|
(21), (22) Заявка: 2004121005/02, 08.07.2004
(24) Дата начала отсчета срока действия патента:
08.07.2004
(45) Опубликовано: 20.02.2006
(56) Список документов, цитированных в отчете о поиске:
RU 2094748 C1, 27.10.1997. RU 2085826 C1, 27.07.1997. US 4455943 A, 26.06.1984. FR 2694626 A1, 11.02.1994. WO 00/75599 A1, 14.12.2000. Ж. “Крылья Родины”, № 8, 1993, с. 26.
Адрес для переписки:
141700, Московская обл., г. Долгопрудный, пл. Собина, 1, ОАО “ДНПП”, Руководителю предприятия
|
(72) Автор(ы):
Акимов Владимир Николаевич (RU), Булгакова Руфа Георгиевна (RU), Гавришин Станислав Сергеевич (RU), Ежов Геннадий Петрович (RU), Кувшинов Евгений Михайлович (RU), Торлопов Александр Кимович (RU), Уласевич Владимир Павлович (RU), Фокин Анатолий Сергеевич (RU), Эктов Василий Петрович (RU)
(73) Патентообладатель(и):
Открытое акционерное общество “Долгопрудненское научно-производственное предприятие” (RU)
|
(54) РАКЕТА
(57) Реферат:
Изобретение относится к ракетной технике, в частности к конструктивному выполнению ракет с аэродинамическими органами управления. Ракета выполнена по нормальной аэродинамической схеме, содержит корпус, размещенные в нем двигатель, аппаратуру системы наведения и системы управления, боевое снаряжение, а также четыре неподвижных крыла и четыре аэродинамических руля системы управления. Крылья и рули расположены на корпусе равномерно относительно его продольной оси. Высокие маневренные характеристики ракеты обеспечиваются за счет выполнения крыльев, аэродинамических рулей и корпуса ракеты с определенными соотношениями размеров этих частей. 10 ил. 
Изобретение относится к ракетной технике, в частности к управляемым ракетам, и может быть использовано в различных типах и классах ракет с аэродинамическими органами управления.
Известна ракета, выполненная по нормальной аэродинамической схеме, содержащая корпус, размещенные в нем двигатель, аппаратуру системы наведения и системы управления, боевое снаряжение, а также четыре неподвижных крыла и четыре аэродинамических руля системы управления, расположенных на корпусе равномерно относительно его продольной оси.
Эта ракета с разной степенью раскрытия описана в книге “Проектирование ЗУР” – М.: МАИ, 1999, с.20 и журнале “Техника и вооружение вчера, сегодня, завтра…” №5-6, 1999, с.36. Последнее техническое решение взято в качестве прототипа по данной заявке.
Эта управляемая ракета класса “поверхность – воздух” имеет цилиндрический корпус и крылья малого удлинения трапециевидной формы в плане. Корпус и крылья являются основными элементами, создающими подъемную силу. Носовая часть имеет оживальную форму.
В описанных выше решениях не представлены соотношения геометрических размеров крыла, руля и корпуса ракеты, что не позволяет судить о возможных аэродинамических характеристиках, в частности о коэффициенте подъемной силы и располагаемых перегрузках.
Целью изобретения является разработка высокоманевренной, высокоскоростной ракеты с высокими аэродинамическими характеристиками.
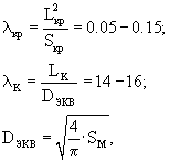
Указанная цель достигается тем, что в управляемой ракете, выполненной по нормальной аэродинамической схеме, содержащей корпус, размещенные в нем двигатель, аппаратуру системы наведения и системы управления, боевое снаряжение, а также четыре неподвижных крыла и четыре аэродинамических руля системы управления, расположенных на корпусе равномерно относительно его продольной оси, крылья, аэродинамические рули системы управления и корпус выполнены таким образом, что имеют следующие соотношения размеров:



где – относительная площадь крыла;
Sкр – площадь крыла;
SM – площадь миделя ракеты;
– относительная площадь руля;
SP – площадь руля;
– относительный размах крыла;
Lкр – размах крыла;
Lp – размах руля;
кр – удлинение крыла;
к – удлинение корпуса ракеты;
Lk – длина ракеты;
DЭКВ – диаметр круга, площадь которого соответствует площади миделя ракеты.
При использовании ракеты согласно изобретению обеспечивается поражение воздушных целей, в том числе высокоманевренных истребителей и штурмовиков днем и ночью, в простых и сложных метеоусловиях, с любых направлений (всенаправленность) при активном информационном (помеховом) и маневренном противодействии противника. Ракета способна поражать такие специфические цели как крылатая ракета, ракета “воздух – поверхность” и т.д.
Ракета с заявленным соотношением размеров решает задачу размещения на пусковой установке в условиях жестких габаритных ограничений. Оптимальный диапазон параметров найден по результатам многочисленных исследований ракет различной геометрии в аэродинамических трубах и подтвержден результатами летных испытаний.
Ракета с данным соотношением геометрических размеров обеспечивает высокие аэродинамические характеристики во всем диапазоне ее применения.
Так, максимальный угол атаки составляет max 30°, максимально допустимая поперечная перегрузка равна nymax 35 ед. как на пассивном, так и на активном участках траектории за счет введения аппаратурного ограничения.
При выходе за пределы указанных соотношений размеров ракета в значительной степени теряет свои маневренные и скоростные возможности за счет резкого возрастания коэффициента сопротивления СХ и значительного уменьшения коэффициента нормальной силы Су.
Таким образом, выбор соотношения размеров ракеты в указанных пределах обеспечивает ее высокие маневренные характеристики в диапазоне углов атаки  0-30° и чисел М 0,7-5.
На фиг.1 изображен общий вид предлагаемой ракеты; на фиг.2 – вид спереди на фиг.1; на фиг.3 – сечение А-А на фиг.1; на фиг.4 – графическое изображение зависимости балансировочного угла атаки от относительного размаха крыла ; на фиг.5 – графическое изображение зависимости коэффициента нормальной силы от относительного размаха крыла ; на фиг.6 – графическое изображение зависимости дополнительного коэффициента нормальной силы, связанного с отклонением рулей от относительного размаха крыла ; на фиг.7 – графическое изображение зависимости коэффициента продольной статической устойчивости от относительного размаха крыла ; на фиг.8 – графическое изображение зависимости коэффициента продольной статической устойчивости от угла атаки ; на фиг.9 – графическое изображение зависимости коэффициента нормальной силы от числа М; на фиг.10 – графическое изображение зависимости коэффициента сопротивления от числа М.
Ракета содержит корпус 1, включающий передний обтекатель 2 оживальной формы. Внутри корпуса 1 размещена аппаратура системы наведения и системы управления, а также двигательная установка (не показаны).
Ракета скомпонована по нормальной аэродинамической схеме, в соответствии с которой размещены на корпусе 1 в его хвостовой части четыре неподвижных крыла малого удлинения 3 и четыре руля 4. Крылья 3 и рули 4 размещены на корпусе 1 равномерно относительно его продольной оси.
Для оптимизации аэродинамических характеристик ракеты выбраны соотношения размеров корпуса 1 ракеты, ее крыльев 3 и рулей 4, указанные выше.
Ракеты с крыльями малого удлинения, обеспечивающими малый поперечный габарит, предназначены для маневрирования на больших углах атаки.
Выбор соотношения размеров рулей, крыльев и корпуса ракеты в целом в определенных пределах позволяет уменьшить или устранить ряд технических проблем (или части этих проблем).
Маневрирование на больших углах атаки ( 30°) позволяет обеспечить высокий уровень поперечных перегрузок во всем диапазоне применения ракеты.
Как известно, величина поперечной перегрузки пропорциональна величине нормальной силы ракеты, которая определяется по формуле
У=Cy·q·S,
где СУ – коэффициент нормальной силы ракеты;
q – скоростной напор, кг/м2;
S – характерный размер, м2.
Величина дальности полета ракеты обратно пропорциональна силе сопротивления ракеты, которая определяется по формуле
Х=CX·q·S,
где СХ – коэффициент сопротивления ракеты.
На фиг.5, 6, 9, 10 приведены зависимости СУ, СХ от заявленных параметров ракеты.
Ракета с заявленным соотношением размеров обеспечивает наиболее высокие маневренные характеристики при минимуме коэффициента сопротивления.
Данные параметры определены в результате систематических исследований в аэродинамических трубах ракет различной геометрии и подтверждены результатами летных испытаний.
При выходе за пределы заявленных параметров ракета в значительной степени теряет свои маневренные свойства за счет резкого уменьшения коэффициента нормальной силы и увеличения коэффициента продольной статической устойчивости.
Таким образом, ракета с заявленным соотношением размеров обеспечивает высокие аэродинамические характеристики во всем диапазоне ее применения, максимально допустимая перегрузка составляет nymax 35 ед. при углах атаки  30°.
Источники информации
1. “Проектирование зенитных управляемых ракет” – М.: МАИ, 1999, с.20.
2. “Техника и вооружение вчера, сегодня, завтра…”. – Научно-популярный журнал, №5-6, 1999, с.36. Прототип.
Формула изобретения
Ракета, выполненная по нормальной аэродинамической схеме, содержащая корпус, размещенные в нем двигатель, аппаратуру системы наведения и системы управления, боевое снаряжение, а также четыре неподвижных крыла и четыре аэродинамических руля системы управления, расположенных на корпусе равномерно относительно его продольной оси, отличающаяся тем, что крылья, аэродинамические рули системы управления и корпус выполнены таким образом, что имеют следующие соотношения размеров:



где – относительная площадь крыла;
Sкр – площадь крыла;
SM – площадь миделя ракеты;
– относительная площадь руля;
SP – площадь руля;
– относительный размах крыла;
Lкр – размах крыла;
Lp – размах руля;
кр – удлинение крыла;
К – удлинение корпуса ракеты;
LК – длина ракеты;
DЭКВ – диаметр круга, площадь которого соответствует площади миделя ракеты.
РИСУНКИ
|