|
(21), (22) Заявка: 2004113693/09, 05.05.2004
(24) Дата начала отсчета срока действия патента:
05.05.2004
(45) Опубликовано: 10.02.2006
(56) Список документов, цитированных в отчете о поиске:
ГИЛЬЯРДИ P.M., КАРП Ш. Оптическая связь, Москва, Связь, 1978, с.178. RU 2144200 С1, 10.01.2000. RU 2205416 С1, 27.05.2003. GB 2140238 A1, 21.11.1984. DE 4128191 А1, 25.02.1993.
Адрес для переписки:
394020, г.Воронеж, ул. Краснознаменная, 153, ГОУ ВПО ВИР
|
(72) Автор(ы):
Козирацкий Юрий Леонтьевич (RU), Козирацкий Александр Юрьевич (RU), Перевозов Руслан Вячеславович (RU)
(73) Патентообладатель(и):
Государственное образовательное учреждение высшего профессионального образования Военный институт радиоэлектроники (RU)
|
(54) СПОСОБ ОДНОПОЗИЦИОННОГО ИЗМЕРЕНИЯ КООРДИНАТ ИСТОЧНИКА ЛАЗЕРНОГО ИЗЛУЧЕНИЯ И УСТРОЙСТВО ДЛЯ ЕГО РЕАЛИЗАЦИИ
(57) Реферат:
Изобретение относится к области квантовой электроники и может быть использовано в прецизионных системах, системах точного нацеливания узких лазерных лучей, траекторных измерений, счета и отображения информации, а также в системах точного определения направления на источники оптического излучения космической техники, в частности при юстировке антенн больших радиотелескопов и в технике связи. Сущность изобретения заключается в том, что в известном способе однопозиционного измерения угловых координат источника лазерного излучения, основанном на применении сканирующих оптических систем и определении угловой координаты источника лазерного излучения по угловому положению сканирующей системы в момент достижения полезного сигнала максимального значения, сканирование поля зрения в выбранном секторе обзора осуществляют за счет изменения положения фазового фронта сигнала гетеродина, а угловую координату источника лазерного излучения определяют по его угловому положению в момент времени достижения полезного сигнала максимального значения. Устройство для его реализации состоит из установленных на вращающейся платформе фотоприемника с формирующей оптикой и фиксированной под углом 45° к оптической оси полупрозрачной пластины, блока обработки сигнала на выходе фотоприемника, гетеродина, а также последовательно соединенных блока формирования параметров фазового фронта сигнала гетеродина и блока управления фазовым фронтом сигнала гетеродина, причем второй выход блока формирования параметров фазового фронта сигнала гетеродина соединен со вторым входом блока обработки сигнала, второй вход блока управления фазовым фронтом сигнала гетеродина соединен с выходом гетеродина, а выход – со вторым входом фотоприемника. Достигаемым техническим результатом является сокращение времени обзора пространства и повышение точности измерения координат источника лазерного излучения. 2 н.п. ф-лы, 5 ил. 
Изобретение относится к области квантовой электроники и может быть использовано в прецизионных системах, системах точного нацеливания узких лазерных лучей, системах траекторных измерений, системах счета и отображения информации, а также в системах точного определения направления на источники оптического излучения космической техники, в частности при юстировке антенн больших радиотелескопов, и в технике связи.
Известен способ однопозиционного измерения угловых координат источника лазерного излучения (аналог), основанный на применении линейки фоточувствительных элементов (см., например, Воробьев В.И. Оптическая локация для радиоинженеров. – М.: Радио и связь, 1983, стр.108, 170). Определение направления на источник лазерного излучения осуществляется по координате, соответствующей элементу приемника, на котором формируется “пятно” лазерного излучения. Способ может быть реализован, например, с помощью устройства, содержащего формирующую оптику, в фокальной плоскости которой размещен кремниевый многоэлементный кодовый фотоприемник и блок обработки электрических сигналов, поступающих с фотоприемника (см., например, Оптико-механические приборы, №2, 1983, стр.45).
Основными недостатками аналога являются большие ошибки измерения направления на источник лазерного излучения и низкий уровень помехозащищенности. Кроме того, для определения пространственного направления на источник лазерного излучения необходимы два подобных устройства, размещаемых в угломестной и азимутальных плоскостях.
Известен также способ, основанный на суммарно-разностной обработке электрических сигналов на выходе многоканальных приемников оптического излучения. Способ может быть реализован с помощью устройства определения угловых координат источника лазерного излучения, содержащего один четырехквадрантный фотоприемник, расположенный в фокальной плоскости формирующей оптики с круглой апертурой, и блок суммарно-разностной обработки электрических сигналов. Направление прихода лазерного излучения определяется положением дифракционного пятна на четырехквадрантном приемнике (см., например, Воробьев В.И. Оптическая локация для радиоинженеров. – М.: Радио и связь, 1983, стр.173).
Недостатками способа являются большие ошибки в определении координат источника лазерного излучения и низкая эффективность в условиях естественных и преднамеренных помех.
Наиболее близким по технической сущности (прототипом) к заявляемому изобретению является способ однопозиционного измерения координат источника лазерного излучения, основанный на применении сканирующих оптических систем и определении угловой координаты источника лазерного излучения по угловому положению сканирующей системы в момент времени достижения полезного сигнала, образованного в результате биения колебаний источника лазерного излучения и гетеродина, максимального значения. Способ может быть реализован с помощью устройства, содержащего установленные на вращающейся платформе фотоприемник с формирующей оптикой, фиксированную под углом 45° к оптической оси полупрозрачную пластину, гетеродин и блок обработки сигнала (см., например, Гальярди P.M., Карп Ш. Оптическая связь. – М.: Связь, 1978, стр.178).
Основным недостатком данного способа является малая скорость изменения пространственного положения лазерного приемного канала, что приводит к увеличению времени поиска.
Технический результат, на достижение которого направлено предлагаемое изобретение, заключается в сокращении времени обзора пространства и существенном повышении точности измерения координат источника лазерного излучения.
Технический результат достигается тем, что в известном способе однопозиционного измерения угловых координат источника лазерного излучения, основанном на применении сканирующих оптических систем и определении угловой координаты источника лазерного излучения по угловому положению сканирующей системы в момент времени достижения полезного сигнала максимального значения, сканирование поля зрения в заданном секторе обзора осуществляют за счет изменения положения фазового фронта сигнала гетеродина, а угловую координату источника лазерного излучения определяют по угловому положению фазового фронта сигнала гетеродина в момент времени достижения полезного сигнала максимального значения.
Недостатком устройства, реализующего данный способ, является использование в нем инерционных и энергоемких блоков механического прецизионного изменения пространственного положения лазерного приемного канала, что приводит к увеличению массы и габаритов, а так же сложности в обслуживании.
Технический результат достигается тем, что в устройство, содержащее установленные на вращающейся платформе фотоприемник с формирующей оптикой, фиксированную под углом 45° к оптической оси полупрозрачную пластину, гетеродин и блок обработки сигнала, дополнительно введены последовательно соединенные блок формирования параметров фазового фронта гетеродина и блок управления фазовым фронтом гетеродина, причем второй выход блока формирования параметров фазового фронта гетеродина соединен со вторым входом блока обработки сигнала, второй вход блока управления фазовым фронтом гетеродина соединен с выходом гетеродина, а выход – со вторым входом фотоприемника.
На фиг.1 схематично представлено взаимное расположение фазового фронта опорной волны местного гетеродина и фазового фронта сигнальной волны от источника лазерного излучения, где kС – волновой вектор сигнальной волны, kГ – волновой вектор гетеродинной волны, – угол между волновыми векторами сигнальной и гетеродинной волны, – угол наклона плоскости усредненного фазового фронта сигнальной волны к оси х. Опорная волна гетеродина и сигнальная волна источника лазерного излучения поступают на фотоприемник с линейными размерами lx, ly по оси х и у соответственно и формируют сигнал на его выходе.
Сущность изобретения заключается в том, что оптическая ось лазерного приемного канала в процессе просмотра поля зрения остается неподвижной. Просмотр заданного сектора обзора осуществляется за счет изменения положения фазового фронта гетеродина в пространстве.
Если угловое рассогласование между направлением прихода излучения и оптической осью приемного канала большое, то и рассогласование фазовых фронтов поля гетеродина и поля принимаемого излучения так же будет большим. Это приводит к тому, что на выходе приемника оптического излучения формируется весьма малый сигнал. Момент достижения сигналом максимального значения означает отсутствие рассогласования между фазовыми фронтами принимаемого излучения и излучения гетеродина и определяется как момент считывания угловых значений пространственного положения волнового вектора гетеродинной волны относительно оптической оси приемного канала, по которым определяют угловые координаты источника принимаемого лазерного излучения.
В общем случае сигнальную и гетеродинную волны можно представить в виде:

где , – единичные комплексные векторы поляризации поля сигнала и гетеродина соответственно;
, – действительные амплитуды;
С, Г – фазы сигнальной и гетеродинной волн;
С, Г – частоты сигнальной и гетеродинной волн.
Тогда выражение для полного тока на выходе фотоприемника можно записать в виде:

где iГ(t), iС(t) – составляющие фототока сигнала и гетеродина.
Полезная (сигнальная) составляющая фототока представляется следующим образом:

где – спектральная чувствительность фотоприемника;
– коэффициент преобразования;
М – коэффициент внутреннего усиления;
h=6,626·10-34 Дж/Гц – постоянная Планка;
е=1,602·10-19 Кл – заряд электрона;
– КПД оптической системы;
– частота излучения;
0=8,854·10-12 Ф/м – электрическая постоянная;
0=1,257·10-6 Гн/м – магнитная постоянная;
– диэлектрическая проницаемость среды.
Из выражения (3) следует, что амплитуда изменения фототока iСГ(t) существенно зависит от фазового множителя  (x,y,t), произведения и согласованности амплитуд полей сигнальной и гетеродинной волны. Введем в рассмотрение коэффициент согласования (t), определяемый соотношением:

тогда выражение для составляющей фототока (3) будет иметь вид:

где PC и PГ – мощность излучения сигнала и гетеродина;
IC, IГ – интенсивность излучения сигнала и гетеродина.
Введенный коэффициент является комплексной величиной и модуль его принимает значение 0 | | 1. При | |=0 осциллирующая часть фототока отсутствует, а при | |=1 волны полностью согласованы и амплитуда осциллирующей части фототока принимает максимальное значение.
Для оценки влияния фазового согласования на процесс фотосмешения допустим, что волны полностью согласованы по амплитуде и поляризации, тогда для однородных волн имеем:

Пусть усредненный фазовый фронт располагается перпендикулярно оси z, а усредненный фронт сигнальной волны под некоторым углом к оси z, как показано на фиг.1.
Тогда можно записать Г(х, у)= Г, С(х, y)=kCxx+kCyy, где kCx, kCy – проекции волнового вектора сигнальной волны на оси х и у соответственно. Из фиг.1 следует, что kCx(t)=kCsin (t)cos (t), kCy(t)=kCsin (t)sin (t), где зависимость углов и от времени характеризует возможность фазовой подстройки волны гетеродина.
Коэффициент согласования при сделанных предположениях в результате будет иметь вид:

А составляющая фототока:

На фиг.2 представлена зависимость iСГ от в случае lx=ly=l, kcx=kcy=k.
Из зависимости видно, что с ростом аргумента функция быстро затухает, что позволяет весьма точно определить момент времени совпадения волновых фронтов (направления на источник лазерного излучения).
Сигнал может быть представлен в виде интенсивности отсчетов:

где е=1,602·10-19 Кл – заряд электрона.
Положим lx=ly=l, kCx(t)=kCy(t)=ksin (t) и введем обозначение

Тогда выражение (9) запишется в виде:

где 
Максимально правдоподобной оценкой будет такое значение , которое доставляет максимум логарифму функционала правдоподобия, тогда это значение должно удовлетворять уравнению типа:

где (Z) – сигнал на выходе фотоприемника.
Функцию sin x можно разложить в бесконечное произведение, а именно:

Следовательно, равенство (10) запишется в виде:

тогда 

Учтем, что , где , тогда

а (11) запишем в виде:

При этом Z должно удовлетворять условию Z k, k=1, 2,….
Для вычисления интеграла в выражении (16) заменим подинтегральную функцию вида ее линейной аппроксимацией, как показано на фиг.3.
Получив уравнения данных прямых: ,
, т.е. y2=y1+2A,
где ,
равенство (16) запишем в виде:

Учитывая симметричность, можем записать:

Тогда получим:

Откуда 
Так как , то выражение для оценки угла будет иметь вид

Таким образом, сущность обоснованного алгоритма оценки направления на источник оптического излучения состоит в определении углового положения фазового фронта волны гетеродина, при котором величина выходного сигнала принимает свое максимальное значение. Сама процедура определения углового положения фазового фронта гетеродина состоит в формировании взвешенного значения параметра Z в виде произведения текущего значения параметра Z на величину сигнала с выхода приемника оптического излучения (Z), являющуюся функцией этого параметра, а затем энергетического усреднения этого произведения на интервале [0, Z] получим выражение (20). Конкретное значение угла определяется как arcsin .
Структурная схема блока обработки сигнала на выходе фотоприемника (2) в соответствии с выражением (21) будет иметь вид, показанный на фиг.4.
Сигнал (Z) с выхода фотоприемника поступает через умножитель и напрямую на соответствующие интеграторы, осуществляющие интегрирование согласно выражению (21). На второй вход умножителя поступает переменный сигнал Z, изменяющийся от 0 до Z0, после усилителя с коэффициентом усиления равным . Сигналы с выходов обоих интеграторов после деления один на другой по формуле (21) поступают на вход элемента, вычисляющего функцию arcsin. На выходе данного элемента получаем значение . С учетом того, что волновой вектор поля гетеродина совпадает с оптической осью приемника, то есть не что иное как оценка углового положения фазового фронта волны гетеродина, при котором сигнал с выхода фотоприемника принимает свое максимальное значение.
Если (t) изменяется от – m до m, то . Если шкалу отсчетов, с которой связано измерение углового положения фазового фронта поля гетеродина, зафиксировать так, что при t=0, Z=0, а при t=tK (где tK – период изменения углового положения фазового фронта гетеродина) Z=Z0, причем максимальное значение сигнала будет заключено в интервале [0, Z0] или на временной оси [0, tK], то эквивалентно времени , на которое приходится максимальное значение выходного сигнала приемника оптического излучения.
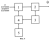
На фиг.5 приведена структурная схема однопозиционного измерителя координат источника лазерного излучения, реализующего предложенный способ. Устройство состоит из установленных на вращающейся платформе фотоприемника (1) с формирующей оптикой и фиксированной под углом 45° к оптической оси полупрозрачной пластины, блока обработки сигнала на выходе фотоприемника (2), гетеродина (5), а также последовательно соединенных блока формирования параметров фазового фронта сигнала гетеродина (3) и блока управления фазовым фронтом сигнала гетеродина (4), причем второй выход блока формирования параметров фазового фронта сигнала гетеродина (3) соединен со вторым входом блока обработки сигнала (2), второй вход блока управления фазовым фронтом сигнала гетеродина (4) соединен с выходом гетеродина (5), а выход – со вторым входом фотоприемника (1).
На фотоприемник (1) поступают две волны: сигнальная от источника лазерного излучения и опорная волна от местного гетеродина. Фазовый фронт опорной волны сформирован блоком управления фазовым фронтом сигнала гетеродина (4) с учетом требуемых параметров, определяемых блоком формирования параметров фазового фронта сигнала гетеродина (3). Сектор просмотра устанавливается электромеханическим способом с помощью вращающейся платформы, а сканирование внутри сектора осуществляется за счет изменения положения фазового фронта сигнала гетеродина блоком (4).
Момент достижения сигналом максимального значения определяется блоком обработки сигнала на выходе фотоприемника (2) как момент считывания угловых значений пространственного положения волнового вектора гетеродинной волны относительно оптической оси приемного канала, по которым определяют угловые координаты источника принимаемого лазерного излучения.
В предложенном устройстве точность оценки направления на источник оптического излучения определяется равномерностью фазовых фронтов или отсутствием таких фазовых флуктуаций принимаемого излучения, которые невозможно воспроизвести фазовым фронтом сигнала гетеродина.
Заявленное изобретение соответствует требованию “новизна” по действующему законодательству, так как проведенный анализ уровня техники и выявление источников, содержащих сведения об аналогах заявленного изобретения, позволили установить, что заявителем не обнаружен аналог, характеризующийся признаками, идентичными всем существенным признакам заявленного изобретения, а определение из перечня выявленных аналогов прототипа, как наиболее близкого по совокупности признаков аналога, позволило выявить совокупность существенных по отношению к усматриваемому заявителем техническому результату отличительных признаков в заявленном объекте.
Для проверки соответствия заявленного изобретения требованию изобретательского уровня заявитель провел дополнительный поиск известных решений, результаты которого показывают, что заявленное изобретение не следует для специалиста явным образом из известного уровня техники, поскольку из уровня техники не выявлено влияния предусматриваемых существенными признаками заявленного изобретения преобразований на достижение технического результата.
Следовательно, заявленное изобретение соответствует требованию “изобретательский уровень” по действующему законодательству.
Приведем примеры, доказывающие возможность практической реализации предлагаемого способа. В качестве блока управления фазовым фронтом сигнала гетеродина могут быть использованы электрооптические модуляторы с малыми значениями отклонения в большом масштабе изменения величины управляющего напряжения (см., например, Оптический журнал, том 66, №7, 1999, стр.3), или оптико-механические дефлекторы на выходе лазера-гетеродина (см., например, Ребрин Ю.К. Управление оптическим лучом в пространстве. – М.: Сов. радио, 1977, стр.223). В качестве блока формирования фазового фронта гетеродина может быть использован генератор пилообразного напряжения, формирующий управляющее напряжение от 0 до с периодом tK, соответствующим периоду изменения углового положения фазового фронта гетеродина.
Заявляемый способ и устройство обеспечивают сокращение времени обзора пространства и существенное повышение точности измерения координат источника лазерного излучения. Так, проведенные исследования показывают, что погрешность измерения угловой координаты источника лазерного излучения на длине волны =1,06 мкм не превышает 10-4 рад, а время обзора пространства сокращается в три раза по сравнению с известными способами.
Формула изобретения
1. Способ однопозиционного измерения координат источника лазерного излучения, основанный на применении сканирующих оптических систем и определении угловой координаты источника лазерного излучения по угловому положению сканирующей системы в момент времени достижения полезным сигналом, образованным в результате биения колебаний источника лазерного излучения и гетеродина, максимального значения, отличающийся тем, что сканирование поля зрения в заданном секторе обзора осуществляют за счет изменения положения фазового фронта сигнала гетеродина, а угловую координату источника лазерного излучения определяют по угловому положению фазового фронта сигнала гетеродина в момент времени достижения полезным сигналом максимального значения.
2. Устройство однопозиционного измерения координат источника лазерного излучения, содержащее установленные на вращающейся платформе фотоприемник с формирующей оптикой, фиксированную под углом 45° к оптической оси полупрозрачную пластину, гетеродин и блок обработки сигнала на выходе фотоприемника, отличающееся тем, что дополнительно введены последовательно соединенные блок формирования параметров фазового фронта гетеродина и блок управления фазовым фронтом гетеродина, причем второй выход блока формирования параметров фазового фронта гетеродина соединен со вторым входом блока обработки сигнала, второй вход блока управления фазовым фронтом гетеродина соединен с выходом гетеродина, а выход – со вторым входом фотоприемника.
РИСУНКИ
MM4A – Досрочное прекращение действия патента СССР или патента Российской Федерации на изобретение из-за неуплаты в установленный срок пошлины за поддержание патента в силе
Дата прекращения действия патента: 06.05.2008
Извещение опубликовано: 20.06.2010 БИ: 17/2010
|