|
|
(21), (22) Заявка: 2004106160/03, 19.07.2002
(24) Дата начала отсчета срока действия патента:
19.07.2002
(30) Конвенционный приоритет:
03.08.2001 (пп.1, 2, 4-6, 8-15) US 60/310,214 24.06.2002 (пп.3-7) US 10/178,492
(43) Дата публикации заявки: 20.06.2005
(45) Опубликовано: 20.02.2006
(56) Список документов, цитированных в отчете о поиске:
US 4372380 A, 08.02.1983. SU 1744245 A1, 30.06.1992. SU 1165801 A, 07.07.1985. US 5050674 A, 24.09.1991. US 5275041 A, 04.01.1994.
(85) Дата перевода заявки PCT на национальную фазу:
03.03.2004
(86) Заявка PCT:
EP 02/08080 (19.07.2002)
(87) Публикация PCT:
WO 03/014524 (20.02.2003)
Адрес для переписки:
129010, Москва, ул. Б.Спасская, 25, стр.3, ООО “Юридическая фирма Городисский и Партнеры”, пат.пов. Г.Б. Егоровой
|
(72) Автор(ы):
ВЕНГ Ксиаовей (US)
(73) Патентообладатель(и):
ШЛЮМБЕРГЕР ТЕКНОЛОДЖИ Б.В. (NL)
|
(54) СПОСОБ ОПРЕДЕЛЕНИЯ ДАВЛЕНИЯ СМЫКАНИЯ ТРЕЩИНЫ ПОДЗЕМНОГО ПЛАСТА (ВАРИАНТЫ)
(57) Реферат:
Изобретение относится к области гидравлического разрыва подземных пластов и, в частности, к способу определения давления смыкания трещины и других параметров, используемых в процессе расчета и анализа обработки подземных пластов для интенсификации притока, например, обработки трещины. Обеспечивает определение давления смыкания трещины. Сущность изобретения: по способу производят первую закачку жидкости в пласт с первым практически постоянным расходом Q для создания трещины. Затем сбрасывают расход нагнетания до значительно меньшего расхода подпитки так, что объем трещины стабилизируется. Когда объем трещины становится постоянным, в состоянии равновесия, скважину закрывают. Отслеживают давление в скважине и определяют давление смыкания трещины из анализа давления в скважине с использованием временной функции безразмерного времени “закрытия”, определенного как отношение времени после закрытия ко времени нагнетания по аналитическому выражению. 2 н. и 13 з.п. ф-лы, 8 ил. 
Настоящее изобретение относится к области гидравлического разрыва подземных пластов и, в частности, к способу определения давления смыкания трещины и других параметров, используемых в процессе расчета и анализа обработки подземных пластов для интенсификации притока, например, обработки трещины.
Гидравлический разрыв пласта это основное средство повышения производительности скважины путем создания или проведения каналов из ствола скважины в коллектор. Эта операция, в основном, осуществляется путем гидравлической закачки жидкости разрыва в ствол скважины, проникающей в подземный пласт, и нагнетания жидкости разрыва в геологические породы под давлением. В результате происходит растрескивание и разрыв геологического пласта или породы. В трещину помещают расклинивающий наполнитель, препятствующий смыканию трещины, и, таким образом, увеличивают приток добываемой текучей среды, т.е. нефти, газа или воды.
Правильный расчет обработки трещины является сложной инженерной задачей. Производительность после разрыва зависит от многих факторов, а именно проницаемости коллектора, пористости, давления, расхода закачки и свойств закачиваемых жидкостей. Среди этих факторов одним из наиболее важных является давление смыкания трещины, которое также называется минимальным напряжением породы в массиве. Давление смыкания определяется как давление жидкости, при котором существующая трещина в целом смыкается. Время смыкания – это время, в течение которого жидкость полностью просачивается из трещины в пласт, и поверхности трещины смыкаются. Давление смыкания лежит в основе всего анализа трещины и, в частности, анализа спада давления. Оно также используется для выбора расклинивающего наполнителя. В случае неправильного определения давления смыкания трещины можно неверно интерпретировать эффективность жидкости разрыва, а, следовательно, неверно определить объем буферной жидкости, что может привести к сбою в работе или к снижению добычи углеводородов.
Полевые процедуры осуществляют в плановом порядке, чтобы оценивать давление смыкания трещины и другие необходимые параметры, например, эффективность жидкости разрыва в массиве и коэффициент фильтрации. Эти процедуры включают калибровочное испытание или минимальный разрыв. Минимальный разрыв это процедура закачки/закрытия/спада. Жидкость разрыва (без расклинивающего агента) определенной вязкости закачивают в нужный пласт с постоянным расходом в течение некоторого периода времени. Затем скважину закрывают и анализируют спад давления. Минимальный разрыв используют в основном для определения полудлины трещины, ширины трещины, высоты трещины, коэффициента фильтрации жидкости, модуля Юнга пласта и эффективности жидкости разрыва. Смыкание трещины можно также определить с помощью кривой спада по изменению наклона. Однако может существовать несколько точек изменения наклона, обусловленных, например, уменьшением высоты трещины и наличием нескольких проницаемых слоев. Во многих случаях, например, в пластах с естественной трещиновитостью, где фильтрация зависит от давления, наклон кривой спада изменяется постепенно, что затрудняет точное определение давления смыкания. По этим причинам разные инженеры часто по-разному определяют давление смыкания, что ведет к несогласованным или ошибочным интерпретациям.
Поэтому были разработаны раздельные испытания на смыкание трещины для точного определения давления смыкания.
Наиболее общеупотребительный способ испытания на смыкание трещины предусматривает скачкообразное изменение расхода жидкости, обычно жидкости для закачивания скважины или воды. Легкоподвижную жидкость закачивают в нужный пласт с увеличивающимися расходами, в идеале, если возможно, содержащими как расходы для материнской породы, так и расходы гидроразрыва. Расходы для материнской породы соответствуют притоку в пласт до раскрытия трещины, а расходы гидроразрыва это те, которые обуславливают давление, превышающее давление смыкания трещины, в результате чего трещина раскрывается и распространяется. Регистрируя давление, для каждого расхода определяют стабилизированное давление и строят график зависимости давления от расхода. В идеальной характеристике точки данных лежат приблизительно на двух прямолинейных отрезках. Первая прямая соответствует притоку в материнскую породу с более низкими расходами и имеет более крутой наклон, поскольку малое увеличение расхода приводит к относительно большому увеличению давления. Вторая прямая соответствует разрыву при более высоких расходах и имеет более пологий наклон, поскольку после раскрытия трещины давление гидроразрыва значительно менее чувствительно к расходу. Точка пересечения двух линий соответствует давлению распространения трещины, выражая минимальный расход, необходимый для гидравлического распространения трещины. Давление распространения является верхней границей давления смыкания и часто используется в качестве непосредственного приближения давления смыкания. Давление смыкания можно также оценивать на основании пересечения линии распространения трещины с осью Y (соответствующего нулевого расхода нагнетания).
На испытание со скачкообразным изменением расхода может влиять трение в трубопроводе и “извилистость” трещины вблизи ствола скважины. Извилистость трещины это добавочное давление, обусловленное различными ограничениями вблизи ствола скважины, например, извилистым путем потока через микрозазор между цементом и породой, ограниченным количеством перфораций, соединяющих с трещиной, многочисленные ответвления трещины, переориентация трещины по мере ее распространения от ствола скважины и т.д. Извилистость приводит к тому, что измеренное давление превышает давление внутри трещины и зависит от расхода. В результате давление распространения, определенное из испытания со скачкообразным изменением расхода, содержит компонент трения/извилистости. Коллектор высокой проницаемости, для которого расход распространения относительно велик, имеет весьма значительный компонент трения, из-за чего давление распространения значительно превышает давление смыкания. Кроме того, как трение в трубопроводе, так и извилистость зависят от расхода и увеличиваются с ростом расхода. Они могут влиять на график зависимости давления от расхода таким образом, что либо участок распространения не попадет на прямую линию, либо наклон будет отличаться от того, каким он должен быть. Из-за этого точки данных могут сильно смещаться, приводя к ошибкам интерпретации.
Еще один способ, используемый для определения давления смыкания трещины, – это нагнетание/откачка. По окончании периода закачки скважину не закрывают, а откачивают жидкость на поверхность с постоянным расходом. Кривая спада давления имеет характерную S-образную форму, в которой участок, обращенный вогнутостью вверх (после начала откачки, когда трещина все еще раскрыта), сменяется участком, обращенным вогнутостью вниз (после смыкания трещины, когда давление быстро падает). Точка перегиба S-образной кривой позволяет оценить давление смыкания. По окончании откачки давление в скважине восстанавливается и стабилизируется, и это давление называется восстановленным давлением. Восстановленное давление обеспечивает еще одно приближение (обычно нижнюю границу) давления смыкания.
Испытание нагнетанием/откачкой, хотя и выглядит привлекательным, не получило широкого распространения в полевых условиях. Основная причина состоит в неудобстве монтажа откачивающего трубопровода с регулируемым фонтанным штуцером для поддержания постоянного расхода откачки. Регулируемый фонтанный штуцер необходимо калибровать, чтобы определять измеряемое давление, соответствующее расходу откачки, и снабжать персоналом в ходе откачки, чтобы поддерживать постоянный расход.
Еще один способ, используемый для определения давления смыкания, предусматривает импульсную закачку в период спада давления (т.е. в период закрытия). Периодически закачивают малые объемы жидкости. При каждой закачке давление в скважине проявляет импульс давления. Импульс быстро распространяется, и давление возвращается к нормальной кривой спада, если трещина все еще раскрыта. Если трещина закрыта, импульс распространяется медленнее, и давление смещается над нормальной кривой спада. Поскольку импульсы редкие, положение точки смыкания можно определить, в лучшем случае, между двумя последовательными импульсами. Этот способ не позволяет точно определить давление смыкания. Кроме того, импульсы частично маскируются нормальной характеристикой спада, что снижает точность определения наклона спада и фильтрационных свойств.
Целью настоящего изобретения является создание нового способа определения давления смыкания трещины подземного пласта для обработки полномасштабной трещины подземного пласта.
Согласно изобретению способ определения параметров обработки полномасштабной трещины подземного пласта, в частности, давления ее смыкания Рсм, содержит следующие этапы:
а) закачивание жидкости в пласт с постоянным первым расходом Q для создания трещины, имеющей объем;
б) снижение расхода закачивания жидкости до второго расхода q, который меньше первого расхода Q и при котором трещина стабилизируется;
в) закрывание скважины;
г) отслеживание давления в скважине на этапах а) -в);
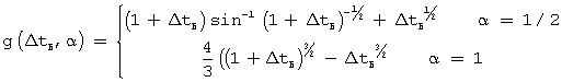
д) определение давления смыкания Рсм трещины на основании анализа давления в скважине с использованием временной функции G безразмерного времени закрытия tБ, определяемого как отношение времени после закрытия к времени tн нагнетания по следующей формуле: при этом G определяется по следующей формуле:

где 
и 
где показатель наклон графика суммарной площади трещины на момент t в зависимости от времени, построенного в логарифмическом масштабе по обеим осям.
Первый расход Q закачивания жидкости может быть ожидаемым расходом жидкости для полномасштабного растрескивания.
Отношение второго расхода закачивания q жидкости к первому расходу закачивания жидкости может быть меньше 0,2.
Объем жидкости, закачиваемой с первым расходом закачки Q, может быть достаточен для формирования трещины.
На стадиях а) и б) можно осуществлять закачивание жидкости низкой вязкости.
Способ может дополнительно содержать этап оценки компонента трения отслеживаемого давления в скважине, обусловленный извилистостью трещины и трением.
Определение давления смыкания Рсм трещины можно производить на основании анализа G-функции времени закрытия.
Определение давления смыкания Рсм трещины можно производить на основании анализа G-функции времени закрытия минус член, равный .
Способ может дополнительно содержать этап оценки фильтрационных свойств для обработки полномасштабной трещины.
В другом варианте способ определения параметров обработки полномасштабной трещины подземного пласта, в частности давления ее смыкания Рсм, содержит следующие этапы:
а) испытание закачиванием жидкости со скачкообразным изменением расхода для определения расхода жидкости для материнской породы пласта;
б) закачивание жидкости в пласт с по существу постоянным первым расходом Q для создания трещины, имеющей объем;
в) снижение расхода закачивания жидкости до второго расхода q, который меньше первого расхода Q, но больше расхода жидкости для материнской породы, определенного на этапе а);
г) закрывание скважины;
д) отслеживание давления в скважине на этапах а) -в);
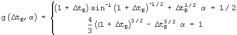
е) определение давления смыкания Рсм трещины на основании анализа давления в скважине с использованием временной функции G безразмерного времени закрытия tБ, определяемого как отношение времени после закрытия к времени tн нагнетания по следующей формуле: при этом G определяется по следующей формуле:

где 
и 
где показатель это наклон графика суммарной площади трещины на момент t в зависимости от времени, построенного в логарифмическом масштабе по обеим осям.
На стадиях б) и в) можно осуществлять закачивание жидкости низкой вязкости.
Способ может дополнительно содержать этап оценки компонента трения отслеживаемого давления в скважине, обусловленный извилистостью трещины и трением.
Определение давления смыкания Рсм трещины можно производить на основании анализа G-функции времени закрытия.
Определение давления смыкания Рсм трещины можно производить на основании анализа G-функции времени закрытия минус член, равный .
Способ может дополнительно содержать этап оценки фильтрационных свойств для обработки полномасштабной трещины.
В указанных способах в результате снижения расхода закачивания жидкости давление в скважине первоначально снижается, поскольку в пласт просачивается больше жидкости, чем закачивается. Со временем фильтрация жидкости снижается, и когда трещина достигает смыкания, закачка и фильтрация достигают равновесия. Когда в состоянии равновесия объем скважины становится постоянным, давление достигает постоянного уровня, что легко определить. Измерив давление в начале спада расхода и в состоянии равновесия, можно оценить давление смыкания трещины. Спад давления при закрытии отражает эффекты извилистости и трения, соответствующие малому расходу закачки. Таким образом, можно корректировать давление смыкания с учетом извилистости и трения. Способ легко применять в полевых условиях.
Кроме того, используя видоизмененную временную функцию вместо традиционной G-функции, в идеале получают прямолинейную кривую спада с таким же наклоном, как у традиционного G-графика. На основании наклона можно определить коэффициент фильтрации.
Далее приводится подробное описание изобретения со ссылками на сопровождающие чертежи, на которых изображено следующее:
Фиг.1 изображает график зависимости забойного давления от времени в типичном испытании на смыкание трещины со скачкообразным изменением расхода;
Фиг.2 – график зависимости забойного давления от расхода закачки в типичном испытании на смыкание трещины со скачкообразным изменением расхода;
Фиг.3 – график зависимости забойного давления и соответствующего расхода закачки от времени в равновесном испытании согласно изобретению;
Фиг.4 – график зависимости давления в скважине от G-функции в испытании с непрерывной закачкой с малым расходом согласно настоящему изобретению;
Фиг.5 – график зависимости давления в скважине от видоизмененной G-функции в испытании с непрерывной закачкой с малым расходом согласно настоящему изобретению;
Фиг.6-8 – графики зависимости давления в скважине от видоизмененной G-функции, полученной при выполнении полевых испытаний.
Согласно описанному выше предпочтительный способ испытания на смыкание трещины основан на испытании со скачкообразным изменением расхода или, конкретнее, на испытании со скачкообразным изменением расхода с последующими этапами откачки и восстановления давления. На фиг.1 показана типичная характеристика давления в испытании на смыкание трещины. На этой фигуре расход жидкости представлен ступенчатой кривой ВР. На этапе 1 жидкость закачивают с возрастающим расходом. На этом этапе расход закачки достигает величины, при которой забойное давление в скважине превышает давление распространения трещины Рраспр., но, в большинстве случаев, оператор продолжает увеличивать расход согласно расписанию. На этапе 2 нагнетание продолжается с тем же расходом в течение пяти-десяти минут после распространения трещины. На этапе 3 закачку останавливают и открывают клапан, чтобы немедленно начать откачку (отрицательный расход закачки). При давлении смыкания Рсм характеристика давления демонстрирует отчетливое обращение кривизны после того, как произошло смыкание, указывающее на переход от откачки из открытой трещины к откачке из материнской породы. Наконец, на этапе 4 закрытие завершается, и восстановленное давление Рвосст после закрытия служит нижней границей давления смыкания.
Согласно фиг.2 график забойного давления от расхода состоит из двух наклонных участков. Пересечение двух наклонных участков указывает давление распространения трещины Рраспр. Изменение наклона происходит в результате различия характеристик давления для фильтрации в материнскую породу при низком расходе и для распространения трещины при более высоком расходе нагнетания. Давление распространения обычно на 50-200 фунт/кв.дюйм больше давления смыкания трещины по причине жидкостного трения в трещине и извилистости трещины, хотя наблюдались значительно большие разности. Оценку давления смыкания трещины Рсм получают из пересечения наклонной линии распространения трещины с осью Y (нулевой расход нагнетания).
Более точно определить давление смыкания трещины можно на основании участка откачки в характеристике давления. Восстановленное давление дополнительно обеспечивает нижнюю границу давления смыкания. Однако испытание откачкой редко производят в полевых условиях, поскольку для этого требуется монтаж трубопровода откачки с регулятором расхода или регулируемым фонтанным штуцером для поддержания постоянного расхода откачки.
Вместо откачки часто выбирают простое закрытие/спад. Чтобы получить давление смыкания трещины, данные спада при закрытии можно анализировать путем построения графика забойного давления от временной функции времени закрытия, чаще всего, так называемой G-функции. Однако данные спада при закрытии часто бывает трудно анализировать, и из них можно получить неточное давление смыкания. Дело в том, что кривая спада может иметь множественные изменения наклона или непрерывно изменяющийся наклон по причине плавного перехода (отвердевание поверхностей трещины) от режима трещины до смыкания к режиму коллекторной диффузии после смыкания.
Определение давления смыкания трещины дополнительно усложняется в связи с тем, что давление распространения, определенное на основании испытания со скачкообразным изменением расхода, содержит компонент извилистости, который зависит от расхода и увеличивается с повышением расхода. Таким образом, это влияет на результат испытания со скачкообразным изменением расхода (график давления от расхода) и увеличивает кажущееся давление распространения трещины. При этом также точки данных изменяются таким образом, что участок распространения не попадает на прямую линию, или наклон отличается от того, каким он должен быть, что приводит к ошибкам интерпретации. Аналогично, трение в трубопроводе может привносить ошибки интерпретации, поскольку в большинстве случаев измеряют только поверхностное давление, и расчетное забойное давление обычно не бывает точным при высоких расходах в силу ошибок при вычислении трения.
Другим фактором, влияющим на интерпретацию со скачкообразным изменением расхода, является неоднородная природа коллектора. Интервал гидроразрыва часто содержит многочисленные подслои. Трещина, раскрывшаяся первоначально при низком расходе, может охватывать только часть зоны, и охват зоны возрастает по мере увеличения расхода. Это приводит к более плавному переходу от наклона, соответствующего потоку в материнскую породу, к наклону, соответствующему распространению трещины, увеличивая неопределенность в определении давления распространения и смыкания. Извилистость также влияет на испытание откачкой, приводя к тому, что давление смыкания оказывается ниже фактического значения, поскольку направление потока противоположно закачке.
Изобретение предусматривает новый путь определения давления смыкания путем анализа спада при непрерывной закачке с малым расходом q в течение периода спада давления. Этот способ, именуемый “равновесным испытанием”, представлен на фиг.3, где показана зависимость расхода жидкости (нижняя ступенчатая кривая, изображенная пунктиром) и забойного давления (верхняя сплошная кривая) от времени.
На первом этапе равновесного испытания жидкость закачивают с расходом нагнетания Q. Сразу после сброса расхода нагнетания давление в скважине равно Рсб. Вместо того чтобы остановить закачку, расход нагнетания Q снижают до малого расхода q, чтобы продолжать подачу жидкости в трещину. Этот расход значительно меньше расхода основной закачки Q в испытании со скачкообразным изменением расхода (обычно порядка 10-15 баррель/мин), и, в целом, предпочтительно отношение расходов q/Q менее 0,2.
Давление обработки вначале снижается, как при традиционном спаде при закрытии, поскольку малый расход q значительно меньше расхода основной закачки Q, а, следовательно, обычно меньше расхода фильтрации в трещине, а также во время снижения расхода. Объем трещины и давление уменьшаются со временем, поскольку просачивается больше жидкости, чем закачивается. Когда объем трещины в достаточной степени уменьшается, длина трещины также может уменьшаться по мере того, как трещина смыкается. Расход фильтрации снижается со временем и, в конце концов, достигает точки, когда расход фильтрации и расход закачки q становятся равными. После этого объем трещины больше не уменьшается, и давление в скважине стабилизируется на некотором значении, а затем начинает увеличиваться, поскольку расход фильтрации продолжает снижаться со временем, тогда как расход закачки остается постоянным. Минимальное давление при наступлении равновесия называется равновесным давлением Ррав. Время достижения равновесия равно tрав (все значения времени отсчитываются от начала закачки с высоким расходом Q, как показано на фиг.3, время равновесия также включает в себя время нагнетания tн при высоком расходе закачки Q). По достижении равновесия скважину можно закрыть. Спад давления при окончательном закрытии равен Рзак, и испытание завершается.
Основное различие между характеристикой давления в равновесном испытании и при традиционном спаде при закрытии состоит в том, что давление остается выше давления смыкания трещины до самого окончательного закрытия, если малый расход закачки q правильно выбран, чтобы он превышал расход фильтрации в материнскую породу. Равновесие расходов легко идентифицировать на основании формы сигнала давления и является уникальным, что позволяет избежать неопределенностей, связанных с традиционным спадом при закрытии, когда может происходить множество изменений наклона.
Чтобы трещина оставалась хотя бы частично открытой при достижении равновесия, нужно, чтобы малый расход закачки q превышал расход закачки для материнской породы. Если расход распространения трещины известен из предыдущего испытания со скачкообразным изменением расхода, произведенного в скважине или в тех же полевых условиях, то q можно выбрать большим или равным оценочному расходу распространения. Для пласта высокой проницаемости с высокой фильтрацией расход распространения трещины может быть сравнительно высок. В этом случае равновесное испытание можно проводить после миниразрыва, в котором используется жидкость на основе сшитого полимера, которая образует фильтрационный осадок на поверхности трещины и снижает фильтрацию жидкости.
Объем жидкости, закачанный на этапе основной закачки с расходом Q, должен быть достаточным для создания трещины в нужной зоне. С другой стороны, использование больших объемов может приводить к увеличению не только затрат на жидкость, но и времени, необходимого для достижения равновесия.
Наблюдения в полевых испытаниях показывают, что время, необходимое для достижения равновесия, может существенно изменяться от скважины к скважине. Оно зависит от расхода закачки, расхода фильтрации и объема трещины. При сравнительно высоком q и малом объеме трещины (короткий этап основной закачки) равновесие, скорее всего, наступит очень быстро. Но слишком быстрое достижение равновесия может иногда отражаться на анализе. Одна из проблем состоит в измерении мгновенного спада давления Рсб и определения наклона спада, когда имеет место флуктуация давления сразу после сброса расхода (эффект водяного молота). Измерение Рсб после затухания колебаний давления может привести к занижению Рсб, а следовательно, к ошибке в расчете давления смыкания. При наличии такой проблемы может понадобиться снижение малого расхода q и/или увеличение объема трещины (т.е. увеличение времени нагнетания при основном расходе нагнетания Q).
Для пласта с малой проницаемостью достижение равновесия может занять много времени, совсем как при традиционном спаде при закрытии, где предполагается продолжительное время смыкания. В этой ситуации спад давления может происходить очень медленно по мере того, как трещина достигает состояния равновесия, что может создавать ложное впечатление, будто равновесие уже достигнуто, хотя в действительности это не так. Отображение в режиме реального времени графика видоизмененной G-функции помогает идентифицировать изменение тенденции давления и определять, достигнуто ли состояние равновесия.
Сразу после снижения расхода нагнетания до малого расхода подпитки расход фильтрации в трещине обычно значительно превышает расход подпитки. Поэтому предполагается, что давление в трещине будет снижаться примерно так же, как в традиционном испытании закрытия/спада. Это демонстрирует начальный участок снижения кривой непрерывной закачки на фиг.4, где изображен график давления в скважине Рскв от G-функции, определенной Нолтом (Nolte) в статье “Determination of Fracture Parameters from Fracturing Pressure Decline” (Определение параметров трещины на основании спада давления разрыва) SPE8341, представленной на ежегодной конференции и выставке Общества по нефтегазодобыче, Лас-Вегас, США (23-26 сентября 1978 г.). G-функция выражается в Уравнении (1) через безразмерное время закрытия tБ, которое определено как отношение времени после закрытия к времени нагнетания tн: 

где 
и 
Показатель это наклон графика суммарной площади трещины на момент t в зависимости от t, построенного в логарифмическом масштабе по обеим осям. Значение зависит от эффективности жидкости разрыва и, в целом, снижается в течение времени закачки, поскольку фильтрация уменьшается по причине образования фильтрационного осадка. Граничные значения для коркообразующей жидкости равны 1/2 и 1, при этом наиболее распространенные жидкости разрыва имеют значение, близкое к 0,6. На практике следует заметить, что уравнение для G-функции дает примерно одинаковые результаты, когда изменяется между своими граничными пределами, что позволяет производить расчет с использованием любого значения или усредненного значения.
Заметим, что фиг.3 носит исключительно иллюстративный характер и не содержит реальных данных. Наклон спада меньше, чем соответствующий наклон спада при закрытии, вследствие закачки. Когда трещина приближается к смыканию, длина трещины уменьшается и, в конце концов, стабилизируется, когда фильтрация компенсируется малой закачкой. Когда расход закачки больше расхода для материнской породы, ожидается, что трещина остается частично открытой благодаря закачке. Это значит, что давление в скважине стабилизируется при установлении равновесия между закачкой и фильтрацией. Соответствующее давление, обозначенное Ррав, должно превышать давление смыкания Рсм трещины.
Для равновесного испытания предпочтительно использовать жидкость с низкой вязкостью. При использовании жидкости низкой вязкости полезное давление в трещине мало, и, следовательно, точность оценки давления смыкания возрастает. Например, жидкость может представлять собой загуститель на основе линейного полимера или водный раствор хлорида калия, которые обычно используются в качестве буферной жидкости. Если пласт имеет высокую проницаемость и, следовательно, высокую фильтрацию, что требует использования сравнительно большого q, то можно рассматривать жидкость с меньшей фильтрацией (возможно, с более высокой вязкостью). Загуститель замедленного действия на основе сшитого полимера может не быть хорошим выбором, поскольку он может вызывать изменение потерь давления на трение со временем в силу изменения реологии, имеющего место в трубопроводе во время закачки с малым расходом.
Поскольку расход закачки мал и используется жидкость низкой вязкости, полезное давление в трещине также должно быть мало. Поэтому равновесное давление обеспечивает непосредственное приближение давления смыкания.
Однако, как и давление распространения в испытании со скачкообразным изменением расхода, Ррав содержит компонент трения, обусловленный извилистостью трещины и трением. Согласно предпочтительному варианту осуществления настоящего изобретения этот компонент извилистости/трения можно оценить на основании спада давления при окончательном закрытии, показанного на фиг.4 как Рзак. Давление смыкания трещины можно, таким образом, выразить как Ррав– Рзак или окончательное давление закрытия Рзак. Выравнивание кривой давления явно указывает на то, что трещина достигла смыкания, и, таким образом, исключает неопределенность, свойственную традиционному анализу спада при закрытии, когда давление продолжает снижаться после смыкания, и наклон может увеличиваться, уменьшаться или оставаться постоянным в зависимости от поведения коллектора.
Вывод функции спада давления аналогичный традиционному анализу G-функции осуществляется для фильтрации, подчиняющейся закону квадратного корня (ньютоновская жидкость). Спад давления можно выразить следующим образом:

где р* – характеристическое давление спада,

Уравнение (2) отличается от традиционного спада при закрытии вторым членом в скобках, где Q – расход закачки на этапе основного нагнетания, q – малый расход подпитки, – эффективность жидкости разрыва в конце этапа основного нагнетания, – коэффициент выброса ( =1, если выброс отрицателен) и tБ=t/tн-1 – безразмерное время “закрытия”. При эффективности жидкости разрыва, обычно низкой для жидкости с низкой вязкостью, и =1 уравнение (2) можно дополнительно упростить

Поскольку q/Q мало, второй член обычно значительно меньше G-функции. Если ввести функцию G'( tБ), равную выражению в скобках, то график рскв от G’ будет прямой линией, и наклон будет таким же, как у традиционного графика G-функции, т.е. р*. Это показано на фиг.5.
Хотя Ррав– Рзак или давление закрытия Рзак обеспечивает приближение давления смыкания, оно все же больше истинного давления смыкания по причине конечного полезного давления, связанного с закачкой. Однако, если полезное давление в трещине можно оценить, то давление смыкания можно определить более точно, вычитая полезное давление.
Для правильной трещины (длина трещины больше ширины трещины) аналитическое исследование показывает, что отношение полезного равновесного давления Рпол,рав к полезному давлению сразу после сброса расхода (т.е. при t=tн), Рпол,сб удовлетворяет следующему уравнению:

где tрав – время наступления равновесия, n – показатель степенного закона, которому подчиняется закачиваемая жидкость, – коэффициент выброса ( =1, когда выброс отрицателен) и – ожидаемая эффективность жидкости разрыва.
Для ньютоновской жидкости (n=1), вышеприведенное уравнение сводится к виду:

Для очень короткой или радиальной трещины давление достигает минимума до того, как расход закачки q выровняется с фильтрацией. Причина в том, что полезное давление снижается по мере возрастания длины или радиуса трещины, и, напротив, уменьшение длины или радиуса трещины приводит к возрастанию давления. После того, как расход нагнетания падает с Q до q, объем трещины постепенно уменьшается по причине того, что фильтрация жидкости превышает расход закачки q, и то же самое происходит с полезным давлением. Когда полезное давление в трещине снижается до величины, равной потере давления на трение в трещине, связанной с расходом закачки q, полезное давление больше не может снижаться. В этом случае отношение полезных давлений можно приблизительно выразить следующим уравнением:

Отношение обычно много меньше 1. Используя уравнение (4) или (6), можно оценить давление смыкания Рсм на основании Ррав и давления сразу после спада расхода Рсб посредством следующего уравнения (7):

где Рзак – потеря давления на извилистость и трение, который определяется на основании изменения давления при окончательном закрытии.
Как было указано в вышеприведенном рассмотрении, малый расход подпитки q в ходе спада должен превышать расход для материнской породы, чтобы трещина оставалась частично открытой. Этот расход можно выбрать равным расходу распространения трещины, который определен в описании испытания со скачкообразным изменением расхода или чуть выше. Испытание с непрерывной закачкой также можно производить после калибровочного испытания с помощью вязкого геля. Осуществлять это предпочтительно для коллектора с высокой проницаемостью, где фильтрация жидкости и, следовательно, расход для материнской породы высоки. После нагнетания калибровочного испытания фильтрация через поверхность трещины значительно снижается за счет гелевого фильтрационного осадка. Поток в материнскую породу значительно ослабляется, и малый расход приводит к раскрытию трещины.
Предложенный способ малой закачки в процессе снижения давления обеспечивает альтернативный способ определения давления смыкания трещины. Он обеспечивает более распознаваемую характеристику смыкания трещины, чем традиционный спад при закрытии, и в то же время его легче осуществлять в полевых условиях без специального монтажа, как в случае испытания нагнетанием/откачкой. Простота идентификации смыкания трещины также позволяет обслуживающему персоналу сразу переходить к основной операции обработки трещины, не выжидая продолжительного времени закрытия для определения поведения давления после смыкания трещины для правильной идентификации смыкания трещины и анализа снижения. Он также обеспечивает средство корректировки околоскважинной извилистости с использованием процедуры окончательного закрытия.
Один недостаток способа состоит в том, что, если расход подпитки при спаде слишком низкий (ниже минимального расхода для поддержания открытой трещины), то равновесное давление может упасть ниже давления смыкания, что может привести к значительной ошибке. Поэтому предпочтительно производить испытание с непрерывной закачкой после испытания со скачкообразным изменением расхода, чтобы выбрать расход подпитки, превышающий расход для материнской породы, или после калибровочного испытания, чтобы малый расход был достаточен для поддержания трещины частично открытой в силу пониженной фильтрации за счет гелевого фильтрационного осадка на поверхности трещины.
Эксплуатационные варианты
Эксплуатационный вариант 1
Разрываемый пласт представляет собой пласт песчаника на глубине 9056′-9191′ с чистой высотой 115′. Проницаемость пласта равна 0,07 мд. Последовательность обработки состоит из загрузки скважины и вытаскивания шара, равновесного испытания, испытания нагнетанием, которое называется испытанием эффективности текучей среды и проводится во время плановых работ, состоящего из испытания со скачкообразным снижением расхода и спадом при закрытии, и основного разрыва с расклинивающим наполнителем.
В ходе равновесного испытания 20 фунтов/1000 галлонов гуара на основе линейного полимера закачивают с расходом основной закачки (Q) 15 баррель/мин прежде, чем расход упадет до малого расхода (q) 1,67 баррель/мин. Время нагнетания с расходом основной закачки составляет 4 минуты. Давление обработки стабилизируется в течение 3 минут после сброса расхода. График спада давления, построенный как функция видоизмененной G-функции, G’, показан на фиг.6. Прямая линия, соответствующая наклону кривой, показана пунктирной линией.
На основании давления обработки оценивают следующие давления:
Рсб 3692 фунт/кв.дюйм (значение прямой линии для G’=0)
Ррав 3665 фунт/кв.дюйм (горизонтальный участок в конце испытания)
Р при закрытии 53 фунт/кв.дюйм (получено с помощью графика, аналогичного показанному на фиг.3).
При гидростатическом давлении 3991 фунт/кв.дюйм расчетное давление смыкания (с использованием уравнений 6 и 7) получается равным Рсм=7583 фунт/кв.дюйм.
В сравнении, давление смыкания, определенное на основании спада давления после закрытия в равновесном испытании и закрытии в испытании эффективности текучей среды, равны приблизительно 7570 и 7683 фунт/кв.дюйм соответственно. График G-функции для периода спада в испытании эффективности текучей среды показан на фиг.6. Давление смыкания, определенное на основании испытания эффективности текучей среды, выше, чем определенное на основании равновесного испытания, примерно на 100 фунт/кв.дюйм. Также наблюдается подобное повышение мгновенного статического давления в скважине при закрытии устья после испытания эффективности текучей среды по сравнению с указанным мгновенным статическим давлением в скважине после равновесного испытания (увеличение примерно на 150 фунт/кв.дюйм). Это увеличение может быть вызвано эффектом пороэластичности. Несмотря на это, оба способа дают достаточно согласованные результаты.
Наклон спада давления р* из фиг.5 равен 30 фунт/кв.дюйм, что дает эффективность 44% (в конце основной закачки перед сбросом расхода). В сравнении, анализ спада давления после испытания эффективности текучей среды дает р* равный 24 фунт/кв.дюйм и эффективность 55% для испытания эффективности текучей среды.
Эксплуатационный вариант 2
Разрываемый пласт представляет собой пласт песчаника на глубине 5440′-5487′ с чистой высотой 38′. Проницаемость пласта равна 0,02 мд. Последовательность обработки состоит из равновесного испытания, испытания эффективности текучей среды и разрыва с расклинивающим наполнителем.
Расход основной закачки Q равен 15 баррель/мин, и он падает до малого расхода q, равного 1,16 баррель/мин. В качестве жидкости разрыва используют карбоксиметилгидроксипропиловый гуар на основе линейного полимера в количестве 30 фунтов/1000 галлонов. Время нагнетания при расходе основной закачки равно 3 минутам. В силу низкого расхода фильтрации равновесие не наступает до 16 минут после сброса расхода. На фиг.7 показан график давления от видоизмененной G-функции, G’.
Из давления обработки получают следующие давления:
Pсб 2535 фунт/кв.дюйм
Pрав 2487 фунт/кв.дюйм
Р при закрытии 104 фунт/кв.дюйм
При гидростатическом давлении 2370 фунт/кв.дюйм расчетное давление смыкания получается равным Рсм=4710 фунт/кв.дюйм.
В сравнении, давление смыкания трещины, определенное на основании спада давления после закрытия в испытании эффективности текучей среды, равно приблизительно 4751 фунт/кв.дюйм, как показано на графике G-функции на фиг.8. Оценки давления смыкания, полученные двумя способами, хорошо согласуются.
Наклон спада давления р* из фиг.7 равен 24 фунт/кв.дюйм, что дает эффективность 67% (в конце основной закачки перед сбросом расхода). В сравнении, анализ спада давления после FET дает р* 21 фунт/кв.дюйм и эффективность 60% для испытания эффективности текучей среды.
Эксплуатационный вариант 3
В этом эксплуатационном варианте закачку не нагнетали в целях определения давления смыкания. Вместо этого обработка состоит в нагнетании жидкости на основе вязкоупругого материала до основной жидкости разрыва с расклинивающим наполнителем, чтобы поместить искусственный барьер на дне трещины во избежание роста высоты вниз во время основного гидроразрыва. Этап “переориентации разрыва” предусматривает нагнетание буферной жидкости с более высоким расходом для создания длины трещины, а затем пульпы с более низким расходом, чтобы песок мог осесть и создать барьер. По случайности, эта процедура аналогична равновесному испытанию, и потому регистрацию давления можно анализировать с использованием способа равновесного испытания, чтобы получить оценку давления смыкания.
Обрабатываемый слой содержит последовательности песка/глины на глубине 5544′. Нужный интервал имеет общую высоту 60′ и чистую высоту 24′. Проницаемость песка равна 33 мд. Последовательность обработки состоит из нагнетания №1, нагнетания №2, буфера и главного разрыва. Нагнетание №1 это испытание закачкой, которое предусматривает нагнетание 25 баррелей 2%-го водного раствора KCl при 12,6 баррель/мин с последующим закрытием. Нагнетание №2 состоит из нагнетания 38 баррелей взаимного растворителя с расходом 3,2 баррель/мин, а затем 13 баррелей 2%-го водного раствора KCl с расходом 12,6 баррель/мин. “Переориентация разрыва” состоит из 35 баррелей 3%-го вязкоупругого поверхностно-активного вещества (с песчаной пульпой) и 53 баррелей промывки в виде 2%-го KCl, все с расходом 12,6 баррель/мин, а затем 35 баррелей 2%-го KCl дополнительной промывки с расходом 3,2 баррель/мин. На основании давления обработки и кривой G’, показанной на фиг.8, оценивают следующие давления:
Pсб 1182 фунт/кв.дюйм
Pрав 1015 фунт/кв.дюйм
Р при закрытии 225 фунт/кв.дюйм
При гидростатическом давлении 2433 фунт/кв.дюйм расчетное давление смыкания получается равным Рсм=2901 фунт/кв.дюйм.
В сравнении, давления закрытия, определенные из спада давления после нагнетания №1, нагнетания №2 и после закрытия “переориентации разрыва”, составляют 2950, 3105 фунт/кв.дюйм и 3130 фунт/кв.дюйм соответственно. Опять же, давление закрытия из равновесного испытания согласуется со значениями, полученными из снижения при закрытии.
Наклон спада давления р* из фиг.8 равен 320 фунт/кв.дюйм, что дает эффективность 44% (в конце “переориентации разрыва” перед дополнительной промывкой). В сравнении, анализ спада давления после нагнетания №1 дает р* 325 фунт/кв.дюйм и эффективность 44%.
Равновесное испытание можно комбинировать с другими испытаниями закачкой или любым этапом закачки, уже запланированным для других целей. Например, его можно объединить с испытанием со скачкообразным изменением расхода. После скачкообразного изменения расхода до последнего расхода расход поддерживают постоянным в течение периода времени, а потом сбрасывают до малого расхода q, пока не установится равновесие.
Равновесное испытание можно использовать совместно с традиционным спадом при закрытии для обеспечения независимой оценки давления смыкания трещины, что помогает идентифицировать правильную точку смыкания трещины на кривой спада, когда имеется несколько возможностей, или служит точкой закрытия, когда ее невозможно идентифицировать из кривой спада. В случаях, когда миниразрыв не производят, равновесное испытание обеспечивает не только оценку давления смыкания, но и оценку эффективности жидкости разрыва, что помогает калибровать конструкцию обработки.
Формула изобретения
1. Способ определения параметров обработки полномасштабной трещины подземного пласта, в частности давления ее смыкания Рсм, содержащий следующие этапы:
а) закачивание жидкости в пласт с постоянным первым расходом Q для создания трещины, имеющей объем;
б) снижение расхода закачивания жидкости до второго расхода q, который меньше первого расхода Q и при котором трещина стабилизируется;
в) закрывание скважины;
г) отслеживание давления в скважине на этапах а)-в);
д) определение давления смыкания Рсм трещины на основании анализа давления в скважине с использованием временной функции G безразмерного времени закрытия tБ, определяемого как отношение времени после закрытия к времени tH нагнетания по следующей формуле: , при этом G определяют по следующей формуле:
,
где: 
и 
где показатель – наклон графика суммарной площади трещины на момент t в зависимости от времени, построенного в логарифмическом масштабе по обеим осям.
2. Способ по п.1, отличающийся тем, что первый расход Q закачивания жидкости является ожидаемым расходом жидкости для полномасштабного растрескивания.
3. Способ по п.1, отличающийся тем, что отношение второго расхода закачивания q жидкости к первому расходу закачивания жидкости меньше 0,2.
4. Способ по п.1, отличающийся тем, что объем жидкости, закачиваемой с первым расходом закачки Q, достаточен для формирования трещины.
5. Способ по п.1, отличающийся тем, что на стадиях а) и б) осуществляют закачивание жидкости низкой вязкости.
6. Способ по п.1, отличающийся тем, что дополнительно содержит этап оценки компонента трения отслеживаемого давления в скважине, обусловленный извилистостью трещины и трением.
7. Способ по п.1, отличающийся тем, что определение давления смыкания Рсм трещины производят на основании анализа G-функции времени закрытия.
8. Способ по п.1, отличающийся тем, что определение давления смыкания Рсм трещины производят на основании анализа G-функции времени закрытия минус член, равный 
9. Способ по п.7, отличающийся тем, что дополнительно содержит этап оценки фильтрационных свойств для обработки полномасштабной трещины.
10. Способ определения параметров обработки полномасштабной трещины подземного пласта, в частности давления ее смыкания Рсм, содержащий следующие этапы:
а) испытание закачиванием жидкости со скачкообразным изменением расхода для определения расхода жидкости для материнской породы пласта;
б) закачивание жидкости в пласт с по существу постоянным первым расходом Q для создания трещины, имеющей объем;
в) снижение расхода закачивания жидкости до второго расхода q, который меньше первого расхода Q, но больше расхода жидкости для материнской породы, определенного на этапе а);
г) закрывание скважины;
д) отслеживание давления в скважине на этапах а)-в);
е) определение давления смыкания Рсм трещины на основании анализа давления в скважине с использованием временной функции G безразмерного времени закрытия tБ, определяемого как отношение времени после закрытия к времени tH нагнетания по следующей формуле: , при этом G определяет по следующей формуле:

где

и 
где показатель – это наклон графика суммарной площади трещины на момент t в зависимости от времени, построенного в логарифмическом масштабе по обеим осям.
11. Способ по п.10, отличающийся тем, что на стадиях б) и в) осуществляют закачивание жидкости низкой вязкости.
12. Способ по п.10, отличающийся тем, что дополнительно содержит этап оценки компонента трения отслеживаемого давления в скважине, обусловленный извилистостью трещины и трением.
13. Способ по п.10, отличающийся тем, что определение давления смыкания Рсм трещины производят на основании анализа G-функции времени закрытия.
14. Способ по п.10, отличающийся тем, что определение давления смыкания Рсм трещины производят на основании анализа G-функции времени закрытия минус член, равный .
15. Способ по п.14, отличающийся тем, что дополнительно содержит этап оценки фильтрационных свойств для обработки полномасштабной трещины.
Приоритет по пунктам:
03.08.2001 по пп.1, 2, 4-6, 8-15;
24.06.2002 по пп.3 и 7.
РИСУНКИ
|
|