|
|
(21), (22) Заявка: 2004120759/09, 07.07.2004
(24) Дата начала отсчета срока действия патента:
07.07.2004
(45) Опубликовано: 20.02.2006
(56) Список документов, цитированных в отчете о поиске:
JP 10268033, 10.09.1998. US 5107267, 21.04.1992. US 5047774, 10.09.1991. US 6492931 B1, 10.02.2002. US 4121214, 17.10.1978. ВАКИН С.А., ШУСТОВ Л.Н. Основы радиопротиводействия и радиотехнической разведки. – М.: Советское радио, 1968, с. 316, рис.8.7). ВАН БРАНТ Л.Б. Справочник по методам радиолокационного подавления и помехозащиты систем с
Адрес для переписки:
443022, г.Самара, пр. Кирова, 24, ФГУП “НИИ “Экран”
|
(72) Автор(ы):
Климашин Геннадий Евгеньевич (RU), Белозеров Валентин Гаврилович (RU)
(73) Патентообладатель(и):
Федеральное государственное унитарное предприятие “НИИ” Экран” (RU)
|
(54) РАДИОЛОКАЦИОННАЯ ЛОВУШКА
(57) Реферат:
Изобретение относится к технике радиоэлектронной борьбы, радиолокационного противодействия. Технический результат заключается в повышении энергетического потенциала радиоэлектронной ловушки на завершающем этапе наведения управляемой ракеты. Для этого осуществляют автоматическое переключение с режима работы радиолокационной ловушки с временной развязкой: прием-передача в режим работы ловушки с пространственной развязкой и непрерывным переизлучением, благодаря чему и повышается энергетический потенциал ловушки на завершающем этапе наведения. 1 ил. 
(56) (продолжение):
CLASS=”b560m”радиолокационным управлением. Т.1, книга 2, глава 3, перевод с английского. LEROY В., VAN BRUNT E.W. Engineering, Inc., USA, 1978). ПЕРУНОВ Ю.М., ФОМИЧЕВ К.И., ЮДИН Л.М. Радиоэлектронное подавление информационных каналов систем управления оружием. Под редакцией Ю.М.Перунова. – М.: Радиотехника, 2003, с. 318, 319.
Изобретение относится к технике радиоэлектронной борьбы. Радиолокационная ловушка, выполненная в соответствии с предложенным техническим решением, может использоваться для построения радиоэлектронной ложной цели или ловушки, защищающей летательный аппарат от самонаводящейся ракеты с радиолокационной головкой самонаведения (РГС) путем перенацеливания ее на ловушку.
Известно устройство, содержащее приемную антенну, предварительный усилитель, усилитель мощности и передающую антенну [1]. Сигналы от РГС принимаются приемной антенной, усиливаются в предварительном усилителе, поступают на вход оконечного усилителя мощности и излучаются через передающую антенну с коэффициентом ретрансляции Кр, имитируя отраженный сигнал от объекта с реальной эффективной площадью рассеивания (ЭПР) защищаемого объекта.
Недостатком существующего технического решения является сложность реализации требуемой электромагнитной развязки между передающей и приемной антеннами, например, в отстреливаемых ловушках одноразового действия, имеющих обычно малые размеры (0.2-0.6) м, что ограничивает величину коэффициента ретрансляции Кр и возможность защиты объектов с повышенными ЭПР. В то же время увеличение размеров ловушки для достижения требуемой развязки часто недопустимо по массогабаритным ограничениям и условиям размещения на защищаемом летательном аппарате.
Известно устройство, реализующее метод временной развязки между приемной и передающей антеннами [2; 3], содержащее последовательно соединенные приемную антенну, входной коммутатор, линию задержки, усилительный тракт, выходной коммутатор и передающую антенну, а также формирователь парафазных коммутирующих импульсов (генератор стробирующих импульсов), первый и второй выходы которого подключены соответственно на управляющие входы входного и выходного коммутаторов. Использование этого метода дает возможность реализации высокого коэффициента ретрансляции Кр (до 100 дБ), так как во время переизлучения передающей антенной запомненного в линии задержки сигнала от РГС приемный тракт закрыт. На практике описанный метод реализуется в виде устройства, которое содержит последовательно соединенные приемную антенну, предварительный усилитель со стробирующим входом управления, линию задержки – элемент памяти, усилитель мощности со стробирующим входом управления и передающую антенну, а также парафазный генератор стробирующих импульсов, первый и второй выходы которого подключены соответственно на управляющие входы предварительного усилителя и усилителя мощности.
Недостатком существующего технического решения, реализованного в устройстве [2, 3] (прототип), является потеря мощности в режиме насыщения оконечного усилителя мощности в В2 раз, вызванная расширением спектра (В – скважность стробирования по времени). Практически, устойчивая работа ретранслятора обеспечивается при скважности стробирования В=2.2-2.5, что приводит к потерям 6.5-8 дБ не только мощности переизлучаемой доплеровской составляющей в режиме насыщения, но и коэффициента усиления (Ку) в линейном режиме и, как следствие, снижается эффективность применения ловушки на конечном этапе наведения управляемой ракеты с РГС.
Для компенсации потерь коэффициент усиления усилительного тракта увеличивают на (8-10) дБ. Однако указанная компенсация сохраняется только на линейном участке амплитудной характеристики усилительного тракта. На завершающем этапе наведения, когда возрастающий уровень входного сигнала вводит усилители в насыщение, указанные потери приводят к снижению энергетического потенциала ловушки и снижают вероятность защиты летательного аппарата.
В то же время простое увеличение выходной мощности усилителя за счет применения элементной базы повышенной мощности в режиме насыщения для компенсации потерь нецелесообразно, особенно для малоразмерных радиолокационных ловушек из-за практических ограничений по энергопотреблению и габаритам.
Целью изобретения является повышение эффективности применения ловушки на конечном этапе наведения управляемой ракеты с радиолокационной головкой самонаведения за счет увеличения энергетического потенциала ловушки.
Поставленная цель достигается тем, что в устройство, содержащее приемную антенну, парафазный генератор стробирующих импульсов, последовательно соединенные предварительный усилитель со стробирующим входом управления, линию задержки – элемент памяти, усилитель мощности со стробирующим входом управления и передающую антенну, введены два элемента ИЛИ, ждущий мультивибратор, компаратор напряжения, два интегратора напряжения, делитель напряжения с коэффициентом деления N<2, переключатель напряжения на два направления, амплитудный детектор и разветвитель СВЧ-сигналов с одним входом и двумя выходами, вход которого соединен с выходом приемной антенны, а первый выход – с входом предварительного усилителя, второй выход разветвителя СВЧ-сигналов соединен с входом амплитудного детектора, выход которого соединен с сигнальным входом переключателя напряжения, нормально замкнутый выход которого через первый интегратор напряжения соединен с неинвертирующим входом компаратора, а нормально разомкнутый выход через последовательно соединенные второй интегратор напряжения и делитель напряжения соединен с инвертирующим входом компаратора, выход которого соединен со входом ждущего мультивибратора, выход которого соединен с первыми входами элементов ИЛИ, вторые входы которых соединены соответственно с выходами парафазного генератора стробирующих импульсов, а выходы элементов ИЛИ соединены соответственно со стробирующими входами предварительного усилителя и усилителя мощности, стробирующий вход которого соединен с управляющим входом переключателя напряжения.
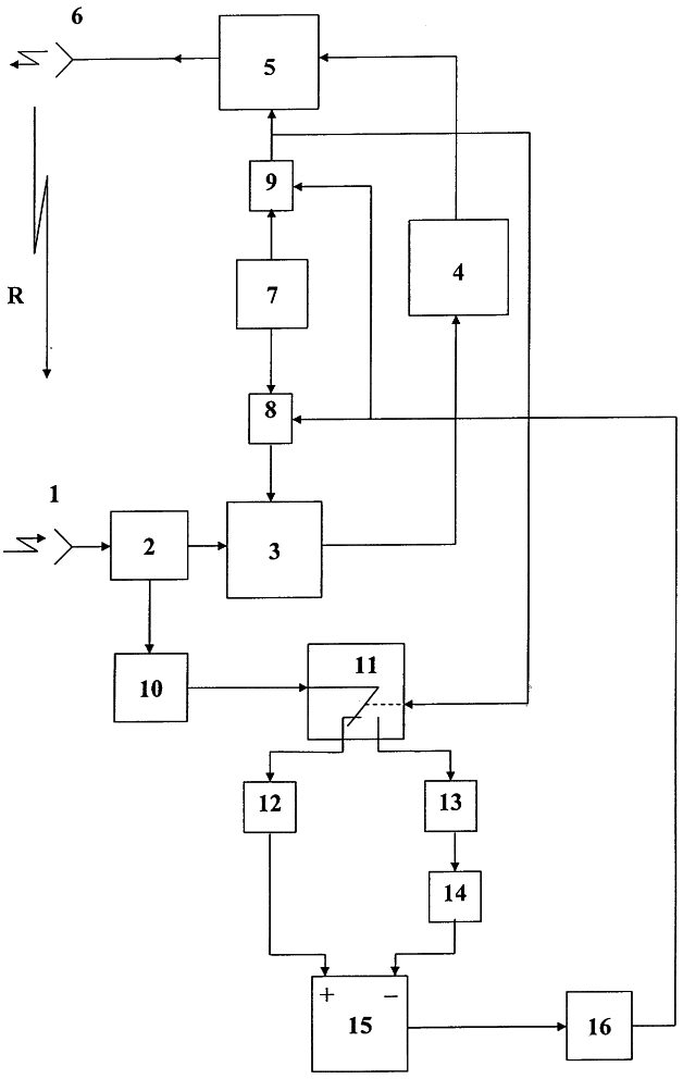
На чертеже представлена структурная схема радиолокационной ловушки.
Радиолокационной ловушка содержит приемную антенну 1, разветвитель СВЧ-сигналов 2, предварительный усилитель 3, линию задержки 4, усилитель мощности 5, передающую антенну 6, парафазный генератор стробирующих импульсов 7, элемент ИЛИ 8, элемент ИЛИ 9, амплитудный детектор 10, переключатель напряжения 11, интеграторы напряжения 12 и 13, делитель напряжения 14, компаратор 15 и ждущий мультивибратор 16. На чертеже буквенное обозначение R условно указывает на наличие электромагнитной связи между передающей и приемной антеннами.
Радиолокационная ловушка работает следующим образом.
На время запоминания сигнала в линии задержки (в режиме “прием”) стробирующий импульс с выхода генератора импульсов 7 через элемент ИЛИ 8 поступает на стробирующий вход предварительного усилителя 3 и открывает его. Сигнал от радиолокационной головки самонаведения (РГС) управляемой ракеты с выхода приемной антенны 1 через разветвитель 2 и открытый предварительный усилитель 3 поступает на вход линии задержки 4. На время запоминания сигнала стробирующий импульс в передающем канале отсутствует и усилитель мощности 5 закрыт. По окончании времени запоминания стробирующий импульс со второго выхода генератора импульсов 7 через элемент ИЛИ 9 поступает на стробирующий вход усилителя мощности 5 и открывает его на время переизлучения запомненного сигнала (режим “передача”). Поскольку стробирующие импульсы режимов приема и передачи являются противофазными, предварительный усилитель 3 на время передачи закрывается. Процесс “прием/передача” повторяется с периодом Т=(2.2-2.5) Тз, где Тз – время запоминания сигнала в линии задержки.
С выхода приемной антенны 1 часть суммарного сигнала РГС и передающей антенны 6 (в режиме “передача”) ответвляется разветвителем 2 на амплитудный детектор 10, детектируется и поступает на вход переключателя напряжения 11, который передает сигнал на вход интегратора 13 синхронно с открыванием усилителя мощности 5. С выхода интегратора 13 сигнал в виде постоянного напряжения с амплитудой, соответствующей суммарной мощности двух сигналов – сигнала от РГС и сигнала от передающей антенны 6, через делитель напряжения 14 с коэффициентом деления N<2 поступает на инвертирующий вход компаратора 15. В режиме “прием” со входа переключателя напряжения 11 сигнал, соответствующий только сигналу РГС, через нормально замкнутый канал переключателя и интегратор 12 в виде постоянного напряжения с амплитудой, соответствующей мощности принятого сигнала от РГС, поступает на неинвертирующий вход компаратора 15.
Суть формирования управляющего сигнала заключается в следующем. На начальном этапе наведения управляемой ракеты с РГС принимаемый ловушкой сигнал с уровнем Рргс имеет достаточно малый уровень мощности, и усилительный тракт работает в линейном режиме. Уровень переизлучаемого сигнала на выходе усилителя мощности в режиме “передача” РВ.Л=Ку·Рргс, при этом уровень переизлучаемого сигнала на входе ловушки в режиме “передача ” зависит от величины развязки R и определяется как РR.Л=Ку/R·Рргс, а с учетом сигнала Рргс суммарный уровень сигнала P на входе ловушки в режиме “передача” P =Рргс·(1+Ку/R). В определенный момент времени усилительный тракт входит в насыщение и выходная мощность практически остается постоянной на уровне Рнас., а коэффициент усиления в режиме насыщения Ку.нас снижается в процессе сближения УР с ловушкой. При условии Ку.нас R суммарный уровень сигнала P .нас Рргс·(1+Ку.нас/R) или Р .нас 2Рргс. После деления сигнала в делителе с коэффициентом деления N<2 компаратор в момент сравнения уровней запускает мультивибратор, который переводит ловушку в режим непрерывной ретрансляции сигнала от РГС на все время длительности импульса мультивибратора.
Заявленное техническое решение реализует автоматическое переключение радиолокационной ловушки в режим ретранслятора без временного стробирования на завершающем этапе наведения ракеты и тем самым повышает эффективность защиты летательного аппарата за счет увеличения уровня мощности доплеровской составляющей переизлучаемого сигнала на (6.5-8) дБ.
В заявленном устройстве могут быть применены серийно выпускаемые логические и аналоговые радиоэлементы. В качестве элемента памяти высокочастотных сигналов – акустическая линия задержки. В качестве усилителей – монолитные интегральные схемы (МИС) на основе арсенид-галлиевых полевых транзисторов, используемых в МИС СВЧ одновременно в качестве переключательных и усилительных элементов. На практике в усилительном тракте ловушки ретранслируемый сигнал наделяют амплитудной и (или) фазовой модуляцией, что необходимо для имитации флуктуации эффективной площади реальной цели.
Источники информации
1. Вакин С.А., Шустов Л.Н. Основы радиопротиводействия и радиотехнической разведки. М., Изд-во “Советское радио”, 1968, (стр.316, рис.8.7).
2. Л.Б.Ван Брант СПРАВОЧНИК по методам радиолокационного подавления и помехозащиты систем с радиолокационным управлением, том 1, книга 2, глава 3, перевод с английского (LEROY В. VAN BRUNT EW Engineering, Inc., USA, 1978) Л.М.Юдина, К.И.Фомичева и др., под редакцией К.И.Фомичева, Л.М.Юдина. 1985 (стр.310, рис.69. Прототип).
3. Перунов Ю.М., Фомичев К.И., Юдин Л.М. П26 Радиоэлектронное подавление информационных каналов систем управления оружием. Под ред. Ю.М.Перунова М.: “Радиотехника”, 2003 – 416 с.: ил. (стр.318, 319).
Формула изобретения
Радиолокационная ловушка, содержащая приемную антенну, парафазный генератор стробирующих импульсов, последовательно соединенные предварительный усилитель со стробирующим входом управления, линию задержки – элемент памяти, усилитель мощности со стробирующим входом управления и передающую антенну, отличающаяся тем, что в нее введены два элемента ИЛИ, ждущий мультивибратор, компаратор напряжения, два интегратора напряжения, делитель напряжения с коэффициентом деления < 2, переключатель напряжения на два направления, амплитудный детектор и разветвитель с одним входом и двумя выходами, вход которого соединен с выходом приемной антенны, а первый выход – с входом предварительного усилителя, второй выход разветвителя соединен с входом амплитудного детектора, выход которого соединен с сигнальным входом переключателя напряжения, нормально-замкнутый выход которого через первый интегратор соединен с не инвертирующим входом компаратора, а нормально-разомкнутый выход переключателя через последовательно соединенные второй интегратор напряжения и делитель напряжения соединен с инвертирующим входом компаратора, выход которого соединен со входом ждущего мультивибратора, выход которого соединен с первыми входами элементов ИЛИ, вторые входы которых соединены, соответственно, с выходами парафазного генератора, а выходы элементов ИЛИ соединены, соответственно, со стробирующими входами предварительного усилителя и усилителя мощности, стробирующий вход которого соединен с управляющим входом переключателя напряжения.
РИСУНКИ
|
|