|
(21), (22) Заявка: 2004128316/11, 23.09.2004
(24) Дата начала отсчета срока действия патента:
23.09.2004
(45) Опубликовано: 20.02.2006
(56) Список документов, цитированных в отчете о поиске:
GB 770555 A, 20.03.1957. RU 2044158 C1, 20.09.1995. RU 2051832 C1, 10.01.1996. FR 2608689 A, 24.06.1988.
Адрес для переписки:
249096, Калужская обл., г. Малоярославец, ул. Стадионная, 2, кв.40, А.М. Моисееву
|
(72) Автор(ы):
Моисеев Анатолий Михайлович (RU)
(73) Патентообладатель(и):
Моисеев Анатолий Михайлович (RU)
|
(54) ИНЕРЦИОННЫЙ ДВИЖИТЕЛЬ
(57) Реферат:
Изобретение относится к области транспортного машиностроения. Инерционный движитель содержит ведущий вал 1 с направляющей 2, неподвижный внутренний кулачок 3 в виде витка спирали, замыкаемый рядом ступенек. В направляющих противоположно расположены инерционные элементы в виде оси 4 и роликов 5. Ведущий вал приводит в движение инерционные элементы, поочередно каждый из них создает движущую импульсную силу инерции при движении противоположно расположенного элемента по ступенькам. Технический результат – увеличение количества движущих импульсов от каждого инерционного элемента. 2 ил. 
Изобретение относится к машиностроению и может быть использовано в качестве движителя транспортного средства.
Известен инерционный движитель (а.с. 1002707, F 16 Н 33/14 07.03.83), содержащий упор или кулачок в виде неподвижного кольца, расположенного эксцентрично оси ведущего вала, в последнем имеется прямолинейная направляющая, в которой расположен инерционный элемент в виде двух жестко связанных масс, каждая из которых имеет оси и расположенные на них ролики, поочередно взаимодействующие с кулачком. При вращении ведущего вала инерционный элемент поочередно приходит в соприкосновение с кулачком и создает тяговое усилие.
Недостатком данного движителя является то, что поочередное взаимодействие инерционного элемента с кулачком происходит с жестким ударом.
Наиболее близким по техническому решению является инерционный движитель, прототип (заявка 2004116946 от 04 июня 2004 г.), содержащий ведущий вал с направляющей, противоположно расположенные инерционные элементы в виде осей и роликов, неподвижный внутренний кулачок в виде витка спирали, замыкаемой ступенькой.
Ведущий вал приводит в движение инерционные элементы, поочередно каждый из них создает движущую импульсную силу инерции при прямолинейном движении противоположного элемента.
Недостатком прототипа является то, что за один оборот ведущего вала инерционный элемент создает движущую силу один раз. При выполнении кулачка, увеличивающего продолжительность импульсивной силы, возникают значимые ударные импульсы.
Целью изобретения является увеличение количества движущих импульсов от каждого инерционного элемента, за каждый оборот ведущего вала.
Указанная цель достигается тем, что неподвижный внутренний кулачок с профилем витка спирали замыкается через ряд ступенек, расположенных по спирали.
В прототипе инерционный элемент создает движущую импульсную силу инерции при расположении противоположного инерционного элемента между ступенькой и витком спирали.
В предлагаемом решении кулачок имеет ряд ступенек и спиральных участков, отсюда каждый раз, когда один из инерционных элементов движется от ступеньки до спирали, от противоположно расположенного элемента, возникает движущая импульсная сила.
Изобретение поясняется чертежами. На фигуре 1 схематично изображен инерционный движитель; на фигуре 2 – профиль кулачка, выполненный в виде витка спирали, трех ступенек и двух спиральных участков.
Инерционный движитель содержит ведущий вал 1, направляющую 2, кулачок 3, инерционные элементы в виде осей 4 и роликов 5 по концам оси, кулачок 3 имеет ступеньки С1, С2 и С3. Кулачок фиг.2 с профилем, близким к спирали Архимеда, а именно эвольвентной спирали, у которой радиус основной окружности равен постоянной спирали Архимеда. Кулачок имеет три ступеньки С1, С2, С3 и два спиральных участка С’1-С2 и С’2-С3, расположенных между ступеньками.
Предлагаемый инерционный движитель работает следующим образом. Ведущий вал 1, фиг.1, через направляющую 2 приводят в движение инерционные элементы: ось 4 и расположенные на ней ролики 5. В направлении оси поочередно инерционный элемент 4′, 5′ создает движущую силу инерции, при движении противоположного элемента 4, 5 от ступенек С1, С2, С3 до касания спиральных участков. При одновременном качении противоположно расположенных инерционных элементов 4, 5 и 4′, 5′, действуют центробежные силы инерции, одна из них Q1 – выше оси х, другая Q2 – ниже оси оси х:


где m – масса инерционных элементов;
U – скорость инерционных элементов;
1 – радиус кривизны спирали кулачка выше оси x;
2 – радиус кривизны спирали ниже оси x;
r – радиус ролика инерционного элемента.
При расположении инерционного элемента 4, 5 между ступеньками и до контакта с кулачком радиус кривизны в выражении (2) будет равен бесконечности, т.к. инерционный элемент на данном участке движется по прямой и сила в выражении (2) будет равна нулю. Противоположно расположенная сила выражения (1) в данный момент преодолеет силу сопротивления транспортного средства и сообщит ему поступательное движение. Часть кинетической энергии элементов 4′, 5′ переходит в поступательное движение. Крутящий момент, приложенный к ведущему валу, толкая ось 4′, восстановит кинетическую энергию инерционных элементов 4′, 5′, скорость их будет равна

где о – радиус кривизны спирали при расположении ролика 5′, когда противоположный ролик 5 находится между ступенькой и точкой касания со спиралью;
r – радиус ролика;
– угловая скорость ведущего вала.
Предлагаемый инерционный движитель на оси 1 может иметь несколько инерционных элементов.
Например, имеем три пары инерционных элементов, где направляющие 2 расположены через 60°. В этом случае движущая сила инерционных элементов будет иметь два разных значения. При нахождении инерционного элемента 4, 5 между ступеньками С2-C3 от инерционного элемента 4′, 5′ имеет одну величину движущей силы Q1. При нахождении одновременно инерционных элементов 4 и 5 на ступеньках С1 и С3, фиг.2, от инерционных элементов 4′ и 5′ будет иметь две движущие силы Q1.
Пример. Профиль кулачка имеет спираль Архимеда, на ступеньке фиг.2, радиус кривизны спирали 1=150 мм, инерционный элемент имеет массу m=3 кг с радиусом ролика r=40 мм. Каждая ступенька расположена в секторе спирали с углом 1‘=10°. В точке С’ радиус кривизны будет равен
1‘= 1/cos10°=150/cos10°=152,3 мм
Перепад на ступеньке
 = 1‘- 1=152,3-150=2,3 мм
Перепад на трех ступеньках составит
3· =3·2,3=6б9 мм
Постоянная спирали (будет равна

При расположении ролика 5, фиг.1, на конце ступеньки в точке С2 противоположный ролик 5′ займет положение, при котором радиус кривизны спирали будет равен
o= 1+ ·120°=150+0,021·120°=152,5 мм
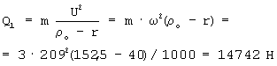
Величина тягового усилия на ступеньках составит:

=2000 об/мин=209 1/с
Пусть сектор спирали от С1 до С3‘ равен 30°, тогда за один оборот ведущего вала фиг.1 движущая сила от пары инерционных элементов будет действовать при угле поворота ведущего вала на 60°, остальное время транспортное средство движется по инерции.
Формула изобретения
Инерционный движитель, содержащий ведущий вал с направляющей, инерционные элементы в виде роликов и осей, расположенных в направляющей с зазором, неподвижный внутренний кулачок с профилем витка спирали, отличающийся тем, что, с целью увеличения количества движущих импульсов от каждого инерционного элемента, профиль витка спирали кулачка замкнут рядом ступенек, расположенных на витке спирали.
РИСУНКИ
MM4A – Досрочное прекращение действия патента СССР или патента Российской Федерации на изобретение из-за неуплаты в установленный срок пошлины за поддержание патента в силе
Дата прекращения действия патента: 24.09.2007
Извещение опубликовано: 10.05.2009 БИ: 13/2009
|