|
(21), (22) Заявка: 2004107089/04, 25.04.2002
(24) Дата начала отсчета срока действия патента:
25.04.2002
(30) Конвенционный приоритет:
10.08.2001 SK PV 1153-2001
(43) Дата публикации заявки: 20.08.2005
(45) Опубликовано: 20.02.2006
(56) Список документов, цитированных в отчете о поиске:
US 2 873 277 A, 10.02.1959. GB 817 039 A, 22.07.1959. SU 478 010 A, 25.07.1975.
(85) Дата перевода заявки PCT на национальную фазу:
10.03.2004
(86) Заявка PCT:
SK 02/00006 (25.04.2002)
(87) Публикация PCT:
WO 03/014096 (20.02.2003)
Адрес для переписки:
129010, Москва, ул. Б.Спасская, 25, стр.3, ООО “Юридическая фирма Городисский и Партнеры”, пат.пов. Е.Е.Назиной
|
(72) Автор(ы):
КРИЖАНОВИЧ Кароль (SK), ШЕРЕДА Габриэль (SK), ШТРАУХОВА Альжбета (SK), ПИНТЕР Йозеф (SK), ВАЛИ Камиль (SK)
(73) Патентообладатель(и):
ДУСЛО, А.С. (SK)
|
(54) СПОСОБ ПОЛУЧЕНИЯ N-АЛКИЛ-2-БЕНЗТИАЗОЛИЛСУЛЬФЕНИМИДОВ, ОБОРУДОВАНИЕ ДЛЯ ИХ ПОЛУЧЕНИЯ И СПОСОБ ИХ ОЧИСТКИ
(57) Реферат:
Настоящее изобретение относится к способу получения N-алкил-2-бензтиазолилсульфенимидов посредством взаимодействия 2-бензтиазолилсульфенилхлорида с избытком соответствующего алкиламина в безводной реакционной среде. Удаление воды и влаги из реакционной смеси обеспечивают азеотропной перегонкой части растворителя. Способ разрешает проблему улавливания избыточного амина экстракцией водой для рециркуляции его в процесс, удаления непревращенного исходного материала из сырого продукта химической очисткой водным щелоком и экстракции побочных продуктов и смолы вымыванием продукта в органическом растворителе с целью получения чистого бензтиазолилсульфенимида, содержащего не менее чем 95% активного вещества, которое может быть использовано в качестве ускорителя вулканизации в смесях каучуков. Также описано устройство для проведения данного способа, которое состоит из реактора с многочисленными пропеллерными мешалками на общей оси. 4 н. 2 з. п. ф-лы, 1 ил. 
Техническая область
Изобретение относится к усовершенствованному способу получения N-алкил-2-бензтиазолилсульфенимидов, а также оборудованию для их получения и способу их очистки.
Предпосылки создания изобретения
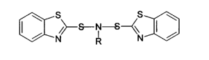
Бис-бензтиазолилалкилсульфенимиды, которые представлены общей формулой (I)

где R представляет собой неразветвленный или разветвленный С1-С12-алкил, C3-С9-циклоалкил или замещенную или незамещенную арильную группу, известны уже очень давно и их используют в каучуковой промышленности в качестве перспективных ускорителей вулканизации, которые обеспечивают превосходную операционную безопасность каучуковых смесей, придают лучшую устойчивость к реверсии в вулканизаты и лучшие физические свойства при предварительной вулканизации при высоких температурах и которые имеют превосходную устойчивость при хранении. Сульфенимиды, основанные на первичных аминах, не образуют стабильные N-нитрозоамины, и поэтому они предопределены в качестве подходящих заменителей гигиенически проблематичных сульфенамидных производных вторичных аминов (например, N-оксидиэтилен-2-бензтиазолилсульфенамида), имеющих сравнимые времена предвулканизации и времена вулканизации.
Примерами известных сульфенимидных ускорителей являются N-циклогексил-2-бензтиазолилсульфенимид (CBSI), N-трет-бутил-2-бензтиазолилсульфенимид (TBSI), N-изопропил-2-бензтиазолилсульфенимид, а также N-трет-октил-2-бензтиазолилсульфенимид. Способ хлорирования получения сульфенимида начинается с 2-бензтиазолилсульфенилхлорида, получение которого (описано в патенте США №2257974) состоит в хлорировании 2,2′-дибензтиазолилдисульфида (MBTS) в нереакционноспособном органическом растворителе хлором. В патенте №2304557 на имя Ebelke решается проблема получения сульфенилхлорида из 2-меркаптобензтиазола (2-МВТ) в нереакционноспособных растворителях, таких как CCl4, при кипячении с обратным холодильником, или в случае растворителей, на которые воздействует хлор, таких как бензол, при низкой температуре. После того, как хлорирование завершается, смесь нагревают до точки кипения с целью выделения избыточного галогена и образовавшегося HCl. Полученный бензтиазолилсульфенилхлорид является чувствительным к атмосферной влаге.
Второй стадией вышеуказанного получения сульфенимидов является взаимодействие промежуточного продукта – сульфенилхлорида – с первичным амином в присутствии подходящего основания, которым может быть сам первичный амин.
Патенты США №№2321305 и 2321306 на имя Messer относятся к получению бис- и трис-сульфенамидов инверсным дозированием сульфенилхлорида в настоящий амин в органическом растворителе. Гидрохлорид амина отфильтровывают, и продукт получают выпариванием растворителя из фильтрата.
В патенте Великобритании №817039 на имя Kerrigan представлено получение нового ускорителя, N-трет-октил-2-бензтиазолилсульфенимида, при 20-40°С, где температуру системы повышают нагреванием реакционной смеси. Для улавливания HCl используют либо избыток амина, либо акцепторы, такие как пиридин, триэтиламин и тому подобное. После завершения взаимодействия смесь охлаждают, гидрохлорид отфильтровывают, и смесь последовательно промывают водой, 5% уксусной кислотой, 5% NaOH, водой и в конце сушат над Na2SO4. Растворитель CCl4 удаляют отгонкой при пониженном давлении и сырой продукт перекристаллизовывают из петролейного эфира.
Патенты США №№2873277 и 2889331 на имя Sundholm относятся к получению N-алкил- – N-циклоалкил-бис-(2-бензтиазолилсульфен)амидов (TBSI, CBSI и тому подобное) взаимодействием соответствующего амина с сульфенилхлоридом при молярном отношении 3:2 и при температуре в диапазоне от -40 до +50°С; причем способ дозирования (конкурентный, инверсный или прямой) влияет на качество продукта. После завершения взаимодействия гидрохлорид амина отфильтровывают, продукт получают выпариванием растворителя из фильтрата, и он может быть перекристаллизован из лигроина.
N.K. Sundholm (Ind. Eng. Chem. 52, 239, 1960) сообщил, что качество продукта повышается снижением температур реакции (-10°С и ниже) и быстрым прямым дозированием. Если в реакционноспособный амин инверсно добавляют небольшое количество сульфенилхлорида, реакция может развиваться в направлении моносульфенамида, где не поможет также снижение температуры до -20°С.
Патент СССР №478010 на имя Chitrina et al. относится к способу получения N-циклогександиенил-1,4-бис-(2-бензтиазолил)сульфенамида прямым дозированием ненасыщенного 1,4-циклогександиениламина в сульфенилхлорид при молярном отношении 2:1 при температуре от -15 до -5°С с последующим повышением температуры до 25-30°С в присутствии третичного амина в качестве акцептора HCl.
В вышеуказанных патентных публикациях относительно получения сульфенимида способом хлорирования требуется использовать сухие или безводные растворители соответственно. Альтернативные способы получения N-алкил-N-циклоалкил-2-бензтиазолилсульфенимидов из соответствующих моносульфенамидов посредством взаимодействия с органическими ангидридами описаны в патентах США №№2860142, 3875177 и 5840908 и посредством взаимодействия с сильными минеральными кислотами в среде безводного углеводорода описаны в WO 92/05218, WO 99 58526 и ЕР 0574369.
В ЕР 0529449 Sicheneder описал перспективный способ получения бис-бензтиазолилалкилсульфенимидов, таких как TBSI, взаимодействием алкиламинов (без протона у -углерода) с замещенным 2-МВТ в присутствии кислорода или содержащего кислород газа, меди или соединений меди в качестве катализатора в инертном органическом растворителе.
Хотя в более старых ссылках, относящихся к данной проблеме, указанные соединения называют бис-(сульфенамидами), химически более корректно называть их сульфенимидами.
Целью способа настоящего изобретения является исключение необходимости удаления гидрохлорида амина фильтрацией, кристаллизации из петролейного эфира, а также получение конечного продукта лучшего качества и с более высоким выходом.
Описание изобретения
Вышеуказанная цель может быть достигнута способом получения N-алкил-2-бензтиазолилсульфенимидов общей формулы I

где R представляет собой неразветвленный или разветвленный С1-С12-алкил, C3-С9-циклоалкил, посредством взаимодействия 2-бензтиазолилсульфенилхлорида, промежуточного продукта, полученного из 2,2′-дибензтиазолилдисульфида или 2-меркаптобензтиазола с использованием хлора в присутствии инертного растворителя, при температуре от 5 до 15°С с избытком соответствующего алкиламина в инертной реакционной среде в соответствии с настоящим изобретением. Сущность изобретения состоит в том, что взаимодействие с сульфенилхлоридом проводят с использованием 10-100% избытка концентрированного алкиламина по сравнению с теоретическим количеством, т.е. 3,3-6 эквивалентов алкиламина на 2 эквивалента сульфенилхлорида, как требуется теорией, влажного растворителя, исходного соединения, оборудования, а также в том, что остаток невыделенного алкиламина удаляют азеотропной перегонкой части (самое большее 15%) растворителя, возможно, при пониженном давлении. Первичный амин, который присутствует в избытке, служит также в качестве акцептора для выделяющейся кислоты.
Свободный амин вместе с хлоридом алкиламмония из реакционной смеси улавливают экстракцией с использованием воды или разбавленной кислоты соответственно и гравитационным разделением фаз, амин регенерируют дистилляцией после взаимодействия с водным NaOH.
Конденсация бензтиазолилсульфенилхлорида с алкиламином представляет собой гетерогенную реакцию, сопровождаемую выделением тепла реакции, и поэтому важной частью способа является оборудование, которое позволяет проводить интенсивное перемешивание и во время конденсации отводить тепло реакции. Ее предпочтительно проводят в оборудовании по настоящему изобретению, сущность которого состоит в том, что оно включает реактор с множеством пропеллерных мешалок на общей оси. Реактор состоит из сосуда, в котором пропеллерные мешалки расположены на общей оси, и крышки. Индивидуальные плоскости пропеллерных мешалок ориентированы противоположным образом друг к другу. Ось закрепляется у опоры на дне. В реакторе расположен охлаждающий змеевик. Таким путем обеспечиваются требуемое интенсивное перемешивание и охлаждение в имеющем решающее значение технологическом агрегате.
Растворитель (часть его или весь) удаляют из реакционной системы азеотропной перегонкой с водой при пониженном давлении и температуре не выше, чем 50°С. Чтобы удалить дисульфид, который не прореагировал, добавляют водный гидроксид натрия при температуре 20-50°С. Химическую очистку щелоком проводят до или во время загущения реакционной смеси и сульфенимид отделяют от раствора, содержащего примеси, фильтрованием. Сырой (неочищенный) продукт может уже быть использован в качестве ускорителя вулканизации каучука.
Изобретение далее относится к способу очистки сырого продукта, N-алкил-2-бензтиазолилсульфенимида, сущность которого состоит в том, что сырой продукт отмучивают при температуре 10-50°С в течение 0,5-2 часов в полярном органическом растворителе, выбранном из группы, включающей ацетон, изопропанол, этанол, их смеси или, возможно, азеотропные смеси с водой, и чистый, нерастворимый сульфенимид отделяют от раствора, который содержит растворенные примеси, фильтрованием.
В альтернативном варианте водную суспензию сырого продукта перемешивают при температуре 10-50°С в течение 0,5-2 часов в неполярном органическом растворителе, выбранном из группы, включающей алканы, циклоалканы, ароматические соединения и их смеси, и чистый, нерастворимый сульфенимид отделяют от водно-органической эмульсии, которая содержит растворенные примеси, фильтрованием.
После выпаривания растворителя сырой продукт не кристаллизуют из неполярных растворителей, как делали до этого, а очищают с использованием водного щелока, тогда как побочные продукты реакции экстрагируют подходящим органическим растворителем, который может состоять из растворителя, используемого в данном способе. Имеются некоторые случаи, когда можно не включать полностью химическую очистку щелоком, а очищать сырой сульфенимид перемешиванием его в полярном органическом растворителе, предпочтительно, в спирте или ацетоне.
Преимущество способа по настоящему изобретению состоит в том, что в противоположность существующим процедурам гидрохлорид амина не удаляют из таким образом полученной реакционной смеси фильтрованием, а промывают ее водой. Нет необходимости кристаллизовать сырой продукт из петролейного эфира и, кроме того, способ по настоящему изобретению приводит к получению сульфенимида лучшего качества и с более высоким выходом.
Краткое описание чертежей.
Оборудование по настоящему изобретению в деталях показано на чертеже.
Примеры вариантов осуществления
Следующие примеры объясняют изобретение более подробно, но не ограничивают объем изобретения.
ПРИМЕР 1
Получение N-трет-бутил-2-бензтиазолилсульфенимида (TBSI) в толуоле
Хлорирование 2,2′-дибензтиазолилдисульфида
60,0 г (0,1742 моль) 2,2′-дибензтиазолилдисульфида (коммерчески доступный Atlax, содержащий 96,51% активного вещества по данным ВЭЖХ) и 750 мл толуола помещают в трехгорлую колбу объемом 2 л. При перемешивании отгоняют 75 мл растворителя и раствор охлаждают до 25°С. В перемешиваемую суспензию в течение 60 минут пропускают сухой хлор (12,97 г, 0,183 моль) и реакционную смесь перемешивают еще 0,5 часа при 25°С.
Конденсация
Раствор 2-бензтиазолилсульфенилхлорида охлаждают до +5°С и к нему добавляют из капельной воронки в течение 100 минут при +5°С 45 г (0,61 моль) концентрированного трет-бутиламина. После завершения добавления амина смесь перемешивают в течение 1,5 часа при охлаждении, и затем охлаждение прекращают на 0,5 часа.
Экстракция трет-бутиламина
Из реакционной смеси, содержащей TBSI, гидрохлорид алкиламина и свободный трет-бутиламин выделяют многократной экстракцией водой и гравитационным сливанием водных фаз.
Выделение сырого продукта
К экстрагированной реакционной смеси добавляют 800 мл воды и растворитель азеотропным способом отгоняют при пониженном давлении таким образом, чтобы температура в аппаратуре не превышала 50°С. Сырой продукт (TBSI) получают из водной фазы фильтрованием. После завершения сушки получают 71,7 г, т.е. 102% теоретического выхода, сырого продукта, содержащего до 90% активного вещества; данный сырой (неочищенный) продукт можно уже использовать в качестве ускорителя вулканизации каучука.
Очистка сырого продукта
Мокрый фильтровальный осадок физически очищают в течение 1 часа отмучиванием в 7-кратном количестве технического изопропанола при температуре окружающей среды. После фильтрования и сушки получают 62,36 г очищенного продукта, имеющего чистоту 96,9% по данным ВЭЖХ, причем выход составляет 88,7% теоретической величины.
ПРИМЕР 2
Хлорирование дисульфида, конденсацию с трет-бутиламином и экстракцию трет-бутиламина проводят с использованием процедуры примера 1.
Выделение сырого продукта
К экстрагированной реакционной смеси добавляют 800 мл воды и 82 г 18% водного NaOH. Химическая очистка, направленная на разложение дисульфида, который не прореагировал, происходит в течение 2 часов азеотропной перегонки толуола при пониженном давлении и при перемешивании при температуре ниже 50°С. Сырой продукт отфильтровывают от водной фазы и промывают водой.
Очистка сырого продукта
Полученный фильтровальный осадок физически очищают в течение 1 часа вымыванием в 3-кратном количестве ацетона при температуре окружающей среды. После фильтрования и сушки получают 60,74 г очищенного продукта, имеющего чистоту по данным ВЭЖХ 98,3% (выход 86,4% от теоретической величины).
ПРИМЕР 3
Суспензию сырого TBSI в воде (получена после азеотропной перегонки толуола) получают процедурой, приведенной в примере 2.
К сырому продукту в воде добавляют половину (по количеству) по отношению к массе сырого продукта, толуола, и смесь физически очищают перемешиванием в течение 1 часа при 50°С. После охлаждения, фильтрования и сушки получают 60,7 г очищенного продукта, имеющего по данным ВЭЖХ чистоту 96,97% (выход 86,3% от теоретической величины).
ПРИМЕР 4
Суспензию сырого TBSI в воде (получена азеотропной перегонкой толуола) получают по процедуре, данной в примере 2.
К ней добавляют двойное количество циклогексана по отношению к массе сырого продукта и смесь физически очищают перемешиванием в течение 1 часа при 50°С. После охлаждения, фильтрования и сушки получают 63,7 г очищенного продукта, имеющего по данным ВЭЖХ чистоту 96,33% (выход 90,6% от теоретической величины).
ПРИМЕР 5
Получение N-трет-бутил-2-бензтиазолилсульфенимида (TBSI) в циклогексане
Хлорирование
20 г (0,058 моль) 2,2′-дибензтиазолилдисульфида (коммерчески доступный Altax, содержащий 96,51% активного вещества по данным ВЭЖХ) смешивают с 320 мл циклогексана в трехгорлой колбе объемом 500 мл и 30 мл растворителя отгоняют. В течение 60 минут при температурном диапазоне 40-45°С добавляют 4,3 г (0,061 моль) хлора, смесь нагревают до 75°С и через смесь продувают азот.
Конденсация
Реакционную смесь охлаждают до 10°С, в течение 120 минут добавляют 23,4 г (0,32 моль) трет-бутиламина и смесь перемешивают 60 минут при реакционной температуре.
Очистка
После добавления воды и раствора NaOH 60% растворителя отгоняют из реакционной смеси при пониженном давлении и при температуре не выше, чем 50°С. После охлаждения, фильтрования и промывания водой получают 19,6 г продукта, имеющего чистоту по данным ВЭЖХ 97% (выход 83,8% теоретической величины).
ПРИМЕР 6
Хлорирование дисульфида и конденсация с трет-бутиламином были такими же, как в примере 5.
Очистка
После завершения конденсации в колбу добавляют 150 мл воды и водный раствор хлорида амина отделяют. Органическую фазу в колбе промывают 50 мл воды (или разбавленной кислоты) более двух раз и в конце добавляют 200 мл воды и органический растворитель полностью отгоняют при пониженном давлении. Сырой продукт отфильтровывают и очищают перемешиванием в течение 60 минут в 3-кратном количестве ацетона. После фильтрования получают 19,45 г продукта (выход 83%), имеющего чистоту по данным ВЭЖХ 97,6%.
ПРИМЕР 7
Получение N-циклогексил-2-бензтиазолилсульфенимида (CBSI) в циклогексане
Хлорирование дисульфида проводят так же, как в примере 5.
Конденсация
Реакционную смесь охлаждают до 10°С, в течение 120 минут добавляют 31,7 г (0,32 моль) циклогексиламина и смесь перемешивают 60 минут при реакционной температуре.
Очистка реакционной смеси и выделение продукта являются такими же, как в примере 5.
После сушки фильтровального осадка получают 17,9 г продукта, имеющего по данным ВЭЖХ чистоту 98,5% (72% теоретического выхода).
ПРИМЕР 8
Получение TBSI в реакторе со множеством пропеллерных мешалок на общей оси
Хлорирование
Бензтиазолилсульфенилхлорид получают из 700 кг 98% коммерчески доступного Altax (2,063 кмоль) в 8750 л растворителя и 150 кг хлора.
Конденсация
Раствор 2-бензтиазолилсульфенилхлорида выливают в сосуд (1) реактора (см.чертеж) с колпаком (2), снабженного пропеллерными мешалками (4) на общей оси (3). Его охлаждают до 5°С и в течение 120 минут к нему добавляют 604 кг (8,25 кмоль) концентрированного трет-бутиламина из мерной колбы при температуре ниже, чем 15°С. После завершения дозированного добавления амина смесь перемешивают в течение 1 часа с охлаждением (реактор снабжен охлаждающей камерой) и еще одного часа без охлаждения.
Выделение сырого продукта
После экстракции водой к раствору сырого TBSI в органическом растворителе добавляют воду и растворитель отгоняют азеотропным способом при пониженном давлении таким образом, чтобы температура в аппарате не превышала 50°С. Сырой продукт получают из водной фазы фильтрованием. Он содержит 89% активного вещества (после сушки).
Очистка сырого продукта
Фильтровальный осадок из предыдущего фильтрования очищают в течение 1 часа отмучиванием в 5800 л технического азеотропного изопропанола при температуре окружающей среды. После фильтрования и сушки получают 725 кг очищенного продукта, имеющего по данным ВЭЖХ чистоту 99%, причем выход составляет 87,06% теоретической величины.
Формула изобретения
1. Способ получения N-алкил-2-бензтиазолилсульфенимидов общей формулы I
(I),
где R представляет собой неразветвленный или разветвленный С1-С12-алкил или C3-С9-циклоалкил,
включающий хлорирование 2,2/-дибензтиазолилдисульфида в присутствии инертного растворителя;
взаимодействие полученного 2-бензтиазолилсульфенилхлорида с избытком соответствующего алкиламина в инертной реакционной среде при температуре от +5 до +15°С с использованием 10-100% избытка концентрированного алкиламина, по сравнению с теоретическим количеством, т.е. 3,3-6 эквивалентов алкиламина на 2 эквивалента сульфенилхлорида;
экстракцию водой гидрохлорида алкиламина и непрореагировавшего алкиламина с последующим разделением фаз;
азеотропную перегонку с водой части растворителя при пониженном давлении и температуре не выше 50°С и необязательно удаление непрореагировавшего 2,2/-дибензтиазолилдисульфида добавлением гидроксида натрия при температуре 20-50°С;
выделение сульфенимида фильтрованием.
2. Способ по п.1, отличающийся тем, что взаимодействие сульфенилхлорида с соответствующим алкиламином проводят с избытком 3,5-4 эквивалентов амина на 2 эквивалента сульфенилхлорида.
3. Способ по п.1, отличающийся тем, что экстракцию гидрохлорида алкиламина и непрореагировавшего алкиламина проводят разбавленной кислотой.
4. Устройство для проведения способа по п.1, состоящее из реактора, включающего сосуд и крышку, пропеллерные мешалки, расположенные в сосуде на общей оси, при этом отдельные плоскости пропеллерных мешалок ориентированы противоположным образом друг к другу, и реактор снабжен охлаждающим змеевиком.
5. Способ очистки сырого продукта, N-алкил-2-бензтиазолилсульфенимида, полученного по п.1, отличающийся тем, что сырой продукт вымывают в течение 0,5-2 ч при температуре 10-50°С в подходящем полярном органическом растворителе или в его азеотропной смеси с водой, и затем сульфенимид отделяют фильтрованием.
6. Способ очистки сырого продукта, N-алкил-2-бензтиазолилсульфенимида, полученного по п.1, отличающийся тем, что водную суспензию сырого продукта смешивают с подходящим неполярным органическим растворителем или со смесью таких органических растворителей, образовавшуюся смесь перемешивают в течение 0,5-2 ч при температуре 10-50°С, и затем сульфенимид отделяют фильтрованием.
РИСУНКИ
PD4A – Изменение наименования обладателя патента Российской Федерации на изобретение
(73) Новое наименование патентообладателя:
АВИОН Инвест, а.с. (SK)
Адрес для переписки:
129090, Москва, ул. Б.Спасская, 25, стр. 3, ООО «Юридическая фирма Городисский и Партнеры»
Извещение опубликовано: 10.02.2008 БИ: 04/2008
PD4A – Изменение наименования обладателя патента Российской Федерации на изобретение
(73) Новое наименование патентообладателя:
ДУСЛО, а.с. (SK)
Адрес для переписки:
129090, Москва, ул. Б.Спасская, 25, стр. 3, ООО «Юридическая фирма Городисский и Партнеры»
Извещение опубликовано: 10.02.2008 БИ: 04/2008
MM4A – Досрочное прекращение действия патента СССР или патента Российской Федерации на изобретение из-за неуплаты в установленный срок пошлины за поддержание патента в силе
Дата прекращения действия патента: 26.04.2009
Извещение опубликовано: 27.07.2010 БИ: 21/2010
|