между собой одной или несколькими оксиалкиленовыми группами и предпочтительно оксиэтиленовыми группами, такими как указанные выше, или одной или несколькими алкиленовыми группами, причем число алкиленовых групп составляет 1-30 и предпочтительно 1-20. Предпочтительно он включает по меньшей мере два полимерных скелета, связанных между собой. Кремнийорганический скелет или кремнийорганические скелеты полиорганосилоксанов композиции согласно изобретению преимущественно включают 26-80 атомов кремния. Полиорганосилоксановые эластомеры, используемые в композиции согласно изобретению, частично или полностью сшиты и имеют трехмерную структуру. Включенные в липофильную фазу они в зависимости от используемой доли липофильной фазы превращаются в продукт пористого вида, когда их используют в присутствии небольших количеств липофильной фазы, в гомогенный гель – в присутствии более высоких количеств липофильной фазы. Гелеобразование липофильной фазы с помощью этих эластомеров может быть полным или частичным. Эти полиорганосилоксановые эластомеры могут находиться в форме порошка, образующих этот порошок частиц, имеющих размер обычно 0,1-500 мкм, предпочтительно 3-200 мкм и лучше 3-50 мкм, и которые могут быть сферическими, плоскими или аморфными, предпочтительно сферической формы. Они могут находиться также в форме безводного геля, содержащего полиорганосилоксановый эластомер, диспергированный в масляной фазе. Полиорганосилоксаны композиции согласно изобретению представляют собой, например, полиорганосилоксан, выпускаемый фирмой Shin Etsu под названием KSG 21, или продукт примера 3 (пример синтеза) патента США 5412004; 2) сложные и простые алкиловые эфиры полиглицерина, сложные эфиры полиэтиленгликолей, сложные алкиловые эфиры сорбитана, металлические соли жирных кислот, как диглицериндиизостеарат и сорбитанмоноолеат (Span 80 фирмы Uniqema); 3) олигомеры и полимеры, образованные полиолефиновой аполярной частью и по меньшей мере одной полярной частью. Они могут иметь структуру блочного или гребнеобразного типа. Полиолефиновая аполярная часть включает по меньшей мере 40 атомов углерода и предпочтительно 60-700 атомов углерода. Для достижения цели изобретения важно, чтобы эта часть включала по меньшей мере 40 атомов углерода. Если в ней содержится меньше 40 атомов углерода, то не получают очень стабильной системы. Эта аполярная часть может быть выбрана из полиолефинов, таких как олигомеры, полимеры и/или сополимеры этилена, пропилена, 1-бутена, изобутена, 1-пентена, 2-метил-1-бутена, 3-метил-1-бутена, 1-гексена, 1-гептена, 1-октена, 1-децена, 1-ундецена, 1-одецена, 1-тридецена, 1-тетрадецена, 1-пентадецена, 1-гексадецена, 1-гептадецена и 1-октадецена. Эти полиолефины являются гидрированными или нет. Кроме того, олигомерные или полимерные полиолефиновые производные, используемые в композиции согласно изобретению, включают по меньшей мере одну полярную часть. Эта полярная часть придает полиолефиновым производным амфифильные свойства. Так, эти олигомеры или полимеры снижают поверхностное натяжение (вода/масло, то есть между водной фазой и масляной фазой) до по меньшей мере 10 мН/м, когда они находятся в концентрации 0,01 мас.% по отношению к общей массе масляной фазы. Например, полиолефин с концевым остатком янтарной кислоты, описываемый ниже и выпускаемый фирмой Lubrizol под названием L 2724, в концентрации 0,01 мас.%, по отношению к общей массе масляной фазы, снижает поверхностное натяжение до 15 мН/м на поверхности раздела водной фазы, образованной 1%-ным водным раствором MgSO4, и масляной фазы, включающей смесь масел (изогексадекан/гидрированный полиизобутен/летучий силикон в соотношении 8:6:4). Полярная часть олигомерных или полимерных эмульгаторов согласно изобретению может быть анионогенной, катионогенной, неионогенной, цвиттерионной или амфотерной. Она может быть, например, образована полиалкиленгликолями или полиалкилениминами или карбоновыми кислотами или дикислотами, их ангидридами или их производными, и их смесями. Олигомерные или полимерные эмульгаторы с полярной частью в виде карбоновой кислоты могут быть получены, например, за счет взаимодействия между полиолефином и по меньшей мере одной карбоновой кислотой или ангидридом карбоновой кислоты, выбираемыми из группы, состоящей из малеиновой кислоты, малеинового ангидрида, фумаровой кислоты, итаконовой кислоты, цитраконовой кислоты, мезаконовой кислоты, аконитовой кислоты. Полярная часть предпочтительно образована янтарной кислотой или ангидридом янтарной кислоты, их сложноэфирными или амидными производными, солями с ионами щелочных, щелочноземельных или соответствующих органических ионов, или полиоксиэтиленом. Эмульгаторы, происходящие от полиоксиэтилена, могут быть выбраны, например, из полиизопрен-полиоксиэтиленовых двухблочных сополимеров, поли(сополимер этилена и пропилена)полиоксиэтиленовых сополимеров и их смесей. Эти полимеры описаны в публикации Allgaier, Poppe, Willner, Richter (Macromolecules, 30, 1582-1586 (1997)). Эмульгаторы, происходящие от янтарной кислоты или янтарного ангидрида, могут быть выбраны, в частности, из полиолефиновых производных янтарной кислоты или янтарного ангидрида, описанных в патентах США 4234435, 4708753, 5129972, 4931110; патенте Великобритании 2156799 и патенте США 4919179, включенные в настоящее описание путем ссылки. Полиолефиновая часть может быть образована, например, гидрированным или нет полиизобутиленом с молекулярной массой 400-5000. В таким образом полученном полиизобутилене с концевым остатком янтарной кислоты этот остаток может быть этерифицирован, амидирован или находиться в виде соли, то есть он может быть модифицирован с помощью спиртов, аминов, алканоламинов или полиолов, или он может находиться в форме солей щелочных или щелочноземельных металлов, аммония или еще органического основания, как соли диэтаноламина и триэтаноламина. Полиолефины с концевым этерифицированным или амидированным остатком янтарной кислоты представляют собой продукты реакции (а) полиолефина с концевым остатком янтарной кислоты и (b) амина или спирта с образованием амида или сложного эфира. Термин “амин”, используемый в настоящем контексте, включает все типы аминов, в том числе алканоламины. Речь может идти, например, о первичных, вторичных или третичных моноаминах, причем эти амины могут быть алифатическими, циклоалифатическими, ароматическими, гетероциклическими, насыщенными или ненасыщенными. Кроме того, спирты могут быть одноатомными или многоатомными спиртами. Одноатомные спирты включают первичные, вторичные или третичные алифатические спирты и фенолы. Многоатомные спирты могут быть выбраны, например, из многоатомных алифатических, циклоалифатических, ароматических и гетероциклических спиртов. Полиолефины с модифицированным (этерифицированным или амидированным) концевым остатком янтарной кислоты и способ их получения описаны, в частности, в патенте США 4708753, который включен в настоящее описание путем ссылки. В качестве полиолефинов с концевым остатком янтарной кислоты можно назвать, в частности, полиизобутилены с модифицированным концевым остатком янтарной кислоты, такие как продукты, выпускаемые фирмой Lubrizol под названиями L 2724 и L 2721. Другим примером полимерного эмульгатора, используемого согласно изобретению, является продукт реакции малеинового ангидрида с полиизобутиленом, такой как продукт, выпускаемый фирмой BASF под названием Glissopal SA. Количество олигомерного(ных) или полимерного(ных) эмульгатора(ров) в композиции согласно изобретению может составлять, например, от 0,1 мас.% до 10 мас.% активного вещества, предпочтительно 0,5-5 мас.% и лучше 1-3 мас.%, по отношению к общей массе композиции. Можно использовать одно или несколько олигомерных или полимерных производных полиолефинов. Согласно предпочтительному варианту осуществления изобретения олигомерные или полимерные производные полиолефинов являются единственными эмульгаторами, используемыми в композиции согласно изобретению; 4) алкилполигликозиды с ГЛБ ниже 7, ассоциированные с оксиалкиленированным полидиметилсилоксаном. Алкильная цепь алкилполигликозида предпочтительно включает 14-22 атомов углерода и может быть, в частности, линейной ненасыщенной цепью или разветвленной цепью, и особенно олеильной или изостеарильной цепью. Алкилполигликозиды, используемые согласно настоящему изобретению, в особенности могут быть представлены следующей общей формулой (I): в которой R означает линейный ненасыщенный алкильный радикал или разветвленный алкильный радикал, включающий 14-24 атомов углерода; G означает дезозу, включающую 5-6 атомов углерода; и х имеет значение от 1 до 15. Предпочтительными согласно изобретению алкилполигликозидами являются соединения формулы (I), в которой R означает в особенности алкильный радикал с 16-22 атомами углерода; G означает глюкозу, фруктозу или галактозу; х имеет значение от 1 до 4 и в особенности от 1 до 2. Согласно изобретению в формуле (I) R означает ненасыщенный линейный радикал (то есть алкиленовый радикал) или разветвленный алкильный радикал. Ненасыщенный алкильный радикал может включать одну или несколько этиленовых связей и, в особенности, одну или две этиленовые связи. Согласно предпочтительному варианту осуществления изобретения радикал R включает 18 атомов углерода и означает, в частности, олеильный радикал (ненасыщенный радикал с 18 атомами углерода) или изостеарильный радикал (насыщенный радикал с 18 атомами углерода); G означает глюкозу и х имеет значение от 1 до 2. Используемый в эмульсии согласно изобретению алкилполигликозид предпочтительно выбирают из группы, состоящей из изостеарилгликозида, олеилгликозида и их смесей. Используемыми оксиалкиленированными полидиметилсилоксанами являются таковые, описанные в вышеприведенном разделе Е1. Композиция согласно изобретению содержит, в частности, 0,5-8 мас.% эмульгатора, например 0,5-5 мас.%, предпочтительно 3-5 мас.%, по отношению в общей массе композиции. Кроме того, предпочтительно для повышения стабильности дисперсии основной эмульгатор или основные эмульгаторы, описанные выше, можно дополнять одним или несколькими соэмульгаторами с ГЛБ выше 6. Соотношение соэмульгатор/эмульгатор преимущественно ниже 1,5 и предпочтительно ниже 0,75. В качестве примера можно назвать: – полиоксиэтиленированные или нет сложные алкиловые или полиалкиловые эфиры сорбитана с насыщенными или нет, разветвленными или нет 1-5 алкильными цепями с 10-20 атомами углерода и с 0-40 ОЕ (этиленоксидными группами) (например, сорбитанмонолаурат с 20 ОЕ или сорбитанмоноолеат с 200 ОЕ (Tween 80 фирмы Uniqema)); – полиоксиэтиленированные алкиловые или полиалкиловые простые или сложные эфиры с насыщенными или нет, разветвленными или нет 1-5 алкильными цепями с 10-20 атомами углерода и с 0-40 ОЕ (цетилстеариловый эфир с 20 ОЕ (Eumulgin B2 фирмы Cognis) или стеарет (Brij 78) с 20 ОЕ); – этоксилированные или этерифицированные алкил- или полиалкилмоно- или полигликозиды с насыщенными или нет, разветвленными или нет 1-5 алкильными цепями с 6-20 атомами углерода и 1-10 звеньями глюкозы (например, ПЭГ-20-метилглюкозосесквистеарат (Glucamate SSE-20 фирмы Amerchol)); – алкиловые или полиалкиловые сложные или простые эфиры полиглицерина с насыщенными или нет, разветвленными или нет 1-5 алкильными цепями с 10-20 атомами углерода и 1-8 глицериновыми звеньями (например, полиглицерил-4-изостеарат или ПЭГ-8-стеарат (Myrj 45)). Наконец, в дисперсную фазу предпочтительно можно добавлять 0-10 мас.%, по отношению к общей массе композиции, сорастворителя DHEA с температурой кипения ниже 100°С, предпочтительно гидрофильные линейные или разветвленные спирты с 1-4 атомами углерода, такие как этанол или изопропанол. Представляет интерес тот факт, что при приготовлении эмульсии согласно изобретению оказывается необходимой только незначительная затрата механической или термической энергии по сравнению получением других, уже известных обратных эмульсий. Известным образом, композиция согласно изобретению может содержать также обычные в области косметики и дерматологии добавки, такие как гидрофильные или липофильные гелеобразующие компоненты, увлажняющие компоненты, такие как глицерин или сорбит, гидрофильные или липофильные активные вещества, загустители жировой фазы, консерванты, антиоксиданты, электролиты, растворители, отдушки, наполнители, фильтры, пигменты, поглотители запаха и красители. Количества этих различных добавок являются обычными для использования в рассматриваемых областях и составляют, например, 0,01-20 мас.% по отношению к общей массе композиции. Эти добавки в зависимости от их природы могут быть введены в липофильную фазу или в гидрофильную фазу. Эти добавки, а также их концентрации должны быть такими, чтобы они не ухудшали косметические или дерматологические свойства DHEA и/или его предшественников или химических и/или биологических производных в композиции согласно изобретению. В качестве жировых веществ, используемых в качестве непрерывной липофильной фазы в эмульсиях согласно изобретению, можно использовать масла и, в частности, минеральные масла (вазелиновое масло), масла растительного происхождения (масло авокадо, соевое масло), масла животного происхождения (ланолин), синтетические масла (пергидросквален), силиконовые масла (циклометикон) и фторированные масла (перфторированные простые полиэфиры). В качестве жировых веществ можно также использовать жирные спирты, такие как цетиловый спирт, жирные кислоты, воски и смолы и в особенности силиконовые смолы. Предпочтительно используют неокисляющиеся жировые вещества в качестве масел непрерывной липофильной фазы, которые предпочтительно выбирают из веществ силиконового типа, сложноэфирного или минерального типа. Липофильная фаза предпочтительно не является растворителем DHEA. В качестве гидрофильных гелеобразующих компонентов можно назвать, в частности, карбоксивиниловые полимеры (карбомер), акриловые сополимеры, такие как сополимеры акрилатов и алкилакрилатов, полиакриламиды, полисахариды, природные смолы и глины, и в качестве липофильных гелеобразующих компонентов можно назвать модифицированные глины, такие как бентоны, соли жирных кислот с металлами и гидрофобный диоксид кремния. В качестве активных веществ можно использовать, в частности, изофлавоноиды, ингибиторы металлопротеиназы, каротиноиды, антигликационные соединения, ингибиторы NO-синтазы, витамины, десквамантные агенты, повышающие синтез глюкозаминогликанов соединения, соединения против раздражения, уменьшающие раздражение нейрогенного происхождения соединения, миорелаксанты и депигментирующие агенты. Композиция согласно изобретению является косметически приемлемой на ощупь, обладает хорошей кожной толерантностью, стабильностью (под стабильностью понимают физическую стабильность, то есть отсутствие фазового сдвига, сохранение размера глобул и отсутствие рекристаллизации активного вещества) в отношении холода (при 4°С) и тепла (45°С) в течение длительного времени, например в течение 2 месяцев, при стабильной вязкости. Изобретение в частности относится также к косметической или дерматологической композиции для локального нанесения на кожу, защитные покровы кожи и/или слизистые оболочки в форме обратной эмульсии, содержащей дисперсную гидрофильную гликолевую или гидрогликолевую фазу и непрерывную липофильную фазу, отличающейся тем, что она содержит в физиологически приемлемой среде (то есть совместимой с локальным нанесением на кожу, защитные покровы кожи и/или слизистые оболочки): – 0,001-5 мас.% DHEA и/или его предшественников или химических и/или биологических производных; – 30-100% гликолей; – 0,5-8 мас.% эмульгатора с ГЛБ от 2 до 7; – 0-5 мас.% соэмульгатора с ГЛБ выше 6; – 0-50 мас.% воды, например 0-30 мас.% воды. Согласно особому варианту осуществления изобретения дисперсная гидрофильная фаза обладает активностью в воде ниже 0,85. Изобретение относится также к композиции, представляющей собой тройную эмульсию типа гидрофильная фаза/липофильная фаза/гидрофильная фаза, включающую внешнюю гидрофильную фазу и липофильную фазу, образующую с дисперсной гидрофильной фазой обратную эмульсию (так называемая первичная обратная эмульсия в рамках этой тройной эмульсии) согласно изобретению. Настоящее изобретение преимущественно относится к тройной эмульсии типа гидрофильная фаза/липофильная фаза/гидрофильная фаза, где дисперсная гидрофильная фаза тройной эмульсии имеет величину активности в воде ниже или равную 0,85, в частности, для повышения стабильности активного вещества, находящегося в дисперсной гидрофильной фазе. Согласно особому варианту осуществления изобретения величины активности в воде, ниже или равной 0,85, достигают путем включения эффективного количества гликоля. Под эффективным количеством понимают достаточное количество полиола для достижения незначительной величины активности в воде, то есть величины активности в воде, ниже или равной 0,85. Согласно особому варианту осуществления изобретения первичная обратная эмульсия составляет 20-35 мас.% и в особенности примерно 25 мас.% тройной эмульсии. Тройную эмульсию получают обычным образом путем приготовления первичной эмульсии и введения определенного количества первичной эмульсии во внешнюю гидрофильную фазу. Изобретение относится также к тройной эмульсии типа гидрофильная фаза/липофильная фаза/гидрофильная фаза, включающей внешнюю гидрофильную фазу, липофильную фазу, образующую с дисперсной гидрофильной фазой обратную эмульсию (так называемая первичная обратная эмульсия в рамках этой тройной эмульсии) согласно изобретению, включающую желатинированную внешнюю гидрофильную фазу, содержащую: 1) по меньшей мере один сополимерный эмульгатор, образованный преобладающей долей мономера с карбоксильной группой, содержащего одну этиленовую связь и 3-6 атомов углерода, или его ангидрида и меньшей долей мономера типа эфира жирного спирта акриловой кислоты; и 2) по меньшей мере один сшитый полимер акриламидометилпропансульфокислоты. Кроме того, согласно предпочтительному варианту осуществления изобретения липофильная фаза тройной эмульсии согласно изобретению содержит по меньшей мере одно силиконовое масло и/или кремнийорганический эмульгатор. Сополимерные эмульгаторы, используемые в тройной эмульсии согласно изобретению, получают путем сополимеризации избыточного количества мономера с карбоксильной группой, содержащего одну этиленовую связь, или его ангидрида с более незначительным количеством мономера типа эфира акриловой кислоты с жирной цепью. Под жирной цепью понимают линейный или разветвленный алкильный радикал с 8-30 атомами углерода. Количество мономера с карбоксильной группой или его ангидрида составляет предпочтительно 80-98 мас.% и более предпочтительно 90-98 мас.%, тогда как мономер типа эфира акриловой кислоты присутствует в количествах 2-20 мас.% и более предпочтительно 1-10 мас.%, причем данные в процентах рассчитаны по отношению к массе обоих мономеров. Предпочтительные мономеры с карбоксильными группами выбирают из мономеров, отвечающих следующей формуле (I): где R означает атом водорода, атом галогена, гидроксильную группу, лактоновую группу, лактамную группу, цианогенную группу (-С=N), одновалентную алкильную группу, арильную группу, алкиларильную группу, аралкильную группу или циклоалифатическую группу. Особенно предпочтительные мономеры с карбоксильными группами выбирают из акриловой кислоты, метакриловой кислоты или их смесей. Мономеры типа эфиров акриловой кислоты с жирной цепью предпочтительно выбирают из мономеров, отвечающих следующей формуле (II): где R1 выбирают из группы, состоящей из атома водорода, метила и этила, и R2 означает (С8-С30)-алкил. Особенно предпочтительными мономерами типа сложных эфиров являются такие, в которых R1 означает атом водорода или метил, и R2 означает (С10-С22)-алкил. Сополимерные эмульгаторы могут быть, в случае необходимости, сшиты с помощью сшивающего агента, используемого в количестве 0,1-4 мас.%, предпочтительно 0,2-10 мас.%, по отношению к общей массе мономеров с карбоксильными группами и мономеров типа эфирной акриловой кислоты. Сшивающий агент выбирают из полимеризуемых мономеров, содержащих полимеризуемую группу СН2=С- и по меньшей мере одну другую полимеризуемую группу, ненасыщенные связи которой не конъюгированы одна по отношению к другой. Сополимерные эмульгаторы согласно изобретению описываются в заявке на Европейский патент А-0268164, и их получают согласно способам получения, описанным в том же самом документе. Особенно предпочтительными сополимерными эмульгаторами являются такие, которые обладают вязкостью, измеряемой в вискозиметре Брукфилда в водном 2%-ном растворе и при температуре 25°С, ниже или равной 5000 сП (5 Па·с) и более предпочтительно порядка примерно 3000 сП (3 Па·с). В особенности используют сополимер акрилата и (С10–30)-лкилакрилата и, в частности, выпускаемый фирмой GOODRICH под названием PEMULEN TR 1. Сополимерный эмульгатор используют в тройной эмульсии согласно изобретению в концентрации, например, 0,05-3 мас.%, предпочтительно 0,1-1 мас.% и лучше 0,2-0,6 мас.%, по отношению к общей массе эмульсии. Изобретение также относится к применению новой обратной эмульсии, такой как описанная выше, в косметике и в дерматологии. Композиция также находит применение в косметике, в частности для лечения и/или защиты кожи, слизистых оболочек или кератиновых волокон, то есть волос и ресниц. Композиция согласно изобретению также находит применение для профилактики и/или лечения в случае симптомов хронологического или актинического старения кожи, а также для лечения некоторых патологий. Настоящее изобретение, таким образом, относится также к применению в косметике вышеуказанной композиции для профилактики и/или лечения в случае хронологического или актинического старения, в частности: – для предупреждения или уменьшения пергаментного внешнего вида кожи; и/или – для улучшения однородности цвета кожи, и/или для отбеливания кожи, и/или усиления свежести лица; и/или – для обработки морщин и морщинок; и/или – для борьбы против дряблости кожи; и/или – для борьбы против или предупреждения атрофии кожи и слизистых оболочек; – для борьбы против сухости кожи. Оно также относится к применению этой композиции для косметической обработки волосяного покрова головы, в особенности для предупреждения или лечения поседения. Настоящее изобретение также относится к применению в косметике композиции согласно изобретению для уменьшения пигментных пятен. Кроме того, изобретение относится к применению композиции согласно изобретению для получения фармацевтического препарата, в частности для получения фармацевтического препарата, предназначенного для предупреждения или лечения атрофии кожи или слизистых оболочек, в особенности предназначенного для предупреждения или лечения атрофии вульвы или вагинальной атрофии. Изобретение также относится к фармацевтическим препаратам и лекарственным средствам, получаемым исходя из композиций согласно изобретению. Изобретение поясняется следующими, не ограничивающими его объема охраны примерами. В этих примерах количества, за исключением противоположного указания, указаны в массовых процентах. ПРИМЕРЫ В нижеуказанных композициях (примеры 1-6) количества различных компонентов выражены в массовых процентах. Их получают следующим образом: Получение фазы В1: DHEA солюбилизируют в пропиленгликоле. Получение фазы В2: Электролит (MgSO4 или NaCl) растворяют в воде. Фазы В2 и В3 добавляют к фазе В1 и нагревают до температуры 50°С. Получение фазы А: Гидрофобные компоненты смешивают и нагревают до температуры 50°С. Фазу В вводят в фазу А при умеренном механическом перемешивании. Используемый согласно изобретению DHEA, например, выпускается фирмой AKZO NOBEL. Пример 1
Пример 2
Пример 3
Пример 4
Пример 5
Пример 6
Реологические данные композиции примера 6 Использовали реометр НААКЕ VT 510 с подвижной системой измерения SVDIN. Реограммы получали при температуре 25°С, изменяя скорость сдвига с течением времени и измеряя напряжение. Полученные результаты представлены в нижеприводимой таблице:
Под порогом текучести ( Пример 7
Получение фазы В DHEA солюбилизируют в пропиленгликоле при температуре 55°С. Получение фазы А Гидрофобные компоненты смешивают и нагревают до температуры 50°С. Фазу В вводят в фазу А при умеренном механическом перемешивании и при температуре 50°С. Получение фазы С Электролит растворяют в воде. После этого вводят этанол. Эту фазу при комнатной температуре вводят в эмульсию при умеренном перемешивании. Реологические данные композиции примера 7 Таким же образом, как указано в примере 6, получают следующие данные:
Пример 8
DHEA предварительно солюбилизируют в дипропиленгликоле и затем добавляют другие компоненты фазы В для ее образования. Фазу В вводят в фазу А при перемешивании мешалкой лопастного или ротор-статорного типа. Эмульсию приготовляют при температуре ниже 40°С. Тогда получают слегка вязкую, стабильную композицию, не проявляющую рекристаллизации DHEA спустя по меньшей мере 15 дней при температуре 4°С. Примеры 9-16 Композиции, содержащие 7- Согласно вышеописанной методике можно получать соответствующие примерам 1-8 композиции, где, однако, вместо DHEA используют его метаболитческое производное: 7- Примеры 17-24 Композиции, содержащие 7-кето-DHEA Согласно вышеописанной методике можно получать соответствующие примерам 1-8 композиции, где, однако, вместо DHEA используют его метаболическое производное: 7-кето-DHEA. Пример 25 Исследование высвобождения и пенетрации DHEA в случае композиции согласно изобретению Протокол: Высвобождение и пенетрацию in vitro DHEA и/или его предшественников или химических и/или биологических производных в случае композиций согласно изобретению может быть оценено на неповрежденной человеческой коже. Тестируемую композицию вносили на 16 часов в диффузионные стеклянные ячейки (3 мл; 1 см2). Использовали неповрежденную кожу без дерматом. Кожу фиксировали в диффузионной ячейке, причем дерму вводили в контакт с физиологическим солевым раствором, дополненным 0,25% (мас./мас.) эмульгатора (жидкий рецептор). Систему выдерживали в неизменном состоянии (без обновления жидкого рецептора в зависимости от времени). Использовали абдоминальные и/или грудные пластики, происходящие от “эстетической” хирургии. Композицию наносили на эти три различных образца кожи в количестве по 10 мг композиции на см2. Нанесения осуществляли без окклюзии. Поскольку нанесения осуществляли при дублировании, следовательно, композиции наносили в целом 6 раз. По истечении времени аппликации в случае каждой диффузионной ячейки удаляли избыток поверхности, отбирали жидкий рецептор и кожу. Эпидермис (включая stratum corneum) отделяли от дермы. В случае каждой тестируемой композиции рассчитывали полный баланс действующего начала, учитывая избыток и найденные в коже и в жидком рецепторе количества. Концентрации действующего начала определяли с помощью ВЭЖХ с детекцией путем масс-спектрометрии с химической ионизацией при атмосферном давлении (APCI/MS/MS) (предел определяемого количества: 10 нг·мл-1). Результат: В частности, показано, что при использовании композиции согласно изобретению в коже обнаруживают значительные количества DHEA. Пример 26 Определение кожной толерантности Протокол: Локальные нанесения композиций согласно изобретению повторяли в течение 2 недель на правое ухо мышей с внутренней стороны (за исключением во время уик-энда). Композиции помещали в пробирки, причем их высушивали при комнатной температуре. Каждую пробирку для идентификации снабжали этикеткой, где фигурировали номер исследования, название продукта, номер композиции, доза и крайний срок использования продукта. Используемыми животными являлись самки мышей Balb/C Albinos Consanguine в возрасте 7-8 недель в начале исследования, происходящие из IFFA CREDO, Франция, группами по 8 мышей. Животных выдерживали для акклиматизации в течение по меньшей мере 5 дней перед началом исследования. Животных взвешивали в день 1, в начале исследования, и помещали в индивидуальную клетку. Тестируемые композиции в количестве по 20 мкл наносили на правое ухо мышей, с внутренней стороны, с помощью устройства для многоразового пипетирования (Eppendorf 4780, установленное на позиции 2, снабженное на своем конце Combitip Eppendorf 0,5 мл). Обработки осуществляли по одному нанесению в день, 5 дней в неделю в течение 2 недель, причем продолжительность обработки изменяли в зависимости от результатов в отношении раздражения. Животных наблюдали в день 1 перед первой обработкой и каждые два дня вплоть до окончания исследования. Определения толщины ушей осуществляли с помощью одитеста (oditest) и отмечали толщину ушей и клинические наблюдения. Средние величины толщины ушей на группу и площади под кривыми рассчитывали и представляли в виде соответствующих графиков и гистограмм. Соответствующие статистические анализы осуществляли на Minitab, используемыми тестами являлись Mann-withney и sample-t. Результаты Тестируемая композиция согласно изобретению и ее плацебо, нанесенные в одних и тех же условиях, не вызывают ответной реакции в виде значительного раздражения. Следовательно, ее рассматривают как не вызывающую раздражения. Пример 27 Определение активации липогенеза с помощью композиций согласно изобретению Исследование проводили на самках сирийских хомяков. У этих животных сальные железы, расположенные на внутренней поверхности ушей, имеют характеристики, близкие к таковым человеческого лица (число, структура, состав секрета сальных желез). Протокол Животных содержали в индивидуальных клетках в течение всей продолжительности исследования и они имели постоянный доступ к воде и корму (хомяк RJ: AURA (IOPS Han)). Температура помещений составляла 22±2°С с режимом влажности 55±15°С. Осуществляемые на животных манипуляции проводились в соответствии с законодательством о применении для использования и защите лабораторных животных. Хомяки получали ежедневную дозу тестируемых композиций, плацебо, отрицательных и положительных контролей локально в течение 10 дней на внутреннюю сторону правого уха. По окончании обработки и после взятия проб удаляли хрящ правого и левого ушей с помощью скальпеля и осуществляли биопсии кожи диаметром 8 мм для анализов композиции в отношении липидов и гистологии. Анализы Различные исследуемые группы состояли из 10 животных: 5 животных предназначались для исследования композиции в отношении липидов сальных желез при использовании тонкослойной хроматографии; 5 животных предназначались для гистологического анализа. Анализ композиции в отношении липидов: Взятую у каждого животного кожу сохраняли в 12-луночных культуральных планшетах, содержащих модифицированную по способу Дульбекко среду Игла (DMEM), дополненную фетальной телячьей сывороткой (10%), в присутствии антибиотиков или противогрибковых средств. Добавляли меченый радиоактивным изотопом ацетат к культурам и выдерживали их в инкубаторе при температуре 37°С в течение 6 часов. Образцы для биопсии тогда рекуперировали, промывали с помощью забуференного фосфатом физиологического раствора. Меченые радиоактивным изотопом липиды экстрагировали в различных смесях растворителей согласно методике Blye и Dyer и обрабатывали с помощью 400 мкл смеси дихлорметана и метанола в соотношении 2:1. Образцы затем помещали, группой из 20, на пластины из диоксида кремния размером 10х20 для высокоэффективной тонкослойной хроматографии (HPTLC) с помощью автоматического устройства для нанесения (Camag-ATSIV). Также помещали параллельно стандартные образцы, затем пластины проявляли в системе тройной миграции. После карбонизации сульфатом меди их высушивали и выдерживали в течение 16 часов в кассетах, содержащих пленку для анализа “по образу фосфора” (“phosphorimager”). Различные липиды идентифицировали путем сравнения со стандартом. Липидные фракции затем анализировали и количественно определяли с помощью пакета программ TINA и результаты обрабатывали с помощью пакета программ Excel. Гистологический анализ: Образцы для биопсии кожи выдерживали в кассетах для гистологии между двумя тампонами из мха, пропитанными 10%-ным раствором параформальдегида, затем включали в парафин. Их разрезали и окрашивали с помощью смеси гемалин-флоксин-сафран. После этого осуществляли определение толщины эпидермиса. Результаты: Обнаружено, что композиция согласно изобретению позволяет индуктировать липогенез зависящим от дозы образом на обработанной коже при полном сохранении хорошей кожной толерантности.
Формула изобретения
1. Композиция, предназначенная для активизации липогенеза эпидермиса, содержащая дегидроэпиандростерон (DHEA) и/или его предшественники или химические и/или биологические производные, отличающаяся тем, что композиция представляет собой эмульсию типа “гидрофильная фаза, диспергированная в липофильной фазе”, содержащую гликолевую или гидрогликолевую дисперсную гидрофильную фазу, непрерывную липофильную фазу и эмульгатор с ГЛБ от 2 до 7, причем дегидроэпиандростерон (DHEA) и/или его предшественники или химические и/или биологические производные солюбилизированы в гликолевой или гидрогликолевой дисперсной гидрофильной фазе. 2. Композиция по п.1, отличающаяся тем, что эмульгатором является кремнийорганический эмульгатор. 3. Композиция по п.2, отличающаяся тем, что эмульгатор выбирают из лаурилметиконсополиола, цетилдиметиконсополиола, смеси диметиконсополиола и циклометикона или смеси цетилдиметиконсополиола с полиглицерил-4-изостеаратом и гексиллауратом. 4. Композиция по п.1, отличающаяся тем, что она содержит также соэмульгатор с ГЛБ выше 6. 5. Композиция по п.4, отличающаяся тем, что соэмульгатором является цетилстеариловый эфир с 20 этиленоксидными группами. 6. Композиция по п.1, отличающаяся тем, что объемная доля гликоля по отношению к общему объему дисперсной фазы составляет от 10% до 100%. 7. Композиция по п.1, отличающаяся тем, что дисперсная фаза включает по меньшей мере один гликоль, выбираемый из пропиленгликоля, гексиленгликоля и дипропиленгликоля. 8. Композиция по п.1, отличающаяся тем, что активность в воде дисперсной гидрофильной фазы составляет величину ниже 0,85. 9. Композиция по любому из пп.1-8, отличающаяся тем, что она содержит также одно или несколько активных веществ, выбираемых из изофлавоноидов, ингибиторов металлопротеиназы, каротиноидов, антигликационных соединений, ингибиторов NO-синтазы, витаминов, десквамантных агентов, соединений, повышающих синтез глюкозаминогликанов, соединений против раздражения, соединений, уменьшающих раздражение нейрогенного происхождения, миорелаксантов и депигментирующих агентов. 10. Композиция по п.1, отличающаяся тем, что она содержит DHEA. 11. Композиция по п.1, отличающаяся тем, что она содержит предшественник DHEA. 12. Композиция по п.11, отличающаяся тем, что она содержит предшественник DHEA, выбираемый из 13. Композиция по п.1, отличающаяся тем, что она содержит производное DHEA. 14. Композиция по п.13, отличающаяся тем, что она содержит производное DHEA, выбираемое из 7 15. Композиция по п.13, отличающаяся тем, что она содержит производное DHEA формулы (1) в которой R1 и R2, независимо, выбирают из насыщенной или ненасыщенной, линейной, разветвленной или циклической (C1-C12)-алкильной группы, которая может содержать, в случае необходимости, один или несколько гетероатомов и которая незамещена или замещена одной или несколькими группами, выбираемыми из -OR’ и/или -SR’, и/или -COOR’, и/или -NR’R’, и/или галогена, и/или сульфата, и/или фосфата, и/или арила, и/или гетероцикла, причем вышеуказанный гетероцикл может быть преимущественно выбран из индола, пиримидина, пиперидина, морфолина, пирана, фурана, пиперазина и пиридина; алкилкарбонильной группы, (С1-С24)-алкильная часть которой является насыщенной или ненасыщенной, линейной, разветвленной или циклической и незамещенной или замещенной одной или несколькими группами, выбираемыми из -OR’ и/или -SR’, и/или -COOR’, и/или -NR’R’ и/или галогена, и/или сульфата, и/или фосфата, и/или арила, и/или гетероцикла, причем вышеуказанный гетероцикл может быть преимущественно выбран из индола, пиримидина, пиперидина, морфолина, пирана, фурана, пиперазина, пиридина; арилкарбонильной группы, предпочтительно фенилкарбонила, или арилалкилкарбонильной группы, предпочтительно бензилкарбонила, незамещенной или замещенной одной или несколькими группами -OR’ и/или -SR’, и/или -COOR’, и/или -NR’R’ и/или галогена, и/или арила, и/или гетероцикла; группы O=Р(ОН)OR’; группы (O)2SOR’; триалкилсилильной группы (SiR’3), в которой 3 группы R’ могут быть одинаковыми или разными; карбонилоксиалкильной группы (R’OCO); карбониламиноалкильной группы (R’NHCO); в которых R’ выбирают из атома водорода; (C1-C12)-алкильной группы, предпочтительно (C1-С6)-алкильной группы, насыщенной или ненасыщенной, линейной, разветвленной или циклической, которая может в случае необходимости содержать один или несколько гетероатомов, возможно функционализированной одной или несколькими группами -OR”, -COOR”, галогена, -NR”R”, или арильной группой, предпочтительно фенилом, возможно фунционализированным одной или несколькими группами -OR”, -COOR”, атомами галогена или группами -NR”R”; причем R” означает атом водорода, насыщенную или ненасыщенную, линейную, разветвленную или циклическую алкильную цепь, предпочтительно с 1-6 атомами углерода; при условии, что в каждой из групп – NR’R’ и -NR”R” заместители R’, соответственно R”, являются одинаковыми или разными. 16. Композиция по п.13, отличающаяся тем, что производным DHEA является 3-О-ацетил-7-бензоилоксидегидроэпиандростерон. 17. Композиция по п.1, отличающаяся тем, что она содержит от 0,001 мас.% до 20 мас.% DHEA и/или его предшественников или химических и/или биологических производных по отношению к общей массе композиции. 18. Композиция по п.17, отличающаяся тем, что она содержит от 0,2 мас.% до 4 мас.% DHEA и/или его предшественников или химических и/или биологических производных по отношению к общей массе композиции. 19. Косметическая или дерматологическая композиция для локального нанесения на кожу, защитные покровы кожи и/или слизистые оболочки в форме эмульсии типа “гидрофильная фаза, диспергированная в липофильной фазе”, содержащей дисперсную гликолевую или гидрогликолевую гидрофильную фазу и липофильную непрерывную фазу, отличающаяся тем, что она содержит, в физиологически приемлемой среде в мас.%: 0,001-5% DHEA и/или его предшественников или химических и/или биологических производных; 30-100% гликолей (по отношению к гидрофильной фазе); 0,5-8% эмульгатора с ГЛБ от 2 до 7; 0-5% соэмульгатора с ГЛБ выше 6; 0-50% воды, например, 0-30% воды, причем DHEA и/или его предшественники или химические и/или биологические производные солюбилизированы в гликолевой или гидрогликолевой дисперсной гидрофильной фазе. 20. Композиция, предназначенная для активизации липогенеза эпидермиса, представляющая собой тройную эмульсию типа гидрофильная фаза/липофильная фаза/гидрофильная фаза, включающую внешнюю гидрофильную фазу и липофильную фазу, образующую с внутренней гидрофильной фазой эмульсию типа “гидрофильная фаза, диспергированная в липофильной фазе”, отличающаяся тем, что эмульсия типа “гидрофильная фаза, диспергированная в липофильной фазе”, представляет собой композицию, такую, как указанная по любому из пп.1-18. 21. Косметическое применение композиции по любому из пп.1-18 для предупреждения и/или лечения симптомов хронологического или актинического старения кожи. 22. Косметическое применение композиции по любому из пп.1-18 для предупреждения и/или лечения поседения. 23. Косметическое применение композиции по любому из пп.1-18 для уменьшения интенсивности пигментных пятен. 24. Применение композиции по любому из пп.1-18 для получения фармацевтического препарата, предназначенного для предупреждения или лечения атрофии кожи или слизистых оболочек. 25. Применение композиции по любому из пп.1-18 для получения фармацевтического препарата, предназначенного для предупреждения или лечения атрофии вульвы или вагинальной атрофии. 26. Композиция по любому из пп.1-18 в качестве лекарственного средства, предназначенного для профилактики и/или лечения атрофии кожи или слизистых оболочек.
MM4A – Досрочное прекращение действия патента СССР или патента Российской Федерации на изобретение из-за неуплаты в установленный срок пошлины за поддержание патента в силе
Дата прекращения действия патента: 19.07.2009
Извещение опубликовано: 20.07.2010 БИ: 20/2010
|
||||||||||||||||||||||||||||||||||||||||||||||||||||||||||||||||||||||||||||||||||||||||||||||||||||||||||||||||||||||||||||||||||||||||||||||||||||||||||||||||||||||||||||||||||||||||||||||||||||||||||||||||||||||||||||||||||||||||||||||||||||

5-прегненолон, 17
-гидроксипрегненолон, причем этот перечень не является исчерпывающим. Примерами химических предшествеников являются сапогенины, такие как диосгенин (или спирост-5-ен-3-бета-ол), гекогенин, гекогенинацетат, смилагенин и сарсапогенин, а также содержащие их природные экстракты, в частности фенугрек, и экстракты из Dioscornes, таких как корень дикого ямса или “Wild Yam”, причем этот перечень не является исчерпывающим.
-ОН-DHEA, 7-кето-DHEA, 
p ниже 10, при условии, что 3 параметра растворимости Hansen – 



0) в Па при комнатной температуре