|
|
(21), (22) Заявка: 2003128067/04, 18.03.2002
(24) Дата начала отсчета срока действия патента:
18.03.2002
(30) Конвенционный приоритет:
19.03.2001 JP 2001-79610 29.04.2001 JP 2001-160251
(43) Дата публикации заявки: 10.04.2005
(45) Опубликовано: 10.02.2006
(56) Список документов, цитированных в отчете о поиске:
RU 2002117652 A, 20.01.2004, ф-ла;. SU 778709, 07.11.1980. WO 98/25605 A1, 18.06.1998. WO 97/11940 A1, 03.04.1997.
(85) Дата перевода заявки PCT на национальную фазу:
18.09.2003
(86) Заявка PCT:
JP 02/02554 (18.03.2002)
(87) Публикация PCT:
WO 02/074770 (26.09.2002)
Адрес для переписки:
129010, Москва, ул. Б.Спасская, 25, стр.3, ООО “Юридическая фирма Городисский и Партнеры”, пат.пов. Е.Е.Назиной
|
(72) Автор(ы):
ХАБАСИТА Хирому (JP), ХАМАНО Син-ити (JP), СИБАЯМА Сиро (JP), ТАКАОКА Ёсиказу (JP)
(73) Патентообладатель(и):
ОНО ФАРМАСЬЮТИКАЛ КО., ЛТД. (JP)
|
(54) ПРОИЗВОДНЫЕ ТРИАЗАСПИРО [5.5] УНДЕКАНА И ФАРМАЦЕВТИЧЕСКАЯ КОМПОЗИЦИЯ, ВКЛЮЧАЮЩАЯ ЕГО В КАЧЕСТВЕ АКТИВНОГО ИНГРЕДИЕНТА
(57) Реферат:
Настоящее изобретение относится к производному триазаспиро[5.5]ундекана формулы (I)

где R1 имеет формулу (1) или (2)

где G представляет связь, C1-4 алкилен, C2-4 алкенилен или -СО-; кольцо А представляет собой (1) С5-10-членное моно- или бикарбоциклическое кольцо или (2) 5-10-членный моно- или бициклический гетероцикл, содержащий 1-2 атома азота и/или 1-2 атома кислорода; заместитель R6 имеет следующие значения: (1) C1-4 алкил, (2) галоген, (3) нитрил, (4) трифторметил и другие; R2 представляет (1) C1-4 алкил, (2) C2-4 алкинил или (3) C1-4 алкил, замещенный заместителем, определенным в п.1 формулы изобретения; R3 и R4 каждый независимо представляет (1) водород, (2) C1-4 алкил или (3) C1-4 алкил, замещенный 1-2 заместителями, выбранными из (а) Сус 2 и (b) гидрокси (где Сус 2 представляет (1) С5-6-членное монокарбоциклическое кольцо или (2) 5-6-членный моноциклический гетероцикл, содержащий 1-2 атома азота и/или атом кислорода), или R3 и R4 вместе образуют

где R26 представляет C1-4 алкил или Сус 2; R5 представляет собой водород или C1-4 алкил, его четвертичной аммониевой соли, его N-оксиду или его нетоксичной соли. Объектами изобретения также являются фармацевтическая композиция, ингибирующая ВИЧ, регулятор хемокин/хемокинового рецептора и средство для лечения и профилактики ряда заболеваний, таких как воспалительные заболевания, астма, атопический дерматит, крапивница, аллергические заболевания, нефрит, гепатит, артрит и других заболеваний, которые содержат в качестве активного ингредиента описанное выше соединение формулы (I) или его четвертичную аммониевую соль, его N-оксид или его нетоксичную соль. Изобретение также относится к (3R)-1-бутил-2,5-диоксо-3-((1R)-1-гидрокси-1-циклогексилметил)-9-(4-(4-карбоксифенилокси)фенилметил)-1,4,9-триазаспиро[5.5]ундекану или его фармацевтически приемлемой соли и фармацевтической композиции на их основе и (3R)-1-бутил-2,5-диоксо-3-((1R)-1-гидрокси-1-циклогексилметил)-9-(4-(4-карбоксифенилокси)фенилметил)-1,4,9-триазаспиро[5.5]ундекану гидрохлориду и фармацевтической композиции на их основе. 9 н. и 7 з.п. ф-лы.
ОБЛАСТЬ ТЕХНИКИ
Настоящее изобретение относится к производным триазаспиро[5.5]ундекана и фармацевтическим композициям, включающим их в качестве активных ингредиентов.
Более конкретно оно относится к производным триазаспиро[5.5]ундекана формулы (I)

(где все символы имеют такие же значения, как определено ниже в данном описании), их четвертичным аммониевым солям, их N-оксидам, их нетоксичным солям, способам их получения и фармацевтическим композициям, включающим их в качестве активных ингредиентов.
ПРЕДШЕСТВУЮЩИЙ УРОВЕНЬ ТЕХНИКИ
Хемокин известен как основной белок, обладающий эндогенным хемотактическим и активирующим действием по отношению к лейкоцитам и высокой гепарин-связывающей активностью. В настоящее время считают, что хемокин имеет отношение не только к контролю инфильтрации специфических лейкоцитов во время воспалений и иммунных ответов, но также к развитию и хомингу лимфоцитов в физиологических условиях и миграции клеток-предшественников гемоцитов и соматических клеток.
Дифференциация, пролиферация и смерть клеток гемоцитов контролируются различными типами цитокина. В живом организме воспаления обнаруживают топически, и дифференциация, созревание и тому подобное у лимфоцитов происходят на определенных установленных участках. Так, различные необходимые клетки мигрируют в определенные установленные участки и аккумулируются в них, вызывая ряд воспалений и иммунных ответов. Соответственно, миграция клеток является также необходимым явлением в дополнение к дифференциации, пролиферации и смерти клеток.
Миграция гемоцитов в живом организме начинается первоначально на стадии развития при смещении гематопоэза, начавшегося в области AGM к перманентному гематопоэзу в костном мозге через печень эмбриона. В дальнейшем, клетки-предшественники Т-клеток и дендритные клетки тимуса мигрируют из печени эмбриона в костный мозг и железу тимуса и проходят цитодифференциацию в среде тимуса. T-клетка, которая проходит селекцию клона мигрирует во вторичные лимфоидные ткани и принимает участие в иммунном ответе на периферии. Клетка Лангерганса кожи, активированная и дифференцированная захватом антигена мигрирует в область T-клеток местного лимфатического узла и активирует в нем раннюю T-клетку как дендритную клетку. T-клетка памяти осуществляет свой обратный путь опять в лимфатический узел через лимфатические и кровеносные сосуды. Также B-клетка, T-клетка в эпителии кишечника,  T-клетка, NKT-клетка и дендритная клетка мигрируют из костного мозга без прохождения через железу тимуса и проходят дифференциацию для принятия участия в иммунном ответе.
Хемокин существенным образом связан с миграцией таких различных клеток. Например, MIP3 , SLC и их рецептор CCR7 играют важную роль в миграции и возврате незрелой T-клетки, T-клетки памяти и зрелой дендритной клетки, которые захватили антиген, в местную лимфоидную ткань, для эффективного столкновения дендритных клеток с T-клетками. T-клетка и дендритная клетка, необходимые для контроля антиген-специфических иммунных ответов, лишь незначительно наблюдаются во вторичном лимфатическом узле PLT-мыши с недостаточной экспрессией SLC (J. Exp. Med., 189(3), 451 (1999)).
MDC, TARC и их рецептор CCR4 играют важную роль в миграции Th2-клетки в местные участки при иммунном и воспалительном ответах, к которым имеет отношение Th2-клетка. На модели крысиного флуминантного гепатита (P. acnes + LPS) антитела против TARC подавляли увеличение количества ALT в крови и увеличение экспрессирующих количеств TNF и FasL в печени, а также улучшали показатель летальности крыс (J. Clin. Invest., 102, 1933 (1998)). Также антитела против MDC снижали количество эозинофилов, аккумулированных в интерстиции легких, и подавляли гиперчувствительность воздухоносных путей на мышиной модели гиперчувствительности воздухоносных путей, индуцированной OVA (J. Immunology, 163, 403 (1999)).
MCP-1 и его рецептор CCR2 имеют отношение к инфильтрации макрофага в участки воспаления. Антитела против MCP-1 проявляли эффект подавления инфильтрации моноцитов и макрофагов в клубочки на крысиной модели гломерулярного нефрита, вызванного антителами против Thy1.1 (Kidney Int., 51, 770 (1997)).
Таким образом, рецепторы хемокина существенно связаны с контролем воспалительного и иммунного ответов через механизм, при котором они экспрессируются в определенные указанные периоды в различных специфических клетках, а эффекторные клетки аккумулируются в области продуцирования хемокина.
Синдром приобретенного иммунодефицита (названный СПИД), вызываемый вирусом иммунодефицита человека (далее в данном описании обозначенный как “ВИЧ”) является одним из заболеваний, для которых способы лечения являются наиболее серьезно востребованными в последние годы. Как только завершается инфицирование ВИЧ в CD4-положительной клетке, которая является основной клеткой-мишенью, ВИЧ повторяет свою пролиферацию в организме пациента и, рано или поздно, полностью разрушает T-клетки, обеспечивающие иммунологическую функцию. Во время этого процесса иммунологическая функция постепенно снижается, что вызывает лихорадку, диарею, увеличение лимфатических узлов и подобные различные состояния иммунодефицита, которые вызывают осложнения с пневмонией, вызываемой pneumocystis carinii и подобными различными оппортунистическими инфекциями. Такие состояния являются началом СПИД, и хорошо известно, что они вызывают и ухудшают саркому Капоши и подобные злокачественные опухоли.
В качестве недавних профилактических и терапевтических способов против СПИД пытались, например, (1) ингибировать рост ВИЧ введением ингибитора обратной транскриптазы или ингибитора протеазы и (2) предотвратить или облегчить оппортунистические инфекции введением лекарства, обладающего иммунопотенциирующей активностью.
Клетки Т-хелперов, которые играют центральную роль в иммунной системе, в основном инфицируются ВИЧ. С 1985 года известно, что ВИЧ использует мембранный белок CD4, экспрессирующийся на мембране T-клеток при инфекции (Cell, 52, 631 (1985)). Молекула CD4 составлена из 433 аминокислотных остатков, и его экспрессия может быть обнаружена в макрофагах, некоторых B-клетках, сосудистых эндотелиальных клетках, клетках Лангерганса в кожных тканях, дендритных клетках в лимфоидных тканях, клетках глии центральной нервной системы и т.п., в дополнение к зрелым клеткам Т-хелперов. Однако так как было показано, что инфекция ВИЧ не завершается только молекулой СD4, предположили возможность присутствия факторов других, чем молекула CD4, имеющих отношение к инфекции клеток ВИЧ.
В 1996 году в качестве фактора, относящегося к ВИЧ-инфекции, отличного от молекулы CD4, был идентифицирован белок клеточной мембраны, названный Фузином (Fusin) (Science, 272, 872 (1996)). Было подтверждено, что данная молекула Фузина представляет собой рецептор (именно, CXCR4) стромального производного фактора-1 (далее в данном описании обозначенного как “SDF-1”). Дополнительно, было также подтверждено in vitro, что SDF-1 специфично ингибирует инфекцию T-клетки тропическим (X4) ВИЧ (Nature, 382, 829 (1996), Nature, 382, 833 (1996)). То есть считают, что ВИЧ-инфекция ингибировалась связыванием SDF-1 с CXCR4, предшествующим ВИЧ, лишающим, таким образом, ВИЧ плацдарма для инфицирования клеток.Также одновременно было обнаружено, что другой рецептор хемокина CCR5, который является рецептором RANTES, MIP-1 и MIP-1 , также используется во время инфекции макрофаговым тропическим (R5) ВИЧ (Science, 272, 1955 (1996)).
Соответственно, вещества, которые могут конкурировать с CXCR4 и CCR5 за ВИЧ или могут связываться с ВИЧ, приводя, таким образом, к неспособности вируса связываться с CXCR4 и CCR5, могут стать ингибиторами ВИЧ-инфекции. Также имеется случай, когда низкомолекулярное соединение, первоначально обнаруженное как ингибитор ВИЧ-инфекции, в действительности являлось антагонистом CXCR4 (Nature Medicine, 4, 72 (1998)).
На основании изложенного выше полагают, что хемокин/хемокиновые рецепторы существенным образом связаны с воспалением, иммунным заболеванием или ВИЧ-инфекцией. Например, считают, что они имеют отношение к ингибированию различных воспалительных заболеваний, астмы, атопического дерматита, крапивницы, аллергических заболеваний (аллергического бронхолегочного аспергиллеза, аллергического эозинофильного гастроэнтерита и т.п.), гломерулярного нефрита, нефропатии, гепатита, артрита, хронического ревматоидного артрита, псориаза, ринита, конъюнктивита и ишемически-реперфузионного повреждения, к лечению рассеянного склероза, язвенного колита, острого респираторного дистресс-синдрома, шока, сопровождаемого бактериальной инфекцией, сахарного диабета и аутоиммунных заболеваний, и отторжения трансплантата, иммуносупрессии, профилактике метастазов и синдрома приобретенного иммунодефицита.С другой стороны, в описании WO97/11940, указано, что соединения формулы (Z)

(где атомы AiZ и BjZ независимо выбраны из углерода, азота, кислорода и серы (при условии, что, по меньшей мере, один атом из AiZ представляет собой углерод, и, по меньшей мере, один атом BjZ представляет собой углерод);
кольца спиробицикла, образованные AiZ и BiZ, соответственно, могут быть необязательно частично ненасыщенными,
pZ и qZ независимо являются числом от 2 до 6,
mZ является числом от 0 до pZ,
R10Z является одним и тем же или различным и представляет невлияющий заместитель, независимо выбранный из водорода, алкила, галогензамещенного алкила, алкенила, алкинила, циклоалкила, =O и =S и т.д.,
nZ являются числом от 0 до qZ,
R0Z является одним и тем же или различным и представляет невлияющий заместитель, независимо выбранный из водорода, алкила, галогензамещенного алкила, алкенила, алкинила, циклоалкила, =O, и =S и т.д.,
связывающая группа -(LZ)- представляет собой одинарную связь или двухвалентную замещенную или незамещенную цепь, содержащую от 1 до 10 атомов, выбранных из группы, состоящей из углерода, азота, серы и кислорода,
QZ представляет основную группу, содержащую один или более основных радикалов, и
R3Z представляет кислотную группу, содержащую один или более кислотных радикалов), применимы для ингибирования агрегации тромбоцитов.
В описании заявки WO98/25605, показано, что соединения формулы (Y)

(где, mY или 1Y каждый независимо равен 0, 1, 2, 3, 4 или 5, R1Y представляет водород, C1-8 алкил, C2-8 алкенил, C2-8 алкинил и т.д., WY представляет одинарную связь, C1-3 алкил или C1-3 алкил, замещенный оксо и т.д., QY представляет-NR2-, -O-, -S-, -S(O)- OR -SO2-, XY представляет одинарную связь, C1-3 алкил или C1-3 алкил, замещенный оксо, и т.д., YY-ZY кольцо представляет собой фенил, нафтил или гетероарил, при условии, что определение каждого символа является частичной выборкой), применимы в качестве модуляторов рецепторов хемокина.
ОПИСАНИЕ ИЗОБРЕТЕНИЯ
Были проведены исследования с целью обнаружения соединений, регулирующих хемокин/хемокиновые рецепторы, и обнаружено, что данная цель была достигнута с помощью производных триазаспиро[5.5]ундекана формулы (I).
Настоящее изобретение относится к
i) производному триазаспиро[5.5]ундекана формулы (I)

[где R1 имеет формулу (1) или (2):

(где G представляет связь, C1-4 алкилен, C2-4 алкенилен или -CO-,
кольцо A представляет собой (1) C5-10-членное моно- или бикарбоциклическое кольцо или (2) 5-10-членный моно- или бициклический гетероцикл, содержащий 1-2 атома азота и/или 1-2 атома кислорода)
R6 представляет
(1) C1-4 алкил,
(2) галоген,
(3) нитрил,
(4) трифторметил,
(5) -OR8,
(6) -SR9,
(7) -NR10R11,
(8) -COOR12,
(9) -CONR13R14,(10) -SO2NR15R16,
(11) -NR17SO2R18,
(12) -S(O)R19,
(13) -SO2R20,
(14) -N(SO2R21)2,
(15) C1-4 алкил, замещенный заместителем, выбранным из (a) -OR8, (b) -NR10R11 и (c) Cyc 1, или
(16) -NR27COR28,
где R8-R17 каждый независимо представляют (1) водород, (2) C1-4 алкил, (3) Cyc 1, (4) -OR22 и (5) C1-4 алкил, замещенный заместителем, выбранным из (a) -OR22, (b) -NR23R24, (c) -COOR25 и (d) Cyc 1, или
R10 и R11, R13 и R14 или R15 и R16, каждый независимо, вместе с атомом азота, к которому они присоединены, образуют 5-6-членный моноциклический гетероцикл, содержащий 1-2 атома азота и/или атом кислорода (где 5-6-членный моноциклический гетероцикл может быть необязательно замещен C1-4 алкилом или гидрокси),
R22-R25 каждый независимо представляет (1) водород, (2) C1-4 алкил или (3) C1-4 алкил, замещенный C1-4 алкокси, или
R23 и R24 вместе с атомом азота, к которому они присоединены, образуют 5-6-членный моноциклический гетероцикл, содержащий 1-2 атома азота и/или атом кислорода (где 5-6-членный моноциклический гетероцикл может быть необязательно замещен C1-4 алкилом или гидрокси),
R18-R21 каждый независимо представляет C1-4 алкил,
R27 представляет (1) водород, (2) C1-4 алкил, (3) Cyc 1 или (4) C1-4 алкил, замещенный заместителем, необязательно выбранным из (a) -OR22, (b) -NR23R24, (c) -COOR25, и (d) Cyc 1,
R28 представляет собой (1) C1-4 алкил, (2) Cyc 1 или (3) C1-4 алкил, замещенный заместителем, необязательно выбранным из (a) -OR22, (b) -NR23R24, (c) -COOR25 и (d) Cyc 1,
Cyc 1 представляет (1) C5-6-членное монокарбоциклическое кольцо или (2) 5-6-членный моноциклический гетероцикл, содержащий 1-2 атома азота и/или атом кислорода (где карбоциклическое кольцо или гетероцикл могут быть необязательно замещены C1-4 алкокси, галогеном или -COOR29 (где R29 представляет собой (1) водород, (2) C1-4 алкил, (3) Cyc 1 или (4) C1-4 алкил, замещенный заместителем, выбранным из (a) -OR22, (b) -NR23R24, (c) -COOR25 и (d) Cyc 1).),
E представляет связь, -O-, -S-, -CO- или -CHOH-,
кольцо B представляет собой (1) C5-6-членное монокарбоциклическое кольцо или (2) 5-6-членный моноциклический гетероцикл, содержащий 1-2 атома азота и/или атом кислорода,
R7 представляет C1-4 алкил или галоген,
n является числом от 0 или 1 до 4 и m является числом от 0 или 1 до 4,
R2 представляет (1) C1-4 алкил, (2) C2-4 алкинил или (3) C1-4 алкил, замещенный заместителем, необязательно выбранным из (a) -OR30, (b) -NR31R32 и (c) Cyc 3 (где R30-R32 каждый независимо представляет (1) водород, (2) C1-4 алкил, (3) Cyc 3 или (4) C1-4 алкил, замещенный Cyc 3, где Cyc 3 представляет (1) C5-6-членное монокарбоциклическое кольцо или (2) 5-6-членный моноциклический гетероцикл, содержащий 1-2 атома азота и/или атом кислорода (где C5-6-членное карбоциклическое кольцо или 5-6-членный моноциклический гетероцикл могут быть необязательно замещены C1-4 алкокси)),
R3 и R4 каждый независимо представляет (1) водород, (2) C1-4 алкил или (3) C1-4 алкил, замещенный 1-2 заместителями, выбранными из (a) Cyc 2 и (b) гидрокси (где Cyc 2 представляет (1) C5-6-членное монокарбоциклическое кольцо или (2) 5-6-членный моноциклический гетероцикл, содержащий 1-2 атома азота и/или атом кислорода), или R3 и R4 вместе образуют

(где R26 представляет C1-4 алкил или Cyc 2), и R5 представляет водород или C1-4 алкил],
его четвертичной аммониевой соли, его N-оксиду или его нетоксичной соли,
ii) соединению формулы (I) в соответствии с приведенным выше i), где R3 и R4 представляют водород,
iii) соединению формулы (I) в соответствии с приведенным выше i), где R3 представляет водород и R4 представляет (1) C1-4 алкил или (2) C1-4 алкил, замещенный 1-2 заместителями, необязательно выбранными из (a) Cyc 2 и (b) гидрокси,
iv) соединению формулы (I) в соответствии с приведенным выше i), где R3 и R4 каждый независимо представляет (1) C1-4 алкил или (2) C1-4 алкил, замещенный заместителем, необязательно выбранным из (a) Cyc 2 и (b) гидрокси,
v) соединению формулы (I), описанной выше, i) в которой R3 и R4 вместе образуют 
(где R26 имеет то же значение, как определенно в соответствии с приведенным выше i)),
vi) соединению, представляющему собой
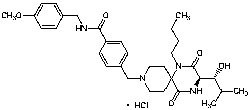
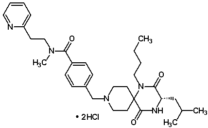
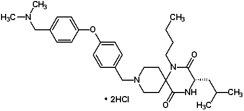
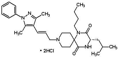
(1) (3R)-1-бутил-2,5-диоксо-3-((1R)-1-гидрокси-2-метилпропил)-9-бензил-1,4,9-триазаспиро[5.5]ундекан,
(2) (3R)-1-бутил-2,5-диоксо-3-((1R)-1-гидрокси-2-метилпропил)-9-(6-фенилоксипиридин-3-илметил)-1,4,9-триазаспиро[5.5]ундекан,
(3) (3R)-1-бутил-2,5-диоксо-3-((1R)-1-гидрокси-2-метилпропил)-9-(4-(4-метоксифенилокси)фенилметил)-1,4,9-триазаспиро[5.5]ундекан,
(4) (3R)-1-бутил-2,5-диоксо-3-((1R)-1-гидрокси-2-метилпропил)-9-(4-(3-метоксифенилокси)фенилметил)-1,4,9-триазаспиро[5.5]ундекан,
(5) (3R)-1-бутил-2,5-диоксо-3-((1R)-1-гидрокси-2-метилпропил)-9-(4-(4-фторфенилокси)фенилметил)-1,4,9-триазаспиро[5.5]ундекан,
(6) (3R)-1-бутил-2,5-диоксо-3-((1R)-1-гидрокси-2-метилпропил)-9-(4-(4-хлорфенилокси)фенилметил)-1,4,9-триазаспиро[5.5]ундекан,
(7) (3R)-1-бутил-2,5-диоксо-3-((1R)-1-гидрокси-2-метилпропил)-9-(4-(фенилкарбонил)фенилметил)-1,4,9-триазаспиро[5.5]ундекан,
(8) (3R)-1-бутил-2,5-диоксо-3-((1R)-1-гидрокси-2-метилпропил)-9-(4-(1-фенил-1-гидроксиметил)фенилметил)-1,4,9-триазаспиро[5.5]ундекан,
(9) (3R)-1-бутил-2,5-диоксо-3-((1R)-1-гидрокси-2-метилпропил)-9-(4-(4-(морфолин-4-илкарбонил)фенилокси)фенилметил)-1,4,9-триазаспиро[5.5]ундекан,
(10) (3R)-1-бутил-2,5-диоксо-3-((1R)-1-гидрокси-2-метилпропил)-9-(4-(6-метилпиридин-3-илокси)фенилметил)-1,4,9-триазаспиро[5.5]ундекан,
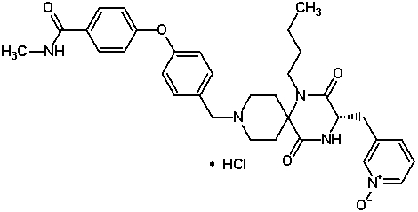
(11) (3R)-1-бутил-2,5-диоксо-3-((1R)-1-гидрокси-2-метилпропил)-9-(4-(пиридин-1-оксидо-3-илокси)фенилметил)-1,4,9-триазаспиро[5.5]ундекан,
(12) (3R)-1-бутил-2,5-диоксо-3-((1R)-1-гидрокси-2-метилпропил)-9-(4-(4-гидроксипиперидин-1-илметил)фенилметил)-1,4,9-триазаспиро[5.5]ундекан,
(13) (3R)-1-бутил-2,5-диоксо-3-((1R)-1-гидрокси-2-метилпропил)-9-(3,5-диметил-1-циклогексилпиразол-4-илметил)-1,4,9-триазаспиро[5.5]ундекан,
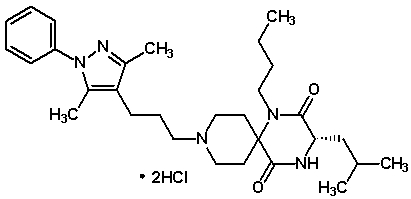
(14) (3R)-1-бутил-2,5-диоксо-3-((1R)-1-гидрокси-2-метилпропил)-9-(1,3,5-триметилпиразол-4-илметил)-1,4,9-триазаспиро[5.5]ундекан,
(15) (3R)-1-бутил-2,5-диоксо-3-((1R)-1-гидрокси-2-метилпропил)-9-(4-(4-аминосульфонилфенилокси)фенилметил)-1,4,9-триазаспиро[5.5]ундекан,
(16) (3R)-1-бутил-2,5-диоксо-3-((1R)-1-гидрокси-2-метилпропил)-9-(4-(4-метилтиофенилокси)фенилметил)-1,4,9-триазаспиро[5.5]ундекан,
(17) (3R)-1-бутил-2,5-диоксо-3-((1R)-1-гидрокси-2-метилпропил)-9-(4-(4-метилсульфонилфенилокси)фенилметил)-1,4,9-триазаспиро[5.5]ундекан,
(18) (3R)-1-бутил-2,5-диоксо-3-((1R)-1-гидрокси-2-метилпропил)-9-(4-(4-цианофенилокси)фенилметил)-1,4,9-триазаспиро[5.5]ундекан,
(19) (3R)-1-бутил-2,5-диоксо-3-((1R)-1-гидрокси-2-метилпропил)-9-(4-(фенилтио)фенилметил)-1,4,9-триазаспиро[5.5]ундекан,
(20) (3R)-1-бутил-2,5-диоксо-3-((1R)-1-гидрокси-2-метилпропил)-9-(3,5-диметил-1-(4-гидроксифенил)пиразол-4-илметил)-1,4,9-триазаспиро[5.5]ундекан,
(21) (3R)-1-бутил-2,5-диоксо-3-((1R)-1-гидрокси-2-метилпропил)-9-(3,5-диметил-1-(4-метилсульфониламинофенил)пиразол-4-илметил)-1,4,9-триазаспиро[5.5]ундекан,
(22) (3R)-1-бутил-2,5-диоксо-3-((1R)-1-гидрокси-2-метилпропил)-9-(3,5-диметил-1-(4-(2-(N,N-диметиламино)этиламиносульфонил)фенил)пиразол-4-илметил)-1,4,9-триазаспиро[5.5]ундекан,
(23) (3R)-1-бутил-2,5-диоксо-3-((1R)-1-гидрокси-2-метилпропил)-9-(3,5-диметил-1-(4-(пирролидин-1-илсульфонил)фенил)пиразол-4-илметил)-1,4,9-триазаспиро[5.5]ундекан,
(24) (3R)-1-бутил-2,5-диоксо-3-((1R)-1-гидрокси-2-метилпропил)-9-(4-(6-метилпиридин-1-оксидо-3-илокси)фенилметил)-1,4,9-триазаспиро[5.5]ундекан,
(25) (3R)-1-бутил-2,5-диоксо-3-((1R)-1-гидрокси-2-метилпропил)-9-(4-(4-гидроксифенилокси)фенилметил)-1,4,9-триазаспиро[5.5]ундекан,
(26) (3R)-1-бутил-2,5-диоксо-3-((1R)-1-гидрокси-2-метилпропил)-9-(6-(4-метоксифенилокси)пиридин-3-илметил)-1,4,9-триазаспиро[5.5]ундекан,
(27) (3R)-1-бутил-2,5-диоксо-3-((1R)-1-гидрокси-2-метилпропил)-9-(3,5-диметил-1-(4-(метиламиносульфонил)фенил)пиразол-4-илметил)-1,4,9-триазаспиро[5.5]ундекан,
(28) (3R)-1-бутил-2,5-диоксо-3-((1R)-1-гидрокси-2-метилпропил)-9-(3,5-диметил-1-(4-(N-метил-N-(2-гидроксиэтил)аминосульфонил)фенил)пиразол-4-илметил)-1,4,9-триазаспиро[5.5]ундекан,
(29) (3R)-1-бутил-2,5-диоксо-3-((1R)-1-гидрокси-2-метилпропил)-9-(3,5-диметил-1-(4-(2-гидроксиэтиламиносульфонил)фенил)пиразол-4-илметил)-1,4,9-триазаспиро[5.5]ундекан,
(30) (3R)-1-бутил-2,5-диоксо-3-((1R)-1-гидрокси-2-метилпропил)-9-(3,5-диметил-1-(4-(N,N-диметиламинокарбонил)фенил)пиразол-4-илметил)-1,4,9-триазаспиро[5.5]ундекан,
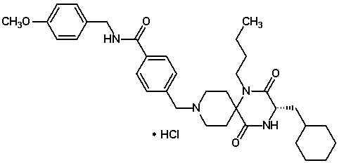
(31) (3R)-1-бутил-2,5-диоксо-3-((1R)-1-гидрокси-2-метилпропил)-9-(3,5-диметил-1-(4-(2-(морфолин-4-ил)этиламиносульфонил)фенил)пиразол-4-илметил)-1,4,9-триазаспиро[5.5]ундекан,
(32) (3R)-1-бутил-2,5-диоксо-3-((1R)-1-гидрокси-2-метилпропил)-9-(3,5-диметил-1-(4-(пирролидин-1-илкарбонил)фенил)пиразол-4-илметил)-1,4,9-триазаспиро[5.5]ундекан,
(33) (3R)-1-бутил-2,5-диоксо-3-((1R)-1-гидрокси-2-метилпропил)-9-(4-(4-метилсульфинилфенилокси)фенилметил)-1,4,9-триазаспиро[5.5]ундекан,
(34) (3R)-1-бутил-2,5-диоксо-3-((1R)-1-гидрокси-2-метилпропил)-9-(3,5-диметил-1-(4-(N,N-диметиламиносульфонил)фенил)пиразол-4-илметил)-1,4,9-триазаспиро[5.5]ундекан,
(35) (3R)-1-бутил-2,5-диоксо-3-((1R)-1-гидрокси-2-метилпропил)-9-(3,5-диметил-1-(4-(морфолин-4-илсульфонил)фенил)пиразол-4-илметил)-1,4,9-триазаспиро[5.5]ундекан,
(36) (3R)-1-бутил-2,5-диоксо-3-((1R)-1-гидрокси-2-метилпропил)-9-(4-(4-аминокарбонилфенилокси)фенилметил)-1,4,9-триазаспиро[5.5]ундекан,
(37) (3R)-1-бутил-2,5-диоксо-3-((1R)-1-гидрокси-2-метилпропил)-9-(4-(4-метиламинокарбонилфенилокси)фенилметил)-1,4,9-триазаспиро[5.5]ундекан,
(38) (3R)-1-бутил-2,5-диоксо-3-((1R)-1-гидрокси-2-метилпропил)-9-(3,5-диметил-1-(4-метилфенил)пиразол-4-илметил)-1,4,9-триазаспиро[5.5]ундекан,
(39) (3R)-1-бутил-2,5-диоксо-3-((1R)-1-гидрокси-2-метилпропил)-9-(3,5-диметил-1-(4-(N,N-диэтиламиносульфонил)фенил)пиразол-4-илметил)-1,4,9-триазаспиро[5.5]ундекан,
(40) (3R)-1-бутил-2,5-диоксо-3-((1R)-1-гидрокси-2-метилпропил)-9-(3,5-диметил-1-(4-(4-метилпиперазин-1-илсульфонил)фенил)пиразол-4-илметил)-1,4,9-триазаспиро[5.5]ундекан,
(41) (3R)-1-бутил-2,5-диоксо-3-((1R)-1-гидрокси-2-метилпропил)-9-(5-хлор-3-метил-1-фенилпиразол-4-илметил)-1,4,9-триазаспиро[5.5]ундекан,
(42) (3R)-1-бутил-2,5-диоксо-3-((1R)-1-гидрокси-2-метилпропил)-9-(3,5-диметил-1-(4-(морфолин-4-илкарбонил)фенил)пиразол-4-илметил)-1,4,9-триазаспиро[5.5]ундекан,
(43) (3R)-1-бутил-2,5-диоксо-3-((1R)-1-гидрокси-2-метилпропил)-9-(3,5-диметил-1-(4-(2-гидроксиэтиламинокарбонил)фенил)пиразол-4-илметил)-1,4,9-триазаспиро[5.5]ундекан,
(44) (3R)-1-бутил-2,5-диоксо-3-((1R)-1-гидрокси-2-метилпропил)-9-(4-(4-(2-(N,N-диметиламино)этиламинокарбонил)фенилокси)фенилметил)-1,4,9-триазаспиро[5.5]ундекан,
(45) (3R)-1-бутил-2,5-диоксо-3-((1R)-1-гидрокси-2-метилпропил)-9-(4-(пиридин-3-илокси)фенилметил)-1,4,9-триазаспиро[5.5]ундекан,
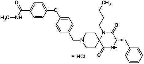
(46) (3R)-1-бутил-2,5-диоксо-3-((1R)-1-гидрокси-2-метилпропил)-9-(4-(4-карбоксифенилокси)фенилметил)-1,4,9-триазаспиро[5.5]ундекан,
(47) (3R)-1-бутил-2,5-диоксо-3-((1R)-1-гидрокси-2-метилпропил)-9-(4-(4-метилфенилокси)фенилметил)-1,4,9-триазаспиро[5.5]ундекан,
(48) (3R)-1-бутил-2,5-диоксо-3-((1R)-1-гидрокси-2-метилпропил)-9-(3,5-диметил-1-(2,4-дифторфенил)пиразол-4-илметил)-1,4,9-триазаспиро[5.5]ундекан,
(49) (3R)-1-бутил-2,5-диоксо-3-((1R)-1-гидрокси-2-метилпропил)-9-(3,5-диметил-1-(пиридин-2-ил)пиразол-4-илметил)-1,4,9-триазаспиро[5.5]ундекан,
(50) (3R)-1-бутил-2,5-диоксо-3-((1R)-1-гидрокси-2-метилпропил)-9-(3,5-диметил-1-(4-метиламинокарбонилфенил)пиразол-4-илметил)-1,4,9-триазаспиро[5.5]ундекан,
(51) (3R)-1-бутил-2,5-диоксо-3-((1R)-1-гидрокси-2-метилпропил)-9-(4-циклогексилоксифенилметил)-1,4,9-триазаспиро[5.5]ундекан,
(52) (3R)-1-бутил-2,5-диоксо-3-((1R)-1-гидрокси-2-метилпропил)-9-(4-(3,4,5,6-тетрагидропиран-4-илокси)фенилметил)-1,4,9-триазаспиро[5.5]ундекан,
(53) (3R)-1-бутил-2,5-диоксо-3-((1R)-1-гидрокси-2-метилпропил)-9-(4-(4-метоксифенилметиламинокарбонил)фенилметил)-1,4,9-триазаспиро[5.5]ундекан,
(54) (3R)-1-бутил-2,5-диоксо-3-((1R)-1-гидрокси-2-метилпропил)-9-(4-(циклогексиламинокарбонил)фенилметил)-1,4,9-триазаспиро[5.5]ундекан,
(55) (3R)-1-бутил-2,5-диоксо-3-((1R)-1-гидрокси-2-метилпропил)-9-(4-(4-(пирролидин-1-илкарбонил)фенилокси)фенилметил)-1,4,9-триазаспиро[5.5]ундекан,
(56)(3R)-1-бутил-2,5-диоксо-3-((1R)-1-гидрокси-2-метилпропил)-9-(3,5-диметил-1-(4-фторфенил)пиразол-4-илметил)-1,4,9-триазаспиро[5.5]ундекан,
(57) (3R)-1-бутил-2,5-диоксо-3-((1R)-1-гидрокси-2-метилпропил)-9-(3,5-диметил-1-(4-(2-фенилэтил)фенил)пиразол-4-илметил)-1,4,9-триазаспиро[5.5]ундекан,
(58) (3R)-1-бутил-2,5-диоксо-3-((1R)-1-гидрокси-2-метилпропил)-9-(3,5-диметил-1-(1-бензилоксикарбонилпиперидин-4-ил)пиразол-4-илметил)-1,4,9-триазаспиро[5.5]ундекан,
(59) (3R)-1-бутил-2,5-диоксо-3-((1R)-1-гидрокси-2-метилпропил)-9-(4-(4-(2-гидроксиэтиламинокарбонил)фенилокси)фенилметил)-1,4,9-триазаспиро[5.5]ундекан,
(60) (3R)-1-бутил-2,5-диоксо-3-((1R)-1-гидрокси-2-метилпропил)-9-(3,5-диметил-1-(1-метилсульфонилпиперидин-4-ил)пиразол-4-илметил)-1,4,9-триазаспиро[5.5]ундекан,
(61) (3R)-1-бутил-2,5-диоксо-3-((1R)-1-гидрокси-2-метилпропил)-9-(4-(4-гидроксиметилфенилокси)фенилметил)-1,4,9-триазаспиро[5.5]ундекан,
(62) (3S)-1-бутил-2,5-диоксо-3-((1S)-1-гидрокси-2-метилпропил)-9-(6-фенилоксипиридин-3-илметил)-1,4,9-триазаспиро[5.5]ундекан,
(63) (3S)-1-бутил-2,5-диоксо-3-(2-метилпропил)-9-(3,5-диметил-1-(4-(N,N-диметиламинокарбонил)фенил)пиразол-4-илметил)-1,4,9-триазаспиро[5.5]ундекан,
(64) (3S)-1-бутил-2,5-диоксо-3-(2-метилпропил)-9-(3,5-диметил-1-(4-(пирролидин-1-илкарбонил)фенил)пиразол-4-илметил)-1,4,9-триазаспиро[5.5]ундекан,
(65) (3S)-1-бутил-2,5-диоксо-3-(2-метилпропил)-9-(3,5-диметил-1-(4-(морфолин-4-илкарбонил)фенил)пиразол-4-илметил)-1,4,9-триазаспиро[5.5]ундекан,
(66) (3S)-1-бутил-2,5-диоксо-3-(2-метилпропил)-9-(4-метилсульфонилфенилметил)-1,4,9-триазаспиро[5.5]ундекан,
(67) (3S)-1-бутил-2,5-диоксо-3-(2-метилпропил)-9-(4-(4-метилсульфонилфенилокси)фенилметил)-1,4,9-триазаспиро[5.5]ундекан,
(68) (3S)-1-бутил-2,5-диоксо-3-(2-метилпропил)-9-(3,5-диметил-1-(4-(2-(морфолин-4-ил)этиламиносульфонил)фенил)пиразол-4-илметил)-1,4,9-триазаспиро[5.5]ундекан,
(69) (3S)-1-бутил-2,5-диоксо-3-(2-метилпропил)-9-(3,5-диметил-1-(4-(4-метилпиперазин-1-илсульфонил)фенил)пиразол-4-илметил)-1,4,9-триазаспиро[5.5]ундекан,
(70) (3S)-1-бутил-2,5-диоксо-3-(2-метилпропил)-9-(4-(4-метилсульфинилфенилокси)фенилметил)-1,4,9-триазаспиро[5.5]ундекан,
(71) (3S)-1-бутил-2,5-диоксо-3-(2-метилпропил)-9-(4-(пиридин-1-оксидо-3-илокси)фенилметил)-1,4,9-триазаспиро[5.5]ундекан,
(72) (3S)-1-бутил-2,5-диоксо-3-(2-метилпропил)-9-(3,5-диметил-1-(4-(2-гидроксиэтиламинокарбонил)фенил)пиразол-4-илметил)-1,4,9-триазаспиро[5.5]ундекан,
(73) (3S)-1-бутил-2,5-диоксо-3-(2-метилпропил)-9-(4-(4-(морфолин-4-илкарбонил)фенилокси)фенилметил)-1,4,9-триазаспиро[5.5]ундекан,
(74) (3S)-1-бутил-2,5-диоксо-3-(2-метилпропил)-9-(3,5-диметил-1-(4-(N,N-диэтиламиносульфонил)фенил)пиразол-4-илметил)-1,4,9-триазаспиро[5.5]ундекан,
(75) (3S)-1-бутил-2,5-диоксо-3-(2-метилпропил)-9-(4-(4-(2-гидроксиэтиламинокарбонил)фенилокси)фенилметил)-1,4,9-триазаспиро[5.5]ундекан,
(76) (3S)-1-бутил-2,5-диоксо-3-(2-метилпропил)-9-(4-(4-(пирролидин-1-илкарбонил)фенилокси)фенилметил)-1,4,9-триазаспиро[5.5]ундекан,
(77) (3S)-1-бутил-2,5-диоксо-3-(2-метилпропил)-9-(3,5-диметил-1-(4-(циклогексиламиносульфонил)фенил)пиразол-4-илметил)-1,4,9-триазаспиро[5.5]ундекан,
(78) (3S)-1-бутил-2,5-диоксо-3-(2-метилпропил)-9-(3,5-диметил-1-(4-(3-метоксипропиламиносульфонил)фенил)пиразол-4-илметил)-1,4,9-триазаспиро[5.5]ундекан,
(79) (3S)-1-бутил-2,5-диоксо-3-(2-метилпропил)-9-(4-метилсульфинилфенилметил)-1,4,9-триазаспиро[5.5]ундекан,
(80) (3S)-1-бутил-2,5-диоксо-3-(2-метилпропил)-9-(3,5-диметил-1-пропилпиразол-4-илметил)-1,4,9-триазаспиро[5.5]ундекан,
(81) (3S)-1-бутил-2,5-диоксо-3-(2-метилпропил)-9-(3,5-диметил-1-этилпиразол-4-илметил)-1,4,9-триазаспиро[5.5]ундекан,
(82) (3S)-1-бутил-2,5-диоксо-3-(2-метилпропил)-9-(3,5-диметил-1-циклопентилпиразол-4-илметил)-1,4,9-триазаспиро[5.5]ундекан,
(83) (3S)-1-бутил-2,5-диоксо-3-(2-метилпропил)-9-(3,5-диметил-1-(1,1-диметилэтил)пиразол-4-илметил)-1,4,9-триазаспиро[5.5]ундекан,
(84) (3S)-1-бутил-2,5-диоксо-3-(2-метилпропил)-9-(3,5-диметил-1-(1-бензилоксикарбонилпиперидин-4-ил)пиразол-4-илметил)-1,4,9-триазаспиро[5.5]ундекан,
(85) (3S)-1-бутил-2,5-диоксо-3-(2-метилпропил)-9-(4-((4-метоксифенил)метиламинокарбонил)фенилметил)-1,4,9-триазаспиро[5.5]ундекан,
(86) (3S)-1-бутил-2,5-диоксо-3-(2-метилпропил)-9-(4-(3-метоксипропиламинокарбонил)фенилметил)-1,4,9-триазаспиро[5.5]ундекан,
(87) (3S)-1-бутил-2,5-диоксо-3-(2-метилпропил)-9-(3,5-диметил-1-(4-метоксикарбонилфенил)пиразол-4-илметил)-1,4,9-триазаспиро[5.5]ундекан,
(88) (3S)-1-бутил-2,5-диоксо-3-(2-метилпропил)-9-(3,5-диметил-1-(4-метоксифенил)пиразол-4-илметил)-1,4,9-триазаспиро[5.5]ундекан,
(89) (3S)-1-бутил-2,5-диоксо-3-(2-метилпропил)-9-(3,5-диметил-1-(4-(3-(морфолин-4-ил)пропиламиносульфонил)фенил)пиразол-4-илметил)-1,4,9-триазаспиро[5.5]ундекан,
(90) (3S)-1-бутил-2,5-диоксо-3-(2-метилпропил)-9-(4-(пирролидин-1-илкарбонил)фенилметил)-1,4,9-триазаспиро[5.5]ундекан,
(91) (3S)-1-бутил-2,5-диоксо-3-(2-метилпропил)-9-(4-(пиперидин-1-илкарбонил)фенилметил)-1,4,9-триазаспиро[5.5]ундекан,
(92) (3S)-1-бутил-2,5-диоксо-3-(2-метилпропил)-9-(4-(морфолин-4-илкарбонил)фенилметил)-1,4,9-триазаспиро[5.5]ундекан,
(93) (3S)-1-бутил-2,5-диоксо-3-(2-метилпропил)-9-(4-(N-метил-N-(2-(пиридин-2-ил)этил)аминокарбонил)фенилметил)-1,4,9-триазаспиро[5.5]ундекан,
(94) (3S)-1-бутил-2,5-диоксо-3-(2-метилпропил)-9-(4-(циклогексиламинокарбонил)фенилметил)-1,4,9-триазаспиро[5.5]ундекан,
(95) (3S)-1-бутил-2,5-диоксо-3-(2-метилпропил)-9-(4-(N,N-диметиламиносульфонил)фенилметил)-1,4,9-триазаспиро[5.5]ундекан,
(96) (3S)-1-бутил-2,5-диоксо-3-(2-метилпропил)-9-(4-(4-метоксикарбонилфенилокси)фенилметил)-1,4,9-триазаспиро[5.5]ундекан,
(97) (3S)-1-бутил-2,5-диоксо-3-(2-метилпропил)-9-(3,5-диметил-1-(1-метилпиперидин-4-ил)пиразол-4-илметил)-1,4,9-триазаспиро[5.5]ундекан,
(98) (3S)-1-бутил-2,5-диоксо-3-(2-метилпропил)-9-(3,5-диметил-1-(1-метилсульфонилпиперидин-4-ил)пиразол-4-илметил)-1,4,9-триазаспиро[5.5]ундекан,
(99) (3S)-1-бутил-2,5-диоксо-3-(2-метилпропил)-9-(3,5-диметил-1-(4-(3-(N,N-диметиламино)пропиламиносульфонил)фенил)пиразол-4-илметил)-1,4,9-триазаспиро[5.5]ундекан,
(100) (3S)-1-бутил-2,5-диоксо-3-(2-метилпропил)-9-(4-(4-(N,N-диметиламино)фенилокси)фенилметил)-1,4,9-триазаспиро[5.5]ундекан,
(101) (3S)-1-бутил-2,5-диоксо-3-(2-метилпропил)-9-(3,5-диметил-1-(4-(N-метил-N-(2-(N’,N’-диметиламино)этил)аминосульфонилфенил)пиразол-4-илметил)-1,4,9-триазаспиро[5.5]ундекан,
(102) (3S)-1-бутил-2,5-диоксо-3-(2-метилпропил)-9-(4-(4-((N,N-диметиламино)метил)фенилокси)фенилметил)-1,4,9-триазаспиро[5.5]ундекан,
(103) (3S)-1-бутил-2,5-диоксо-3-(2-метилпропил)-9-(4-(4-карбоксифенилокси)фенилметил)-1,4,9-триазаспиро[5.5]ундекан,
(104) (3S)-1-бутил-2,5-диоксо-3-(2-метилпропил)-9-(3,5-диметил-1-(4-метиламинокарбонилфенил)пиразол-4-илметил)-1,4,9-триазаспиро[5.5]ундекан,
(105) (3S)-1-бутил-2,5-диоксо-3-(2-метилпропил)-9-(4-((метоксикарбонил)метиламинокарбонил)фенилметил)-1,4,9-триазаспиро[5.5]ундекан,
(106) (3S)-1-бутил-2,5-диоксо-3-(2-метилпропил)-9-(3-(3,5-диметил-1-фенилпиразол-4-ил)-2Е-пропенил)-1,4,9-триазаспиро[5.5]ундекан,
(107) (3S)-1-бутил-2,5-диоксо-3-(2-метилпропил)-9-(4-(карбоксиметиламинокарбонил)фенилметил)-1,4,9-триазаспиро[5.5]ундекан,
(108) (3S)-1-бутил-2,5-диоксо-3-(2-метилпропил)-9-(3-(3,5-диметил-1-фенилпиразол-4-ил)пропил)-1,4,9-триазаспиро[5.5]ундекан,
(109) (3S)-1-бутил-2,5-диоксо-3-циклогексилметил-9-(3,5-диметил-1-(4-(N,N-диметиламинокарбонил)фенил)пиразол-4-илметил)-1,4,9-триазаспиро[5.5]ундекан,
(110) (3S)-1-бутил-2,5-диоксо-3-циклогексилметил-9-(3,5-диметил-1-(4-(пирролидин-1-илкарбонил)фенил)пиразол-4-илметил)-1,4,9-триазаспиро[5.5]ундекан,
(111) (3S)-1-бутил-2,5-диоксо-3-циклогексилметил-9-(3,5-диметил-1-(4-(морфолин-4-илкарбонил)фенил)пиразол-4-илметил)-1,4,9-триазаспиро[5.5]ундекан,
(112) (3S)-1-бутил-2,5-диоксо-3-циклогексилметил-9-(3,5-диметил-1-(4-(2-(N,N-диметиламино)этиламинокарбонил)фенил)пиразол-4-илметил)-1,4,9-триазаспиро[5.5]ундекан,
(113) (3S)-1-бутил-2,5-диоксо-3-циклогексилметил-9-(4-(4-(морфолин-4-илкарбонил)фенилокси)фенилметил)-1,4,9-триазаспиро[5.5]ундекан,
(114) (3S)-1-бутил-2,5-диоксо-3-циклогексилметил-9-(4-метилсульфонилфенилметил)-1,4,9-триазаспиро[5.5]ундекан,
(115) (3S)-1-бутил-2,5-диоксо-3-циклогексилметил-9-(4-(4-метилсульфонилфенилокси)фенилметил)-1,4,9-триазаспиро[5.5]ундекан,
(116) (3S)-1-бутил-2,5-диоксо-3-циклогексилметил-9-(3,5-диметил-1-(4-(2-(морфолин-4-ил)этиламиносульфонил)фенил)пиразол-4-илметил)-1,4,9-триазаспиро[5.5]ундекан,
(117) (3S)-1-бутил-2,5-диоксо-3-циклогексилметил-9-(3,5-диметил-1-(4-(4-метилпиперазин-1-илсульфонил)фенил)пиразол-4-илметил)-1,4,9-триазаспиро[5.5]ундекан,
(118) (3S)-1-бутил-2,5-диоксо-3-циклогексилметил-9-(4-(4-метилсульфинилфенилокси)фенилметил)-1,4,9-триазаспиро[5.5]ундекан,
(119) (3S)-1-бутил-2,5-диоксо-3-циклогексилметил-9-(3,5-диметил-1-(4-(2-гидроксиэтиламинокарбонил)фенил)пиразол-4-илметил)-1,4,9-триазаспиро[5.5]ундекан,
(120) (3S)-1-бутил-2,5-диоксо-3-циклогексилметил-9-(4-(4-(2-гидроксиэтиламинокарбонил)фенилокси)фенилметил)-1,4,9-триазаспиро[5.5]ундекан,
(121) (3S)-1-бутил-2,5-диоксо-3-циклогексилметил-9-(4-(4-(пирролидин-1-илкарбонил)фенилокси)фенилметил)-1,4,9-триазаспиро[5.5]ундекан,
(122) (3S)-1-бутил-2,5-диоксо-3-циклогексилметил-9-(3,5-диметил-1-(4-(циклогексиламиносульфонил)фенил)пиразол-4-илметил)-1,4,9-триазаспиро[5.5]ундекан,
(123) (3S)-1-бутил-2,5-диоксо-3-циклогексилметил-9-(3,5-диметил-1-(4-(3-метоксипропиламиносульфонил)фенил)пиразол-4-илметил)-1,4,9-триазаспиро[5.5]ундекан,
(124) (3S)-1-бутил-2,5-диоксо-3-циклогексилметил-9-(4-метилсульфинилфенилметил)-1,4,9-триазаспиро[5.5]ундекан,
(125) (3S)-1-бутил-2,5-диоксо-3-циклогексилметил-9-(3,5-диметил-1-пропилпиразол-4-илметил)-1,4,9-триазаспиро[5.5]ундекан,
(126) (3S)-1-бутил-2,5-диоксо-3-циклогексилметил-9-(3,5-диметил-1-этилпиразол-4-илметил)-1,4,9-триазаспиро[5.5]ундекан,
(127) (3S)-1-бутил-2,5-диоксо-3-циклогексилметил-9-(3,5-диметил-1-циклопентилпиразол-4-илметил)-1,4,9-триазаспиро[5.5]ундекан,
(128) (3S)-1-бутил-2,5-диоксо-3-циклогексилметил-9-(3,5-диметил-1-(4-(3-(морфолин-4-ил)пропиламиносульфонил)фенил)пиразол-4-илметил)-1,4,9-триазаспиро[5.5]ундекан,
(129) (3S)-1-бутил-2,5-диоксо-3-циклогексилметил-9-(4-(N,N-диметиламиносульфонил)фенилметил)-1,4,9-триазаспиро[5.5]ундекан,
(130) (3S)-1-бутил-2,5-диоксо-3-циклогексилметил-9-(4-(пирролидин-1-илкарбонил)фенилметил)-1,4,9-триазаспиро[5.5]ундекан,
(131) (3S)-1-бутил-2,5-диоксо-3-циклогексилметил-9-(4-(4-(N,N-диметиламино)фенилокси)фенилметил)-1,4,9-триазаспиро[5.5]ундекан,
(132) (3S)-1-бутил-2,5-диоксо-3-циклогексилметил-9-(4-(циклогексиламинокарбонил)фенилметил)-1,4,9-триазаспиро[5.5]ундекан,
(133) (3S)-1-бутил-2,5-диоксо-3-циклогексилметил-9-(3,5-диметил-1-(4-метоксикарбонилфенил)пиразол-4-илметил)-1,4,9-триазаспиро[5.5]ундекан,
(134) (3S)-1-бутил-2,5-диоксо-3-циклогексилметил-9-(4-(3-метоксипропиламинокарбонил)фенилметил)-1,4,9-триазаспиро[5.5]ундекан,
(135) (3S)-1-бутил-2,5-диоксо-3-циклогексилметил-9-(4-(N-метил-N-(2-(пиридин-2-ил)этил)аминокарбонил)фенилметил)-1,4,9-триазаспиро[5.5]ундекан,
(136) (3S)-1-бутил-2,5-диоксо-3-циклогексилметил-9-(4-((4-метоксифенил)метиламинокарбонил)фенилметил)-1,4,9-триазаспиро[5.5]ундекан,
(137) (3S)-1-бутил-2,5-диоксо-3-циклогексилметил-9-(4-(4-метоксикарбонилфенилокси)фенилметил)-1,4,9-триазаспиро[5.5]ундекан,
(138) (3S)-1-бутил-2,5-диоксо-3-циклогексилметил-9-(3,5-диметил-1-(4-метоксифенил)пиразол-4-илметил)-1,4,9-триазаспиро[5.5]ундекан,
(139) (3S)-1-бутил-2,5-диоксо-3-циклогексилметил-9-(3,5-диметил-1-(1-метилпиперидин-4-ил)пиразол-4-илметил)-1,4,9-триазаспиро[5.5]ундекан,
(140) (3S)-1-бутил-2,5-диоксо-3-циклогексилметил-9-(3,5-диметил-1-(1-метилсульфонилпиперидин-4-ил)пиразол-4-илметил)-1,4,9-триазаспиро[5.5]ундекан,
(141) (3S)-1-бутил-2,5-диоксо-3-циклогексилметил-9-(3,5-диметил-1-(4-(3-(N,N-диметиламино)пропиламиносульфонил)фенил)пиразол-4-илметил)-1,4,9-триазаспиро[5.5]ундекан,
(142) (3S)-1-бутил-2,5-диоксо-3-циклогексилметил-9-(3,5-диметил-1-(4-(N-метил-N-(2-(N’,N’-диметиламино)этил)аминосульфонилфенил)пиразол-4-илметил)-1,4,9-триазаспиро[5.5]ундекан,
(143) (3S)-1-бутил-2,5-диоксо-3-циклогексилметил-9-(4-(пиперидин-1-илкарбонил)фенилметил)-1,4,9-триазаспиро[5.5]ундекан,
(144) (3S)-1-бутил-2,5-диоксо-3-циклогексилметил-9-(4-(морфолин-4-илкарбонил)фенилметил)-1,4,9-триазаспиро[5.5]ундекан,
(145) (3S)-1-бутил-2,5-диоксо-3-циклогексилметил-9-(4-(4-((N,N-диметиламино)метил)фенилокси)фенилметил)-1,4,9-триазаспиро[5.5]ундекан,
(146) (3S)-1-бутил-2,5-диоксо-3-циклогексилметил-9-(3,5-диметил-1-(4-метиламинокарбонилфенил)пиразол-4-илметил)-1,4,9-триазаспиро[5.5]ундекан,
(147) (3S)-1-бутил-2,5-диоксо-3-циклогексилметил-9-(3,5-диметил-1-(1,1-диметилэтил)пиразол-4-илметил)-1,4,9-триазаспиро[5.5]ундекан,
(148) (3S)-1-бутил-2,5-диоксо-3-циклогексилметил-9-(3,5-диметил-1-(1-бензилоксикарбонилпиперидин-4-ил)пиразол-4-илметил)-1,4,9-триазаспиро[5.5]ундекан,
(149) (3S)-1-бутил-2,5-диоксо-3-циклогексилметил-9-(4-(4-гидроксиметилфенилокси)фенилметил)-1,4,9-триазаспиро[5.5]ундекан,
(150) (3S)-1-бутил-2,5-диоксо-3-циклогексилметил-9-(4-((метоксикарбонил)метиламинокарбонил)фенилметил)-1,4,9-триазаспиро[5.5]ундекан,
(151) (3S)-1-бутил-2,5-диоксо-3-циклогексилметил-9-(4-(карбоксиметиламинокарбонил)фенилметил)-1,4,9-триазаспиро[5.5]ундекан,
(152) (3R)-1-бутил-2,5-диоксо-3-((1R)-1-гидрокси-1-циклогексилметил)-9-(4-фенилоксифенилметил)-1,4,9-триазаспиро[5.5]ундекан,
(153) (3R)-1-бутил-2,5-диоксо-3-((1R)-1-гидрокси-1-циклогексилметил)-9-(6-фенилоксипиридин-3-илметил)-1,4,9-триазаспиро[5.5]ундекан,
(154) (3R)-1-бутил-2,5-диоксо-3-((1R)-1-гидрокси-1-циклогексилметил)-9-(4-(4-фторфенилокси)фенилметил)-1,4,9-триазаспиро[5.5]ундекан,
(155) (3R)-1-бутил-2,5-диоксо-3-((1R)-1-гидрокси-1-циклогексилметил)-9-(4-(4-хлорфенилокси)фенилметил)-1,4,9-триазаспиро[5.5]ундекан,
(156) (3R)-1-бутил-2,5-диоксо-3-((1R)-1-гидрокси-1-циклогексилметил)-9-(4-(4-цианофенилокси)фенилметил)-1,4,9-триазаспиро[5.5]ундекан,
(157) (3R)-1-бутил-2,5-диоксо-3-((1R)-1-гидрокси-1-циклогексилметил)-9-(4-(4-метилсульфониламинофенилокси)фенилметил)-1,4,9-триазаспиро[5.5]ундекан,
(158) (3R)-1-бутил-2,5-диоксо-3-((1R)-1-гидрокси-1-циклогексилметил)-9-(4-(6-метилпиридин-3-илокси)фенилметил)-1,4,9-триазаспиро[5.5]ундекан,
(159) (3R)-1-бутил-2,5-диоксо-3-((1R)-1-гидрокси-1-циклогексилметил)-9-(4-(1-метилэтил)фенилметил)-1,4,9-триазаспиро[5.5]ундекан,
(160) (3R)-1-бутил-2,5-диоксо-3-((1R)-1-гидрокси-1-циклогексилметил)-9-(4-(4-метилсульфилфенилокси)фенилметил)-1,4,9-триазаспиро[5.5]ундекан,
(161) (3R)-1-бутил-2,5-диоксо-3-((1R)-1-гидрокси-1-циклогексилметил)-9-(4-(3,4,5,6-тетрагидропиран-4-илокси)фенилметил)-1,4,9-триазаспиро[5.5]ундекан,
(162) (3R)-1-бутил-2,5-диоксо-3-((1R)-1-гидрокси-1-циклогексилметил)-9-(4-фенилкарбонилфенилметил)-1,4,9-триазаспиро[5.5]ундекан,
(163) (3R)-1-бутил-2,5-диоксо-3-((1R)-1-гидрокси-1-циклогексилметил)-9-(4-(1-фенил-1-гидроксиметил)фенилметил)-1,4,9-триазаспиро[5.5]ундекан,
(164) (3R)-1-бутил-2,5-диоксо-3-((1R)-1-гидрокси-1-циклогексилметил)-9-(3,5-диметил-1-(4-(морфолин-4-илсульфонил)фенил)пиразол-4-илметил)-1,4,9-триазаспиро[5.5]ундекан,
(165) (3R)-1-бутил-2,5-диоксо-3-((1R)-1-гидрокси-1-циклогексилметил)-9-(3,5-диметил-1-(4-метиламиносульфонилфенил)пиразол-4-илметил)-1,4,9-триазаспиро[5.5]ундекан,
(166) (3R)-1-бутил-2,5-диоксо-3-((1R)-1-гидрокси-1-циклогексилметил)-9-(3,5-диметил-1-(4-(N-метил-N-(2-гидроксиэтил)аминосульфонил)фенил)пиразол-4-илметил)-1,4,9-триазаспиро[5.5]ундекан,
(167) (3R)-1-бутил-2,5-диоксо-3-((1R)-1-гидрокси-1-циклогексилметил)-9-(3,5-диметил-1-(пиридин-2-ил)пиразол-4-илметил)-1,4,9-триазаспиро[5.5]ундекан,
(168) (3R)-1-бутил-2,5-диоксо-3-((1R)-1-гидрокси-1-циклогексилметил)-9-(3,5-диметил-1-циклогексилпиразол-4-илметил)-1,4,9-триазаспиро[5.5]ундекан,
(169) (3R)-1-бутил-2,5-диоксо-3-((1R)-1-гидрокси-1-циклогексилметил)-9-(1,3,5-триметилпиразол-4-илметил)-1,4,9-триазаспиро[5.5]ундекан,
(170) (3R)-1-бутил-2,5-диоксо-3-((1R)-1-гидрокси-1-циклогексилметил)-9-(3,5-диметил-1-(4-(N,N-диметиламинокарбонил)фенил)пиразол-4-илметил)-1,4,9-триазаспиро[5.5]ундекан,
(171) (3R)-1-бутил-2,5-диоксо-3-((1R)-1-гидрокси-1-циклогексилметил)-9-(4-(N,N-бисметилсульфонил)фенилметил)-1,4,9-триазаспиро[5.5]ундекан,
(172) (3R)-1-бутил-2,5-диоксо-3-((1R)-1-гидрокси-1-циклогексилметил)-9-(3,5-диметил-1-(4-метилсульфониламинофенил)пиразол-4-илметил)-1,4,9-триазаспиро[5.5]ундекан,
(173) (3R)-1-бутил-2,5-диоксо-3-((1R)-1-гидрокси-1-циклогексилметил)-9-(3,5-диметил-1-(4-(N,N-диметилсульфонил)фенил)пиразол-4-илметил)-1,4,9-триазаспиро[5.5]ундекан,
(174) (3R)-1-бутил-2,5-диоксо-3-((1R)-1-гидрокси-1-циклогексилметил)-9-(3,5-диметил-1-(4-(пирролидин-1-илкарбонил)фенил)пиразол-4-илметил)-1,4,9-триазаспиро[5.5]ундекан,
(175) (3R)-1-бутил-2,5-диоксо-3-((1R)-1-гидрокси-1-циклогексилметил)-9-(3,5-диметил-1-(4-(морфолин-4-илкарбонил)фенил)пиразол-4-илметил)-1,4,9-триазаспиро[5.5]ундекан,
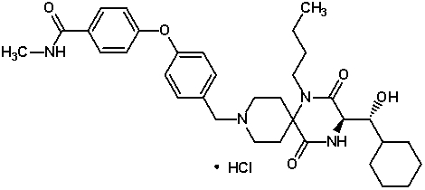
(176) (3R)-1-бутил-2,5-диоксо-3-((1R)-1-гидрокси-1-циклогексилметил)-9-(4-аминокарбонилфенилметил)-1,4,9-триазаспиро[5.5]ундекан,
(177) (3R)-1-бутил-2,5-диоксо-3-((1R)-1-гидрокси-1-циклогексилметил)-9-(4-(4-аминокарбонилфенилокси)фенилметил)-1,4,9-триазаспиро[5.5]ундекан,
(178) (3R)-1-бутил-2,5-диоксо-3-((1R)-1-гидрокси-1-циклогексилметил)-9-(4-(4-аминосульфонилфенилокси)фенилметил)-1,4,9-триазаспиро[5.5]ундекан,
(179) (3R)-1-бутил-2,5-диоксо-3-((1R)-1-гидрокси-1-циклогексилметил)-9-(4-(6-метилпиридин-1-оксидо-3-илокси)фенилметил)-1,4,9-триазаспиро[5.5]ундекан,
(180) (3R)-1-бутил-2,5-диоксо-3-((1R)-1-гидрокси-1-циклогексилметил)-9-(4-(4-гидроксифенилокси)фенилметил)-1,4,9-триазаспиро[5.5]ундекан,
(181) (3R)-1-бутил-2,5-диоксо-3-((1R)-1-гидрокси-1-циклогексилметил)-9-(3,5-диметил-1-(4-гидроксифенил)пиразол-4-илметил)-1,4,9-триазаспиро[5.5]ундекан,
(182) (3R)-1-бутил-2,5-диоксо-3-((1R)-1-гидрокси-1-циклогексилметил)-9-(3,5-диметил-1-(4-(2-гидроксиэтиламиносульфонил)фенил)пиразол-4-илметил)-1,4,9-триазаспиро[5.5]ундекан,
(183) (3R)-1-бутил-2,5-диоксо-3-((1R)-1-гидрокси-1-циклогексилметил)-9-(3,5-диметил-1-(4-(пирролидин-1-илсульфонил)фенил)пиразол-4-илметил)-1,4,9-триазаспиро[5.5]ундекан,
(184) (3R)-1-бутил-2,5-диоксо-3-((1R)-1-гидрокси-1-циклогексилметил)-9-(5-хлор-3-метил-1-фенилпиразол-4-илметил)-1,4,9-триазаспиро[5.5]ундекан,
(185) (3R)-1-бутил-2,5-диоксо-3-((1R)-1-гидрокси-1-циклогексилметил)-9-(4-(4-метоксифенилокси)фенилметил)-1,4,9-триазаспиро[5.5]ундекан,
(186) (3R)-1-бутил-2,5-диоксо-3-((1R)-1-гидрокси-1-циклогексилметил)-9-(4-(3-метоксифенилокси)фенилметил)-1,4,9-триазаспиро[5.5]ундекан,
(187) (3R)-1-бутил-2,5-диоксо-3-((1R)-1-гидрокси-1-циклогексилметил)-9-(4-(N,N-диметиламинокарбонил)фенилметил)-1,4,9-триазаспиро[5.5]ундекан,
(188) (3R)-1-бутил-2,5-диоксо-3-((1R)-1-гидрокси-1-циклогексилметил)-9-(3,5-диметил-1-фенилпиразол-4-илметил)-1,4,9-триазаспиро[5.5]ундекан,
(189) (3R)-1-бутил-2,5-диоксо-3-((1R)-1-гидрокси-1-циклогексилметил)-9-(3,5-диметил-1-(4-метилфенил)пиразол-4-илметил)-1,4,9-триазаспиро[5.5]ундекан,
(190) (3R)-1-бутил-2,5-диоксо-3-((1R)-1-гидрокси-1-циклогексилметил)-9-(3,5-диметил-1-(4-фторфенил)пиразол-4-илметил)-1,4,9-триазаспиро[5.5]ундекан,
(191) (3R)-1-бутил-2,5-диоксо-3-((1R)-1-гидрокси-1-циклогексилметил)-9-(6-(4-метоксифенилокси)пиридин-3-илметил)-1,4,9-триазаспиро[5.5]ундекан,
(192) (3R)-1-бутил-2,5-диоксо-3-((1R)-1-гидрокси-1-циклогексилметил)-9-(4-(4-метилсульфонилфенилокси)фенилметил)-1,4,9-триазаспиро[5.5]ундекан,
(193) (3R)-1-бутил-2,5-диоксо-3-((1R)-1-гидрокси-1-циклогексилметил)-9-(4-(4-(2-(N,N-диметиламино)этиламинокарбонил)фенилокси)фенилметил)-1,4,9-триазаспиро[5.5]ундекан,
(194) (3R)-1-бутил-2,5-диоксо-3-((1R)-1-гидрокси-1-циклогексилметил)-9-(3,5-диметил-1-(4-(2-гидроксиэтиламинокарбонил)фенил)пиразол-4-илметил)-1,4,9-триазаспиро[5.5]ундекан,
(195) (3R)-1-бутил-2,5-диоксо-3-((1R)-1-гидрокси-1-циклогексилметил)-9-(3,5-диметил-1-(4-(2-(N,N-диметиламино)этиламинокарбонил)фенил)пиразол-4-илметил)-1,4,9-триазаспиро[5.5]ундекан,
(196) (3R)-1-бутил-2,5-диоксо-3-((1R)-1-гидрокси-1-циклогексилметил)-9-(3,5-диметил-1-(4-(2-(морфолин-4-ил)этиламиносульфонил)фенил)пиразол-4-илметил)-1,4,9-триазаспиро[5.5]ундекан,
(197) (3R)-1-бутил-2,5-диоксо-3-((1R)-1-гидрокси-1-циклогексилметил)-9-(4-(4-(морфолин-4-илкарбонил)фенилокси)фенилметил)-1,4,9-триазаспиро[5.5]ундекан,
(198) (3R)-1-бутил-2,5-диоксо-3-((1R)-1-гидрокси-1-циклогексилметил)-9-(1,4-бензодиоксан-6-илметил)-1,4,9-триазаспиро[5.5]ундекан,
(199) (3R)-1-бутил-2,5-диоксо-3-((1R)-1-гидрокси-1-циклогексилметил)-9-(3,5-диметил-1-(4-(N,N-диэтиламиносульфонил)фенил)пиразол-4-илметил)-1,4,9-триазаспиро[5.5]ундекан,
(200) (3R)-1-бутил-2,5-диоксо-3-((1R)-1-гидрокси-1-циклогексилметил)-9-(4-(пиридин-1-оксидо-3-илокси)фенилметил)-1,4,9-триазаспиро[5.5]ундекан,
(201) (3R)-1-бутил-2,5-диоксо-3-((1R)-1-гидрокси-1-циклогексилметил)-9-(3,5-диметил-1-(4-(4-метилпиперазин-1-илсульфонил)фенил)пиразол-4-илметил)-1,4,9-триазаспиро[5.5]ундекан,
(202) (3R)-1-бутил-2,5-диоксо-3-((1R)-1-гидрокси-1-циклогексилметил)-9-(4-(4-метиламинокарбонилфенилокси)фенилметил)-1,4,9-триазаспиро[5.5]ундекан,
(203) (3R)-1-бутил-2,5-диоксо-3-((1R)-1-гидрокси-1-циклогексилметил)-9-(3,5-диметил-1-(2,4-дифторфенил)пиразол-4-илметил)-1,4,9-триазаспиро[5.5]ундекан,
(204) (3R)-1-бутил-2,5-диоксо-3-((1R)-1-гидрокси-1-циклогексилметил)-9-(3,5-диметил-1-(4-(2-(N,N-диметиламино)этиламиносульфонил)фенил)пиразол-4-илметил)-1,4,9-триазаспиро[5.5]ундекан,
(205) (3R)-1-бутил-2,5-диоксо-3-((1R)-1-гидрокси-1-циклогексилметил)-9-(3,5-диметил-1-(4-метиламинокарбонилфенил)пиразол-4-илметил)-1,4,9-триазаспиро[5.5]ундекан,
(206) (3R)-1-бутил-2,5-диоксо-3-((1R)-1-гидрокси-1-циклогексилметил)-9-(4-(4-карбоксифенилокси)фенилметил)-1,4,9-триазаспиро[5.5]ундекан,
(207) (3R)-1-бутил-2,5-диоксо-3-((1R)-1-гидрокси-1-циклогексилметил)-9-(4-((4-метоксифенил)метиламинокарбонил)фенилметил)-1,4,9-триазаспиро[5.5]ундекан,
(208) (3R)-1-бутил-2,5-диоксо-3-((1R)-1-гидрокси-1-циклогексилметил)-9-(4-(3-метоксипропиламинокарбонил)фенилметил)-1,4,9-триазаспиро[5.5]ундекан,
(209) (3R)-1-бутил-2,5-диоксо-3-((1R)-1-гидрокси-1-циклогексилметил)-9-(4-(N-метил-N-(2-(пиридин-2-ил)этил)аминокарбонил)фенилметил)-1,4,9-триазаспиро[5.5]ундекан,
(210) (3R)-1-бутил-2,5-диоксо-3-((1R)-1-гидрокси-1-циклогексилметил)-9-(4-(4-(пирролидин-1-илкарбонил)фенилокси)фенилметил)-1,4,9-триазаспиро[5.5]ундекан,
(211) (3R)-1-бутил-2,5-диоксо-3-((1R)-1-гидрокси-1-циклогексилметил)-9-(3,5-диметил-1-(4-хлорфенил)пиразол-4-илметил)-1,4,9-триазаспиро[5.5]ундекан,
(212) (3R)-1-бутил-2,5-диоксо-3-((1R)-1-гидрокси-1-циклогексилметил)-9-(3,5-диметил-1-(4-трифторметилфенил)пиразол-4-илметил)-1,4,9-триазаспиро[5.5]ундекан,
(213) (3R)-1-бутил-2,5-диоксо-3-((1R)-1-гидрокси-1-циклогексилметил)-9-(3,5-диметил-1-(4-метоксифенил)пиразол-4-илметил)-1,4,9-триазаспиро[5.5]ундекан,
(214) (3R)-1-бутил-2,5-диоксо-3-((1R)-1-гидрокси-1-циклогексилметил)-9-(3,5-диметил-1-этилпиразол-4-илметил)-1,4,9-триазаспиро[5.5]ундекан,
(215) (3R)-1-бутил-2,5-диоксо-3-((1R)-1-гидрокси-1-циклогексилметил)-9-(3,5-диметил-1-пропилпиразол-4-илметил)-1,4,9-триазаспиро[5.5]ундекан,
(216) (3R)-1-бутил-2,5-диоксо-3-((1R)-1-гидрокси-1-циклогексилметил)-9-(3,5-диметил-1-(1,1-диметилэтил)пиразол-4-илметил)-1,4,9-триазаспиро[5.5]ундекан,
(217) (3R)-1-бутил-2,5-диоксо-3-((1R)-1-гидрокси-1-циклогексилметил)-9-(3,5-диметил-1-циклопентилпиразол-4-илметил)-1,4,9-триазаспиро[5.5]ундекан,
(218) (3R)-1-бутил-2,5-диоксо-3-((1R)-1-гидрокси-1-циклогексилметил)-9-(3,5-диметил-1-(2-фенилэтил)пиразол-4-илметил)-1,4,9-триазаспиро[5.5]ундекан,
(219) (3R)-1-бутил-2,5-диоксо-3-((1R)-1-гидрокси-1-циклогексилметил)-9-(3,5-диметил-1-(1-бензилоксикарбонилпиперидин-4-ил)пиразол-4-илметил)-1,4,9-триазаспиро[5.5]ундекан,
(220) (3R)-1-бутил-2,5-диоксо-3-((1R)-1-гидрокси-1-циклогексилметил)-9-(4-(циклогексиламинокарбонил)фенилметил)-1,4,9-триазаспиро[5.5]ундекан,
(221) (3R)-1-бутил-2,5-диоксо-3-((1R)-1-гидрокси-1-циклогексилметил)-9-(3,5-диметил-1-(1-метилсульфонилпиперидин-4-ил)пиразол-4-илметил)-1,4,9-триазаспиро[5.5]ундекан,
(222) (3R)-1-бутил-2,5-диоксо-3-((1R)-1-гидрокси-1-циклогексилметил)-9-(4-(4-(2-гидроксиэтиламинокарбонил)фенилокси)фенилметил)-1,4,9-триазаспиро[5.5]ундекан,
(223) (3R)-1-бутил-2,5-диоксо-3-((1R)-1-гидрокси-1-циклогексилметил)-9-(4-(4-гидроксиметилфенилокси)фенилметил)-1,4,9-триазаспиро[5.5]ундекан,
(224) (3S)-1-бутил-2,5-диоксо-3-((1S)-1-гидрокси-1-циклогексилметил)-9-(4-(4-метилсульфониламинофенилокси)фенилметил)-1,4,9-триазаспиро[5.5]ундекан,
(225) (3R)-1-бутил-2,5-диоксо-3-((1R)-1-гидрокси-1-(3,4,5,6-тетрагидропиран-4-ил)метил)-9-(3,5-диметил-1-фенилпиразол-4-илметил)-1,4,9-триазаспиро[5.5]ундекан,
(226) (3R)-1-бутил-2,5-диоксо-3-((1R)-1-гидрокси-1-(3,4,5,6-тетрагидропиран-4-ил)метил)-9-(4-(4-метиламинокарбонилфенилокси)фенилметил)-1,4,9-триазаспиро[5.5]ундекан,
(227) (3R)-1-бутил-2,5-диоксо-3-((1R)-1-гидрокси-1-(3,4,5,6-тетрагидропиран-4-ил)метил)-9-(4-(4-(4-метоксифенилметиламинокарбонил)фенилметил)-1,4,9-триазаспиро[5.5]ундекан,
(228) (3R)-1-бутил-2,5-диоксо-3-((1R)-1-гидрокси-1-(3,4,5,6-тетрагидропиран-4-ил)метил)-9-(3,5-диметил-1-(4-(N,N-диметиламинокарбонил)фенилпиразол-4-илметил)-1,4,9-триазаспиро[5.5]ундекан,
(229) (3R)-1-бутил-2,5-диоксо-3-((1R)-1-гидрокси-1-(3,4,5,6-тетрагидропиран-4-ил)метил)-9-(4-(4-карбоксифенилокси)фенилметил)-1,4,9-триазаспиро[5.5]ундекан,
(230) (3R)-1-бутил-2,5-диоксо-3-((1R)-1-гидрокси-1-(3,4,5,6-тетрагидропиран-4-ил)метил)-9-(4-(4-метилсульфониламинофенилокси)фенилметил)-1,4,9-триазаспиро[5.5]ундекан,
(231) (3R)-1-бутил-2,5-диоксо-3-((1R)-1-гидрокси-1-циклопентилметил)-9-(3,5-диметил-1-фенилпиразол-4-илметил)-1,4,9-триазаспиро[5.5]ундекан,
(232) (3R)-1-бутил-2,5-диоксо-3-((1R)-1-гидрокси-1-циклопентилметил)-9-(4-(4-(4-метоксифенилметиламинокарбонил)фенилметил)-1,4,9-триазаспиро[5.5]ундекан,
(233) (3R)-1-бутил-2,5-диоксо-3-((1R)-1-гидрокси-1-циклопентилметил)-9-(4-(4-метиламинокарбонилфенилокси)фенилметил)-1,4,9-триазаспиро[5.5]ундекан,
(234) (3R)-1-бутил-2,5-диоксо-3-((1R)-1-гидрокси-1-циклопентилметил)-9-(4-(4-карбоксифенилокси)фенилметил)-1,4,9-триазаспиро[5.5]ундекан,
(235) (3R)-1-пропил-2,5-диоксо-3-((1R)-1-гидрокси-2-метилпропил)-9-(4-(4-метиламинокарбонилфенилокси)фенилметил)-1,4,9-триазаспиро[5.5]ундекан,
(236) (3R)-1-пропил-2,5-диоксо-3-((1R)-1-гидрокси-2-метилпропил)-9-(3,5-диметил-1-циклогексилпиразол-4-илметил)-1,4,9-триазаспиро[5.5]ундекан,
(237) (3R)-1-пропил-2,5-диоксо-3-((1R)-1-гидрокси-2-метилпропил)-9-(4-(4-метоксифенилметиламинокарбонил)фенилметил)-1,4,9-триазаспиро[5.5]ундекан,
(238) (3R)-1-пропил-2,5-диоксо-3-((1R)-1-гидрокси-1-циклогексилметил)-9-(4-(4-метиламинокарбонилфенилокси)фенилметил)-1,4,9-триазаспиро[5.5]ундекан,
(239) (3R)-1-пропил-2,5-диоксо-3-((1R)-1-гидрокси-1-циклогексилметил)-9-(3,5-диметил-1-циклогексилпиразол-4-илметил)-1,4,9-триазаспиро[5.5]ундекан,
(240) (3R)-1-пропил-2,5-диоксо-3-((1R)-1-гидрокси-1-циклогексилметил)-9-(4-(4-метоксифенилметиламинокарбонил)фенилметил)-1,4,9-триазаспиро[5.5]ундекан,
(241) (3R)-1-пропил-2,5-диоксо-3-((1R)-1-гидрокси-1-циклогексилметил)-9-(3,5-диметил-1-(4-(N,N-диметиламинокарбонил)фенил)пиразол-4-илметил)-1,4,9-триазаспиро[5.5]ундекан,
(242) (3R)-1-пропил-2,5-диоксо-3-((1R)-1-гидрокси-1-циклогексилметил)-9-(4-(4-карбоксифенилокси)фенилметил)-1,4,9-триазаспиро[5.5]ундекан,
(243) (3R)-1-пропил-2,5-диоксо-3-((1R)-1-гидрокси-1-циклогексилметил)-9-(4-(4-метоксикарбонилфенилокси)фенилметил)-1,4,9-триазаспиро[5.5]ундекан,
(244) (3R)-1-пропил-2,5-диоксо-3-(1-циклогексилметилиден)-9-(4-(4-карбоксифенилокси)фенилметил)-1,4,9-триазаспиро[5.5]ундекан,
(245) (3S)-1-пропил-2,5-диоксо-3-(2-метилпропил)-9-(3,5-диметил-1-циклогексилпиразол-4-илметил)-1,4,9-триазаспиро[5.5]ундекан,
(246) (3S)-1-пропил-2,5-диоксо-3-(2-метилпропил)-9-(4-(4-метилсульфониламинофенилокси)фенилметил)-1,4,9-триазаспиро[5.5]ундекан,
(247) (3S)-1-пропил-2,5-диоксо-3-(2-метилпропил)-9-(3,5-диметил-1-(4-(2-(N,N-диметиламино)этиламиносульфонил)фенил)пиразол-4-илметил)-1,4,9-триазаспиро[5.5]ундекан,
(248) (3S)-1-пропил-2,5-диоксо-3-циклогексилметил-9-(3,5-диметил-1-циклогексилпиразол-4-илметил)-1,4,9-триазаспиро[5.5]ундекан,
(249) (3S)-1-пропил-2,5-диоксо-3-циклогексилметил-9-(4-(4-метилсульфониламинофенилокси)фенилметил)-1,4,9-триазаспиро[5.5]ундекан,
(250) 1-бутил-2,5-диоксо-9-(4-(4-метилсульфониламинофенилокси)фенилметил)-1,4,9-триазаспиро[5.5]ундекан,
(251) 1-бутил-2,5-диоксо-9-(3,5-диметил-1-циклогексилпиразол-4-илметил)-1,4,9-триазаспиро[5.5]ундекан,
(252) (3R)-1-(2-бутинил)-2,5-диоксо-3-((1R)-1-гидрокси-1-циклогексилметил)-9-(3,5-диметил-1-фенилпиразол-4-илметил)-1,4,9-триазаспиро[5.5]ундекан,
(253) (3S)-1-(2-бутинил)-2,5-диоксо-3-((1S)-1-гидрокси-1-циклогексилметил)-9-(3,5-диметил-1-фенилпиразол-4-илметил)-1,4,9-триазаспиро[5.5]ундекан,
(254) (3S)-1-бутил-2,5-диоксо-3-циклогексилметил-9-(2-(4-фенилоксифенил)этил)-1,4,9-триазаспиро[5.5]ундекан,
(255) (3S)-1-бутил-2,5-диоксо-3-(2-метилпропил)-9-(2-(4-фенилоксифенил)этил)-1,4,9-триазаспиро[5.5]ундекан,
(256) (3S)-1-бутил-2,5-диоксо-3-(2-метилпропил)-9-(2-(4-метоксифенил)этил)-1,4,9-триазаспиро[5.5]ундекан,
(257) (3S)-1-бутил-2,5-диоксо-3-циклогексилметил-9-(4-этоксикарбонилфенил)-1,4,9-триазаспиро[5.5]ундекан,
(258) (3S)-1-бутил-2,5-диоксо-3-циклогексилметил-4-метил-9-(4-фенилоксифенилметил)-1,4,9-триазаспиро[5.5]ундекан,
(259) (3R)-1-бутил-2,5-диоксо-3-((1R)-1-гидрокси-1-циклогексилметил)-9-(4-(2-метилпропаноиламино)фенилметил)-1,4,9-триазаспиро[5.5]ундекан,
(260) (3R)-1-бутил-2,5-диоксо-3-((1R)-1-гидрокси-1-циклогексилметил)-9-(4-(2-метоксиацетиламино)фенилметил)-1,4,9-триазаспиро[5.5]ундекан,
(261) (3R)-1-бутил-2,5-диоксо-3-((1R)-1-гидрокси-1-циклогексилметил)-9-(4-(2-фенилацетиламино)фенилметил)-1,4,9-триазаспиро[5.5]ундекан,
(262) (3R)-1-бутил-2,5-диоксо-3-((1R)-1-гидрокси-1-циклогексилметил)-9-(4-(2-(4-фторфенил)ацетиламино)фенилметил)-1,4,9-триазаспиро[5.5]ундекан,
(263) (3R)-1-бутил-2,5-диоксо-3-((1R)-1-гидрокси-1-циклогексилметил)-9-(4-(4-метоксикарбонилфениламинокарбонил)фенилметил)-1,4,9-триазаспиро[5.5]ундекан,
(264) (3R)-1-бутил-2,5-диоксо-3-((1R)-1-гидрокси-1-циклогексилметил)-9-(4-(4-метоксифенилметилоксикарбонил)фенилметил)-1,4,9-триазаспиро[5.5]ундекан,
(265) (3R)-1-бутил-2,5-диоксо-3-((1R)-1-гидрокси-1-циклогексилметил)-9-(2-(4-метиламинокарбонилфенилокси)пиридин-5-илметил)-1,4,9-триазаспиро[5.5]ундекан,
(266) (3S)-1-бутил-2,5-диоксо-3-((1S)-1-гидрокси-1-циклогексилметил)-9-(4-(4-карбоксифенилокси)фенилметил)-1,4,9-триазаспиро[5.5]ундекан,
(267) (3S)-1-бутил-2,5-диоксо-3-(пиридин-3-илметил)-9-(4-(4-метиламинокарбонилфенилокси)фенилметил)-1,4,9-триазаспиро[5.5]ундекан,
(268) (3S)-1-бутил-2,5-диоксо-3-фенилметил-9-(4-(4-метиламинокарбонилфенилокси)фенилметил)-1,4,9-триазаспиро[5.5]ундекан,
(269) (3S)-1-бутил-2,5-диоксо-3-(пиридин-2-илметил)-9-(4-(4-метиламинокарбонилфенилокси)фенилметил)-1,4,9-триазаспиро[5.5]ундекан,
(270) (3S)-1-бутил-2,5-диоксо-3-гидроксиметил-9-(4-(4-метиламинокарбонилфенилокси)фенилметил)-1,4,9-триазаспиро[5.5]ундекан,
(271) (3S)-1-бутил-2,5-диоксо-3-(пиридин-1-оксидо-2-илметил)-9-(4-(4-метиламинокарбонилфенилокси)фенилметил)-1,4,9-триазаспиро[5.5]ундекан,
(272) (3S)-1-бутил-2,5-диоксо-3-(пиридин-1-оксидо-3-илметил)-9-(4-(4-метиламинокарбонилфенилокси)фенилметил)-1,4,9-триазаспиро[5.5]ундекан,
(273) (3R)-1-(4-метоксифенилметил)-2,5-диоксо-3-((1R)-1-гидрокси-1-циклогексилметил)-9-(4-(4-метиламинокарбонилфенилокси)фенилметил)-1,4,9-триазаспиро[5.5]ундекан,
(274) (3R)-1-фенилметил-2,5-диоксо-3-((1R)-1-гидрокси-1-циклогексилметил)-9-(4-(4-метиламинокарбонилфенилокси)фенилметил)-1,4,9-триазаспиро[5.5]ундекан,
(275) (3R)-1-(2-метоксиэтил)-2,5-диоксо-3-((1R)-1-гидрокси-1-циклогексилметил)-9-(4-(4-метиламинокарбонилфенилокси)фенилметил)-1,4,9-триазаспиро[5.5]ундекан,
(276) (3R)-1-(пиридин-2-илметил)-2,5-диоксо-3-((1R)-1-гидрокси-1-циклогексилметил)-9-(4-(4-метиламинокарбонилфенилокси)фенилметил)-1,4,9-триазаспиро[5.5]ундекан,
(277) (3R)-1-(пиридин-3-илметил)-2,5-диоксо-3-((1R)-1-гидрокси-1-циклогексилметил)-9-(4-(4-метиламинокарбонилфенилокси)фенилметил)-1,4,9-триазаспиро[5.5]ундекан,
(278) (3R)-1-бутил-2,5-диоксо-3-циклогексилметил-9-(4-(4-карбоксифенилокси)фенилметил)-1,4,9-триазаспиро[5.5]ундекан,
(279) (3S)-1-бутил-2,5-диоксо-3-(пиридин-1-оксидо-2-илметил)-9-(4-(4-метиламинокарбонилфенилокси)фенилметил)-1,4,9-триазаспиро[5.5]ундекан · 9-оксид,
(280) 1-бутил-2,5-диоксо-3-(морфолин-4-илметил)9-(4-(4-метиламинокарбонилфенилокси)фенилметил)-1,4,9-триазаспиро[5.5]ундекан,
(281) (3R)-1-бутил-2,5-диоксо-3-((1R)-1-гидрокси-1-циклогексилметил)-9-(4-(4-(N-гидроксикарбамоил)фенилокси)фенилметил)-1,4,9-триазаспиро[5.5]ундекан,
(282) (3R)-1-бутил-2,5-диоксо-3-((1R)-1-гидрокси-1-циклогексилметил)-9-(4-(4-метиламинокарбонилфенилокси)фенилкарбонил)-1,4,9-триазаспиро[5.5]ундекан, или
(283) (3R)-1-бутил-2,5-диоксо-3-((1R)-1-гидрокси-1-циклогексилметил)-9-(4-(4-метиламинокарбонилфенилокси)фенил)-1,4,9-триазаспиро[5.5]ундекан,
его четвертичной аммониевой соли, его N-оксиду или его нетоксичной соли,
vii) фармацевтической композиции, включающей производное триазаспиро[5.5]ундекана формулы (I), описанное в приведенном выше i), его четвертичную аммониевую соль, его N-оксид или его нетоксичную соль в качестве активного ингредиента,
viii) регулятору хемокин/хемокинового рецептора, включающему производное триазаспиро[5.5]ундекана формулы (I), описанной в приведенном выше i), его четвертичную аммониевую соль, его N-оксид или его нетоксичную соль в качестве активного ингредиента, и ix) средству для профилактики и/или лечения астмы, атопического дерматита, крапивницы, аллергического бронхолегочного аспергиллеза, аллергического эозинофильного гастроэнтерита, нефрита, нефропатии, гепатита, артрита, ревматоидного артрита, псориаза, ринита, конъюнктивита, ишемического реперфузионного расстройства, рассеянного склероза, язвенного колита, острого респираторного дистресс-синдрома, цитотоксического шока, диабета, аутоиммунного заболевания, отторжения трансплантата, иммуносупрессии, метастазов при раке или синдрома приобретенного иммунодефицита, включающего производное триазаспиро[5.5]ундекана формулы (I), описанной в приведенном выше i), его четвертичную аммониевую соль, его N-оксид или его нетоксичную соль в качестве активного ингредиента.
ПОДРОБНОЕ ОПИСАНИЕ ИЗОБРЕТЕНИЯ
В настоящем изобретении, C1-4 алкил означает метил, этил, пропил, бутил или их изомерные группы.
C1-4 алкокси означает метокси, этокси, пропокси, бутокси или их изомерные группы.
Галоген представляет собой хлор, бром, фтор или йод.
C1-4 алкилен означает метилен, этилен, триметилен, тетраметилен или их изомерные группы.
C2-4 алкенилен означает винилен, пропенилен, бутенилен или их изомерные группы.
C2-4 алкинил означает этинил, пропинил, бутинил или их изомерные группы.
C5-10-членное моно- или бикарбоциклическое кольцо означает циклопентан, циклогексан, циклогептан, циклооктан, циклопентен, циклогексен, циклогептен, циклооктен, циклопентадиен, циклогексадиен, циклогептадиен, циклооктадиен, бензол, инден, нафталин, индан, тетрагидронафталин, бицикло[3.3.0]октан, бицикло[4.3.0]нонан или бицикло[4.4.0]декан и т.д.
5-10-членный моно- или би(конденсированный или спиро)циклический гетероцикл, содержащий 1-2 атома азота и/или 1-2 атома кислорода означает 5-10-членный моно- или би(конденсированный или спиро)циклический гетероарил, содержащий 1-2 атома азота и/или 1-2 атома кислорода и частично или полностью насыщенный. Например, указанный выше 5-10-членный моно- или би(конденсированный или спиро)циклический гетероарил, содержащий 1-2 атома азота и/или 1-2 атома кислорода и частично или полностью насыщенный включает пиррол, имидазол, пиразол, пиридин, пиразин, пиримидин, пиридазин, азепин, диазепин, фуран, пиран, оксепин, оксазол, изоксазол, фуразан, оксадиазол, оксазин, оксадиазин, оксазепин, оксадиазепин, индол, изоиндол, бензофуран, изобензофуран, индазол, хинолин, изохинолин, фталазин, нафтиридин, хиноксалин, хиназолин, циннолин, бензоксазол, бензимидазол, бензофуразан, бензотриазол, пирролин, пирролидин, имидазолин, имидазолидин, пиразолин, пиразолидин, дигидропиридин, тетрагидропиридин, пиперидин, дигидропиразин, тетрагидропиразин, пиперазин, дигидропиримидин, тетрагидропиримидин, пергидропиримидин, дигидропиридазин, тетрагидропиридазин, пергидропиридазин, дигидроазепин, тетрагидроазепин, пергидроазепин, дигидродиазепин, тетрагидродиазепин, пергидродиазепин, дигидрофуран, тетрагидрофуран, дигидропиран, тетрагидропиран, дигидрооксазол, тетрагидрооксазол, дигидроизоксазол, тетрагидроизоксазол, дигидрооксадиазол, тетрагидрооксадиазол, тетрагидрооксадиазин, тетрагидрооксазепин, тетрагидрооксадиазепин, пергидрооксазепин, пергидрооксадиазепин, морфолин, индолин, изоиндолин, дигидробензофуран, пергидробензофуран, дигидроизобензофуран, пергидроизобензофуран, дигидроиндазол, пергидроиндазол, дигидрохинолин, тетрагидрохинолин, пергидрохинолин, дигидроизохинолин, тетрагидроизохинолин, пергидроизохинолин, дигидрофталазин, тетрагидрофталазин, пергидрофталазин, дигидронафтиридин, тетрагидронафтиридин, пергидронафтиридин, дигидрохиноксалин, тетрагидрохиноксалин, пергидрохиноксалин, дигидрохиназолин, тетрагидрохиназолин, пергидрохиназолин, дигидроциннолин, тетрагидроциннолин, пергидроциннолин, дигидробензоксазол, пергидробензоксазол, дигидробензимидазол, пергидробензимидазол, диоксолан, диоксан, бензодиоксалан или бензодиоксан и т.д.
5-6-членный моноциклический гетероцикл, содержащий 1-2 атома азота и/или атом кислорода, который образован каждым заместителем вместе с присоединенным к нему атомом азота, означает 5-6 членный моноциклический гетероарил, содержащий 1-2 атома азота и/или атом кислорода, и частично или полностью насыщенный. Например, в приведенном выше, 5-6-членный моноциклический гетероарил, содержащий 1-2 атома азота и/или атом кислорода, и частично или полностью насыщенный, включает пиррол, имидазол, пиразол, пирролин, пирролидин, имидазолин, имидазолидин, пиразолин, пиразолидин, дигидропиридин, тетрагидропиридин, пиперидин, дигидропиразин, тетрагидропиразин, пиперазин, дигидропиримидин, тетрагидропиримидин, пергидропиримидин, дигидропиридазин, тетрагидропиридазин, пергидропиридазин, тетрагидрооксазол, тетрагидроизоксазол, дигидрооксадиазол, тетрагидрооксадиазол, тетрагидрооксадиазин или морфолин и т.д.
5-6-членное монокарбоциклическое кольцо конкретно представляет собой, циклопентан, циклогексан, циклопентен, циклогексен, циклопентадиен, циклогексадиен или бензол и т.д.
5-6-членный моноциклический гетероцикл, содержащий 1-2 атома азота и/или атом кислорода означает 5-6-членный моноциклический гетероарил, содержащий 1-2 атома азота и/или атом кислорода, и частично или полностью насыщенный. Например, в приведенном выше, 5-6-членный моноциклический гетероарил, содержащий 1-2 атома азота и/или атом кислорода, и частично или полностью насыщенный, включает пиррол, имидазол, пиразол, пиридин, пиразин, пиримидин, пиридазин, фуран, пиран, оксазол, изоксазол, фуразан, оксадиазол, оксазин, оксадиазин, пирролин, пирролидин, имидазолин, имидазолидин, пиразолин, пиразолидин, дигидропиридин, тетрагидропиридин, пиперидин, дигидропиразин, тетрагидропиразин, пиперазин, дигидропиримидин, тетрагидропиримидин, пергидропиримидин, дигидропиридазин, тетрагидропиридазин, пергидропиридазин, дигидрофуран, тетрагидрофуран, дигидропиран, тетрагидропиран, дигидрооксазол, тетрагидрооксазол, дигидроизоксазол, тетрагидроизоксазол, дигидрооксадиазол, тетрагидрооксадиазол, тетрагидрооксадиазин или морфолин и т.д. В настоящем изобретении каждая группа, представленная R1, R2, R3, R4 или R5, является предпочтительной. В особенности, предпочтительными являются группы, описанные в примерах.
Если не оговорено иначе, в настоящее изобретение включены все изомеры. Например, алкильные, алкокси- и алкиленовые группы включают группы с прямой или разветвленной цепью. Дополнительно, изомеры по двойной связи, кольцу, конденсированному кольцу (E-, Z-, цис-, транс-изомер), изомеры, образуемые асимметрическими атомами углерода (R-, S-, -, -изомер, энантиомер, диастереомер), оптически активные изомеры (D-, L-, d-, l-изомер), полярные соединения, образуемые при хроматографическом разделении (более полярное соединение, менее полярное соединение), соединения равновесия, их смеси в произвольных соотношениях и рацемические смеси также включены в настоящее изобретение.
[СОЛИ]
Нетоксичные соли настоящего изобретения включают все фармацевтически приемлемые соли, например соли в широком толковании этого понятия и соли присоединения кислот.
Соединения настоящего изобретения формулы (I) могут быть переведены в соответствующие соли общепринятыми методами. Нетоксичные и водорастворимые соли являются предпочтительными. Пригодные соли, например, включают: соли щелочных металлов (калия или натрия и т.д.), соли щелочноземельных металлов (кальция или магния и т.д.), соли аммония и соли фармацевтически приемлемых органических аминов (тетраметиламмония, триэтиламина, метиламина, диметиламина, циклопентиламина, бензиламина, фенетиламина, пиперидина, моноэтаноламина, диэтаноламина, трис(гидроксиметил)амина, лизина, аргинина или N-метил-D-глюкамина и т.д.).
Соединения настоящего изобретения формулы (I) могут быть переведены в соответствующие соли присоединения кислот общепринятыми методами. Водорастворимые соли являются предпочтительными. Пригодные соли, например, включают: соли неорганических кислот, например, гидрохлорид, гидробромид, сульфат, фосфат или нитрат; соли органических кислот, например, ацетат, трифторацетат, лактат, тартрат, оксалат, фумарат, малеат, цитрат, бензоат, метансульфонат, этансульфонат, бензолсульфонат, толуолсульфонат, изетионат, глюкуронат или глюконат.
Соединения настоящего изобретения формулы (I) и их соли могут быть переведены в соответствующие гидраты общепринятыми методами.
Все соединения формулы (I) или их нетоксичные соли являются предпочтительными, конкретно, соединения, описанные в примерах или их нетоксичные соли.
Четвертичные аммониевые соли соединений формулы (I) представляют собой соединения, где азот соединений формулы (I) кватернизован R0.
R0 представляет C1-4 алкил или C1-4 алкил, замещенный фенилом.
N-оксиды соединений формулы (I) представляют собой соединения, где азот соединений формулы (I) является окисленным.
[СПОСОБЫ ПОЛУЧЕНИЯ СОЕДИНЕНИЙ НАСТОЯЩЕГО ИЗОБРЕТЕНИЯ]
Соединения настоящего изобретения формулы (I) могут быть получены следующими способами или способами, описанными в примерах.
Среди соединений настоящего изобретения формулы (I), соединение, где атомы азота не входят в четвертичные аммониевые соли или N-оксиды, представляет собой, соединение формулы (I-1)

(где R1-1, R2-1, R3-1, R4-1 и R5-1 имеют те же значения, что R1, R2, R3, R4 и R5 соответственно, и N1 представляет азот, и где любой атом азота не входит в четвертичные аммониевые соли или N-оксиды), может быть получено следующими способами.
Среди соединений настоящего изобретения формулы (I-1), соединение, в котором любой из R1-1, R2-1, R3-1, R4-1 и R5-1 не является группой, содержащей карбоксил, гидрокси, амино или тиол, представляет собой соединение формулы (I-1A)

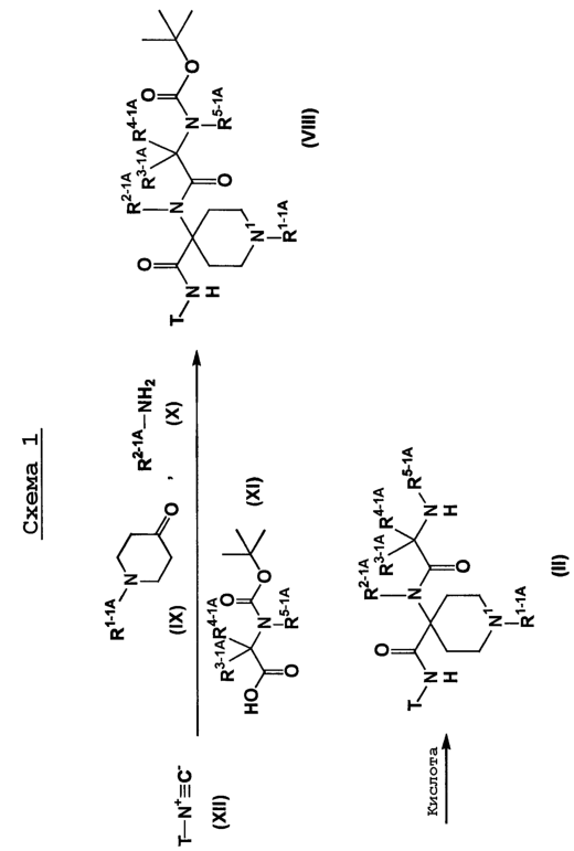
(где R1-1A, R2-1A, R3-1A, R4-1A и R5-1A имеют те же значения, что R1-1, R2-1, R3-1, R4-1 и R5-1 соответственно, и где все они не являются группой, содержащей карбоксил, гидрокси, амино или тиол, и другие символы имеют те же значения, как определено выше), может быть получено циклизацией соединения формулы (II)

(где T представляет C1-4 алкил, C5-6 монокарбоциклическое кольцо или C1-4 алкил, замещенный заместителем, выбранным из C5-6 монокарбоциклического кольца и C5-6 моноциклического гетероцикла, содержащего 1-2 азота и/или кислород).
Циклизация соединения формулы (II) является хорошо известной. Например, ее можно проводить нагреванием в органическом растворителе (дихлорэтане или толуоле и т.д.) в присутствии или отсутствии третичного амина (триэтиламина или диизопропилэтиламина и т.д.) или кислоты (уксусной кислоты или трифторуксусной кислоты и т.д.) при 60-120°C. Данная реакция циклизации завершается одновременно с отщеплением группы T.
Кроме того, циклизация может быть проведена с соединением, в котором R3 или R4 является гидроксильной группой.
Циклизация может быть проведена с соединением, в котором азот в R1, R2, R3 или R4 окислен до N-оксида.
При необходимости перевод в желаемые нетоксичные соли может быть проведен общепринятыми методами после циклизации.
Среди соединений формулы (I-1A) соединение, в котором группа G в R1-1A представляет собой метилен или винилен, является соединением формулы (I-1A-1)

(где группа G1 представляет собой метилен или винилен, R1-1A-1 представляет

(где R6-1A имеет то же значение, что R6, и где все они не являются группой, содержащей карбоксил, гидрокси, амино или тиол, и другие символы имеют те же значения, как определено выше), может быть получено восстановительным аминированием соединения формулы (III)

(где все символы имеют те же значения, как определено выше) или соединения формулы (IV)

с соединением формулы (V).

Восстановительное аминирование является хорошо известным. Например, оно может быть проведено в органическом растворителе (дихлорэтане, дихлорметане, диметилформамиде, уксусной кислоте или их смеси и т.д.) в присутствии восстанавливающего агента (триацетоксиборгидрида натрия или цианоборгидрида натрия и т.д.) при 0-40°C.
Кроме того, восстановительное аминирование может быть проведено с соединением, в котором азот в R1 окислен до N-оксида.
Кроме того, восстановительное аминирование может быть проведено с соединением, в котором R3 или R4 представляет гидроксильную группу.
Среди соединений формулы (I-1A), соединение, в котором группа G в R1-1A представляет собой этилен, является соединением формулы (I-1A-2)

(где все символы имеют те же значения, как определено выше), может быть получено взаимодействием соединения формулы (VI)

(где все символы имеют те же значения, как определено выше) с соединением формулы (V).
Эта реакция является хорошо известной, например, во-первых, реакция смолы PS-TsCl-HL (торговая марка по каталогу Argonaut Technologies, номер 800366) с соединением формулы (VI) может быть проведена в органическом растворителе (например, хлороформе или дихлорметане и т.д.) в присутствии третичного амина (изопропилэтиламина и т.д.) при 0-40°C, и далее реакция может быть проведена в органическом растворителе (например, хлороформе или дихлорметане и т.д.) с соединением формулы (V) в присутствии третичного амина (триэтиламина или диизопропилэтиламина и т.д.) при 40-100°C.
Данная реакция может быть проведена с соединением, в котором азот в R1, R2, R3 или R4 окислен до N-оксида.
Среди соединений формулы (I-1A), соединение, в котором группа G в R1-1A представляет собой одинарную связь, является соединением формулы (I-1A-3)

(где все символы имеют те же значения, как определено выше), может быть получено взаимодействием соединения формулы (VII)

(где X представляет галоген и другие символы имеют те же значения, как определено выше), с соединением формулы (V).
Реакция является хорошо известной, и она может быть проведена, например, в органическом растворителе (диметилсульфоксиде и т.д.) в присутствии щелочного агента (карбоната калия или карбоната натрия и т.д.) при 100-150°C.
Кроме того, данная реакция может быть проведена с соединением, в котором азот в R1, R2, R3 или R4 окислен до N-оксида.
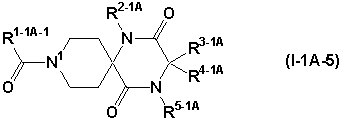
Среди соединений формулы (I-1A), соединение, в котором группа G в R1-1A представляет собой -CO-, является соединением формулы (I-1A-5)

(где все символы имеют те же значения, как определено выше), может быть получено амидированием соединения формулы (XIII)

(где все символы имеют те же значения, как определено выше), соединением формулы (V).
Амидирование является хорошо известным, и оно включает способы, например,
(1) через галогенангидрид кислоты,
(2) через смешанный ангидрид кислоты,
(3) с использованием конденсирующего агента.
Данные способы поясняются следующим образом.
(1) Способ через галогенангидрид кислоты, может быть проведен, например, взаимодействием карбоновой кислоты с галогенангидридом кислоты (например, оксалилхлоридом или тионилхлоридом и т.д.) в органическом растворителе (например, хлороформе, метиленхлориде, диэтиловом эфире или тетрагидрофуране) или без растворителя при температуре от -20°C до температуры кипения с обратным холодильником. Далее полученное производное галогенангидрида кислоты может быть подвергнуто взаимодействию с амином в инертном органическом растворителе (например, хлороформе, метиленхлориде, диэтиловом эфире или тетрагидрофуране) в присутствии третичного амина (например, пиридина, триэтиламина, диметиланилина или диметиламинопиридина) при 0-40°C. Альтернативно, полученное производное галогенангидрида кислоты может быть подвергнуто взаимодействию с амином в органическом растворителе (например, диоксане или тетрагидрофуране) с использованием щелочного водного раствора (например, бикарбоната натрия или гидроксида натрия) при 0-40°C.
(2) Способ через смешанный ангидрид кислот может быть проведен, например, взаимодействием карбоновой кислоты с ацилгалогенидом (например, пивалоилхлоридом, тозилхлоридом или мезилхлоридом) или производным кислоты (например, этилхлорформиатом или изобутилхлорформиатом) в органическом растворителе (например, хлороформе, метиленхлориде, диэтиловом эфире или тетрагидрофуране) или без растворителя, в присутствии третичного амина (например, пиридина, триэтиламина, диметиланилина или диметиламинопиридина) при 0-40°C. Далее полученное производное смешанного ангидрида кислоты может быть подвергнуто взаимодействию с амином в органическом растворителе (например, хлороформе, метиленхлориде, диэтиловом эфире или тетрагидрофуране) при 0-40°C.
(3) Способ с использованием конденсирующего агента может быть проведен, например, взаимодействием карбоновой кислоты с амином в органическом растворителе (например, хлороформе, метиленхлориде, диметилформамиде, диэтиловом эфире или тетрагидрофуране) или без растворителя, в присутствии или отсутствие третичного амина (например, пиридина, триэтиламина, диметиланилина или диметиламинопиридина) с использованием конденсирующего агента (например, 1,3-дициклогексилкарбодиимида (DCC), 1-этил-3-[3-(диметиламино)пропил]карбодиимида (EDC), 1,1′-карбодиимидазола (CDI), йодида 2-хлор-1-метилпиридиния или циклического ангидрида 1-пропанфосфоновой кислоты) в присутствии или отсутствие 1-гидроксибензотиазола (HOBt) при 0-40°C.
Для получения предпочтительного результата реакция, описанная в (1), (2) и (3), может быть проведена в атмосфере инертного газа (например, аргона или азота), чтобы избежать попадания воды.
Кроме того, амидирование может быть проведено с соединением, в котором R3 или R4 представляет гидроксильную группу.
Кроме того, амидирование может быть проведено с соединением, в котором азот в R1, R2, R3 или R4 окислен до N-оксида.
Среди соединений формулы (I-1), соединение, в котором, по меньшей мере, одна группа из R1, R2, R3, R4 или R5 представляет собой группу, содержащую карбоксил, гидрокси, амино или тиол, является соединением формулы (I-1B)

(где R1-1B, R2-1 B, R3-1B, R4-1B и R5-1B имеют те же значения, что R1-1, R2-1, R3-1, R4-1 и R5-1 соответственно, и где, по меньшей мере, одна группа представляет группу, содержащую карбоксил, гидрокси, амино или тиол, и другие символы имеют те же значения, как определено выше), может быть получено удалением защитных групп, содержащих карбоксил, гидрокси, амино и тиол, защищенных защитными группами, то есть соединение формулы (I-1A-4)

(где R1-1A-4, R2-1A-4, R3-1A-4, R4-1A-4 и R5-1A-4 имеют те же значения, что R1-1, R2-1, R3-1, R4-1 и R5-1 соответственно, и где, по меньшей мере, одна группа представляет группу, содержащую карбоксил, гидрокси, амино или тиол, и другие символы имеют те же значения, как определено выше).
Защитная группа для карбоксила включает, например, метил, этил, трет-бутил, бензил или аллил.
Защитная группа для гидроксигруппы включает, например, метоксиметил, 2-тетрагидропиранил, трет-бутилдиметилсилил, трет-бутилдифенилсилил, ацетил или бензил.
Защитная группа для аминогруппы включает, например, бензилоксикарбонил, аллилоксикарбонил, трет-бутоксикарбонил, трифторацетил или 9-флуоренилметоксикарбонил.
Защитная группа для тиольной группы включает, например, бензил, метоксибензил, ацетамидометил, трифенилметил или ацетил.
Защитная группа карбоксила, гидроксигруппы, аминогруппы или тиольной группы включает приведенную выше группу, и, в дополнение к другой защитной группе, которая может быть селективно и легко удалена, например, группу, описанную в T.W. Greene et al., Protective Groups in Orgic Synthesis, Third Edition, Wiley-Interscience, New York, 1999.
Удаление защитной группы с амино может быть проведено способом, описанным выше в данном описании.
Удаление защитной группы с карбоксила, гидроксигруппы или тиольной группы является хорошо известным, например, оно представляет собой
(1) щелочной гидролиз,
(2) удаление защитной группы в кислотных условиях,
(3) удаление защитной группы гидрогенолизом или
(4) удаление защитной группы, содержащей силил, или
(5) удаление защитной группы с использованием комплекса металла и т.д.
Конкретные описания данных способов являются следующими:
(1) Удаление защитной группы в условиях щелочного гидролиза (например, трифторацетильной группы) может быть проведено, например, в органическом растворителе (метаноле, тетрагидрофуране или диоксане и т.д.) гидроксидом щелочного металла (гидроксидом натрия, гидроксидом калия или гидроксидом лития и т.д.), гидроксидом щелочноземельного металла (гидроксидом бария или гидроксидом кальция и т.д.), карбонатом (карбонатом натрия или карбонатом калия и т.д.) или их водным раствором, или их смесью при 0-40°C.
(2) удаление защитной группы в кислой среде (например, трет-бутоксикарбонильной группы) может быть проведено, например, в органическом растворителе (дихлорметане, хлороформе, диоксане, этилацетате или анизоле и т.д.) органической кислотой (уксусной кислотой, трифторуксусной кислотой или метансульфоновой кислотой и т.д.) или неорганической кислотой (хлористоводородной кислотой или серной кислотой и т.д.) или их смесью (бромид водорода/уксусная кислота и т.д.) при 0-100°C.
(3) Удаление защитной группы гидрогенолизом (например, бензила, бензилоксикарбонила или аллилоксикарбонила) может быть проведено, например, в растворителе (эфире (тетрагидрофуране, диоксане, диметоксиэтане или диэтиловом эфире и т.д.), спирте (метаноле или этаноле и т.д.), бензоле (бензоле или толуоле и т.д.), кетоне (ацетоне или метилэтилкетоне и т.д.), нитриле (ацетонитриле и т.д.), амиде (диметилформамиде и т.д.), воде, этилацетате, уксусной кислоте или их смеси и т.д.) в присутствии катализатора (палладия на углероде, палладиевой черни, гидроксида палладия, оксида платины или никеля Рэнея и т.д.), при атмосферном или избыточном давлении в атмосфере водорода или в присутствии формиата аммония при 0-200°C.
(4) Удаление защитной группы, содержащей силил, может быть проведено, например, в органическом растворителе (тетрагидрофуране или ацетонитриле и т.д.) фторидом тетрабутиламмония при 0-40°C.(5) Удаление защитной группы, с использованием комплекса металла может быть проведено, например, в органическом растворителе (дихлорметане, диметилформамиде или тетрагидрофуране и т.д.) в присутствии улавливающего агента (гидрида трибутилолова или димедона и т.д.) и/или органической кислоты (уксусной кислоты и т.д.) комплексом металла (комплексом тетракис(трифенилфосфин)палладия(0) и т.д.) при 0-40°C.
Как хорошо известно специалисту в данной области, целевые соединения настоящего изобретения могут быть легко получены выбором среди данных способов.
Среди соединений формулы (I), соединение, в котором по меньшей мере, один атом азота представляет соль четвертичного аммония, является соединением формулы (I-2)

(где R1-2, R2-2, R3-2, R4-2 и R5-2 имеют те же значения, что R1, R2, R3, R4 и R5, соответственно, и где, по меньшей мере, один атом азота представляет соль четвертичного аммония, и где Q является галогеном), которое может быть получено взаимодействием соединения формулы (XI)

(где R0 представляет C1-4 алкил или C1-4 алкил, замещенный фенилом, и Q является галогеном).
Реакция является хорошо известной, и ее можно проводить, например, в органическом растворителе (ацетоне, диметилсульфоксиде или метилэтилкетоне и т.д.) при 0-40°C.
Среди соединений формулы (I) соединение, в котором по меньшей мере, один атом азота представляет N-оксид, является, соединением формулы (I-3)

(где R1-2, R2-2, R3-2, R4-2 и R5-2 имеют те же значения, что R1, R2, R3, R4 и R5 соответственно, и, где, по меньшей мере, один атом азота представляет N-оксид, и, где Q является галогеном), которое может быть получено окислением соединения формулы (I-1).
Окисление является хорошо известным, и его можно проводить, например, в подходящем органическом растворителе (дихлорметане, хлороформе, бензоле, гексане или трет-бутиловом спирте и т.д.) в присутствии избыточного количества окисляющего реагента (пероксида водорода, перйодата натрия, ацилнитрита, пербората натрия, пероксидированной кислоты (например, 3-хлорпербензойной кислоты или перуксусной кислоты и т.д.), OXONE (торговая марка, OXONE является аббревиатурой для пероксимоносульфата калия), перманганата калия или хромовой кислоты и т.д.) при 20-60°C.
Соединения формулы (II) могут быть получены в соответствии со следующей Схемой 1:

На приведенной выше Схеме 1 каждая реакция может быть проведена известными способами. Кроме того, на приведенной выше Схеме 1, исходные вещества для соединений формулы (IX), формулы (X), формулы (XI) или формулы (XII) могут быть известны как таковые или могут быть получены известными способами.
В настоящем изобретении в каждой реакции полученные продукты могут быть очищены общепринятыми методами. Например, очистка может быть проведена перегонкой при атмосферном или пониженном давлении, высокоэффективной жидкостной хроматографией, тонкослойной хроматографией или колоночной хроматографией с использованием силикагеля или силиката магния, промывкой или перекристаллизацией. Очистка может быть проведена после каждой реакции или после нескольких реакций.
Другие исходные вещества и каждый реагент в настоящем изобретении могут быть известны как таковые или могут быть получены известными способами.
[ВИДЫ ФАРМАКОЛОГИЧЕСКОЙ АКТИВНОСТИ]
Эффективность соединений изобретения формулы (I) была подтверждена, например, следующими тестами.
Как описано выше, для проведения скрининга соединения, способного ингибировать связывание ВИЧ с CXCR4 или CCR5, которые являются рецепторами на CD4-положительной клетке, более направленный способ для его проведения состоит в аналитической системе, которая использует вирус ВИЧ. Однако применение большого количества ВИЧ-вируса в скрининге не является практичным вследствие сложности манипуляций с ним. С другой стороны, поскольку как макрофаговый тропический (R5) ВИЧ-1, так и лиганды, которыми являются RANTES, MIP-1 и MIP-1 , связываются с CCR5, можно предположить, что определенные общие характеристики присутствуют в участках связывания CCR5 со стороны ВИЧ и со стороны RANTES, MIP-1 и MIP-1 , и в участках связывания CCR5 для лигандов, которыми являются RANTES, MIP-1 и MIP-1 , и для ВИЧ. Соответственно, для нахождения соединения, способного к ингибированию адсорбции ВИЧ-вируса клетками, обладающего ингибиторным механизмом, отличным от используемого лекарствами, применяемыми в настоящее время против СПИД (ингибиторы обратной транскриптазы и ингибиторы протеазы), возможно использование аналитической системы, которая использует эндогенный лиганд CCR5, RANTES, MIP-1 или MIP-1 вместо ВИЧ.
Конкретно, например, так как CCR5 представляет собой связанный с белком G трансмембранный рецептор семи типов, для скрининга соединения, способного к ингибированию связывания RANTES c CCR5, может выполняться аналитическая система, в которой RANTES оказывает влияние на временное увеличение концентрации иона Ca, индуцируемое CCR5. Поскольку как T-клеточный тропический (X4) ВИЧ, так и SDF-1 связываются с CXCR4, подобную идею можно принять во внимание при скрининге соединения.
[СПОСОБЫ ТЕСТИРОВАНИЯ]
(1) Выделение гена человека CCR5
Плацентарную кДНК человека получают, используя амплификационный набор кДНК Marathon (Clontech). Праймеры для ПЦР hCCR5Xbal-F1:
5′-AGCTAGTCTAGATCCGTTCCCCTACAAGAAACTCTCC-3′ (SEQ ID №:1) и hCCR5Xbal-R1:
5′-AGCTAGTCTAGAGTGCACAACTCTGACTGGGTCACCA-3′ (SEQ ID №:2) были сконструированы на основании последовательности GenBank U54994.
Используя плацентарную кДНК человека в качестве матрицы и применяя Ex Taq (Takara), проводят реакцию ПЦР (2 минуты при 95°C (30 секунд при 95°C, 45 секунд при 60°C, 1 минута при 72°C) x 35 раз). Таким образом, амплифицированный продукт ПЦР подвергают электрофорезу на 1% агарозном геле, очищают, используя набор QIAquick Gel Extraction (QUIAGEN) и далее обрабатывают рестрикционным ферментом Xbal. Обработанные фрагменты лигируют в вектор экспрессии pEF-BOS-bsr, используя набор для лигирования ДНК Ver. 2 (Takara), и трансформируют в Escherichia coli DH5a. Получением результирующей плазмиды pEF-BOS-bsr/hCCR5 контролируют ее последовательность ДНК.
(2) Культивирование клеток CHO
CHO-dhfr(-) культивируют, используя HAM F-12 (содержащий фетальную бычью сыворотку (FBS) (10%), пенициллин (50 Ед/мл) и стрептомицин (50 мг/мл)). Также, трансдуцированные клетки культивируют при добавлении бластицидина (5 мг/мл) к вышеуказанной среде.
(3) Трансдукция в CHO-клетку
Плазмиду pEF-BOS-bsr/hCCR5 трансдуцируют в CHO-dhfr(-) клетку, используя реагент DMRIE-C (Gibco BRL). Спустя 48 часов среду заменяют средой, содержащей 5 мг/мл бластицидина для проведения селекции, устанавливая, таким образом, стабильно сверх-экспрессирующую клетку.
(4) Тест по ингибированию связывания RANTES с CCR5 (активность RANTES по индуцированию временного увеличения концентрации иона Ca).
Установленные таким образом клетки СНО, стабильно сверхэкспрессирующие CCR5 человека (CCR5/CHO клетка), суспендируют в среде Ham F-12, содержащей FBS (10%) и распределяют в 96-луночном планшете порциями по 3,0×106 клеток/лунка. Через сутки культивирования при 37°C, супернатант культуры отбирают и среду Ham F-12 (содержащую Fura-2AM (5 мкМ), пробенецид (2,5 мМ) и HEPES (20 мМ; pH 7,4)) распределяют порциями по 80 мкл/лунка для проведения 1 часа инкубации при 37°C в условиях затемнения. После двойной промывки раствором 1x Hanks/HEPES (20 мМ; pH 7,4) тот же раствор распределяют порциями по 100 мкл/лунка. Каждое из тестируемых соединений добавляют к таким образом Fura-2AM-внедренной CCR5/CHO клетке, и 3 минуты спустя туда добавляют рекомбинантный RANTES человека (PeproTach), разведенный раствором 1x Hanks/HEPES (20 мМ; pH 7,4) до конечной концентрации 10 нМ. Временное увеличение концентрации внутриклеточного Ca2+, индуцированное RANTES человека, измеряют, используя Ca2+ детектор для 96-луночного применения (Hamamatsu Photonics), и отношение ингибирования (%) для тестируемого соединения рассчитывают по следующей расчетной формуле.
Отношение ингибирования=(Ec – Ea)/Ec x 100.
Ec: измеренное значение временного увеличения Ca2+, вызванного RANTES.
Ea: измеренное значение временного увеличения Ca2+, вызванного RANTES при добавлении тестируемого соединения.
В результате соединения изобретения показывают отношение ингибирования, равное 50% или более при 10 мкМ. Например, соединение примера 2 показало значение IC50, равное 0,027 мкМ, а соединение примера 3 значение IC50, равное 0,37 мкМ. Аналитическая система для обнаружения соединения, обладающего ингибирующим действием в отношении адсорбции направленного штамма ВИЧ на CCR5, была описана выше, и очевидно, что возможно найти соединение, способное ингибировать активность CCR5 или его лиганда, используя данную систему. Тем же способом можно найти соединение, способное ингибировать активность рецептора хемокина или его лиганда. Например, может быть сконструирована система для обнаружения соединения, способного ингибировать активность CCR2 или его лиганда. Так как CCR2 представляет собой связанный с белком G трансмембранный рецептор семи типов, аналогично CCR5, система может быть реализована посредством измерения эффекта от лиганда CCR2, например, MCP-1 на временное увеличение концентрации иона Ca, индуцированное через CCR2.
(5) Тест по ингибированию связывания МСР-1 с CCR2 (активность МСР-1 по индуцированию временного увеличения концентрации иона Ca).
CCR2-экспрессирующие клетки человека, например моноцитные клетки человека штамма THP-1 (ATCC No. TIB-202), суспендируют в среде RPMI 1640, содержащей FBS (10%), Fura-2AM (5 мкМ), Пробенецид (2,5 мМ) и HEPES (20 мМ, pH 7,4) до плотности 5,0×106 клеток/мл и инкубируют при 37°C в течение 30 минут в условиях затенения. Полученное смешивают с 4-8 объемами 1x Hanks/HEPES (20 мМ, pH 7,4)/Пробенецид (2,5 мМ) и далее инкубируют при 37°C в течение 30 минут в условиях затенения. После промывки раствором 1x Hanks/HEPES (20 мМ, pH 7,4)/Пробенецид (2,5 мМ), таким образом промытые клетки ресуспендируют в том же растворе до плотности 2,0×106 клеток/мл и распределяют порциями по 100 мкл/лунка в 96-луночный планшет. Каждое из тестируемых соединений добавляют в него и 3 минуты спустя туда добавляют рекомбинантный MCP-1 человека (PeproTach), разбавленный раствором 1x Hanks/HEPES (20 мМ; pH 7,4) до конечной концентрации 30 нМ. Временное увеличение концентрации внутриклеточного Ca2+, индуцированное MCP-1 человека, измеряют, используя Ca2+ детектор для 96-луночного применения (Hamamatsu Photonics), и отношение ингибирования (%) для тестируемого соединения рассчитывают по следующей расчетной формуле:
Отношение ингибирования=(Ec – Ea)/Ec x 100.
Ec: измеренное значение временного увеличения Ca2+, вызванного MCP-1;
Ea: измеренное значение временного увеличения Ca2+, вызванного MCP-1 при добавлении тестируемого соединения.
[ТОКСИЧНОСТЬ]
Токсичность соединений настоящего изобретения является очень низкой и поэтому соединения можно считать безопасными для фармакологического применения.
Промышленная применимость
[ПРИМЕНЕНИЕ К ФАРМАЦЕВТИЧЕСКИМ ПРЕПАРАТАМ]
Соединения настоящего изобретения формулы (I) регулируют действие хемокин/хемокинового рецептора у животных, включая человека, особенно у человека, так, что они используются для профилактики и/или лечения различных воспалительных заболеваний, астмы, атопического дерматита, крапивницы, аллергических заболеваний (аллергического бронхолегочного аспергиллеза или аллергического эозинофильного гастроэнтерита и т.д.), нефрита, нефропатии, гепатита, артрита, ревматоидного артрита, псориаза, ринита, конъюнктивита, ишемического реперфузионного расстройства, рассеянного склероза, язвенного колита, острого респираторного дистресс-синдрома, цитотоксического шока, диабета, аутоиммунного заболевания, отторжения трансплантата, иммуносупрессии, раковых метастазов или синдрома приобретенного иммунодефицита.
Для цели, описанной выше, соединения формулы (I), их нетоксичные соли, их соли присоединения кислот или их гидраты могут соответственно вводиться системно или локально, обычно посредством перорального или парентерального введения.
Дозы для введения определяют в зависимости, например, от возраста, массы тела, симптома, желательного терапевтического эффекта, пути введения и продолжительности лечения. Для взрослого человека персональные дозы обычно составляют от 1 мг до 1000 мг при пероральном введении до нескольких раз в день, и от 1 мг до 100 мг при парентеральном введении (предпочтительно, внутривенном введении) до нескольких раз в день или при непрерывном введении от 1 до 24 часов в день в вену.
Как указано выше, дозы для использования зависят от различных состояний. Поэтому есть случаи, при которых могут быть использованы дозы в интервалах меньших или больших, чем указано выше.
Соединения настоящего изобретения могут вводиться, например, в твердой форме для перорального введения, в жидких формах для перорального введения, в виде инъекций, линиментов или суппозиториев для парентерального введения.
Твердые формы для перорального введения включают прессованные таблетки, пилюли, капсулы, диспергируемые порошки и гранулы. Капсулы включают твердые капсулы и мягкие капсулы.
В таких твердых формах одно или несколько активных соединений могут быть смешаны с носителями (такими как лактоза, маннит, глюкоза, микрокристаллическая целлюлоза, крахмал), связывающими агентами (такими как гидроксипропилцеллюлоза, поливинилпирролидон или метасиликат алюминат магния), дезинтегрантами (такими как целлюлоза-гликолат кальция), смазывающими агентами (такими как стеарат магния), стабилизирующими агентами и вспомогательными средствами растворения (такими как глутаминовая кислота или аспарагиновая кислота) и получены в соответствии со способами, хорошо известными в обычной фармацевтической практике. Твердые формы могут при необходимости быть покрыты покрывающими агентами (такими как сахар, желатин, гидроксипропилцеллюлоза или фталат гидроксипропилметилцеллюлозы) или быть покрыты двумя или более пленками. И далее, покрытие может включать содержимое внутри капсул из адсорбируемых материалов, таких как желатин.
Жидкие формы для перорального введения включают фармацевтически приемлемые растворы, суспензии и эмульсии, сиропы и эликсиры. В таких формах одно или несколько активных соединений могут быть растворены, суспендированы или эмульгированы в разбавителях, обычно используемых в данной области (таких как очищенная вода, этанол или их смеси). Кроме того, такие жидкие формы могут также включать некоторые добавки, такие как увлажняющие агенты, суспендирующие агенты, эмульгирующие агенты, подсластители, отдушки, ароматизаторы, консервант или буферирующий агент.
Инъекции для парентерального введения включают стерильные водные суспензии, эмульсии и твердые формы, которые растворяют или суспендируют в растворителях для инъекции непосредственно перед применением. При инъекциях одно или несколько активных соединений могут быть растворены, суспендированы или эмульгированы в растворителях. Растворители могут включать дистиллированную воду для инъекции, физиологический солевой раствор, растительное масло, пропиленгликоль, полиэтиленгликоль, спирт, например, этанол, или их смеси. Инъекции могут включать некоторые добавки, такие как стабилизирующие агенты, вспомогательные средства растворения (такие как глутаминовая кислота, аспарагиновая кислота или ПОЛИСОРБАТ 80 (зарегистрированный товарный знак)), суспендирующие агенты, эмульгирующие агенты, смягчающий агент, буферирующие агенты, консервант. Они могут быть стерилизованы на конечной стадии или могут быть получены и компенсированы в соответствии со стерильными способами. Они также могут быть произведены в виде стерильных твердых форм, таких как лиофилизированные продукты, которые можно растворять в стерильной воде или некоторых других стерильных разбавителях для инъекций непосредственно перед применением.
Другие формы для парентерального введения включают жидкости для наружного применения, мази и эндермические линименты, ингаляции, спреи, суппозитории и пессарии для вагинального введения, которые включают одно или несколько активных соединений и могут быть получены способами, известными как таковые.
Спреи могут включать дополнительные вещества, отличные от разбавителей, такие как стабилизирующие агенты, такие как сульфат натрия, изотонические буферы, такие как хлорид натрия, цитрат натрия или лимонная кислота. Для получения таких спреев может быть использован, например, способ, описанный в патентах США № 2868691 или 3095355. Соединение настоящего изобретения формулы (I), его четвертичная аммониевая соль, его N-оксид или его нетоксичная соль могут быть использованы вместе с, по меньшей мере, одним представителем других средств для профилактики и/или лечения ВИЧ-инфекции (особенно, средством для профилактики и/или лечения СПИД). В данном случае, лекарство, как таковое, может быть смешано с фармакологически приемлемыми эксципиентом, связывающим агентом, дезинтегрирующим агентом, смазывающим средством, стабилизатором, солюбилизатором, разбавителем и т.д. либо раздельно или одновременно для получения фармацевтического препарата, который может быть введен либо перорально или парентерально как фармацевтическая композиция для профилактики и/или лечения ВИЧ-инфекции.
Соединение формулы (I), его четвертичная аммониевая соль, его N-оксид или его нетоксичная соль обладают ингибирующей активностью по отношению к инфекции ВИЧ-1, который приобрел сопротивляемость к другому средству для профилактики и/или лечения ВИЧ-инфекции (особенно, средству для профилактики и/или лечения СПИД). Следовательно, они также могут быть использованы для ВИЧ-инфицированных пациентов, для которых другое средство для профилактики и/или лечения ВИЧ-инфекции не является более эффективным. В данном случае, хотя соединение настоящего изобретения может быть применено отдельно, его можно также применять вместе со средством для профилактики и/или лечения ВИЧ-инфекции, когда штамм инфекции ВИЧ-1 приобретает сопротивляемость, или вместе с другими лекарствами.
Настоящее изобретение охватывает случай, где соединение формулы (I), его четвертичная аммониевая соль, его N-оксид или его нетоксичная соль сочетаются с лекарством, которое не ингибирует ВИЧ-инфекцию, посредством чего усиливается профилактическое и/или лечебное действие в отношении ВИЧ-инфекции по сравнению с одним препаратом.
Примерами другого агента для профилактики и/или лечения ВИЧ-инфекции, применяемого в сочетании с соединением настоящего изобретения формулы (I), его четвертичной аммониевой солью, его N-оксидом или его нетоксичной солью, являются ингибитор обратной транскриптазы, ингибитор протеазы, антагонист хемокина (такой как антагонист CCR2, антагонист CCR3, антагонист CCR4, антагонист CCR5 и антагонист CXCR4), ингибитор слияния, антитело против поверхностного антигена ВИЧ-1 и вакцина ВИЧ-1 и т.д.
Ингибиторами обратной транскриптазы являются конкретно (1) нуклеозид/нуклеотидные ингибиторы обратной транскриптазы: зидовудин (торговая марка: Retrovir), диданозин (торговая марка: Videx), зальцитабин (торговая марка: HIVID), ставудин (торговая марка: Zerit), ламивудин (торговая марка: Epivir), абакавир (торговая марка: Ziagen), адефовир, адефовир дипивоксил, эмтрицитабин (торговая марка: Coviracil) или PMPA (торговая марка: Tenofovir) и т.д. и (2) не нуклеозидные ингибиторы обратной транскриптазы: невирапин (торговая марка: Viramune), делавирдин (торговая марка: Rescriptor), эфавиренц (торговая марка: Sustiva, Stocklin) или каправирин (AG1549) и т.д.
Ингибиторами протеазы являются конкретно индинавир (торговая марка: Crixivan), ритонавир (торговая марка: Norvir), нелфинавир (торговая марка: Viracept), саквинавир (торговая марка: Invirase, Fortovase), ампренавир (торговая марка: Agenerase), лопинавир (торговая марка: Kaletra) или типранавир и т.д.
Антагонисты хемокина включают внутренние лиганды рецептора хемокина, их производное, непептидное низкомолекулярное соединение или антитело против рецептора хемокина.
Примерами внутреннего лиганда рецептора хемокина являются конкретно, MIP-1 , MIP-1 , RANTES, SDF-1 , SDF-1 , MCP-1, MCP-2, MCP-4, Эотаксин и MDC и т.д.
Производными внутреннего лиганда являются конкретно AOP-RANTES, Met-SDF-1 , Met-SDF-1 и т.д.
Антителами к рецептору хемокина являются конкретно, Pro-140 и т.д.
Антагонисты CCR2 конкретно описаны в описании WO99/07351, WO99/40913, WO00/46195, WO00/46196, WO00/46197, WO00/46198, WO00/46199, WO00/69432 или WO00/69815 или в Bioord. Med. Chem. Lett., 10, 1803 (2000) и т.д.
Антагонисты CCR3 конкретно описаны в описании DE19837386, WO99/55324, WO99/55330, WO00/04003, WO00/27800, WO00/27835, WO00/27843, WO00/29377, WO00/31032, WO00/31033, WO00/34278, WO00/35449, WO00/35451, WO00/35452, WO00/35453, WO00/35454, WO00/35876, WO00/35877, WO00/41685, WO00/51607, WO00/51608, WO00/51609, WO00/51610, WO00/53172, WO00/53600, WO00/58305, WO00/59497, WO00/59498, WO00/59502, WO00/59503, WO00/62814, WO00/73327 или WO01/09088 и т.д.
Антагонисты CCR5 конкретно описаны в описании WO99/17773, WO99/32100, WO00/06085, WO00/06146, WO00/10965, WO00/06153, WO00/21916, WO00/37455, EP1013276, WO00/38680, WO00/39125, WO00/40239, WO00/42045, WO00/53175, WO00/42852, WO00/66551, WO00/66558, WO00/66559, WO00/66141, WO00/68203, JP2000309598, WO00/51607, WO00/51608, WO00/51609, WO00/51610, WO00/56729, WO00/59497, WO00/59498, WO00/59502, WO00/59503, WO00/76933, WO98/25605 или WO99/04794, WO99/38514 или в Bioord. Med. Chem. Lett., 10, 1803 (2000) и т.д.
Антагонисты CXCR4 представляют собой конкретно AMD-3100, Т-22, KRH-1120 или соединения, описанные в описании WO00/66112 и т.д.
Ингибиторы слияния конкретно представляют собой Т-20 (Пентафузид) и Т-1249 и т.д.
Подразумевают, что примеры средств для комбинированной терапии, описанные выше, иллюстрируют настоящее изобретение, но не ограничивают его.
Подразумевают, что типичные примеры обычных уровней дозы для клинических испытаний ингибиторов обратной транскриптазы или ингибиторов протеазы, описанные ниже, иллюстрируют настоящее изобретение, но не ограничивают его. Зидовудин: 100 мг капсула, 200 мг на дозу, 3 раза в день;
300 мг таблетка, 300 мг на дозу, дважды в день;
диданозин: 25-200 мг таблетка, 125-200 мг на дозу, дважды в день;
зальцитабин: 0,375-0,75 мг таблетка, 0,75 мг на дозу, 3 раза в день;
ставудин: 15-40 мг капсула, 30-40 мг на дозу, дважды в день;
ламивудин: 150 мг таблетка, 150 мг на дозу, дважды в день;
абакавир: 300 мг таблетка, 300 мг на дозу, дважды в день;
невирапин: 200 мг таблетка, 200 мг на дозу, один раз в день в течение 14 дней и далее дважды в день;
делавирдин: 100 мг таблетка, 400 мг на дозу, 3 раза в день;
эфавиренц: 50-200 мг капсула, 600 мг на дозу, один раз в день;
индинавир: 200-400 мг капсула, 800 мг на дозу, 3 раза в день;
ритонавир: 100 мг капсула, 600 мг на дозу, дважды в день;
нельфинавир: 250 мг таблетка, 750 мг на дозу, 3 раза в день;
саквинавир: 200 мг капсула, 100 или 200 мг на дозу, 3 раза в день;
ампренавир: 50-150 мг таблетка, 100 или 200 мг на дозу, дважды в день.
Следующие ссылочные примеры и примеры предназначены для иллюстрации настоящего изобретения, но не ограничивают его.
Названия растворителей для хроматографических разделений и ТСХ, указанные в скобках, указывают на элюирующие и проявляющие растворители, а соотношения используемых растворителей являются объемными.
Растворители, названия которых приведены в скобках для данных ЯМР, указывают на растворители, используемые для измерения.
Ссылочный пример 1
(2R,3R)-2-(трет-бутоксикарбониламино)-3-гидрокси-4-метил-N-бутил-N-[4-бензиламинокарбонил-1-бензилпиперидин-4-ил]пентанамид

К раствору (2R,3R)-2-(трет-бутоксикарбониламино)-3-гидрокси-4-метилпентановой кислоты (10,5 г) в метаноле (340 мл) добавляют н-бутиламин (4,2 мл), N-бензил-4-пиперидон (7,9 мл) и бензилизонитрил (5,2 мл). Реакционную смесь перемешивают в течение ночи при 55°C. Реакционную смесь концентрируют. Полученный остаток очищают колоночной хроматографией на силикагеле(хлороформ:метанол=100:1 75:1 50:1) с получением указанного в заголовке соединения (19,8 г), имеющего следующие физические данные.
ТСХ:Rf 0,49 (хлороформ:метанол=10:1);ЯМР (CD3OD): 7,38-7,15 (м, 10H), 4,58 (д, J=9,6 Гц, 1H), 4,39 (д, J=15,0 Гц, 1H), 4,23 (д, J=15,0 Гц, 1H), 3,70-3,30 (м, 3H), 3,50 (с, 2H), 2,79-2,30 (м, 6H), 2,08-1,88 (м, 2H), 1,88-1,70 (м, 3H), 1,50-1,28 (м, 2H), 1,38 (с, 9H), 0,98 (т, J=7,2 Гц, 3H), 0,96 (д, J=6,6 Гц, 3H), 0,91 (д, J=6,6 Гц, 3H).
Ссылочный пример 2
(2R,3R)-2-амино-3-гидрокси-4-метил-N-бутил-N-[4-бензиламинокарбонил-1-бензилпиперидин-4-ил]пентанамид

На бане со льдом к раствору соединения (19,8 г), полученного в ссылочном примере 1, в дихлорметане (65 мл) добавляют трифторуксусную кислоту (50 мл). Реакционную смесь перемешивают в течение 1 часа при комнатной температуре. К реакционной смеси добавляют дихлорметан, нейтрализуют водным раствором карбоната натрия и экстрагируют. Экстракт промывают водой и насыщенным водным раствором хлорида натрия, сушат над безводным сульфатом натрия и концентрируют с получением указанного в заголовке соединения, имеющего следующие физические данные. Полученный остаток используют в следующей реакции без дальнейшей очистки.ТСХ:Rf 0,38 (хлороформ:метанол=10:1).
Пример 1
(3R)-1-бутил-2,5-диоксо-3-((1R)-1-гидрокси-2-пропил)-9-бензил-1,4,9-триазаспиро[5.5]ундекан

К раствору соединения, полученного в ссылочном примере 2, в толуоле (200 мл) добавляют уксусную кислоту (15 мл). Реакционную смесь перемешивают в течение 45 минут при 80°C. Реакционную смесь разбавляют этилацетатом, нейтрализуют водным раствором карбоната натрия и экстрагируют. Экстракт промывают насыщенным водным раствором хлорида натрия, сушат над безводным сульфатом натрия и концентрируют. Полученный остаток очищают колоночной хроматографией на силикагеле (этилацетат:метанол=25:1) с получением указанного в заголовке соединения (12,9 г), имеющего следующие физические данные.
ТСХ:Rf 0,49 (хлороформ:метанол=10:1);
ЯМР (CD3OD): 7,36-7,22 (м, 5H), 4,10 (д, J=2,7 Гц, 1H), 3,60 (с, 2H), 3,47 (м, 1H), 3,38-3,25 (м, 2H), 2,96 (м, 1H), 2,87-2,73 (м, 3H), 2,25-1,94 (м, 4H), 1,82 (м, 1H), 1,64 (м, 1H), 1,53-1,27 (м, 3H), 0,96 (д, J=6,6 Гц, 6H), 0,95 (т, J=7,5 Гц, 3H).
Ссылочный пример 3
(3R)-1-бутил-2,5-диоксо-3-((1R)-1-гидрокси-2-метилпропил)-1,4,9-триазаспиро[5.5]ундекан · гидрохлорид

В атмосфере аргона к раствору соединения (12,67 г), полученного в примере 1, в метаноле (160 мл) добавляют 20% гидроксид палладия на углероде (1,3 г). В атмосфере водорода реакционную смесь перемешивают в течение 12 часов при комнатной температуре. Реакционную смесь фильтруют через целит и фильтрат концентрируют. Полученный остаток очищают колоночной хроматографией на силикагеле (хлороформ:гексан=3:1 хлороформ:метанол=100:1 50:1 30:1 20:1 10:1). К полученному соединению добавляют раствор 4N хлорид водорода/этилацетат и концентрируют с получением соединения указанного в заголовке (8,6 г), имеющего следующие физические данные.
ТСХ:Rf 0,16 (хлороформ:метанол:уксусная кислота=20:4:1);
ЯМР (CD3OD): 4,15 (д, J=2,1 Гц, 1H), 3,95 (м, 1H), 3,71 (м, 1H), 3,52 (м, 1H), 3,42-3,31 (м, 2H), 3,21 (м, 1H), 3,21 (дд, J=9,6, 2,1 Гц, 1H), 2,48-2,32 (м, 2H), 2,23 (м, 1H), 2,14-1,96 (м, 2H), 1,72 (м, 1H), 1,55-1,33 (м, 3H), 1,02-0,92 (м, 9H);
оптическое вращение:[ ]D +13,9° (c 1,00, метанол, 28°C).
Ссылочные примеры 3(1)-3(9)
Следующие соединения получают по аналогичной методике, описанной в ссылочном примере 1 ссылочном примере 2 примере 1 ссылочном примере 3, используя соответствующие производные аминокислот вместо (2R,3R)-2-(трет-бутоксикарбониламино)-3-гидрокси-4-метилпентановой кислоты соответственно и используя соответствующие производные аминов вместо н-бутиламина соответственно.
Ссылочный пример 3(1)
(3S)-1-бутил-2,5-диоксо-3-(2-метилпропил)-1,4,9-триазаспиро[5.5]ундекан · гидрохлорид

ТСХ:Rf 0,18 (хлороформ:метанол=4:1);
ЯМР (CD3OD): 4,02 (дд, J=7,8, 4,6 Гц, 1H), 3,82-3,70 (м, 2H), 3,39 (м, 4H), 2,34-2,09 (м, 4H), 1,88-1,50 (м, 5H), 1,37 (м, 2H), 0,97 (т, J=7,5 Гц, 3H), 0,95 (д, J=6,5 Гц, 3H), 0,94 (д, J=6,5 Гц, 3H);
оптическое вращение:[ ]D -38,8° (c 1,04, метанол, 23°C).
Ссылочный пример 3(2)
(3S)-1-бутил-2,5-диоксо-3-циклогексилметил-1,4,9-триазаспиро[5.5]ундекан · гидрохлорид

ТСХ:Rf 0,08 (хлороформ:метанол:уксусная кислота=90:10:1);
ЯМР (CD3OD): 4,05 (дд, J=7,8, 4,8 Гц, 1H), 3,84-3,68 (м, 2H), 3,46-3,34 (м, 4H), 2,40-2,04 (м, 4H), 1,83-1,46 (м, 10H), 1,39 (секстет, J=7,5 Гц, 2H), 1,05-0,86 (м, 2H), 0,97 (т, J=7,2 Гц, 3H);
оптическое вращение:[ ]D -37,5° (c 1,04, метанол, 18°C).
Ссылочный пример 3(3)
(3R)-1-бутил-2,5-диоксо-3-((1R)-1-гидрокси-1-циклогексил)-1,4,9-триазаспиро[5.5]ундекан · гидрохлорид

ТСХ:Rf 0,32 (бутанол:уксусная кислота:вода=4:2:1);
ЯМР (CD3OD): 4,16 (д, J=2,0 Гц, 1H), 3,95 (м, 1H), 3,70 (м, 1H), 3,52 (м, 1H), 3,37 (м, 1H), 3,28 (м, 1H), 3,22-3,13 (м, 2H), 2,46-1,93 (м, 6H), 1,80-1,64 (м, 5H), 1,48-1,15 (м, 6H), 1,02-0,87 (м, 5H);
оптическое вращение:[ ]D +1,22° (c 1,04, метанол, 26°C).
Ссылочный пример 3(4)
(3R)-1-бутил-2,5-диоксо-3-((1R)-1-гидрокси-1-(3,4,5,6-тетрагидропиран-4-ил)метил)-1,4,9-триазаспиро[5.5]ундекан · гидрохлорид

ТСХ:Rf 0,05 (хлороформ:метанол=10:1);
ЯМР (CD3OD): 4,13 (д, J=2,0 Гц, 1H), 4,01-3,91 (м, 3H), 3,70 (м, 1H), 3,59-3,32 (м, 6H), 3,20 (м, 1H), 2,47-2,19 (м, 3H), 2,11-1,69 (м, 5H), 1,47-1,17 (м, 5H), 0,70 (т, J=7,0 Гц, 3H).
Ссылочный пример 3(5)
(3R)-1-бутил-2,5-диоксо-3-((1R)-1-гидрокси-1-циклопентил)-1,4,9-триазаспиро[5.5]ундекан · гидрохлорид

ТСХ:Rf 0,04 (хлороформ:метанол=10:1);
ЯМР (CD3OD): 4,00 (д, J=2,0 Гц, 1H), 3,95 (м, 1H), 3,70 (м, 1H), 3,53 (м, 1H), 3,40-3,34 (м, 3H), 3,21 (м, 1H), 2,46-2,19 (м, 4H), 2,08 (м, 1H), 1,92-1,83 (м, 2H), 1,70-1,50 (м, 6H), 1,45-1,26 (м, 5H), 0,97 (т, J=7,0 Гц, 3H).
Ссылочный пример 3(6)
(3R)-1-пропил-2,5-диоксо-3-((1R)-1-гидрокси-2-метилпропил)-1,4,9-триазаспиро[5.5]ундекан · гидрохлорид

ТСХ:Rf 0,15 (хлороформ:метанол:уксусная кислота=20:4:1);
ЯМР (CD3OD): 4,15 (д, J=2,1 Гц, 1H), 3,96 (м, 1H), 3,71 (м, 1H), 3,56-3,25 (м, 3H), 3,20 (дд, J=9,6, 2,1 Гц, 1H), 3,13 (м, 1H), 2,51-1,95 (м, 5H), 1,75 (м, 1H), 1,49 (м, 1H), 0,99 (д, J=6,6 Гц, 3H), 0,98 (д, J=6,6 Гц, 3H), 0,95 (т, J=7,5 Гц, 3H).
Ссылочный пример 3(7)
(3R)-1-пропил-2,5-диоксо-3-((1R)-1-гидрокси-1-циклогексил)-1,4,9-триазаспиро[5.5]ундекан · гидрохлорид

ТСХ:Rf 0,16 (хлороформ:метанол:уксусная кислота=20:4:1);
ЯМР (CD3OD): 4,16 (д, J=2,1 Гц, 1H), 3,95 (м, 1H), 3,70 (м, 1H), 3,47 (м, 1H), 3,41-3,24 (м, 4H), 3,12 (м, 1H), 2,44 (м, 1H), 2,33 (м, 1H), 2,19 (м, 1H), 2,08 (м, 1H), 2,03-1,89 (м, 2H), 1,84-1,62 (м, 4H), 1,50 (м, 1H), 1,40-1,10 (м, 3H), 1,05-0,80 (м, 2H), 0,95 (т, J=7,5 Гц, 3H);
оптическое вращение:[ ]D -2,92° (c 1.06, метанол, 25°C).
Ссылочный пример 3(8)
(3S)-1-бутил-2,5-диоксо-3-((1S)-1-гидрокси-2-метилпропил)-1,4,9-триазаспиро[5.5]ундекан · гидрохлорид

ТСХ:Rf 0,16 (хлороформ:метанол:уксусная кислота=20:4:1);
ЯМР (CD3OD): 4,15 (д, J=2,1 Гц, 1H), 3,95 (м, 1H), 3,71 (м, 1H), 3,52 (м, 1H), 3,42-3,31 (м, 2H), 3,21 (м, 1H), 3,21 (дд, J=9,6, 2,1 Гц, 1H), 2,48-2,32 (м, 2H), 2,23 (м, 1H), 2,14-1,96 (м, 2H), 1,72 (м, 1H), 1,55-1,33 (м, 3H), 1,02-0,92 (м, 9H);
оптическое вращение:[ ]D -13,8° (c 1,00, метанол, 28°C).
Ссылочный пример 3(9)
(3S)-1-бутил-2,5-диоксо-3-((1S)-1-гидрокси-1-циклогексил)-1,4,9-триазаспиро[5.5]ундекан · гидрохлорид

ТСХ:Rf 0,17 (хлороформ:метанол:уксусная кислота=20:4:1);
ЯМР (CD3OD): 4,16 (д, J=2,1 Гц, 1H), 3,95 (м, 1H), 3,70 (м, 1H), 3,52 (м, 1H), 3,42-3,25 (м, 3H), 3,17 (м, 1H), 2,49-2,38 (м, 2H), 2,21 (м, 1H), 2,14-1,90 (м, 3H), 1,84-1,61 (м, 5H), 1,55-1,13 (м, 6H), 1,04-0,81 (м, 2H), 0,97 (т, J=7,2 Гц, 3H);
оптическое вращение:[ ]D -1,29° (c 1,09, метанол, 26°C).
Пример 2
(3R)-1-бутил-2,5-диоксо-3-((1R)-1-гидрокси-2-метилпропил)-9-(6-фенилоксипиридин-3-илметил)-1,4,9-триазаспиро[5.5]ундекан · 2 гидрохлорид

К раствору соединения, полученного в ссылочном примере 3, (120 мг) в диметилформамиде (1 мл) добавляют уксусную кислоту (59 мкл). К реакционной смеси добавляют триацетоксиборгидрид натрия (146 мг) и 3-формил-6-фенилоксипиридин (89 мг). Реакционную смесь перемешивают в течение ночи при комнатной температуре. К реакционной смеси добавляют метанол и концентрируют. Полученный остаток очищают колоночной хроматографией на силикагеле (этилацетат хлороформ:метанол=25:1) и полученное соединение переводят в гидрохлоридную соль, используя общепринятый способ, с получением указанного в заголовке соединения (118 мг), имеющего следующие физические данные.
ТСХ:Rf 0,48 (хлороформ:метанол=10:1);
ЯМР (CD3OD): 8,35 (д, J=2,1 Гц, 1H), 8,12 (дд, J=8,7, 2,1 Гц, 1H), 7,49-7,40 (м, 2H), 7,27 (т, J=7,8 Гц, 1H), 7,15 (д, J=7,8 Гц, 2H), 7,06 (д, J=8,7, 1H), 4,39 (с, 2H), 4,14 (д, J=2,1 Гц, 1H), 4,07-3,93 (м, 1H), 3,82-3,67 (м, 1H), 3,58-3,40 (м, 3H), 3,30-3,15 (м, 1H), 3,19 (дд, J=9,6, 2,1 Гц, 1H), 2,60-2,28 (м, 3H), 2,18-2,05 (м, 1H), 2,05-1,90 (м, 1H), 1,80-1,55 (м, 1H), 1,50-1,25 (м, 3H), 0,99 (д, J=6,6 Гц, 3H), 0,97 (д, J=6,6 Гц, 3H), 0,95 (т, J=7,2 Гц, 3H);оптическое вращение:[ ]D +10,8° (c 1,05, метанол, 24°C).
Условия ВЭЖХ
Колонка: CHIRALCEL OJ-R, 0,46×15см, DAICEL, OJR0CD-JB026:
скорость потока: 0,7 мл/мин;
Растворитель
Раствор A: 0,1M водный раствор дигидрофосфата калия;
раствор B: ацетонитрил (A:B=76:24);
УФ: 225 нм;
время удерживания: 11,53 мин.
Пример 2(1)-2(59)
Следующие соединения получают по аналогичной методике, описанной в примере 2, используя соответствующие альдегидные производные вместо 3-формил-6-фенилоксипиридина.
Пример 2(1)
(3R)-1-бутил-2,5-диоксо-3-((1R)-1-гидрокси-2-метилпропил)-9-(4-(4-метоксифенилокси)фенилметил)-1,4,9-триазаспиро[5.5]ундекан · гидрохлорид

ТСХ:Rf 0,36 (этилацетат:метанол=10:1);
ЯМР (CD3OD): 7,45 (д, J=8,7 Гц, 2H), 7,00-6,96 (м, 6H), 4,27 (с, 2H), 4,14 (д, J=2,1 Гц, 1H), 3,94-3,69 (м, 2H), 3,79 (с, 3H), 3,60-3,05 (м, 5H), 2,50-1,95 (м, 5H), 1,70 (м, 1H), 1,50-1,30 (м, 3H), 1,00-0,93 (м, 9H).
Пример 2(2)
(3R)-1-бутил-2,5-диоксо-3-((1R)-1-гидрокси-2-метилпропил)-9-(4-(3-метоксифенилокси)фенилметил)-1,4,9-триазаспиро[5.5]ундекан · гидрохлорид

ТСХ:Rf 0,41 (этилацетат:метанол=10:1);
ЯМР (CD3OD): 7,51 (д, J=8,4 Гц, 2H), 7,28 (т, J=8,4 Гц, 1H), 7,08 (д, J=9,0 Гц, 2H), 6,75 (м, 1H), 6,61-6,57 (м, 2H), 4,32 (с, 2H), 4,14 (д J=2,1 Гц, 1H), 3,99-3,73 (м, 2H), 3,77 (с, 3H), 3,60-3,10 (м, 5H), 2,55-1,95 (м, 5H), 1,70 (м, 1H), 1,50-1,30 (м, 3H), 1,00-0,93 (м, 9H).
Пример 2(3)
(3R)-1-бутил-2,5-диоксо-3-((1R)-1-гидрокси-2-метилпропил)-9-(4-(4-фторфенилокси)фенилметил)-1,4,9-триазаспиро[5.5]ундекан · гидрохлорид

ТСХ:Rf 0,33(этилацетат:метанол=10:1);
ЯМР (CD3OD): 7,50 (д, J=8,7 Гц, 2H), 7,17-7,03 (м, 6H), 4,30 (с, 2H), 4,14 (д, J=2,1 Гц, 1H), 3,97-3,71 (м, 2H), 3,60-3,10 (м, 5H), 2,55-1,95 (м, 5H), 1,70 (м, 1H), 1,50-1,30 (м, 3H), 1,00-0,93 (м, 9H).
Пример 2(4)
(3R)-1-бутил-2,5-диоксо-3-((1R)-1-гидрокси-2-метилпропил)-9-(4-(4-хлорфенилокси)фенилметил)-1,4,9-триазаспиро[5.5]ундекан · гидрохлорид

ТСХ:Rf 0,31 (этилацетат:метанол=10:1);
ЯМР (CD3OD): 7,53 (д, J=8,7 Гц, 2H), 7,38 (д, J=9,3 Гц, 2H), 7,09 (д, J=8,7 Гц, 2H), 7,02 (д, J=9,3 Гц, 2H), 4,32 (с, 2H), 4,14 (д, J=1,8 Гц, 1H), 3,98-3,72 (м, 2H), 3,60-3,10 (м, 5H), 2,55-2,00 (м, 5H), 1,70 (м, 1H), 1,50-1,30 (м, 3H), 1,00-0,93 (м, 9H).
Пример 2(5)
(3R)-1-бутил-2,5-диоксо-3-((1R)-1-гидрокси-2-метилпропил)-9-(4-(фенилкарбонил)фенилметил)-1,4,9-триазаспиро[5.5]ундекан · гидрохлорид

ТСХ:Rf 0,57 (хлороформ:метанол=10:1);
ЯМР (CD3OD): 7,87 (д, J=8,4 Гц, 2H), 7,83-7,72 (м, 4H), 7,67 (м, 1H), 7,59-7,48 (м, 2H), 4,48 (с, 2H), 4,14 (д, J=2,1 Гц, 1H), 4,05 (м, 1H), 3,80 (м, 1H), 3,59-3,37 (м, 3H), 3,20 (м, 1H), 3,19 (дд, J=9,6, 2,1 Гц, 1H), 2,60-2,28 (м, 3H), 2,14 (м, 1H), 2,00 (м, 1H), 1,70 (м, 1H), 1,52-1,23 (м, 3H), 0,99 (д, J=6,6 Гц, 3H), 0,97 (д, J=6,6 Гц, 3H), 0,95 (т, J=7,2 Гц, 3H).
Пример 2(6)
(3R)-1-бутил-2,5-диоксо-3-((1R)-1-гидрокси-2-метилпропил)-9-(4-(1-фенил-1-гидроксиметил)фенилметил)-1,4,9-триазаспиро[5.5]ундекан · гидрохлорид

ТСХ:Rf 0,32 (хлороформ:метанол=10:1);
ЯМР (CD3OD): 7,62-7,40 (м, 4H), 7,40-7,18 (м, 5H), 5,81 (с, 1H), 4,32 (с, 2H), 4,13 (д, J=2,1 Гц, 1H), 3,99 (м, 1H), 3,73 (м, 1H), 3,55-3,38 (м, 3H), 3,13 (м, 1H), 3,19 (дд, J=9,6, 2,1 Гц, 1H), 2,52-2,33 (м, 2H), 2,24 (м, 1H), 2,09 (м, 1H), 1,98 (м, 1H), 1,67 (м, 1H), 1,50-1,25 (м, 3H), 0,98 (д, J=6,6 Гц, 3H), 0,96 (д, J=6,6 Гц, 3H), 0,93 (т, J=7,2 Гц, 3H).
Пример 2(7)
(3R)-1-бутил-2,5-диоксо-3-((1R)-1-гидрокси-2-метилпропил)-9-(4-(4-(морфолин-4-илкарбонил)фенилокси)фенилметил)-1,4,9-триазаспиро[5.5]ундекан · гидрохлорид

ТСХ:Rf 0,47 (хлороформ:метанол=10:1);
ЯМР (CD3OD): 7,59 (д, J=8,7 Гц, 2H), 7,48 (д, J=8,7 Гц, 2H), 7,14 (д, J=8,7 Гц, 2H), 7,10 (д, J=8,7 Гц, 2H), 4,35 (с, 2H), 4,14 (д, J=1,8 Гц, 1H), 3,99 (м, 1H), 3,85-3,35 (м, 12H), 3,23 (м, 1H), 3,19 (дд, J=9,3, 1,8 Гц, 1H), 2,55-2,41 (м, 2H), 2,32 (м, 1H), 2,12 (м, 1H), 2,01 (м, 1H), 1,68 (м, 1H), 1,50-1,25 (м, 3H), 0,99 (д, J=6,6 Гц, 3H), 0,97 (д, J=6,6 Гц, 3H), 0,95 (т, J=7,2 Гц, 3H).
Пример 2(8)
(3R)-1-бутил-2,5-диоксо-3-((1R)-1-гидрокси-2-метилпропил)-9-(4-(6-метилпиридин-3-илокси)фенилметил)-1,4,9-триазаспиро[5.5]ундекан · 2гидрохлорид

ТСХ:Rf 0,19 (этилацетат:метанол=10:1);
ЯМР (CD3OD): 8,58 (д, J=2,7, 0,6 Гц, 1H), 8,17 (дд, J=9,0, 2,7 Гц, 1H), 7,89 (д, J=9,0 Гц, 1H), 7,74 (д, J=9,0 Гц, 2H), 7,31 (д, J=9,0 Гц, 2H), 4,40 (с, 2H), 4,15 (д, J=2,1 Гц, 1H), 4,02 (м, 1H), 3,78 (м, 1H), 3,60-3,42 (м, 3H), 3,30-3,16 (м, 2H), 2,76 (с, 3H), 2,64-2,32 (м, 3H), 2,18-1,94 (м, 2H), 1,70 (м, 1H), 1,48-1,26 (м, 3H), 1,00 (д, J=6,3 Гц, 3H), 0,98 (д, J=6,3 Гц, 3H), 0,96 (т, J=7,2 Гц, 3H).
Пример 2(9)
(3R)-1-бутил-2,5-диоксо-3-((1R)-1-гидрокси-2-метилпропил)-9-(4-(пиридин-1-оксидо-3-илокси)фенилметил)-1,4,9-триазаспиро[5.5]ундекан · гидрохлорид

ТСХ:Rf 0,54 (хлороформ:метанол=5:1);
ЯМР (CD3OD): 8,56 (м, 1H), 8,45 (м, 1H), 7,81-7,68 (м, 2H), 7,75 (д, J=8,4 Гц, 2H), 7,33 (д, J=8,4 Гц, 2H), 4,41 (с, 2H), 4,15 (д, J=1,8 Гц, 1H), 4,00 (м, 1H), 3,78 (м, 1H), 3,58-3,42 (м, 3H), 3,28-3,16 (м, 2H), 2,64-2,26 (м, 3H), 2,20-1,92 (м, 2H), 1,68 (м, 1H), 1,52-1,28 (м, 3H), 1,00 (д, J=6,6 Гц, 3H), 0,98 (д, J=6,6 Гц, 3H), 0,96 (т, J=7,2 Гц, 3H).
Пример 2(10)
(3R)-1-бутил-2,5-диоксо-3-((1R)-1-гидрокси-2-метилпропил)-9-(4-(4-гидроксипиперидин-1-илметил)фенилметил)-1,4,9-триазаспиро[5.5]ундекан · 2гидрохлорид

ТСХ:Rf 0,69 (хлороформ:метанол:28% водный раствор аммиака=100:10:1);
ЯМР (CD3OD): 7,75 (д, J=8,4 Гц, 2H), 7,67 (д, J=8,4 Гц, 2H), 4,41 (с, 2H), 4,38 (с, 2H), 4,14 (д, J=2,1 Гц, 1H), 4,14-3,94 (м, 2H), 3,78 (м, 1H), 3,58-3,40 (м, 4H), 3,30-3,00 (м, 4H), 2,68-2,36 (м, 3H), 2,20-1,58 (м, 8H), 1,50-1,26 (м, 3H), 0,99 (д, J=6,6 Гц, 3H), 0,98 (д, J=6,6 Гц, 3H), 0,95 (т, J=6,9 Гц, 3H).
Пример 2(11)
(3R)-1-бутил-2,5-диоксо-3-((1R)-1-гидрокси-2-метилпропил)-9-(3,5-диметил-1-циклогексилпиразол-4-илметил)-1,4,9-триазаспиро[5.5]ундекан · 2гидрохлорид 
ТСХ:Rf 0,65 (хлороформ:метанол=5:1);
ЯМР (CD3OD): 4,32 (м, 1H), 4,27 (с, 2H), 4,15 (д, J=2,1 Гц, 1H), 4,00 (м, 1H), 3,76 (м, 1H), 3,60-3,42 (м, 3H), 3,36-3,16 (м, 2H), 2,64-2,42 (м, 3H), 2,49 (с, 3H), 2,44 (с, 3H), 2,18-1,22 (м, 16H), 1,00 (д, J=6,6 Гц, 3H), 0,99 (д, J=6,6 Гц, 3H), 0,95 (т, J=7,5 Гц, 3H).
Пример 2(12)
(3R)-1-бутил-2,5-диоксо-3-((1R)-1-гидрокси-2-метилпропил)-9-(1,3,5-триметилпиразол-4-илметил)-1,4,9-триазаспиро[5.5]ундекан · 2гидрохлорид

ТСХ:Rf 0,50 (хлороформ:метанол=5:1);
ЯМР (CD3OD): 4,27 (с, 2H), 4,15 (д, J=2,1 Гц, 1H), 4,00 (м, 1H), 3,85 (с, 3H), 3,76 (м, 1H), 3,60-3,44 (м, 3H), 3,28-3,16 (м, 2H), 2,64-2,32 (м, 3H), 2,44 (с, 3H), 2,40 (с, 3H), 2,18-1,92 (м, 2H), 1,70 (м, 1H), 1,48-1,26 (м, 3H), 1,00 (д, J=6,6 Гц, 3H) 0,99 (д, J=6,6 Гц, 3H), 0,95 (т, J=7,5 Гц, 3H).
Пример 2(13)
(3R)-1-бутил-2,5-диоксо-3-((1R)-1-гидрокси-2-метилпропил)-9-(4-(4-аминосульфонилфенилокси)фенилметил)-1,4,9-триазаспиро[5.5]ундекан · гидрохлорид

ТСХ:Rf 0,50 (хлороформ:метанол=5:1);
ЯМР (CD3OD): 7,91 (д, J=8,7 Гц, 2H), 7,60 (д, J=8,7 Гц, 2H), 7,19 (д, J=8,7 Гц, 2H), 7,14 (д, J=8,7 Гц, 2H), 4,35 (с, 2H), 4,15 (д, J=2,4 Гц, 1H), 3,98 (м, 1H), 3,72 (м, 1H), 3,58-3,38 (м, 3H), 3,28-3,18 (м, 2H), 2,56-1,92 (м, 5H), 1,70 (м, 1H), 1,54-1,28 (м, 3H), 1,00 (д, J=6,9 Гц, 3H), 0,98 (д, J=6,9 Гц, 3H), 0,96 (т, J=7,5 Гц, 3H).
Пример 2(14)
(3R)-1-бутил-2,5-диоксо-3-((1R)-1-гидрокси-2-метилпропил)-9-(4-(4-метилтиофенилокси)фенилметил)-1,4,9-триазаспиро[5.5]ундекан · гидрохлорид

ТСХ:Rf 0,45 (хлороформ:метанол=10:1);
ЯМР (CD3OD): 7,53 (д, J=9,0 Гц, 2H), 7,32 (д, J=9,0 Гц, 2H), 7,05 (д, J=9,0 Гц, 2H), 6,99 (д, J=9,0 Гц, 2H), 4,33 (с, 2H), 4,14 (д, J=2,1 Гц, 1H), 3,98 (м, 1H), 3,72 (м, 1H), 3,58-3,40 (м, 3H), 3,28-3,10 (м, 2H), 2,52-1,92 (м, 5H), 2,47 (с, 3H), 1,70 (м, 1H), 1,50-1,28 (м, 3H), 1,02-0,86 (м, 9H).
Пример 2(15)
(3R)-1-бутил-2,5-диоксо-3-((1R)-1-гидрокси-2-метилпропил)-9-(4-(4-метилсульфонилфенилокси)фенилметил)-1,4,9-триазаспиро[5.5]ундекан · гидрохлорид

ТСХ:Rf 0,36 (хлороформ:метанол=10:1);
ЯМР (CD3OD): 7,95 (д, J=9,0 Гц, 2H), 7,63 (д, J=8,1 Гц, 2H), 7,24-7,18 (м, 4H), 4,39 (с, 2H), 4,14 (д, J=2,4 Гц, 1H), 4,02 (м, 1H), 3,78 (м, 1H), 3,60-3,46 (м, 3H), 3,28-3,10 (м, 2H), 3,12 (с, 3H), 2,54-1,94 (м, 5H), 1,70 (м, 1H), 1,50-1,30 (м, 3H), 1,02-0,86 (м, 9H).
Пример 2(16)
(3R)-1-бутил-2,5-диоксо-3-((1R)-1-гидрокси-2-метилпропил)-9-(4-(4-цианофенилокси)фенилметил)-1,4,9-триазаспиро[5.5]ундекан · гидрохлорид

ТСХ:Rf 0,36 (хлороформ:метанол=10:1);
ЯМР (CD3OD): 7,73 (д, J=8,7 Гц, 2H), 7,64 (д, J=9,0 Гц, 2H), 7,21 (д, J=9,0 Гц, 2H), 7,14 (д, J=8,7 Гц, 2H), 4,38 (с, 2H), 4,14 (д, J=2,1 Гц, 1H), 4,02 (м, 1H), 3,76 (м, 1H), 3,60-3,40 (м, 3H), 3,28-3,14 (м, 2H), 2,54-2,26 (м, 3H), 2,20-1,90 (м, 2H), 1,66 (м, 1H), 1,50-1,28 (м, 3H), 1,02-0,84 (м, 9H).
Пример 2(17)
(3R)-1-бутил-2,5-диоксо-3-((1R)-1-гидрокси-2-метилпропил)-9-(4-(фенилтио)фенилметил)-1,4,9-триазаспиро[5.5]ундекан · гидрохлорид

ТСХ:Rf 0,36 (хлороформ:метанол=10:1);
ЯМР (CD3OD): 7,50-7,34 (м, 7H), 7,30 (д, J=8,4 Гц, 2H), 4,31 (с, 2H), 4,13 (д, J=2,1 Гц, 1H), 3,98 (м, 1H), 3,72 (м, 1H), 3,56-3,36 (м, 3H), 3,24-3,08 (м, 2H), 2,50-2,18 (м, 3H), 2,18-1,94 (м, 2H), 1,68 (м, 1H), 1,50-1,28 (м, 3H), 1,10-0,88 (м, 9H).
Пример 2(18)
(3R)-1-бутил-2,5-диоксо-3-((1R)-1-гидрокси-2-метилпропил)-9-(3,5-диметил-1-(4-гидроксифенил)пиразол-4-илметил)-1,4,9-триазаспиро[5.5]ундекан · 2 гидрохлорид

TCX:Rf 0,70 (хлороформ:метанол=5:1);
ЯМР (CD3OD): 7,31 (д, J=8,7 Гц, 2H), 6,94 (д, J=8,7 Гц, 2H), 4,32 (с, 2H), 4,15 (д, J=2,1 Гц, 1H), 4,04 (м, 1H), 3,80 (м, 1H), 3,64-3,48 (м, 3H), 3,38-3,18 (м, 2H), 2,70-2,30 (м, 3H), 2,44 (с, 3H), 2,36 (с, 3H), 2,20-1,94 (м, 2H), 1,68 (м, 1H), 1,50-1,26 (м, 3H), 1,02-0,84 (м, 9H).
Пример 2(19)
(3R)-1-бутил-2,5-диоксо-3-((1R)-1-гидрокси-2-метилпропил)-9-(3,5-диметил-1-(4-метилсульфониламинофенил)пиразол-4-илметил)-1,4,9-триазаспиро[5.5]ундекан · 2 гидрохлорид

ТСХ:Rf 0,72 (хлороформ:метанол=10:1);
ЯМР (CD3OD): 7,47 (д, J=9,0 Гц, 2H), 7,41 (д, J=9,0 Гц, 2H), 4,31 (с, 2H), 4,15 (д, J=1,8 Гц, 1H), 4,02 (м, 1H), 3,78 (м, 1H), 3,62-3,48 (м, 3H), 3,38-3,18 (м, 2H), 3,04 (с, 3H), 2,68-2,36 (м, 3H), 2,41 (с, 3H), 2,39 (с, 3H), 2,20-1,96 (м, 2H), 1,68 (м, 1H), 1,50-1,30 (м, 3H), 1,02-0,88 (м, 9H).
Пример 2(20)
(3R)-1-бутил-2,5-диоксо-3-((1R)-1-гидрокси-2-метилпропил)-9-(3,5-диметил-1-(4-(2-(N,N-диметиламино)этиламиносульфонил)фенил)пиразол-4-илметил)-1,4,9-триазаспиро[5.5]ундекан · 3гидрохлорид

ТСХ:Rf 0,12 (хлороформ:метанол=5:1);
ЯМР (CD3OD): 8,07 (д, J=9,0 Гц, 2H), 7,78 (д, J=9,0 Гц, 2H), 4,30 (с, 2H), 4,15 (д, J=2,1 Гц, 1H), 4,02 (м, 1H), 3,76 (м, 1H), 3,62-3,48 (м, 3H), 3,40-3,18 (м, 6H), 2,95 (с, 6H), 2,64 (м, 1H), 2,49 (с, 3H), 2,42-2,36 (м, 2H), 2,41 (с, 3H), 2,18-1,96 (м, 2H), 1,68 (м, 1H), 1,50-1,32 (м, 3H), 1,08-0,90 (м, 9H).
Пример 2(21)
(3R)-1-бутил-2,5-диоксо-3-((1R)-1-гидрокси-2-метилпропил)-9-(3,5-диметил-1-(4-(пирролидин-1-илсульфонил)фенил)пиразол-4-илметил)-1,4,9-триазаспиро[5.5]ундекан · 2гидрохлорид

ТСХ:Rf 0,36 (хлороформ:метанол=10:1);
ЯМР (CD3OD): 8,01 (д, J=8,7 Гц, 2H), 7,77 (д, J=8,7 Гц, 2H), 4,31 (с, 2H), 4,15 (д, J=1,8 Гц, 1H), 4,04 (м, 1H), 3,78 (м, 1H), 3,62-3,48 (м, 3H), 3,40-3,18 (м, 6H), 2,66 (м, 1H), 2,54-2,38 (м, 2H), 2,49 (с, 3H), 2,42 (с, 3H), 2,20-1,94 (м, 2H), 1,82-1,62 (м, 5H), 1,50-1,30 (м, 3H), 1,02-0,88 (м, 9H).
Пример 2(22)
(3R)-1-бутил-2,5-диоксо-3-((1R)-1-гидрокси-2-метилпропил)-9-(4-(6-метилпиридин-1-оксидо-3-илоксифенилметил)-1,4,9-триазаспиро[5.5]ундекан · гидрохлорид

ТСХ:Rf 0,26 (хлороформ:метанол=10:1);
ЯМР (CD3OD): 8,58 (м, 1H), 7,81-7,71 (м, 2H), 7,73 (д, J=8,4 Гц, 2H), 7,30 (д, J=8,4 Гц, 2H), 4,40 (с, 2H), 4,15 (д, J=2,1 Гц, 1H), 4,00 (м, 1H), 3,78 (м, 1H), 3,62-3,40 (м, 3H), 3,30-3,16 (м, 2H), 2,66-2,38 (м, 3H), 2,66 (с, 3H), 2,18-1,94 (м, 2H), 1,70 (м, 1H), 1,50-1,28 (м, 3H), 1,00 (д, J=6,6 Гц, 3H), 0,98 (д, J=6,6 Гц, 3H), 0,96 (т, J=6,9 Гц, 3H).
Пример 2(23)
(3R)-1-бутил-2,5-диоксо-3-((1R)-1-гидрокси-2-метилпропил)-9-(4-(4-гидроксифенилокси)фенилметил)-1,4,9-триазаспиро[5.5]ундекан · гидрохлорид

ТСХ:Rf 0,48 (этилацетат:метанол=10:1);
ЯМР (CD3OD): 7,46 (д, J=8,7 Гц, 2H), 6,97 (д, J=8,7 Гц, 2H), 6,88 (д, J=9,0 Гц, 2H), 6,80 (д, J=9,0 Гц, 2H), 4,30 (с, 2H), 4,13 (д, J=2,0 Гц, 1H), 3,98 (м, 1H), 3,72 (м, 1H), 3,53-3,42 (м, 3H), 3,23-3,11 (м, 2H), 2,50-1,97 (м, 6H), 1,70 (м, 1H), 1,39-1,30 (м, 3H), 0,98 (д, J=6,5 Гц, 3H), 0,96 (д, J=6,5 Гц, 3H), 0,95 (т, J=7,0 Гц, 3H).
Пример 2(24)
(3R)-1-бутил-2,5-диоксо-3-((1R)-1-гидрокси-2-метилпропил)-9-(6-(4-метоксифенилокси)пиридин-3-илметил)-1,4,9-триазаспиро[5.5]ундекан · 2гидрохлорид 
ТСХ:Rf 0,42 (хлороформ:метанол=10:1);
ЯМР (CD3OD): 8,41 (м, 1H), 8,18 (м, 1H), 7,13-6,99 (м, 5H), 4,40 (с, 2H), 4,13 (д, J=2,0 Гц, 1H), 4,00 (м, 1H), 3,82 (с, 3H), 3,75 (м, 1H), 3,53-3,45 (м, 3H), 3,24 (м, 1H), 3,19 (дд, J=9,5, 2,0 Гц, 1H), 2,59-2,39 (м, 3H), 2,15-1,95 (м, 2H), 1,70 (м, 1H), 1,40-1,31 (м, 3H), 0,98 (д, J=6,5 Гц, 3H), 0,97 (д, J=6,5 Гц, 3H), 0,94 (т, J=7,5 Гц, 3H).
Пример 2(25)
(3R)-1-бутил-2,5-диоксо-3-((1R)-1-гидрокси-2-метилпропил)-9-(3,5-диметил-1-(4-(метиламиносульфонил)фенил)пиразол-4-илметил)-1,4,9-триазаспиро[5.5]ундекан · 2гидрохлорид

ТСХ:Rf 0,29 (этилацетат:метанол=4:1);
ЯМР (CD3OD): 8,00 (д, J=9,0 Гц, 2H), 7,73 (д, J=9,0 Гц, 2H), 4,32 (с, 2H), 4,16 (д, J=2,0 Гц, 1H), 4,05 (м, 1H), 3,79 (м, 1H), 3,64-3,50 (м, 3H), 3,29-3,19 (м, 2H), 2,59-2,35 (м, 3H), 2,58 (с, 3H), 2,47 (с, 3H), 2,40 (с, 3H), 2,15 (м, 1H), 2,02 (м, 1H), 1,72 (м, 1H), 1,41-1,35 (м, 3H), 0,99 (д, J=6,5 Гц, 3H), 0,98 (д, J=6,5 Гц, 3H), 0,96 (т, J=7,5 Гц, 3H).
Пример 2(26)
(3R)-1-бутил-2,5-диоксо-3-((1R)-1-гидрокси-2-метилпропил)-9-(3,5-диметил-1-(4-(N-метил-N-(2-гидроксиэтил)аминосульфонил)фенил)пиразол-4-илметил)-1,4,9-триазаспиро[5.5]ундекан · 2гидрохлорид

ТСХ:Rf 0,21 (этилацетат:метанол=4:1);
ЯМР (CD3OD): 7,98 (д, J=8,5 Гц, 2H), 7,75 (д, J=8,5 Гц, 2H), 4,31 (с, 2H), 4,15 (д, J=2,0 Гц, 1H), 4,04 (м, 1H), 3,79 (м, 1H), 3,69 (т, J=6,0 Гц, 2H), 3,61-3,51 (м, 3H), 3,23-3,17 (м, 4H), 2,87 (с, 3H), 2,58-2,44 (м, 3H), 2,48 (с, 3H), 2,40 (с, 3H), 2,15 (м, 1H), 2,02 (м, 1H), 1,71 (м, 1H), 1,41-1,35 (м, 3H), 0,99 (д, J=6,5 Гц, 3H), 0,98 (д, J=6,5 Гц, 3H), 0,95 (т, J=7,0 Гц, 3H).
Пример 2(27)
(3R)-1-бутил-2,5-диоксо-3-((1R)-1-гидрокси-2-метилпропил)-9-(3,5-диметил-1-(4-(2-гидроксиэтиламиносульфонил)фенил)пиразол-4-илметил)-1,4,9-триазаспиро[5.5]ундекан · 2гидрохлорид 
ТСХ:Rf 0,20 (этилацетат:метанол=4:1);
ЯМР (CD3OD): 8,03 (д, J=8,7 Гц, 2H), 7,72 (д, J=8,7 Гц, 2H), 4,31 (с, 2H), 4,15 (д, J=2,0 Гц, 1H), 4,04 (м, 1H), 3,79 (м, 1H), 3,63-3,51 (м, 3H), 3,56 (т, J=6,0 Гц, 2H), 3,34-3,29 (м, 1H), 3,20 (дд, J=9,5, 2,0 Гц, 1H), 3,01 (т, J=6,0 Гц, 2H), 2,59-2,43 (м, 3H), 2,47 (с, 3H), 2,40 (с, 3H), 2,15 (м, 1H), 2,02 (м, 1H), 1,71 (м, 1H), 1,41-1,35 (м, 3H), 0,99 (д, J=6,5 Гц, 3H), 0,98 (д, J=6,5 Гц, 3H), 0,95 (т, J=7,2 Гц, 3H).
Пример 2(28)
(3R)-1-бутил-2,5-диоксо-3-((1R)-1-гидрокси-2-метилпропил)-9-(3,5-диметил-1-(4-(N,N-диметиламинокарбонил)фенил)пиразол-4-илметил)-1,4,9-триазаспиро[5.5]ундекан · 2гидрохлорид

ТСХ:Rf 0,35 (этилацетат:метанол=2:1);
ЯМР (CD3OD): 7,62 (д, J=9,0 Гц, 2H), 7,58 (д, J=9,0 Гц, 2H), 4,32 (с, 2H), 4,16 (д, J=2,0 Гц, 1H), 4,05 (м, 1H), 3,79 (м, 1H), 3,61-3,49 (м, 3H), 3,34-3,29 (м, 1H), 3,20 (дд, J=9,5, 2,0 Гц, 1H), 3,13 (с, 3H), 3,04 (с, 3H), 2,55-2,34 (м, 3H), 2,42 (с, 3H), 2,39 (с, 3H), 2,18 (м, 1H), 2,02 (м, 1H), 1,73 (м, 1H), 1,41-1,34 (м, 3H), 0,99 (д, J=6,5 Гц, 3H), 0,98 (д, J=6,5 Гц, 3H), 0,96 (т, J=7,0 Гц, 3H).
Пример 2(29)
(3R)-1-бутил-2,5-диоксо-3-((1R)-1-гидрокси-2-метилпропил)-9-(3,5-диметил-1-(4-(2-(морфолин-4-ил)этиламиносульфонил)фенил)пиразол-4-илметил)-1,4,9-триазаспиро[5.5]ундекан · 3гидрохлорид

ТСХ:Rf 0,33 (этилацетат:метанол=2:1);
ЯМР (CD3OD): 8,06 (д, J=8,7 Гц, 2H), 7,77 (д, J=8,7 Гц, 2H), 4,31 (с, 2H), 4,15 (д, J=2,0 Гц, 1H), 4,10-4,01 (м, 3H), 3,88-3,76 (м, 3H), 3,61-3,53 (м, 5H), 3,37-3,19 (м, 8H), 2,59-2,37 (м, 3H), 2,48 (с, 3H), 2,40 (с, 3H), 2,15 (м, 1H), 2,02 (м, 1H), 1,71 (м, 1H), 1,40-1,35 (м, 3H), 0,99 (д, J=6,5 Гц, 3H), 0,98 (д, J=6,5 Гц, 3H), 0,95 (т, J=7,0 Гц, 3H).
Пример 2(30)
(3R)-1-бутил-2,5-диоксо-3-((1R)-1-гидрокси-2-метилпропил)-9-(3,5-диметил-1-(4-(пирролидин-1-илкарбонил)фенил)пиразол-4-илметил)-1,4,9-триазаспиро[5.5]ундекан · 2гидрохлорид

ТСХ:Rf 0,41 (хлороформ:метанол=10:1);
ЯМР (CD3OD): 7,72 (д, J=8,7 Гц, 2H), 7,59 (д, J=8,7 Гц, 2H), 4,31 (с, 2H), 4,15 (д, J=2,1 Гц, 1H), 4,05 (м, 1H), 3,79 (м, 1H), 3,66-3,46 (м, 7H), 3,25 (м, 1H), 3,21 (дд, J=9,6, 2,1 Гц, 1H), 2,65-2,35 (м, 3H), 2,43 (с, 3H), 2,40 (с, 3H), 2,16 (м, 1H), 2,09-1,87 (м, 5H), 1,70 (м, 1H), 1,53-1,30 (м, 3H), 1,00 (д, J=6,6 Гц, 3H), 0,98 (д, J=6,6 Гц, 3H), 0,95 (т, J=7,2 Гц, 3H).
Пример 2(31)
(3R)-1-бутил-2,5-диоксо-3-((1R)-1-гидрокси-2-метилпропил)-9-(4-(4-метилсульфинилфенилокси)фенилметил)-1,4,9-триазаспиро[5.5]ундекан · гидрохлорид

ТСХ:Rf 0,39 (хлороформ:метанол=10:1);ЯМР (CD3OD): 7,74 (д, J=8,7 Гц, 2H), 7,60 (д, J=8,7 Гц, 2H), 7,22 (д, J=8,7 Гц, 2H), 7,17 (д, J=8,7 Гц, 2H), 4,37 (с, 2H), 4,14 (д, J=2,4 Гц, 1H), 4,02 (м, 1H), 3,76 (м, 1H), 3,58-3,42 (м, 3H), 3,25-3,14 (м, 2H), 2,80 (с, 3H), 2,55-2,38 (м, 2H), 2,29 (м, 1H), 2,15 (м, 1H), 2,01 (м, 1H), 1,70 (м, 1H), 1,50-1,27 (м, 3H), 1,04-0,90 (м, 9H).
Пример 2(32)
(3R)-1-бутил-2,5-диоксо-3-((1R)-1-гидрокси-2-метилпропил)-9-(3,5-диметил-1-(4-(N,N-диметиламиносульфонил)фенил)пиразол-4-илметил)-1,4,9-триазаспиро[5.5]ундекан · 2гидрохлорид

ТСХ:Rf 0,31 (хлороформ:метанол=10:1);
ЯМР (CD3OD): 7,96 (д, J=8,7 Гц, 2H), 7,77 (д, J=8,7 Гц, 2H), 4,32 (с, 2H), 4,15 (д, J=2,4 Гц, 1H), 4,06 (м, 1H), 3,79 (м, 1H), 3,64-3,46 (м, 3H), 3,29-3,14 (м, 2H), 2,73 (с, 6H), 2,59-2,44 (м, 2H), 2,47 (с, 3H), 2,39 (с, 3H), 2,35 (м, 1H), 2,17 (м, 1H), 2,02 (м, 1H), 1,71 (м, 1H), 1,51-1,26 (м, 3H), 1,05-0,89 (м, 9H).
Пример 2(33)
(3R)-1-бутил-2,5-диоксо-3-((1R)-1-гидрокси-2-метилпропил)-9-(3,5-диметил-1-(4-(морфолин-4-илсульфонил)фенил)пиразол-4-илметил)-1,4,9-триазаспиро[5.5]ундекан · 2гидрохлорид

ТСХ:Rf 0,25 (хлороформ:метанол=10:1);
ЯМР (CD3OD): 7,95 (д, J=8,7 Гц, 2H), 7,78 (д, J=8,7 Гц, 2H), 4,32 (с, 2H), 4,15 (д, J=2,1 Гц, 1H), 4,06 (м, 1H), 3,80 (м, 1H), 3,74-3,68 (м, 4H), 3,64-3,48 (м, 3H), 3,28-3,14 (м, 2H), 3,05-2,98 (м, 4H), 2,59-2,44 (м, 2H), 2,47 (с, 3H), 2,39 (с, 3H), 2,35 (м, 1H), 2,17 (м, 1H), 2,02 (м, 1H), 1,71 (м, 1H), 1,52-1,30 (м, 3H), 1,05-0,90 (м, 9H).
Пример 2(34)
(3R)-1-бутил-2,5-диоксо-3-((1R)-1-гидрокси-2-метилпропил)-9-(4-(4-аминокарбонилфенилокси)фенилметил)-1,4,9-триазаспиро[5.5]ундекан · гидрохлорид

ТСХ:Rf 0,22 (хлороформ:метанол=10:1);
ЯМР (CD3OD): 7,92 (д, J=8,7 Гц, 2H), 7,62 (д, J=8,7 Гц, 2H), 7,16 (д, J=8,7 Гц, 2H), 7,09 (д, J=8,7 Гц, 2H), 4,37 (с, 2H), 4,15 (д, J=2,1 Гц, 1H), 4,00 (м, 1H), 3,78 (м, 1H), 3,60-3,38 (м, 3H), 3,28-3,10 (м, 2H), 2,60-2,26 (м, 3H), 2,20-1,88 (м, 2H), 1,68 (м, 1H), 1,54-1,22 (м, 3H), 1,00 (д, J=6,6 Гц, 3H), 0,98 (д, J=6,6 Гц, 3H), 0,96 (т, J=7,5 Гц, 3H).
Пример 2(35)
(3R)-1-бутил-2,5-диоксо-3-((1R)-1-гидрокси-2-метилпропил)-9-(4-(4-метиламинокарбонилфенилокси)фенилметил)-1,4,9-триазаспиро[5.5]ундекан · гидрохлорид

ТСХ:Rf 0,24 (хлороформ:метанол=10:1);
ЯМР (CD3OD): 7,85 (д, J=8,7 Гц, 2H), 7,62 (д, J=8,7 Гц, 2H), 7,15 (д, J=8,7 Гц, 2H), 7,08 (д, J=8,7 Гц, 2H), 4,37 (с, 2H), 4,15 (д, J=2,1 Гц, 1H), 4,00 (м, 1H), 3,76 (м, 1H), 3,56-3,42 (м, 3H), 3,26-3,18 (м, 2H), 2,92 (с, 3H), 2,60-2,28 (м, 3H), 2,18-1,94 (м, 2H), 1,70 (м, 1H), 1,50-1,30 (м, 3H), 1,00 (д, J=6,6 Гц, 3H), 0,98 (д, J=6,6 Гц, 3H), 0,96 (т, J=7,5 Гц, 3H).
Пример 2(36)
(3R)-1-бутил-2,5-диоксо-3-((1R)-1-гидрокси-2-метилпропил)-9-(3,5-диметил-1-(4-метилфенил)пиразол-4-илметил)-1,4,9-триазаспиро[5.5]ундекан · 2гидрохлорид 
ТСХ:Rf 0,46 (хлороформ:метанол=10:1);
ЯМР (CD3OD): 7,41 (с, 4H), 4,34 (с, 2H), 4,15 (д, J=2,1 Гц, 1H), 4,04 (м, 1H), 3,79 (м, 1H), 3,65-3,50 (м, 3H), 3,34 (м, 1H), 3,21 (дд, J=9,6, 2,1 Гц, 1H), 2,66 (м, 1H), 2,55-2,42 (м, 2H), 2,47 (с, 3H), 2,45 (с, 3H), 2,40 (с, 3H), 2,14 (м, 1H), 2,01 (м, 1H), 1,69 (м, 1H), 1,52-1,30 (м, 3H), 1,00 (д, J=6,6 Гц, 3H), 0,98 (д, J=6,6 Гц, 3H), 0,95 (т, J=7,2 Гц, 3H).
Пример 2(37)
(3R)-1-бутил-2,5-диоксо-3-((1R)-1-гидрокси-2-метилпропил)-9-(3,5-диметил-1-(4-(N,N-диэтиламиносульфонил)фенил)пиразол-4-илметил)-1,4,9-триазаспиро[5.5]ундекан · 2гидрохлорид

ТСХ:Rf 0,35 (хлороформ:метанол=9:1);
ЯМР (CD3OD): 7,99 (д, J=8,7 Гц, 2H), 7,72 (д, J=8,7 Гц, 2H), 4,32 (с, 2H), 4,16 (д, J=2,1 Гц, 1H), 4,06 (м, 1H), 3,80 (м, 1H), 3,63-3,48 (м, 3H), 3,32-3,17 (м, 2H), 3,29 (кв, J=7,2 Гц, 4H), 2,54-2,13 (м, 4H), 2,45 (с, 3H), 2,39 (с, 3H), 2,02 (м, 1H), 1,72 (м, 1H), 1,52-1,33 (м, 3H), 1,15 (т, J=7,2 Гц, 6H), 1,00 (д, J=6,6 Гц, 3H), 0,98 (д, J=6,6 Гц, 3H), 0,96 (т, J=6,9 Гц, 3H).
Пример 2(38)
(3R)-1-бутил-2,5-диоксо-3-((1R)-1-гидрокси-2-метилпропил)-9-(3,5-диметил-1-(4-(4-метилпиперазин-1-илсульфонил)фенил)пиразол-4-илметил)-1,4,9-триазаспиро[5.5]ундекан · 3гидрохлорид

ТСХ:Rf 0,22 (хлороформ:метанол=10:1);
ЯМР (CD3OD): 8,01 (д, J=8,7 Гц, 2H), 7,82 (д, J=8,7 Гц, 2H), 4,31 (с, 2H), 4,15 (д, J=1,8 Гц, 1H), 4,11-3,94 (м, 3H), 3,80 (м, 1H), 3,65-3,48 (м, 5H), 3,34-3,18 (м, 4H), 2,91 (с, 3H), 2,86-2,70 (м, 2H), 2,68-2,36 (м, 3H), 2,49 (с, 3H), 2,40 (с, 3H), 2,15 (м, 1H), 2,02 (м, 1H), 1,70 (м, 1H), 1,50-1,27 (м, 3H), 1,05-0,90 (м, 9H).
Пример 2(39)
(3R)-1-бутил-2,5-диоксо-3-((1R)-1-гидрокси-2-метилпропил)-9-(5-хлор-3-метил-1-фенилпиразол-4-илметил)-1,4,9-триазаспиро[5.5]ундекан · 2гидрохлорид

ТСХ:Rf 0,53(хлороформ:метанол=10:1);
ЯМР (CD3OD): 7,63-7,48 (м, 5H), 4,33 (с, 2H), 4,14 (д, J=1,8 Гц, 1H), 4,10 (м, 1H), 3,83 (м, 1H), 3,66-3,45 (м, 3H), 3,29-3,16 (м, 2H), 2,62-2,32 (м, 3H), 2,44 (с, 3H), 2,17 (м, 1H), 2,01 (м, 1H), 1,71 (м, 1H), 1,52-1,11 (м, 3H), 1,05-0,88 (м, 9H).
Пример 2(40)
(3R)-1-бутил-2,5-диоксо-3-((1R)-1-гидрокси-2-метилпропил)-9-(3,5-диметил-1-(4-(морфолин-4-илкарбонил)фенил)пиразол-4-илметил)-1,4,9-триазаспиро[5.5]ундекан · 2гидрохлорид

ТСХ:Rf 0,39 (хлороформ:метанол=10:1);
ЯМР (CD3OD): 7,66-7,57 (м, 4H), 4,31 (с, 2H), 4,15 (д, J=2,1 Гц, 1H), 4,05 (м, 1H), 3,88-3,39 (м, 12H), 3,25 (м, 1H), 3,20 (дд, J=9,6, 2,1 Гц, 1H), 2,65-2,27 (м, 3H), 2,43 (с, 3H), 2,40 (с, 3H), 2,17 (м, 1H), 2,02 (м, 1H), 1,71 (м, 1H), 1,54-1,27 (м, 3H), 1,00 (д, J=6,6 Гц, 3H), 0,98 (д, J=6,6 Гц, 3H), 0,96 (т, J=7,2 Гц, 3H).
Пример 2(41)
(3R)-1-бутил-2,5-диоксо-3-((1R)-1-гидрокси-2-метилпропил)-9-(3,5-диметил-1-(4-(2-гидроксиэтиламинокарбонил)фенил)пиразол-4-илметил)-1,4,9-триазаспиро[5.5]ундекан · 2гидрохлорид

ТСХ:Rf 0,42 (хлороформ:метанол=5:1);
ЯМР (CD3OD): 8,03 (д, J=8,7 Гц, 2H), 7,61 (д, J=8,7 Гц, 2H), 4,32 (с, 2H), 4,16 (д, J=1,8 Гц, 1H), 4,04 (м, 1H), 3,80 (м, 1H), 3,74 (т, J=5,7 Гц, 2H), 3,64-3,48 (м, 3H), 3,54 (т, J=5,7 Гц, 2H), 3,30-3,16 (м, 2H), 2,64-2,34 (м, 3H), 2,45 (с, 3H), 2,41 (с, 3H), 2,22-1,92 (м, 2H), 1,72 (м, 1H), 1,52-1,26 (м, 3H), 1,01 (д, J=6,6 Гц, 3H), 0,99 (д, J=6,6 Гц, 3H), 0,96 (т, J=7,2 Гц, 3H).
Пример 2(42)
(3R)-1-бутил-2,5-диоксо-3-((1R)-1-гидрокси-2-метилпропил)-9-(4-(4-(2-(N,N-диметиламино)этиламинокарбонил)фенилокси)фенилметил)-1,4,9-триазаспиро[5.5]ундекан · 2гидрохлорид

ТСХ:Rf 0,19 (хлороформ:метанол=5:1);
ЯМР (CD3OD): 7,93 (д, J=9,0 Гц, 2H), 7,61 (д, J=8,4 Гц, 2H), 7,18-7,08 (м, 4H), 4,36 (с, 2H), 4,14 (д, J=1,8 Гц, 1H), 4,00 (м, 1H), 3,80-3,70 (м, 3H), 3,54-3,42 (м, 3H), 3,38 (т, J=6,3 Гц, 2H), 3,26-3,18 (м, 2H), 2,98 (с, 6H), 2,60-2,30 (м, 3H), 2,18-1,96 (м, 2H), 1,68 (м, 1H), 1,50-1,30 (м, 3H), 1,00-0,90 (м, 9H).
Пример 2(43)
(3R)-1-бутил-2,5-диоксо-3-((1R)-1-гидрокси-2-метилпропил)-9-(4-(пиридин-3-илокси)фенилметил)-1,4,9-триазаспиро[5.5]ундекан · 2гидрохлорид

ТСХ:Rf 0,31 (хлороформ:метанол=10:1);
ЯМР (CD3OD): 8,74 (м, 1H), 8,62 (д, J=5,4 Гц, 1H), 8,24 (м, 1H), 8,14 (м, 1H), 7,76 (д, J=8,4 Гц, 2H), 7,34 (д, J=8,4 Гц, 2H), 4,40 (с, 2H), 4,14 (д, J=2,1 Гц, 1H), 4,00 (м, 1H), 3,76 (м, 1H), 3,60-3,44 (м, 3H), 3,30-3,16 (м, 2H), 2,60 (м, 1H), 2,50-2,40 (м, 2H), 2,26-1,86 (м, 2H), 1,66 (м, 1H), 1,50-1,30 (м, 3H), 1,02-0,88 (м, 9H).
Пример 2(44)
(3R)-1-бутил-2,5-диоксо-3-((1R)-1-гидрокси-2-метилпропил)-9-(4-(4-карбоксифенилокси)фенилметил)-1,4,9-триазаспиро[5.5]ундекан · гидрохлорид

ТСХ:Rf 0,42 (хлороформ:метанол=5:1);
ЯМР (CD3OD): 8,04 (д, J=8,7 Гц, 2H), 7,59 (д, J=8,4 Гц, 2H), 7,18 (д, J=8,4 Гц, 2H), 7,07 (д, J=8,7 Гц, 2H), 4,37 (с, 2H), 4,15 (д, J=2,4 Гц, 1H), 4,02 (м, 1H), 3,76 (м, 1H), 3,60-3,44 (м, 3H), 3,24-3,08 (м, 2H), 2,56-1,92 (м, 5H), 1,70 (м, 1H), 1,50-1,26 (м, 3H), 1,08-0,90 (м, 9H).
Пример 2(45)
(3R)-1-бутил-2,5-диоксо-3-((1R)-1-гидрокси-2-метилпропил)-9-(4-(4-метилфенилокси)фенилметил)-1,4,9-триазаспиро[5.5]ундекан · гидрохлорид

ТСХ:Rf 0,36 (хлороформ:метанол=10:1);
ЯМР (CD3OD): 7,49 (д, J=9,0 Гц, 2H), 7,20 (д, J=9,0 Гц, 2H), 7,02 (д, J=9,0 Гц, 2H), 6,92 (д, J=9,0 Гц, 2H), 4,32 (с, 2H), 4,14 (д, J=2,1 Гц, 1H), 3,98 (м, 1H), 3,72 (м, 1H), 3,58-3,36 (м, 3H), 3,26-3,08 (м, 2H), 2,52-1,82 (м, 5H), 2,33 (с, 3H), 1,68 (м, 1H), 1,50-1,28 (м, 3H), 1,02-0,86 (м, 9H).
Пример 2(46)
(3R)-1-бутил-2,5-диоксо-3-((1R)-1-гидрокси-2-метилпропил)-9-(3,5-диметил-1-(2,4-дифторфенил)пиразол-4-илметил)-1,4,9-триазаспиро[5.5]ундекан · 2гидрохлорид

ТСХ:Rf 0,63(хлороформ:метанол=5:1);
ЯМР (CD3OD): 7,56 (м, 1H), 7,33-7,16 (м, 2H), 4,32 (с, 2H), 4,16 (д, J=2,1 Гц, 1H), 4,06 (м, 1H), 3,80 (м, 1H), 3,62-3,44 (м, 3H), 3,28-3,16 (м, 2H), 2,62-1,84 (м, 5H), 2,39 (с, 3H), 2,28 (с, 3H), 1,72 (м, 1H), 1,54-1,28 (м, 3H), 1,01 (д, J=6,6 Гц, 3H), 0,99 (д, J=6,6 Гц, 3H), 0,97 (т, J=7,2 Гц, 3H).
Пример 2(47)
(3R)-1-бутил-2,5-диоксо-3-((1R)-1-гидрокси-2-метилпропил)-9-(3,5-диметил-1-(пиридин-2-ил)пиразол-4-илметил)-1,4,9-триазаспиро[5.5]ундекан · 2гидрохлорид

ТСХ:Rf 0,28 (хлороформ:метанол=10:1);
ЯМР (CD3OD): 8,52 (м, 1H), 8,01 (м, 1H), 7,81 (м, 1H), 7,41 (м, 1H), 4,33 (с, 2H), 4,16 (д, J=1,8 Гц, 1H), 4,06 (м, 1H), 3,80 (м, 1H), 3,64-3,46 (м, 3H), 3,26-3,12 (м, 2H), 2,68 (с, 3H), 2,58-2,24 (м, 3H), 2,41 (с, 3H), 2,18 (м, 1H), 2,04 (м, 1H), 1,70 (м, 1H), 1,54-1,26 (м, 3H), 1,00 (д, J=6,6 Гц, 3H), 0,99 (д, J=6,6 Гц, 3H), 0,96 (т, J=7,5 Гц, 3H).
Пример 2(48)
(3R)-1-бутил-2,5-диоксо-3-((1R)-1-гидрокси-2-метилпропил)-9-(3,5-диметил-1-(4-метиламинокарбонилфенил)пиразол-4-илметил)-1,4,9-триазаспиро[5.5]ундекан · 2гидрохлорид

ТСХ:Rf 0,18 (хлороформ:метанол=10:1);
ЯМР (CD3OD): 7,99 (д, J=8,7 Гц, 2H), 7,61 (д, J=8,7 Гц, 2H), 4,31 (с, 2H), 4,15 (д, J=2,1 Гц, 1H), 4,04 (м, 1H), 3,79 (м, 1H), 3,64-3,49 (м, 3H), 3,30-3,17 (м, 2H), 2,94 (с, 3H), 2,59 (м, 1H), 2,51-2,36 (м, 2H), 2,44 (с, 3H), 2,41 (с, 3H), 2,15 (м, 1H), 2,02 (м, 1H), 1,70 (м, 1H), 1,52-1,27 (м, 3H), 1,05-0,91 (м, 9H).
Пример 2(49)
(3R)-1-бутил-2,5-диоксо-3-((1R)-1-гидрокси-2-метилпропил)-9-(4-циклогексилоксифенилметил)-1,4,9-триазаспиро[5.5]ундекан · гидрохлорид

ТСХ:Rf 0,44 (хлороформ:метанол=10:1);
ЯМР (CD3OD): 7,44 (д, J=8,7 Гц, 2H), 7,01 (д, J=8,7 Гц, 2H), 4,38 (м, 1H), 4,27 (с, 2H), 4,14 (д, J=2,1 Гц, 1H), 3,96 (м, 1H), 3,70 (м, 1H), 3,58-3,36 (м, 3H), 3,26-3,08 (м, 2H), 2,54-1,26 (м, 19H), 0,99 (д, J=6,6 Гц, 3H), 0,98 (д, J=6,6 Гц, 3H), 0,96 (т, J=7,5 Гц, 3H).
Пример 2(50)
(3R)-1-бутил-2,5-диоксо-3-((1R)-1-гидрокси-2-метилпропил)-9-(4-(3,4,5,6-тетрагидропиран-4-илокси)фенилметил)-1,4,9-триазаспиро[5.5]ундекан · гидрохлорид

ТСХ:Rf 0,33(хлороформ:метанол=10:1);
ЯМР (CD3OD): 7,47 (д, J=8,7 Гц, 2H), 7,07 (д, J=8,7 Гц, 2H), 4,64 (м, 1H), 4,29 (с, 2H), 4,14 (д, J=2,4 Гц, 1H), 4,04-3,86 (м, 3H), 3,80-3,36 (м, 6H), 3,26-3,08 (м, 2H), 2,52-1,90 (м, 7H), 1,80-1,58 (м, 3H), 1,50-1,26 (м, 3H), 0,99 (д, J=6,6 Гц, 3H), 0,98 (д, J=6,6 Гц, 3H), 0,96 (т, J=7,5 Гц, 3H).
Пример 2(51)
(3R)-1-бутил-2,5-диоксо-3-((1R)-1-гидрокси-2-метилпропил)-9-(4-(4-метоксифенилметиламинокарбонил)фенилметил)-1,4,9-триазаспиро[5.5]ундекан · гидрохлорид

ТСХ:Rf 0,37 (хлороформ:метанол=10:1);
ЯМР (CD3OD): 7,96 (д, J=8,4 Гц, 2H), 7,67 (д, J=8,4 Гц, 2H), 7,28 (д, J=8,4 Гц, 2H), 6,88 (д, J=8,4 Гц, 2H), 4,52 (с, 2H), 4,43 (с, 2H), 4,14 (д, J=2,1 Гц, 1H), 4,04 (м, 1H), 3,77 (с, 3H), 3,77 (м, 1H), 3,58-3,40 (м, 3H), 3,26-3,10 (м, 2H), 2,54-2,22 (м, 3H), 2,20-1,90 (м, 2H), 1,66 (м, 1H), 1,50-1,26 (м, 3H), 0,99 (д, J=6,6 Гц, 3H), 0,98 (д, J=6,6 Гц, 3H), 0,95 (т, J=7,5 Гц, 3H).
Пример 2(52)
(3R)-1-бутил-2,5-диоксо-3-((1R)-1-гидрокси-2-метилпропил)-9-(4-(циклогексиламинокарбонил)фенилметил)-1,4,9-триазаспиро[5.5]ундекан · гидрохлорид

ТСХ:Rf 0,44 (этилацетат:метанол=4:1);
ЯМР (CD3OD): 7,91 (д, J=8,3 Гц, 2H), 7,66 (д, J=8,3 Гц, 2H), 4,42 (с, 2H), 4,13 (д, J=2,0 Гц, 1H), 4,03 (м 1H), 3,90-3,72 (м, 2H), 3,56-3,43 (м, 3H), 3,25 (м, 1H), 3,18 (дд, J=9,6, 2,0 Гц, 1H), 2,53-2,4 0 (м, 2H), 2,30 (м, 1H), 2,14 (м, 1H), 2,06-1,67 (м, 8H), 1,50-1,33 (м, 7H), 0,98 (д, J=6,6 Гц, 3H), 0,96 (д, J=6,6 Гц, 3H), 0,94 (т, J=7,5 Гц, 3H).
Пример 2(53)
(3R)-1-бутил-2,5-диоксо-3-((1R)-1-гидрокси-2-метилпропил)-9-(4-(4-(пирролидин-1-илкарбонил)фенилокси)фенилметил)-1,4,9-триазаспиро[5.5]ундекан · гидрохлорид

ТСХ:Rf 0,34 (этилацетат:метанол=4:1);
ЯМР (CD3OD): 7,61-7,57 (м, 4H), 7,14 (д, J=8,7 Гц, 2H), 7,09 (д, J=8,7 Гц, 2H), 4,36 (с, 2H), 4,14 (д, J=2,0 Гц, 1H), 4,00 (м, 1H), 3,74 (м, 1H), 3,62-3,45 (м, 7H), 3,24 (м, 1H), 3,19 (дд, J=9,6, 2,0 Гц, 1H), 2,56-2,29 (м, 3H), 2,15-1,89 (м, 6H), 1,70 (м, 1H), 1,40-1,33 (м, 3H), 0,98 (д, J=6,6 Гц, 3H), 0,97 (д, J=6,6 Гц, 3H), 0,95 (т, J=7,2 Гц, 3H).
Пример 2(54)
(3R)-1-бутил-2,5-диоксо-3-((1R)-1-гидрокси-2-метилпропил)-9-(3,5-диметил-1-(4-фторфенил)пиразол-4-илметил)-1,4,9-триазаспиро[5.5]ундекан · 2гидрохлорид

ТСХ:Rf 0,37 (этилацетат:метанол=4:1);
ЯМР (CD3OD): 7,56-7,51 (м, 2H), 7,35-7,28 (м, 2H), 4,31 (с, 2H), 4,15 (д, J=2,0 Гц, 1H), 4,03 (м, 1H), 3,78 (м, 1H), 3,61-3,49 (м, 3H), 3,34 (м, 1H), 3,20 (дд, J=9,6, 2,0 Гц, 1H), 2,68-2,42 (м, 6H), 2,38 (с, 3H), 2,17 (м, 1H), 2,02 (м, 1H), 1,70 (м, 1H), 1,50-1,35 (м, 3H), 0,99 (д, J=6,6 Гц, 3H), 0,98 (д, J=6,6 Гц, 3H), 0,95 (т, J=7,2 Гц, 3H).
Пример 2(55)
(3R)-1-бутил-2,5-диоксо-3-((1R)-1-гидрокси-2-метилпропил)-9-(3,5-диметил-1-(4-(2-фенилэтил)фенил)пиразол-4-илметил)-1,4,9-триазаспиро[5.5]ундекан · 2гидрохлорид

ТСХ:Rf 0,13 (хлороформ:метанол=10:1);
ЯМР (CD3OD): 7,32-7,20 (м, 3H), 7,11-7,08 (м, 2H), 4,45 (т, J=6,6 Гц, 2H), 4,20 (с, 2H), 4,16 (д, J=1,8 Гц, 1H), 3,90 (м, 1H), 3,70-3,48 (м, 3H), 3,42-3,30 (м, 2H), 3,21 (м, 1H), 3,14 (т, J=6,6 Гц, 2H), 2,76-2,38 (м, 3H), 2,50 (с, 3H), 2,20-1,88 (м, 2H), 1,97 (с, 3H), 1,74 (м, 1H), 1,56-1,34 (м, 3H), 1,01 (д, J=6,6 Гц, 3H), 1,00 (д, J=6,6 Гц, 3H), 0,97 (т, J=6,9 Гц, 3H).
Пример 2(56)
(3R)-1-бутил-2,5-диоксо-3-((1R)-1-гидрокси-2-метилпропил)-9-(3,5-диметил-1-(1-бензилоксикарбонилпиперидин-4-ил)пиразол-4-илметил)-1,4,9-триазаспиро[5.5]ундекан · 2гидрохлорид

ТСХ:Rf 0,13(хлороформ:метанол=10:1);
ЯМР (CD3OD): 7,44-7,24 (м, 5H), 5,16 (с, 2H), 4,54 (м, 1H), 4,40-4,20 (м, 2H), 4,25 (с, 2H), 4,15 (д, J=2,1 Гц, 1H), 4,00 (м, 1H), 3,82-3,42 (м, 5H), 3,30-2,88 (м, 3H), 2,64-2,30 (м, 3H), 2,47 (с, 3H), 2,37 (с, 3H), 2,20-1,84 (м, 6H), 1,70 (м, 1H), 1,52-1,26 (м, 3H), 1,00 (д, J=6,6 Гц, 3H), 0,98 (д, J=6,6 Гц, 3H), 0,95 (т, J=7,5 Гц, 3H).
Пример 2(57)
(3R)-1-бутил-2,5-диоксо-3-((1R)-1-гидрокси-2-метилпропил)-9-(4-(4-(2-гидроксиэтиламинокарбонил)фенилокси)фенилметил)-1,4,9-триазаспиро[5.5]ундекан · гидрохлорид

ТСХ:Rf 0,47 (хлороформ:метанол=5:1);
ЯМР (CD3OD): 7,89 (д, J=9,0 Гц, 2H), 7,61 (д, J=9,0 Гц, 2H), 7,16 (д, J=9,0 Гц, 2H), 7,09 (д, J=9,0 Гц, 2H), 4,37 (с, 2H), 4,16 (д, J=2,1 Гц, 1H), 4,00 (м, 1H), 3,78 (м, 1H), 3,71 (т, J=5,7 Гц, 2H), 3,60-3,40 (м, 3H), 3,51 (т, J=5,7 Гц, 2H), 3,30-3,12 (м, 2H), 2,60-2,24 (м, 3H), 2,22-1,92 (м, 2H), 1,70 (м, 1H), 1,56-1,24 (м, 3H), 1,00 (д, J=6,6 Гц, 3H), 0,98 (д, J=6,6 Гц, 3H), 0,96 (т, J=7,5 Гц, 3H).
Пример 2(58)
(3R)-1-бутил-2,5-диоксо-3-((1R)-1-гидрокси-2-метилпропил)-9-(3,5-диметил-1-(1-метилсульфонилпиперидин-4-ил)пиразол-4-илметил)-1,4,9-триазаспиро[5.5]ундекан · 2гидрохлорид

ТСХ:Rf 0,41 (хлороформ:метанол=5:1);
ЯМР (CD3OD): 4,44 (м, 1H), 4,25 (с, 2H), 4,15 (д, J=2,1 Гц, 1H), 4,06-3,64 (м, 4H), 3,60-3,44 (м, 3H), 3,28-3,16 (м, 2H), 3,06-2,92 (м, 2H), 2,90 (с, 3H), 2,64-1,90 (м, 9H), 2,47 (с, 3H), 2,37 (с, 3H), 1,68 (м, 1H), 1,50-1,24 (м, 3H), 1,00 (д, J=6,6 Гц, 3H), 0,99 (д, J=6,6 Гц, 3H), 0,95 (т, J=7,5 Гц, 3H).
Пример 2(59)
(3R)-1-бутил-2,5-диоксо-3-((1R)-1-гидрокси-2-метилпропил)-9-(4-(4-гидроксиметилфенилокси)фенилметил)-1,4,9-триазаспиро[5.5]ундекан

ТСХ:Rf 0,32 (хлороформ:метанол=10:1);
ЯМР (CD3OD): 7,36 (д, J=8,4 Гц, 2H), 7,35 (д, J=8,4 Гц, 2H), 6,97 (д, J=8,4 Гц, 4H), 4,58 (с, 2H), 4,12 (д, J=2,4 Гц, 1H), 3,73 (с, 2H), 3,47 (м, 1H), 3,30-2,90 (м, 6H), 2,31-1,83 (м, 5H), 1,64 (м, 1H), 1,55-1,23 (м, 3H), 0,97 (д, J=6,6 Гц, 6H), 0,95 (т, J=7,5 Гц, 3H).
Пример 3
(3S)-1-бутил-2,5-диоксо-3-((1S)-1-гидрокси-2-метилпропил)-9-(6-фенилоксипиридин-3-илметил)-1,4,9-триазаспиро[5.5]ундекан · 2гидрохлорид

В соответствии с аналогичной методикой, описанной в примере 2, используя соединение, полученное в ссылочном примере 3(8), вместо соединения, полученного в ссылочном примере 3, получают указанное в заголовке соединение (110 мг), имеющее следующие физические данные.
ТСХ:Rf 0,48 (хлороформ:метанол=10:1);
ЯМР (CD3OD): 8,35 (д, J=2,1 Гц, 1H), 8,12 (дд, J=8,7, 2,1 Гц, 1H), 7,49-7,40 (м, 2H), 7,27 (т, J=7,8 Гц, 1H), 7,15 (д, J=7,8 Гц, 2H), 7,06 (д, J=8,7, 1H), 4,39 (с, 2H), 4,14 (д, J=2,1 Гц, 1H), 4,07-3,93 (м, 1H), 3,82-3,67 (м, 1H), 3,58-3,40 (м, 3H), 3,30-3,15 (м, 1H), 3,19 (дд, J=9,6, 2,1 Гц, 1H), 2,60-2,28 (м, 3H), 2,18-2,05 (м, 1H), 2,05-1,90 (м, 1H), 1,80-1,55 (м, 1H), 1,50-1,25 (м, 3H), 0,99 (д, J=6,6 Гц, 3H), 0,97 (д, J=6,6 Гц, 3H), 0,95 (т, J=7,2 Гц, 3H);
оптическое вращение:[ ]D -10,1° (c 1,04, метанол, 25°C).
Условия ВЭЖХ
Колонка: CHIRALCEL OJ-R, 0,46×15 см, DAICEL, OJR0CD-JB026:
скорость потока: 0,7 мл/мин.
Растворитель
Раствор A: 0,1M водный раствор дигидрофосфата калия;
раствор B: ацетонитрил (A:B=76:24);
УФ: 225 нм;
время удерживания: 8,65 мин.
Пример 4
(3S)-1-бутил-2,5-диоксо-3-(2-метилпропил)-9-(3,5-диметил-1-(4-(N,N-диметиламинокарбонил)фенил)пиразол-4-илметил)-1,4,9-триазаспиро[5.5]ундекан · 2гидрохлорид

В соответствии с аналогичной методикой, описанной в примере 2, используя соединение, полученное в ссылочном примере 3(1), вместо соединения, полученного в ссылочном примере 3, и используя [4-(4-формил-3,5-диметилпиразолил)фенил]-N,N-диметилкарбоксамид вместо 3-формил-6-фенилоксипиридина, получают указанное в заголовке соединение, имеющее следующие физические данные.
ТСХ:Rf 0,62 (хлороформ:метанол=5:1);
ЯМР (CD3OD): 7,65-7,52 (м, 4H), 4,33 (с, 2H), 4,03 (дд, J=7,8, 4,5 Гц, 1H), 3,96-3,72 (м, 2H), 3,64-3,54 (м, 2H), 3,50-3,36 (м, 2H), 3,14 (с, 3H), 3,05 (с, 3H), 2,60-2,42 (м, 2H), 2,44 (с, 3H), 2,41 (с, 3H), 2,36-2,10 (м, 2H), 1,90-1,24 (м, 7H), 0,97 (т, J=7,2 Гц, 3H), 0,96 (д, J=6,6 Гц, 3H), 0,95 (д, J=6,6 Гц, 3H).
Примеры 4(1)-4(43)
В соответствии с аналогичной методикой, описанной в примере 4, используя соответствующие альдегидные производные соответственно вместо [4-(4-формил-3,5-диметилпиразолил)фенил]-N,N-диметилкарбоксамида, получают следующие соединения, имеющие следующие физические данные.
Пример 4(1)
(3S)-1-бутил-2,5-диоксо-3-(2-метилпропил)-9-(3,5-диметил-1-(4-(пирролидин-1-илкарбонил)фенил)пиразол-4-илметил)-1,4,9-триазаспиро[5.5]ундекан · 2гидрохлорид

ТСХ:Rf 0,56 (хлороформ:метанол=5:1);
ЯМР (CD3OD): 7,73 (д, J=8,7 Гц, 2H), 7,60 (д, J=8,7 Гц, 2H), 4,33 (с, 2H), 4,03 (дд, J=7,5, 4,5 Гц, 1H), 3,96-3,74 (м, 2H), 3,66-3,36 (м, 8H), 2,58-2,40 (м, 2H), 2,44 (с, 3H), 2,41 (с, 3H), 2,34-2,12 (м, 2H), 2,06-1,26 (м, 11H), 0,97 (т, J=7,2 Гц, 3H), 0,96 (д, J=6,3 Гц, 3H), 0,95 (д, J=6,3 Гц, 3H).
Пример 4(2)
(3S)-1-бутил-2,5-диоксо-3-(2-метилпропил)-9-(3,5-диметил-1-(4-(морфолин-4-илкарбонил)фенил)пиразол-4-илметил)-1,4,9-триазаспиро[5.5]ундекан · 2гидрохлорид

ТСХ:Rf 0,57 (хлороформ:метанол=5:1);
ЯМР (CD3OD): 7,64 (д, J=9,0 Гц, 2H), 7,60 (д, J=9,0 Гц, 2H), 4,33 (с, 2H), 4,03 (дд, J=7,5, 4,5 Гц, 1H), 3,98-3,36 (м, 14H), 2,58-2,36 (м, 2H), 2,44 (с, 3H), 2,40 (с, 3H), 2,32-2,14 (м, 2H), 1,90-1,24 (м, 7H), 0,97 (т, J=7,2 Гц, 3H), 0,96 (д, J=6,3 Гц, 3H), 0,95 (д, J=6,3 Гц, 3H).
Пример 4(3)
(3S)-1-бутил-2,5-диоксо-3-(2-метилпропил)-9-(4-метилсульфонилфенилметил)-1,4,9-триазаспиро[5.5]ундекан · гидрохлорид

ТСХ:Rf 0,49 (хлороформ:метанол=10:1);
ЯМР (CD3OD): 8,09 (д, J=8,4 Гц, 2H), 7,85 (д, J=8,4 Гц, 2H), 4,48 (с, 2H), 4,02 (дд, J=7,8, 4,5 Гц, 1H), 3,92-3,70 (м, 2H), 3,56-3,36 (м, 4H), 3,16 (с, 3H), 2,48-2,30 (м, 2H), 2,28-2,06 (м, 2H), 1,90-1,24 (м, 7H), 0,96 (т, J=7,2 Гц, 3H), 0,95 (д, J=6,3 Гц, 3H), 0,94 (д, J=6,3 Гц, 3H).
Пример 4(4)
(3S)-1-бутил-2,5-диоксо-3-(2-метилпропил)-9-(4-(4-метилсульфонилфенилокси)фенилметил)-1,4,9-триазаспиро[5.5]ундекан · гидрохлорид

ТСХ:Rf 0,45 (хлороформ:метанол=10:1);
ЯМР (CD3OD): 7,96 (д, J=8,7 Гц, 2H), 7,66 (д, J=8,7 Гц, 2H), 7,23 (д, J=8,7 Гц, 2H), 7,21 (д, J=8,7 Гц, 2H), 4,40 (с, 2H), 4,02 (дд, J=7,5, 4,5 Гц, 1H), 3,94-3,72 (м, 2H), 3,58-3,36 (м, 4H), 3,12 (с, 3H), 2,54-2,36 (м, 2H), 2,18-2,08 (м, 2H), 1,88-1,26 (м, 7H), 0,96 (т, J=6,9 Гц, 3H), 0,95 (д, J=6,3 Гц, 3H), 0,94 (д, J=6,3 Гц, 3H).
Пример 4(5)
(3S)-1-бутил-2,5-диоксо-3-(2-метилпропил)-9-(3,5-диметил-1-(4-(2-(морфолин-4-ил)этиламиносульфонил)фенил)пиразол-4-илметил)-1,4,9-триазаспиро[5.5]ундекан · 3гидрохлорид

ТСХ:Rf 0,60 (хлороформ:метанол=5:1);
ЯМР (CD3OD): 8,07 (д, J=8,4 Гц, 2H), 7,78 (д, J=8,4 Гц, 2H), 4,32 (с, 2H), 4,16-3,98 (м, 3H), 3,94-3,76 (м, 4H), 3,64-3,40 (м, 6H), 3,38-3,18 (м, 6H), 2,62-2,44 (м, 2H), 2,49 (с, 3H), 2,41 (с, 3H), 2,36-2,12 (м, 2H), 1,90-1,24 (м, 7H), 0,97 (т, J=6,6 Гц, 3H), 0,96 (д, J=6,3 Гц, 3H), 0,95 (д, J=6,3 Гц, 3H).
Пример 4(6)
(3S)-1-бутил-2,5-диоксо-3-(2-метилпропил)-9-(3,5-диметил-1-(4-(4-метилпиперазин-1-илсульфонил)фенил)пиразол-4-илметил)-1,4,9-триазаспиро[5.5]ундекан · 3гидрохлорид

ТСХ:Rf 0,50 (хлороформ:метанол=5:1);
ЯМР (CD3OD): 8,02 (д, J=9,0 Гц, 2H), 7,83 (д, J=9,0 Гц, 2H), 4,32 (с, 2H), 4,03 (дд, J=7,8, 4,5 Гц, 1H), 4,03-3,76 (м, 4H), 3,68-3,56 (м, 4H), 3,54-3,42 (м, 2H), 3,30-3,20 (м, 2H), 2,92 (с, 3H), 2,86-2,72 (м, 2H), 2,64-2,48 (м, 2H), 2,51 (с, 3H), 2,42 (с, 3H), 2,32-2,12 (м, 2H), 1,90-1,26 (м, 7H), 0,97 (т, J=6,6 Гц, 3H), 0,96 (д, J=6,3 Гц, 3H), 0,95 (д, J=6,3 Гц, 3H).
Пример 4(7)
(3S)-1-бутил-2,5-диоксо-3-(2-метилпропил)-9-(4-(4-метилсульфинилфенилокси)фенилметил)-1,4,9-триазаспиро[5.5]ундекан · гидрохлорид

ТСХ:Rf 0,28 (хлороформ:метанол=10:1);
ЯМР (CD3OD): 7,75 (д, J=9,0 Гц, 2H), 7,62 (д, J=9,0 Гц, 2H), 7,23 (д, J=9,0 Гц, 2H), 7,18 (д, J=9,0 Гц, 2H), 4,38 (с, 2H), 4,02 (дд, J=7,5, 4,5 Гц, 1H), 3,92-3,72 (м, 2H), 3,58-3,36 (м, 4H), 2,81 (с, 3H), 2,52-2,36 (м, 2H), 2,30-2,10 (м, 2H), 1,90-1,26 (м, 7H), 0,96 (т, J=7,2 Гц, 3H), 0,95 (д, J=6,3 Гц, 3H), 0,94 (д, J=6,3 Гц, 3H).
Пример 4(8)
(3S)-1-бутил-2,5-диоксо-3-(2-метилпропил)-9-(4-(пиридин-1-оксидо-3-илокси)фенилметил)-1,4,9-триазаспиро[5.5]ундекан · гидрохлорид

ТСХ:Rf 0,48 (хлороформ:метанол=5:1);
ЯМР (CD3OD): 8,66 (с, 1H), 8,53-8,52 (м, 1H), 7,88-7,78 (м, 2H), 7,77 (д, J=8,7 Гц, 2H), 7,34 (д, J=8,7 Гц, 2H), 4,41 (с, 2H), 4,03 (дд, J=7,5, 4,5 Гц, 1H), 3,92-3,70 (м, 2H), 3,66-3,40 (м, 4H), 2,66-2,48 (м, 2H), 2,26-2,08 (м, 2H), 1,90-1,26 (м, H), 0,96 (т, J=7,5 Гц, 3H), 0,95 (д, J=6,6 Гц, 3H), 0,94 (д, J=6,6 Гц, 3H).
Пример 4(9)
(3S)-1-бутил-2,5-диоксо-3-(2-метилпропил)-9-(3,5-диметил-1-(4-(2-гидроксиэтиламинокарбонил)фенил)пиразол-4-илметил)-1,4,9-триазаспиро[5.5]ундекан · 2гидрохлорид

ТСХ:Rf 0,53(хлороформ:метанол=5:1);
ЯМР (CD3OD): 8,03 (д, J=8,4 Гц, 2H), 7,62 (д, J=8,4 Гц, 2H), 4,33 (с, 2H), 4,03 (дд, J=7,8, 4,5 Гц, 1H), 3,98-3,76 (м, 2H), 3,74 (т, J=5,7 Гц, 2H), 3,68-3,58 (м, 2H), 3,54 (т, J=5,7 Гц, 2H), 3,54-3,40 (м, 2H), 2,64-2,48 (м, 2H), 2,46 (с, 3H), 2,43 (с, 3H), 2,32-2,10 (м, 2H), 1,90-1,30 (м, 7H), 0,97 (т, J=6,6 Гц, 3H), 0,96 (д, J=6,3 Гц, 3H), 0,95 (д, J=6,3 Гц, 3H).
Пример 4(10)
(3S)-1-бутил-2,5-диоксо-3-(2-метилпропил)-9-(4-(4-(морфолин-4-илкарбонил)фенилокси)фенилметил)-1,4,9-триазаспиро[5.5]ундекан · гидрохлорид

ТСХ:Rf 0,55 (хлороформ:метанол=5:1);
ЯМР (CD3OD): 7,61 (д, J=8,7 Гц, 2H), 7,49 (д, J=8,7 Гц, 2H), 7,15 (д, J=8,7 Гц, 2H), 7,11 (д, J=8,7 Гц, 2H), 4,37 (с, 2H), 4,02 (дд, J=7,8, 4,8 Гц, 1H), 3,90-3,36 (м, 14H), 2,58-2,38 (м, 2H), 2,28-2,08 (м, 2H), 1,88-1,28 (м, 7H), 0,96 (т, J=7,2 Гц, 3H), 0,95 (д, J=6,3 Гц, 3H), 0,94 (д, J=6,3 Гц, 3H).
Пример 4(11)
(3S)-1-бутил-2,5-диоксо-3-(2-метилпропил)-9-(3,5-диметил-1-(4-(N,N-диэтиламиносульфонил)фенил)пиразол-4-илметил)-1,4,9-триазаспиро[5.5]ундекан · 2гидрохлорид

ТСХ:Rf 0,66 (хлороформ:метанол=5:1);
ЯМР (CD3OD): 8,00 (д, J=8,4 Гц, 2H), 7,73 (д, J=8,4 Гц, 2H), 4,34 (с, 2H), 4,04 (дд, J=7,8, 4,5 Гц, 1H), 3,96-3,76 (м, 2H), 3,68-3,56 (м, 2H), 3,48-3,38 (м, 2H), 3,36-3,22 (м, 4H), 2,52-2,38 (м, 2H), 2,46 (с, 3H), 2,40 (с, 3H), 2,36-2,14 (м, 2H), 1,90-1,28 (м, 7H), 1,20-1,08 (м, 6H), 0,97 (т, J=7,5 Гц, 3H), 0,96 (д, J=6,3 Гц, 3H), 0,95 (д, J=6,3 Гц, 3H).
Пример 4(12)
(3S)-1-бутил-2,5-диоксо-3-(2-метилпропил)-9-(4-(4-(2-гидроксиэтиламинокарбонил)фенилокси)фенилметил)-1,4,9-триазаспиро[5.5]ундекан · гидрохлорид

ТСХ:Rf 0,36 (хлороформ:метанол=10:1);
ЯМР (CD3OD): 7,88 (д, J=8,7 Гц, 2H), 7,60 (д, J=8,4 Гц, 2H), 7,15 (д, J=8,4 Гц, 2H), 7,07 (д, J=8,7 Гц, 2H), 4,36 (с, 2H), 4,01 (дд, J=7,8, 4,5 Гц, 1H), 3,90-3,76 (м, 2H), 3,70 (т, J=6,0 Гц, 2H), 3,56-3,36 (м, 4H), 3,50 (т, J=6,0 Гц, 2H), 2,52-2,38 (м, 2H), 2,24-2,08 (м, 2H), 1,88-1,16 (м, 7H), 1,02-0,88 (м, 9H).
Пример 4(13)
(3S)-1-бутил-2,5-диоксо-3-(2-метилпропил)-9-(4-(4-(пирролидин-1-илкарбонил)фенилокси)фенилметил)-1,4,9-триазаспиро[5.5]ундекан · гидрохлорид

ТСХ:Rf 0,22 (этилацетат:метанол=10:1);
ЯМР (CD3OD): 7,59 (д, J=8,4 Гц, 2H), 7,58 (д, J=8,4 Гц, 2H), 7,16 (д, J=8,4 Гц, 2H), 7,09 (д, J=8,4 Гц, 2H), 4,38 (с, 2H), 4,02 (дд, J=7,5, 4,5 Гц, 1H), 3,92-3,72 (м, 2H), 3,64-3,36 (м, 8H), 2,48-2,10 (м, 4H), 2,04-1,26 (м, 11H), 0,96 (т, J=6,9 Гц, 3H), 0,95 (д, J=6,3 Гц, 3H), 0,94 (д, J=6,3 Гц, 3H).
Пример 4(14)
(3S)-1-бутил-2,5-диоксо-3-(2-метилпропил)-9-(3,5-диметил-1-(4-(циклогексиламиносульфонил)фенил)пиразол-4-илметил)-1,4,9-триазаспиро[5.5]ундекан · 2гидрохлорид

ТСХ:Rf 0,42 (хлороформ:метанол=10:1);
ЯМР (CD3OD): 8,02 (д, J=8,4 Гц, 2H), 7,70 (д, J=8,4 Гц, 2H), 4,31 (с, 2H), 4,05 (дд, J=7,8, 4,8 Гц, 1H), 3,92-3,72 (м, 2H), 3,68-3,58 (м, 2H), 3,56-3,44 (м, 2H), 3,06 (м, 1H), 2,68-2,50 (м, 2H), 2,47 (с, 3H), 2,41 (с, 3H), 2,38-2,08 (м, 2H), 1,82-1,06 (м, 25H), 1,02-0,86 (м, 5H).
Пример 4(15)
(3S)-1-бутил-2,5-диоксо-3-(2-метилпропил)-9-(3,5-диметил-1-(4-(3-метоксипропиламиносульфонил)фенил)пиразол-4-илметил)-1,4,9-триазаспиро[5.5]ундекан · 2гидрохлорид

ТСХ:Rf 0,42 (хлороформ:метанол=10:1);
ЯМР (CD3OD): 8,01 (д, J=8,7 Гц, 2H), 7,73 (д, J=8,7 Гц, 2H), 4,31 (с, 2H), 4,02 (дд, J=7,8, 4,8 Гц, 1H), 3,94-3,72 (м, 2H), 3,68-3,58 (м, 2H), 3,56-3,46 (м, 2H), 3,39 (т, J=6,0 Гц, 2H), 3,26 (с, 3H), 2,98 (т, J=6,9 Гц, 2H), 2,72-2,58 (м, 2H), 2,48 (с, 3H), 2,42 (с, 3H), 2,26-2,10 (м, 2H), 1,90-1,28 (м, 9H), 0,98-0,90 (м, 9H).
Пример 4(16)
(3S)-1-бутил-2,5-диоксо-3-(2-метилпропил)-9-(4-метилсульфинилфенилметил)-1,4,9-триазаспиро[5.5]ундекан · гидрохлорид

ТСХ:Rf 0,13 (этилацетат:метанол=10:1);
ЯМР (CD3OD): 7,88 (д, J=8,7 Гц, 2H), 7,81 (д, J=8,7 Гц, 2H), 4,47 (с, 2H), 4,02 (дд, J=7,8, 4,8 Гц, 1H), 3,96-3,74 (м, 2H), 3,56-3,36 (м, 4H), 2,83 (с, 3H), 2,52-2,34 (м, 2H), 2,28-2,08 (м, 2H), 1,90-1,26 (м, 7H), 0,95 (т, J=7,2 Гц, 3H), 0,95 (д, J=6,3 Гц, 3H), 0,94 (д, J=6,3 Гц, 3H).
Пример 4(17)
(3S)-1-бутил-2,5-диоксо-3-(2-метилпропил)-9-(3,5-диметил-1-пропилпиразол-4-илметил)-1,4,9-триазаспиро[5.5]ундекан · 2гидрохлорид

ТСХ:Rf 0,58 (хлороформ:метанол=5:1);
ЯМР (CD3OD): 4,26 (с, 2H), 4,10 (т, J=7,2 Гц, 2H), 4,02 (дд, J=7,5, 4,5 Гц, 1H), 3,90-3,68 (м, 2H), 3,58-3,36 (м, 4H), 2,58-2,38 (м, 2H), 2,44 (с, 3H), 2,38 (с, 3H), 2,30-2,10 (м, 2H), 1,92-1,24 (м, 9H), 0,96 (т, J=7,2 Гц, 6H), 0,96 (д, J=6,6 Гц, 3H), 0,95 (д, J=6,6 Гц, 3H).
Пример 4(18)
(3S)-1-бутил-2,5-диоксо-3-(2-метилпропил)-9-(3,5-диметил-1-этилпиразол-4-илметил)-1,4,9-триазаспиро[5.5]ундекан · 2гидрохлорид

ТСХ:Rf 0,58 (хлороформ:метанол=10:1);
ЯМР (CD3OD): 4,34-4,24 (м, 4H), 4,01 (дд, J=7,8, 4,5 Гц, 1H), 3,92-3,68 (м, 2H), 3,62-3,46 (м, 4H), 2,74-2,60 (м, 2H), 2,53 (с, 3H), 2,50 (с, 3H), 2,24-2,06 (м, 2H), 1,88-1,26 (м, 10H), 1,02-0,86 (м, 9H).
Пример 4(19)
(3S)-1-бутил-2,5-диоксо-3-(2-метилпропил)-9-(3,5-диметил-1-циклопентилпиразол-4-илметил)-1,4,9-триазаспиро[5.5]ундекан · 2гидрохлорид

ТСХ:Rf 0,53 (хлороформ:метанол=10:1);
ЯМР (CD3OD): 5,00-4,82 (м, 1H), 4,31 (с, 2H), 4,01 (дд, J=7,5, 4,5 Гц, 1H), 3,92-3,70 (м, 2H), 3,62-3,46 (м, 4H), 2,78-2,58 (м, 2H), 2,55 (с, 3H), 2,53 (с, 3H), 2,32-2,04 (м, 4H), 2,04-1,26 (м, 13H), 0,98-0,84 (м, 9H).
Пример 4(20)
(3S)-1-бутил-2,5-диоксо-3-(2-метилпропил)-9-(3,5-диметил-1-(1,1-диметилэтил)пиразол-4-илметил)-1,4,9-триазаспиро[5.5]ундекан · 2гидрохлорид

ТСХ:Rf 0,15 (этилацетат:метанол=10:1);
ЯМР (CD3OD): 4,23 (с, 2H), 4,02 (дд, J=7,5, 4,5 Гц, 1H), 3,90-3,68 (м, 2H), 3,58-3,36 (м, 4H), 2,56 (с, 3H), 2,56-2,38 (м, 2H), 2,32 (с, 3H), 2,32-2,10 (м, 2H), 1,88-1,26 (м, 7H), 1,67 (с, 9H), 0,96 (т, J=7,2 Гц, 3H), 0,96 (д, J=6,3 Гц, 3H), 0,95 (д, J=6,3 Гц, 3H).
Пример 4(21)
(3S)-1-бутил-2,5-диоксо-3-(2-метилпропил)-9-(3,5-диметил-1-(1-бензилоксикарбонилпиперидин-4-ил)пиразол-4-илметил)-1,4,9-триазаспиро[5.5]ундекан · 2гидрохлорид

ТСХ:Rf 0,17 (этилацетат:метанол=10:1);
ЯМР (CD3OD): 7,42-7,26 (м, 5H), 5,15 (с, 2H), 4,48-4,22 (м, 3H), 4,23 (с, 2H), 4,02 (дд, J=7,8, 4,5 Гц, 1H), 3,88-3,68 (м, 2H), 3,58-3,36 (м, 4H), 3,12-2,90 (м, 2H), 2,50-1,28 (м, 15H), 2,42 (с, 3H), 2,30 (с, 3H), 0,96 (т, J=6,9 Гц, 3H), 0,95 (д, J=6,3 Гц, 3H), 0,94 (д, J=6,3 Гц, 3H).
Пример 4(22)
(3S)-1-бутил-2,5-диоксо-3-(2-метилпропил)-9-(4-((4-метоксифенил)метиламинокарбонил)фенилметил)-1,4,9-триазаспиро[5.5]ундекан · гидрохлорид

ТСХ:Rf 0,50 (хлороформ:метанол=9:1);
ЯМР (CD3OD): 7,95 (д, J=8,7 Гц, 2H), 7,67 (д, J=8,7 Гц, 2H), 7,27 (д, J=8,7 Гц, 2H), 6,87 (д, J=8,7 Гц, 2H), 4,51 (с, 2H), 4,42 (с, 2H), 4,00 (дд, J=7,5, 4,8 Гц, 1H), 3,91-3,72 (м, 2H), 3,76 (с, 3H), 3,53-3,35 (м, 4H), 2,50-2,35 (м, 2H), 2,26-2,08 (м, 2H), 1,87-1,28 (м, 7H), 0,94 (т, J=7,5 Гц, 3H), 0,94 (д, J=6,6 Гц, 3H), 0,93 (д, J=6,6 Гц, 3H).
Пример 4(23)
(3S)-1-бутил-2,5-диоксо-3-(2-метилпропил)-9-(4-(3-метоксипропиламинокарбонил)фенилметил)-1,4,9-триазаспиро[5.5]ундекан · гидрохлорид

ТСХ:Rf 0,48 (хлороформ:метанол=9:1);
ЯМР (CD3OD): 7,92 (д, J=8,4 Гц, 2H), 7,67 (д, J=8,4 Гц, 2H), 4,43 (с, 2H), 4,00 (дд, J=7,8, 4,5 Гц, 1H), 3,92-3,75 (м, 2H), 3,53-3,35 (м, 8H), 3,34 (с, 3H), 2,50-2,35 (м, 2H), 2,27-2,10 (м, 2H), 1,92-1,28 (м, 9H), 0,94 (т, J=7,2 Гц, 3H), 0,94 (д, J=6,6 Гц, 3H), 0,93 (д, J=6,6 Гц, 3H).
Пример 4(24)
(3S)-1-бутил-2,5-диоксо-3-(2-метилпропил)-9-(3,5-диметил-1-(4-метоксикарбонилфенил)пиразол-4-илметил)-1,4,9-триазаспиро[5.5]ундекан · 2гидрохлорид

ТСХ:Rf 0,29 (этилацетат:метанол=10:1);
ЯМР (CD3OD): 8,19 (д, J=9,0 Гц, 2H), 7,63 (д, J=9,0 Гц, 2H), 4,28 (с, 2H), 4,03 (м, 1H), 3,94 (с, 3H), 3,95-3,30 (м, 6H), 2,50-2,15 (м, 4H), 2,44 (с, 3H), 2,39 (с, 3H), 1,90-1,30 (м, 7H), 0,96 (т, J=7,2 Гц, 3H), 0,95 (д, J=6,6 Гц, 3H) 0,94 (д, J=6,6 Гц, 3H).
Пример 4(25)
(3S)-1-бутил-2,5-диоксо-3-(2-метилпропил)-9-(3,5-диметил-1-(4-метоксифенил)пиразол-4-илметил)-1,4,9-триазаспиро[5.5]ундекан · 2гидрохлорид

ТСХ:Rf 0,31 (этилацетат:метанол=10:1);
ЯМР (CD3OD): 7,37 (д, J=9,0 Гц, 2H), 7,09 (д, J=9,0 Гц, 2H), 4,31 (с, 2H), 4,02 (м, 1H), 4,00-3,30 (м, 6H), 3,86 (с, 3H), 2,65-2,15 (м, 4H), 2,39 (с, 3H), 2,34 (с, 3H), 1,90-1,30 (м, 7H), 0,96 (т, J=7,2 Гц, 3H), 0,95 (д, J=6,6 Гц, 3H) 0,94 (д, J=6,6 Гц, 3H).
Пример 4(26)
(3S)-1-бутил-2,5-диоксо-3-(2-метилпропил)-9-(3,5-диметил-1-(4-(3-(морфолин-4-ил)пропиламиносульфонил)фенил)пиразол-4-илметил)-1,4,9-триазаспиро[5.5]ундекан · 3гидрохлорид

ТСХ:Rf 0,18 (этилацетат:метанол=3:1);
ЯМР (CD3OD): 8,02 (д, J=8,7 Гц, 2H), 7,74 (д, J=8,7 Гц, 2H), 4,31 (с, 2H), 4,10-4,00 (м, 3H), 4,00-3,00 (м, 16H), 2,70-2,10 (м, 4H), 2,48 (с, 3H), 2,40 (с, 3H), 2,10-1,90 (м, 2H), 1,90-1,30 (м, 7H), 0,96 (т, J=7,2 Гц, 3H), 0,95 (д, J=6,6 Гц, 3H), 0,94 (д, J=6,6 Гц, 3H).
Пример 4(27)
(3S)-1-бутил-2,5-диоксо-3-(2-метилпропил)-9-(4-(пирролидин-1-илкарбонил)фенилметил)-1,4,9-триазаспиро[5.5]ундекан · гидрохлорид

ТСХ:Rf 0,55 (хлороформ:метанол=10:1);
ЯМР (CD3OD): 7,71-7,59 (м, 4H), 4,41 (с, 2H), 4,01 (дд, J=7,8, 4,5 Гц, 1H), 3,83-3,72 (м, 2H), 3,60 (т, J=6,9 Гц, 2H), 3,55-3,32 (м, 4H), 3,45 (т, J=6,9 Гц, 2H), 2,57-2,37 (м, 2H), 2,27-2,08 (м, 2H), 2,05-1,44 (м, 9H), 1,44-1,27 (м, 2H), 0,99-0,90 (м, 9H).
Пример 4(28)
(3S)-1-бутил-2,5-диоксо-3-(2-метилпропил)-9-(4-(пиперидин-1-илкарбонил)фенилметил)-1,4,9-триазаспиро[5.5]ундекан · гидрохлорид

ТСХ:Rf 0,60 (хлороформ:метанол=10:1);
ЯМР (CD3OD): 7,69 (д, J=8,4 Гц, 2H), 7,50 (д, J=8,4 Гц, 2H), 4,41 (с, 2H), 4,01 (дд, J=7,5, 4,5 Гц, 1H), 3,93-3,72 (м, 4H), 3,55-3,30 (м, 6H), 2,57-2,39 (м, 2H), 2,26-2,07 (м, 2H), 1,90-1,44 (м, 11H), 1,44-1,26 (м, 2H), 0,98-0,90 (м, 9H).
Пример 4(29)
(3S)-1-бутил-2,5-диоксо-3-(2-метилпропил)-9-(4-(морфолин-4-илкарбонил)фенилметил)-1,4,9-триазаспиро[5.5]ундекан · гидрохлорид

ТСХ:Rf 0,59 (хлороформ:метанол=10:1);
ЯМР (CD3OD): 7,69 (д, J=8,1 Гц, 2H), 7,55 (д, J=8,1 Гц, 2H), 4,41 (с, 2H), 4,01 (дд, J=7,8, 4,5 Гц, 1H), 3,93-3,55 (м, 8H), 3,55-3,34 (м, 6H), 2,55-2,36 (м, 2H), 2,27-2,08 (м, 2H), 1,88-1,44 (м, 5H), 1,44-1,28 (м, 2H), 0,98-0,90 (м, 9H).
Пример 4(30)
(3S)-1-бутил-2,5-диоксо-3-(2-метилпропил)-9-(4-(N-метил-N-(2-(пиридин-2-ил)этил)аминокарбонил)фенилметил)-1,4,9-триазаспиро[5.5]ундекан · 2гидрохлорид

ТСХ:Rf 0,49 (хлороформ:метанол=10:1);
ЯМР (CD3OD): 8,80 (д, J=6,0 Гц, 1H), 8,58 (м, 1H), 8,10 (д, J=8,4 Гц, 1H), 7,98 (м, 1H), 7,70 (д, J=7,8 Гц, 2H), 7,41 (д, J=7,8 Гц, 2H), 4,39 (с, 2H), 4,05-3,95 (м, 3H), 3,94-3,69 (м, 2H), 3,60-3,37 (м, 6H), 3,08 (с, 3H), 2,70-2,43 (м, 2H), 2,26-2,05 (м, 2H), 1,90-1,44 (м, 5H), 1,44-1,26 (м, 2H), 0,99-0,90 (м, 9H).
Пример 4(31)
(3S)-1-бутил-2,5-диоксо-3-(2-метилпропил)-9-(4-(циклогексиламинокарбонил)фенилметил)-1,4,9-триазаспиро[5.5]ундекан · гидрохлорид

ТСХ:Rf 0,33 (этилацетат:метанол=10:1);
ЯМР (CD3OD): 7,92 (д, J=8,1 Гц, 2H), 7,69 (д, J=8,1 Гц, 2H), 4,43 (с, 2H), 4,01 (дд, J=7,5, 4,5 Гц, 1H), 3,96-3,70 (м, 2H), 3,58-3,36 (м, 4H), 2,58-2,38 (м, 2H), 2,28-2,06 (м, 2H), 2,04-1,12 (м, 18H), 0,95 (т, J=6,9 Гц, 3H), 0,94 (д, J=6,3 Гц, 3H), 0,93 (д, J=6,3 Гц, 3H).
Пример 4(32)
(3S)-1-бутил-2,5-диоксо-3-(2-метилпропил)-9-(4-(N,N-диметиламиносульфонил)фенилметил)-1,4,9-триазаспиро[5.5]ундекан · гидрохлорид

ТСХ:Rf 0,44 (этилацетат:метанол=10:1);
ЯМР (CD3OD): 7,91 (д, J=8,7 Гц, 2H), 7,86 (д, J=8,7 Гц, 2H), 4,49 (с, 2H), 4,02 (дд, J=7,5, 4,8 Гц, 1H), 3,96-3,76 (м, 2H), 3,56-3,38 (м, 4H), 2,72 (с, 6H), 2,60-2,40 (м, 2H), 2,28-2,06 (м, 2H), 1,90-1,28 (м, 7H), 0,95 (т, J=7,2 Гц, 3H), 0,95 (д, J=6,3 Гц, 3H), 0,94 (д, J=6,3 Гц, 3H).
Пример 4(33)
(3S)-1-бутил-2,5-диоксо-3-(2-метилпропил)-9-(4-(4-метоксикарбонилфенилокси)фенилметил)-1,4,9-триазаспиро[5.5]ундекан · гидрохлорид

ТСХ:Rf 0,50 (этилацетат:метанол=10:1);
ЯМР (CD3OD): 8,04 (д, J=9,0 Гц, 2H), 7,63 (д, J=9,0 Гц, 2H), 7,19 (д, J=9,0 Гц, 2H), 7,08 (д, J=9,0 Гц, 2H), 4,38 (с, 2H), 4,02 (дд, J=7,5, 4,5 Гц, 1H), 3,90 (с, 3H), 3,88-3,72 (м, 2H), 3,58-3,36 (м, 4H), 2,58-2,38 (м, 2H), 2,30-2,08 (м, 2H), 1,90-1,28 (м, 7H), 0,96 (т, J=6,9 Гц, 3H), 0,95 (д, J=6,3 Гц, 3H), 0,94 (д, J=6,3 Гц, 3H).
Пример 4(34)
(3S)-1-бутил-2,5-диоксо-3-(2-метилпропил)-9-(3,5-диметил-1-(1-метилпиперидин-4-ил)пиразол-4-илметил)-1,4,9-триазаспиро[5.5]ундекан · 3гидрохлорид

ТСХ:Rf 0,15 (хлороформ:метанол=5:1);
ЯМР (CD3OD): 4,56 (м, 1H), 4,20 (с, 2H), 4,01 (дд, J=7,8, 4,8 Гц, 1H), 3,86-3,42 (м, 8H), 3,30-3,20 (м, 2H), 2,93 (с, 3H), 2,64-2,48 (м, 2H), 2,44-2,28 (м, 2H), 2,44 (с, 3H), 2,31 (с, 3H), 2,22-2,06 (м, 4H), 1,86-1,28 (м, 7H), 0,98-0,88 (м, 9H).
Пример 4(35)
(3S)-1-бутил-2,5-диоксо-3-(2-метилпропил)-9-(3,5-диметил-1-(1-метилсульфонилпиперидин-4-ил)пиразол-4-илметил)-1,4,9-триазаспиро[5.5]ундекан · 2гидрохлорид

ТСХ:Rf 0,36 (хлороформ:метанол=10:1);
ЯМР (CD3OD): 4,46 (м, 1H), 4,25 (с, 2H), 4,01 (дд, J=7,8, 4,8 Гц, 1H), 3,92-3,68 (м, 4H), 3,60-3,42 (м, 4H), 3,04-2,90 (м, 2H), 2,89 (с, 3H), 2,62-2,46 (м, 2H), 2,48 (с, 3H), 2,38 (с, 3H), 2,24-1,98 (м, 6H), 1,90-1,28 (м, 7H), 0,98-0,90 (м, 9H).
Пример 4(36)
(3S)-1-бутил-2,5-диоксо-3-(2-метилпропил)-9-(3,5-диметил-1-(4-(3-(N,N-диметиламино)пропиламиносульфонил)фенил)пиразол-4-илметил)-1,4,9-триазаспиро[5.5]ундекан · 3гидрохлорид

ТСХ:Rf 0,22 (хлороформ:метанол:28% водный раствор аммиака=100:10:1);
ЯМР (CD3OD): 8,02 (д, J=8,7 Гц, 2H), 7,74 (д, J=8,7 Гц, 2H), 4,30 (с, 2H), 4,02 (дд, J=7,8, 4,5 Гц, 1H), 3,84-3,73 (м, 2H), 3,66-3,56 (м, 2H), 3,55-3,44 (м, 2H), 3,27-3,18 (м, 2H), 3,02 (т, J=6,3 Гц, 2H), 2,89 (с, 6H), 2,70-2,52 (м, 2H), 2,48 (с, 3H), 2,40 (с, 3H), 2,28-2,11 (м, 2H), 2,00-1,28 (м, 9H), 1,00-0,90 (м, 9H).
Пример 4(37)
(3S)-1-бутил-2,5-диоксо-3-(2-метилпропил)-9-(4-(4-(N,N-диметиламино)фенилокси)фенилметил)-1,4,9-триазаспиро[5.5]ундекан · 2гидрохлорид

ТСХ:Rf 0,61 (хлороформ:метанол=10:1);
ЯМР (CD3OD): 7,68-7,60 (м, 4H), 7,21 (д, J=8,7 Гц, 2H), 7,14 (д, J=8,7 Гц, 2H), 4,35 (с, 2H), 4,00 (дд, J=7,8, 4,8 Гц, 1H), 3,89-3,77 (м, 2H), 3,54-3,40 (м, 4H), 3,28 (с, 6H), 2,62-2,44 (м, 2H), 2,26-2,07 (м, 2H), 1,90-1,26 (м, 7H), 1,00-0,90 (м, 9H).
Пример 4(38)
(3S)-1-бутил-2,5-диоксо-3-(2-метилпропил)-9-(3,5-диметил-1-(4-(N-метил-N-(2-(N’,N’-диметиламино)этил)аминосульфонилфенил)пиразол-4-илметил)-1,4,9-триазаспиро[5.5]ундекан · 3гидрохлорид

ТСХ:Rf 0,34 (хлороформ:метанол:28% водный раствор аммиака=100:10:1);
ЯМР (CD3OD): 8,04 (д, J=8,7 Гц, 2H), 7,81 (д, J=8,7 Гц, 2H), 4,31 (с, 2H), 4,02 (дд, J=7,8, 4,5 Гц, 1H), 3,95-3,73 (м, 2H), 3,66-3,54 (м, 2H), 3,54-3,43 (м, 2H), 3,42 (с, 4H), 3,01 (с, 6H), 2,85 (с, 3H), 2,68-2,52 (м, 2H), 2,50 (с, 3H), 2,41 (с, 3H), 2,29-2,10 (м, 2H), 1,90-1,28 (м, 7H), 1,00-0,90 (м, 9H).
Пример 4(39)
(3S)-1-бутил-2,5-диоксо-3-(2-метилпропил)-9-(4-(4-((N,N-диметиламино)метил)фенилокси)фенилметил)-1,4,9-триазаспиро[5.5]ундекан · 2гидрохлорид

ТСХ:Rf 0,29 (хлороформ:метанол:28% водный раствор аммиака=100:10:1);
ЯМР (CD3OD): 7,62 (д, J=8,7 Гц, 2H), 7,53 (д, J=8,7 Гц, 2H), 7,18-7,10 (м, 4H), 4,35 (с, 2H), 4,30 (с, 2H), 4,00 (дд, J=7,8, 4,5 Гц, 1H), 3,88-3,68 (м, 2H), 3,54-3,38 (м, 4H), 2,86 (с, 6H), 2,59-2,42 (м, 2H), 2,26-2,07 (м, 2H), 1,88-1,25 (м, 7H), 1,02-0,89 (м, 9H).
Пример 4(40)
(3S)-1-бутил-2,5-диоксо-3-(2-метилпропил)-9-(4-(4-карбоксифенилокси)фенилметил)-1,4,9-триазаспиро[5.5]ундекан · гидрохлорид

ТСХ:Rf 0,25 (хлороформ:метанол=10:1);
ЯМР (CD3OD): 8,03 (д, J=8,7 Гц, 2H), 7,58 (д, J=8,7 Гц, 2H), 7,16 (д, J=8,7 Гц, 2H), 7,05 (д, J=8,7 Гц, 2H), 4,32 (с, 2H), 4,01 (дд, J=7,8, 4,5 Гц, 1H), 3,84-3,64 (м, 2H), 3,52-3,35 (м, 4H), 2,48-2,32 (м, 2H), 2,27-2,10 (м, 2H), 1,90-1,44 (м, 5H), 1,44-1,26 (м, 2H), 0,99-0,90 (м, 9H).
Пример 4(41)
(3S)-1-бутил-2,5-диоксо-3-(2-метилпропил)-9-(3,5-диметил-1-(4-метиламинокарбонилфенил)пиразол-4-илметил)-1,4,9-триазаспиро[5.5]ундекан · 2гидрохлорид

ТСХ:Rf 0,35 (хлороформ:метанол=10:1);
ЯМР (CD3OD): 8,01 (д, J=8,7 Гц, 2H), 7,64 (д, J=8,7 Гц, 2H), 4,34 (с, 2H), 4,03 (дд, J=7,8, 4,8 Гц, 1H), 3,96-3,74 (м, 2H), 3,70-3,42 (м, 4H), 2,96 (с, 3H), 2,74-2,54 (м, 2H), 2,47 (с, 3H), 2,46 (с, 3H), 2,30-2,10 (м, 2H), 1,92-1,28 (м, 7H), 0,96 (т, J=6,9 Гц, 3H), 0,96 (д, J=6,6 Гц, 3H), 0,95 (д, J=6,6 Гц, 3H).
Пример 4(42)
(3S)-1-бутил-2,5-диоксо-3-(2-метилпропил)-9-(4-((метоксикарбонил)метиламинокарбонил)фенилметил)-1,4,9-триазаспиро[5.5]ундекан

ЯМР (CD3OD): 7,78 (д, J=8,1 Гц, 2H), 7,42 (д, J=8,1 Гц, 2H), 6,70 (т, J=4,8 Гц, 1H), 6,40 (шс, 1H), 4,26 (д, J=4,8 Гц, 2H), 3,96 (м, 1H), 3,81 (с, 3H), 3,62 (с, 2H), 3,50-3,28 (м, 2H), 3,00-2,48 (м, 8H), 2,26-1,20 (м, 7H), 0,99-0,94 (м, 9H).
Пример 4(43)
(3S)-1-бутил-2,5-диоксо-3-(2-метилпропил)-9-(3-(3,5-диметил-1-фенилпиразол-4-ил)-2E-пропенил)-1,4,9-триазаспиро[5.5]ундекан · 2гидрохлорид

ЯМР (CD3OD): 7,56-7,32 (м, 5H), 6,54 (м, 1H), 6,38 (шс, 1H), 5,96 (м, 1H), 4,00 (м, 1H), 3,76-2,90 (м, 8H), 2,38 (с, 3H), 2,34 (с, 3H), 2,14-1,22 (м, 11H), 1,00-0,86 (м, 9H).
Пример 5
(3S)-1-бутил-2,5-диоксо-3-(2-метилпропил)-9-(4-(карбоксиметиламинокарбонил)фенилметил)-1,4,9-триазаспиро[5.5]ундекан · гидрохлорид

К раствору соединения, полученного в примере 4(42), (106 мг) в метаноле (3 мл) добавляют 5N водный раствор гидроксида натрия (0,1 мл). Реакционную смесь перемешивают в течение 3 часов при комнатной температуре. Реакционную смесь концентрируют и остаток растворяют в диоксане. К раствору добавляют раствор 4N хлорид водорода/этилацетат. Реакционную смесь концентрируют, к полученному остатку добавляют диоксан и отфильтровывают. Фильтрат концентрируют и полученный остаток промывают диэтиловым эфиром и сушат с получением указанного в заголовке соединения (62 мг), имеющего следующие физические данные.
ТСХ:Rf 0,28 (бутанол:уксусная кислота:вода=4:2:1);
ЯМР (CD3OD): 7,99 (д, J=8,7 Гц, 2H), 7,70 (д, J=8,7 Гц, 2H), 4,44 (с, 2H), 4,11 (с, 2H), 4,02 (дд, J=7,5, 4,8 Гц, 1H), 3,94-3,74 (м, 2H), 3,56-3,36 (м, 4H), 2,48-2,32 (м, 2H), 2,28-2,08 (м, 2H), 1,88-1,30 (м, 7H), 0,96 (т, J=7,2 Гц, 3H), 0,95 (д, J=6,3 Гц, 3H), 0,94 (д, J=6,3 Гц, 3H).
Пример 6
(3S)-1-бутил-2,5-диоксо-3-(2-метилпропил)-9-(3-(3,5-диметил-1-фенилпиразол-4-ил)пропил)-1,4,9-триазаспиро[5.5]ундекан · 2гидрохлорид

К раствору соединения, полученного в примере 4(43), (85 мг) в метаноле (10 мл) добавляют раствор 5% палладия на углероде (10 мг). Реакционную смесь перемешивают в течение 22 часов при комнатной температуре в атмосфере водорода. Реакционную смесь фильтруют через Целит и фильтрат концентрируют. Полученный остаток очищают колоночной хроматографией на силикагеле (этилацетат:метанол=15:1). К раствору полученного соединения в метаноле добавляют раствор 4N хлорид водорода/этилацетат. Реакционную смесь концентрируют и полученный остаток промывают диэтиловым эфиром и сушат с получением указанного в заголовке соединения (23 мг), имеющего следующие физические данные.
ТСХ:Rf 0,18 (хлороформ:метанол=10:1);
ЯМР (CD3OD): 7,70-7,50 (м, 5H), 4,03 (дд J=7,2, 4,2 Гц, 1H), 3,86-3,68 (м, 2H), 3,66-3,40 (м, 4H), 3,30-3,16 (м, 2H), 2,74-2,48 (м, 4H), 2,46 (с, 3H), 2,35 (с, 3H), 2,28-1,98 (м, 4H), 1,90-1,24 (м, 7H), 0,97 (т, J=7,2 Гц, 3H), 0,96 (д, J=6,6 Гц, 3H), 0,95 (д, J=6,6 Гц, 3H).
Пример 7
(3S)-1-бутил-2,5-диоксо-3-циклогексилметил-9-(3,5-диметил-1-(4-(N,N-диметиламинокарбонил)фенил)пиразол-4-илметил)-1,4,9-триазаспиро[5.5]ундекан · 2гидрохлорид

По методике, описанной в примере 2, используя соединение, полученное в ссылочном примере 3(2), вместо соединения, полученного в ссылочном примере 3, и используя [4-(4-формил-3,5-диметилпиразолил)фенил]-N,N-диметилкарбоксамид вместо 3-формил-6-фенилоксипиридина, получают указанное в заголовке соединение, имеющее следующие физические данные.
ТСХ:Rf 0,59 (хлороформ:метанол=10:1);
ЯМР (CD3OD): 7,62 (д, J=9,0 Гц, 2H), 7,58 (д, J=9,0 Гц, 2H), 4,32 (с, 2H), 4,05 (дд, J=7,8, 4,5 Гц, 1H), 3,96-3,78 (м, 2H), 3,66-3,58 (м, 2H), 3,46-3,34 (м, 2H), 3,13 (с, 3H), 3,04 (с, 3H), 2,52-2,38 (м, 2H), 2,42 (с, 3H), 2,39 (с, 3H), 2,32-2,14 (м, 2H), 1,82-1,16 (м, 15H), 1,02-0,88 (м, 5H).
Пример 7(1)-7(41)
По аналогичной методике, описанной в примере 7, используя соответствующие альдегидные производные соответственно вместо [4-(4-формил-3,5-диметилпиразолил)фенил]-N,N-диметилкарбоксамида, получают следующие соединения.
Пример 7(1)
(3S)-1-бутил-2,5-диоксо-3-циклогексилметил-9-(3,5-диметил-1-(4-(пирролидин-1-илкарбонил)фенил)пиразол-4-илметил)-1,4,9-триазаспиро[5.5]ундекан · 2гидрохлорид

ТСХ:Rf 0,53(хлороформ:метанол=10:1);
ЯМР (CD3OD): 7,72 (д, J=8,7 Гц, 2H), 7,58 (д, J=8,7 Гц, 2H), 4,33 (с, 2H), 4,05 (дд, J=7,5, 4,5 Гц, 1H), 3,98-3,78 (м, 2H), 3,64-3,56 (м, 4H), 3,56-3,44 (м, 2H), 3,44-3,32 (м, 2H), 2,50-2,10 (м, 4H), 2,42 (с, 3H), 2,39 (с, 3H), 2,10-1,88 (м, 4H), 1,88-1,10 (м, 15H), 1,10-0,90 (м, 5H).
Пример 7(2)
(3S)-1-бутил-2,5-диоксо-3-циклогексилметил-9-(3,5-диметил-1-(4-(морфолин-4-илкарбонил)фенил)пиразол-4-илметил)-1,4,9-триазаспиро[5.5]ундекан · 2гидрохлорид

ТСХ:Rf 0,53(хлороформ:метанол=10:1);
ЯМР (CD3OD): 7,65-7,56 (м, 4H), 4,32 (с, 2H), 4,05 (дд, J=7,5, 4,5 Гц, 1H), 3,96-3,30 (м, 14H), 2,54-2,32 (м, 2H), 2,43 (с, 3H), 2,39 (с, 3H), 2,32-2,12 (м, 2H), 1,84-1,10 (м, 15H), 1,02-0,86 (м, 5H).
Пример 7(3)
(3S)-1-бутил-2,5-диоксо-3-циклогексилметил-9-(3,5-диметил-1-(4-(2-(N,N-диметиламино)этиламинокарбонил)фенил)пиразол-4-илметил)-1,4,9-триазаспиро[5.5]ундекан · 3гидрохлорид

ТСХ:Rf 0,15 (хлороформ:метанол=10:1);
ЯМР (CD3OD): 8,07 (д, J=8,1 Гц, 2H), 7,64 (д, J=8,1 Гц, 2H), 4,31 (с, 2H), 4,05 (дд, J=7,2, 5,1 Гц, 1H), 3,94-3,76 (м, 2H), 3,79 (т, J=6,0 Гц, 2H), 3,66-3,54 (м, 2H), 3,54-3,36 (м, 2H), 3,41 (т, J=6,0 Гц, 2H), 3,00 (с, 6H), 2,66-2,48 (м, 2H), 2,46 (с, 3H), 2,41 (с, 3H), 2,28-2,10 (м, 2H), 1,82-1,10 (м, 15H), 1,02-0,86 (м, 5H).
Пример 7(4)
(3S)-1-бутил-2,5-диоксо-3-циклогексилметил-9-(4-(4-(морфолин-4-илкарбонил)фенилокси)фенилметил)-1,4,9-триазаспиро[5.5]ундекан · гидрохлорид

ТСХ:Rf 0,60 (хлороформ:метанол=10:1);
ЯМР (CD3OD): 7,59 (д, J=8,4 Гц, 2H), 7,48 (д, J=8,7 Гц, 2H), 7,22-7,09 (м, 4H), 4,36 (с, 2H), 4,04 (дд, J=7,5, 4,8 Гц, 1H), 3,88-3,34 (м, 14H), 2,52-2,34 (м, 2H), 2,28-2,08 (м, 2H), 1,81-1,10 (м, 15H), 1,04-0,84 (м, 5H).
Пример 7(5)
(3S)-1-бутил-2,5-диоксо-3-циклогексилметил-9-(4-метилсульфонилфенилметил)-1,4,9-триазаспиро[5.5]ундекан · гидрохлорид

ТСХ:Rf 0,57 (хлороформ:метанол=10:1);
ЯМР (CD3OD): 8,08 (д, J=8,4 Гц, 2H), 7,87 (д, J=8,4 Гц, 2H), 4,50 (с, 2H), 4,03 (дд, J=7,5, 4,5 Гц, 1H), 3,94-3,76 (м, 2H), 3,52-3,36 (м, 4H), 3,15 (с, 3H), 2,56-2,38 (м, 2H), 2,26-2,08 (м, 2H), 1,80-1,10 (м, 15H), 1,02-0,86 (м, 5H).
Пример 7(6)
(3S)-1-бутил-2,5-диоксо-3-циклогексилметил-9-(4-(4-метилсульфонилфенилокси)фенилметил)-1,4,9-триазаспиро[5.5]ундекан · гидрохлорид

ТСХ:Rf 0,57 (хлороформ:метанол=10:1);
ЯМР (CD3OD): 7,95 (д, J=9,0 Гц, 2H), 7,64 (д, J=8,7 Гц, 2H), 7,25-7,18 (м, 4H), 4,39 (с, 2H), 4,04 (дд, J=7,8, 4,8 Гц, 1H), 3,90-3,76 (м, 2H), 3,58-3,34 (м, 4H), 3,12 (с, 3H), 2,50-2,36 (м, 2H), 2,30-2,10 (м, 2H), 1,82-1,10 (м, 15H), 1,02-0,88 (м, 5H).
Пример 7(7)
(3S)-1-бутил-2,5-диоксо-3-циклогексилметил-9-(3,5-диметил-1-(4-(2-(морфолин-4-ил)этиламиносульфонил)фенил)пиразол-4-илметил)-1,4,9-триазаспиро[5.5]ундекан · 3гидрохлорид

ТСХ:Rf 0,43(хлороформ:метанол=10:1);
ЯМР (CD3OD): 8,06 (д, J=8,7 Гц, 2H), 7,57 (д, J=8,7 Гц, 2H), 4,31 (с, 2H), 4,12-4,01 (м, 3H), 3,92-3,76 (м, 4H), 3,65-3,40 (м, 6H), 3,40-3,16 (м, 6H), 2,64-2,44 (м, 2H), 2,48 (с, 3H), 2,41 (с, 3H), 2,28-2,12 (м, 2H), 1,84-1,10 (м, 15H), 1,02-0,86 (м, 5H).
Пример 7(8)
(3S)-1-бутил-2,5-диоксо-3-циклогексилметил-9-(3,5-диметил-1-(4-(4-метилпиперазин-1-илсульфонил)фенил)пиразол-4-илметил)-1,4,9-триазаспиро[5.5]ундекан · 3гидрохлорид

ТСХ:Rf 0,43 (хлороформ:метанол=10:1);
ЯМР (CD3OD): 8,01 (д, J=8,7 Гц, 2H), 7,83 (д, J=8,7 Гц, 2H), 4,31 (с, 2H), 4,08-3,95 (м, 3H), 3,95-3,74 (м, 2H), 3,68-3,46 (м, 6H), 3,28-3,20 (м, 2H), 2,91 (с, 3H), 2,88-2,72 (м, 2H), 2,70-2,52 (м, 2H), 2,51 (с, 3H), 2,42 (с, 3H), 2,26-2,08 (м, 2H), 1,82-1,10 (м, 15H), 1,02-0,86 (м, 5H).
Пример 7(9)
(3S)-1-бутил-2,5-диоксо-3-циклогексилметил-9-(4-(4-метилсульфинилфенилокси)фенилметил)-1,4,9-триазаспиро[5.5]ундекан · гидрохлорид

ТСХ:Rf 0,53 (хлороформ:метанол=10:1);
ЯМР (CD3OD): 7,74 (д, J=9,0 Гц, 2H), 7,62 (д, J=8,7 Гц, 2H), 7,25-7,14 (м, 4H), 4,37 (с, 2H), 4,04 (дд, J=7,5, 4,5 Гц, 1H), 3,88-3,72 (м, 2H), 3,54-3,36 (м, 4H), 2,80 (с, 3H), 2,52-2,36 (м, 2H), 2,26-2,10 (м, 2H), 1,80-1,10 (м, 15H), 1,02-0,86 (м, 5H).
Пример 7(10)
(3S)-1-бутил-2,5-диоксо-3-циклогексилметил-9-(3,5-диметил-1-(4-(2-гидроксиэтиламинокарбонил)фенил)пиразол-4-илметил)-1,4,9-триазаспиро[5.5]ундекан · 2гидрохлорид

ТСХ:Rf 0,41 (хлороформ:метанол=10:1);
ЯМР (CD3OD): 8,01 (д, J=8,7 Гц, 2H), 7,60 (д, J=8,7 Гц, 2H), 4,30 (с, 2H), 4,05 (дд, J=7,5, 4,2 Гц, 1H), 3,92-3,68 (м, 4H), 3,66-3,42 (м, 6H), 2,70-2,50 (м, 2H), 2,45 (с, 3H), 2,40 (с, 3H), 2,28-2,08 (м, 2H), 1,82-1,10 (м, 15H), 1,02-0,84 (м, 5H).
Пример 7(11)
(3S)-1-бутил-2,5-диоксо-3-циклогексилметил-9-(4-(4-(2-гидроксиэтиламинокарбонил)фенилокси)фенилметил)-1,4,9-триазаспиро[5.5]ундекан · гидрохлорид

ТСХ:Rf 0,36 (хлороформ:метанол=10:1);
ЯМР (CD3OD): 7,89 (д, J=9,0 Гц, 2H), 7,58 (д, J=8,7 Гц, 2H), 7,16 (д, J=8,7 Гц, 2H), 7,08 (д, J=9,0 Гц, 2H), 4,37 (с, 2H), 4,04 (дд, J=7,5, 4,5 Гц, 1H), 3,90-3,70 (м, 2H), 3,70 (т, J=6,0 Гц, 2H), 3,58-3,46 (м, 2H), 3,50 (т, J=6,0 Гц, 2H), 3,42-3,34 (м, 2H), 2,44-2,30 (м, 2H), 2,30-2,08 (м, 2H), 1,82-1,12 (м, 15H), 1,02-0,84 (м, 5H).
Пример 7(12)
(3S)-1-бутил-2,5-диоксо-3-циклогексилметил-9-(4-(4-(пирролидин-1-илкарбонил)фенилокси)фенилметил)-1,4,9-триазаспиро[5.5]ундекан · гидрохлорид

ТСХ:Rf 0,25 (этилацетат:метанол=10:1);
ЯМР (CD3OD): 7,59 (д, J=8,7 Гц, 2H), 7,59 (д, J=8,7 Гц, 2H), 7,16 (д, J=8,7 Гц, 2H), 7,10 (д, J=8,7 Гц, 2H), 4,37 (с, 2H), 4,05 (дд, J=7,5, 4,8 Гц, 1H), 3,90-3,74 (м, 2H), 3,62-3,36 (м, 8H), 2,48-2,08 (м, 4H), 2,04-1,08 (м, 19H), 0,96 (т, J=7,2 Гц, 3H), 1,04-0,84 (м, 2H).
Пример 7(13)
(3S)-1-бутил-2,5-диоксо-3-циклогексилметил-9-(3,5-диметил-1-(4-(циклогексиламиносульфонил)фенил)пиразол-4-илметил)-1,4,9-триазаспиро[5.5]ундекан · 2гидрохлорид

ТСХ:Rf 0,42 (хлороформ:метанол=10:1);
ЯМР (CD3OD): 8,03 (д, J=8,7 Гц, 2H), 7,70 (д, J=8,7 Гц, 2H), 4,31 (с, 2H), 4,05 (дд, J=7,8, 4,8 Гц, 1H), 3,92-3,72 (м, 2H), 3,68-3,58 (м, 2H), 3,56-3,44 (м, 2H), 3,06 (м, 1H), 2,68-2,50 (м, 2H), 2,47 (с, 3H), 2,41 (с, 3H), 2,38-2,08 (м, 2H), 1,82-1,06 (м, 25H), 1,02-0,86 (м, 5H).
Пример 7(14)
(3S)-1-бутил-2,5-диоксо-3-циклогексилметил-9-(3,5-диметил-1-(4-(3-метоксипропиламиносульфонил)фенил)пиразол-4-илметил)-1,4,9-триазаспиро[5.5]ундекан · 2гидрохлорид

ТСХ:Rf 0,48 (хлороформ:метанол=10:1);
ЯМР (CD3OD): 8,01 (д, J=8,4 Гц, 2H), 7,74 (д, J=8,4 Гц, 2H), 4,31 (с, 2H), 4,05 (дд, J=7,8, 4,8 Гц, 1H), 3,92-3,72 (м, 2H), 3,68-3,58 (м, 2H), 3,56-3,46 (м, 4H), 3,39 (т, J=6,0 Гц, 2H), 3,26 (с, 3H), 2,98 (т, J=6,9 Гц, 2H), 2,72-2,56 (м, 2H), 2,48 (с, 3H), 2,43 (с, 3H), 2,26-2,08 (м, 2H), 1,82-1,10 (м, 15H), 1,02-0,86 (м, 5H).
Пример 7(15)
(3S)-1-бутил-2,5-диоксо-3-циклогексилметил-9-(4-метилсульфинилфенилметил)-1,4,9-триазаспиро[5.5]ундекан· гидрохлорид

ТСХ:Rf 0,15 (этилацетат:метанол=10:1);
ЯМР (CD3OD): 7,85 (д, J=8,7 Гц, 2H), 7,81 (д, J=8,7 Гц, 2H), 4,47 (с, 2H), 4,05 (дд, J=7,2, 4,8 Гц, 1H), 3,94-3,76 (м, 2H), 3,58-3,36 (м, 4H), 2,83 (с, 3H), 2,54-2,34 (м, 2H), 2,18-2,06 (м, 2H), 1,82-1,10 (м, 15H), 0,96 (т, J=7,5 Гц, 3H), 1,06-0,86 (м, 2H).
Пример 7(16)
(3S)-1-бутил-2,5-диоксо-3-циклогексилметил-9-(3,5-диметил-1-пропилпиразол-4-илметил)-1,4,9-триазаспиро[5.5]ундекан · 2гидрохлорид

ТСХ:Rf 0,61 (хлороформ:метанол=10:1);
ЯМР (CD3OD): 4,28 (с, 2H), 4,13 (т, J=7,2 Гц, 2H), 4,05 (дд, J=7,5, 4,5 Гц, 1H), 3,88-3,72 (м, 2H), 3,60-3,38 (м, 4H), 2,62-2,32 (м, 2H), 2,46 (с, 3H), 2,42 (с, 3H), 2,28-2,08 (м, 2H), 1,94-1,08 (м, 17H), 0,96 (т, J=7,2 Гц, 6H), 1,06-0,86 (м, 2H).
Пример 7(17)
(3S)-1-бутил-2,5-диоксо-3-циклогексилметил-9-(3,5-диметил-1-этилпиразол-4-илметил)-1,4,9-триазаспиро[5.5]ундекан · 2гидрохлорид

ТСХ:Rf 0,51 (хлороформ:метанол=10:1);
ЯМР (CD3OD): 4,34-4,20 (м, 4H), 4,04 (дд, J=7,8, 4,8 Гц, 1H), 3,88-3,70 (м, 2H), 3,62-3,46 (м, 4H), 2,72-2,54 (м, 2H), 2,52 (с, 3H), 2,48 (с, 3H), 2,24-2,06 (м, 2H), 1,82-1,08 (м, 18H), 1,02-0,86 (м, 5H).
Пример 7(18)
(3S)-1-бутил-2,5-диоксо-3-циклогексилметил-9-(3,5-диметил-1-циклопентилпиразол-4-илметил)-1,4,9-триазаспиро[5.5]ундекан · 2гидрохлорид

ТСХ:Rf 0,49 (хлороформ:метанол=10:1);
ЯМР (CD3OD): 5,02-4,82 (м, 1H), 4,33 (с, 2H), 4,04 (дд, J=7,5, 4,8 Гц, 1H), 3,90-3,70 (м, 2H), 3,64-3,48 (м, 4H), 2,80-2,60 (м, 2H), 2,58 (с, 3H), 2,57 (с, 3H), 2,36-1,08 (м, 25H), 1,04-0,84 (м, 5H).
Пример 7(19)
(3S)-1-бутил-2,5-диоксо-3-циклогексилметил-9-(3,5-диметил-1-(4-(3-(морфолин-4-ил)пропиламиносульфонил)фенил)пиразол-4-илметил)-1,4,9-триазаспиро[5.5]ундекан · 3гидрохлорид

ТСХ:Rf 0,20 (этилацетат:метанол=3:1);
ЯМР (CD3OD): 8,02 (д, J=8,7 Гц, 2H), 7,74 (д, J=8,7 Гц, 2H), 4,31 (с, 2H), 4,10-4,00 (м, 3H), 4,00-3,00 (м, 16H), 2,65-2,10 (м, 4H), 2,47 (с, 3H), 2,40 (с, 3H), 2,05-1,95 (м, 2H), 1,85-1,15 (м, 15H), 1,10-0,90 (м, 2H), 0,95 (т, J=7,2 Гц, 3H).
Пример 7(20)
(3S)-1-бутил-2,5-диоксо-3-циклогексилметил-9-(4-(N,N-диметиламиносульфонил)фенилметил)-1,4,9-триазаспиро[5.5]ундекан · гидрохлорид

ТСХ:Rf 0,60 (хлороформ:метанол=10:1);
ЯМР (CD3OD): 7,90 (д, J=8,4 Гц, 2H), 7,84 (д, J=8,4 Гц, 2H), 4,48 (с, 2H), 4,04 (дд, J=7,5, 4,5 Гц, 1H), 3,94-3,76 (м, 2H), 3,56-3,36 (м, 4H), 2,71 (с, 6H), 2,56-2,36 (м, 2H), 2,28-2,06 (м, 2H), 1,83-1,10 (м, 15H), 1,08-0,85 (м, 2H), 0,95 (т, J=7,2 Гц, 3H).
Пример 7(21)
(3S)-1-бутил-2,5-диоксо-3-циклогексилметил-9-(4-(пирролидин-1-илкарбонил)фенилметил)-1,4,9-триазаспиро[5.5]ундекан · гидрохлорид

ТСХ:Rf 0,59 (хлороформ:метанол=10:1);
ЯМР (CD3OD): 7,68 (д, J=8,7 Гц, 2H), 7,63 (д, J=8,7 Гц, 2H), 4,41 (с, 2H), 4,04 (дд, J=7,5, 4,5 Гц, 1H), 3,92-3,73 (м, 2H), 3,60 (т, J=6,9 Гц, 2H), 3,55-3,34 (м, 4H), 3,45 (т, J=6,9 Гц, 2H), 2,56-2,36 (м, 2H), 2,27-2,07 (м, 2H), 2,06-1,84 (м, 4H), 1,83-1,10 (м, 15H), 1,06-0,83 (м, 2H), 0,95 (т, J=7,2 Гц, 3H).
Пример 7(22)
(3S)-1-бутил-2,5-диоксо-3-циклогексилметил-9-(4-(4-(N,N-диметиламино)фенилокси)фенилметил)-1,4,9-триазаспиро[5.5]ундекан · 2гидрохлорид

ТСХ:Rf 0,51 (хлороформ:метанол=10:1);
ЯМР (CD3OD): 7,70-7,62 (м, 4H), 7,22 (д, J=9,0 Гц, 2H), 7,14 (д, J=8,4 Гц, 2H), 4,36 (с, 2H), 4,03 (дд, J=7,5, 4,5 Гц, 1H), 3,86-3,70 (м, 2H), 3,52-3,40 (м, 4H), 3,30 (с, 6H), 2,62-2,44 (м, 2H), 2,24-2,06 (м, 2H), 1,80-1,14 (м, 15H), 1,02-0,86 (м, 5H).
Пример 7(23)
(3S)-1-бутил-2,5-диоксо-3-циклогексилметил-9-(4-(циклогексиламинокарбонил)фенилметил)-1,4,9-триазаспиро[5.5]ундекан · гидрохлорид

ТСХ:Rf 0,38 (хлороформ:метанол=10:1);
ЯМР (CD3OD): 7,91 (д, J=8,1 Гц, 2H), 7,68 (д, J=8,1 Гц, 2H), 4,42 (с, 2H), 4,03 (дд, J=7,5, 4,5 Гц, 1H), 3,90-3,72 (м, 3H), 3,52-3,36 (м, 4H), 2,56-2,38 (м, 2H), 2,24-2,06 (м, 2H), 2,00-1,10 (м, 25H), 1,04-0,86 (м, 5H).
Пример 7(24)
(3S)-1-бутил-2,5-диоксо-3-циклогексилметил-9-(3,5-диметил-1-(4-метоксикарбонилфенил)пиразол-4-илметил)-1,4,9-триазаспиро[5.5]ундекан · 2гидрохлоридундекан · 2гидрохлорид

ТСХ:Rf 0,33 (этилацетат:метанол=10:1);
ЯМР (CD3OD): 8,18 (д, J=8,7 Гц, 2H), 7,64 (д, J=8,7 Гц, 2H), 4,31 (с, 2H), 4,05 (м, 1H), 3,94 (с, 3H), 3,94-3,45 (м, 6H), 2,70-2,50 (м, 2H), 2,46 (с, 3H), 2,41 (с, 3H), 2,30-2,10 (м, 2H), 1,85-1,10 (м, 15H), 1,10-0,90 (м, 2H), 0,95 (т, J=6,9 Гц, 3H).
Пример 7(25)
(3S)-1-бутил-2,5-диоксо-3-циклогексилметил-9-(4-(3-метоксипропиламинокарбонил)фенилметил)-1,4,9-триазаспиро[5.5]ундекан · гидрохлоридундекан · гидрохлорид

ТСХ:Rf 0,18 (этилацетат:метанол=10:1);
ЯМР (CD3OD): 7,93 (д, J=8,4 Гц, 2H), 7,69 (д, J=8,4 Гц, 2H), 4,44 (с, 2H), 4,04 (дд, J=7,5, 4,8 Гц, 1H), 3,92-3,74 (м, 2H), 3,58-3,36 (м, 10H), 3,35 (с, 3H), 2,54-2,36 (м, 2H), 2,28-2,06 (м, 2H), 1,94-1,08 (м, 15H), 1,04-0,84 (м, 2H), 0,95 (т, J=6,9 Гц, 3H).
Пример 7(26)
(3S)-1-бутил-2,5-диоксо-3-циклогексилметил-9-(4-(N-метил-N-(2-(пиридин-2-ил)этил)аминокарбонил)фенилметил)-1,4,9-триазаспиро[5.5]ундекан · 2гидрохлоридундекан · 2гидрохлорид

ТСХ:Rf 0,27 (этилацетат:метанол=10:1);
ЯМР (CD3OD): 8,81 (м, 1H), 8,59 (м, 1H), 8,16-7,94 (м, 2H), 7,71 (д, J=7,8 Гц, 2H), 7,42 (д, J=7,8 Гц, 2H), 4,40 (с, 2H), 4,06-3,70 (м, 5H), 3,60-3,36 (м, 6H), 3,09 (с, 3H), 2,72-2,42 (м, 2H), 2,26-2,02 (м, 2H), 1,84-1,14 (м, 15H), 1,06-0,84 (м, 2H), 0,95 (т, J=6,9 Гц, 3H).
Пример 7(27)
(3S)-1-бутил-2,5-диоксо-3-циклогексилметил-9-(4-((4-метоксифенил)метиламинокарбонил)фенилметил)-1,4,9-триазаспиро[5.5]ундекан · гидрохлоридундекан · гидрохлорид

ТСХ:Rf 0,38 (хлороформ:метанол=10:1);
ЯМР (CD3OD): 7,96 (д, J=9,0 Гц, 2H), 7,69 (д, J=9,0 Гц, 2H), 7,28 (д, J=9,0 Гц, 2H), 6,88 (д, J=9,0 Гц, 2H), 4,52 (с, 2H), 4,43 (с, 2H), 4,04 (дд, J=7,5, 4,5 Гц, 1H), 3,92-3,78 (м, 2H), 3,77 (с, 3H), 3,56-3,36 (м, 4H), 2,52-2,34 (м, 2H), 2,26-2,06 (м, 2H), 1,82-1,10 (м, 15H), 1,06-0,84 (м, 2H), 0,95 (т, J=7,2 Гц, 3H).
Пример 7(28)
(3S)-1-бутил-2,5-диоксо-3-циклогексилметил-9-(4-(4-метоксикарбонилфенилокси)фенилметил)-1,4,9-триазаспиро[5.5]ундекан · гидрохлорид

ТСХ:Rf 0,54 (хлороформ:метанол=10:1);
ЯМР (CD3OD): 8,04 (д, J=9,0 Гц, 2H), 7,63 (д, J=9,0 Гц, 2H), 7,19 (д, J=9,0 Гц, 2H), 7,08 (д, J=9,0 Гц, 2H), 4,38 (с, 2H), 4,05 (дд, J=7,5, 4,5 Гц, 1H), 3,90 (с, 3H), 3,88-3,72 (м, 2H), 3,58-3,38 (м, 4H), 2,58-2,38 (м, 2H), 2,28-2,08 (м, 2H), 1,84-1,08 (м, 15H), 1,06-0,86 (м, 2H), 0,96 (т, J=7,2 Гц, 3H).
Пример 7(29)
(3S)-1-бутил-2,5-диоксо-3-циклогексилметил-9-(3,5-диметил-1-(4-метоксифенил)пиразол-4-илметил)-1,4,9-триазаспиро[5.5]ундекан · 2гидрохлорид

ТСХ:Rf 0,40 (хлороформ:метанол=10:1);
ЯМР (CD3OD): 7,42 (д, J=9,0 Гц, 2H), 7,12 (д, J=9,0 Гц, 2H), 4,33 (с, 2H), 4,06 (дд, J=7,5, 4,5 Гц, 1H), 3,96-3,76 (м, 2H), 3,88 (с, 3H), 3,68-3,40 (м, 4H), 2,68-2,48 (м, 2H), 2,45 (с, 3H), 2,38 (с, 3H), 2,32-2,08 (м, 2H), 1,84-1,12 (м, 15H), 1,06-0,84 (м, 2H), 0,97 (т, J=7,2 Гц, 3H).
Пример 7(30)
(3S)-1-бутил-2,5-диоксо-3-циклогексилметил-9-(3,5-диметил-1-(1-метилпиперидин-4-ил)пиразол-4-илметил)-1,4,9-триазаспиро[5.5]ундекан · 3гидрохлорид

ТСХ:Rf 0,18 (хлороформ:метанол=5:1);
ЯМР (CD3OD): 4,58 (м, 1H), 4,21 (с, 2H), 4,03 (дд, J=7,5, 4,5 Гц, 1H), 3,86-3,42 (м, 8H), 3,32-3,20 (м, 2H), 2,93 (с, 3H), 2,70-2,50 (м, 2H), 2,50-2,26 (м, 2H), 2,45 (с, 3H), 2,33 (с, 3H), 2,24-2,04 (м, 4H), 1,82-1,06 (м, 15H), 1,02-0,86 (м, 5H).
Пример 7(31)
(3S)-1-бутил-2,5-диоксо-3-циклогексилметил-9-(3,5-диметил-1-(1-метилсульфонилпиперидин-4-ил)пиразол-4-илметил)-1,4,9-триазаспиро[5.5]ундекан · 2гидрохлорид

ТСХ:Rf 0,41 (хлороформ:метанол=10:1);
ЯМР (CD3OD): 4,44 (м, 1H), 4,24 (с, 2H), 4,04 (дд, J=7,8, 4,8 Гц, 1H), 3,92-3,68 (м, 4H), 3,60-3,40 (м, 4H), 3,02-2,90 (м, 2H), 2,89 (с, 3H), 2,60-2,40 (м, 2H), 2,46 (с, 3H), 2,36 (с, 3H), 2,26-1,96 (м, 6H), 1,82-1,10 (м, 15H), 1,02-0,86 (м, 5H).
Пример 7(32)
(3S)-1-бутил-2,5-диоксо-3-циклогексилметил-9-(3,5-диметил-1-(4-(3-(N,N-диметиламино)пропиламиносульфонил)фенил)пиразол-4-илметил)-1,4,9-триазаспиро[5.5]ундекан · 3гидрохлорид

ТСХ:Rf 0,22 (хлороформ:метанол:28% водный раствор аммиака=100:10:1);
ЯМР (CD3OD): 8,02 (д, J=8,7 Гц, 2H), 7,74 (д, J=8,7 Гц, 2H), 4,30 (с, 2H), 4,04 (дд, J=7,5, 4,5 Гц, 1H), 3,94-3,73 (м, 2H), 3,66-3,56 (м, 2H), 3,54-3,43 (м, 2H), 3,27-3,18 (м, 2H), 3,05-2,97 (м, 2H), 2,89 (с, 6H), 2,68-2,51 (м, 2H), 2,48 (с, 3H), 2,40 (с, 3H), 2,28-2,08 (м, 2H), 2,00-1,88 (м, 2H), 1,84-1,10 (м, 15H), 1,04-0,88 (м, 5H).
Пример 7(33)
(3S)-1-бутил-2,5-диоксо-3-циклогексилметил-9-(3,5-диметил-1-(4-(N-метил-N-(2-(N’,N’-диметиламино)этил)аминосульфонилфенил)пиразол-4-илметил)-1,4,9-триазаспиро[5.5]ундекан · 3гидрохлорид

ТСХ:Rf 0,32 (хлороформ:метанол:28% водный раствор аммиака=100:10:1);
ЯМР (CD3OD): 8,04 (д, J=8,7 Гц, 2H), 7,82 (д, J=8,7 Гц, 2H), 4,30 (с, 2H), 4,04 (дд, J=7,5, 4,5 Гц, 1H), 3,94-3,74 (м, 2H), 3,67-3,56 (м, 2H), 3,55-3,45 (м, 2H), 3,42 (с, 4H), 3,01 (с, 6H), 2,85 (с, 3H), 2,72-2,53 (м, 2H), 2,50 (с, 3H), 2,41 (с, 3H), 2,27-2,08 (м, 2H), 1,84-1,11 (м, 15H), 1,06-0,84 (м, 5H).
Пример 7(34)
(3S)-1-бутил-2,5-диоксо-3-циклогексилметил-9-(4-(пиперидин-1-илкарбонил)фенилметил)-1,4,9-триазаспиро[5.5]ундекан · гидрохлорид

ТСХ:Rf 0,56 (хлороформ:метанол=10:1);
ЯМР (CD3OD): 7,68 (д, J=8,1 Гц, 2H), 7,50 (д, J=8,1 Гц, 2H), 4,41 (с, 2H), 4,04 (дд, J=7,5, 4,8 Гц, 1H), 3,92-3,65 (м, 4H), 3,56-3,30 (м, 6H), 2,57-2,36 (м, 2H), 2,26-2,07 (м, 2H), 1,83-1,10 (м, 21H), 1,06-0,83 (м, 2H), 0,95 (т, J=7,2 Гц, 3H).
Пример 7(35)
(3S)-1-бутил-2,5-диоксо-3-циклогексилметил-9-(4-(морфолин-4-илкарбонил)фенилметил)-1,4,9-триазаспиро[5.5]ундекан · гидрохлорид

ТСХ:Rf 0,54 (хлороформ:метанол=10:1);
ЯМР (CD3OD): 7,69 (д, J=8,1 Гц, 2H), 7,55 (д, J=8,1 Гц, 2H), 4,41 (с, 2H), 4,04 (дд, J=7,5, 4,5 Гц, 1H), 3,91-3,55 (м, 8H), 3,55-3,30 (м, 6H), 2,57-2,37 (м, 2H), 2,27-2,05 (м, 2H), 1,83-1,08 (м, 15H), 1,06-0,83 (м, 2H), 0,94 (т, J=7,2 Гц, 3H).
Пример 7(36)
(3S)-1-бутил-2,5-диоксо-3-циклогексилметил-9-(4-(4-((N,N-диметиламино)метил)фенилокси)фенилметил)-1,4,9-триазаспиро[5.5]ундекан · 2гидрохлорид

ТСХ:Rf 0,37 (хлороформ:метанол=10:1);
ЯМР (CD3OD): 7,62 (д, J=8,7 Гц, 2H), 7,53 (д, J=8,7 Гц, 2H), 7,16-7,10 (м, 4H), 4,35 (с, 2H), 4,31 (с, 2H), 4,04 (дд, J=7,5, 4,5 Гц, 1H), 3,86-3,70 (м, 2H), 3,52-3,38 (м, 4H), 2,86 (с, 6H), 2,62-2,46 (м, 2H), 2,26-2,06 (м, 2H), 1,82-1,12 (м, 15H), 1,06-0,88 (м, 5H).
Пример 7(37)
(3S)-1-бутил-2,5-диоксо-3-циклогексилметил-9-(3,5-диметил-1-(4-метиламинокарбонилфенил)пиразол-4-илметил)-1,4,9-триазаспиро[5.5]ундекан · 2гидрохлорид

ТСХ:Rf 0,13 (этилацетат:метанол=10:1);
ЯМР (CD3OD): 8,00 (д, J=8,7 Гц, 2H), 7,61 (д, J=8,7 Гц, 2H), 4,33 (с, 2H), 4,06 (дд, J=7,8, 4,8 Гц, 1H), 3,94-3,76 (м, 2H), 3,66-3,56 (м, 2H), 3,52-3,40 (м, 2H), 2,95 (с, 3H), 2,62-2,38 (м, 2H), 2,50 (с, 3H), 2,42 (с, 3H), 2,32-2,10 (м, 2H), 1,84-1,18 (м, 15H), 1,06-0,84 (м, 2H), 0,97 (т, J=6,9 Гц, 3H).
Пример 7(38)
(3S)-1-бутил-2,5-диоксо-3-циклогексилметил-9-(3,5-диметил-1-(1,1-диметилэтил)пиразол-4-илметил)-1,4,9-триазаспиро[5.5]ундекан · 2гидрохлорид

ТСХ:Rf 0,38 (этилацетат:метанол=4:1);
ЯМР (CD3OD): 4,25 (с, 2H), 4,04 (дд, J=7,8, 4,8 Гц, 1H), 3,88-3,73 (м, 2H), 3,59-3,50 (м, 2H), 3,47-3,42 (м, 2H), 2,60 (с, 3H), 2,57-2,45 (м, 2H), 2,38 (с, 3H), 2,23-2,10 (м, 2H), 1,80-1,15 (м, 24H), 1,02-0,92 (м, 5H).
Пример 7(39)
(3S)-1-бутил-2,5-диоксо-3-циклогексилметил-9-(3,5-диметил-1-(1-бензилоксикарбонилпиперидин-4-ил)пиразол-4-илметил)-1,4,9-триазаспиро[5.5]ундекан · 2гидрохлорид

ТСХ:Rf 0,33 (этилацетат:метанол=4:1);
ЯМР (CD3OD): 7,39-7,29 (м, 5H), 5,14 (с, 2H), 4,52 (м, 1H), 4,33-4,29 (м, 2H), 4,25 (с, 2H), 4,04 (дд, J=7,8, 4,8 Гц, 1H), 3,87-3,72 (м, 2H), 3,55-3,42 (м, 4H), 3,10-2,98 (м, 2H), 2,60-2,43 (м, 5H), 2,36 (с, 3H), 2,23-1,95 (м, 6H), 1,80-1,15 (м, 15H), 1,02-0,92 (м, 5H).
Пример 7(40)
(3S)-1-бутил-2,5-диоксо-3-циклогексилметил-9-(4-(4-гидроксиметилфенилокси)фенилметил)-1,4,9-триазаспиро[5.5]ундекан

ТСХ:Rf 0,24 (хлороформ:метанол=20:1);
ЯМР (CD3OD): 7,34 (д, J=8,7 Гц, 2H), 7,31 (д, J=8,7 Гц, 2H), 6,95 (д, J=8,7 Гц, 2H), 6,94 (д, J=8,7 Гц, 2H), 4,57 (с, 2H), 4,00 (дд, J=7,5, 4,5 Гц, 1H), 3,55 (с, 2H), 3,47-3,38 (м, 2H), 2,93-2,74 (м, 4H), 2,24-2,04 (м, 2H), 2,00-1,83 (м, 2H), 1,83-1,08 (м, 15H), 1,05-0,84 (м, 2H), 0,95 (т, J=7,5 Гц, 3H).
Пример 7(41)
(3S)-1-бутил-2,5-диоксо-3-циклогексилметил-9-(4-((метоксикарбонил)метиламинокарбонил)фенилметил)-1,4,9-триазаспиро[5.5]ундекан

ЯМР (CDCl3): 7,78 (д, J=8,1 Гц, 2H), 7,43 (д, J=8,1 Гц, 2H), 6,71 (т, J=4,8 Гц, 1H), 6,32 (шс, 1H), 4,26 (д, J=4,8 Гц, 2H), 4,00 (м, 1H), 3,81 (с, 3H), 3,64 (с, 2H), 3,54-3,28 (м, 2H), 3,06-2,72 (м, 8H), 2,26-1,10 (м, 15H), 1,06-0,82 (м, 2H), 0,94 (т, J=6,9 Гц, 3H).
Пример 8
(3S)-1-бутил-2,5-диоксо-3-циклогексилметил-9-(4-(карбоксиметиламинокарбонил)фенилметил)-1,4,9-триазаспиро[5.5]ундекан · гидрохлорид

По методике, описанной в примере 5, используя соединение, полученное в примере 7(41), вместо соединения, полученного в примере 4(42), получают указанное в заголовке соединение, имеющее следующие физические данные.
ТСХ:Rf 0,36 (бутанол:уксусная кислота:вода=4:2:1);
ЯМР (CD3OD): 7,99 (д, J=8,1 Гц, 2H), 7,70 (д, J=8,1 Гц, 2H), 4,45 (с, 2H), 4,11 (с, 2H), 4,04 (дд, J=7,2, 4,5 Гц, 1H), 3,94-3,74 (м, 2H), 3,58-3,36 (м, 4H), 2,56-2,34 (м, 2H), 2,30-2,06 (м, 2H), 1,84-1,16 (м, 15H), 1,06-0,86 (м, 2H), 0,96 (т, J=7,2 Гц, 3H).
Пример 9
(3R)-1-бутил-2,5-диоксо-3-((1R)-1-гидрокси-1-циклогексилметил)-9-(4-фенилоксифенилметил)-1,4,9-триазаспиро[5.5]ундекан · гидрохлорид

По методике, описанной в примере 2, используя соединение, полученное в ссылочном примере 3(3), вместо соединения, полученного в ссылочном примере 3, используя 4-фенилоксибензальдегид вместо 3-формил-6-фенилоксипиридина, получают указанное в заголовке соединение, имеющее следующие физические данные.
ТСХ:Rf 0,46 (этилацетат:метанол=10:1);
ЯМР (CD3OD): 7,50 (д, J=8,7 Гц, 2H), 7,42-7,37 (м, 2H), 7,18 (м, 1H), 7,07-7,01 (м, 4H), 4,31 (с, 2H), 4,15 (д, J=2,1 Гц, 1H), 3,97 (м, 1H), 3,71 (м, 1H), 3,60-3,05 (м, 5H), 2,55-1,90 (м, 6H), 1,90-1,60 (м, 5H), 1,60-1,10 (м, 6H), 1,10-0,90 (м, 2H), 0,95 (т, J=7,2 Гц, 3H).
Примеры 9(1)-9(71)
По методике, описанной в примере 9, используя соответствующие альдегидные производные соответственно вместо 4-фенилоксибензальдегида, получают следующие соединения, имеющие следующие физические данные.
Пример 9(1)
(3R)-1-бутил-2,5-диоксо-3-((1R)-1-гидрокси-1-циклогексилметил)-9-(6-фенилоксипиридин-3-илметил)-1,4,9-триазаспиро[5.5]ундекан · 2гидрохлорид

ТСХ:Rf 0,36 (этилацетат:метанол=10:1);
ЯМР (CD3OD): 8,28 (д, J=2,7 Гц, 1H), 8,01 (дд, J=8,4, 2,7 Гц, 1H), 7,43 (т, J=8,4 Гц, 2H), 7,25 (т, J=8,4 Гц, 1H), 7,13 (д, J=8,4 Гц, 2H), 7,06 (д, J=8,4 Гц, 1H), 4,38 (с, 2H), 4,15 (д, J=1,8 Гц, 1H), 4,02 (м, 1H), 3,77 (м, 1H), 3,60-3,05 (м, 5H), 2,55-1,90 (м, 6H), 1,90-1,60 (м, 5H), 1,60-1,10 (м, 6H), 1,10-0,90 (м, 2H), 0,95 (т, J=7,2 Гц, 3H).
Пример 9(2)
(3R)-1-бутил-2,5-диоксо-3-((1R)-1-гидрокси-1-циклогексилметил)-9-(4-(4-фторфенилокси)фенилметил)-1,4,9-триазаспиро[5.5]ундекан · гидрохлорид

ТСХ:Rf 0,48 (хлороформ:метанол=9:1);
ЯМР (CD3OD): 7,54-7,48 (м, 2H), 7,14 (дд, J=9,6, 8,1 Гц, 2H), 7,09-7,02 (м, 4H), 4,33 (с, 2H), 4,15 (д, J=2,1 Гц, 1H), 4,00 (м, 1H), 3,73 (м, 1H), 3,57-3,40 (м, 3H), 3,33-3,08 (м, 2H), 2,54-1,88 (м, 6H), 1,82-1,63 (м, 5H), 1,48-1,12 (м, 6H), 1,03-0,85 (м, 2H), 0,95 (т, J=7,2 Гц, 3H).
Пример 9(3)
(3R)-1-бутил-2,5-диоксо-3-((1R)-1-гидрокси-1-циклогексилметил)-9-(4-(4-хлорфенилокси)фенилметил)-1,4,9-триазаспиро[5.5]ундекан · гидрохлорид

ТСХ:Rf 0,50 (хлороформ:метанол=9:1);
ЯМР (CD3OD): 7,58-7,51 (м, 2H), 7,38 (д, J=9,3 Гц, 2H), 7,09 (шд, J=8,4 Гц, 2H), 7,02 (д, J=9,3 Гц, 2H), 4,34 (с, 2H), 4,15 (д, J=2,1 Гц, 1H), 3,99 (м, 1H), 3,73 (м, 1H), 3,58-3,40 (м, 3H), 3,32-3,09 (м, 2H), 2,53-1,89 (м, 6H), 1,81-1,62 (м, 5H), 1,48-1,13 (м, 6H), 1,03-0,82 (м, 2H), 0,95 (т, J=7,2 Гц, 3H).
Пример 9(4)
(3R)-1-бутил-2,5-диоксо-3-((1R)-1-гидрокси-1-циклогексилметил)-9-(4-(4-цианофенилокси)фенилметил)-1,4,9-триазаспиро[5.5]ундекан · гидрохлорид

ТСХ:Rf 0,52 (хлороформ:метанол=9:1);
ЯМР (CD3OD): 7,74 (д, J=9,0 Гц, 2H), 7,64-7,58 (м, 2H), 7,21 (д, J=8,4 Гц, 2H), 7,13 (д, J=9,0 Гц, 2H), 4,38 (с, 2H), 4,16 (д, J=2,1 Гц, 1H), 4,02 (м, 1H), 3,77 (м, 1H), 3,57-3,43 (м, 3H), 3,33-3,08 (м, 2H), 2,54-1,90 (м, 6H), 1,80-1,63 (м, 5H), 1,48-1,13 (м, 6H), 1,03-0,82 (м, 2H), 0,96 (т, J=7,2 Гц, 3H).
Пример 9(5)
(3R)-1-бутил-2,5-диоксо-3-((1R)-1-гидрокси-1-циклогексилметил)-9-(4-(4-метилсульфониламинофенилокси)фенилметил)-1,4,9-триазаспиро[5.5]ундекан · гидрохлорид

ТСХ:Rf 0,41 (хлороформ:метанол=9:1);
ЯМР (CD3OD): 7,53 (д, J=8,7 Гц, 2H), 7,29 (д, J=8,7 Гц, 2H), 7,06 (д, J=8,7 Гц, 2H), 7,03 (д, J=8,7 Гц, 2H), 4,33 (с, 2H), 4,15 (д, J=1,8 Гц, 1H), 3,98 (м, 1H), 3,73 (м, 1H), 3,58-3,40 (м, 3H), 3,32-3,03 (м, 2H), 2,95 (с, 3H), 2,52-2,24 (м, 3H), 2,17-1,88 (м, 3H), 1,80-1,62 (м, 5H), 1,48-1,08 (м, 6H), 1,03-0,82 (м, 2H), 0,95 (т, J=7,2 Гц, 3H).
Пример 9(6)
(3R)-1-бутил-2,5-диоксо-3-((1R)-1-гидрокси-1-циклогексилметил)-9-(4-(6-метилпиридин-3-илокси)фенилметил)-1,4,9-триазаспиро[5.5]ундекан · 2гидрохлорид

ТСХ:Rf 0,21 (этилацетат:метанол=10:1);
ЯМР (CD3OD): 8,54 (д, J=3,0 Гц, 1H), 8,08 (м, 1H), 7,82 (д, J=9,0 Гц, 1H), 7,70 (д, J=9,0 Гц, 2H), 7,28 (д, J=9,0 Гц, 2H), 4,39 (с, 2H), 4,10 (д, J=2,1 Гц, 1H), 4,01 (м, 1H), 3,75 (м, 1H), 3,60-3,20 (м, 5H), 2,73 (с, 3H), 2,70-2,35 (м, 3H), 2,20-1,90 (м, 3H), 1,90-1,60 (м, 5H), 1,50-1,15 (м, 6H), 1,10-0,90 (м, 2H), 0,95 (т, J=7,2 Гц, 3H).
Пример 9(7)
(3R)-1-бутил-2,5-диоксо-3-((1R)-1-гидрокси-1-циклогексилметил)-9-(4-(1-метилэтил)фенилметил)-1,4,9-триазаспиро[5.5]ундекан · гидрохлорид

ТСХ:Rf 0,41 (этилацетат:метанол=10:1);
ЯМР (CD3OD): 7,45 (д, J=8,1 Гц, 2H), 7,37 (д, J=8,1 Гц, 2H), 4,30 (с, 2H), 4,15 (д, J=2,1 Гц, 1H), 3,98 (м, 1H), 3,72 (м, 1H), 3,60-3,05 (м, 5H), 2,95 (квинт, J=6,9 Гц, 1H), 2,50-1,90 (м, 6H), 1,85-1,60 (м, 5H), 1,50-1,10 (м, 6H), 1,25 (д, J=6,9 Гц, 6H), 1,10-0,90 (м, 2H), 0,95 (т, J=6,9 Гц, 3H).
Пример 9(8)
(3R)-1-бутил-2,5-диоксо-3-((1R)-1-гидрокси-1-циклогексилметил)-9-(4-(4-метилсульфинилфенилокси)фенилметил)-1,4,9-триазаспиро[5.5]ундекан · гидрохлорид

ТСХ:Rf 0,32 (хлороформ:метанол=9:1);
ЯМР (CD3OD): 7,74 (д, J=9,0 Гц, 2H), 7,61 (д, J=9,0 Гц, 2H), 7,22 (д, J=9,0 Гц, 2H), 7,17 (д, J=9,0 Гц, 2H), 4,36 (с, 2H), 4,16 (д, J=2,1 Гц, 1H), 4,00 (дт, J=3,6, 12,6 Гц, 1H), 3,75 (дт, J=3,6, 12,6 Гц, 1H), 3,58-3,42 (м, 3H), 3,32-3,13 (м, 2H), 2,80 (с, 3H), 2,54-2,25 (м, 3H), 2,17-1,88 (м, 3H), 1,80-1,63 (м, 5H), 1,49-1,13 (м, 6H), 1,02-0,82 (м, 2H), 0,96 (т, J=7,2 Гц, 3H).
Пример 9(9)
(3R)-1-бутил-2,5-диоксо-3-((1R)-1-гидрокси-1-циклогексилметил)-9-(4-(3,4,5,6-тетрагидропиран-4-илокси)фенилметил)-1,4,9-триазаспиро[5.5]ундекан · гидрохлорид

ТСХ:Rf 0,43 (этилацетат:метанол=4:1);
ЯМР (CD3OD): 7,45 (д, J=9,0 Гц, 2H), 7,06 (д, J=9,0 Гц, 2H), 4,63 (м, 1H), 4,28 (с, 2H), 4,15 (д, J=2,0 Гц, 1H), 4,01-3,90 (м, 3H), 3,72 (м, 1H), 3,63-3,53 (м, 2H), 3,50-3,41 (м, 3H), 3,27 (м, 1H), 3,15 (м, 1H), 2,50-1,91 (м, 8H), 1,68-1,65 (м, 7H), 1,39-1,15 (м, 6H), 1,01-0,87 (м, 5H).
Пример 9(10)
(3R)-1-бутил-2,5-диоксо-3-((1R)-1-гидрокси-1-циклогексилметил)-9-(4-фенилкарбонилфенилметил)-1,4,9-триазаспиро[5.5]ундекан · гидрохлорид

ТСХ:Rf 0,75 (этилацетат:метанол=4:1);
ЯМР (CD3OD): 7,87 (д, J=7,5 Гц, 2H), 7,81-7,72 (м, 4H), 7,67 (т, J=7,5 Гц, 1H), 7,54 (т, J=7,5 Гц, 2H), 4,48 (с, 2H), 4,16 (д, J=2,0 Гц, 1H), 4,07 (м, 1H), 3,81 (м, 1H), 3,53-3,47 (м, 3H), 3,33-3,17 (м, 2H), 2,51-2,31 (м, 3H), 2,17-1,92 (м, 3H), 1,76-1,70 (м, 5H), 1,40-1,15 (м, 6H), 1,01-0,87 (м, 5H).
Пример 9(11)
(3R)-1-бутил-2,5-диоксо-3-((1R)-1-гидрокси-1-циклогексилметил)-9-(4-(1-фенил-1-гидроксиметил)фенилметил)-1,4,9-триазаспиро[5.5]ундекан · гидрохлорид

ТСХ:Rf 0,57 (этилацетат:метанол=4:1);
ЯМР (CD3OD): 7,53 (д, J=8,0 Гц, 2H), 7,48 (д, J=8,0 Гц, 2H), 7,39-7,20 (м, 5H), 5,81 (с, 1H), 4,33 (с, 2H), 4,14 (д, J=2,0 Гц, 1H), 4,00 (м, 1H), 3,74 (м, 1H), 3,45-3,41 (м, 3H), 3,26 (м, 1H), 3,10 (м, 1H), 2,48-1,91 (м, 6H), 1,80-1,60 (м, 5H), 1,44-1,14 (м, 6H), 1,00-0,86 (м, 5H).
Пример 9(12)
(3R)-1-бутил-2,5-диоксо-3-((1R)-1-гидрокси-1-циклогексилметил)-9-(3,5-диметил-1-(4-(морфолин-4-илсульфонил)фенил)пиразол-4-илметил)-1,4,9-триазаспиро[5.5]ундекан · 2гидрохлорид

ТСХ:Rf 0,49 (хлороформ:метанол=10:1);
ЯМР (CD3OD): 7,95 (д, J=8,7 Гц, 2H), 7,79 (д, J=8,7 Гц, 2H), 4,31 (с, 2H), 4,17 (д, J=2,1 Гц, 1H), 4,04 (м, 1H), 3,79 (м, 1H), 3,75-3,67 (м, 4H), 3,64-3,49 (м, 3H), 3,35-3,18 (м, 2H), 3,05-2,97 (м, 4H), 2,66-2,34 (м, 3H), 2,49 (с, 3H), 2,40 (с, 3H), 2,20-1,87 (м, 3H), 1,84-1,60 (м, 5H), 1,52-1,10 (м, 6H), 1,05-0,80 (м, 2H), 0,96 (т, J=7,2 Гц, 3H).
Пример 9(13)
(3R)-1-бутил-2,5-диоксо-3-((1R)-1-гидрокси-1-циклогексилметил)-9-(3,5-диметил-1-(4-метиламиносульфонилфенил)пиразол-4-илметил)-1,4,9-триазаспиро[5.5]ундекан · 2гидрохлорид

ТСХ:Rf 0,36 (этилацетат:метанол=4:1);
ЯМР (CD3OD): 8,01 (д, J=8,7 Гц, 2H), 7,73 (д, J=8,7 Гц, 2H), 4,31 (с, 2H), 4,16 (д, J=2,0 Гц, 1H), 4,05 (м, 1H), 3,80 (м, 1H), 3,63-3,53 (м, 3H), 3,34-3,23 (м, 2H), 2,59-2,34 (м, 3H), 2,57 (с, 3H), 2,46 (с, 3H), 2,39 (с, 3H), 2,16 (м, 1H), 2,05-1,93 (м, 2H), 1,77-1,66 (м, 5H), 1,45-1,17 (м, 6H), 1,01-0,88 (м, 5H).
Пример 9(14)
(3R)-1-бутил-2,5-диоксо-3-((1R)-1-гидрокси-1-циклогексилметил)-9-(3,5-диметил-1-(4-(N-метил-N-(2-гидроксиэтил)аминосульфонил)фенил)пиразол-4-илметил)-1,4,9-триазаспиро[5.5]ундекан · 2гидрохлорид

ТСХ:Rf 0,44 (хлороформ:метанол=10:1);
ЯМР (CD3OD): 7,98 (д, J=8,7 Гц, 2H), 7,75 (д, J=8,7 Гц, 2H), 4,31 (с, 2H), 4,17 (д, J=2,0 Гц, 1H), 4,04 (м, 1H), 3,78 (м, 1H), 3,69 (т, J=5,7 Гц, 2H), 3,64-3,50 (м, 3H), 3,38-3,24 (м, 2H), 3,19 (т, J=5,7 Гц, 2H), 2,87 (с, 3H), 2,60-2,34 (м, 3H), 2,47 (с, 3H), 2,40 (с, 3H), 2,20-1,88 (м, 3H), 1,82-1,60 (м, 5H), 1,50-1,12 (м, 6H), 1,04-0,82 (м, 5H).
Пример 9(15)
(3R)-1-бутил-2,5-диоксо-3-((1R)-1-гидрокси-1-циклогексилметил)-9-(3,5-диметил-1-(пиридин-2-ил)пиразол-4-илметил)-1,4,9-триазаспиро[5.5]ундекан · 2гидрохлорид

ТСХ:Rf 0,40 (этилацетат:метанол=4:1);
ЯМР (CD3OD): 8,51 (д, J=4,5 Гц, 1H), 8,01 (м, 1H), 7,80 (д, J=8,0 Гц, 1H), 7,41 (м, 1H), 4,32 (с, 2H), 4,16 (д, J=2,0 Гц, 1H), 4,05 (м, 1H), 3,80 (м, 1H), 3,60-3,49 (м, 3H), 3,33-3,10 (м, 2H), 2,67 (с, 3H), 2,53-2,35 (м, 3H), 2,41 (с, 3H), 2,16 (м, 1H), 2,05-1,93 (м, 2H), 1,80-1,65 (м, 5H), 1,50-1,15 (м, 6H), 1,01-0,88 (м, 5H).
Пример 9(16)
(3R)-1-бутил-2,5-диоксо-3-((1R)-1-гидрокси-1-циклогексилметил)-9-(3,5-диметил-1-циклогексилпиразол-4-илметил)-1,4,9-триазаспиро[5.5]ундекан · 2гидрохлорид

ТСХ:Rf 0,34 (этилацетат:метанол=4:1);
ЯМР (CD3OD): 4,32 (м, 1H), 4,27 (с, 2H), 4,15 (д, J=2,0 Гц, 1H), 4,00 (м, 1H), 3,73 (м, 1H), 3,60-3,50 (м, 3H), 3,37-3,20 (м, 2H), 2,58-2,40 (м, 9H), 2,13-1,70 (м, 15H), 1,58-1,15 (м, 9H), 1,01-0,88 (м, 5H).
Пример 9(17)
(3R)-1-бутил-2,5-диоксо-3-((1R)-1-гидрокси-1-циклогексилметил)-9-(1,3,5-триметилпиразол-4-илметил)-1,4,9-триазаспиро[5.5]ундекан · 2гидрохлорид

ТСХ:Rf 0,28 (хлороформ:метанол=10:1);
ЯМР (CD3OD): 4,27 (с, 2H), 4,15 (д, J=2,1 Гц, 1H), 3,98 (м, 1H), 3,85 (с, 3H), 3,73 (м, 1H), 3,62-3,56 (м, 3H), 3,40-3,20 (м, 2H), 2,60 (м, 1H), 2,50-2,36 (м, 2H), 2,45 (с, 3H), 2,41 (с, 3H), 2,16-1,88 (м, 3H), 1,84-1,60 (м, 5H), 1,50-1,10 (м, 6H), 1,04-0,80 (м, 2H), 0,95 (т, J=7,2 Гц, 3H).
Пример 9(18)
(3R)-1-бутил-2,5-диоксо-3-((1R)-1-гидрокси-1-циклогексилметил)-9-(3,5-диметил-1-(4-(N,N-диметиламинокарбонил)фенил)пиразол-4-илметил)-1,4,9-триазаспиро[5.5]ундекан · 2гидрохлорид

ТСХ:Rf 0,19 (этилацетат:метанол=4:1);
ЯМР (CD3OD): 7,62 (д, J=9,0 Гц, 2H), 7,58 (д, J=9,0 Гц, 2H), 4,32 (с, 2H), 4,17 (д, J=2,0 Гц, 1H), 4,05 (м, 1H), 3,80 (м, 1H), 3,60-3,53 (м, 3H), 3,33-3,27 (м, 2H), 3,13 (с, 3H), 3,04 (с, 3H), 2,53-2,35 (м, 3H), 2,42 (с, 3H), 2,39 (с, 3H), 2,17 (м, 1H), 2,05-1,92 (м, 2H), 1,77-1,65 (м, 5H), 1,39-1,15 (м, 6H), 1,01-0,88 (м, 5H).
Пример 9(19)
(3R)-1-бутил-2,5-диоксо-3-((1R)-1-гидрокси-1-циклогексилметил)-9-(4-(N,N-бисметилсульфонил)фенилметил)-1,4,9-триазаспиро[5.5]ундекан · гидрохлорид

ТСХ:Rf 0,47 (этилацетат:метанол=10:1);
ЯМР (CD3OD): 7,69 (д, J=8,4 Гц, 2H), 7,60 (д, J=8,4 Гц, 2H), 4,42 (с, 2H), 4,16 (д, J=2,1 Гц, 1H), 4,06 (м, 1H), 3,80 (м, 1H), 3,60-3,10 (м, 5H), 3,46 (с, 6H), 2,55-1,90 (м, 6H), 1,90-1,60 (м, 5H), 1,50-1,10 (м, 6H), 1,10-0,90 (м, 2H), 0,95 (т, J=6,9 Гц, 3H).
Пример 9(20)
(3R)-1-бутил-2,5-диоксо-3-((1R)-1-гидрокси-1-циклогексилметил)-9-(3,5-диметил-1-(4-метилсульфониламинофенил)пиразол-4-илметил)-1,4,9-триазаспиро[5.5]ундекан · 2гидрохлорид

ТСХ:Rf 0,30 (хлороформ:метанол=9:1);
ЯМР (CD3OD): 7,48-7,38 (м, 4H), 4,30 (с, 2H), 4,17 (д, J=2,1 Гц, 1H), 4,03 (м, 1H), 3,78 (м, 1H), 3,62-3,49 (м, 3H), 3,37-3,21 (м, 2H), 3,04 (с, 3H), 2,62-2,35 (м, 3H), 2,40 (с, 3H), 2,38 (с, 3H), 2,18-1,90 (м, 3H), 1,83-1,63 (м, 5H), 1,48-1,13 (м, 6H), 1,03-0,82 (м, 2H), 0,96 (т, J=7,2 Гц, 3H).
Пример 9(21)
(3R)-1-бутил-2,5-диоксо-3-((1R)-1-гидрокси-1-циклогексилметил)-9-(3,5-диметил-1-(4-(N,N-диметилсульфонил)фенил)пиразол-4-илметил)-1,4,9-триазаспиро[5.5]ундекан · 2гидрохлорид

ТСХ:Rf 0,36 (хлороформ:метанол=9:1);
ЯМР (CD3OD): 7,96 (д, J=8,7 Гц, 2H), 7,77 (д, J=8,7 Гц, 2H), 4,32 (с, 2H), 4,17 (д, J=2,1 Гц, 1H), 4,05 (м, 1H), 3,79 (м, 1H), 3,63-3,48 (м, 3H), 3,34-3,15 (м, 2H), 2,74 (с, 6H), 2,58-2,32 (м, 3H), 2,47 (с, 3H), 2,40 (с, 3H), 2,21-1,90 (м, 3H), 1,82-1,62 (м, 5H), 1,48-1,13 (м, 6H), 1,03-0,82 (м, 2H), 0,96 (т, J=7,2 Гц, 3H).
Пример 9(22)
(3R)-1-бутил-2,5-диоксо-3-((1R)-1-гидрокси-1-циклогексилметил)-9-(3,5-диметил-1-(4-(пирролидин-1-илкарбонил)фенил)пиразол-4-илметил)-1,4,9-триазаспиро[5.5]ундекан · 2гидрохлорид

ТСХ:Rf 0,38 (хлороформ:метанол=9:1);
ЯМР (CD3OD): 7,72 (д, J=8,7 Гц, 2H), 7,59 (д, J=8,7 Гц, 2H), 4,31 (с, 2H), 4,17 (д, J=2,4 Гц, 1H), 4,04 (м, 1H), 3,78 (м, 1H), 3,65-3,47 (м, 3H), 3,62 (т, J=6,6 Гц, 2H), 3,50 (т, J=6,6 Гц, 2H), 3,33-3,18 (м, 2H), 2,60-2,32 (м, 3H), 2,43 (с, 3H), 2,39 (с, 3H), 2,20-1,87 (м, 7H), 1,82-1,62 (м, 5H), 1,48-1,13 (м, 6H), 1,03-0,82 (м, 2H), 0,96 (т, J=7,2 Гц, 3H).
Пример 9(23)
(3R)-1-бутил-2,5-диоксо-3-((1R)-1-гидрокси-1-циклогексилметил)-9-(3,5-диметил-1-(4-(морфолин-4-илкарбонил)фенил)пиразол-4-илметил)-1,4,9-триазаспиро[5.5]ундекан · 2гидрохлорид

ТСХ:Rf 0,38 (хлороформ:метанол=9:1);
ЯМР (CD3OD): 7,65-7,57 (м, 4H), 4,31 (с, 2H), 4,17 (д, J=2,4 Гц, 1H), 4,04 (м, 1H), 3,85-3,46 (м, 12H), 3,34-3,17 (м, 2H), 2,60-2,32 (м, 3H), 2,43 (с, 3H), 2,39 (с, 3H), 2,20-1,90 (м, 3H), 1,82-1,62 (м, 5H), 1,48-1,13 (м, 6H), 1,03-0,82 (м, 2H), 0,96 (т, J=7,2 Гц, 3H).
Пример 9(24)
(3R)-1-бутил-2,5-диоксо-3-((1R)-1-гидрокси-1-циклогексилметил)-9-(4-аминокарбонилфенилметил)-1,4,9-триазаспиро[5.5]ундекан · гидрохлорид

ТСХ:Rf 0,40 (этилацетат:метанол=3:1);
ЯМР (CD3OD): 7,99 (д, J=8,4 Гц, 2H), 7,70 (д, J=8,4 Гц, 2H), 4,44 (с, 2H), 4,16 (д, J=2,1 Гц, 1H), 4,04 (м, 1H), 3,78 (м, 1H), 3,60-3,38 (м, 3H), 3,30-3,08 (м, 2H), 2,60-2,24 (м, 3H), 2,20-1,86 (м, 3H), 1,82-1,58 (м, 5H), 1,50-1,06 (м, 6H), 1,04-0,80 (м, 2H), 0,96 (т, J=7,2 Гц, 3H).
Пример 9(25)
(3R)-1-бутил-2,5-диоксо-3-((1R)-1-гидрокси-1-циклогексилметил)-9-(4-(4-аминокарбонилфенилокси)фенилметил)-1,4,9-триазаспиро[5.5]ундекан · гидрохлорид

ТСХ:Rf 0,25 (хлороформ:метанол=10:1);
ЯМР (CD3OD): 7,90 (д, J=8,7 Гц, 2H), 7,57 (д, J=8,7 Гц, 2H), 7,16 (д, J=8,7 Гц, 2H), 7,07 (д, J=8,7 Гц, 2H), 4,36 (с, 2H), 4,15 (д, J=2,1 Гц, 1H), 4,02 (м, 1H), 3,76 (м, 1H), 3,56-3,42 (м, 3H), 3,33-2,99 (м, 2H), 2,54-1,88 (м, 6H), 1,81-1,60 (м, 5H), 1,48-1,12 (м, 6H), 1,04-0,81 (м, 5H).
Пример 9(26)
(3R)-1-бутил-2,5-диоксо-3-((1R)-1-гидрокси-1-циклогексилметил)-9-(4-(4-аминосульфонилфенилокси)фенилметил)-1,4,9-триазаспиро[5.5]ундекан · гидрохлорид

ТСХ:Rf 0,28 (хлороформ:метанол=10:1);
ЯМР (CD3OD): 7,89 (д, J=8,7 Гц, 2H), 7,61 (д, J=8,7 Гц, 2H), 7,17 (д, J=8,7 Гц, 2H), 7,13 (д, J=8,7 Гц, 2H), 4,36 (с, 2H), 4,15 (д, J=2,1 Гц, 1H), 4,01 (м, 1H), 3,75 (м, 1H), 3,58-3,42 (м, 3H), 3,32-3,14 (м, 2H), 2,55-2,40 (м, 2H), 2,32 (м, 1H), 2,13 (м, 1H), 2,07-1,89 (м, 2H), 1,82-1,60 (м, 5H), 1,50-1,12 (м, 6H), 1,06-0,80 (м, 5H).
Пример 9(27)
(3R)-1-бутил-2,5-диоксо-3-((1R)-1-гидрокси-1-циклогексилметил)-9-(4-(6-метилпиридин-1-оксидо-3-илокси)фенилметил)-1,4,9-триазаспиро[5.5]ундекан · гидрохлорид

ТСХ:Rf 0,62 (хлороформ:метанол=5:1);
ЯМР (CD3OD): 8,51 (с, 1H), 7,80-7,56 (м, 2H), 7,72 (д, J=8,7 Гц, 2H), 7,29 (д, J=8,7 Гц, 2H), 4,39 (с, 2H), 4,16 (д, J=2,1 Гц, 1H), 4,00 (м, 1H), 3,78 (м, 1H), 3,62-3,40 (м, 3H), 3,36-3,18 (м, 2H), 2,64-2,30 (м, 3H), 2,63 (с, 3H), 2,20-1,86 (м, 3H), 1,84-1,58 (м, 5H), 1,52-1,08 (м, 6H), 1,04-0,82 (м, 2H), 0,96 (т, J=7,2 Гц, 3H).
Пример 9(28)
(3R)-1-бутил-2,5-диоксо-3-((1R)-1-гидрокси-1-циклогексилметил)-9-(4-(4-гидроксифенилокси)фенилметил)-1,4,9-триазаспиро[5.5]ундекан · гидрохлорид

ТСХ:Rf 0,35 (хлороформ:метанол=10:1);
ЯМР (CD3OD): 7,46 (д, J=9,0 Гц, 2H), 6,97 (д, J=9,0 Гц, 2H), 6,88 (д, J=9,0 Гц, 2H), 6,80 (д, J=9,0 Гц, 2H), 4,30 (с, 2H), 4,15 (д, J=2,1 Гц, 1H), 3,98 (м, 1H), 3,72 (м, 1H), 3,67-3,39 (м, 3H), 3,27 (м, 1H), 3,15 (м, 1H), 2,53-2,35 (м, 2H), 2,26 (м, 1H), 2,18-1,87 (м, 3H), 1,84-1,60 (м, 5H), 1,51-1,05 (м, 6H), 1,04-0,80 (м, 2H), 0,95 (т, J=7,2 Гц, 3H).
Пример 9(29)
(3R)-1-бутил-2,5-диоксо-3-((1R)-1-гидрокси-1-циклогексилметил)-9-(3,5-диметил-1-(4-гидроксифенил)пиразол-4-илметил)-1,4,9-триазаспиро[5.5]ундекан · 2гидрохлорид

ТСХ:Rf 0,25 (хлороформ:метанол=10:1);
ЯМР (CD3OD): 7,34 (д, J=8,7 Гц, 2H), 6,96 (д, J=8,7 Гц, 2H), 4,34 (с, 2H), 4,16 (д, J=2,1 Гц, 1H), 4,04 (м, 1H), 3,79 (м, 1H), 3,65-3,50 (м, 3H), 3,32 (м, 1H), 3,29 (м, 1H), 2,64 (м, 1H), 2,55-2,42 (м, 2H), 2,48 (с, 3H), 2,38 (с, 3H), 2,20-1,88 (м, 3H), 1,83-1,60 (м, 5H), 1,52-1,05 (м, 6H), 1,04-0,81 (м, 2H), 0,96 (т, J=6,9 Гц, 3H).
Пример 9(30)
(3R)-1-бутил-2,5-диоксо-3-((1R)-1-гидрокси-1-циклогексилметил)-9-(3,5-диметил-1-(4-(2-гидроксиэтиламиносульфонил)фенил)пиразол-4-илметил)-1,4,9-триазаспиро[5.5]ундекан · 2гидрохлорид

ТСХ:Rf 0,32 (хлороформ:метанол=10:1);
ЯМР (CD3OD): 8,03 (д, J=8,7 Гц, 2H), 7,71 (д, J=8,7 Гц, 2H), 4,32 (с, 2H), 4,17 (д, J=2,1 Гц, 1H), 4,06 (м, 1H), 3,80 (м, 1H), 3,62-3,48 (м, 5H), 3,38-3,18 (м, 2H), 3,01 (т, J=5,7 Гц, 2H), 2,58-2,30 (м, 3H), 2,46 (с, 3H), 2,39 (с, 3H), 2,20-1,88 (м, 3H), 1,82-1,62 (м, 5H), 1,50-1,10 (м, 6H), 1,02-0,82 (м, 5H).
Пример 9(31)
(3R)-1-бутил-2,5-диоксо-3-((1R)-1-гидрокси-1-циклогексилметил)-9-(3,5-диметил-1-(4-(пирролидин-1-илсульфонил)фенил)пиразол-4-илметил)-1,4,9-триазаспиро[5.5]ундекан · 2гидрохлорид

ТСХ:Rf 0,59 (хлороформ:метанол=10:1);
ЯМР (CD3OD): 8,01 (д, J=8,7 Гц, 2H), 7,75 (д, J=8,7 Гц, 2H), 4,32 (с, 2H), 4,17 (д, J=2,4 Гц, 1H), 4,06 (м, 1H), 3,80 (м, 1H), 3,62-3,48 (м, 3H), 3,38-3,18 (м, 6H), 2,60-2,30 (м, 3H), 2,47 (с, 3H), 2,39 (с, 3H), 2,20-1,88 (м, 3H), 1,82-1,60 (м, 9H), 1,50-1,10 (м, 6H), 1,02-0,82 (м, 5H).
Пример 9(32)
(3R)-1-бутил-2,5-диоксо-3-((1R)-1-гидрокси-1-циклогексилметил)-9-(5-хлор-3-метил-1-фенилпиразол-4-илметил)-1,4,9-триазаспиро[5.5]ундекан · 2гидрохлорид

ТСХ:Rf 0,52 (хлороформ:метанол=10:1);
ЯМР (CD3OD): 7,62-7,46 (м, 5H), 4,34 (с, 2H), 4,17 (д, J=1,8 Гц, 1H), 4,10 (м, 1H), 3,83 (м, 1H), 3,66-3,47 (м, 3H), 3,39-3,13 (м, 2H), 2,60-2,28 (м, 3H), 2,44 (с, 3H), 2,18 (м, 1H), 2,09-1,88 (м, 2H), 1,85-1,62 (м, 5H), 1,54-1,13 (м, 6H), 1,03-0,81 (м, 2H), 0,97 (т, J=7,2 Гц, 3H).
Пример 9(33)
(3R)-1-бутил-2,5-диоксо-3-((1R)-1-гидрокси-1-циклогексилметил)-9-(4-(4-метоксифенилокси)фенилметил)-1,4,9-триазаспиро[5.5]ундекан · гидрохлорид

ТСХ:Rf 0,50 (хлороформ:метанол=10:1);
ЯМР (CD3OD): 7,49 (д, J=8,7 Гц, 2H), 6,98 (д, J=8,7 Гц, 2H), 7,02-6,92 (м, 4H), 4,30 (с, 2H), 4,15 (д, J=2,1 Гц, 1H), 3,97 (м, 1H), 3,79 (с, 3H), 3,72 (м, 1H), 3,58-3,38 (м, 3H), 3,30-3,13 (м, 2H), 2,55-2,40 (м, 2H), 2,32 (м, 1H), 2,16-1,86 (м, 3H), 1,81-1,60 (м, 5H), 1,50-1,10 (м, 6H), 1,03-0,80 (м, 2H), 0,95 (т, J=7,2 Гц, 3H).
Пример 9(34)
(3R)-1-бутил-2,5-диоксо-3-((1R)-1-гидрокси-1-циклогексилметил)-9-(4-(3-метоксифенилокси)фенилметил)-1,4,9-триазаспиро[5.5]ундекан · гидрохлорид

ТСХ:Rf 0,50 (хлороформ:метанол=10:1);
ЯМР (CD3OD): 7,54 (д, J=8,7 Гц, 2H), 7,28 (м, 1H), 7,70 (д, J=8,7 Гц, 2H), 6,75 (ддд, J=8,7, 2,1, 1,2 Гц, 1H), 6,63-6,56 (м, 2H), 4,33 (с, 2H), 4,15 (д, J=2,1 Гц, 1H), 3,98 (м, 1H), 3,77 (с, 3H), 3,75 (м, 1H), 3,58-3,40 (м, 3H), 3,30-3,11 (м, 2H), 2,55-2,23 (м, 3H), 2,17-1,88 (м, 3H), 1,81-1,59 (м, 5H), 1,50-1,06 (м, 6H), 1,03-0,80 (м, 2H), 0,95 (т, J=7,2 Гц, 3H).
Пример 9(35)
(3R)-1-бутил-2,5-диоксо-3-((1R)-1-гидрокси-1-циклогексилметил)-9-(4-(N,N-диметиламинокарбонил)фенилметил)-1,4,9-триазаспиро[5.5]ундекан · гидрохлорид

ТСХ:Rf 0,43 (хлороформ:метанол=10:1);
ЯМР (CD3OD): 7,66 (д, J=8,4 Гц, 2H), 7,55 (д, J=8,4 Гц, 2H), 4,41 (с, 2H), 4,15 (д, J=1,8 Гц, 1H), 4,04 (м, 1H), 3,78 (м, 1H), 3,59-3,42 (м, 3H), 3,30-3,10 (м, 2H), 3,11 (с, 3H), 2,99 (с, 3H), 2,53-2,20 (м, 3H), 2,14 (м, 1H), 2,08-1,88 (м, 2H), 1,83-1,60 (м, 5H), 1,52-1,10 (м, 6H), 1,06-0,80 (м, 2H), 0,95 (т, J=7,2 Гц, 3H).
Пример 9(36)
(3R)-1-бутил-2,5-диоксо-3-((1R)-1-гидрокси-1-циклогексилметил)-9-(3,5-диметил-1-фенилпиразол-4-илметил)-1,4,9-триазаспиро[5.5]ундекан · 2гидрохлорид

ТСХ:Rf 0,48 (хлороформ:метанол=10:1);
ЯМР (CD3OD): 7,63-7,43 (м, 5H), 4,32 (с, 2H), 4,17 (д, J=2,1 Гц, 1H), 4,04 (м, 1H), 3,79 (м, 1H), 3,64-3,49 (м, 3H), 3,30-3,20 (м, 2H), 2,70-2,30 (м, 9H), 2,20-1,88 (м, 3H), 1,83-1,58 (м, 5H), 1,52-1,06 (м, 6H), 1,06-0,80 (м, 2H), 0,96 (т, J=7,2 Гц, 3H).
Пример 9(37)
(3R)-1-бутил-2,5-диоксо-3-((1R)-1-гидрокси-1-циклогексилметил)-9-(3,5-диметил-1-(4-метилфенил)пиразол-4-илметил)-1,4,9-триазаспиро[5.5]ундекан · 2гидрохлорид

ТСХ:Rf 0,48 (хлороформ:метанол=10:1);
ЯМР (CD3OD): 7,37 (д, J=8,7 Гц, 2H), 7,34 (д, J=8,7 Гц, 2H), 4,30 (с, 2H), 4,17 (д, J=2,1 Гц, 1H), 4,04 (м, 1H), 3,79 (м, 1H), 3,63-3,47 (м, 3H), 3,35-3,06 (м, 2H), 2,63-2,26 (м, 3H), 2,43 (с, 3H), 2,38 (с, 3H), 2,35 (с, 3H), 2,16 (м, 1H), 2,09-1,88 (м, 2H), 1,83-1,60 (м, 5H), 1,55-1,10 (м, 6H), 1,08-0,80 (м, 2H), 0,96 (т, J=7,2 Гц, 3H).
Пример 9(38)
(3R)-1-бутил-2,5-диоксо-3-((1R)-1-гидрокси-1-циклогексилметил)-9-(3,5-диметил-1-(4-фторфенил)пиразол-4-илметил)-1,4,9-триазаспиро[5.5]ундекан · 2гидрохлорид

ТСХ:Rf 0,49 (хлороформ:метанол=10:1);
ЯМР (CD3OD): 7,50 (дд, J=8,4, 4,8 Гц, 2H), 7,30 (дд, J=8,4, 8,4 Гц, 2H), 4,30 (с, 2H), 4,17 (д, J=2,1 Гц, 1H), 4,04 (м, 1H), 3,78 (м, 1H), 3,63-3,45 (м, 3H), 3,30-3,12 (м, 2H), 2,61-2,30 (м, 3H), 2,37 (с, 3H), 2,36 (с, 3H), 2,16 (м, 1H), 2,08-1,88 (м, 2H), 1,82-1,60 (м, 5H), 1,52-1,07 (м, 6H), 1,04-0,80 (м, 2H), 0,96 (т, J=7,2 Гц, 3H).
Пример 9(39)
(3R)-1-бутил-2,5-диоксо-3-((1R)-1-гидрокси-1-циклогексилметил)-9-(6-(4-метоксифенилокси)пиридин-3-илметил)-1,4,9-триазаспиро[5.5]ундекан · гидрохлорид

ТСХ:Rf 0,38 (хлороформ:метанол=10:1);
ЯМР (CD3OD): 8,36 (м, 1H), 8,12 (м, 1H), 7,12-6,98 (м, 5H), 4,39 (с, 2H), 4,15 (д, J=2,1 Гц, 1H), 4,00 (м, 1H), 3,81 (с, 3H), 3,74 (м, 1H), 3,60-3,42 (м, 3H), 3,30-3,16 (м, 2H), 2,58-2,30 (м, 3H), 2,16-1,86 (м, 3H), 1,80-1,62 (м, 5H), 1,50-1,10 (м, 6H), 1,02-0,80 (м, 5H).
Пример 9(40)
(3R)-1-бутил-2,5-диоксо-3-((1R)-1-гидрокси-1-циклогексилметил)-9-(4-(4-метилсульфонилфенилокси)фенилметил)-1,4,9-триазаспиро[5.5]ундекан · гидрохлорид

ТСХ:Rf 0,46 (хлороформ:метанол=10:1);
ЯМР (CD3OD): 7,95 (д, J=9,0 Гц, 2H), 7,65 (д, J=8,4 Гц, 2H), 7,25-7,16 (м, 4H), 4,38 (с, 2H), 4,15 (д, J=2,4 Гц, 1H), 4,02 (м, 1H), 3,76 (м, 1H), 3,60-3,44 (м, 3H), 3,30-3,10 (м, 2H), 3,11 (с, 3H), 2,54-2,26 (м, 3H), 2,18-1,88 (м, 3H), 1,82-1,62 (м, 5H), 1,50-1,10 (м, 6H), 1,02-0,82 (м, 5H).
Пример 9(41)
(3R)-1-бутил-2,5-диоксо-3-((1R)-1-гидрокси-1-циклогексилметил)-9-(4-(4-(2-(N,N-диметиламино)этиламинокарбонил)фенилокси)фенилметил)-1,4,9-триазаспиро[5.5]ундекан · гидрохлорид

ТСХ:Rf 0,15 (хлороформ:метанол=5:1);
ЯМР (CD3OD): 7,93 (д, J=9,0 Гц, 2H), 7,62 (д, J=8,4 Гц, 2H), 7,20-7,08 (м, 4H), 3,98 (с, 2H), 4,16 (д, J=2,1 Гц, 1H), 3,98 (м, 1H), 3,75 (м, 1H), 3,75 (т, J=5,4 Гц, 2H), 3,58-3,42 (м, 3H), 3,38 (т, J=5,4 Гц, 2H), 3,30-3,18 (м, 2H), 2,98 (с, 6H), 2,56-2,28 (м, 3H), 2,18-1,88 (м, 3H), 1,82-1,62 (м, 5H), 1,46-1,14 (м, 6H), 1,02-0,84 (м, 5H).
Пример 9(42)
(3R)-1-бутил-2,5-диоксо-3-((1R)-1-гидрокси-1-циклогексилметил)-9-(3,5-диметил-1-(4-(2-гидроксиэтиламинокарбонил)фенил)пиразол-4-илметил)-1,4,9-триазаспиро[5.5]ундекан · 2гидрохлорид

ТСХ:Rf 0,46 (хлороформ:метанол=10:1);
ЯМР (CD3OD): 8,01 (д, J=8,7 Гц, 2H), 7,60 (д, J=8,7 Гц, 2H), 4,31 (с, 2H), 4,17 (д, J=2,4 Гц, 1H), 4,04 (м, 1H), 3,80 (м, 1H), 3,73 (т, J=6,0 Гц, 2H), 3,72-3,48 (м, 5H), 3,30-3,16 (м, 2H), 2,60-2,30 (м, 3H), 2,43 (с, 3H), 2,39 (с, 3H), 2,22-1,88 (м, 3H), 1,80-1,62 (м, 5H), 1,50-1,12 (м, 6H), 1,06-0,82 (м, 5H).
Пример 9(43)
(3R)-1-бутил-2,5-диоксо-3-((1R)-1-гидрокси-1-циклогексилметил)-9-(3,5-диметил-1-(4-(2-(N,N-диметиламино)этиламинокарбонил)фенил)пиразол-4-илметил)-1,4,9-триазаспиро[5.5]ундекан · 3гидрохлорид

ТСХ:Rf 0,14 (хлороформ:метанол:28% водный раствор аммиака=200:20:1);
ЯМР (CD3OD): 8,07 (д, J=8,7 Гц, 2H), 7,64 (д, J=8,7 Гц, 2H), 4,31 (с, 2H), 4,17 (д, J=2,1 Гц, 1H), 4,04 (м, 1H), 3,79 (т, J=5,7 Гц, 2H), 3,78 (м, 1H), 3,63-3,49 (м, 3H), 3,41 (т, J=5,7 Гц, 2H), 3,32-3,20 (м, 2H), 3,00 (с, 6H), 2,63-2,35 (м, 3H), 2,45 (с, 3H), 2,39 (с, 3H), 2,20-1,90 (м, 3H), 1,82-1,63 (м, 5H), 1,48-1,13 (м, 6H), 1,03-0,82 (м, 2H), 0,96 (т, J=7,2 Гц, 3H).
Пример 9(44)
(3R)-1-бутил-2,5-диоксо-3-((1R)-1-гидрокси-1-циклогексилметил)-9-(3,5-диметил-1-(4-(2-(морфолин-4-ил)этиламиносульфонил)фенил)пиразол-4-илметил)-1,4,9-триазаспиро[5.5]ундекан · 3гидрохлорид

ТСХ:Rf 0,42 (хлороформ:метанол=10:1);
ЯМР (CD3OD): 8,07 (д, J=9,0 Гц, 2H), 7,77 (д, J=9,0 Гц, 2H), 4,30 (с, 2H), 4,17 (д, J=2,4 Гц, 1H), 4,12-3,96 (м, 3H), 3,90-3,70 (м, 4H), 3,62-3,48 (м, 6H), 3,20-3,16 (м, 6H), 2,70-2,30 (м, 3H), 2,49 (с, 3H), 2,41 (с, 3H), 2,20-1,88 (м, 3H), 1,82-1,62 (м, 5H), 1,50-1,10 (м, 6H), 1,04-0,84 (м, 5H).
Пример 9(45)
(3R)-1-бутил-2,5-диоксо-3-((1R)-1-гидрокси-1-циклогексилметил)-9-(4-(4-(морфолин-4-илкарбонил)фенилокси)фенилметил)-1,4,9-триазаспиро[5.5]ундекан · гидрохлорид

ТСХ:Rf 0,31 (хлороформ:метанол=10:1);
ЯМР (CD3OD): 7,58 (д, J=8,4 Гц, 2H), 7,48 (д, J=8,7 Гц, 2H), 7,18-7,06 (м, 4H), 4,36 (с, 2H), 4,16 (д, J=2,4 Гц, 1H), 4,00 (м, 1H), 3,82-3,40 (м, 12H), 3,38-3,12 (м, 2H), 2,52-2,24 (м, 3H), 2,18-1,86 (м, 3H), 1,82-1,62 (м, 5H), 1,50-1,10 (м, 6H), 1,02-0,82 (м, 5H).
Пример 9(46)
(3R)-1-бутил-2,5-диоксо-3-((1R)-1-гидрокси-1-циклогексилметил)-9-(1,4-бензодиоксан-6-илметил)-1,4,9-триазаспиро[5.5]ундекан · гидрохлорид

ТСХ:Rf 0,38 (хлороформ:метанол=10:1);
ЯМР (CD3OD): 7,05 (д, J=2,1 Гц, 1H), 7,00-6,90 (м, 2H), 4,26 (с, 4H), 4,23 (с, 2H), 4,15 (д, J=1,8 Гц, 1H), 3,94 (м, 1H), 3,68 (м, 1H), 3,58-3,34 (м, 3H), 3,30-3,08 (м, 2H), 2,50-1,86 (м, 6H), 1,80-1,62 (м, 5H), 1,50-1,04 (м, 6H), 1,02-0,82 (м, 5H).
Пример 9(47)
(3R)-1-бутил-2,5-диоксо-3-((1R)-1-гидрокси-1-циклогексилметил)-9-(3,5-диметил-1-(4-(N,N-диэтиламиносульфонил)фенил)пиразол-4-илметил)-1,4,9-триазаспиро[5.5]ундекан · 2гидрохлорид

ТСХ:Rf 0,36 (хлороформ:метанол=10:1);
ЯМР (CD3OD): 7,99 (д, J=9,0 Гц, 2H), 7,73 (д, J=9,0 Гц, 2H), 4,31 (с, 2H), 4,17 (д, J=2,1 Гц, 1H), 4,06 (м, 1H), 3,78 (м, 1H), 3,62-3,48 (м, 3H), 3,34-3,14 (м, 6H), 2,60-2,30 (м, 3H), 2,45 (с, 3H), 2,39 (с, 3H), 2,20-1,88 (м, 3H), 1,82-1,62 (м, 5H), 1,50-1,08 (м, 6H), 1,15 (т, J=7,5 Гц, 6H), 1,02-0,82 (м, 5H).
Пример 9(48)
(3R)-1-бутил-2,5-диоксо-3-((1R)-1-гидрокси-1-циклогексилметил)-9-(4-(пиридин-1-оксидо-3-илокси)фенилметил)-1,4,9-триазаспиро[5.5]ундекан · гидрохлорид

ТСХ:Rf 0,10 (этилацетат:метанол=3:1);
ЯМР (CD3OD): 8,48-8,37 (м, 2H), 7,73 (д, J=9,0 Гц, 2H), 7,73-7,60 (м, 2H), 7,31 (д, J=9,0 Гц, 2H), 4,39 (с, 2H), 4,15 (д, J=2,1 Гц, 1H), 4,01 (м, 1H), 3,76 (м, 1H), 3,60-3,20 (м, 5H), 2,70-2,40 (м, 3H), 2,20-1,90 (м, 3H), 1,90-1,60 (м, 5H), 1,60-1,10 (м, 6H), 1,10-0,80 (м, 2H), 0,95 (т, J=7,2 Гц, 3H).
Пример 9(49)
(3R)-1-бутил-2,5-диоксо-3-((1R)-1-гидрокси-1-циклогексилметил)-9-(3,5-диметил-1-(4-(4-метилпиперазин-1-илсульфонил)фенил)пиразол-4-илметил)-1,4,9-триазаспиро[5.5]ундекан · гидрохлорид

ТСХ:Rf 0,34 (хлороформ:метанол=10:1);
ЯМР (CD3OD): 8,01 (д, J=8,7 Гц, 2H), 7,85 (д, J=8,7 Гц, 2H), 4,31 (с, 2H), 4,17 (д, J=2,4 Гц, 1H), 4,10-3,94 (м, 3H), 3,78 (м, 1H), 3,66-3,56 (м, 5H), 3,40-3,20 (м, 4H), 2,91 (с, 3H), 2,88-2,72 (м, 2H), 2,70-2,40 (м, 3H), 2,50 (с, 3H), 2,40 (с, 3H), 2,20-1,88 (м, 3H), 1,84-1,60 (м, 5H), 1,56-1,10 (м, 6H), 1,04-0,82 (м, 5H).
Пример 9(50)
(3R)-1-бутил-2,5-диоксо-3-((1R)-1-гидрокси-1-циклогексилметил)-9-(4-(4-метиламинокарбонилфенилокси)фенилметил)-1,4,9-триазаспиро[5.5]ундекан · гидрохлорид

ТСХ:Rf 0,44 (хлороформ:метанол=10:1);
ЯМР (CD3OD): 7,84 (д, J=9,0 Гц, 2H), 7,59 (д, J=8,7 Гц, 2H), 7,15 (д, J=8,7 Гц, 2H), 7,07 (д, J=9,0 Гц, 2H), 4,36 (с, 2H), 4,16 (д, J=2,1 Гц, 1H), 4,00 (м, 1H), 3,74 (м, 1H), 3,60-3,44 (м, 3H), 3,28-3,16 (м, 2H), 2,91 (с, 3H), 2,52-2,26 (м, 3H), 2,18-1,88 (м, 3H), 1,82-1,62 (м, 5H), 1,50-1,10 (м, 6H), 1,02-0,82 (м, 5H).
Пример 9(51)
(3R)-1-бутил-2,5-диоксо-3-((1R)-1-гидрокси-1-циклогексилметил)-9-(3,5-диметил-1-(2,4-дифторфенил)пиразол-4-илметил)-1,4,9-триазаспиро[5.5]ундекан · 3гидрохлорид

ТСХ:Rf 0,63 (хлороформ:метанол=5:1);
ЯМР (CD3OD): 7,56 (м, 1H), 7,33-7,16 (м, 2H), 4,32 (с, 2H), 4,18 (д, J=2,4 Гц, 1H), 4,04 (м, 1H), 3,80 (м, 1H), 3,64-3,46 (м, 3H), 3,30-3,16 (м, 2H), 2,62-1,88 (м, 6H), 2,39 (с, 3H), 2,28 (с, 3H), 1,84-1,60 (м, 5H), 1,52-1,10 (м, 6H), 1,06-0,82 (м, 2H), 0,97 (т, J=6,9 Гц, 3H).
Пример 9(52)
(3R)-1-бутил-2,5-диоксо-3-((1R)-1-гидрокси-1-циклогексилметил)-9-(3,5-диметил-1-(4-(2-(N,N-диметиламино)этиламиносульфонил)фенил)пиразол-4-илметил)-1,4,9-триазаспиро[5.5]ундекан · гидрохлорид-1,4,9-триазаспиро[5.5]ундекан · 3гидрохлорид

ТСХ:Rf 0,21 (хлороформ:метанол:28% водный раствор аммиака=100:10:1);
ЯМР (CD3OD): 8,07 (д, J=8,7 Гц, 2H), 7,78 (д, J=8,7 Гц, 2H), 4,31 (с, 2H), 4,17 (д, J=2,1 Гц, 1H), 4,04 (м, 1H), 3,80 (м, 1H), 3,64-3,50 (м, 3H), 3,40-3,22 (м, 6H), 2,96 (с, 6H), 2,74-2,38 (м, 3H), 2,49 (с, 3H), 2,41 (с, 3H), 2,22-1,88 (м, 3H), 1,84-1,60 (м, 5H), 1,52-1,10 (м, 6H), 1,06-0,82 (м, 2H), 0,96 (т, J=7,2 Гц, 3H).
Пример 9(53)
(3R)-1-бутил-2,5-диоксо-3-((1R)-1-гидрокси-1-циклогексилметил)-9-(3,5-диметил-1-(4-метиламинокарбонилфенил)пиразол-4-илметил)-1,4,9-триазаспиро[5.5]ундекан · 2гидрохлорид

ТСХ:Rf 0,21 (хлороформ:метанол=10:1);
ЯМР (CD3OD): 7,98 (д, J=8,7 Гц, 2H), 7,60 (д, J=8,7 Гц, 2H), 4,31 (с, 2H), 4,16 (д, J=2,1 Гц, 1H), 4,04 (м, 1H), 3,79 (м, 1H), 3,64-3,49 (м, 3H), 3,37-3,20 (м, 2H), 2,94 (с, 3H), 2,63-2,33 (м, 3H), 2,43 (с, 3H), 2,40 (с, 3H), 2,16 (м, 1H), 2,09-1,90 (м, 2H), 1,83-1,62 (м, 5H), 1,50-1,12 (м, 6H), 1,04-0,82 (м, 5H).
Пример 9(54)
(3R)-1-бутил-2,5-диоксо-3-((1R)-1-гидрокси-1-циклогексилметил)-9-(4-(4-карбоксифенилокси)фенилметил)-1,4,9-триазаспиро[5.5]ундекан · гидрохлорид

ТСХ:Rf 0,43 (хлороформ:метанол=5:1);
ЯМР (CD3OD): 8,05 (д, J=9,0 Гц, 2H), 7,61 (д, J=9,0 Гц, 2H), 7,19 (д, J=9,0 Гц, 2H), 7,08 (д, J=9,0 Гц, 2H), 4,38 (с, 2H), 4,17 (д, J=2,1 Гц, 1H), 4,02 (м, 1H), 3,78 (м, 1H), 3,60-3,40 (м, 3H), 3,30-3,10 (м, 2H), 2,56-1,86 (м, 6H), 1,82-1,60 (м, 5H), 1,52-1,16 (м, 6H), 1,06-0,82 (м, 2H), 0,97 (т, J=7,2 Гц, 3H).
Пример 9(55)
(3R)-1-бутил-2,5-диоксо-3-((1R)-1-гидрокси-1-циклогексилметил)-9-(4-((4-метоксифенил)метиламинокарбонил)фенилметил)-1,4,9-триазаспиро[5.5]ундекан · гидрохлорид

ТСХ:Rf 0,33 (хлороформ:метанол=10:1);
ЯМР (CD3OD): 7,96 (д, J=8,4 Гц, 2H), 7,66 (д, J=8,4 Гц, 2H), 7,28 (д, J=8,4 Гц, 2H), 6,88 (д, J=8,4 Гц, 2H), 4,52 (с, 2H), 4,43 (с, 2H), 4,15 (д, J=2,1 Гц, 1H), 4,02 (м, 1H), 3,77 (с, 3H), 3,77 (м, 1H), 3,58-3,38 (м, 3H), 3,30-3,10 (м, 2H), 2,54-2,22 (м, 3H), 2,18-1,86 (м, 3H), 1,82-1,60 (м, 5H), 1,50-1,08 (м, 6H), 1,04-0,80 (м, 2H), 0,95 (т, J=6,9 Гц, 3H).
Пример 9(56)
(3R)-1-бутил-2,5-диоксо-3-((1R)-1-гидрокси-1-циклогексилметил)-9-(4-(3-метоксипропиламинокарбонил)фенилметил)-1,4,9-триазаспиро[5.5]ундекан · гидрохлорид

ТСХ:Rf 0,27 (хлороформ:метанол=10:1);
ЯМР (CD3OD): 7,93 (д, J=8,1 Гц, 2H), 7,68 (д, J=8,1 Гц, 2H), 4,43 (с, 2H), 4,16 (д, J=1,8 Гц, 1H), 4,04 (м, 1H), 3,78 (м, 1H), 3,60-3,40 (м, 7H), 3,35 (с, 3H), 3,30-3,10 (м, 2H), 2,58-1,60 (м, 13H), 1,52-1,08 (м, 6H), 1,06-0,80 (м, 2H), 0,96 (т, J=7,2 Гц, 3H).
Пример 9(57)
(3R)-1-бутил-2,5-диоксо-3-((1R)-1-гидрокси-1-циклогексилметил)-9-(4-(N-метил-N-(2-(пиридин-2-ил)этил)аминокарбонил)фенилметил)-1,4,9-триазаспиро[5.5]ундекан · 2гидрохлорид

ТСХ:Rf 0,22 (хлороформ:метанол=10:1);
ЯМР (CD3OD): 8,80 (м, 1H), 8,57 (м, 1H), 8,08 (м, 1H), 7,96 (м, 1H), 7,69 (д, J=8,4 Гц, 2H), 7,43 (д, J=8,4 Гц, 2H), 4,40 (с, 2H), 4,16 (д, J=2,1 Гц, 1H), 4,06-3,90 (м, 3H), 3,80 (м, 1H), 3,62-3,38 (м, 5H), 3,30-3,10 (м, 2H), 3,08 (с, 3H), 2,64-2,30 (м, 3H), 2,18-1,84 (м, 3H), 1,82-1,60 (м, 5H), 1,50-1,06 (м, 6H), 1,04-0,80 (м, 2H), 0,96 (т, J=7,2 Гц, 3H).
Пример 9(58)
(3R)-1-бутил-2,5-диоксо-3-((1R)-1-гидрокси-1-циклогексилметил)-9-(4-(4-(пирролидин-1-илкарбонил)фенилокси)фенилметил)-1,4,9-триазаспиро[5.5]ундекан · гидрохлорид

ТСХ:Rf 0,41 (этилацетат:метанол=4:1);
ЯМР (CD3OD): 7,59-7,56 (м, 4H), 7,15 (д, J=8,7 Гц, 2H), 7,09 (д, J=8,7 Гц, 2H), 4,36 (с, 2H), 4,15 (д, J=2,0 Гц, 1H), 4,01 (м, 1H), 3,75 (м, 1H), 3,60-3,46 (м, 7H), 3,30-3,13 (м, 2H), 2,51-2,11 (м, 4H), 2,04-1,89 (м, 6H), 1,80-1,65 (м, 5H), 1,50-1,15 (м, 6H), 1,00-0,87 (м, 5H).
Пример 9(59)
(3R)-1-бутил-2,5-диоксо-3-((1R)-1-гидрокси-1-циклогексилметил)-9-(3,5-диметил-1-(4-хлорфенил)пиразол-4-илметил)-1,4,9-триазаспиро[5.5]ундекан · 2гидрохлорид

ТСХ:Rf 0,51 (хлороформ:метанол=10:1);
ЯМР (CD3OD): 7,58 (д, J=9,0 Гц, 2H), 7,49 (д, J=9,0 Гц, 2H), 4,31 (с, 2H), 4,17 (д, J=2,1 Гц, 1H), 4,04 (м, 1H), 3,78 (м, 1H), 3,62-3,48 (м, 3H), 3,30-3,16 (м, 2H), 2,62-2,32 (м, 3H), 2,40 (с, 3H), 2,39 (с, 3H), 2,22-1,86 (м, 3H), 1,84-1,60 (м, 5H), 1,54-1,10 (м, 6H), 1,06-0,82 (м, 2H), 0,97 (т, J=7,2 Гц, 3H).
Пример 9(60)
(3R)-1-бутил-2,5-диоксо-3-((1R)-1-гидрокси-1-циклогексилметил)-9-(3,5-диметил-1-(4-трифторметилфенил)пиразол-4-илметил)-1,4,9-триазаспиро[5.5]ундекан · 2гидрохлорид

ТСХ:Rf 0,53 (хлороформ:метанол=10:1);
ЯМР (CD3OD): 7,88 (д, J=8,7 Гц, 2H), 7,73 (д, J=8,7 Гц, 2H), 4,33 (с, 2H), 4,18 (д, J=2,1 Гц, 1H), 4,04 (м, 1H), 3,80 (м, 1H), 3,64-3,46 (м, 3H), 3,30-3,16 (м, 2H), 2,62-2,28 (м, 3H), 2,46 (с, 3H), 2,40 (с, 3H), 2,24-1,88 (м, 3H), 1,84-1,60 (м, 5H), 1,56-1,06 (м, 6H), 1,06-0,82 (м, 2H), 0,97 (т, J=7,2 Гц, 3H).
Пример 9(61)
(3R)-1-бутил-2,5-диоксо-3-((1R)-1-гидрокси-1-циклогексилметил)-9-(3,5-диметил-1-(4-метоксифенил)пиразол-4-илметил)-1,4,9-триазаспиро[5.5]ундекан · 2гидрохлорид

ТСХ:Rf 0,44 (хлороформ:метанол=10:1);
ЯМР (CD3OD): 7,40 (д, J=8,7 Гц, 2H), 7,11 (д, J=8,7 Гц, 2H), 4,32 (с, 2H), 4,18 (д, J=2,4 Гц, 1H), 4,04 (м, 1H), 3,88 (с, 3H), 3,80 (м, 1H), 3,66-3,48 (м, 3H), 3,30-3,18 (м, 2H), 2,64-2,30 (м, 3H), 2,42 (с, 3H), 2,36 (с, 3H), 2,22-1,88 (м, 3H), 1,84-1,60 (м, 5H), 1,54-1,10 (м, 6H), 1,06-0,82 (м, 2H), 0,97 (т, J=7,2 Гц, 3H).
Пример 9(62)
(3R)-1-бутил-2,5-диоксо-3-((1R)-1-гидрокси-1-циклогексилметил)-9-(3,5-диметил-1-этилпиразол-4-илметил)-1,4,9-триазаспиро[5.5]ундекан · 2гидрохлорид

ТСХ:Rf 0,27 (хлороформ:метанол=10:1);
ЯМР (CD3OD): 4,28 (с, 2H), 4,23 (кв, J=7,2 Гц, 2H), 4,17 (д, J=2,4 Гц, 1H), 4,00 (м, 1H), 3,78 (м, 1H), 3,64-3,44 (м, 3H), 3,30-3,18 (м, 2H), 2,70-2,34 (м, 3H), 2,48 (с, 3H), 2,43 (с, 3H), 2,22-1,86 (м, 3H), 1,84-1,60 (м, 5H), 1,52-1,08 (м, 6H), 1,43 (т, J=7,2 Гц, 3H), 1,06-0,80 (м, 2H), 0,96 (т, J=7,2 Гц, 3H).
Пример 9(63)
(3R)-1-бутил-2,5-диоксо-3-((1R)-1-гидрокси-1-циклогексилметил)-9-(3,5-диметил-1-пропилпиразол-4-илметил)-1,4,9-триазаспиро[5.5]ундекан · 2гидрохлорид

ТСХ:Rf 0,31 (хлороформ:метанол=10:1);
ЯМР (CD3OD): 4,28 (с, 2H), 4,16 (д, J=2,4 Гц, 1H), 4,15 (т, J=7,2 Гц, 2H), 4,00 (м, 1H), 3,76 (м, 1H), 3,62-3,46 (м, 3H), 3,30-3,18 (м, 2H), 2,66-2,36 (м, 3H), 2,47 (с, 3H), 2,43 (с, 3H), 2,20-1,60 (м, 10H), 1,52-1,10 (м, 6H), 1,18 (т, J=7,2 Гц, 3H), 1,06-0,80 (м, 2H), 0,96 (т, J=7,2 Гц, 3H).
Пример 9(64)
(3R)-1-бутил-2,5-диоксо-3-((1R)-1-гидрокси-1-циклогексилметил)-9-(3,5-диметил-1-(1,1-диметилэтил)пиразол-4-илметил)-1,4,9-триазаспиро[5.5]ундекан · 2гидрохлорид

ТСХ:Rf 0,33 (хлороформ:метанол=10:1);
ЯМР (CD3OD): 4,26 (с, 2H), 4,17 (д, J=2,4 Гц, 1H), 4,02 (м, 1H), 3,78 (м, 1H), 3,62-3,46 (м, 3H), 3,30-3,22 (м, 2H), 2,64-2,40 (м, 3H), 2,63 (с, 3H), 2,42 (с, 3H), 2,20-1,86 (м, 3H), 1,84-1,62 (м, 5H), 1,72 (с, 9H), 1,54-1,16 (м, 6H), 1,04-0,82 (м, 2H), 0,96 (т, J=6,9 Гц, 3H).
Пример 9(65)
(3R)-1-бутил-2,5-диоксо-3-((1R)-1-гидрокси-1-циклогексилметил)-9-(3,5-диметил-1-циклопентилпиразол-4-илметил)-1,4,9-триазаспиро[5.5]ундекан · 2гидрохлорид

ТСХ:Rf 0,33 (хлороформ:метанол=10:1);
ЯМР (CD3OD): 4,27 (с, 2H), 4,16 (д, J=2,1 Гц, 1H), 4,00 (м, 1H), 3,78 (м, 1H), 3,64-3,44 (м, 4H), 3,30-3,20 (м, 2H), 2,66-2,36 (м, 3H), 2,47 (с, 3H), 2,42 (с, 3H), 2,28-1,60 (м, 16H), 1,58-1,10 (м, 6H), 1,08-0,82 (м, 2H), 0,96 (т, J=6,9 Гц, 3H).
Пример 9(66)
(3R)-1-бутил-2,5-диоксо-3-((1R)-1-гидрокси-1-циклогексилметил)-9-(3,5-диметил-1-(2-фенилэтил)пиразол-4-илметил)-1,4,9-триазаспиро[5.5]ундекан · 2гидрохлорид

ТСХ:Rf 0,25 (хлороформ:метанол=10:1);
ЯМР (CD3OD): 7,36-7,18 (м, 3H), 7,16-7,00 (м, 2H), 4,39 (т, J=6,3 Гц, 2H), 4,18 (с, 2H), 4,17 (д, J=2,4 Гц, 1H), 3,88 (м, 1H), 3,72-3,46 (м, 2H), 3,42-3,22 (м, 4H), 3,12 (т, J=6,3 Гц, 2H), 2,66-2,34 (м, 3H), 2,44 (с, 3H), 2,18-1,86 (м, 3H), 1,92 (с, 3H), 1,84-1,62 (м, 5H), 1,54-1,10 (м, 6H), 1,06-0,82 (м, 2H), 0,97 (т, J=6,9 Гц, 3H).
Пример 9(67)
(3R)-1-бутил-2,5-диоксо-3-((1R)-1-гидрокси-1-циклогексилметил)-9-(3,5-диметил-1-(1-бензилоксикарбонилпиперидин-4-ил)пиразол-4-илметил)-1,4,9-триазаспиро[5.5]ундекан · 2гидрохлорид

ТСХ:Rf 0,40 (хлороформ:метанол=10:1);
ЯМР (CD3OD): 7,42-7,25 (м, 5H), 5,14 (с, 2H), 4,56 (м, 1H), 4,36-4,25 (м, 2H), 4,25 (с, 2H), 4,15 (д, J=2,1 Гц, 1H), 3,98 (м, 1H), 3,73 (м, 1H), 3,62-3,45 (м, 3H), 3,40-3,20 (м, 2H), 3,18-2,94 (м, 2H), 2,67-2,30 (м, 9H), 2,20-1,85 (м, 7H), 1,83-1,58 (м, 5H), 1,50-1,08 (м, 6H), 1,05-0,80 (м, 2H), 0,95 (т, J=7,2 Гц, 3H).
Пример 9(68)
(3R)-1-бутил-2,5-диоксо-3-((1R)-1-гидрокси-1-циклогексилметил)-9-(4-(циклогексиламинокарбонил)фенилметил)-1,4,9-триазаспиро[5.5]ундекан · гидрохлорид

ТСХ:Rf 0,45 (хлороформ:метанол=10:1);
ЯМР (CD3OD): 7,92 (д, J=8,7 Гц, 2H), 7,67 (д, J=8,7 Гц, 2H), 4,42 (с, 2H), 4,15 (д, J=2,1 Гц, 1H), 4,02 (м, 1H), 3,92-3,69 (м, 2H), 3,60-3,39 (м, 3H), 3,30-3,12 (м, 2H), 2,56-2,26 (м, 3H), 2,17-1,58 (м, 14H), 1,51-1,08 (м, 10H), 1,06-0,80 (м, 2H), 0,95 (т, J=6,9 Гц, 3H).
Пример 9(69)
(3R)-1-бутил-2,5-диоксо-3-((1R)-1-гидрокси-1-циклогексилметил)-9-(3,5-диметил-1-(1-метилсульфонилпиперидин-4-ил)пиразол-4-илметил)-1,4,9-триазаспиро[5.5]ундекан · 2гидрохлорид

ТСХ:Rf 0,26 (хлороформ:метанол=10:1);
ЯМР (CD3OD): 4,48 (м, 1H), 4,25 (с, 2H), 4,15 (д, J=2,1 Гц, 1H), 4,05-3,83 (м, 3H), 3,74 (м, 1H), 3,60-3,46 (м, 3H), 3,40-3,20 (м, 2H), 3,05-2,92 (м, 2H), 2,90 (с, 3H), 2,60 (м, 1H), 2,52-2,40 (м, 2H), 2,49 (с, 3H), 2,39 (с, 3H), 2,26-1,88 (м, 7H), 1,84-1,60 (м, 5H), 1,50-1,10 (м, 6H), 1,05-0,80 (м, 2H), 0,95 (т, J=6,9 Гц, 3H).
Пример 9(70)
(3R)-1-бутил-2,5-диоксо-3-((1R)-1-гидрокси-1-циклогексилметил)-9-(4-(4-(2-гидроксиэтиламинокарбонил)фенилокси)фенилметил)-1,4,9-триазаспиро[5.5]ундекан · гидрохлорид

ТСХ:Rf 0,50 (хлороформ:метанол=5:1);
ЯМР (CD3OD): 7,89 (д, J=9,0 Гц, 2H), 7,60 (д, J=9,0 Гц, 2H), 7,16 (д, J=9,0 Гц, 2H), 7,09 (д, J=9,0 Гц, 2H), 4,37 (с, 2H), 4,17 (д, J=2,1 Гц, 1H), 4,02 (м, 1H), 3,78 (м, 1H), 3,71 (т, J=5,7 Гц, 2H), 3,60-3,40 (м, 3H), 3,51 (т, J=5,7 Гц, 2H), 3,30-3,10 (м, 2H), 2,58-1,84 (м, 6H), 1,82-1,56 (м, 5H), 1,54-1,06 (м, 6H), 1,04-0,80 (м, 2H), 0,96 (т, J=6,9 Гц, 3H).
Пример 9(71)
(3R)-1-бутил-2,5-диоксо-3-((1R)-1-гидрокси-1-циклогексилметил)-9-(4-(4-гидроксиметилфенилокси)фенилметил)-1,4,9-триазаспиро[5.5]ундекан

ТСХ:Rf 0,37 (хлороформ:метанол=10:1);
ЯМР (CD3OD): 7,34 (д, J=8,7 Гц, 4H), 6,97 (д, J=8,7 Гц, 2H), 6,96 (д, J=8,7 Гц, 2H), 4,57 (с, 2H), 4,13 (д, J=2,1 Гц, 1H), 3,71 (с, 2H), 3,47 (м, 1H), 3,35 (дд, J=9,0, 2,1 Гц, 1H), 3,30-2,88 (м, 5H), 2,31-1,81 (м, 6H), 1,81-1,58 (м, 5H), 1,55-1,05 (м, 6H), 1,05-0,83 (м, 2H), 0,95 (т, J=7,2 Гц, 3H).
Пример 10
(3S)-1-бутил-2,5-диоксо-3-((1S)-1-гидрокси-1-циклогексилметил)-9-(4-(4-метилсульфониламинофенилокси)фенилметил)-1,4,9-триазаспиро[5.5]ундекан · гидрохлорид

По методике, описанной в примере 2, используя соединение, полученное в ссылочном примере 3(9), вместо соединения, полученного в ссылочном примере 3, и используя 4-(4-метилсульфониламинофенилокси)бензальдегид вместо 3-формил-6-фенилоксипиридина, получают указанное в заголовке соединение, имеющее следующие физические данные.
ТСХ:Rf 0,54 (этилацетат:метанол=4:1);
ЯМР (CD3OD): 7,54 (д, J=8,4 Гц, 2H), 7,29 (д, J=8,7 Гц, 2H), 7,06 (д, J=8,4 Гц, 2H), 7,03 (д, J=8,7 Гц, 2H), 4,32 (с, 2H), 4,15 (д, J=2,0 Гц, 1H), 3,98 (м, 1H), 3,73 (м, 1H), 3,55-3,43 (м, 3H), 3,30-3,16 (м, 2H), 2,95 (с, 3H), 2,52-2,28 (м, 3H), 2,14-1,91 (м, 3H), 1,76-1,65 (м, 5H), 1,50-1,15 (м, 6H), 1,00-0,86 (м, 5H).
Пример 11
(3R)-1-бутил-2,5-диоксо-3-((1R)-1-гидрокси-1-(3,4,5,6-тетрагидропиран-4-ил)метил)-9-(3,5-диметил-1-фенилпиразол-4-илметил)-1,4,9-триазаспиро[5.5]ундекан · 2гидрохлорид

По методике, описанной в примере 2, используя соединение, полученное в ссылочном примере 3(4), вместо соединения, полученного в ссылочном примере 3, и используя 4-формил-3,5-диметил-1-фенилпиразол вместо 3-формил-6-фенилоксипиридина, получают указанное в заголовке соединение, имеющее следующие физические данные.
ТСХ:Rf 0,31 (этилацетат:метанол=4:1);
ЯМР (CD3OD): 7,67-7,56 (м, 5H), 4,37 (с, 2H), 4,13 (д, J=2,0 Гц, 1H), 4,06 (м, 1H), 3,98-3,91 (м, 2H), 3,80 (м, 1H), 3,64-3,53 (м, 4H), 3,46-3,37 (м, 3H), 2,80-2,52 (м, 5H), 2,45 (с, 3H), 2,16-2,01 (м, 2H), 1,91-1,82 (м, 2H), 1,71 (м, 1H), 1,50-1,17 (м, 6H), 0,95 (т, J=7,5 Гц, 3H).
Примеры 11(1)-11(5)
По методике, описанной в примере 11, используя соответствующие альдегидные производные соответственно вместо 4-формил-3,5-диметил-1-фенилпиразола, получают следующие соединения, имеющие следующие физические данные.
Пример 11(1)
(3R)-1-бутил-2,5-диоксо-3-((1R)-1-гидрокси-1-(3,4,5,6-тетрагидропиран-4-ил)метил)-9-(4-(4-метиламинокарбонилфенилокси)фенилметил)-1,4,9-триазаспиро[5.5]ундекан · гидрохлорид

ТСХ:Rf 0,28 (этилацетат:метанол=4:1);
ЯМР (CD3OD): 7,84 (д, J=8,7 Гц, 2H), 7,59 (д, J=8,7 Гц, 2H), 7,15 (д, J=8,7 Гц, 2H), 7,07 (д, J=8,7 Гц, 2H), 4,36 (с, 2H), 4,12 (д, J=2,0 Гц, 1H), 4,06-3,90 (м, 3H), 3,75 (м, 1H), 3,56-3,34 (м, 5H), 3,30-3,20 (м, 2H), 2,91 (с, 3H), 2,51-2,28 (м, 3H), 2,16-1,69 (м, 5H), 1,50-1,15 (м, 5H), 0,95 (т, J=7,0 Гц, 3H).
Пример 11(2)
(3R)-1-бутил-2,5-диоксо-3-((1R)-1-гидрокси-1-(3,4,5,6-тетрагидропиран-4-ил)метил)-9-(4-(4-(4-метоксифенилметиламинокарбонил)фенилметил)-1,4,9-триазаспиро[5.5]ундекан · гидрохлорид

ТСХ:Rf 0,36 (этилацетат:метанол=4:1);
ЯМР (CD3OD): 7,95 (д, J=8,3 Гц, 2H), 7,66 (д, J=8,3 Гц, 2H), 7,27 (д, J=8,8 Гц, 2H), 6,87 (д, J=8,8 Гц, 2H), 4,51 (с, 2H), 4,42 (с, 2H), 4,11 (д, J=2,0 Гц, 1H), 4,04-3,91 (м, 3H), 3,76 (м, 1H), 3,76 (с, 3H), 3,56-3,37 (м, 5H), 3,30-3,13 (м, 2H), 2,50-1,70 (м, 8H), 1,39-1,15 (м, 5H), 0,95 (т, J=7,0 Гц, 3H).
Пример 11(3)
(3R)-1-бутил-2,5-диоксо-3-((1R)-1-гидрокси-1-(3,4,5,6-тетрагидропиран-4-ил)метил)-9-(3,5-диметил-1-(4-(N,N-диметиламинокарбонил)фенилпиразол-4-илметил)-1,4,9-триазаспиро[5.5]ундекан · 2гидрохлорид

ТСХ:Rf 0,55 (хлороформ:метанол=4:1);
ЯМР (CD3OD): 7,63 (д, J=9,0 Гц, 2H), 7,60 (д, J=9,0 Гц, 2H), 4,32 (с, 2H), 4,13 (д, J=2,0 Гц, 1H), 4,06 (м, 1H), 4,00-3,91 (м, 2H), 3,79 (м, 1H), 3,63-3,52 (м, 4H), 3,46-3,34 (м, 3H), 3,13 (с, 3H), 3,04 (с, 3H), 2,62-2,37 (м, 2H), 2,44 (с, 3H), 2,41 (с, 3H), 2,15 (м, 1H), 2,03 (м, 1H), 1,90-1,70 (м, 3H), 1,50-1,15 (м, 6H), 0,96 (т, J=7,0 Гц, 3H).
Пример 11(4)
(3R)-1-бутил-2,5-диоксо-3-((1R)-1-гидрокси-1-(3,4,5,6-тетрагидропиран-4-ил)метил)-9-(4-(4-карбоксифенилокси)фенилметил)-1,4,9-триазаспиро[5.5]ундекан · 2гидрохлорид

ТСХ:Rf 0,30 (хлороформ:метанол=4:1);
ЯМР (CD3OD): 8,04 (д, J=9,0 Гц, 2H), 7,60 (д, J=8,5 Гц, 2H), 7,18 (д, J=8,5 Гц, 2H), 7,07 (д, J=9,0 Гц, 2H), 4,37 (с, 2H), 4,12 (д, J=2,0 Гц, 1H), 4,08-3,93 (м, 3H), 3,75 (м, 1H), 3,57-3,34 (м, 5H), 3,30-3,15 (м, 2H), 2,52-1,69 (м, 8H), 1,50-1,18 (м, 5H), 0,96 (т, J=7,2 Гц, 3H).
Пример 11(5)
(3R)-1-бутил-2,5-диоксо-3-((1R)-1-гидрокси-1-(3,4,5,6-тетрагидропиран-4-ил)метил)-9-(4-(4-метилсульфониламинофенилокси)фенилметил)-1,4,9-триазаспиро[5.5]ундекан · гидрохлорид

ТСХ:Rf 0,35 (этилацетат:метанол=4:1);
ЯМР (CD3OD): 7,53 (д, J=8,7 Гц, 2H), 7,29 (д, J=8,7 Гц, 2H), 7,06 (д, J=8,7 Гц, 2H), 7,03 (д, J=8,7 Гц, 2H), 4,33 (с, 2H), 4,12 (д, J=2,0 Гц, 1H), 4,04-3,92 (м, 3H), 3,72 (м, 1H), 3,54-3,38 (м, 5H), 3,30-3,13 (м, 2H), 2,95 (с, 3H), 2,51-2,26 (м, 3H), 2,16-2,00 (м, 2H), 1,89-1,70 (м, 3H), 1,50-1,15 (м, 5H), 0,95 (т, J=7,0 Гц, 3H).
Пример 12
(3R)-1-бутил-2,5-диоксо-3-((1R)-1-гидрокси-1-циклопентилметил)-9-(3,5-диметил-1-фенилпиразол-4-илметил)-1,4,9-триазаспиро[5.5]ундекан · 2гидрохлорид

По методике, описанной в примере 2, используя соединение, полученное в ссылочном примере 3(5), вместо соединения, полученного в ссылочном примере 3, и используя 4-формил-3,5-диметил-1-фенилпиразол вместо 3-формил-6-фенилоксипиридина, получают указанное в заголовке соединение, имеющее следующие физические данные.
ТСХ:Rf 0,45 (этилацетат:метанол=4:1);
ЯМР (CD3OD): 7,64-7,51 (м, 5H), 4,34 (с, 2H), 4,05 (м, 1H), 4,01 (д, J=2,0 Гц, 1H), 3,79 (м, 1H), 3,63-3,52 (м, 3H), 3,39 (дд, J=9,9, 2,0 Гц, 1H), 3,30 (м, 1H), 2,64 (м, 1H), 2,48 (м, 1H), 2,47 (с, 3H), 2,42 (с, 3H), 2,37-2,12 (м, 2H), 1,90-1,82 (м, 2H), 1,74-1,15 (м, 11H), 0,96 (т, J=7,5 Гц, 3H).
Примеры 12(1)-12(3)
По методике, описанной в примере 12, используя соответствующие альдегидные производные соответственно вместо 4-формил-3,5-диметил-1-фенилпиразола, получают следующие соединения.
Пример 12(1)
(3R)-1-бутил-2,5-диоксо-3-((1R)-1-гидрокси-1-циклопентилметил)-9-(4-(4-(4-метоксифенилметиламинокарбонил)фенилметил)-1,4,9-триазаспиро[5.5]ундекан · гидрохлорид

ТСХ:Rf 0,35 (хлороформ:метанол=10:1);
ЯМР (CD3OD): 7,96 (д, J=8,7 Гц, 2H), 7,66 (д, J=8,7 Гц, 2H), 7,28 (д, J=8,7 Гц, 2H), 6,88 (д, J=8,7 Гц, 2H), 4,52 (с, 2H), 4,42 (с, 2H), 4,02 (м, 1H), 4,00 (д, J=1,8 Гц, 1H), 3,77 (с, 3H), 3,77 (м, 1H), 3,60-3,02 (м, 5H), 2,58-2,04 (м, 5H), 2,00-1,06 (м, 12H), 0,96 (т, J=7,5 Гц, 3H).
Пример 12(2)
(3R)-1-бутил-2,5-диоксо-3-((1R)-1-гидрокси-1-циклопентилметил)-9-(4-(4-метиламинокарбонилфенилокси)фенилметил)-1,4,9-триазаспиро[5.5]ундекан · гидрохлорид

ТСХ:Rf 0,25 (хлороформ:метанол=10:1);
ЯМР (CD3OD): 7,85 (д, J=8,7 Гц, 2H), 7,60 (д, J=8,7 Гц, 2H), 7,16 (д, J=8,7 Гц, 2H), 7,08 (д, J=8,7 Гц, 2H), 4,37 (с, 2H), 4,02 (м, 1H), 4,01 (д, J=2,1 Гц, 1H), 3,78 (м, 1H), 3,40-3,12 (м, 5H), 2,92 (с, 3H), 2,60-2,06 (м, 5H), 2,00-1,08 (м, 12H), 0,96 (т, J=7,2 Гц, 3H).
Пример 12(3)
(3R)-1-бутил-2,5-диоксо-3-((1R)-1-гидрокси-1-циклопентилметил)-9-(4-(4-карбоксифенилокси)фенилметил)-1,4,9-триазаспиро[5.5]ундекан · гидрохлорид

ТСХ:Rf 0,36 (хлороформ:метанол=5:1);
ЯМР (CD3OD): 8,05 (д, J=8,7 Гц, 2H), 7,61 (д, J=8,7 Гц, 2H), 7,19 (д, J=8,7 Гц, 2H), 7,08 (д, J=8,7 Гц, 2H), 4,38 (с, 2H), 4,02 (м, 1H), 4,01 (д, J=1,8 Гц, 1H), 3,78 (м, 1H), 3,62-3,08 (м, 5H), 2,60-2,06 (м, 5H), 2,00-1,08 (м, 12H), 0,96 (т, J=6,9 Гц, 3H).
Пример 13
(3R)-1-пропил-2,5-диоксо-3-((1R)-1-гидрокси-2-метилпропил)-9-(4-(4-метиламинокарбонилфенилокси)фенилметил)-1,4,9-триазаспиро[5.5]ундекан · гидрохлорид

По методике, описанной в примере 2, используя соединение, полученное в ссылочном примере 3(6), вместо соединения, полученного в ссылочном примере 3, и используя 4-(4-метиламинокарбонилфенилокси)бензальдегид вместо 3-формил-6-фенилоксипиридина, получают указанное в заголовке соединение, имеющее следующие физические данные.
ТСХ:Rf 0,35 (хлороформ:метанол=10:1);
ЯМР (CD3OD): 7,84 (д, J=9,0 Гц, 2H), 7,61 (д, J=8,7 Гц, 2H), 7,14 (д, J=8,7 Гц, 2H), 7,07 (д, J=9,0 Гц, 2H), 4,36 (с, 2H), 4,14 (д, J=1,8 Гц, 1H), 3,99 (м, 1H), 3,74 (м, 1H), 3,55-3,40 (м, 3H), 3,20 (м, 1H), 3,19 (дд, J=9,6, 1,8 Гц, 1H), 2,91 (с, 3H), 2,59-2,29 (м, 3H), 2,12 (м, 1H), 2,00 (м, 1H), 1,74 (м, 1H), 1,46 (м, 1H), 0,99 (д, J=6,6 Гц, 3H), 0,97 (д, J=6,6 Гц, 3H), 0,93 (т, J=7,5 Гц, 3H).
Примеры 13(1) и 13(2)
По методике, описанной в примере 13, используя соответствующие альдегидные производные соответственно вместо 4-(4-метиламинокарбонилфенилокси)бензальдегида, получают следующие соединения.
Пример 13(1)
(3R)-1-пропил-2,5-диоксо-3-((1R)-1-гидрокси-2-метилпропил)-9-(3,5-диметил-1-циклогексилпиразол-4-илметил)-1,4,9-триазаспиро[5.5]ундекан · 2гидрохлорид

ТСХ:Rf 0,39 (хлороформ:метанол=10:1);
ЯМР (CD3OD): 4,40 (м, 1H), 4,30 (с, 2H), 4,14 (д, J=2,1 Гц, 1H), 4,00 (м, 1H), 3,76 (м, 1H), 3,59-3,43 (м, 3H), 3,22 (м, 1H), 3,20 (дд, J=9,6, 2,1 Гц, 1H), 2,66 (м, 1H), 2,53 (с, 3H), 2,49 (с, 3H), 2,50-2,38 (м, 2H), 2,15-1,10 (м, 14H), 0,99 (д, J=6,6 Гц, 3H), 0,98 (д, J=6,6 Гц, 3H), 0,93 (т, J=7,5 Гц, 3H).
Пример 13(2)
(3R)-1-пропил-2,5-диоксо-3-((1R)-1-гидрокси-2-метилпропил)-9-(4-(4-метоксифенилметиламинокарбонил)фенилметил)-1,4,9-триазаспиро[5.5]ундекан · гидрохлорид

ТСХ:Rf 0,41 (хлороформ:метанол=10:1);
ЯМР (CD3OD): 7,95 (д, J=8,7 Гц, 2H), 7,69 (д, J=8,7 Гц, 2H), 7,27 (д, J=8,7 Гц, 2H), 6,87 (д, J=8,7 Гц, 2H), 4,51 (с, 2H), 4,42 (с, 2H), 4,13 (д, J=2,1 Гц, 1H), 4,01 (м, 1H), 3,76 (м, 1H), 3,76 (с, 3H), 3,54-3,39 (м, 3H), 3,19 (м, 1H), 3,18 (дд, J=9,6, 2,1 Гц, 1H), 2,58-2,26 (м, 3H), 2,10 (м, 1H), 1,99 (м, 1H), 1,72 (м, 1H), 1,46 (м, 1H), 0,98 (д, J=6,6 Гц, 3H), 0,96 (д, J=6,6 Гц, 3H), 0,92 (т, J=7,5 Гц, 3H).
Пример 14
(3R)-1-пропил-2,5-диоксо-3-((1R)-1-гидрокси-1-циклогексилметил)-9-(4-(4-метиламинокарбонилфенилокси)фенилметил-1,4,9-триазаспиро[5.5]ундекан · гидрохлорид

По методике, описанной в примере 2, используя соединение, полученное в ссылочном примере 3(7), вместо соединения, полученного в ссылочном примере 3, и используя 4-(4-метиламинокарбонилфенилокси)бензальдегид вместо 3-формил-6-фенилоксипиридина, получают указанное в заголовке соединение, имеющее следующие физические данные.
ТСХ:Rf 0,38 (хлороформ:метанол=10:1);
ЯМР (CD3OD): 7,84 (д, J=9,0 Гц, 2H), 7,60 (д, J=9,0 Гц, 2H), 7,15 (д, J=9,0 Гц, 2H), 7,07 (д, J=9,0 Гц, 2H), 4,36 (с, 2H), 4,15 (д, J=2,1 Гц, 1H), 3,99 (м, 1H), 3,75 (м, 1H), 3,54-3,39 (м, 3H), 3,30-3,10 (м, 2H), 2,91 (с, 3H), 2,56-2,27 (м, 3H), 2,18-1,88 (м, 3H), 1,83-1,60 (м, 5H), 1,46 (м, 1H), 1,37-1,11 (м, 3H), 1,04-0,80 (м, 2H), 0,93 (т, J=7,5 Гц, 3H).
Примеры 14(1)-14(5)
По методике, описанной в примере 14, используя соответствующие альдегидные производные соответственно вместо 4-(4-метиламинокарбонилфенилокси)бензальдегида, получают следующие соединения.
Пример 14(1)
(3R)-1-пропил-2,5-диоксо-3-((1R)-1-гидрокси-1-циклогексилметил)-9-(3,5-диметил-1-циклогексилпиразол-4-илметил)-1,4,9-триазаспиро[5.5]ундекан · 2гидрохлорид

ТСХ:Rf 0,41 (хлороформ:метанол=10:1);
ЯМР (CD3OD): 4,39 (м, 1H), 4,29 (с, 2H), 4,15 (д, J=2,1 Гц, 1H), 4,00 (м, 1H), 3,76 (м, 1H), 3,60-3,42 (м, 3H), 3,40-3,20 (м, 2H), 2,65 (м, 1H), 2,53 (с, 3H), 2,49 (с, 3H), 2,53-2,35 (м, 2H), 2,15-1,05 (м, 22H), 1,05-0,80 (м, 2H), 0,93 (т, J=7,2 Гц, 3H).
Пример 14(2)
(3R)-1-пропил-2,5-диоксо-3-((1R)-1-гидрокси-1-циклогексилметил)-9-(4-(4-метоксифенилметиламинокарбонил)фенилметил)-1,4,9-триазаспиро[5.5]ундекан · гидрохлорид

ТСХ:Rf 0,42 (хлороформ:метанол=10:1);
ЯМР (CD3OD): 7,94 (д, J=8,7 Гц, 2H), 7,68 (д, J=8,7 Гц, 2H), 7,27 (д, J=8,7 Гц, 2H), 6,87 (д, J=8,7 Гц, 2H), 4,51 (с, 2H), 4,41 (с, 2H), 4,14 (д, J=1,8 Гц, 1H), 4,01 (м, 1H), 3,76 (м, 1H), 3,76 (с, 3H), 3,54-3,38 (м, 3H), 3,27 (дд, J=9,6, 1,8 Гц, 1H), 3,18 (м, 1H), 2,57-2,26 (м, 3H), 2,16-1,86 (м, 3H), 1,82-1,60 (м, 5H), 1,54-1,05 (м, 4H), 1,03-0,80 (м, 2H), 0,92 (т, J=7,5 Гц, 3H).
Пример 14(3)
(3R)-1-пропил-2,5-диоксо-3-((1R)-1-гидрокси-1-циклогексилметил)-9-(3,5-диметил-1-(4-(N,N-диметиламинокарбонил)фенил)пиразол-4-илметил)-1,4,9-триазаспиро[5.5]ундекан · 2гидрохлорид

ТСХ:Rf 0,36 (хлороформ:метанол=10:1);
ЯМР (CD3OD): 7,63 (с, 4H), 4,32 (с, 2H), 4,16 (д, J=2,1 Гц, 1H), 4,04 (м, 1H), 3,79 (м, 1H), 3,64-3,43 (м, 3H), 3,34-3,20 (м, 2H), 3,13 (с, 3H), 3,04 (с, 3H), 2,62 (м, 1H), 2,53-2,39 (м, 2H), 2,45 (с, 3H), 2,44 (с, 3H), 2,19-1,88 (м, 3H), 1,83-1,60 (м, 5H), 1,46 (м, 1H), 1,38-1,10 (м, 3H), 1,05-0,80 (м, 2H), 0,95 (т, J=7,5 Гц, 3H).
Пример 14(4)
(3R)-1-пропил-2,5-диоксо-3-((1R)-1-гидрокси-1-циклогексилметил)-9-(4-(4-карбоксифенилокси)фенилметил)-1,4,9-триазаспиро[5.5]ундекан · гидрохлорид

ТСХ:Rf 0,21 (хлороформ:метанол:уксусная кислота=20:2:1);
ЯМР (CD3OD): 8,04 (д, J=9,0 Гц, 2H), 7,62 (д, J=8,4 Гц, 2H), 7,17 (д, J=8,4 Гц, 2H), 7,07 (д, J=9,0 Гц, 2H), 4,37 (с, 2H), 4,15 (д, J=2,1 Гц, 1H), 4,01 (м, 1H), 3,75 (м, 1H), 3,55-3,38 (м, 3H), 3,30-3,09 (м, 2H), 2,55-2,26 (м, 3H), 2,18-1,88 (м, 3H), 1,83-1,60 (м, 5H), 1,57-1,10 (м, 4H), 1,04-0,80 (м, 2H), 0,93 (т, J=7,5 Гц, 3H).
Пример 14(5)
(3R)-1-пропил-2,5-диоксо-3-((1R)-1-гидрокси-1-циклогексилметил)-9-(4-(4-метоксикарбонилфенилокси)фенилметил)-1,4,9-триазаспиро[5.5]ундекан · гидрохлорид

ТСХ:Rf 0,54 (хлороформ:метанол=10:1);
ЯМР (CD3OD): 8,03 (д, J=8,7 Гц, 2H), 7,62 (д, J=8,7 Гц, 2H), 7,17 (д, J=8,7 Гц, 2H), 7,07 (д, J=8,7 Гц, 2H), 4,37 (с, 2H), 4,15 (д, J=2,1 Гц, 1H), 4,00 (м, 1H), 3,88 (с, 3H), 3,75 (м, 1H), 3,54-3,41 (м, 3H), 3,30-3,10 (м, 2H), 2,58-2,27 (м, 3H), 2,18-1,87 (м, 3H), 1,84-1,61 (м, 5H), 1,56-1,08 (м, 4H), 1,04-0,80 (м, 2H), 0,94 (т, J=7,2 Гц, 3H).
Пример 15
(3R)-1-пропил-2,5-диоксо-3-(1-циклогексилметилиден)-9-(4-(4-карбоксифенилокси)фенилметил)-1,4,9-триазаспиро[5.5]ундекан · гидрохлорид

По методике, описанной в примере 5, используя соединение, полученное в примере 14(5), вместо соединения, полученного в примере 4(42), получают указанное в заголовке соединение, имеющее следующие физические данные.
ТСХ:Rf 0,42 (хлороформ:метанол=10:1);
ЯМР (CD3OD): 8,03 (д, J=8,7 Гц, 2H), 7,62 (д, J=8,7 Гц, 2H), 7,17 (д, J=8,7 Гц, 2H), 7,07 (д, J=8,7 Гц, 2H), 5,87 (д, J=10,5 Гц, 1H), 4,37 (с, 2H), 3,78-3,62 (м, 2H), 3,58-3,38 (м, 4H), 2,54-2,36 (м, 3H), 2,27-2,15 (м, 2H), 1,80-1,51 (м, 7H), 1,50-1,08 (м, 5H), 0,93 (т, J=7,2 Гц, 3H).
Пример 16
(3S)-1-пропил-2,5-диоксо-3-(2-метилпропил)-9-(3,5-диметил-1-циклогексилпиразол-4-илметил)-1,4,9-триазаспиро[5.5]ундекан · гидрохлорид

По методике, описанной в ссылочном примере 1 ссылочном примере 2 примере 1 ссылочном примере 3 примере 2, используя соответствующее производное аминокислоты вместо (2R,3R)-2-(трет-бутоксикарбониламино)-3-гидрокси-4-метилпентановой кислоты, используя соответствующее производное амина вместо N-бутиламина и используя соответствующее альдегидное производное вместо 3-формил-6-фенилоксипиридина, получают указанное в заголовке соединение, имеющее следующие физические данные.
ТСХ:Rf 0,51 (хлороформ:метанол=10:1);
ЯМР (CD3OD): 4,39-4,27 (м, 1H), 4,28 (с, 2H), 4,01 (дд, J=7,8, 4,5 Гц, 1H), 3,92-3,68 (м, 2H), 3,61-3,50 (м, 2H), 3,47-3,38 (м, 2H), 2,68-2,50 (м, 2H), 2,49 (с, 3H), 2,45 (с, 3H), 2,25-2,05 (м, 2H), 2,03-1,20 (м, 15H), 0,98-0,89 (м, 9H).
Примеры 16 (1)-16(6)
По методике, описанной в примере 16, используя соответствующие альдегидные производные соответственно вместо 1-циклогексил-4-формил-3,5-диметилпиразола, получают следующие соединения, имеющие следующие физические данные.
Пример 16(1)
(3S)-1-пропил-2,5-диоксо-3-(2-метилпропил)-9-(4-(4-метилсульфониламинофенилокси)фенилметил)-1,4,9-триазаспиро[5.5]ундекан · гидрохлорид

ТСХ:Rf 0,53 (хлороформ:метанол=10:1);
ЯМР (CD3OD): 7,53 (д, J=8,7 Гц, 2H), 7,29 (д, J=9,0 Гц, 2H), 7,07 (д, J=8,7 Гц, 2H), 7,03 (д, J=9,0 Гц, 2H), 4,34 (с, 2H), 4,01 (дд, J=7,8, 4,8 Гц, 1H), 3,90-3,69 (м, 2H), 3,55-3,43 (м, 2H), 3,39-3,30 (м, 2H), 2,95 (с, 3H), 2,48-2,29 (м, 2H), 2,28-2,09 (м, 2H), 1,90-1,44 (м, 5H), 0,94 (д, J=6,6 Гц, 3H), 0,93 (д, J=6,6 Гц, 3H), 0,93 (т, J=7,5 Гц, 3H).
Пример 16(2)
(3S)-1-пропил-2,5-диоксо-3-(2-метилпропил)-9-(3,5-диметил-1-(4-(2-(N,N-диметиламино)этиламиносульфонил)фенил)пиразол-4-илметил)-1,4,9-триазаспиро[5.5]ундекан · гидрохлорид

ТСХ:Rf 0,09 (хлороформ:метанол:уксусная кислота=10:5:1);
ЯМР (CD3OD): 8,07 (д, J=9,0 Гц, 2H), 7,78 (д, J=9,0 Гц, 2H), 4,31 (с, 2H), 4,02 (дд, J=7,8, 4,5 Гц, 1H), 3,95-3,73 (м, 2H), 3,66-3,56 (м, 2H), 3,50-3,40 (м, 2H), 3,35-3,20 (м, 4H), 2,95 (с, 6H), 2,72-2,53 (м, 2H), 2,49 (с, 3H), 2,41 (с, 3H), 2,30-2,08 (м, 2H), 1,92-1,45 (м, 5H), 0,99-0,89 (м, 9H).
Пример 16(3)
(3S)-1-пропил-2,5-диоксо-3-циклогексилметил-9-(3,5-диметил-1-циклогексилпиразол-4-илметил)-1,4,9-триазаспиро[5.5]ундекан · 2гидрохлорид

ТСХ:Rf 0,57 (хлороформ:метанол=10:1);
ЯМР (CD3OD): 4,43-4,25 (м, 1H), 4,29 (с, 2H), 4,04 (дд, J=7,8, 4,5 Гц, 1H), 3,92-3,70 (м, 2H), 3,60-3,50 (м, 2H), 3,48-3,38 (м, 2H), 2,70-2,50 (м, 2H), 2,51 (с, 3H), 2,47 (с, 3H), 2,25-2,03 (м, 2H), 2,03-1,40 (м, 19H), 1,40-1,08 (м, 4H), 1,05-0,83 (м, 2H), 0,93 (т, J=7,5 Гц, 3H).
Пример 16(4)
(3S)-1-пропил-2,5-диоксо-3-циклогексилметил-9-(4-(4-метилсульфониламинофенилокси)фенилметил)-1,4,9-триазаспиро[5.5]ундекан · гидрохлорид

ТСХ:Rf 0,55 (хлороформ:метанол=10:1);
ЯМР (CD3OD): 7,53 (д, J=9,0 Гц, 2H), 7,29 (д, J=9,0 Гц, 2H), 7,07 (д, J=9,0 Гц, 2H), 7,03 (д, J=9,0 Гц, 2H), 4,33 (с, 2H), 4,04 (дд, J=7,5, 4,5 Гц, 1H), 3,89-3,69 (м, 2H), 3,54-3,43 (м, 2H), 3,39-3,30 (м, 2H), 2,95 (с, 3H), 2,50-2,30 (м, 2H), 2,28-2,06 (м, 2H), 1,83-1,40 (м, 10H), 1,40-1,10 (м, 3H), 1,05-0,85 (м, 2H), 0,93 (т, J=7,5 Гц, 3H).
Пример 16(5)
1-бутил-2,5-диоксо-9-(4-(4-метилсульфониламинофенилокси)фенилметил)-1,4,9-триазаспиро[5.5]ундекан · гидрохлорид

ТСХ:Rf 0,48 (хлороформ:метанол=10:1);
ЯМР (CD3OD): 7,54 (д, J=8,7 Гц, 2H), 7,29 (д, J=8,7 Гц, 2H), 7,06 (д, J=8,7 Гц, 2H), 7,03 (д, J=8,7 Гц, 2H), 4,32 (с, 2H), 3,97 (с, 2H), 3,77-3,62 (м, 2H), 3,55-3,35 (м, 4H), 2,95 (с, 3H), 2,48-2,33 (м, 2H), 2,33-2,22 (м, 2H), 1,60-1,46 (м, 2H), 1,43-1,26 (м, 2H), 0,95 (т, J=7,2 Гц, 3H).
Пример 16(6)
1-бутил-2,5-диоксо-9-(3,5-диметил-1-циклогексилпиразол-4-илметил)-1,4,9-триазаспиро[5.5]ундекан · 2гидрохлорид

ТСХ:Rf 0,50 (хлороформ:метанол=10:1);
ЯМР (CD3OD): 4,34 (м, 1H), 4,27 (с, 2H), 3,97 (с, 2H), 3,78-3,65 (м, 2H), 3,62-3,47 (м, 4H), 2,65-2,50 (м, 2H), 2,50 (с, 3H), 2,45 (с, 3H), 2,31-2,20 (м, 2H), 2,04-1,70 (м, 6H), 1,65-1,42 (м, 4H), 1,42-1,20 (м, 4H), 0,94 (т, J=7,2 Гц, 3H).
Пример 17
(3R)-1-(2-бутинил)-2,5-диоксо-3-((1R)-1-гидрокси-1-циклогексилметил)-9-(3,5-диметил-1-фенилпиразол-4-илметил)-1,4,9-триазаспиро[5.5]ундекан · 2гидрохлорид

По методике, описанной в ссылочном примере 1 ссылочном примере 2 примере 1, используя (2R,3R)-2-(трет-бутоксикарбониламино)-3-циклогексил-3-гидроксипропановую кислоту вместо (2R,3R)-2-(трет-бутоксикарбониламино)-3-гидрокси-4-метилпентановой кислоты, 2-бутиниламин вместо н-бутиламина, N-(3,5-диметил-1-фенилпиразол-4-ил)метил-4-пиперидон вместо N-бензил-4-пиперидона и н-бутилизонитрил вместо бензилизонитрила, получают указанное в заголовке соединение, имеющее следующие физические данные.
ТСХ:Rf 0,45 (хлороформ:метанол=10:1);
ЯМР (CD3OD): 7,60-7,45 (м, 5H), 4,44-4,28 (м, 3H), 4,21 (д, J=2,1 Гц, 1H), 4,10-3,94 (м, 2H), 3,79 (м, 1H), 3,66-3,54 (м, 2H), 3,32 (м, 1H), 2,74 (м, 1H), 2,56-2,34 (м, 8H), 2,24 (м, 1H), 2,08-1,90 (м, 2H), 1,84-1,62 (м, 7H), 1,44-1,12 (м, 3H), 1,05-0,82 (м, 2H).
Пример 17(1)
(3S)-1-(2-бутинил)-2,5-диоксо-3-((1S)-1-гидрокси-1-циклогексилметил)-9-(3,5-диметил-1-фенилпиразол-4-илметил)-1,4,9-триазаспиро[5.5]ундекан · 2гидрохлорид

По методике, описанной в примере 17, используя (2S,3S)-2-(трет-бутоксикарбониламино)-3-циклогексил-3-гидроксипропановую кислоту вместо (2R,3R)-2-(трет-бутоксикарбониламино)-3-циклогексил-3-гидроксипропановой кислоты, получают указанное в заголовке соединение, имеющее следующие физические данные.
ТСХ:Rf 0,45 (хлороформ:метанол=10:1);
ЯМР (CD3OD): 7,60-7,45 (м, 5H), 4,44-4,28 (м, 3H), 4,21 (д, J=2,1 Гц, 1H), 4,10-3,94 (м, 2H), 3,79 (м, 1H), 3,66-3,54 (м, 2H), 3,32 (м, 1H), 2,74 (м, 1H), 2,56-2,34 (м, 8H), 2,24 (м, 1H), 2,08-1,90 (м, 2H), 1,84-1,62 (м, 7H), 1,44-1,12 (м, 3H), 1,05-0,82 (м, 2H).
Пример 18
(3S)-1-бутил-2,5-диоксо-3-циклогексилметил-9-(2-(4-фенилоксифенил)этил)-1,4,9-триазаспиро[5.5]ундекан · гидрохлорид

К смоле PS-TsCl-HL (товарная марка по каталогу Argonaut Technologies, номер 800366) (305 мг) добавляют раствор 2-(4-фенилоксифенил)этилового спирта (112 мг) в дихлорметане (2 мл) и пиридине (2 мл). Реакционную смесь перемешивают в течение 5 часов при комнатной температуре. Смолу промывают дихлорметаном 3 раза, диметилформамидом 5 раз, смесью диметилформамид:вода=3:1 5 раз, тетрагидрофураном 3 раза, дихлорметаном 3 раза и ацетонитрилом 3 раза. К полученной смоле добавляют раствор соединения, полученного в ссылочном примере 3(2) (116 мг), в ацетонитриле (5 мл) и диизопропилэтиламине (0,366 мл). Реакционную смесь перемешивают в течение 18 часов при 70°C. После ее охлаждения смолу промывают ацетонитрилом, полученные промывные фракции концентрируют. Полученный остаток очищают колоночной хроматографией на силикагеле (этилацетат:метанол=20:1), полученное соединение обрабатывают хлористоводородной кислотой с получением указанного в заголовке соединения (82 мг), имеющего следующие физические данные.
ТСХ:Rf 0,54 (этилацетат:метанол=10:1);
ЯМР (CD3OD): 7,37-7,29 (м, 4H), 7,11 (т, J=7,2 Гц, 1H), 6,97-6,95 (м, 4H), 4,06 (д, J=7,5, 4,5 Гц, 1H), 3,88-3,77 (м, 2H), 3,65 (м, 2H), 3,46-3,36 (м, 4H), 3,13-3,07 (м, 2H), 2,48 (м, 2H), 2,28-2,14 (м, 2H), 1,80-1,21 (м, 15H), 0,98 (т, J=7,0 Гц, 3H), 0,99-0,91 (м, 2H).
Примеры 18(1) и 18(2)
По методике, описанной в примере 18, используя соответствующие производные спиртов соответственно вместо 2-(4-фенилоксифенил)этилового спирта и используя соединение, полученное в ссылочном примере 3(1), вместо соединения, полученного в ссылочном примере 3(2), получают следующие соединения, имеющие следующие физические данные.
Пример 18(1)
(3S)-1-бутил-2,5-диоксо-3-(2-метилпропил)-9-(2-(4-фенилоксифенил)этил)-1,4,9-триазаспиро[5.5]ундекан · гидрохлорид

ТСХ:Rf 0,37 (этилацетат:метанол=10:1);
ЯМР (CD3OD): 7,37-7,29 (м, 4H), 7,11 (т, J=7,5 Гц, 1H), 6,98-6,95 (м, 4H), 4,03 (д, J=7,5, 4,5 Гц, 1H), 3,89-3,77 (м, 2H), 3,64 (м, 2H), 3,42-3,32 (м, 4H), 3,12-3,07 (м, 2H), 2,45 (м, 2H), 2,29-2,16 (м, 2H), 1,88-1,36 (м, 7H), 0,98 (т, J=7,0 Гц, 3H), 0,95 (д, J=6,3 Гц, 3H), 0,94 (д, J=6,3 Гц, 3H).
Пример 18(2)
(3S)-1-бутил-2,5-диоксо-3-(2-метилпропил)-9-(2-(4-метоксифенил)этил)-1,4,9-триазаспиро[5.5]ундекан · гидрохлорид

ТСХ:Rf 0,37 (этилацетат:метанол=10:1);
ЯМР (CD3OD): 7,22 (д, J=9,0 Гц, 2H), 6,90 (д, J=9,0 Гц, 2H), 4,01 (д, J=7,5, 4,5 Гц, 1H), 3,87-3,77 (м, 2H), 3,77 (с, 3H), 3,63 (м, 2H), 3,43-3,32 (м, 4H), 3,03 (м, 2H), 2,44 (м, 2H), 2,28-2,15 (м, 2H), 1,85-1,36 (м, 7H), 0,97 (т, J=7,5 Гц, 3H), 0,95 (д, J=6,3 Гц, 3H), 0,94 (д, J=6,3 Гц, 3H).
Пример 19
(3S)-1-бутил-2,5-диоксо-3-циклогексилметил-9-(4-этоксикарбонилфенил)-1,4,9-триазаспиро[5.5]ундекан· гидрохлорид

К раствору соединения, полученного в ссылочном примере 3(2), (186 мг) в диметилсульфоксиде (3 мл) добавляют этил 4-фторбензоат (164 мг) и карбонат калия (141 мг). Реакционную смесь перемешивают 24 часа при 140°C. К реакционной смеси добавляют воду и трет-бутилметиловый эфир и экстрагируют. Экстракт промывают насыщенным водным раствором хлорида натрия, сушат над безводным сульфатом магния и концентрируют. Полученный остаток очищают колоночной хроматографией на силикагеле (гексан:этилацетат=4:1 3:1) и полученное соединение обрабатывают раствором 4N хлорид водорода/этилацетат с получением указанного в заголовке соединения (67 мг), имеющего следующие физические данные.
ТСХ:Rf 0,27 (гексан:этилацетат=2:1);
ЯМР (CD3OD): 8,13 (д, J=8,7 Гц, 2H), 7,59 (д, J=8,7 Гц, 2H), 4,37 (кв, J=7,2 Гц, 2H), 4,31-4,15 (м, 2H), 4,07 (дд, J=7,5, 4,5 Гц, 1H), 3,85-3,75 (м, 2H), 3,47-3,38 (м, 2H), 2,67-2,50 (м, 2H), 2,30-2,12 (м, 2H), 1,85-1,46 (м, 10H), 1,44-1,19 (м, 5H), 1,38 (т, J=7,2 Гц, 3H), 1,05-0,88 (м, 2H), 0,95 (т, J=7,2 Гц, 3H).
Ссылочный пример 4
(3S)-1-бутил-2,5-диоксо-3-циклогексилметил-9-бензилоксикарбонил-1,4,9-триазаспиро[5.5]ундекан

По методике, описанной в ссылочном примере 1 ссылочном примере 2 примере 1, используя (3S)-2-(трет-бутоксикарбониламино)-3-циклогексилпропановую кислоту вместо (2R,3R)-2-(трет-бутоксикарбониламино)-3-гидрокси-4-метилпентановой кислоты и N-бензилоксикарбонил-4-пиперидон вместо N-бензил-4-пиперидона, получают указанное в заголовке соединение, имеющее следующие физические данные.
ТСХ:Rf 0,35 (гексан:этилацетат=1:1);
ЯМР (CD3OD): 7,39-7,31 (м, 5H), 6,48 (шс, 1H), 5,16 (с, 2H), 4,15 (шс, 2H), 4,00 (ддд, J=9,6, 4,8, 1,5 Гц, 1H), 3,76-3,16 (м, 4H), 2,02-1,12 (м, 19H), 1,08-0,88 (м, 2H), 0,92 (т, J=7,2 Гц, 3H).
Ссылочный пример 5
(3S)-1-бутил-2,5-диоксо-3-циклогексилметил-4-метил-9-бензилоксикарбонил-1,4,9-триазаспиро[5.5]ундекан · гидрохлорид

При охлаждении на бане со льдом к раствору соединения, полученного в ссылочном примере 4, (1 г) в диметилформамиде (20 мл) добавляют 60% гидрид натрия (164 мг). Реакционную смесь перемешивают 1 час при комнатной температуре. На бане со льдом к реакционной смеси добавляют йодистый метил (0,3 мл). Реакционную смесь перемешивают в течение ночи при комнатной температуре. К реакционной смеси добавляют ледяную воду и экстрагируют этилацетатом. Экстракт промывают водой и насыщенным водным раствором хлорида натрия, сушат безводным сульфатом магния и концентрируют. Полученный остаток очищают колоночной хроматографией на силикагеле (гексан:этилацетат=2:1) с получением указанного в заголовке соединения (1 г), имеющего следующие физические данные.
ТСХ:Rf 0,34 (гексан:этилацетат=1:1);
ЯМР (CD3OD): 7,40-7,32 (м, 5H), 5,16 (с, 2H), 4,12 (шс, 2H), 3,91 (т, J=5,7 Гц, 1H), 3,88 (шс, 1H), 3,49 (м, 1H), 3,35 (м, 1H), 2,92 (с, 3H), 2,90 (м, 1H), 2,04-1,10 (м, 19H), 1,04-0,82 (м, 2H), 0,92 (т, J=7,2 Гц, 3H).
Ссылочный пример 6
(3S)-1-бутил-2,5-диоксо-3-циклогексилметил-4-метил-1,4,9-триазаспиро[5.5]ундекан · гидрохлорид

К раствору соединения, полученного в ссылочном примере 5, (1 г) в метаноле (20 мл) добавляют 10% палладий на углероде (60 мг). В атмосфере водорода реакционную смесь перемешивают в течение 8 часов при комнатной температуре. Реакционную смесь фильтруют через Целит и к фильтрату добавляют 4N раствор хлорида водорода в этилацетате и концентрируют с получением указанного в заголовке соединения (799 мг), имеющего следующие физические данные.
ТСХ:Rf 0,28 (хлороформ:метанол:уксусная кислота=90:10:1);
ЯМР (CD3OD): 4,05 (дд, J=7,5, 4,2 Гц, 1H), 4,01 (дт, J=4,2, 12,9 Гц, 1H), 3,59 (дт, J=3,3, 12,9 Гц, 1H), 3,51 (м, 1H), 3,40 (шд, J=5,4 Гц, 1H), 3,36 (шд, J=5,4 Гц, 1H), 3,25 (м, 1H), 2,93 (с, 3H), 2,37 (дт, J=5,4, 14,4 Гц, 1H), 2,32 (дт, J=5,4, 14,4 Гц, 1H), 2,11 (шд, J=14,4 Гц, 1H), 1,99 (шд, J=14,4 Гц, 1H), 1,86-1,14 (м, 15H), 1,07-0,87 (м, 2H), 0,97 (т, J=7,2 Гц, 3H).
Пример 20
(3S)-1-бутил-2,5-диоксо-3-циклогексилметил-4-метил-9-(4-фенилоксифенилметил)-1,4,9-триазаспиро[5.5]ундекан · гидрохлорид

По методике, описанной в примере 2, используя соединение, полученное в ссылочном примере 6, вместо соединения, полученного в ссылочном примере 3, получают указанное в заголовке соединение, имеющее следующие физические данные.
ТСХ:Rf 0,32 (этилацетат);
ЯМР (CD3OD): 7,53 (д, J=8,7 Гц, 2H), 7,39 (дд, J=8,7, 7,5 Гц, 2H), 7,18 (т, J=7,5 Гц, 1H), 7,09-7,01 (м, 4H), 4,34 (с, 2H), 4,05 (м, 1H), 4,04 (дд, J=7,2, 3,9 Гц, 1H), 3,68-3,43 (м, 4H), 3,27 (м, 1H), 2,93 (с, 3H), 2,48 (дд, J=14,4, 5,4 Гц, 1H), 2,39 (дд, J=14,4, 5,4 Гц, 1H), 2,16 (шд, J=14,4 Гц, 1H), 2,03 (шд, J=14,4 Гц, 1H), 1,86-1,58 (м, 8H), 1,53-1,14 (м, 7H), 1,07-0,86 (м, 2H), 0,95 (т, J=7,5 Гц, 3H).
Пример 21
(3R)-1-бутил-2,5-диоксо-3-((1R)-1-гидрокси-1-циклогексилметил)-9-(4-(2-метилпропаноиламино)фенилметил)-1,4,9-триазаспиро[5.5]ундекан · гидрохлорид

По методике, описанной в примере 2, используя соединение, полученное в ссылочном примере 3(3), вместо соединения, полученного в ссылочном примере 3, и используя 4-(2-метилпропаноиламино)бензальдегид вместо 3-формил-6-фенилоксипиридина, получают указанное в заголовке соединение, имеющее следующие физические данные.
ТСХ:Rf 0,28 (хлороформ:метанол=10:1);
ЯМР (d6-ДМСО): 10,6 (с, 1H), 10,0 (с, 1H), 8,02 (м, 1H), 7,68 (д, J=8,7 Гц, 2H), 7,52 (д, J=8,7 Гц, 2H), 5,24 (с, 1H), 4,22 (с, 2H), 3,96 (м, 1H), 3,70 (м, 1H), 3,66-3,12 (м, 6H), 2,68-2,20 (м, 4H), 2,02-1,42 (м, 8H), 1,40-1,00 (м, 6H), 1,10 (д, J=6,9 Гц, 6H), 0,98-0,64 (м, 2H), 0,88 (т, J=6,9 Гц, 3H).
Пример 21(1)-21(6)
По методике, описанной в примере 21, используя соответствующие альдегидные производные соответственно вместо 4-(2-метилпропаноиламино)бензальдегида, получают следующие соединения, имеющие следующие физические данные.
Пример 21(1)
(3R)-1-бутил-2,5-диоксо-3-((1R)-1-гидрокси-1-циклогексилметил)-9-(4-(2-метоксиацетиламино)фенилметил)-1,4,9-триазаспиро[5.5]ундекан · гидрохлорид

ТСХ:Rf 0,36 (хлороформ:метанол=10:1);
ЯМР (d6-ДМСО): 10,5 (с, 1H), 9,95 (с, 1H), 8,02 (м, 1H), 7,75 (д, J=8,4 Гц, 2H), 7,55 (д, J=8,4 Гц, 2H), 4,26 (с, 2H), 4,02 (с, 2H), 3,96 (м, 1H), 3,80-3,10 (м, 7H), 3,38 (с, 3H), 2,60-2,18 (м, 4H), 2,02-1,44 (м, 8H), 1,40-1,00 (м, 6H), 0,98-0,64 (м, 2H), 0,88 (т, J=7,2 Гц, 3H).
Пример 21(2)
(3R)-1-бутил-2,5-диоксо-3-((1R)-1-гидрокси-1-циклогексилметил)-9-(4-(2-фенилацетиламино)фенилметил)-1,4,9-триазаспиро[5.5]ундекан · гидрохлорид

ТСХ:Rf 0,27 (хлороформ:метанол=10:1);
ЯМР (d6-ДМСО): 10,6 (с, 1H), 10,4 (с, 1H), 8,01 (м, 1H), 7,67 (д, J=9,0 Гц, 2H), 7,54 (д, J=9,0 Гц, 2H), 7,40-7,18 (м, 5H), 4,24 (с, 2H), 3,96 (с, 1H), 3,84-3,10 (м, 8H), 2,62-2,18 (м, 4H), 2,04-1,42 (м, 8H), 1,40-1,00 (м, 6H), 0,98-0,64 (м, 2H), 0,88 (т, J=7,2 Гц, 3H).
Пример 21(3)
(3R)-1-бутил-2,5-диоксо-3-((1R)-1-гидрокси-1-циклогексилметил)-9-(4-(2-(4-фторфенил)ацетиламино)фенилметил)-1,4,9-триазаспиро[5.5]ундекан · гидрохлорид

ТСХ:Rf 0,26 (хлороформ:метанол=10:1);
ЯМР (d6-ДМСО): 10,8 (с, 1H), 10,4 (с, 1H), 8,01 (м, 1H), 7,66 (д, J=8,4 Гц, 2H), 7,54 (д, J=8,4 Гц, 2H), 7,37 (дд, J=8,4, 5,4 Гц, 2H), 7,14 (т, J=8,4 Гц, 2H), 4,34-3,10 (м, 8H), 4,24 (с, 2H), 3,96 (с, 1H), 2,66-2,18 (м, 4H), 2,02-1,42 (м, 8H), 1,40-1,00 (м, 6H), 0,98-0,64 (м, 2H), 0,88 (т, J=6,9 Гц, 3H).
Пример 21(4)
(3R)-1-бутил-2,5-диоксо-3-((1R)-1-гидрокси-1-циклогексилметил)-9-(4-(4-метоксикарбонилфениламинокарбонил)фенилметил)-1,4,9-триазаспиро[5.5]ундекан · гидрохлорид

ТСХ:Rf 0,35 (хлороформ:метанол=10:1);
ЯМР (d6-ДМСО): 10,90 (шс, 1H), 10,70 (с, 1H), 8,05 (м, 1H), 8,04 (д, J=8,4 Гц, 2H), 7,97 (с, 4H), 7,83 (д, J=8,4 Гц, 2H), 5,24 (м, 1H), 4,43 (с, 2H), 3,97 (м, 1H), 3,90-3,06 (м, 7H), 3,84 (с, 3H), 2,62-2,20 (м, 3H), 2,06-1,42 (м, 8H), 1,40-1,02 (м, 6H), 0,98-0,66 (м, 2H), 0,89 (т, J=6,9 Гц, 3H).
Пример 21(5)
(3R)-1-бутил-2,5-диоксо-3-((1R)-1-гидрокси-1-циклогексилметил)-9-(4-(4-метоксифенилметилоксикарбонил)фенилметил)-1,4,9-триазаспиро[5.5]ундекан · гидрохлорид

ТСХ:Rf 0,41 (хлороформ:метанол=10:1);
ЯМР (d6-ДМСО): 10,6 (с, 1H), 8,03 (д, J=8,7 Гц, 2H), 8,02 (м, 1H), 7,78 (д, J=8,7 Гц, 2H), 7,42 (д, J=8,7 Гц, 2H), 6,96 (д, J=8,7 Гц, 2H), 5,30 (с, 2H), 5,24 (м, 1H), 4,42 (с, 2H), 3,96 (м, 1H), 3,86-3,10 (м, 7H), 3,76 (с, 3H), 2,64-2,20 (м, 3H), 2,02-1,42 (м, 8H), 1,40-1,00 (м, 6H), 0,96-0,68 (м, 2H), 0,88 (т, J=6,3 Гц, 3H).
Пример 21(6)
(3R)-1-бутил-2,5-диоксо-3-((1R)-1-гидрокси-1-циклогексилметил)-9-(2-(4-метиламинокарбонилфенилокси)пиридин-5-илметил)-1,4,9-триазаспиро[5.5]ундекан · гидрохлорид

ТСХ:Rf 0,37 (хлороформ:метанол=9:1);
ЯМР (CD3OD): 8,35 (д, J=2,5 Гц, 1H), 8,15 (дд, J=8,5, 2,5 Гц, 1H), 7,89 (д, J=8,5 Гц, 2H), 7,23 (д, J=8,5 Гц, 2H), 7,14 (д, J=8,5 Гц, 1H), 4,39 (с, 2H), 4,15 (д, J=2,0 Гц, 1H), 4,00 (м, 1H), 3,75 (м, 1H), 3,57-3,45 (м, 3H), 3,30-3,22 (м, 2H), 2,92 (с, 3H), 2,56 (м, 1H), 2,50-2,39 (м, 2H), 2,14-1,91 (м, 3H), 1,80-1,60 (м, 5H), 1,50-1,10 (м, 6H), 1,00-0,87 (м, 2H), 0,95 (т, J=7,0 Гц, 3H).
Пример 22
(3S)-1-бутил-2,5-диоксо-3-((1S)-1-гидрокси-1-циклогексилметил)-9-(4-(4-карбоксифенилокси)фенилметил)-1,4,9-триазаспиро[5.5]ундекан · гидрохлорид

По методике, описанной в примере 2, используя соединение, полученное в ссылочном примере 3(9), вместо соединения, полученного в ссылочном примере 3, используя 4-(4-карбоксифенилокси)бензальдегид вместо 3-формил-6-фенилоксипиридина, получают указанное в заголовке соединение, имеющее следующие физические данные.
ТСХ:Rf 0,45 (хлороформ:метанол=5:1);
ЯМР (d6-ДМСО): 10,4 (с, 1H), 8,05 (м, 1H), 7,97 (д, J=8,7 Гц, 2H), 7,69 (д, J=8,7 Гц, 2H), 7,19 (д, J=8,7 Гц, 2H), 7,09 (д, J=8,7 Гц, 2H), 5,28 (д, J=6,9 Гц, 1H), 4,35 (с, 2H), 3,97 (м, 1H), 3,88-3,12 (м, 7H), 2,64-2,20 (м, 3H), 2,06-1,42 (м, 8H), 1,40-1,00 (м, 6H), 0,89 (т, J=6,9 Гц, 3H), 0,80 (м, 2H).
Пример 23
(3S)-1-бутил-2,5-диоксо-3-(пиридин-3-илметил)-9-(4-(4-метиламинокарбонилфенилокси)фенилметил)-1,4,9-триазаспиро[5.5]ундекан · 2гидрохлорид

По методике, описанной в ссылочном примере 1 ссылочном примере 2 примере 1, используя N-трет-бутоксикарбонил-3-пиридил-L-аланин вместо (2R,3R)-2-(трет-бутоксикарбониламино)-3-гидрокси-4-метилпентановую кислоту и используя N-бензил-4-пиперидон-2-морфолиноэтилизонитрил вместо N-(4-(4-метиламинокарбонилфенилокси)фенилметил)-4-пиперидона, получают указанное в заголовке соединение, имеющее следующие физические данные.
ТСХ:Rf 0,25 (хлороформ:метанол=10:1);
ЯМР (CD3OD): 8,82-8,76 (м, 2H), 8,55 (д, J=8,4 Гц, 1H), 8,06 (дд, J=7,8, 5,7 Гц, 1H), 7,84 (д, J=9,0 Гц, 2H), 7,63 (д, J=8,7 Гц, 2H), 7,15-7,02 (м, 4H), 4,55 (т, J=5,4 Гц, 1H), 4,33 (с, 2H), 3,80 (м, 1H), 3,68-3,28 (м, 7H), 2,91 (с, 3H), 2,56-2,40 (м, 2H), 2,20 (м, 1H), 1,70 (м, 1H), 1,50-1,20 (м, 4H), 0,92 (т, J=6,9 Гц, 3H).
Примеры 23(1)-23(5)
По методике, описанной в примере 23, используя соответствующие производные аминокислот соответственно вместо N-трет-бутоксикарбонил-3-пиридил-L-аланина, получают следующие соединения, имеющие следующие физические данные.
Пример 23(1)
(3S)-1-бутил-2,5-диоксо-3-фенилметил-9-(4-(4-метиламинокарбонилфенилокси)фенилметил)-1,4,9-триазаспиро[5.5]ундекан · гидрохлорид

ТСХ:Rf 0,51 (хлороформ:метанол:уксусная кислота=20:2:1);
ЯМР (CD3OD): 7,84 (д, J=9,0 Гц, 2H), 7,56 (д, J=9,0 Гц, 2H), 7,30-7,04 (м, 9H), 4,36 (дд, J=4,5, 3,6 Гц, 1H), 4,25 (с, 2H), 3,78 (м, 1H), 3,50-3,02 (м, 6H), 3,00-2,84 (м, 4H), 2,38 (м, 1H), 2,02 (м, 1H), 1,86 (м, 1H), 1,60-1,24 (м, 4H), 0,93 (т, J=6,9 Гц, 3H), 0,04 (м, 1H).
Пример 23(2)
(3S)-1-бутил-2,5-диоксо-3-(пиридин-2-илметил)-9-(4-(4-метиламинокарбонилфенилокси)фенилметил)-1,4,9-триазаспиро[5.5]ундекан · 2гидрохлорид

ТСХ:Rf 0,46 (хлороформ:метанол:уксусная кислота=20:2:1);
ЯМР (CD3OD): 8,78 (дд, J=7,5, 1,5 Гц, 1H), 8,57 (тд, J=7,8, 1,5 Гц, 1H), 8,06 (д, J=8,4 Гц, 1H), 8,00 (м, 1H), 7,84 (д, J=8,2 Гц, 2H), 7,64 (д, J=6,6 Гц, 2H), 7,16-7,04 (м, 4H), 4,68 (дд, J=6,9, 5,7 Гц, 1H), 4,38 (с, 2H), 3,84 (м, 1H), 3,70-3,32 (м, 7H), 2,91 (с, 3H), 2,64-2,44 (м, 2H), 2,16 (м, 1H), 2,06 (м, 1H), 1,50-1,22 (м, 4H), 0,91 (т, J=6,9 Гц, 3H).
Пример 23(3)
(3S)-1-бутил-2,5-диоксо-3-гидроксиметил-9-(4-(4-метиламинокарбонилфенилокси)фенилметил)-1,4,9-триазаспиро[5.5]ундекан · гидрохлорид

ТСХ:Rf 0,28 (хлороформ:метанол:уксусная кислота=20:2:1);
ЯМР (CD3OD): 7,84 (д, J=9,0 Гц, 2H), 7,61 (д, J=8,7 Гц, 2H), 7,14 (д, J=8,7 Гц, 2H), 7,07 (д, J=9,0 Гц, 2H), 4,36 (с, 2H), 4,02-3,88 (м, 3H), 3,80-3,44 (м, 5H), 3,30 (м, 1H), 2,91 (с, 3H), 2,60-2,36 (м, 3H), 2,18 (м, 1H), 1,64 (м, 1H), 1,50-1,26 (м, 3H), 1,02-0,90 (м, 3H).
Пример 23(4)
(3S)-1-бутил-2,5-диоксо-3-(пиридин-1-оксидо-2-илметил)-9-(4-(4-метиламинокарбонилфенилокси)фенилметил)-1,4,9-триазаспиро[5.5]ундекан · гидрохлорид

ТСХ:Rf 0,86 (хлороформ:метанол:уксусная кислота=10:2:1);
ЯМР (CD3OD): 8,70 (дд, J=5,4, 1,0 Гц, 1H), 8,05 (тд, J=6,6, 1,2 Гц, 1H), 7,92-7,72 (м, 4H), 7,64 (д, J=9,0 Гц, 2H), 7,20-7,06 (м, 4H), 4,67 (д, J=6,3 Гц, 1H), 4,36 (с, 2H), 3,86-3,18 (м, 8H), 2,91 (с, 3H), 2,70-2,26 (м, 2H), 2,34-2,06 (м, 2H), 1,60-1,44 (м, 2H), 1,44-1,24 (м, 2H), 0,92 (т, J=7,5 Гц, 3H).
Пример 23(5)
(3S)-1-бутил-2,5-диоксо-3-(пиридин-1-оксидо-3-илметил)-9-(4-(4-метиламинокарбонилфенилокси)фенилметил)-1,4,9-триазаспиро[5.5]ундекан · гидрохлорид

ТСХ:Rf 0,65 (хлороформ:метанол:уксусная кислота=10:2:1);
ЯМР (CD3OD): 8,74-8,60 (м, 2H), 8,06 (д, J=7,8 Гц, 1H), 7,88 (м, 1H), 7,84 (д, J=8,7 Гц, 2H), 7,62 (д, J=8,7 Гц, 2H), 7,12 (д, J=8,7 Гц, 2H), 7,06 (д, J=8,7 Гц, 2H), 4,52 (т, J=5,1 Гц, 1H), 4,33 (с, 2H), 4,00 (м, 1H), 3,78 (м, 1H), 3,60 (м, 1H), 3,56-3,18 (м, 5H), 2,91 (с, 3H), 2,56-2,18 (м, 2H), 2,20 (м, 1H), 1,66 (м, 1H), 1,52-1,22 (м, 4H), 0,93 (т, J=6,9 Гц, 3H).
Пример 24
(3R)-1-(4-метоксифенилметил)-2,5-диоксо-3-((1R)-1-гидрокси-1-циклогексилметил)-9-(4-(4-метиламинокарбонилфенилокси)фенилметил)-1,4,9-триазаспиро[5.5]ундекан · гидрохлорид

По методике, описанной в ссылочном примере 1 ссылочном примере 2 примере 1, используя (2R,3R)-2-(трет-бутоксикарбониламино)-3-циклогексил-3-гидроксипропановую кислоту вместо (2R,3R)-2-(трет-бутоксикарбониламино)-3-гидрокси-4-метилпентановой кислоты, используя 4-метоксибензиламин вместо н-бутиламина, используя N-(4-(4-метиламинокарбонилфенилокси)фенилметил)-4-пиперидон вместо N-бензил-4-пиперидона, используя 2-морфолиноэтилизонитрил вместо бензилизонитрила, получают указанное в заголовке соединение, имеющее следующие физические данные.
ТСХ:Rf 0,24 (хлороформ:метанол=10:1);
ЯМР (CD3OD): 7,84 (д, J=8,7 Гц, 2H), 7,56 (д, J=8,7 Гц, 2H), 7,18 (д, J=8,7 Гц, 2H), 7,13 (д, J=8,7 Гц, 2H), 7,07 (д, J=8,7 Гц, 2H), 6,85 (д, J=8,7 Гц, 2H), 4,48 (м, 1H), 4,33 (с, 4H), 3,96 (м, 1H), 3,75 (м, 1H), 3,75 (с, 3H), 3,58-3,18 (м, 3H), 2,92 (с, 3H), 2,66-2,28 (м, 3H), 2,16-1,58 (м, 7H), 1,40-0,82 (м, 5H).
Примеры 24(1)-24(4)
По методике, описанной в примере 24, используя соответствующие амины вместо 4-метоксибензиламина, получают соединения, указанные в заголовке.
Пример 24(1)
(3R)-1-фенилметил-2,5-диоксо-3-((1R)-1-гидрокси-1-циклогексилметил)-9-(4-(4-метиламинокарбонилфенилокси)фенилметил)-1,4,9-триазаспиро[5.5]ундекан · гидрохлорид

ТСХ:Rf 0,28 (хлороформ:метанол=10:1);
ЯМР (CD3OD): 7,85 (д, J=8,7 Гц, 2H), 7,56 (д, J=8,7 Гц, 2H), 7,40-7,02 (м, 5H), 7,13 (д, J=8,7 Гц, 2H), 7,06 (д, J=8,7 Гц, 2H), 4,58 (м, 1H), 4,33 (с, 4H), 3,96 (м, 1H), 3,76 (м, 1H), 3,54-3,18 (м, 3H), 2,92 (с, 3H), 2,64-2,28 (м, 3H), 2,14-1,58 (м, 7H), 1,40-0,80 (м, 5H).
Пример 24(2)
(3R)-1-(2-метоксиэтил)-2,5-диоксо-3-((1R)-1-гидрокси-1-циклогексилметил)-9-(4-(4-метиламинокарбонилфенилокси)фенилметил)-1,4,9-триазаспиро[5.5]ундекан · гидрохлорид

ТСХ:Rf 0,35 (хлороформ:метанол=10:1);
ЯМР (CD3OD): 7,84 (д, J=8,7 Гц, 2H), 7,57 (д, J=8,7 Гц, 2H), 7,15 (д, J=8,7 Гц, 2H), 7,07 (д, J=8,7 Гц, 2H), 4,36 (с, 2H), 4,18 (д, J=2,1 Гц, 1H), 3,98 (м, 1H), 3,86-3,18 (м, 8H), 3,31 (с, 3H), 2,91 (с, 3H), 2,60-1,58 (м, 10H), 1,42-0,80 (м, 5H).
Пример 24(3)
(3R)-1-(пиридин-2-илметил)-2,5-диоксо-3-((1R)-1-гидрокси-1-циклогексилметил)-9-(4-(4-метиламинокарбонилфенилокси)фенилметил)-1,4,9-триазаспиро[5.5]ундекан · 2гидрохлорид

ТСХ:Rf 0,83(хлороформ:метанол:уксусная кислота=10:2:1);
ЯМР (CD3OD): 8,76 (дд, J=6,6, 1,8 Гц, 1H), 8,54 (тд, J=8,4, 1,8 Гц, 1H), 8,12 (д, J=8,4 Гц, 1H), 7,93 (дд, J=8,4, 6,6 Гц, 1H), 7,83 (д, J=9,0 Гц, 2H), 7,65 (д, J=8,7 Гц, 2H), 7,14-7,02 (м, 4H), 5,34-5,20 (м, 2H), 4,38 (с, 2H), 4,30 (д, J=1,8 Гц, 1H), 3,96 (м, 1H), 3,78 (м, 1H), 3,52-3,38 (м, 2H), 3,32 (м, 1H), 2,90 (с, 3H), 2,72-2,54 (м, 3H), 2,30 (м, 1H), 2,06 (м, 1H), 1,88 (м, 1H), 1,82-1,50 (м, 4H), 1,28-1,06 (м, 3H), 1,06-0,80 (м, 2H).
Пример 24(4)
(3R)-1-(пиридин-3-илметил)-2,5-диоксо-3-((1R)-1-гидрокси-1-циклогексилметил)-9-(4-(4-метиламинокарбонилфенилокси)фенилметил)-1,4,9-триазаспиро[5.5]ундекан · 2гидрохлорид

ТСХ:Rf 0,58 (хлороформ:метанол:уксусная кислота=10:2:1);
ЯМР (CD3OD): 8,89 (с, 1H), 8,73 (д, J=5,7 Гц, 1H), 8,64 (д, J=8,1 Гц, 1H), 8,03 (дд, J=8,1, 5,7 Гц, 1H), 7,83 (д, J=8,7 Гц, 2H), 7,65 (д, J=8,4 Гц, 2H), 7,18-7,02 (м, 4H), 5,19 (д, J=18,0 Гц, 1H), 5,11 (д, J=18,0 Гц, 1H), 4,40-4,26 (м, 3H), 3,90 (м, 1H), 3,78 (м, 1H), 3,50-3,38 (м, 2H), 3,30 (м, 1H), 2,90 (с, 3H), 2,74-2,42 (м, 3H), 2,20-1,88 (м, 3H), 1,82-1,56 (м, 4H), 1,32-1,06 (м, 3H), 1,02-0,80 (м, 2H).
Ссылочный пример 7
(3R)-1-бутил-2,5-диоксо-3-циклогексилметил-1,4,9-триазаспиро[5.5]ундекан · гидрохлорид

По методике, описанной в ссылочном примере 1 ссылочном примере 2 примере 1 ссылочном примере 3, используя N-трет-бутоксикарбонил-D-циклогексилаланин вместо (2R,3R)-2-(трет-бутоксикарбониламино)-3-гидрокси-4-метилпентановой кислоты, получают указанное в заголовке соединение, имеющее следующие физические данные.
ТСХ:Rf 0,59 (N-бутанол:уксусная кислота:H2O=4:2:1);
ЯМР (CD3OD): 4,05 (дд, J=7,5, 4,8 Гц, 1H), 3,83-3,69 (м, 2H), 3,42-3,37 (м, 4H), 2,39-2,07 (м, 4H), 1,80-1,49 (м, 10H), 1,45-1,19 (м, 5H), 1,03-0,91 (м, 5H);
оптическое вращение:[ ]D +35,5° (c 1,05, метанол, 21°C).
Пример 25
(3R)-1-бутил-2,5-диоксо-3-циклогексилметил-9-(4-(4-карбоксифенилокси)фенилметил)-1,4,9-триазаспиро[5.5]ундекан · гидрохлорид

По методике, описанной в примере 2, используя соединение, полученное в ссылочном примере 7, вместо соединения, полученного в ссылочном примере 3, и используя 4-(4-карбоксифенилокси)бензальдегид вместо 3-формил-6-фенилоксипиридина, получают указанное в заголовке соединение, имеющее следующие физические данные.
ТСХ:Rf 0,36 (хлороформ:метанол=10:1);
ЯМР (d6-ДМСО): 10,92 (шс, 1H), 8,41 (шс, 1H), 7,95 (д, J=8,7 Гц, 2H), 7,69 (д, J=8,7 Гц, 2H), 7,17 (д, J=8,7 Гц, 2H), 7,07 (д, J=8,7 Гц, 2H), 4,32 (с, 2H), 3,91 (м, 1H), 3,59-3,35 (м, 6H), 2,56-2,35 (м, 2H), 2,10 (м, 1H), 1,98 (м, 1H), 1,72-1,35 (м, 10H), 1,32-1,14 (м, 5H), 0,90-0,78 (м, 5H).
Пример 26
(3S)-1-бутил-2,5-диоксо-3-(пиридин-1-оксидо-2-илметил)-9-(4-(4-метиламинокарбонилфенилокси)фенилметил)-1,4,9-триазаспиро[5.5]ундекан · 9-оксид

К раствору свободной формы соединения, полученного в примере 23(2), (117 мг) в хлороформе (10 мл) добавляют по каплям раствор (4 мл) 3-хлорпербензойной кислоты (114 мг). После перемешивания реакционной смеси в течение ночи при комнатной температуре растворитель выпаривают. Полученный остаток очищают колоночной хроматографией на силикагеле (Fuji Silysia Chemical Ltd., NH-DM1020, хлороформ) с получением указанного в заголовке соединения (100 мг), имеющего следующие физические данные.
ТСХ:Rf 0,23 (хлороформ:метанол:уксусная кислота=20:2:1);
ЯМР (CD3OD): 8,81 (с, 1H), 8,28 (дд, J=6,0, 1,2 Гц, 1H), 7,77 (д, J=8,7 Гц, 2H), 7,52-7,46 (м, 3H), 7,32-7,22 (м, 2H), 7,16-6,98 (м, 4H), 6,32 (м, 1H), 4,40-4,24 (м, 4H), 3,87 (дд, J=11,0, 5,1 Гц, 1H), 3,66-3,34 (м, 4H), 3,16-2,86 (м, 4H), 3,01 (д, J=4,5 Гц, 3H), 1,84-1,20 (м, 6H), 0,90 (т, J=7,2 Гц, 3H).
Ссылочный пример 8
1-бутил-2,5-диоксо-3-(морфолин-4-илметил)-1,4,9-триазаспиро[5.5]ундекан · 2гидрохлорид

По методике, описанной в ссылочном примере 1 ссылочном примере 2 примере 1 ссылочном примере 3, используя 2-(трет-бутоксикарбониламино)-3-(морфолин-4-ил)пропановую кислоту вместо (2R,3R)-2-(трет-бутоксикарбониламино)-3-гидрокси-4-метилпентановой кислоты, получают указанное в заголовке соединение, имеющее следующие физические данные.
ТСХ:Rf 0,07 (хлороформ:метанол=10:1);
ЯМР (CD3OD): 4,76 (дд, J=8,4, 4,8 Гц, 1H), 4,05-3,82 (м, 6H), 3,71-3,40 (м, 10H), 2,41 (м, 1H), 2,31-2,21 (м, 3H), 1,98-1,54 (м, 2H), 1,46-1,36 (м, 2H), 0,97 (т, J=7,5 Гц, 3H).
Пример 27
1-бутил-2,5-диоксо-3-(морфолин-4-илметил)-9-(4-(4-метиламинокарбонилфенилокси)фенилметил)-1,4,9-триазаспиро[5.5]ундекан · 2гидрохлорид

По методике, описанной в примере 2, используя соединение, полученное в ссылочном примере 8, вместо соединения, полученного в ссылочном примере 3, и используя 4-(4-метиламинокарбонил)фенилоксибензальдегид вместо 3-формил-6-фенилоксипиридина, получают указанное в заголовке соединение, имеющее следующие физические данные.
ТСХ:Rf 0,41 (хлороформ:метанол=10:1);
ЯМР (CD3OD): 7,84 (д, J=9,0 Гц, 2H), 7,63 (д, J=8,5 Гц, 2H), 7,14 (д, J=8,5 Гц, 2H), 7,07 (д, J=9,0 Гц, 2H), 4,73 (дд, J=8,1, 5,1 Гц, 1H), 4,37 (с, 2H), 4,10-3,85 (м, 5H), 3,76-3,43 (м, 9H), 3,40-3,20 (м, 2H), 2,91 (с, 3H), 2,63-2,43 (м, 2H), 2,33-2,24 (м, 2H), 1,65-1,50 (м, 2H), 1,44-1,34 (м, 2H), 0,96 (т, J=7,0 Гц, 3H).
Пример 28
(3R)-1-бутил-2,5-диоксо-3-((1R)-1-гидрокси-1-циклогексилметил)-9-(4-(4-(N-гидроксикарбамоил)фенилокси)фенилметил)-1,4,9-триазаспиро[5.5]ундекан · гидрохлорид

К суспензии соединения, полученного в примере 9(54), (120 мг) и (1-метоксиизопропил)оксиамина (31 мг) в диметилформамиде (1,6 мл) добавляют диизопропилэтиламин (68 мкл), 1-этил-3-[3-(диметиламино)пропил]карбодиимид · гидрохлорид (56 мг) и 1-гидроксибензтриазол (40 мг). Реакционную смесь перемешивают в течение 1 часа при комнатной температуре. К реакционной смеси добавляют 1N хлористоводородную кислоту (2 мл) и перемешивают в течение 15 минут при комнатной температуре. Реакционную смесь разбавляют водой и экстрагируют этилацетатом. Экстракт промывают водой, насыщенным водным раствором бикарбоната натрия и насыщенным водным раствором хлорида натрия, полученный остаток сушат над безводным сульфатом натрия и концентрируют. К раствору полученного остатка в метаноле добавляют раствор 4N хлорида водорода/этилацетат и концентрируют. Полученный остаток промывают этилацетатом с получением указанного в заголовке соединения (116 мг), имеющего следующие физические данные.
ТСХ:Rf 0,43(хлороформ:метанол:уксусная кислота=20:4:1);
ЯМР (CD3OD): 7,79 (д, J=8,7 Гц, 2H), 7,60 (д, J=8,7 Гц, 2H), 7,14 (д, J=8,7 Гц, 2H), 7,06 (д, J=8,7 Гц, 2H), 4,36 (с, 2H), 4,15 (д, J=2,1 Гц, 1H), 4,00 (м, 1H), 3,75 (м, 1H), 3,60-3,40 (м, 3H), 3,30-3,11 (м, 2H), 2,58-2,27 (м, 3H), 2,19-1,96 (м, 3H), 1,93-1,60 (м, 5H), 1,50-1,09 (м, 6H), 1,05-0,80 (м, 2H), 0,94 (т, J=7,2 Гц, 3H).
Пример 29
(3R)-1-бутил-2,5-диоксо-3-((1R)-1-гидрокси-1-циклогексилметил)-9-(4-(4-метиламинокарбонилфенилокси)фенилкарбонил)-1,4,9-триазаспиро[5.5]ундекан

К раствору 4-(4-метиламинокарбонилфенилокси)бензойной кислоты (53,8 мг) в диметилформамиде (4 мл) добавляют 1-гидроксибензтриазол (34,9 мг) и 1-этил-3-[3-(диметиламино)пропил]карбодиимид · гидрохлорид (49,5 мг). Реакционную смесь перемешивают в течение 40 минут при комнатной температуре. К реакционной смеси добавляют соединение, полученное в примере 3(3), (100 мг) и перемешивают в течение 19 часов при комнатной температуре. Реакционную смесь разбавляют метилендихлоридом, добавляют воду и экстрагируют метилендихлоридом. Экстракт промывают 10% водным раствором лимонной кислоты и насыщенным водным раствором хлорида натрия, сушат над безводным сульфатом натрия и концентрируют. Полученный остаток очищают колоночной хроматографией на силикагеле (этилацетат:метанол=10:1) и промывают диэтиловым эфиром с получением указанного в заголовке соединения (56,1 мг), имеющего следующие физические данные.
ТСХ:Rf 0,41 (этилацетат:метанол=10:1);
ЯМР (CD3OD): 7,84 (д, J=8,7 Гц, 2H), 7,49 (т, J=8,7 Гц, 2H), 7,13-7,06 (м, 4H), 3,70 (м, 1H), 4,16 (м, 1H), 4,12-2,98 (м, 6H), 2,91 (с, 3H), 2,42-0,80 (м, 19H), 0,96 (т, J=6,9 Гц, 3H).
Пример 30
(3R)-1-бутил-2,5-диоксо-3-((1R)-1-гидрокси-1-циклогексилметил)-9-(4-(4-метиламинокарбонилфенилокси)фенил)-1,4,9-триазаспиро[5.5]ундекан · гидрохлорид

По методике, описанной в ссылочном примере 1 ссылочном примере 2 примере 1, используя (2R,3R)-2-(трет-бутоксикарбониламино)-3-циклогексил-3-гидроксипропановую кислоту вместо (2R,3R)-2-(трет-бутоксикарбониламино)-3-гидрокси-4-метилпентановой кислоты, используя N-(4-(4-метиламинокарбонилфенилокси)фенил)-4-пиперидон вместо N-бензил-4-пиперидона и используя 2-морфолиноэтилизонитрил вместо бензилизонитрила, получают указанное в заголовке соединение, имеющее следующие физические данные.
ТСХ:Rf 0,40 (этилацетат);
ЯМР (CD3OD): 7,87 (д, J=9,0 Гц, 2H), 7,78 (д, J=9,0 Гц, 2H), 7,25 (д, J=9,0 Гц, 2H), 7,10 (д, J=9,0 Гц, 2H), 4,65 (м, 1H), 4,39 (м, 1H), 4,20 (д, J=1,8 Гц, 1H), 3,73-3,65 (м, 3H), 3,43-3,27 (м, 2H), 2,91 (с, 3H), 2,90-2,52 (м, 3H), 2,25 (м, 1H), 2,10-1,90 (м, 2H), 1,85-1,60 (м, 5H), 1,60-1,10 (м, 6H), 0,99 (т, J=7,2 Гц, 3H), 1,00-0,82 (м, 2H).
Пример фармацевтической композиции 1
Следующие компоненты смешивают общепринятым методом, спрессовывают с получением 100 таблеток, каждая из которых содержит 50 мг активного ингредиента.
| (3R)-1-бутил-2,5-диоксо-3-((1R)-1-гидрокси-2-метилпропил)-9-(6-фенилоксипиридин-3-илметил)- |
|
| 1,4,9-триазаспиро[5.5]ундекан · 2гидрохлорид |
5,0 г |
| кальцийкарбоксиметилцеллюлоза (дезинтегрант) |
0,2 г |
| стеарат магния (смазывающий агент) |
0,1 г |
| микрокристаллическая целлюлоза |
4,7 г |
Пример фармацевтической композиции 2
Следующие компоненты смешивают общепринятым методом. Раствор стерилизуют общепринятым методом, заполняют им ампулы 5 мл каждая и лиофилизируют общепринятым методом с получением 100 ампул, каждая из которых содержит 20 мг активного ингредиента.
| (3R)-1-бутил-2,5-диоксо-3-((1R)-1-гидрокси-2-метилпропил)-9-(6-фенилоксипиридин-3-илметил)- |
|
| 1,4,9-триазаспиро[5.5]ундекан · 2гидрохлорид |
2,0 г |
| маннит |
20 г |
| дистиллированная вода |
500 мл |
Формула изобретения
1. Производное триазаспиро[5.5]ундекана формулы (I)

где R1 имеет формулу (1) или (2)

где G представляет связь, C1-4 алкилен, С 2-4 алкенилен, или -СО-; кольцо А представляет собой (1) С5-10-членное моно- или бикарбоциклическое кольцо или (2) 5-10-членный моно- или бициклический гетероцикл, содержащий 1-2 атома азота и/или 1-2 атома кислорода;
R6 представляет
(1) C1-4алкил,
(2) галоген,
(3) нитрил,
(4) трифторметил,
(5) -OR8,
(6) -SR9,
(7) -NR10R11,
(8) -COOR12,
(9) -CONR13R14,
(10) -SO2NR15R16,
(11) NR17SO2R18,
(12) -S(O)R19,
(13) -SO2R20,
(14) -N(SO2R21)2,
(15) C1-4 алкил, замещенный заместителем, выбранным из (a) -OR8, (b) -NR10R11 и (c) Cyc 1, или
(16) -NR27COR28,
где R8-R17 каждый независимо представляет (1) водород, (2) C1-4 алкил, (3) Сус 1, (4) -OR22, и (5) C1-4 алкил, замещенный заместителем, выбранным из (a) -OR22, (b) -NR23R24, (с) -COOR25 и (d) Сус 1, или
R10 и R11, R13 и R14 или R15 и R16, каждый независимо, вместе с атомом азота, к которому они присоединены, образуют 5-6-членный моноциклический гетероцикл, содержащий 1-2 атома азота и/или атом кислорода, где 5-6-членный моноциклический гетероцикл может быть необязательно замещен C1-4 алкилом или гидрокси,
R22-R25 каждый независимо представляет (1) водород, (2) C1-4 алкил или (3) C1-4 алкил, замещенный C1-4 алкокси, или
R23 и R24 вместе с атомом азота, к которому они присоединены, образуют 5-6-членный моноциклический гетероцикл, содержащий 1-2 атома азота и/или атом кислорода, где 5-6-членный моноциклический гетероцикл может быть необязательно замещен C1-4 алкилом или гидрокси,
R18-R21 каждый независимо представляет C1-4 алкил,
R27 представляет (1) водород, (2) C1-4 алкил, (3) Сус 1 или
(4) C1-4 алкил, замещенный заместителем, необязательно выбранным из (a) -OR22, (b) -NR23R24, (c) -COOR25 и (d) Cyc 1,
R28 представляет (1) С1-4 алкил, (2) Cyc 1 или (3) C1-4 алкил, замещенный заместителем, необязательно выбранным из (a) -OR22, (b) -NR23R24, (с) -COOR25 и (d) Cyc 1,
Cyc 1 представляет (1) С5-6-членное монокарбоциклическое кольцо или (2) 5-6-членный моноциклический гетероцикл, содержащий 1-2 атома азота и/или атом кислорода (где карбоциклическое кольцо или гетероцикл могут быть необязательно замещены C1-4 алкокси, галогеном или -COOR29, где R29 представляет (1) водород, (2) C1-4 алкил), (3) Cyc 1 или (4) C1-4 алкил, замещенный заместителем, выбранным из (a) -OR22, (b) -NR23R24, (с) -COOR25 и (d) Сус 1;
Е представляет связь, -O-, -S-, -СО- или -СНОН-;
кольцо В представляет собой (1) С5-6-членное монокарбоциклическое кольцо или (2) 5-6-членный моноциклический гетероцикл, содержащий 1-2 атома азота и/или атом кислорода;
R7 представляет C1-4 алкил или галоген;
n является числом от 0 или 1 до 4;
m является числом от 0 или 1 до 4;
R2 представляет (1) C1-4 алкил, (2) C2-4 алкинил или (3) C1-4 алкил, замещенный заместителем, необязательно выбранным из (a) -OR30, (b) -NR31R32 и (с) Сус 3 (где R30-R32 каждый независимо представляет (1) водород, (2) C1-4 алкил, (3) Сус 3 или (4) C1-4 алкил, замещенный Сус 3, где Сус 3 представляет (1) С5-6-членное монокарбоциклическое кольцо или (2) 5-6-членный моноциклический гетероцикл, содержащий 1-2 атома азота и/или атом кислорода, где С5-6-членное карбоциклическое кольцо или 5-6-членный моноциклический гетероцикл могут быть необязательно замещены C1-4 алкокси);
R3 и R4 каждый независимо представляет (1) водород, (2) C1-4 алкил или (3) C1-4 алкил, замещенный 1-2 заместителями, выбранными из (а) Сус 2 и (b) гидрокси (где Сус 2 представляет (1) С5-6-членное монокарбоциклическое кольцо или (2) 5-6-членный моноциклический гетероцикл, содержащий 1-2 атома азота и/или атом кислорода), или R3 и R4 вместе образуют

где R26 представляет C1-4 алкил или Сус 2;
R5 представляет собой водород или C1-4 алкил, его четвертичная аммониевая соль, его N-оксид или его нетоксичная соль.
2. Соединение формулы (I) по п.1, где R3 и R4 представляют водород.
3. Соединение формулы (I) по п.1, где R3 представляет водород и R4 представляет (1) C1-4 алкил или (2) C1-4 алкил, замещенный 1-2 заместителями, необязательно выбранными из (а) Сус 2 и (b) гидрокси.
4. Соединение формулы (I) по п.1, где R3 и R4 каждый независимо представляют (1) C1-4 алкил или (2) C1-4 алкил, замещенный заместителем, необязательно выбранным из (а) Сус 2 и (b) гидрокси.
5. Соединение формулы (I) по п.1, где R3 и R4 вместе образуют

где R26 имеет значение, определенное в п.1.
6. Соединение, представляющее собой
(1) (3R)-1-бутил-2,5-диоксо-3-((1R)-1-гидрокси-2-метилпропил)-9-бензил-1,4,9-триазаспиро[5.5]ундекан,
(2) (3R)-1-бутил-2,5-диоксо-3-((1R)-1-гидрокси-2-метилпропил)-9-(6-фенилоксипиридин-3-илметил)-1,4,9-триазаспиро[5.5]ундекан,
(3) (3R)-1-бутил-2,5-диоксо-3-((1R)-1-гидрокси-2-метилпропил)-9-(4-(4-метоксифенилокси)фенилметил)-1,4,9-триазаспиро[5.5]ундекан,
(4) (3R)-1-бутил-2,5-диоксо-3-((1R)-1-гидрокси-2-метилпропил)-9-(4-(3-метоксифенилокси)фенилметил)-1,4,9-триазаспиро[5.5]ундекан,
(5) (3R)-1-бутил-2,5-диоксо-3-((1R)-1-гидрокси-2-метилпропил)-9-(4-(4-фторфенилокси)фенилметил)-1,4,9-триазаспиро[5.5]ундекан,
(6) (3R)-1-бутил-2,5-диоксо-3-((1R)-1-гидрокси-2-метилпропил)-9-(4-(4-хлорфенилокси)фенилметил)-1,4,9-триазаспиро[5.5]ундекан,
(7) (3R)-1-бутил-2,5-диоксо-3-((1R)-1-гидрокси-2-метилпропил)-9-(4-(фенилкарбонил)фенилметил)-1,4,9-триазаспиро[5.5]ундекан,
(8) (3R)-1-бутил-2,5-диоксо-3-((1R)-1-гидрокси-2-метилпропил)-9-(4-(1-фенил-1-гидроксиметил)фенилметил)-1,4,9-триазаспиро[5,5]ундекан,
(9) (3R)-1-бутил-2,5-диоксо-3-((1R)-1-гидрокси-2-метилпропил)-9-(4-(4-(морфолин-4-илкарбонил)фенилокси)фенилметил)-1,4,9-три-азаспиро[5.5]ундекан,
(10) (3R)-1-бутил-2,5-диоксо-3-((1R)-1-гидрокси-2-метилпропил)-9-(4-(6-метилпиридин-3-илокси)фенилметил)-1,4,9-триазаспиро[5.5]ундекан,
(11) (3R)-1-бутил-2,5-диоксо-3-((1R)-1-гидрокси-2-метилпропил)-9-(4-(пиридин-1-оксидо-3-илокси)фенилметил)-1,4,9-триазаспиро[5.5]ундекан,
(12) (3R)-1-бутил-2,5-диоксо-3-((1R)-1-гидрокси-2-метилпропил)-9-(4-(4-гидроксипиперидин-1-илметил)фенилметил)-1,4,9-триазаспиро[5.5]ундекан,
(13) (3R)-1-бутил-2,5-диоксо-3-((1R)-1-гидрокси-2-метилпропил)-9-(3,5-диметил-1-циклогексилпиразол-4-илметил)-1,4,9-триазаспиро[5.5]ундекан,
(14) (3R)-1-бутил-2,5-диоксо-3-((1R)-1-гидрокси-2-метилпропил)-9-(1,3,5-триметилпиразол-4-илметил)-1,4,9-триазаспиро[5.5]ундекан,
(15) (3R)-1-бутил-2,5-диоксо-3-((1R)-1-гидрокси-2-метилпропил)-9-(4-(4-аминосульфонилфенилокси)фенилметил)-1,4,9-триазаспиро[5.5]ундекан,
(16) (3R)-1-бутил-2,5-диоксо-3-((1R)-1-гидрокси-2-метилпропил)-9-(4-(4-метилтиофенилокси)фенилметил)-1,4,9-триазаспиро[5.5]ундекан,
(17)(3R)-1-бутил-2,5-диоксо-3-((1R)-1-гидрокси-2-метилпропил)-9-(4-(4-метилсульфонилфенилокси)фенилметил)-1,4,9-триазаспиро[5.5]ундекан,
(18) (3R)-1-бутил-2,5-диоксо-3-((1R)-1-гидрокси-2-метилпропил)-9-(4-(4-цианофенилокси)фенилметил)-1,4,9-триазаспиро[5.5]ундекан,
(19) (3R)-1-бутил-2,5-диоксо-3-((1R)-1-гидрокси-2-метилпропил)-9-(4-(фенилтио)фенилметил)-1,4,9-триазаспиро[5,5]ундекан,
(20) (3R)-1-бутил-2,5-диоксо-3-((1R)-1-гидрокси-2-метилпропил)-9-(3,5-диметил-1-(4-гидроксифенил)пиразол-4-илметил)-1,4,9-триазаспиро[5.5]ундекан,
(21) (3R)-1-бутил-2,5-диоксо-3-((1R)-1-гидрокси-2-метилпропил)-9-(3,5-диметил-1-(4-метилсульфониламинофенил)пиразол-4-илметил)-1,4,9-триазаспиро[5.5]ундекан,
(22) (3R)-1-бутил-2,5-диоксо-3-((1R)-1-гидрокси-2-метилпропил)-9-(3,5-диметил-1-(4-(2-(N,N-диметиламино)этиламиносульфонил)фенил)пиразол-4-илметил)-1,4,9-триазаспиро[5.5]ундекан,
(23) (3R)-1-бутил-2,5-диоксо-3-((1R)-1-гидрокси-2-метилпропил)-9-(3,5-диметил-1-(4-(пирролидин-1-илсульфонил)фенил)пиразол-4-илметил)-1,4,9-триазаспиро[5.5]ундекан,
(24) (3R)-1-бутил-2,5-диоксо-3-((1R)-1-гидрокси-2-метилпропил)-9-(4-(6-метилпиридин-1-оксидо-3-илокси)фенилметил)-1,4,9-триазаспиро[5.5 ]ундекан,
(25) (3R)-1-бутил-2,5-диоксо-3-((1R)-1-гидрокси-2-метилпропил)-9-(4-(4-гидроксифенилокси)фенилметил)-1,4,9-триазаспиро[5.5]ундекан,
(26) (3R)-1-бутил-2,5-диоксо-3-((1R)-1-гидрокси-2-метилпропил)-9-(6-(4-метоксифенилокси)пиридин-3-илметил)-1,4,9-триазаспиро[5.5]ундекан,
(27) (3R)-1-бутил-2,5-диоксо-3-((1R)-1-гидрокси-2-метилпропил)-9-(3,5-диметил-1-(4-(метиламиносульфонил)фенил)пиразол-4-илметил)-1,4,9-триазаспиро[5.5]ундекан,
(28) (3R)-1-бутил-2,5-диоксо-3-((1R)-1-гидрокси-2-метилпропил)-9-(3,5-диметил-1-(4-(N-метил-N-(2-гидроксиэтил)аминосульфонил)фенил)пиразол-4-илметил)-1,4,9-триазаспиро[5.5]ундекан,
(29) (3R)-1-бутил-2,5-диоксо-3-((1R)-1-гидрокси-2-метилпропил)-9-(3,5-диметил-1-(4-(2-гидроксиэтиламиносульфонил)фенил)пиразол-4-илметил)-1,4,9-триазаспиро[5.5]ундекан,
(30) (3R)-1-бутил-2,5-диоксо-3-((1R)-1-гидрокси-2-метилпропил)-9-(3,5-диметил-1-(4-(N,N-диметиламинокарбонил)фенил)пиразол-4-илметил)-1,4,9-триазаспиро[5.5]ундекан,
(31) (3R)-1-бутил-2,5-диоксо-3-((1R)-1-гидрокси-2-метилпропил)-9-(3,5-диметил-1-(4-(2-(морфолин-4-ил)этиламиносульфонил)фенил)пиразол-4-илметил)-1,4,9-триазаспиро[5.5]ундекан,
(32) (3R)-1-бутил-2,5-диоксо-3-((1R)-1-гидрокси-2-метилпропил)-9-(3,5-диметил-1-(4-(пирролидин-1-илкарбонил)фенил)пиразол-4-илметил)-1,4,9-триазаспиро[5.5]ундекан,
(33) (3R)-1-бутил-2,5-диоксо-3-((1R)-1-гидрокси-2-метилпропил)-9-(4-(4-метилсульфинилфенилокси)фенилметил)-1,4,9-триазаспиро[5.5]ундекан,
(34) (3R)-1-бутил-2,5-диоксо-3-((1R)-1-гидрокси-2-метилпропил)-9-(3,5-диметил-1-(4-(N,N-диметиламиносульфонил)фенил)пиразол-4-илметил)-1,4,9-триазаспиро[5.5]ундекан,
(35) (3R)-1-бутил-2,5-диоксо-3-((1R)-1-гидрокси-2-метилпропил)-9-(3,5-диметил-1-(4-(морфолин-4-илсульфонил)фенил)пиразол-4-илметил)-1,4,9-триазаспиро[5.5]ундекан,
(36) (3R)-1-бутил-2,5-диоксо-3-((1R)-1-гидрокси-2-метилпропил)-9-(4-(4-аминокарбонилфенилокси)фенилметил)-1,4,9-триазаспиро[5.5]ундекан,
(37) (3R)-1-бутил-2,5-диоксо-3-((1R)-1-гидрокси-2-метилпропил)-9-(4-(4-метиламинокарбонилфенилокси)фенилметил)-1,4,9-триазаспиро[5.5]ундекан,
(38) (3R)-1-бутил-2,5-диоксо-3-((1R)-1-гидрокси-2-метилпропил)-9-(3,5-диметил-1-(4-метилфенил)пиразол-4-илметил)-1,4,9-триазаспиро[5.5]ундекан,
(39) (3R)-1-бутил-2,5-диоксо-3-((1R)-1-гидрокси-2-метилпропил)-9-(3,5-диметил-1-(4-(N,N-диэтиламиносульфонил)фенил)пиразол-4-илметил)-1,4,9-триазаспиро[5.5]ундекан,
(40) (3R)-1-бутил-2,5-диоксо-3-((1R)-1-гидрокси-2-метилпропил)-9-(3,5-диметил-1-(4-(4-метилпиперазин-1-илсульфонил)фенил)пиразол-4-илметил)-1,4,9-триазаспиро[5.5]ундекан,
(41) (3R)-1-бутил-2,5-диоксо-3-((1R)-1-гидрокси-2-метилпропил)-9-(5-хлор-3-метил-1-фенилпиразол-4-илметил)-1,4,9-триазаспиро[5.5]ундекан,
(42) (3R)-1-бутил-2,5-диоксо-3-((1R)-1-гидрокси-2-метилпропил)-9-(3,5-диметил-1-(4-(морфолин-4-илкарбонил)фенил)пиразол-4-илметил)-1,4,9-триазаспиро[5.5]ундекан,
(43) (3R)-1-бутил-2,5-диоксо-3-((1R)-1-гидрокси-2-метилпропил)-9-(3,5-диметил-1-(4-(2-гидроксиэтиламинокарбонил)фенил)пиразол-4-илметил)-1,4,9-триазаспиро[5.5]ундекан,
(44) (3R)-1-бутил-2,5-диоксо-3-((1R)-1-гидрокси-2-метилпропил)-9-(4-(4-(2-(N,N-диметиламино)этиламинокарбонил)фенилокси)фенилметил)-1,4,9-триазаспиро[5.5]ундекан,
(45) (3R)-1-бутил-2,5-диоксо-3-((1R)-1-гидрокси-2-метилпропил)-9-(4-(пиридин-3-илокси)фенилметил)-1,4,9-триазаспиро[5.5]ундекан,
(46) (3R)-1-бутил-2,5-диоксо-3-((1R)-1-гидрокси-2-метилпропил)-9-(4-(4-карбоксифенилокси)фенилметил)-1,4,9-триазаспиро[5.5]ундекан,
(47) (3R)-1-бутил-2,5-диоксо-3-((1R)-1-гидрокси-2-метилпропил)-9-(4-(4-метилфенилокси)фенилметил)-1,4,9-триазаспиро[5.5]ундекан,
(48) (3R)-1-бутил-2,5-диоксо-3-((1R)-1-гидрокси-2-метилпропил)-9-(3,5-диметил-1-(2,4-дифторфенил)пиразол-4-илметил)-1,4,9-триазаспиро[5.5]ундекан,
(49) (3R)-1-бутил-2,5-диоксо-3-((1R)-1-гидрокси-2-метилпропил)-9-(3,5-диметил-1-(пиридин-2-ил)пиразол-4-илметил)-1,4,9-триазаспиро[5.5]ундекан,
(50) (3R)-1-бутил-2,5-диоксо-3-((1R)-1-гидрокси-2-метилпропил)-9-(3,5-диметил-1-(4-метиламинокарбонилфенил)пиразол-4-илметил)-1,4,9-триазаспиро[5.5]ундекан,
(51) (3R)-1-бутил-2,5-диоксо-3-((1R)-1-гидрокси-2-метилпропил)-9-(4-циклогексилоксифенилметил)-1,4,9-триазаспиро[5.5]ундекан,
(52) (3R)-1-бутил-2,5-диоксо-3-((1R)-1-гидрокси-2-метилпропил)-9-(4-(3,4,5,6-тетрагидропиран-4-илокси)фенилметил)-1,4,9-триазаспиро[5.5]ундекан,
(53) (3R)-1-бутил-2,5-диоксо-3-((1R)-1-гидрокси-2-метилпропил)-9-(4-(4-метоксифенилметиламинокарбонил)фенилметил)-1,4,9-триазаспиро [5.5 ]ундекан,
(54) (3R)-1-бутил-2,5-диоксо-3-((1R)-1-гидрокси-2-метилпропил)-9-(4-(циклогексиламинокарбонил)фенилметил)-1,4,9-триазаспиро[5.5]ундекан,
(55) (3R)-1-бутил-2,5-диоксо-3-((1R)-1-гидрокси-2-метилпропил)-9-(4-(4-(пирролидин-1-илкарбонил)фенилокси)фенилметил)-1,4,9-триазаспиро[5.5]ундекан,
(56) (3R)-1-бутил-2,5-диоксо-3-((1R)-1-гидрокси-2-метилпропил)-9-(3,5-диметил-1-(4-фторфенил)пиразол-4-илметил)-1,4,9-триазаспиро[5.5]ундекан,
(57) (3R)-1-бутил-2,5-диоксо-3-((1R)-1-гидрокси-2-метилпропил)-9-(3,5-диметил-1-(4-(2-фенилэтил)фенил)пиразол-4-илметил)-1,4,9-триазаспиро[5.5]ундекан,
(58) (3R)-1-бутил-2,5-диоксо-3-((1R)-1-гидрокси-2-метилпропил)-9-(3,5-диметил-1-(1-бензилоксикарбонилпиперидин-4-ил)пиразол-4-илметил)-1,4,9-триазаспиро[5.5]ундекан,
(59) (3R)-1-бутил-2,5-диоксо-3-((1R)-1-гидрокси-2-метилпропил)-9-(4-(4-(2-гидроксиэтиламинокарбонил)фенилокси)фенилметил)-1,4,9-триазаспиро[5.5]ундекан,
(60) (3R)-1-бутил-2,5-диоксо-3-((1R)-1-гидрокси-2-метилпропил)-9-(3,5-диметил-1-(1-метилсульфонилпиперидин-4-ил)пиразол-4-илметил)-1,4,9-триазаспиро[5.5]ундекан,
(61) (3R)-1-бутил-2,5-диоксо-3-((1R)-1-гидрокси-2-метилпропил)-9-(4-(4-гидроксиметилфенилокси)фенилметил)-1,4,9-триазаспиро[5.5]ундекан,
(62) (3S)-1-бутил-2,5-диоксо-3-((1S)-1-гидрокси-2-метилпропил)-9-(6-фенилоксипиридин-3-илметил)-1,4,9-триазаспиро[5.5]ундекан,
(63) (3S)-1-бутил-2,5-диоксо-3-(2-метилпропил)-9-(3,5-диметил-1-(4-(N,N-диметиламинокарбонил)фенил)пиразол-4-илметил)-1,4,9-триазаспиро[5.5]ундекан,
(64) (3S)-1-бутил-2,5-диоксо-3-(2-метилпропил)-9-(3,5-диметил-1-(4-(пирролидин-1-илкарбонил)фенил)пиразол-4-илметил)-1,4,9-триазаспиро[5.5]ундекан,
(65) (3S)-1-бутил-2,5-диоксо-3-(2-метилпропил)-9-(3,5-диметил-1-(4-(морфолин-4-илкарбонил)фенил)пиразол-4-илметил)-1,4,9-триазаспиро[5.5]ундекан,
(66) (3S)-1-бутил-2,5-диоксо-3-(2-метилпропил)-9-(4-метилсульфонилфенилметил)-1,4,9-триазаспиро[5.5]ундекан,
(67) (3S)-1-бутил-2,5-диоксо-3-(2-метилпропил)-9-(4-(4-метилсульфонилфенилокси)фенилметил)-1,4,9-триазаспиро[5.5]ундекан,
(68) (3S)-1-бутил-2,5-диоксо-3-(2-метилпропил)-9-(3,5-диметил-1-(4-(2-(морфолин-4-ил)этиламиносульфонил)фенил)пиразол-4-илметил)-1,4,9-триазаспиро[5.5]ундекан,
(69) (3S)-1-бутил-2,5-диоксо-3-(2-метилпропил)-9-(3,5-диметил-1-(4-(4-метилпиперазин-1-илсульфонил)фенил)пиразол-4-илметил)-1,4,9-триазаспиро[5.5]ундекан,
(70) (3S)-1-бутил-2,5-диоксо-3-(2-метилпропил)-9-(4-(4-метилсульфинилфенилокси)фенилметил)-1,4,9-триазаспиро[5.5]ундекан,
(71) (3S)-1-бутил-2,5-диоксо-3-(2-метилпропил)-9-(4-(пиридин-1-оксидо-3-илокси)фенилметил)-1,4,9-триазаспиро[5.5]ундекан,
(72) (3S)-1-бутил-2,5-диоксо-3-(2-метилпропил)-9-(3,5-диметил-1-(4-(2-гидроксиэтиламинокарбонил)фенил)пиразол-4-илметил)-1,4,9-триазаспиро[5.5]ундекан,
(73) (3S)-1-бутил-2,5-диоксо-3-(2-метилпропил)-9-(4-(4-(морфолин-4-илкарбонил)фенилокси)фенилметил)-1,4,9-триазаспиро[5.5]ундекан,
(74) (3S)-1-бутил-2,5-диоксо-3-(2-метилпропил)-9-(3,5-диметил-1-(4-(N,N-диэтиламиносульфонил)фенил)пиразол-4-илметил)-1,4,9-триазаспиро[5.5]ундекан,
(75) (3S)-1-бутил-2,5-диоксо-3-(2-метилпропил)-9-(4-(4-(2-гидроксиэтиламинокарбонил)фенилокси)фенилметил)-1,4,9-триазаспиро[5.5]ундекан,
(76) (3S)-1-бутил-2,5-диоксо-3-(2-метилпропил)-9-(4-(4-(пирролидин-1-илкарбонил)фенилокси)фенилметил)-1,4,9-триазаспиро[5.5]ундекан,
(77) (3S)-1-бутил-2,5-диоксо-3-(2-метилпропил)-9-(3,5-диметил-1-(4-(циклогексиламиносульфонил)фенил)пиразол-4-илметил)-1,4,9-триазаспиро[5.5]ундекан,
(78) (3S)-1-бутил-2,5-диоксо-3-(2-метилпропил)-9-(3,5-диметил-1-(4-(3-метоксипропиламиносульфонил)фенил)пиразол-4-илметил)-1,4,9-триазаспиро[5.5]ундекан,
(79) (3S)-1-бутил-2,5-диоксо-3-(2-метилпропил)-9-(4-метилсульфинилфенилметил)-1,4,9-триазаспиро[5.5]ундекан,
(80) (3S)-1-бутил-2,5-диоксо-3-(2-метилпропил)-9-(3,5-диметил-1-пропилпиразол-4-илметил)-1,4,9-триазаспиро[5.5]ундекан,
(81) (3S)-1-бутил-2,5-диоксо-3-(2-метилпропил)-9-(3,5-диметил-1-этилпиразол-4-илметил)-1,4,9-триазаспиро[5.5]ундекан,
(82) (3S)-1-бутил-2,5-диоксо-3-(2-метилпропил)-9-(3,5-диметил-1-циклопентилпиразол-4-илметил)-1,4,9-триазаспиро[5.5]ундекан,
(83) (3S)-1-бутил-2,5-диоксо-3-(2-метилпропил)-9-(3,5-диметил-1-(1,1-диметилэтил)пиразол-4-илметил)-1,4,9-триазаспиро[5.5]ундекан,
(84) (3S)-1-бутил-2,5-диоксо-3-(2-метилпропил)-9-(3,5-диметил-1-(1-бензилоксикарбонилпиперидин-4-ил)пиразол-4-илметил)-1,4,9-триазаспиро[5.5]ундекан,
(85) (3S)-1-бутил-2,5-диоксо-3-(2-метилпропил)-9-(4-((4-метоксифенил)метиламинокарбонил)фенилметил)-1,4,9-триазаспиро[5.5]ундекан,
(86) (3S)-1-бутил-2,5-диоксо-3-(2-метилпропил)-9-(4-(3-метоксипропил-аминокарбонил)фенилметил)-1,4,9-триазаспиро[5.5]ундекан,
(87) (3S)-1-бутил-2,5-диоксо-3-(2-метилпропил)-9-(3,5-диметил-1-(4-метоксикарбонилфенил)пиразол-4-илметил)-1,4,9-триазаспиро[5.5]ундекан,
(88) (3S)-1-бутил-2,5-диоксо-3-(2-метилпропил)-9-(3,5-диметил-1-(4-метоксифенил)пиразол-4-илметил)-1,4,9-триазаспиро[5.5]ундекан,
(89) (3S)-1-бутил-2,5-диоксо-3-(2-метилпропил)-9-(3,5-диметил-1-(4-(3-(морфолин-4-ил)пропиламиносульфонил)фенил)пиразол-4-илметил)-1,4,9-триазаспиро[5.5]ундекан,
(90) (3S)-1-бутил-2,5-диоксо-3-(2-метилпропил)-9-(4-(пирролидин-1-илкарбонил)фенилметил)-1,4,9-триазаспиро[5.5]ундекан,
(91) (3S)-1-бутил-2,5-диоксо-3-(2-метилпропил)-9-(4-(пиперидин-1 -илкарбонил)фенилметил)-1,4,9-триазаспиро[5.5]ундекан,
(92) (3S)-1-бутил-2,5-диоксо-3-(2-метилпропил)-9-(4-(морфолин-4-илкарбонил)фенилметил)-1,4,9-триазаспиро[5.5]ундекан,
(93) (3S)-1-бутил-2,5-диоксо-3-(2-метилпропил)-9-(4-N-метил-N-(2-(пиридин-2-ил)этил)аминокарбонил)фенилметил)-1,4,9-триазаспиро[5.5]ундекан,
(94) (3S)-1-бутил-2,5-диоксо-3-(2-метилпропил)-9-(4-(циклогексиламино-карбонил)фенилметил)-1,4,9-триазаспиро[5.5]ундекан,
(95) (3S)-1-бутил-2,5-диоксо-3-(2-метилпропил)-9-(4-(N,N-диметиламино-сульфонил)фенилметил)-1,4,9-триазаспиро[5.5]ундекан,
(96) (3S)-1-бутил-2,5-диоксо-3-(2-метилпропил)-9-(4-(4-метоксикарбонил-фенилокси)фенилметил)-1,4,9-триазаспиро[5.5]ундекан,
(97) (3S)-1-бутил-2,5-диоксо-3-(2-метилпропил)-9-(3,5-диметил-1-(1-метилпиперидин-4-ил)пиразол-4-илметил)-1,4,9-триазаспиро[5.5]ундекан,
(98) (3S)-1-бутил-2,5-диоксо-3-(2-метилпропил)-9-(3,5-диметил-1-(1-метилсульфонилпиперидин-4-ил)пиразол-4-илметил)-1,4,9-триазаспиро[5.5]ундекан,
(99) (3S)-1-бутил-2,5-диоксо-3-(2-метилпропил)-9-(3,5-диметил-1-(4-(3-(N,N-диметиламино)пропиламиносульфонил)фенил)пиразол-4-илметил)-1,4,9-триазаспиро[5.5]ундекан,
(100) (3S)-1-бутил-2,5-диоксо-3-(2-метилпропил)-9-(4-(4-(N,N-диметиламино)фенилокси)фенилметил)-1,4,9-триазаспиро[5.5]ундекан,
(101) (3S)-1-бутил-2,5-диоксо-3-(2-метилпропил)-9-(3,5-диметил-1-(4-(N-метил-N-(2-(N’,N’-диметиламино)этил)аминосульфонилфенил)пиразол-4-илметил)-1,4,9-триазаспиро[5.5]ундекан,
(102) (3S)-1-бутил-2,5-диоксо-3-(2-метилпропил)-9-(4-(4-((N,N-диметиламино)метил)фенилокси)фенилметил)-1,4,9-триазаспиро[5.5]ундекан,
(103) (3S)-1-бутил-2,5-диоксо-3-(2-метилпропил)-9-(4-(4-карбоксифенилокси)фенилметил)-1,4,9-триазаспиро[5.5]ундекан,
(104) (3S)-1-бутил-2,5-диоксо-3-(2-метилпропил)-9-(3,5-диметил-1-(4-метиламинокарбонилфенил)пиразол-4-илметил)-1,4,9-триазаспиро[5.5]ундекан,
(105) (3S)-1-бутил-2,5-диоксо-3-(2-метилпропил)-9-(4-((метоксикарбонил)метиламинокарбонил)фенилметил)-1,4,9-триазаспиро[5.5]ундекан,
(106) (3S)-1-бутил-2,5-диоксо-3-(2-метилпропил)-9-(3-(3,5-диметил-1-фенилпиразол-4-ил)-2Е-пропенил)-1,4,9-триазаспиро[5.5]ундекан,
(107) (3S)-1-бутил-2,5-диоксо-3-(2-метилпропил)-9-(4-(карбоксиметиламинокарбонил)фенилметил)-1,4,9-триазаспиро[5.5]ундекан,
(108) (3S)-1-бутил-2,5-диоксо-3-(2-метилпропил)-9-(3-(3,5-диметил-1-фенилпиразол-4-ил)пропил)-1,4,9-триазаспиро[5.5]ундекан,
(109) (3S)-1-бутил-2,5-диоксо-3-циклогексилметил-9-(3,5-диметил-1-(4-N,N-диметиламинокарбонил)фенил)пиразол-4-илметил)-1,4,9-триазаспиро[5.5]ундекан,
(110) (3S)-1-бутил-2,5-диоксо-3-циклогексилметил-9-(3,5-диметил-1-(4-(пирролидин-1-илкарбонил)фенил)пиразол-4-илметил)-1,4,9-триазаспиро[5.5]ундекан,
(111) (3S)-1-бутил-2,5-диоксо-3-циклогексилметил-9-(3,5-диметил-1-(4-(морфолин-4-илкарбонил)фенил)пиразол-4-илметил)-1,4,9-триазаспиро [5.5 ]ундекан,
(112) (3S)-1-бутил-2,5-диоксо-3-циклогексилметил-9-(3,5-диметил-1-(4-(2-(N,N-диметиламино)этиламинокарбонил)фенил)пиразол-4-илметил)-1,4,9-триазаспиро[5.5]ундекан,
(113) (3S)-1-бутил-2,5-диоксо-3-циклогексилметил-9-(4-(4-(морфолин-4-илкарбонил)фенилокси)фенилметил)-1,4,9-триазаспиро[5.5]ундекан,
(114) (3S)-1-бутил-2,5-диоксо-3-циклогексилметил-9-(4-метилсульфонилфенилметил)-1,4,9-триазаспиро[5.5]ундекан,
(115) (3S)-1-бутил-2,5-диоксо-3-циклогексилметил-9-(4-(4-метилсульфонилфенилокси)фенилметил)-1,4,9-триазаспиро[5.5]ундекан,
(116) (3S)-1-бутил-2,5-диоксо-3-циклогексилметил-9-(3,5-диметил-1-(4-(2-(морфолин-4-ил)этиламиносульфонил)фенил)пиразол-4-илметил)-1,4,9-триазаспиро[5.5]ундекан,
(117) (3S)-1-бутил-2,5-диоксо-3-циклогексилметил-9-(3,5-диметил-1-(4-(4-метилпиперазин-1-илсульфонил)фенил)пиразол-4-илметил)-1,4,9-триазаспиро[5.5]ундекан,
(118) (3S)-1-бутил-2,5-диоксо-3-циклогексилметил-9-(4-(4-метилсульфинилфенилокси)фенилметил)-1,4,9-триазаспиро[5.5]ундекан,
(119) (3S)-1-бутил-2,5-диоксо-3-циклогексилметил-9-(3,5-диметил-1-(4-(2-гидроксиэтиламинокарбонил)фенил)пиразол-4-илметил)-1,4,9-триазаспиро[5.5]ундекан,
(120) (3S)-1-бутил-2,5-диоксо-3-циклогексилметил-9-(4-(4-(2-гидроксиэтиламинокарбонил)фенилокси)фенилметил)-1,4,9-триазаспиро[5.5]ундекан,
(121) (3S)-1-бутил-2,5-диоксо-3-циклогексилметил-9-(4-(4-(пирролидин-1-илкарбонил)фенилокси)фенилметил)-1,4,9-триазаспиро[5.5]ундекан,
(122) (3S)-1-бутил-2,5-диоксо-3-циклогексилметил-9-(3,5-диметил-1-(4-(циклогексиламиносульфонил)фенил)пиразол-4-илметил)-1,4,9-триазаспиро[5.5]ундекан,
(123) (3S)-1-бутил-2,5-диоксо-3-циклогексилметил-9-(3,5-диметил-1-(4-(3-метоксипропиламиносульфонил)фенил)пиразол-4-илметил)-1,4,9-триазаспиро[5.5]ундекан,
(124) (3S)-1-бутил-2,5-диоксо-3-циклогексилметил-9-(4-метилсульфинилфенилметил)-1,4,9-триазаспиро[5.5]ундекан,
(125) (3S)-1-бутил-2,5-диоксо-3-циклогексилметил-9-(3,5-диметил-1-пропилпиразол-4-илметил)-1,4,9-триазаспиро[5.5]ундекан,
(126) (3S)-1-бутил-2,5-диоксо-3-циклогексилметил-9-(3,5-диметил-1-этилпиразол-4-илметил)-1,4,9-триазаспиро[5.5]ундекан,
(127) (3S)-1-бутил-2,5-диоксо-3-циклогексилметил-9-(3,5-диметил-1-циклопентилпиразол-4-илметил)-1,4,9-триазаспиро[5.5]ундекан,
(128) (3S)-1-бутил-2,5-диоксо-3-циклогексилметил-9-(3,5-диметил-1-(4-(3-(морфолин-4-ил)пропиламиносульфонил)фенил)пиразол-4-илметил)-1,4,9-триазаспиро[5.5]ундекан,
(129) (3S)-1-бутил-2,5-диоксо-3-циклогексилметил-9-(4-(N,N-диметиламиносульфонил)фенилметил)-1,4,9-триазаспиро[5.5]ундекан,
(130) (3S)-1-бутил-2,5-диоксо-3-циклогексилметил-9-(4-(пирролидин-1-илкарбонил)фенилметил)-1,4,9-триазаспиро[5.5]ундекан,
(131) (3S)-1-бутил-2,5-диоксо-3-циклогексилметил-9-(4-(4-(N,N-диметиламино)фенилокси)фенилметил)-1,4,9-триазаспиро[5.5]ундекан,
(132) (3S)-1-бутил-2,5-диоксо-3-циклогексилметил-9-(4-(циклогексиламинокарбонил)фенилметил)-1,4,9-триазаспиро[5.5]ундекан,
(133) (3S)-1-бутил-2,5-диоксо-3-циклогексилметил-9-(3,5-диметил-1-(4-метоксикарбонилфенил)пиразол-4-илметил)-1,4,9-триазаспиро[5.5]ундекан,
(134) (3S)-1-бутил-2,5-диоксо-3-циклогексилметил-9-(4-(3-метоксипропиламинокарбонил)фенилметил)-1,4,9-триазаспиро[5.5]ундекан,
(135) (3S)-1-бутил-2,5-диоксо-3-циклогексилметил-9-(4-(N-метил-N-(2-(пиридин-2-ил)этил)аминокарбонил)фенилметил)-1,4,9-триазаспиро[5.5]ундекан,
(136) (3S)-1-бутил-2,5-диоксо-3-циклогексилметил-9-(4-((4-метоксифенил)метиламинокарбонил)фенилметил)-1,4,9-триазаспиро[5.5]ундекан,
(137) (3S)-1-бутил-2,5-диоксо-3-циклогексилметил-9-(4-(4-метоксикарбонилфенилокси)фенилметил)-1,4,9-триазаспиро[5.5]ундекан,
(138) (3S)-1-бутил-2,5-диоксо-3-циклогексилметил-9-(3,5-диметил-1-(4-метоксифенил)пиразол-4-илметил)-1,4,9-триазаспиро[5.5]ундекан,
(139) (3S)-1-бутил-2,5-диоксо-3-циклогексилметил-9-(3,5-диметил-1-(1-метилпиперидин-4-ил)пиразол-4-илметил)-1,4,9-триазаспиро[5.5]ундекан,
(140) (3S)-1-бутил-2,5-диоксо-3-циклогексилметил-9-(3,5-диметил-1-(1-метилсульфонилпиперидин-4-ил)пиразол-4-илметил)-1,4,9-триазаспиро[5.5]ундекан,
(141) (3S)-1-бутил-2,5-диоксо-3-циклогексилметил-9-(3,5-диметил-1-(4-(3-(N,N-диметиламино)пропиламиносульфонил)фенил)пиразол-4-илметил)-1,4,9-триазаспиро[5.5]ундекан,
(142) (3S)-1-бутил-2,5-диоксо-3-циклогексилметил-9-(3,5-диметил-1-(4-(N-метил-N-(2-(N’,N’-диметиламино)этил)аминосульфонилфенил)пиразол-4-илметил)-1,4,9-триазаспиро[5.5]ундекан,
(143) (3S)-1-бутил-2,5-диоксо-3-циклогексилметил-9-(4-(пиперидин-1-илкарбонил)фенилметил)-1,4,9-триазаспиро[5.5]ундекан,
(144) (3S)-1-бутил-2,5-диоксо-3-циклогексилметил-9-(4-(морфолин-4-илкарбонил)фенилметил)-1,4,9-триазаспиро[5.5]ундекан,
(145) (3S)-1-бутил-2,5-диоксо-3-циклогексилметил-9-(4-(4-((N,N-диметиламино)метил)фенилокси)фенилметил)-1,4,9-триазаспиро[5.5]ундекан,
(146) (3S)-1-бутил-2,5-диоксо-3-циклогексилметил-9-(3,5-диметил-1-(4-метиламинокарбонилфенил)пиразол-4-илметил)-1,4,9-триазаспиро[5.5]ундекан,
(147) (3S)-1-бутил-2,5-диоксо-3-циклогексилметил-9-(3,5-диметил-1-(1,1-диметилэтил)пиразол-4-илметил)-1,4,9-триазаспиро[5.5]ундекан,
(148) (3S)-1-бутил-2,5-диоксо-3-циклогексилметил-9-(3,5-диметил-1-(1-бензилоксикарбонилпиперидин-4-ил)пиразол-4-илметил)-1,4,9-триазаспиро[5.5]ундекан,
(149) (3S)-1-бутил-2,5-диоксо-3-циклогексилметил-9-(4-(4-гидроксиметилфенилокси)фенилметил)-1,4,9-триазаспиро[5.5]ундекан,
(150) (3S)-1-бутил-2,5-диоксо-3-циклогексилметил-9-(4-((метоксикарбонил)метиламинокарбонил)фенилметил)-1,4,9-триазаспиро[5.5]ундекан,
(151) (3S)-1-бутил-2,5-диоксо-3-циклогексилметил-9-(4-(карбоксиметиламинокарбонил)фенилметил)-1,4,9-триазаспиро[5.5]ундекан,
(152) (3R)-1-бутил-2,5-диоксо-3-((1R)-1-гидрокси-1-циклогексилметил)-9-(4-фенилоксифенилметил)-1,4,9-триазаспиро[5.5]ундекан,
(153) (3R)-1-бутил-2,5-диоксо-3-((1R)-1-гидрокси-1-циклогексилметил)-9-(6-фенилоксипиридин-3-илметил)-1,4,9-триазаспиро[5.5]ундекан,
(154) (3R)-1-бутил-2,5-диоксо-3-((1R)-1-гидрокси-1-циклогексилметил)-9-(4-(4-фторфенилокси)фенилметил)-1,4,9-триазаспиро[5.5]ундекан,
(155) (3R)-1-бутил-2,5-диоксо-3-((1R)-1-гидрокси-1-циклогексилметил)-9-(4-(4-хлорфенилокси)фенилметил)-1,4,9-триазаспиро[5.5]ундекан,
(156) (3R)-1-бутил-2,5-диоксо-3-((1R)-1-гидрокси-1-циклогексилметил)-9-(4-(4-цианофенилокси)фенилметил)-1,4,9-триазаспиро[5.5]ундекан,
(157) (3R)-1-бутил-2,5-диоксо-3-((1R)-1-гидрокси-1-циклогексилметил)-9-(4-(4-метилсульфониламинофенилокси)фенилметил)-1,4,9-триазаспиро[5.5]ундекан,
(158) (3R)-1-бутил-2,5-диоксо-3-((1R)-1-гидрокси-1-циклогексилметил)-9-(4-(6-метилпиридин-3-илокси)фенилметил)-1,4,9-триазаспиро[5.5]ундекан,
(159) (3R)-1-бутил-2,5-диоксо-3-((1R)-1-гидрокси-1-циклогексилметил)-9-(4-(1-метилэтил)фенилметил)-1,4,9-триазаспиро[5.5]ундекан,
(160) (3R)-1-бутил-2,5-диоксо-3-((1R)-1-гидрокси-1-циклогексилметил)-9-(4-(4-метилсульфилфенилокси)фенилметил)-1,4,9-триазаспиро[5.5]ундекан,
(161) (3R)-1-бутил-2,5-диоксо-3-((1R)-1-гидрокси-1-циклогексилметил)-9-(4-(3,4,5,6-тетрагидропиран-4-илокси)фенилметил)-1,4,9-триазаспиро[5.5]ундекан,
(162) (3R)-1-бутил-2,5-диоксо-3-((1R)-1-гидрокси-1-циклогексилметил)-9-(4-фенилкарбонилфенилметил)-1,4,9-триазаспиро[5.5]ундекан,
(163) (3R)-1-бутил-2,5-диоксо-3-((1R)-1-гидрокси-1-циклогексилметил)-9-(4-(1-фенил-1-гидроксиметил)фенилметил)-1,4,9-триазаспиро[5.5]ундекан,
(164) (3R)-1-бутил-2,5-диоксо-3-((1R)-1-гидрокси-1-циклогексилметил)-9-(3,5-диметил-1-(4-(морфолин-4-илсульфонил)фенил)пиразол-4-илметил)-1,4,9-триазаспиро[5.5]ундекан,
(165) (3R)-1-бутил-2,5-диоксо-3-((1R)-1-гидрокси-1-циклогексилметил)-9-(3,5-диметил-1-(4-метиламиносульфонилфенил)пиразол-4-илметил)-1,4,9-триазаспиро[5.5]ундекан,
(166) (3R)-1-бутил-2,5-диоксо-3-((1R)-1-гидрокси-1-циклогексилметил)-9-(3,5-диметил-1-(4-(N-метил-N-(2-гидроксиэтил)аминосульфонил)фенил)пиразол-4-илметил)-1,4,9-триазаспиро[5.5]ундекан,
(167) (3R)-1-бутил-2,5-диоксо-3-((1R)-1-гидрокси-1-циклогексилметил)-9-(3,5-диметил-1-(пиридин-2-ил)пиразол-4-илметил)-1,4,9-триазаспиро[5.5]ундекан,
(168) (3R)-1-бутил-2,5-диоксо-3-((1R)-1-гидрокси-1-циклогексилметил)-9-(3,5-диметил-1-циклогексилпиразол-4-илметил)-1,4,9-триазаспиро[5.5]ундекан,
(169) (3R)-1-бутил-2,5-диоксо-3-((1R)-1-гидрокси-1-циклогексилметил)-9-(1,3,5-триметилпиразол-4-илметил)-1,4,9-триазаспиро[5.5]ундекан,
(170) (3R)-1-бутил-2,5-диоксо-3-((1R)-1-гидрокси-1-циклогексилметил)-9-(3,5-диметил-1-(4-(N,N-диметиламинокарбонил)фенил)пиразол-4-илметил)-1,4,9-триазаспиро[5.5]ундекан,
(171) (3R)-1-бутил-2,5-диоксо-3-((1R)-1-гидрокси-1-циклогексилметил)-9-(4-(N,N-бисметилсульфонил)фенилметил)-1,4,9-триазаспиро[5.5]ундекан,
(172) (3R)-1-бутил-2,5-диоксо-3-((1R)-1-гидрокси-1-циклогексилметил)-9-(3,5-диметил-1-(4-метилсульфониламинофенил)пиразол-4-илметил)-1,4,9-триазаспиро[5.5]ундекан,
(173) (3R)-1-бутил-2,5-диоксо-3-((1R)-1-гидрокси-1-циклогексилметил)-9-(3,5-диметил-1-(4-(N,N-диметилсульфонил)фенил)пиразол-4-илметил)-1,4,9-триазаспиро[5.5]ундекан,
(174) (3R)-1-бутил-2,5-диоксо-3-((1R)-1-гидрокси-1-циклогексилметил)-9-(3,5-диметил-1-(4-(пирролидин-1-илкарбонил)фенил)пиразол-4-илметил)-1,4,9-триазаспиро[5.5]ундекан,
(175) (3R)-1-бутил-2,5-диоксо-3-((1R)-1-гидрокси-1-циклогексилметил)-9-(3,5-диметил-1-(4-(морфолин-4-илкарбонил)фенил)пиразол-4-илметил)-1,4,9-триазаспиро[5.5]ундекан,
(176) (3R)-1-бутил-2,5-диоксо-3-((1R)-1-гидрокси-1-циклогексилметил)-9-(4-аминокарбонилфенилметил)-1,4,9-триазаспиро[5.5]ундекан,
(177) (3R)-1-бутил-2,5-диоксо-3-((1R)-1-гидрокси-1-циклогексилметил)-9-(4-(4-аминокарбонилфенилокси)фенилметил)-1,4,9-триазаспиро[5.5]ундекан,
(178) (3R)-1-бутил-2,5-диоксо-3-((1R)-1-гидрокси-1-циклогексилметил)-9-(4-(4-аминосульфонилфенилокси)фенилметил)-1,4,9-триазаспиро[5.5]ундекан,
(179) (3R)-1-бутил-2,5-диоксо-3-((1R)-1-гидрокси-1-циклогексилметил)-9-(4-(6-метилпиридин-1-оксидо-3-илокси)фенилметил)-1,4,9-триазаспиро[5.5]ундекан,
(180) (3R)-1-бутил-2,5-диоксо-3-((1R)-1-гидрокси-1-циклогексилметил)-9-(4-(4-гидроксифенилокси)фенилметил)-1,4,9-триазаспиро[5.5]ундекан,
(181) (3R)-1-бутил-2,5-диоксо-3-((1R)-1-гидрокси-1-циклогексилметил)-9-(3,5-диметил-1-(4-гидроксифенил)пиразол-4-илметил)-1,4,9-триазаспиро[5.5]ундекан,
(182) (3R)-1-бутил-2,5-диоксо-3-((1R)-1-гидрокси-1-циклогексилметил)-9-(3,5-диметил-1-(4-(2-гидроксиэтиламиносульфонил)фенил)пиразол-4-илметил)-1,4,9-триазаспиро[5.5]ундекан,
(183) (3R)-1-бутил-2,5-диоксо-3-((1R)-1-гидрокси-1-циклогексилметил)-9-(3,5-диметил-1-(4-(пирролидин-1-илсульфонил)фенил)пиразол-4-илметил)-1,4,9-триазаспиро[5.5]ундекан,
(184) (3R)-1-бутил-2,5-диоксо-3-((1R)-1-гидрокси-1-циклогексилметил)-9-(5-хлор-3-метил-1-фенилпиразол-4-илметил)-1,4,9-триазаспиро[5.5]ундекан,
(185) (3R)-1-бутил-2,5-диоксо-3-((1R)-1-гидрокси-1-циклогексилметил)-9-(4-(4-метоксифенилокси)фенилметил)-1,4,9-триазаспиро[5.5]ундекан,
(186) (3R)-1-бутил-2,5-диоксо-3-((1R)-1-гидрокси-1-циклогексилметил)-9-(4-(3-метоксифенилокси)фенилметил)-1,4,9-триазаспиро[5.5]ундекан,
(187) (3R)-1-бутил-2,5-диоксо-3-((1R)-1-гидрокси-1-циклогексилметил)-9-(4-(N,N-диметиламинокарбонил)фенилметил)-1,4,9-триазаспиро[5.5]ундекан,
(188) (3R)-1-бутил-2,5-диоксо-3-((1R)-1-гидрокси-1-циклогексилметил)-9-(3,5-диметил-1-фенилпиразол-4-илметил)-1,4,9-триазаспиро[5.5]ундекан,
(189) (3R)-1-бутил-2,5-диоксо-3-((1R)-1-гидрокси-1-циклогексилметил)-9-(3,5-диметил-1-(4-метилфенил)пиразол-4-илметил)-1,4,9-триазаспиро[5.5]ундекан,
(190) (3R)-1-бутил-2,5-диоксо-3-((1R)-1-гидрокси-1-циклогексилметил)-9-(3,5-диметил-1-(4-фторфенил)пиразол-4-илметил)-1,4,9-триазаспиро[5.5]ундекан,
(191) (3R)-1-бутил-2,5-диоксо-3-((1R)-1-гидрокси-1-циклогексилметил)-9-(6-(4-метоксифенилокси)пиридин-3-илметил)-1,4,9-триазаспиро[5.5]ундекан,
(192) (3R)-1-бутил-2,5-диоксо-3-((1R)-1-гидрокси-1-циклогексилметил)-9-(4-(4-метилсульфонилфенилокси)фенилметил)-1,4,9-триазаспиро[5.5]ундекан,
(193) (3R)-1-бутил-2,5-диоксо-3-((1R)-1-гидрокси-1-циклогексилметил)-9-(4-(4-(2-(N,N-диметиламино)этиламинокарбонил)фенилокси)фенилметил)-1,4,9-триазаспиро [5.5 ]ундекан,
(194) (3R)-1-бутил-2,5-диоксо-3-((1R)-1-гидрокси-1-циклогексилметил)-9-(3,5-диметил-1-(4-(2-гидроксиэтиламинокарбонил)фенил)пиразол-4-илметил)-1,4,9-триазаспиро[5.5]ундекан,
(195) (3R)-1-бутил-2,5-диоксо-3-((1R)-1-гидрокси-1-циклогексилметил)-9-(3,5-диметил-1-(4-(2-(N,N-диметиламино)этиламинокарбонил)фенил)пиразол-4-илметил)-1,4,9-триазаспиро[5.5]ундекан,
(196) (3R)-1-бутил-2,5-диоксо-3-((1R)-1-гидрокси-1-циклогексилметил)-9-(3,5-диметил-1-(4-(2-(морфолин-4-ил)этиламиносульфонил)фенил)пиразол-4-илметил)-1,4,9-триазаспиро[5.5]ундекан,
(197) (3R)-1-бутил-2,5-диоксо-3-((1R)-1-гидрокси-1-циклогексилметил)-9-(4-(4-(морфолин-4-илкарбонил)фенилокси)фенилметил)-1,4,9-триазаспиро[5.5]ундекан,
(198) (3R)-1-бутил-2,5-диоксо-3-((1R)-1-гидрокси-1-циклогексилметил)-9-(1,4-бензодиоксан-б-илметил)-1,4,9-триазаспиро[5.5]ундекан,
(199) (3R)-1-бутил-2,5-диоксо-3-((1R)-1-гидрокси-1-циклогексилметил)-9-(3,5-диметил-1-(4-(N,N-диэтиламиносульфонил)фенил)пиразол-4-илметил)-1,4,9-триазаспиро[5.5]ундекан,
(200) (3R)-1-бутил-2,5-диоксо-3-((1R)-1-гидрокси-1-циклогексилметил)-9-(4-(пиридин-1-оксидо-3-илокси)фенилметил)-1,4,9-триазаспиро[5.5]ундекан,
(201) (3R)-1-бутил-2,5-диоксо-3-((1R)-1-гидрокси-1-циклогексилметил)-9-(3,5-диметил-1-(4-(4-метилпиперазин-1-илсульфонил)фенил)пиразол-4-илметил)-1,4,9-триазаспиро[5.5]ундекан,
(202) (3R)-1-бутил-2,5-диоксо-3-((1R)-1-гидрокси-1-циклогексилметил)-9-(4-(4-метиламинокарбонилфенилокси)фенилметил)-1,4,9-триазаспиро[5.5]ундекан,
(203) (3R)-1-бутил-2,5-диоксо-3-((1R)-1-гидрокси-1-циклогексилметил)-9-(3,5-диметил-1-(2,4-дифторфенил)пиразол-4-илметил)-1,4,9-триазаспиро[5.5]ундекан,
(204) (3R)-1-бутил-2,5-диоксо-3-((1R)-1-гидрокси-1-циклогексилметил)-9-(3,5-диметил-1-(4-(2-(N,N-диметиламино)этиламиносульфонил)фенил)пиразол-4-илметил)-1,4,9-триазаспиро[5.5]ундекан,
(205) (3R)-1-бутил-2,5-диоксо-3-((1R)-1-гидрокси-1-циклогексилметил)-9-(3,5-диметил-1-(4-метиламинокарбонилфенил)пиразол-4-илметил)-1,4,9-триазаспиро[5.5]ундекан,
(206) (3R)-1-бутил-2,5-диоксо-3-((1R)-1-гидрокси-1-циклогексилметил)-9-(4-(4-карбоксифенилокси)фенилметил)-1,4,9-триазаспиро[5.5]ундекан,
(207) (3R)-1-бутил-2,5-диоксо-3-((1R)-1-гидрокси-1-циклогексилметил)-9-(4-((4-метоксифенил)метиламинокарбонил)фенилметил)-1,4,9-триазаспиро[5.5]ундекан,
(208) (3R)-1-бутил-2,5-диоксо-3-((1R)-1-гидрокси-1-циклогексилметил)-9-(4-(3-метоксипропиламинокарбонил)фенилметил)-1,4,9-триазаспиро[5.5]ундекан,
(209) (3R)-1-бутил-2,5-диоксо-3-((1R)-1-гидрокси-1-циклогексилметил)-9-(4-(N-метил-N-(2-(пиридин-2-ил)этил)аминокарбонил)фенилметил)-1,4,9-триазаспиро[5.5]ундекан,
(210) (3R)-1-бутил-2,5-диоксо-3-((1R)-1-гидрокси-1-циклогексилметил)-9-(4-(4-(пирролидин-1-илкарбонил)фенилокси)фенилметил)-1,4,9-триазаспиро[5.5]ундекан,
(211) (3R)-1-бутил-2,5-диоксо-3-((1R)-1-гидрокси-1-циклогексилметил)-9-(3,5-диметил-1-(4-хлорфенил)пиразол-4-илметил)-1,4,9-триазаспиро[5.5]ундекан,
(212) (3R)-1-бутил-2,5-диоксо-3-((1R)-1-гидрокси-1-циклогексилметил)-9-(3,5-диметил-1-(4-трифторметилфенил)пиразол-4-илметил)-1,4,9-триазаспиро[5.5]ундекан,
(213) (3R)-1-бутил-2,5-диоксо-3-((1R)-1-гидрокси-1-циклогексилметил)-9-(3,5-диметил-1-(4-метоксифенил)пиразол-4-илметил)-1,4,9-триазаспиро[5.5]ундекан,
(214) (3R)-1-бутил-2,5-диоксо-3-((1R)-1-гидрокси-1-циклогексилметил)-9-(3,5-диметил-1-этилпиразол-4-илметил)-1,4,9-триазаспиро[5.5]ундекан,
(215) (3R)-1-бутил-2,5-диоксо-3-((1R)-1-гидрокси-1-циклогексилметил)-9-(3,5-диметил-1-пропилпиразол-4-илметил)-1,4,9-триазаспиро[5.5]ундекан,
(216) (3R)-1-бутил-2,5-диоксо-3-((1R)-1-гидрокси-1-циклогексилметил)-9-(3,5-диметил-1-(1,1-диметилэтил)пиразол-4-илметил)-1,4,9-триазаспиро[5.5]ундекан,
(217) (3R)-1-бутил-2,5-диоксо-3-((1R)-1-гидрокси-1-циклогексилметил)-9-(3,5-диметил-1-циклопентилпиразол-4-илметил)-1,4,9-триазаспиро[5.5]ундекан,
(218) (3R)-1-бутил-2,5-диоксо-3-((1R)-1-гидрокси-1-циклогексилметил)-9-(3,5-диметил-1-(2-фенилэтил)пиразол-4-илметил)-1,4,9-триазаспиро[5.5]ундекан,
(219) (3R)-1-бутил-2,5-диоксо-3-((1R)-1-гидрокси-1-циклогексилметил)-9-(3,5-диметил-1-(1-бензилоксикарбонилпиперидин-4-ил)пиразол-4-илметил)-1,4,9-триазаспиро[5.5]ундекан,
(220) (3R)-1-бутил-2,5-диоксо-3-((1R)-1-гидрокси-1-циклогексилметил)-9-(4-(циклогексиламинокарбонил)фенилметил)-1,4,9-триазаспиро[5.5]ундекан,
(221) (3R)-1-бутил-2,5-диоксо-3-((1R)-1-гидрокси-1-циклогексилметил)-9-(3,5-диметил-1-(1-метилсульфонилпиперидин-4-ил)пиразол-4-илметил)-1,4,9-триазаспиро[5.5]ундекан,
(222) (3R)-1-бутил-2,5-диоксо-3-((1R)-1-гидрокси-1-циклогексилметил)-9-(4-(4-(2-гидроксиэтиламинокарбонил)фенилокси)фенилметил)-1,4,9-триазаспиро[5.5]ундекан,
(223) (3R)-1-бутил-2,5-диоксо-3-((1R)-1-гидрокси-1-циклогексилметил)-9-(4-(4-гидроксиметилфенилокси)фенилметил)-1,4,9-триазаспиро[5.5]ундекан,
(224) (3S)-1-бутил-2,5-диоксо-3-((1S)-1-гидрокси-1-циклогексилметил)-9-(4-(4-метилсульфониламинофенилокси)фенилметил)-1,4,9-триазаспиро[5.5]ундекан,
(225) (3R)-1-бутил-2,5-диоксо-3-((1R)-1-гидрокси-1-(3,4,5,6-тетрагидропиран-4-ил)метил)-9-(3,5-диметил-1-фенилпиразол-4-илметил)-1,4,9-триазаспиро[5.5]ундекан,
(226) (3R)-1-бутил-2,5-диоксо-3-((1R)-1-гидрокси-1-(3,4,5,6-тетрагидропиран-4-ил)метил)-9-(4-(4-метиламинокарбонилфенилокси) фенилметил)-1,4,9-триазаспиро[5.5]ундекан,
(227) (3R)-1-бутил-2,5-диоксо-3-((1R)-1-гидрокси-1-(3,4,5,6-тетрагидропиран-4-ил)метил)-9-(4-(4-(4-метоксифенилметиламинокарбонил)фенилметил)-1,4,9-триазаспиро[5.5]ундекан,
(228) (3R)-1-бутил-2,5-диоксо-3-((1R)-1-гидрокси-1-(3,4,5,6-тетрагидропиран-4-ил)метил)-9-(3,5-диметил-1-(4-(N,N-диметиламинокарбонил)фенилпиразол-4-илметил)-1,4,9-триазаспиро[5.5]ундекан,
(229) (3R)-1-бутил-2,5-диоксо-3-((1R)-1-гидрокси-1-(3,4,5,6-тетрагидропиран-4-ил)метил)-9-(4-(4-карбоксифенилокси)фенилметил)-1,4,9-триазаспиро[5.5]ундекан,
(230) (3R)-1-бутил-2,5-диоксо-3-((1R)-1-гидрокси-1-(3,4,5,6-тетрагидропиран-4-ил)метил)-9-(4-(4-метилсульфониламинофенилокси)фенилметил)-1,4,9-триазаспиро[5.5]ундекан,
(231) (3R)-1-бутил-2,5-диоксо-3-((1R)-1-гидрокси-1-циклопентилметил)-9-(3,5-диметил-1-фенилпиразол-4-илметил)-1,4,9-триазаспиро[5.5]ундекан,
(232) (3R)-1-бутил-2,5-диоксо-3-((1R)-1-гидрокси-1-циклопентилметил)-9-(4-(4-(4-метоксифенилметиламинокарбонил)фенилметил)-1,4,9-триазаспиро[5.5]ундекан,
(233) (3R)-1-бутил-2,5-диоксо-3-((1R)-1-гидрокси-1-циклопентилметил)-9-(4-(4-метиламинокарбонилфенилокси)фенилметил)-1,4,9-триазаспиро[5.5]ундекан,
(234) (3R)-1-бутил-2,5-диоксо-3-((1R)-1-гидрокси-1-циклопентилметил)-9-(4-(4-карбоксифенилокси)фенилметил)-1,4,9-триазаспиро[5.5]ундекан,
(235) (3R)-1-пропил-2,5-диоксо-3-((1R)-1-гидрокси-2-метилпропил)-9-(4-(4-метиламинокарбонилфенилокси)фенилметил)-1,4,9-триазаспиро[5.5]ундекан,
(236) (3R)-1-пропил-2,5-диоксо-3-((1R)-1-гидрокси-2-метилпропил)-9-(3,5-диметил-1-циклогексилпиразол-4-илметил)-1,4,9-триазаспиро[5.5]ундекан,
(237) (3R)-1-пропил-2,5-диоксо-3-((1R)-1-гидрокси-2-метилпропил)-9-(4-(4-метоксифенилметиламинокарбонил)фенилметил)-1,4,9-триазаспиро[5.5]ундекан,
(238) (3R)-1-пропил-2,5-диоксо-3-((1R)-1-гидрокси-1-циклогексилметил)-9-(4-(4-метиламинокарбонилфенилокси)фенилметил)-1,4,9-триазаспиро[5.5]ундекан,
(239) (3R)-1-пропил-2,5-диоксо-3-((1R)-1-гидрокси-1-циклогексилметил)-9-(3,5-диметил-1-циклогексилпиразол-4-илметил)-1,4,9-триазаспиро[5.5]ундекан,
(240) (3R)-1-пропил-2,5-диоксо-3-((1R)-1-гидрокси-1-циклогексилметил)-9-(4-(4-метоксифенилметиламинокарбонил)фенилметил)-1,4,9-триазаспиро[5.5]ундекан,
(241) (3R)-1-пропил-2,5-диоксо-3-((1R)-1-гидрокси-1-циклогексилметил)-9-(3,5-диметил-1-(4-(N,N-диметиламинокарбонил)фенил)пиразол-4-илметил)-1,4,9-триазаспиро[5.5]ундекан,
(242) (3R)-1-пропил-2,5-диоксо-3-((1R)-1-гидрокси-1-циклогексилметил)-9-(4-(4-карбоксифенилокси)фенилметил)-1,4,9-триазаспиро[5.5]ундекан,
(243) (3R)-1-пропил-2,5-диоксо-3-((1R)-1-гидрокси-1-циклогексилметил)-9-(4-(4-метоксикарбонилфенилокси)фенилметил)-1,4,9-триазаспиро[5.5 ]ундекан,
(244) (3R)-1-пропил-2,5-диоксо-3-(1-циклогексилметилиден)-9-(4-(4-карбоксифенилокси)фенилметил)-1,4,9-триазаспиро[5.5]ундекан,
(245) (3S)-1-пропил-2,5-диоксо-3-(2-метилпропил)-9-(3,5-диметил-1-циклогексилпиразол-4-илметил)-1,4,9-триазаспиро[5.5]ундекан,
(246) (3S)-1-пропил-2,5-диоксо-3-(2-метилпропил)-9-(4-(4-метилсульфониламинофенилокси)фенилметил)-1,4,9-триазаспиро[5.5]ундекан,
(247) (3S)-1-пропил-2,5-диоксо-3-(2-метилпропил)-9-(3,5-диметил-1-(4-(2-(N,N-диметиламино)этиламиносульфонил)фенил)пиразол-4-илметил)-1,4,9-триазаспиро[5.5]ундекан,
(248) (3S)-1-пропил-2,5-диоксо-3-циклогексилметил-9-(3,5-диметил-1-циклогексилпиразол-4-илметил)-1,4,9-триазаспиро[5.5]ундекан,
(249) (3S)-1-пропил-2,5-диоксо-3-циклогексилметил-9-(4-(4-метилсульфониламинофенилокси)фенилметил)-1,4,9-триазаспиро[5.5]ундекан,
(250) 1-бутил-2,5-диоксо-9-(4-(4-метилсульфониламинофенилокси)фенилметил)-1,4,9-триазаспиро[5.5]ундекан,
(251) 1-бутил-2,5-диоксо-9-(3,5-диметил-1-циклогексилпиразол-4-илметил)-1,4,9-триазаспиро[5.5]ундекан,
(252) (3R)-1-(2-бутинил)-2,5-диоксо-3-((1R)-1-гидрокси-1-циклогексилметил)-9-(3,5-диметил-1-фенилпиразол-4-илметил)-1,4,9-триазаспиро [5.5]ундекан,
(253) (3S)-1-(2-бутинил)-2,5-диоксо-3-((1S)-1-гидрокси-1-циклогексилметил)-9-(3,5-диметил-1-фенилпиразол-4-илметил)-1,4,9-триазаспиро[5.5]ундекан,
(254) (3S)-1-бутил-2,5-диоксо-3-циклогексилметил-9-(2-(4-фенилоксифенил)этил)-1,4,9-триазаспиро[5.5]ундекан,
(255) (3S)-1-бутил-2,5-диоксо-3-(2-метилпропил)-9-(2-(4-фенилоксифенил)этил)-1,4,9-триазаспиро[5.5]ундекан,
(256) (3S)-1-бутил-2,5-диоксо-3-(2-метилпропил)-9-(2-(4-метоксифенил)этил)-1,4,9-триазаспиро[5.5]ундекан,
(257) (3S)-1-бутил-2,5-диоксо-3-циклогексилметил-9-(4-этоксикарбонилфенил)-1,4,9-триазаспиро[5.5]ундекан,
(258) (3S)-1-бутил-2,5-диоксо-3-циклогексилметил-4-метил-9-(4-фенилоксифенилметил)-1,4,9-триазаспиро[5.5]ундекан,
(259) (3R)-1-бутил-2,5-диоксо-3-((1R)-1-гидрокси-1-циклогексилметил)-9-(4-(2-метилпропаноиламино)фенилметил)-1,4,9-триазаспиро[5.5]ундекан,
(260) (3R)-1-бутил-2,5-диоксо-3-((1R)-1-гидрокси-1-циклогексилметил)-9-(4-(2-метоксиацетиламино)фенилметил)-1,4,9-триазаспиро[5.5]ундекан,
(261) (3R)-1-бутил-2,5-диоксо-3-((1R)-1-гидрокси-1-циклогексилметил)-9-(4-(2-фенилацетиламино)фенилметил)-1,4,9-триазаспиро[5.5]ундекан,
(262) (3R)-1-бутил-2,5-диоксо-3-((1R)-1-гидрокси-1-циклогексилметил)-9-(4-(2-(4-фторфенил)ацетиламино)фенилметил)-1,4,9-триазаспиро[5.5]ундекан,
(263) (3R)-1-бутил-2,5-диоксо-3-((1R)-1-гидрокси-1-циклогексилметил)-9-(4-(4-метоксикарбоилфениламинокарбонил)фенилметил)-1,4,9-триазаспиро [5.5]ундекан,
(264) (3R)-1-бутил-2,5-диоксо-3-((1R)-1-гидрокси-1-циклогексилметил)-9-(4-(4-метоксифенилметилоксикарбонил)фенилметил)-1,4,9-триазаспиро[5.5]ундекан,
(265) (3R)-1-бутил-2,5-диоксо-3-((1R)-1-гидрокси-1-циклогексилметил)-9-(2-(4-метиламинокарбонилфенилокси)пиридин-5-илметил)-1,4,9-триазаспиро[5.5]ундекан,
(266) (3S)-1-бутил-2,5-диоксо-3-((1S)-1-гидрокси-1-циклогексилметил)-9-(4-(4-карбоксифенилокси)фенилметил)-1,4,9-триазаспиро[5.5]ундекан,
(267) (3S)-1-бутил-2,5-диоксо-3-(пиридин-3-илметил)-9-(4-(4-метиламинокарбонилфенилокси)фенилметил)-1,4,9-триазаспиро[5.5]ундекан,
(268) (3S)-1-бутил-2,5-диоксо-3-фенилметил-9-(4-(4-метиламинокарбонилфенилокси)фенилметил)-1,4,9-триазаспиро[5.5]ундекан,
(269) (3S)-1-бутил-2,5-диоксо-3-(пиридин-2-илметил)-9-(4-(4-метиламинокарбонилфенилокси)фенилметил)-1,4,9-триазаспиро[5.5]ундекан,
(270) (3S)-1-бутил-2,5-диоксо-3-гидроксиметил-9-(4-(4-метиламинокарбонилфенилокси)фенилметил)-1,4,9-триазаспиро[5.5]ундекан,
(271) (3S)-1-бутил-2,5-диоксо-3-(пиридин-1-оксидо-2-илметил)-9-(4-(4-метиламинокарбонилфенилокси)фенилметил)-1,4,9-триазаспиро[5.5]ундекан,
(272) (3S)-1-бутил-2,5-диоксо-3-(пиридин-1-оксид-3-илметил)-9-(4-(4-метиламинокарбонилфенилокси)фенилметил)-1,4,9-триазаспиро[5.5]ундекан,
(273) (3R)-1-(4-метоксифенилметил)-2,5-диоксо-3-((1R)-1-гидрокси-1-циклогексилметил)-9-(4-(4-метиламинокарбонилфенилокси)фенилметил)-1,4,9-триазаспиро[5.5]ундекан,
(274) (3R)-1-фенилметил-2,5-диоксо-3-((1R)-1-гидрокси-1-циклогексилметил)-9-(4-(4-метиламинокарбонилфенилокси)фенилметил)-1,4,9-триазаспиро[5.5]ундекан,
(275) (3R)-1-(2-метоксиэтил)-2,5-диоксо-3-((1R)-1-гидрокси-1-циклогексилметил)-9-(4-(4-метиламинокарбонилфенилокси)фенилметил)-1,4,9-триазаспиро[5.5]ундекан,
(276) (3R)-1-(пиридин-2-илметил)-2,5-диоксо-3-((1R)-1-гидрокси-1-циклогексилметил)-9-(4-(4-метиламинокарбонилфенилокси)фенилметил)-1,4,9-триазаспиро[5.5]ундекан,
(277) (3R)-1-(пиридин-3-илметил)-2,5-диоксо-3-((1R)-1-гидрокси-1-циклогексилметил)-9-(4-(4-метиламинокарбонилфенилокси)фенилметил)-1,4,9-триазаспиро[5.5]ундекан,
(278) (3R)-1-бутил-2,5-диоксо-3-циклогексилметил-9-(4-(4-карбоксифенилокси)фенилметил)-1,4,9-триазаспиро[5.5]ундекан,
(279) (3S)-1-бутил-2,5-диоксо-3-(пиридин-1-оксидо-2-илметил)-9-(4-(4-метиламинокарбонилфенилокси)фенилметил)-1,4,9-триазаспиро[5.5]ундекан-9-оксид,
(280) 1-бутил-2,5-диоксо-3-(морфолин-4-илметил)9-(4-(4-метиламинокарбонилфенилокси)фенилметил)-1,4,9-триазаспиро[5.5]ундекан,
(281) (3R)-1-бутил-2,5-диоксо-3-((1R)-1-гидрокси-1-циклогексилметил)-9-(4-(4-(N-гидроксикарбамоил)фенилокси)фенилметил)-1,4,9-триазаспиро[5.5]ундекан,
(282) (3R)-1-бутил-2,5-диоксо-3-((1R)-1-гидрокси-1-циклогексилметил)-9-(4-(4-метиламинокарбонилфенилокси)фенилкарбонил)-1,4,9-триазаспиро[5.5]ундекан, или
(283) (3R)-1-бутил-2,5-диоксо-3-((1R)-1-гидрокси-1-циклогексилметил)-9-(4-(4-метиламинокарбонилфенилокси)фенил)-1,4,9-триазаспиро[5.5]ундекан, его четвертичная аммониевая соль, его N-оксид или его нетоксичная соль.
7. Фармацевтическая композиция, ингибирующая ВИЧ, включающая производное триазаспиро[5.5]ундекана формулы (I) по п.1, его четвертичную аммониевую соль, его N-оксид или его нетоксичную соль в качестве активного ингредиента.
8. Регулятор хемокин/хемокинового рецептора, включающий производное триазаспиро[5.5]ундекана формулы (I) по п.1, его четвертичную аммониевую соль, его N-оксид или его нетоксичную соль в качестве активного ингредиента.
9. Средство для профилактики и/или лечения астмы, атомического дерматита, крапивницы, аллергического бронхолегочного аспергиллеза, аллергического эозинофильного гастроэнтерита, нефрита, нефропатии, гепатита, артрита, ревматоидного артрита, псориаза, ринита, конъюнктивита, ишемического реперфузионного расстройства, рассеянного склероза, язвенного колита, острого респираторного дистресс-синдрома, цитотоксического шока, диабета, аутоиммунного заболевания, отторжения трансплантата, иммуносупрессии, метастазов при раке или синдрома приобретенного иммунодефицита, включающее производное триазаспиро[5.5]ундекана формулы (I) по пункту 1, его четвертичную аммониевую соль, его N-оксид или его нетоксичную соль в качестве активного ингредиента.
10. Соединение по п.1, представляющее собой (3R)-1-бутил-2,5-диоксо-3-((1R)-1-гидрокси-1-циклогексилметил)-9-(4-(4-карбоксифенилокси)фенилметил)-1,4,9-триазаспиро[5.5]ундекан, его четвертичную аммониевую соль, его N-оксид или его нетоксичную соль.
11. Соединение по любому из пп.1, 6 или 10, представляющее собой (3R)-1-бутил-2,5-диоксо-3-((1R)-1-гидрокси-1-циклогексилметил)-9-(4-(4-карбоксифенилокси)фенилметил)-1,4,9-триазаспиро[5.5]ундекан гидрохлорид.
12. Средство по п.9, где производным триазаспиро[5.5]ундекана является (3R)-1-бутил-2,5-диоксо-3-((1R)-1-гидрокси-1-циклогексилметил)-9-(4-(4-карбоксифенилокси)фенилметил)-1,4,9-триазаспиро[5.5]ундекан или его фармацевтически приемлемая соль.
13. (3R)-1-Бутил-2,5-диоксо-3-((1R)-1-гидрокси-1-циклогексилметил)-9(4-(4-карбоксифенилокси)фенилметил)-1,4,9-триазаспиро[5.5]ундекан или его фармацевтически приемлемая соль.
14. (3R)-1-Бутил-2,5-диоксо-3-((1R)-1-гидрокси-1-циклогексилметил)-9-(4-(4-карбоксифенилокси)фенилметил)-1,4,9-триазаспиро[5.5]ундекан гидрохлорид.
15. Фармацевтическая композиция, ингибирующая ВИЧ, включающая (3R)-1-бутил-2,5-диоксо-3-((1R)-1-гидрокси-1-циклогексилметил)-9-(4-(4-карбоксифенилокси)фенилметил)-1,4,9-триазаспиро[5.5]ундекан или его фармацевтически приемлемую соль в качестве активного ингредиента.
16. Фармацевтическая композиция, ингибирующая ВИЧ, включающая (3R)-1-бутил-2,5-диоксо-3-((1R)-1-гидрокси-1-циклогексилметил)-9-(4-(4-карбоксифенилокси)фенилметил)-1,4,9-триазаспиро[5.5]ундекан гидрохлорид в качестве активного ингредиента.
Приоритет от 19.03.2001: по п.1 за исключением R6 =-NR27COR28; Сус 1=(1) замещенное С5-6-членное монокарбоциклическое кольцо или (2) 5-6-членный моноцикличекий гетероцикл, замещенный заместителем, отличным от С1-4алкокси; R2=(3) замещенный С1-4алкил; пп.2-5, п.6, соединения (1)-(258); пп.7-16.
Приоритет от 29.05.2001: по п.1 R6=-NR27COR28; Сус 1=(1) замещенное С5-6-членное монокарбоциклическое кольцо или (2) 5-6-членный моноцикличекий гетероцикл, замещенный заместителем, отличным от С1-4алкокси; п.6, соединения 259-283.
MM4A – Досрочное прекращение действия патента СССР или патента Российской Федерации на изобретение из-за неуплаты в установленный срок пошлины за поддержание патента в силе
Дата прекращения действия патента: 19.03.2009
Извещение опубликовано: 20.07.2010 БИ: 20/2010
|
|