|
|
(21), (22) Заявка: 2004104493/28, 16.02.2004
(24) Дата начала отсчета срока действия патента:
16.02.2004
(43) Дата публикации заявки: 27.07.2005
(45) Опубликовано: 20.02.2006
(56) Список документов, цитированных в отчете о поиске:
Типовая инструкция по компенсации емкостного тока замыкания на землю в электрических сетях 6-35 кВ. ТИ 34-70-070-87.- М.: СПО Союзтехэнерго, 1988, с.55. Электрическая часть станций и подстанций. А.А.Васильев, И.П.Крючков, Е.Ф.Наяшкова и др. – М.: Энергоатомиздат, 1990, с.576. Электроника и микросхемотехника. Ч.2. Электронные устройства промышленной
Адрес для переписки:
305040, г.Курск, ул. 50 лет Октября, 94, КурскГТУ, ОИС
|
(72) Автор(ы):
Локтионов Аскольд Петрович (RU), Максимов Юрий Яковлевич (RU)
(73) Патентообладатель(и):
Государственное образовательное учреждение Курский государственный технический университет (ГОУКурскГТУ) (RU)
|
(54) СПОСОБ ОПРЕДЕЛЕНИЯ МАКСИМАЛЬНОГО ЕМКОСТНОГО ТОКА ОДНОФАЗНОГО ЗАМЫКАНИЯ НА ЗЕМЛЮ В ТРЕХФАЗНОЙ КАБЕЛЬНОЙ ЭЛЕКТРИЧЕСКОЙ СЕТИ С КОМПЕНСИРОВАННОЙ ЗАЗЕМЛЯЮЩИМ ДУГОГАСЯЩИМ СТУПЕНЧАТОРЕГУЛИРУЕМЫМ РЕАКТОРОМ НЕЙТРАЛЬЮ
(57) Реферат:
Изобретение относится к измерительной технике, а именно к технике определения максимального емкостного тока однофазного замыкания на землю. Технический результат – повышение точности определения максимального емкостного тока однофазного замыкания на землю. Для достижения данного результата в процессе периодической компенсации емкостного тока однофазного замыкания сети на землю осуществляют первое измерение напряжения смещения нейтрали, перестройку ответвлений реактора, второе измерение напряжения смещения нейтрали. При этом в процессе очередной компенсации емкостного тока однофазного замыкания на землю с первым и вторым измерением напряжения смещения нейтрали совместно измеряют ток через реактор, угол сдвига по фазе напряжения смещения нейтрали относительно тока через реактор, угол сдвига по фазе фазного напряжения сети в фазе с дополнительной емкостью относительно тока через реактор, фазное напряжение сети и частоту сети. 1 ил. 
(56) (продолжение):
CLASS=”b560m”автоматики: Учебник / Под общ. ред. А.А.Краснопрошиной. – К.: Выща школа, 1989, с.69-79. SU 1483408 А, 30.05.1989. US 4398232 А, 09.08.1983.
Изобретение относится к электроизмерительной технике, а именно к способам определения параметров электрической кабельной сети, и может быть использовано при экспериментальных измерениях. Достигаемый технический результат – определение максимального емкостного тока однофазного замыкания на землю в электрической сети с заземляющим ступенчаторегулируемым реактором экспериментально-расчетным путем при рабочем напряжении без перерыва в электроснабжении в промежутках времени между очередными компенсациями емкостного тока.
Известен способ определения максимального емкостного тока однофазного замыкания на землю в электрической сети с заземляющим ступенчаторегулируемым реактором, по которому перестраивают ответвления реактора и строят кривую зависимости напряжения смещения нейтрали от настройки реактора, по полученной кривой производят определение максимального емкостного тока однофазного замыкания на землю [1, с.45].
Однако этот способ имеет недостатки: реализация способа весьма сложна из-за необходимости большого количества перестроек ответвлений реактора и измерений, необходима аппроксимация кривой в области резонансной настройки для определения значения резонансного тока по максимуму напряжения смещения нейтрали, аппроксимация кривой сопряжена с погрешностью аппроксимации. Погрешность аппроксимации может снижаться опять же с увеличением количества перестроек ответвлений реактора и измерений.
Наиболее близким по технической сущности к заявляемому является способ определения максимального емкостного тока однофазного замыкания на землю в трехфазной кабельной электрической сети с компенсированной заземляющим дугогасящим ступенчаторегулируемым реактором нейтралью, включающий при периодической компенсации емкостного тока однофазного замыкания сети на землю подключение между одной из фаз сети и землей дополнительной емкости, первое измерение напряжения смещения нейтрали, перестройку ответвлений реактора, второе измерение напряжения смещения нейтрали и определение максимального емкостного тока сети по формуле

где Ik1н, Ik2н – значения установленных токов компенсации для используемых состояний перестройки реактора;
U01н, U02н – значения напряжений смещения нейтрали для используемых состояний перестройки реактора [1, с.47].
Однако этот способ обладает невысокой точностью определения максимального емкостного тока однофазного замыкания на землю и малыми функциональными возможностями. В нем ток замыкания на землю определяется только при очередной компенсации емкостного тока однофазного замыкания сети на землю. В способе накладывается ограничение на диапазон перестройки ответвлений реактора, диапазон перестройки должен быть в непрерывно возрастающей либо в непрерывно убывающей области зависимости напряжения смещения нейтрали от настройки реактора. В способе не определяется ток замыкания в промежутках между компенсациями при возможных изменениях сети. В способе значение тока замыкания на землю определяется с учетом временно подключенной дополнительной емкости и не делается поправка на отключение этой емкости после очередной компенсации. Кроме того, способ не позволяет определять степень расстройки компенсации, тем более с учетом знака, как один из основных параметров компенсации емкостного тока в промежутках времени между очередными компенсациями, которые согласно [1, п.1.7.] проводятся с периодичностью не реже одного раза в 6 лет.
Технической задачей заявляемого изобретения являются повышение точности определения максимального емкостного тока однофазного замыкания на землю при настройке реактора и расширение функциональных возможностей определением максимального емкостного тока однофазного замыкания на землю в промежутках между очередными настройками реактора, степени расстройки компенсации емкостного тока при настройках реактора и в промежутках времени между очередными настройками реактора (компенсациями).
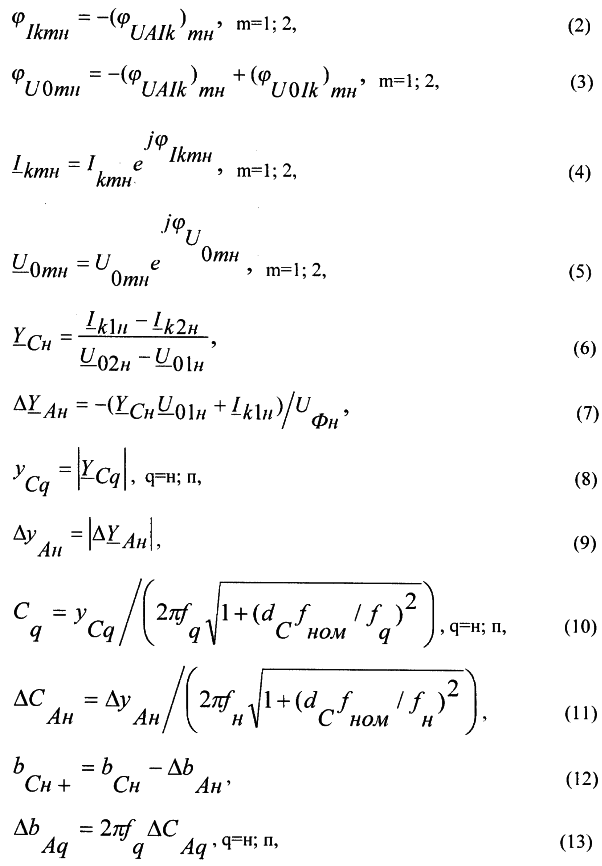
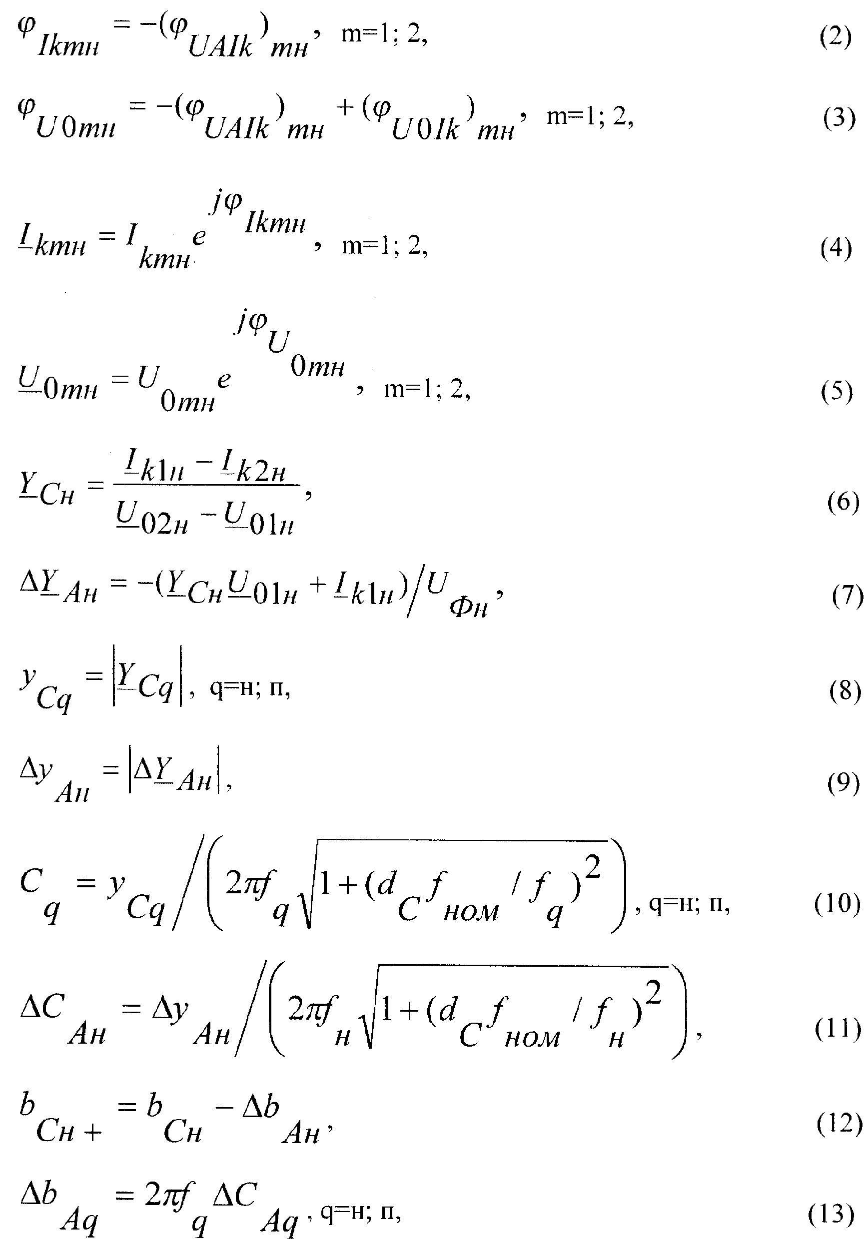
Сущность предлагаемого способа заключается в том, что в способе определения максимального емкостного тока однофазного замыкания на землю в трехфазной кабельной электрической сети с компенсированной заземляющим дугогасящим ступенчаторегулируемым реактором нейтралью, включающем при периодической компенсации емкостного тока однофазного замыкания сети на землю подключение между одной из фаз сети и землей дополнительной емкости, первое измерение напряжения смещения нейтрали, перестройку ответвлений реактора, второе измерение напряжения смещения нейтрали, при очередной компенсации емкостного тока однофазного замыкания на землю с первым и вторым измерением напряжения смещения нейтрали совместно измеряют ток через реактор, угол сдвига по фазе напряжения смещения нейтрали относительно тока через реактор, угол сдвига по фазе фазного напряжения сети в фазе с дополнительной емкостью относительно тока через реактор, фазное напряжение сети, частоту сети, в промежутках времени между очередными компенсациями емкостного тока однофазного замыкания сети на землю временно подключают между одной из фаз сети и землей дополнительную эталонную емкость, производят совместные измерения величин напряжения смещения нейтрали, фазного напряжения сети, тока через реактор, частоты сети, угла сдвига по фазе напряжения смещения нейтрали относительно тока через реактор, угла сдвига по фазе фазного напряжения сети в фазе с дополнительной эталонной емкостью относительно тока через реактор, а параметры сети определяют по формулам:



где b, g, у – соответственно реактивная, активная и полная проводимости участков цепи,
С – емкость,
коэффициент успокоения сети без учета реактора при номинальной частоте питания,
– тангенс угла потерь реактора при номинальной частоте питания,
еj – оператор поворота вектора на угол ,
f – частота сети,
– максимальный емкостный ток однофазного замыкания сети на землю для состояния сети непосредственно после периодической компенсации емкостного тока однофазного замыкания сети на землю и отключения дополнительной емкости в фазе А сети при f=fном, Uф=Uфном,
Ik – ток через реактор,
UO – напряжение смещений нейтрали,
Uф – фазное напряжение сети 
– комплексное значение проводимости,
СА, bA,  yA, – соответственно емкость, реактивная проводимость, комплексное значение проводимости и модуль проводимости дополнительной емкости в фазе А сети,
– емкостная асимметрия сети,
I0, U0,( UAI0),( U0I0) – соответственно угол сдвига по фазе тока через реактор относительно фазного напряжения источника в фазе А, угол сдвига по фазе напряжения смещения нейтрали относительно фазного напряжения источника в фазе А, угол сдвига по фазе фазного напряжения источника в фазе А относительно тока через реактор, угол сдвига по фазе напряжения смещения нейтрали относительно тока через реактор,
– степень расстройки компенсации, подстрочный индекс “А” при символах параметров указывает на принадлежность параметра к фазе А сети, к которой для определенности подключают дополнительную емкость; подстрочные индексы “н” и “п” при символах параметров указывают на принадлежность соответственно к настройке реактора при периодической компенсации емкостного тока однофазного замыкания на землю и к промежутку времени между очередными компенсациями емкостного тока однофазного замыкания сети на землю; подстрочные индексы “С” и “k” при символах параметров указывают на принадлежность символа соответственно к сети без учета реактора и к реактору; подстрочный индекс “m” при символах параметров указывает на принадлежность к состоянию перестройки ответвлений реактора (при первом состоянии m=1, при втором состоянии m=2); подстрочный индекс “+” при символах параметров указывает на принадлежность к состоянию, непосредственно следующему за отключением дополнительной емкости в фазе А сети; подстрочный индекс “ном” при символе параметра указывает на номинальное его значение; подчеркивание символов напряжения и тока указывает на комплексный характер их величин.
На чертеже представлена структурная схема, реализующего предлагаемый способ устройства измерения максимального емкостного тока однофазного замыкания на землю в кабельной сети с заземляющим ступенчаторегулируемым реактором.
Устройство содержит кабельную трехфазную электрическую сеть 1 с фазами А, В, С, трансформатор 2, подключаемую для определенности к фазе А дополнительную емкость 3, заземляющий дугогасящий ступенчаторегулируемый реактор 4, подключенный между нейтралью N трансформатора 2 и землей. Между нейтралью N трансформатора 2 и землей своей первичной обмоткой подключен трансформатор напряжения 5, к вторичной обмотке которого подключен вольтметр 6. Последовательно с реактором 4 подключен своей первичной обмоткой трансформатор тока 7. В цепь вторичной обмотки трансформатора тока 7 включен амперметр 8. Дополнительная емкость 3 подключена к фазе А выключателем 9. К фазам А, В, С сети 1 первичной обмоткой, соединенной в “звезду” с заземленной нейтралью, подключен трансформатор напряжения 10, ко вторичной обмотке которого подключен частотомер 11 и вольтметр 12 для измерения фазного напряжения UФ сети 1, в частности, фазного напряжения UA фазы А сети 1. Устройство содержит также фазометр 13. Фазометр 13 токовым входом 14 через амперметр 8 подключен к вторичной обмотке трансформатора тока 7. Фазометр 13 входом напряжения 15 через переключатель 16 подключен к вторичным обмоткам трансформаторов напряжения 5 и 10.
Устройство работает следующим образом. При проведении очередной компенсации емкостного тока однофазного замыкания сети на землю выключателем 9 временно подключают дополнительную емкость 3, например фазу резервной кабельной линии. При первом состоянии настройки заземляющего дугогасящего ступенчаторегулируемого реактора 4 производят первые совместные измерения величин напряжения смещения нейтрали U01н вольтметром 6, фазного напряжения UФн=UАн вольтметром 12, тока через реактор Ik1н амперметром 8, угла сдвига по фазе фазного напряжения сети в фазе А с дополнительной эталонной емкостью относительно тока через реактор ( UAIk)1H фазометром 13 при исходном состоянии переключателя 16, угла сдвига по фазе напряжения смещения нейтрали относительно тока через реактор ( U0Ik)1H фазометром 13 при включенном состоянии переключателя 16, частоту сети fн частотомером 11. Производят переход во второе состояние настройки заземляющего дугогасящего ступенчаторегулируемого реактора 4 перестройкой его ответвлений. При втором состоянии настройки заземляющего дугогасящего ступенчаторегулируемого реактора 4 производят вторые совместные измерения величин напряжения смещения нейтрали U02н, фазного напряжения UФн=UАн, тока через заземляющий дугогасящий ступенчаторегулируемый реактор Ik2н, угла сдвига по фазе напряжения смещения нейтрали относительно тока через реактор ( U0Ik)2н угла сдвига по фазе фазного напряжения сети в фазе А с дополнительной эталонной емкостью относительно тока через реактор ( UAIk)2н частоту сети fн. Затем выключателем 9 отключают дополнительную емкость 3.
По результатам первых и вторых совместных измерений величин напряжений, тока, фазовых углов и частоты определяют по формулам (2)…(10) при q=H емкость сети Сн в момент компенсации, по формуле (11) дополнительную емкость CAнв фазе А сети, по формулам (12)…(15) при q=н емкостную асимметрию сети н в момент компенсации, по формулам (16), (17) степень расстройки компенсации н+ в состоянии сети, непосредственно следующем за отключением дополнительной емкости в фазе А сети по завершении очередной компенсации, по формуле (18) при q=н емкость сети Сн+ в состоянии сети, непосредственно следующем за отключением дополнительной емкости в фазе А сети по завершении очередной компенсации, по формуле (19) при q=н максимальный емкостный ток однофазного замыкания сети на землю (IСн+)fном,Uфном Для состояния сети непосредственно после периодической компенсации емкостного тока однофазного замыкания сети на землю и отключения дополнительной емкости в фазе А сети при f=fном; Uф=Uфном.
Результатом компенсации емкостного тока считают настройку заземляющего дугогасящего ступенчаторегулируемого реактора 4 при наибольшем напряжении смещения нейтрали в режиме перекомпенсации. Для определенности первое состояние настройки заземляющего дугогасящего ступенчаторегулируемого реактора считаем результатом его настройки при компенсации емкостного тока.
В промежутках времени между очередными компенсациями при необходимости уточнения параметров сети после возможных ее изменений, не изменяя настройки заземляющего дугогасящего ступенчаторегулируемого реактора 4, подключают выключателем 9 дополнительную эталонную емкость 3, например косинусный конденсатор, или фазу резервной кабельной линии с известными параметрами, или фазу резервной кабельной линии, использованную при предыдущей компенсации, параметры которой были определены в процессе реализации рассматриваемого способа. Производят совместные измерения величин напряжения смещения нейтрали U0п, фазного напряжения UФп=UАп, тока через заземляющий дугогасящий ступенчаторегулируемый реактор Ikп, угла сдвига по фазе напряжения смещения нейтрали относительно тока через заземляющий дугогасящий ступенчаторегулируемый реактор ( U0Ik)п, угла сдвига по фазе фазного напряжения сети в фазе А с дополнительной эталонной емкостью относительно тока через заземляющий дугогасящий ступенчаторегулируемый реактор ( UAIk)1н, частоту сети fн.
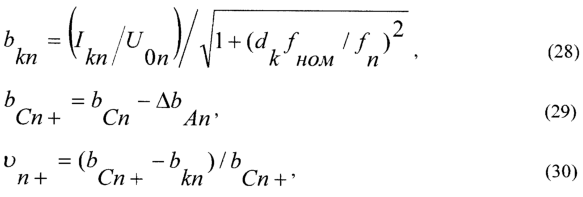
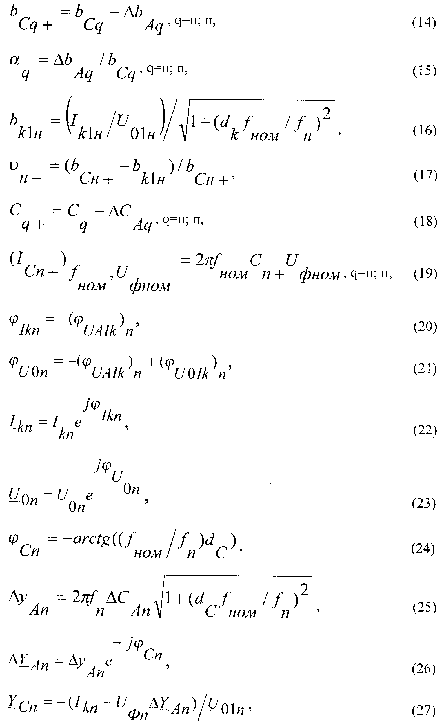
По результатам совместных измерений величин напряжений, тока, фазовых углов и частоты определяют по формулам (20)…(27) и (8), (10) при q=п емкость сети Сп в момент измерений, по формулам (13)…(15) при q=п емкостную асимметрию сети п в момент измерений, по формулам (28)…(30) степень расстройки компенсации п+ в состоянии сети, непосредственно следующем за отключением дополнительной емкости в фазе А сети после измерений, по формулам (18) и (19) при q=п емкость сети Сп+ и максимальный емкостный ток однофазного замыкания сети на землю (IСп+)fном,Uфном в состоянии сети, непосредственно следующем за отключением дополнительной емкости в фазе А сети после измерений.
Формулы (2)-(30) есть результат решения системы уравнений в [1; 2] для кабельной сети:







где – оператор трехфазной системы;
d – коэффициент успокоения сети; 
– комплексные фазные напряжения;
– комплексные полные проводимости фаз приемников;
– напряжение на нейтрали сети, обусловленное несимметрией емкостей фаз относительно земли;
СФ – емкость одной из фаз относительно земли;
– круговая частота сети ( =2 f).
Таким образом, способ применим для практического использования в кабельных сетях с заземляющим ступенчаторегулируемым реактором, позволяет достоверно определять экспериментально-расчетным путем при рабочем напряжении без перерыва в электроснабжении при очередной компенсации и в промежутках времени между очередными компенсациями емкостного тока параметры сети: максимальный емкостный ток однофазного замыкания сети на землю, степень расстройки компенсации, емкость сети относительно земли.
Источники информации
1. Типовая инструкция по компенсации емкостного тока замыкания на землю в электрических сетях 6-35 кВ, ТИ 34-70-070-87. – М.: СПО Союзтехэнерго, М.:1988. – 55 с.
2. Электрическая часть станций и подстанций / А.А.Васильев, И.П.Крючков, Е.Ф.Наяшкова и др. – М.: Энергоатомиздат, 1990. – 576 с.
Формула изобретения
Способ определения максимального емкостного тока однофазного замыкания на землю в трехфазной кабельной электрической сети с компенсированной заземляющим дугогасящим ступенчаторегулируемым реактором нейтралью, включающий при периодической компенсации емкостного тока однофазного замыкания сети на землю подключение между одной из фаз сети и землей дополнительной емкости, первое измерение напряжения смещения нейтрали, перестройку ответвлений реактора, второе измерение напряжения смещения нейтрали, отличающийся тем, что при очередной компенсации емкостного тока однофазного замыкания на землю с первым и вторым измерениями напряжения смещения нейтрали совместно измеряют ток через реактор, угол сдвига по фазе напряжения смещения нейтрали относительно тока через реактор, угол сдвига по фазе фазного напряжения сети в фазе с дополнительной емкостью относительно тока через реактор, фазное напряжение сети, частоту сети, в промежутках времени между очередными компенсациями емкостного тока однофазного замыкания сети на землю временно подключают между одной из фаз сети и землей дополнительную эталонную емкость, производят совместные измерения величин напряжения смещения нейтрали, фазного напряжения сети, тока через реактор, частоты сети, угла сдвига по фазе напряжения смещения нейтрали относительно тока через реактор, угла сдвига по фазе фазного напряжения сети в фазе с дополнительной эталонной емкостью относительно тока через реактор, а параметры сети определяют по формулам:





























где b, g, у – соответственно реактивная, активная и полная проводимости участков цепи,
С – емкость,
dc=(gc/bc)fном – коэффициент успокоения сети без учета реактора при номинальной частоте питания,
dk=(gk/bk)fном – тангенс угла потерь реактора при номинальной частоте питания,
еj – оператор поворота вектора на угол ,
f – частота сети,
(IСн+)fном,Uфном – максимальный емкостный ток однофазного замыкания сети на землю для состояния сети непосредственно после периодической компенсации емкостного тока однофазного замыкания сети на землю и отключения дополнительной емкости в фазе А сети при f=fном, Uф=Uфном,
Ik – ток через реактор,
U0 – напряжение смещения нейтрали,
Uф – фазное напряжение сети (UФ=UA),
Y– комплексное значение проводимости,
СА, bА, уА, – соответственно емкость, реактивная проводимость,
комплексное значение проводимости и модуль проводимости дополнительной емкости в фазе А сети,
– емкостная асимметрия сети,
I0, U0, ( UAI0),( U0I0) – соответственно угол сдвига по фазе тока через реактор относительно фазного напряжения источника в фазе А, угол сдвига по фазе напряжения смещения нейтрали относительно фазного напряжения источника в фазе А, угол сдвига по фазе фазного напряжения источника в фазе А относительно тока через реактор, угол сдвига по фазе напряжения смещения нейтрали относительно тока через реактор,
– степень расстройки компенсации, подстрочный индекс “А” при символах параметров указывает на принадлежность параметра к фазе А сети, к которой для определенности подключают дополнительную емкость; подстрочные индексы “н” и “п” при символах параметров указывают на принадлежность соответственно к настройке реактора при периодической компенсации емкостного тока однофазного замыкания на землю и к промежутку времени между очередными компенсациями емкостного тока однофазного замыкания сети на землю; подстрочные индексы “С” и “k” при символах параметров указывают на принадлежность символа соответственно к сети без учета реактора и к реактору; подстрочный индекс “m” при символах параметров указывает на принадлежность к состоянию перестройки ответвлений реактора (при первом состоянии m=1, при втором состоянии m=2); подстрочный индекс “+” при символах параметров указывает на принадлежность к состоянию, непосредственно следующему за отключением дополнительной емкости в фазе А сети; подстрочный индекс “ном” при символе параметра указывает на номинальное его значение; подчеркивание символов напряжения и тока указывает на комплексный характер их величин.
РИСУНКИ
MM4A – Досрочное прекращение действия патента СССР или патента Российской Федерации на изобретение из-за неуплаты в установленный срок пошлины за поддержание патента в силе
Дата прекращения действия патента: 17.02.2006
Извещение опубликовано: 27.04.2007 БИ: 12/2007
|
|