|
| На основании пункта 3 статьи 13 Патентного закона Российской Федерации от 23 сентября 1992 г. № 3517-I патентообладатель обязуется передать исключительное право на изобретение (уступить патент) на условиях, соответствующих установившейся практике, лицу, первому изъявившему такое желание и уведомившему об этом патентообладателя и федеральный орган исполнительной власти по интеллектуальной собственности, – гражданину РФ или российскому юридическому лицу. |
|
(21), (22) Заявка: 2004122315/28, 19.07.2004
(24) Дата начала отсчета срока действия патента:
19.07.2004
(45) Опубликовано: 20.02.2006
(56) Список документов, цитированных в отчете о поиске:
Верещагин И.К. и др. Введение в оптоэлектронику. – М.: Высшая школа, 1991, с.62,63. US 3633124 A, 04.01.1972. RU 2163412 C1, 20.02.2001. US 5197074 A, 23.03.1993.
Адрес для переписки:
111555, Москва, Свободный пр-кт, 9, корп.2, кв.173, А.А. Часовскому
|
(72) Автор(ы):
Часовской Александр Абрамович (RU)
(73) Патентообладатель(и):
Часовской Александр Абрамович (RU)
|
(54) ОПТОЭЛЕКТРОННЫЙ ПЕРЕДАТЧИК
(57) Реферат:
Оптоэлектронный передатчик содержит лазер и оптоэлектронный преобразователь. Введены электрооптический модулятор, три зеркала и первая и вторая корректирующие линзы. Оптический выход лазера связан с оптическим входом оптоэлектронного преобразователя через электрооптический модулятор, выполненный с возможностью осуществления выхода излучения из оптоэлектронного передатчика, три зеркала и первую корректирующую линзу, обеспечивающую параллельность потока излучения. Оптический выход оптоэлектронного преобразователя, выполненного с возможностью формирования на выходе излучения с частотой, превышающей частоту излучения лазера, связан через вторую корректирующую линзу с оптическим входом лазера для осуществления его накачки. Обеспечивается увеличение мощности излучения без использования громоздких узлов. 1 ил. 
Изобретение относится к области оптоэлектроники и может быть использовано в оптических системах.
Известен оптоэлектронный передатчик, изложенный в книге Л.З.Криксунов “Справочник по основам инфракрасной техники”. – М., Сов. Радио, 1978 г., стр.309. Он состоит из источника излучения оптоэлектронного преобразователя, который может излучать в том числе и однородное излучение. Однако для увеличения мощности излучения требуются дополнительные узлы.
Известен оптоэлектронный передатчик, в котором используется оптоэлектронный преобразователь. Он изложен в книге И.К.Верещагина “Введение в оптоэлектронику”. – М., Высшая школа, 1991 г., стр.62. Излучение может быть и однородным. На вход преобразователя может поступать световая энергия от лазера, а на выходе меняется спектр. Однако для увеличения мощности излучения требуется использование громоздких узлов.
С помощью предлагаемого устройства увеличивается мощность излучения без использования громоздких узлов. Достигается это введением между лазером и оптоэлектронным преобразователем: электрооптического модулятора, трех повернутых отражательных зеркал и первой корректирующей линзы, а также введением второй корректирующей линзы, при этом оптический выход лазера связан через электрооптический модулятор с оптическим входом первого повернутого отражательного зеркала, оптический выход которого связан с оптическим входом второго повернутого отражательного зеркала, имеющего оптический выход, связанный с оптическим входом третьего повернутого отражательного зеркала, оптический выход которого связан через первую корректирующую линзу с оптическим входом оптоэлектронного преобразователя, имеющего оптический выход, связанный через вторую корректирующую линзу с оптическим входом лазера.
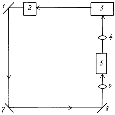
На чертеже и в тексте приняты следующие обозначения.
1 – повернутое отражательное зеркало;
2 – электрооптический модулятор;
3 – лазер;
4 – корректирующая линза;
5 – оптоэлектронный преобразователь;
6 – корректирующая линза;
7, 8 – повернутые отражательные зеркала,
при этом оптический выход лазера 3 связан через электрооптический модулятор 2 с оптическим входом повернутого отражательного зеркала 1, оптический выход которого связан с оптическим входом повернутого отражательного зеркала 7, имеющего оптический выход, связанный с оптическим входом повернутого отражательного зеркала 8, оптический выход которого связан через корректирующую линзу 6 с оптическим входом оптоэлектронного преобразователя 5, имеющего оптический выход, связанный через корректирующую линзу 4 с оптическим входом лазера 3.
Работа устройства осуществляется следующим образом. Лазер 3 формирует световой поток, который проходит через электрооптический модулятор 2 и далее, отражаясь от повернутых отражательных зеркал 1, 7, 8, поступает на корректирующую линзу 6, которая обеспечивает поддержание параллельности лучей внутри пучка. С выхода этой корректирующей линзы световой поток поступает в оптоэлектронный преобразователь 5, который может также и усиливать сигнал. При этом на выходе формируется другой селектр, поступающий через корректирующую линзу 4 на оптический вход лазера 3. После чего увеличивается мощность его излучения. При этом необходимым условием является наличие частоты спектра, превышающего частоту излучения лазера. Пример конкретного исполнения оптоэлектронного преобразователя, который увеличивает частоту спектра, представлен, например, в вышеупомянутых первом и втором аналоге стр.309 и стр.62.
Пример конкретного исполнения лазера, который может увеличить мощность излучения, при осуществлении накачки о помощью света о увеличенной частотой спектра по сравнению с излучаемым спектром, представлен, например, в вышеупомянутом первом аналоге на стр.108. В отличии от аналогов в данном устройстве отсутствует изображение картин, и излучение оптоэлектронного преобразователя 5 является однородным. Благодаря зеркалам 1, 7, 8 осуществляется положительная обратная связь оптического выхода лазера 3 с его входом. Интенсивность света, поступающего на вход лазера 3 с оптоэлектронного преобразователя 5, превышает интенсивность света, поступающего с выхода лазера 3, также многократно увеличивается. Таким образом, происходит лавинообразное увеличение световой энергии до тех пор, пока не произойдет насыщение, зависящее от характера элементов, входящих в состав вышеупомянутых узлов. С помощью корректирующей линзы 4 обеспечивается сопряжение светового пучка с оптического выхода оптоэлектронного преобразователя 5 с оптическим входом лазера 3 для осуществления накачки. Выход световой энергии осуществляется с помощью электрооптического модулятора 2. Режим его работы обеспечивает непрерывное или импульсное излучение.
Пример его конкретного исполнения представлен в вышеупомянутом втором аналоге стр.65-69. Как отмечено в источнике, указанном в первом аналоге на стр.329, оптические потери в кристалле модулятор составляют 0,5 дБ/м, что соответствует малому затуханию.
Предлагаемое устройство многократно увеличивает мощность излучения без увеличения громоздкости. При этом наиболее эффективно использование кристаллического лазера.
Формула изобретения
Оптоэлектронный передатчик, содержащий лазер и оптоэлектронный преобразователь, причем оптический выход лазера связан с оптическим входом оптоэлектронного преобразователя, отличающийся тем, что введены электрооптический модулятор, три зеркала и первая и вторая корректирующие линзы, при этом оптический выход лазера связан с оптическим входом оптоэлектронного преобразователя через электрооптический модулятор, выполненный с возможностью осуществления выхода излучения из оптоэлектронного передатчика, три зеркала и первую корректирующую линзу, обеспечивающую параллельность потока излучения, а оптический выход оптоэлектронного преобразователя, выполненного с возможностью формирования на выходе излучения с частотой, превышающей частоту излучения лазера, связан через вторую корректирующую линзу с оптическим входом лазера для осуществления его накачки.
РИСУНКИ
|
|