Патент на изобретение №2270206
|
|||||||||||||||||||||||||||||||||||||||||||||||||||||||||||||
(54) ФОСФОРБОРСОДЕРЖАЩИЕ ПОЛИОЛЫ В КАЧЕСТВЕ ИНГИБИТОРОВ ГОРЕНИЯ ЭЛАСТОМЕРНЫХ МАТЕРИАЛОВ НА ОСНОВЕ ПОЛИУРЕТАНОВ
(57) Реферат:
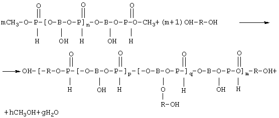
Изобретение относится к фосфорборсодержащим полиолам общей формулы где p+q=n, n=4; m=2. Изобретение позволяет получить эластомерные материалы на основе полиуретанов, характеризующихся повышенной огнестойкостью. 1 табл.
Изобретение относится к области химии фосфорорганических соединений с Р-О-С связью, а именно к фосфорборсодержащим соединениям с концевыми гидроксильными группами, которые могут быть использованы в качестве ингибиторов горения эластомерных материалов на основе полиуретанов. Известно использование фосфорсодержащих полиэфиров, пригодных для изготовления эластичных и жестких полиуретанов и пенополиуретанов со свойствами самозатухаемости. Такие полиэфиры получены в результате взаимодействия алкилдиметилолфосфиноксидов с дихлорметиловыми эфирами алкиленгликоля (Авторское свидетельство СССР №423815, кл. С 08 G 17/14; Опубл. 15.04.74). Однако относительно невысокое содержание фосфора в структуре данных модификаторов не позволяет использовать их в малых концентрациях, что, в свою очередь, приводит к ухудшению уровня эксплуатационных свойств полиуретановых материалов. Известно применение дихлор- или дибромвинилфосфатов полиалкиленгликоля, полученных в результате взаимодействия третичного алкилфосфита с полиалкиленгликолем с последующей обработкой полученного продукта соединением, выбранным из группы, состоящей из хлораля, бромаля, трихлорацетона в качестве мономеров для получения огнестойких полиуретанов (Авторское свидетельство СССР №438190, кл. С 08 G 17/14; Опубл. 30.07.74). Однако синтез фосфорсодержащих соединений проводили с использованием катализаторов (алкоголятов или фенолятов щелочных металлов); в структуру конечных продуктов помимо атомов фосфора входят атомы галогенов, которые в процессе пиролиза выделяются из полимерных продуктов в виде токсичных соединений хлора или брома. Наиболее близкими по назначению являются спироциклические сложные эфиры борной кислоты в качестве ингибиторов горения полиуретанов, действие которых рекомендуется усиливать добавкой синергистов: органических или неорганических соединений фосфора (патент RU 2039764, кл. С 08 G 18/32; Опубл. 20.07.95). Однако ввиду невысокого содержанием бора в модификаторе требуется усиливать огнезащитное действие синергистом, но при этом не достигается высокого значения огнестойкости материала на основе полиуретана. Задачей предлагаемого изобретения является получение новых эффективных ингибиторов горения – фосфорборсодержащих полиолов, которые обеспечивают получение эластомерных материалов на основе полиуретаиов, имеющих высокую огнестойкость. Техническим результатом при использовании предлагаемых ингибиторов горения является получение эластомерных материалов на основе полиуретанов, характеризующихся повышенной огнестойкостью. Технический результат достигается тем, что в качестве ингибитора горения эластомерных материалов на основе полиуретанов используют новые фосфорборсодержащие полиолы формулы: p+q=n, n=4; m=2. Предлагаемые нами фосфорборсодержащие полиолы (БФП) получают взаимодействием фосфорборсодержащего олигомера и гликолей. Фосфорборсодержащий олигомер – борат метилфосфита – получен в результате взаимодействия борной кислоты с диметилфосфитом (Патент RU 2134737, кл. С 09 К 21/02; Опубл. 20.08.99). В качестве гликолей используют этиленгликоль, диэтиленгликоль, глицерин, 1,4-бутандиол. Присутствие в структуре фосфорборсодержащих полиолов атомов фосфора и бора, являющихся ингибиторами горения, увеличивает технико-экономический эффект от применения данных модификаторов. Кроме того, повышенное содержание фосфора в структуре полиолов способствует достижению максимального результата, не прибегая к использованию больших концентраций. Помимо этого, наличие концевых гидроксильных групп определяет способность фосфорборсодержащих полиолов вступать в реакцию полимеризации с (макро)диизоцианатами с образованием эластомерных материалов на основе полиуретанов. Фосфорборсодержащие полиолы характеризуются относительно низкой кислотностью, их кислотное число не превышает 2 мг КОН/г продукта. Вышесказанное позволяет сделать вывод об актуальном применении фосфорборсодержащих полиолов для модификации эластомерных материалов на основе полиуретанов. Синтез фосфорборсодержащих полиолов осуществляют в соответствии со схемой реакции: p+q=n, n=4; h+g=m; m=2. Взаимодействие фосфорборсодержащего олигомера с гликолями проводят при мольном соотношении преимущественно 1:2 моль:моль. При подобном мольном соотношении реагентов получают фосфорборсодержащие полиолы с концевыми ОН-группами, имеющие большую молекулярную массу (М.М.). Реакцию ведут в температурном интервале 170-190°С в инертной среде без катализатора. Степень завершения реакции определяют по количеству образовавшегося в качестве побочного продукта метилового спирта, отделив его предварительно от водной фазы. Так, при взаимодействии 1 моль бората метилфосфита с 2 моль этиленгликоля реакцию считают законченной при выделении 0,8 моль метилового спирта. Продолжительность реакции колеблется в зависимости от реагентов и температуры в пределах от 4 до 7 часов. Продукты реакции представляют собой вязкие прозрачные жидкости. Изобретение иллюстрируется следующими примерами. Пример 1. По описанной методике получают фосфорборсодержащий полиол (БФП-1) заявляемой структуры: где R=-CH2-CH2-; p=1; q=3; m=2. В трехгорлый реактор, снабженный термометром, прямым холодильником, капилляром загружают 20 г (0,029 моль) бората метилфосфита и 3,54 г (0,057 моль) этиленгликоля. Синтез ведут при температуре 170-190°С в течение 5 часов в среде азота до полной отгонки метилового спирта и воды. Разделение фаз метилового спирта и воды осуществляют в процессе ректификации метилового спирта. Контроль за протеканием реакции осуществляют по количеству выделившегося метилового спирта, которое составляет 0,75 г (0,023 моль). Выход БФП-1 составляет 22,7 г (0,015 моль). Продукт реакции представляет собой вязкую неокрашенную массу, хорошо растворимую в воде, диметилформамиде; количество ОН-групп – 8,6%, кислотное число 2,0 мг КОН/г продукта, nD 20=1,4748, d4 20=1,257 г/см3, Пример 2. По описанной методике получают фосфорборсодержащий полиол (БФП-2) заявляемой структуры: где R=-CH2-CH2-O-CH2-CH2-; p=1; q=3; m=2. В трехгорлый реактор, снабженный термометром, прямым холодильником, капилляром загружают 20 г (0,029 моль) бората метилфосфита и 6,2 (0,058 моль) диэтиленгликоля. Синтез ведут при температуре 170-190°С в течение 7 часов в среде азота до полной отгонки метилового спирта и воды. Разделение фаз метилового спирта и воды осуществляют в процессе ректификации метилового спирта. Контроль за протеканием реакции осуществляют по количеству выделившегося метилового спирта, которое составляет 0,75 г (0,023 моль). Выход БФП-2 составляет 25,3 г (0,014 моль). Продукт реакции представляет собой вязкую неокрашенную массу, хорошо растворимую в воде, диметилформамиде; количество ОН-групп – 7,4%, кислотное число 1,9 мг КОН/г продукта, nD 20=1,4730, d4 20=1,1884 г/см3, Пример 3. По описанной методике получают фосфорборсодержащий полиол (БФП-3) заявляемой структуры: В трехгорлый реактор, снабженный термометром, прямым холодильником, капилляром загружают 20 г (0,029 моль) бората метилфосфита и 5,3 г (0,058 моль) глицерина. Синтез ведут при температуре 170-190°С в течение 7 часов в среде азота до полной отгонки метилового спирта и воды. Разделение фаз метилового спирта и воды осуществляют в процессе ректификации метилового спирта. Контроль за протеканием реакции осуществляют по количеству выделившегося метилового спирта, которое составляет 0,74 г (0,023 моль). Выход БФП-3 составляет 24,5 г (0,014 моль). Продукт реакции представляет собой вязкую массу янтарного цвета, растворимую в воде, диметилформамиде; количество ОН-групп – 11,0%, кислотное число 1,9 мг КОН/г продукта, nD 20=1,4846, d4 20=l,1449 г/см3, Пример 4. По описанной методике получают фосфорборсодержащий полиол (БФП-4) заявляемой структуры: где R=-CH2-CH2-CH2-CH2-; p=1; q=3; m=2. В трехгорлый реактор, снабженный термометром, прямым холодильником, капилляром загружают 20 г (0,029 моль) бората метилфосфита и 5,22 г (0,058 моль) 1,4-бутандиола. Синтез ведут при температуре 170-180°С в течение 5 часов в среде азота до полной отгонки метилового спирта и воды. Разделение фаз метилового спирта и воды осуществляют в процессе ректификации метилового спирта. Контроль за протеканием реакции осуществляют по количеству выделившегося метилового спирта, которое составляет 0,75 г (0,032 моль). Выход БФП-4 составляет 24,4 г (0,014 моль). Продукт реакции представляет собой вязкую массу янтарного цвета, растворимую в воде, диметилформамиде; количество ОН-групп – 8,0%, кислотное число 2,0 мг КОН/г продукта, nD 20=1,4722, d4 20=1,1624 г/см3, Пример 5. Чтобы показать эффективность фосфорборсодержащих полиолов в качестве ингибиторов горения для эластомерных материалов на основе полиуретанов, осуществляют модификацию. В качестве исходного синтезируют форполимер взаимодействием политетраметиленэфиргликоля с М.М. 1950 и 4,4′-дифенилметандиизоцианата при мольном соотношении соответственно 1:2. В реактор, прогретый до 60±2 С°, загружают нагретые до той же температуры политетраметиленэфиргликоль (гидроксильное число 57) в количестве 77 г (0,04 моль) и 4,4′-дифенилметандиизоцианата в количестве 20 г (0,08 моль). При постоянном перемешивании в течение 10 мин увеличивают температуру реакционной массы до 80±2°С, реакцию проводят в течение 30 мин при той же температуре. Полученный форполимер (ММ 2500) в количестве 97 г (0,04 моль) охлаждают при комнатной температуре до 60±2°С. Фосфорборсодержащий полиол применяют в качестве удлинителя цепи форполимера. Так, фосфорборсодержащие полиолы, полученные по примерам 1-4, в количестве 0,004 моль (6,2 г БФП-1, 7,4 г БФП-2, 7,0 г БФП-3, 6,9 г БФП-4) растворяют в диметилформамиде при мольном соотношении соответственно 1:50. В реактор, содержащий форполимер, при постоянном перемешивании с помощью делительной воронки вводят раствор фосфорборсодержащего полиола в диметилформамиде таким образом, чтобы весь объем отдозировался в течение 10 мин, при этом температуру реакционной массы повышают до 80±2°С. Синтез ведут в течение 40 мин в инертной среде, после чего реакционную массу вакуумируют при той же температуре в течение 10-15 мин. Раствор полимера наносят на стеклянную поверхность и выдерживают при температуре 20±2°С в течение 20 ч и 100±10°С 2 часа. Пример 6. Модификацию осуществляют аналогично примеру 5, отличие состоит в том, фосфорборсодержащие полиолы, полученный по примерам 1-4, применяют в количестве 0,008 моль (12,3 г БФП-1, 14,8 г БФП-2, 14,0 г БФП-3, 13,8 г БФП-4). Фосфорборсодержащие полиолы растворяли в диметилформамиде при мольном соотношении соответственно 1:60. Полученные образцы полиуретанов проверяли на огнестойкость по времени их самозатухания после воздействия источника открытого пламени ГОСТ 21793-76. Поведение при пожаре образцов полиуретанов исследовали по методике определения огнестойкости разработанной Андеррайтере Лабораторис (США). Образец размером 12,7×102 мм устанавливают в вертикальном положении в рамке таким образом, чтобы передняя кромка на 9,5 мм выступала над соплом горелки Бунзена. Горелку устанавливают на голубое пламя высотой 19 мм и в течение 10 с горелку держат под нижним концом образца. После удаления пламени измеряют длительность догорания или дотлевания. После окончательного затухания образец второй раз подвергают воздействию пламени в течение 10 с и снова измеряют длительность догорания или дотлевания; соответствующие величины оценки огнестойкости проводили по классам: SE 1 – максимальная продолжительность догорания не превышает 30 с; SE 0 – обозначает максимальную продолжительность догорания 10 с. Результаты исследований и свойства модифицированных эластомерных материалов на основе полиуретана и немодифицированного полиуретана (СКУ-ПФЛ-100), где в качестве удлинителя цепи применяют диаминопропан, представлены в таблице.
Как видно из представленных данных, фосфорборсодержащие полиолы являются эффективными ингибиторами горения эластомерных материалов на основе полиуретанов. Скорость самозатухания зависит от концентрации фосфорборсодержащих полиолов. Введение в форполимер до 0,004 моль БФП-1, БФП-2, БФП-4 не приводит к самозатуханию, и модифицированные образцы сгорают полностью. При введении 0,008 моль фосфорборсодержащих полиолов все образцы модифицированных полиуретанов самозатухают. Полиуретан, полученный на основе БФП-3, самозатухает уже при содержании фосфорборсодержащего полиола 0,004 моль. Таким образом, при использовании фосфорборсодержащих полиолов получены эластомерные материалы на основе полиуретанов, характеризующиеся повышенной огнестойкостью.
Формула изобретения
Фосфорборсодержащие полиолы общей формулы где p+q=n, n=4; m=2, в качестве ингибиторов горения эластомерных материалов на основе полиуретанов.
MM4A – Досрочное прекращение действия патента СССР или патента Российской Федерации на изобретение из-за неуплаты в установленный срок пошлины за поддержание патента в силе
Дата прекращения действия патента: 07.07.2008
Извещение опубликовано: 20.06.2010 БИ: 17/2010
|
|||||||||||||||||||||||||||||||||||||||||||||||||||||||||||||








=32,7 Ст. М.М., найдено 1540. ИК-спектр (вазелиновое масло),
, м.д.: 11,20, 8,62, 8,55, 5,27, 4,68, 4,47-4,23, 3,78, 3,62. Спектр ЯМР 31Р (ДМФМ-d), 



