Патент на изобретение №2269527
|
|||||||||||||||||||||||||||||||||||||||||||||||||||||||||||||||||||||||||||||||||||||||||||||||||||||||||||||||||||||||||||||||||||||||||||||||||||||||||||||||||||||||||||||||
(54) ПРОИЗВОДНЫЕ ПИРИДОПИРИМИДИНОВ, СПОСОБЫ ИХ ПОЛУЧЕНИЯ И ФАРМАЦЕВТИЧЕСКАЯ КОМПОЗИЦИЯ НА ИХ ОСНОВЕ
(57) Реферат:
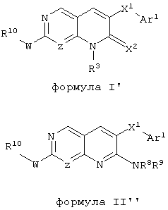
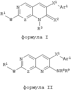
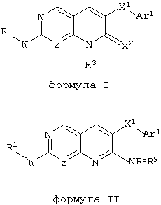
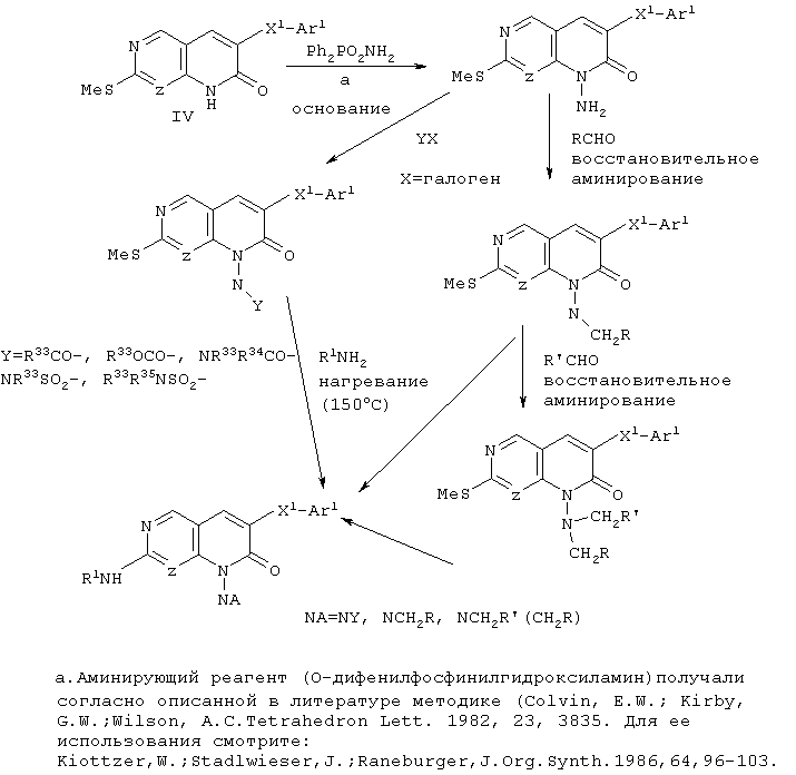
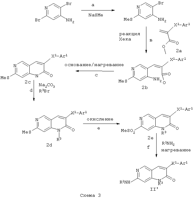
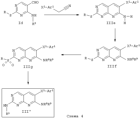
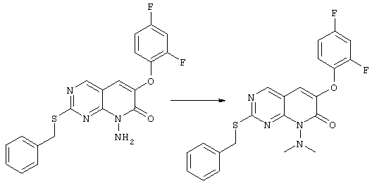
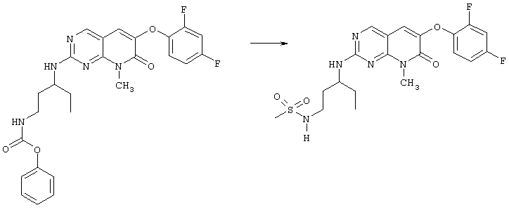
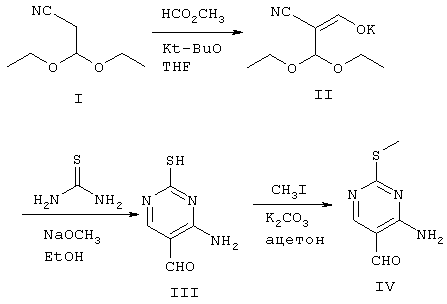
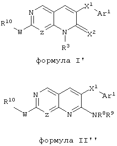
Изобретение относится к новым производным пиридопиримидинов формулы I или II где Z означает N или СН; W означает NR2; X1 означает О, NR4 (где R4 означает водород или алкил), S или CR5R6 (где R5 и R6 означают водород); Х2 означает О; Ar1 означает незамещенный или замещенный фенил; R2 означает водород, алкил или ацил; R1 означает водород, алкил, галоидалкил и др.; R3 означает алкил, циклоалкил и др.; R8 и R9 означают водород, алкилсульфонил и др. и к их фармацевтически приемлемым солям, а также к промежуточным соединениям, которые используют для получения соединений формулы (I) и (II). Указанные соединения обладают ингибирующей активностью в отношении киназы р38 и могут быть использованы для получения лекарственного средства для лечения опосредованных р38 нарушений. 5 н. и 33 з.п. ф-лы, 3 табл.
Настоящее изобретение относится к пиридопиримидинам и их производным. В частности, настоящее изобретение предоставляет 2,6-дизамещенные 7-оксопиридо[2,3-d]пиримидины, способ их получения, фармацевтические препараты, включающие их, и способы их применения. Митоген-активированные протеинкиназы (МАП-киназы) относятся к семейству пролин-направленных серин/треонин-киназ, которые активируют их субстраты путем двойственного фосфорилирования. Киназы активируются разнообразными сигналами, включая пищевую и осмотическую нагрузку, УФ-свет, ростовые факторы, эндотоксин и воспалительные цитокины. Одной из групп МАП-киназ является группа киназ р38, которая включает различные изоформы (например, р38 Более того, показано, что продукты фосфорилирования р38 являются промежуточными при продуцировании воспалительных цитокинов, включая фактор некроза опухоли (TNF) и интерлейкин (IL-1), и циклооксигеназы-2. Каждый из этих цитокинов вовлечен в целый ряд болезней и болезненных состояний. Например, TNF- TNF также вовлечен в вирусные инфекции, как, например, ВИЧ, вирус гриппа и вирус герпеса, включая тип-1 вируса простого герпеса (HSV-1), тип-2 вируса простого герпеса (HSV-2), цитомегаловирус (CMV), вирус ветряной оспы (VZV), вирус Эпштейна-Барра, вирус-6 герпеса человека (HHV-6), вирус-7 герпеса человека (HHV-7), вирус-8 герпеса человека (HHV-8), ложное бешенство и ринотрахеит, среди прочего. Подобным образом IL-1 продуцируется активированными моноцитами и макрофагами и играет роль во многих патофизиологических ответных реакциях, включая ревматоидный артрит, лихорадку и понижение костной резорбции. Кроме того, вовлечение р38 в патологический процесс имеет своим последствием удар, болезнь Альцгеймера, остеоартрит, поражение легких, септический шок, ангиогенез, дерматит, псориаз и атопический дерматит (см., например, J. Exp. Opin. Ther. Patents, (2000) 10 (1)). Подавление этих цитокинов путем ингибирования киназы р38 оказывает благоприятное воздействие для регулирования, ослабления и облегчения многих из этих болезненных состояний. Обнаружено согласно международной заявке на патент WO 96/34867, что некоторые 6-арилпиридо[2,3-(1]пиримидин-7-оны, -7-имины и -7-тионы являются ингибиторами опосредствованной протеин-тирозин-киназой клеточной пролиферации. Другие 6-арилпиридо[2,3-d]пиримидины и нафтиридины также раскрываются как ингибиторы тирозинкиназы в международной заявке на патент WO 96/15128. 6-Алкил-пиридо[2,3-d]пиримидин-7-оны раскрываются как ингибиторы циклин-зависимых киназ в международной заявке на патент WO 98/33798. Некоторые 4-аминопиридо-пиримидины раскрываются как ингибиторы дигидрофолатредуктазы в заявке на европейский патент ЕР 0278686 А1. По одному из аспектов настоящее изобретение обеспечивает соединения, представленные формулой I и II (краткое изложение сущности изобретения): или их фармацевтически приемлемые соли, где: Z означает N или СН; W означает NR2; Х1 означает О, NR4 (где R4 означает водород или алкил), S или CR5R6 (где R5 и R6 независимо друг от друга означают водород или алкил), или С=O; X2 означает О или NR7; Ar1 означает арил или гетероарил; R2 означает водород, алкил, ацил, алкоксикарбонил, арилоксикарбонил, гетероалкилкарбонил, гетероалкилоксикарбонил или -R21 -R22, где R21 означает алкилен или -С(=O)и R22 означает алкил или алкоксил; R1 означает водород, алкил, галоидалкил, арил, аралкил, гетероарил, гетероаралкил, циклоалкил, циклоалкилалкил, гетероалкилзамещенный циклоалкил, гетерозамещенный циклоалкил, гетероалкил, цианалкил, гетероциклил, гетероциклилалкил, R12-SO2-гетероциклоаминогруппу (где R12 означает галоидалкил, арил, аралкил, гетероарил или гетероаралкил), -Y1-C(O)-Y2-R11 (где Y1 и Y2 независимо друг от друга либо отсутствуют, либо являются алкиленовой группой и R11 означает водород, алкил, галоидалкил, гидроксил, алкоксил, амино-, моноалкиламино- или диалкиламиногруппу), (гетероциклил)(циклоалкил)алкил или (гетероциклил) (гетероарил) алкил; R3 означает водород, алкил, циклоалкил, циклоалкилалкил, арил, аралкил, галоидалкил, гетероалкил, цианалкил, алкилен -С(O)-R31 (где R31 означает водород, алкил, гидроксил, алкоксил, амино-, моноалкиламино- или диалкиламиногруппу), амино-, моноалкиламино-, диалкиламиногруппу или NR32-Y3-R33 (где Y3 означает -С(O), -С(O)O-, -C(O)NR34, S(O)2 или S(O)2NR35; R32, R34 и R35 независимо друг от друга означают водород или алкил и R33 означает водород, алкил, циклоалкил, циклоалкилалкил, гетероалкил или необязательно замещенный фенил), или ацил; R7 означает водород или алкил и R8 и R9 означают независимо друг от друга водород, алкил, арил, аралкил, циклоалкил, циклоалкилалкил, гетероалкил, алкилсульфонил, арилсульфонил, -C(O)-R81 (где R81 означает алкил, арил, аралкил, циклоалкил, циклоалкилалкил, гетероалкил, алкоксил, арилоксигруппу, аминогруппу, моно- или ди-алкиламиногруппу, ариламиногруппу или арил(алкил) аминогруппу) или R8 и R9 вместе образуют =CR82R83 (где R82 и R83 означают независимо водород, алкил, циклоалкил, циклоалкилалкил или необязательно замещенный фенил). Другой аспект настоящего изобретения предоставляет фармацевтическую готовую лекарственную форму, включающую соединение формулы I или II и фармацевтически приемлемый носитель, разбавитель или наполнитель для этого. Соединения формул I и II и их вышеупомянутые соли являются ингибиторами протеинкиназ и проявляют существенную активность против р38 in vivo. Они также неожиданно проявляют селективную активность против киназы р38 по сравнению с циклин-зависимыми киназами и тирозинкиназами. Поэтому соединения по настоящему изобретению могут быть применены для лечения заболеваний, опосредствованных про-воспалительными цитокинами, как, например, TNF и IL-1. Таким образом, согласно другому аспекту настоящее изобретение предоставляет способ лечения опосредствованных р38 заболеваний или состояний, по которому терапевтически эффективное количество вещества формулы I или II вводится больному при необходимости такого лечения. Еще один аспект настоящего изобретения обеспечивает способ получения описанных выше соединений и промежуточных соединений формулы I’ и II’, используемых для этого. где: Z означает N или СН; W означает S, S(O), S(O)2 или О; Х1 означает О, NR4 (где R4 означает водород или алкил), S или CR5R6 (где R5 и R6 означают независимо водород или алкил), или С=O; X2 означает О или NR7; Ar1 означает арил или гетероарил; R10 означает алкил, арил, аралкил, циклоалкил или циклоалкилалкил, или R10W вместе образуют уходящую группу или гидроксил; R3 означает водород, алкил, циклоалкил, циклоалкилалкил, арил, аралкил, галоидалкил, гетероалкил, цианалкил, алкилен -С(O)-R31 (где R31 означает водород, алкил, гидроксил, алкоксил, амино-, моноалкиламино- или диалкиламиногруппу), амино-, моноалкиламино-, диалкиламиногруппу или NR32-Y3-R33 (где Y3 означает -С(O), -С(O)O-, -C(O)NR34, S(O)2 или S(O)2NR35; R32, R34 и R35 означают независимо водород или алкил и R33 означает водород, алкил, циклоалкил, циклоалкилалкил, гетероалкил или необязательно замещенный фенил), или ацил; R7 означает водород или алкил; и R8 и R9 означают независимо водород, алкил, арил, аралкил, циклоалкил, циклоалкилалкил, гетероалкил, алкилсульфонил, арилсульфонил, -С(O)-R81 (где R81 означает алкил, арил, аралкил, циклоалкил, циклоалкилалкил, гетероалкил, алкоксил, арилоксигруппу, аминогруппу, моно- и ди-алкил аминогруппу, ариламиногруппу или арил(алкил)аминогруппу) или R8 и R9 вместе образуют =CR82R83 (где R82 и R83 означают независимо водород, алкил, циклоалкил, циклоалкилалкил или необязательно замещенный фенил). Если не указано иначе, следующие термины, используемые в спецификации и в формуле изобретения, имеют приведенные ниже значения: “Ацил” означает радикал -C(O)R, где R означает водород, алкил, циклоалкил, циклоалкилалкил, фенил или фенилалкил, где алкил, циклоалкил, циклоалкилалкил и фенилалкил являются такими, как здесь определено, или, кроме того, именно такими, которые входят в конкретные соединения, перечисленные в прилагаемых таблицах или описанные в примерах. Понятно, что эти радикалы могут быть объединены также в группу, охватывающую только те радикалы, которые преимущественно используются только в первую или вторую очередь или одновременно. Представленные примеры включают, но не ограничивают этим, формил, ацетил, циклогексилкарбонил, циклогексилметилкарбонил, бензоил, бензилкарбонил и им подобные. “Ациламиногруппа” означает радикал -NR’C(O)R, где R’ означает водород или алкил и R означает водород, алкил, циклоалкил, циклоалкилалкил, фенил или фенилалкил, где алкил, циклоалкил, циклоалкилалкил и фенилалкил являются такими, как здесь определено, или, кроме того, именно такими, которые входят в конкретные соединения, перечисленные в прилагаемых таблицах или описанные в примерах. Понятно, что эти радикалы могут быть объединены также в группу, охватывающую только те радикалы, которые преимущественно используются только в первую или вторую очередь или одновременно. Представленные примеры включают, но не ограничивают этим, формиламиногруппу, ацетиламиногруппу, циклогексилкарбониламиногруппу, циклогексилметилкарбониламиногруппу, бензоиламиногруппу, бензилкарбониламиногруппу, и им подобные. “Алкоксил” означает радикал -OR, где R означает алкил, как здесь определено, или, кроме того, именно радикалы, входящие в конкретные соединения, перечисленные в прилагаемых таблицах или описанные в примерах. Понятно, что эти радикалы могут быть объединены также в группу, охватывающую только те радикалы, которые преимущественно используются только в первую или вторую очередь или одновременно, например, метоксигруппа, этоксигруппа, пропоксигруппа, бутоксигруппа и им подобные. “Алкил” означает насыщенный одновалентный углеводородный радикал с прямой цепью, содержащий от 1 до 6 атомов углерода, или насыщенный одновалентный углеводородный радикал с разветвленной цепью, содержащий от 3 до 6 атомов углерода, или, кроме того, именно радикалы, входящие в конкретные соединения, перечисленные в прилагаемых таблицах или описанные в примерах. Понятно, что эти радикалы могут быть объединены также в группу, охватывающую только те радикалы, которые преимущественно используются только в первую или вторую очередь или одновременно, например, метил, этил, пропил, 2-пропил, н-бутил, изобутил, трет-бутил, пентил и им подобные. “Алкилен” означает ненасыщенный двухвалентный углеводородный радикал с прямой цепью, содержащий от одного до шести атомов углерода, или ненасыщенный двухвалентный углеводородный радикал с разветвленной цепью, содержащий от трех до шести атомов углерода, или, кроме того, именно радикалы, входящие в конкретные соединения, перечисленные в прилагаемых таблицах или описанные в примерах. Понятно, что эти радикалы могут быть объединены также в группу, охватывающую только те радикалы, которые преимущественно используются только в первую или вторую очередь или одновременно, например, метилен, этилен, 2,2-диметилэтилен, пропилен, 2-метил-пропилен, бутилен, пентилен и им подобные. “Алкилтиогруппа” означает радикал -SR, где R означает алкил, как определено выше, или, кроме того, именно радикалы, входящие в конкретные соединения, перечисленные в прилагаемых таблицах или описанные в примерах. Понятно, что эти радикалы могут быть объединены также в группу, охватывающие только те радикалы, которые преимущественно используются только в первую или вторую очередь или одновременно, например, метилтиогруппа, этилтиогруппа, пропилтиогруппа, бутилтиогруппа и им подобные. “Арил” означает одновалентный моноциклический или бициклический ароматический углеводородный радикал или, кроме того, именно радикалы, входящие в конкретные соединения, перечисленные в прилагаемых таблицах или описанные в примерах. Понятно, что эти радикалы могут быть объединены также в группу, охватывающую только те радикалы, которые преимущественно используются только в первую или вторую очередь или одновременно, которые необязательно замещены независимо одним или несколькими заместителями, предпочтительно одним, двумя или тремя заместителями, предпочтительно выбранными из группы, состоящей из алкила, гидроксила, алкоксила, галоидалкила, галоидалкоксигруппы, Y-C(O)-R (где Y отсутствует или является алкиленовой группой и R означает водород, алкил, галоидалкил, галоидалкоксил, гидроксил, алкоксил, амино-, моноалкиламино- или диалкиламиногруппу), гетероалкила, гетероалкилоксигруппы, гетероалкиламиногруппы, галогена, нитрогруппы, циангруппы, амино-, моноалкиламино-, диалкиламино-, алкилсульфониламино-, гетероалкилсульфониламиногруппы, сульфамидогруппы, метилендиоксигруппы, этилендиоксигруппы, гетероциклила или гетероциклилалкила или, кроме того, именно из радикалов, входящих в конкретные соединения, перечисленные в прилагаемых таблицах или описанные в примерах. Понятно, что эти радикалы могут быть объединены также в группу, охватывающую только те радикалы, которые преимущественно используются только в первую или вторую очередь или одновременно. Более конкретно, термин арил включает, но не ограничивается этим, фенил, хлорфенил, метоксифенил, 2-фторфенил, 2,4-дифторфенил, 1-нафтил, 2-нафтил и их производные. “Арилоксигруппа” означает радикал -OR, где R означает арил, как здесь определено, или, кроме того, именно радикалы, входящие в конкретные соединения, перечисленные в прилагаемых таблицах или описанные в примерах. Понятно, что эти радикалы могут быть объединены также в группу, охватывающую только те радикалы, которые преимущественно используются только в первую или вторую очередь или одновременно, например, феноксигруппа. “Арилоксикарбонил” означает радикал R-C(=O)-, где R означает арилокси-группу, или, кроме того, именно радикалы, входящие в конкретные соединения, перечисленные в прилагаемых таблицах или описанные в примерах. Понятно, что эти радикалы могут быть объединены также в группу, охватывающую только те радикалы, которые преимущественно используются только в первую или вторую очередь или одновременно, например, феноксикарбонил. “Циклоалкил” относится к насыщенному одновалентному циклическому углеводородному радикалу, содержащему от трех до семи атомов углерода в кольце, и, кроме того, именно к радикалам, входящим в конкретные соединения, перечисленные в прилагаемых таблицах или описанные в примерах. Понятно, что эти радикалы могут быть объединены также в группу, включающую только те радикалы, которые преимущественно используются только в первую или вторую очередь или одновременно, например, циклопропил, циклобутил, циклогексил, 4-метилциклогексил и им подобные. “Циклоалкилалкил” означает радикал -RaRb, где Ra является алкиленовой группой и Rb является циклоалкильной группой, как здесь определено, или, кроме того, именно радикалы, входящие в конкретные соединения, перечисленные в прилагаемых таблицах или описанные в примерах. Понятно, что эти радикалы могут быть объединены также в группу, включающую только те радикалы, которые преимущественно используются только в первую или вторую очередь или одновременно, например, циклогексилметил и ему подобные. “Замещенный циклоалкил” означает циклоалкильный радикал, как здесь определено, с одним, двумя или тремя (предпочтительно с одним) атомами водорода при атомах кольца, независимо замещенный циангруппой или -Y-C(O)R (где Y отсутствует или является алкиленовой группой и R означает водород, алкил, галоидалкил, гидроксил, алкоксил, амино-, моноалкиламино-, диалкиламиногруппу или необязательно замещенный фенил), или, кроме того, именно радикалы, входящие в конкретные соединения, перечисленные в прилагаемых таблицах или описанные в примерах. Понятно, что эти радикалы могут быть объединены также в группу, включающую только те радикалы, которые преимущественно используются только в первую или вторую очередь или одновременно. “Диалкиламиногруппа” означает радикал -NRR’, где R и R’ независимо представляют алкил, гидроксиалкил, циклоалкил или циклоалкилалкильную группу, как здесь определено, или, кроме того, именно радикалы, входящие в конкретные соединения, перечисленные в прилагаемых таблицах или описанные в примерах. Понятно, что эти радикалы могут быть объединены также в группу, включающую только те радикалы, которые преимущественно используются только в первую или вторую очередь или одновременно. Представленные примеры включают, но не ограничивают этим, диметиламино-, метилэтиламино-, ди(1-метилэтил)амино-, (метил) (гидроксиметил)амино-, (циклогексил)(метил)амино-, (циклогексил)(этил)-амино-, (циклогексил)(пропил)амино-, (циклогексилметил)(метил)амино-, (циклогексилметил)(этил)аминогруппу и им подобные. “Галоид” означает фтор, хлор, бром или иод, предпочтительно фтор и хлор. “Галоидалкил” означает алкил, замещенный одним или несколькими одинаковыми или разными атомами галоида, или, кроме того, именно радикалы, входящие в конкретные соединения, перечисленные в прилагаемых таблицах или описанные в примерах. Понятно, что эти радикалы могут быть объединены также в группу, охватывающую только те радикалы, которые преимущественно используются только в первую или вторую очередь или одновременно, например, -CH2Cl, -CF3, -СН2CF3, -CH2CCl3 и им подобные. “Гетероалкил” означает алкильный радикал, как здесь определено, в котором один, два или три атома водорода замещены заместителем, независимо выбранным из группы, состоящей из -ORa-, N(O)nRbRc (где n означает 0 или 1, если Rb и Rc означают оба независимо друг от друга алкил, циклоалкил или циклоалкилалкил, и 0, если нет) и -S(O)nRd (где n означает целое число от 0 до 2), имея в виду, что гетероалкильный радикал присоединяется через атом углерода, где Ra означает водород, ацил, алкоксикарбонил, алкил, циклоалкил или циклоалкилалкил; Rb и Rc независимо друг от друга означают водород, ацил, алкоксикарбонил, алкил, циклоалкил, циклоалкилалкил, алкилсульфонил, аминосульфонил, моно- или ди-алкиламиносульфонил, аминоалкил, моно- или ди-алкиламиноалкил, гидроксиалкил, алкоксиалкил, гидроксиалкил-сульфонил или алкоксиалкилсульфонил; и когда n означает 0, Rd означает водород, алкил, циклоалкил, циклоалкилалкил или необязательно замещенный фенил, и когда n означает 1 или 2, Rd означает алкил, циклоалкил, циклоалкилалкил, необязательно замещенный фенил, аминогруппу, ациламиногруппу, моноалкиламиногруппу или диалкиламиногруппу или, кроме того, именно радикалы, входящие в конкретные соединения, перечисленные в прилагаемых таблицах или описанные в примерах. Понятно, что эти радикалы могут быть объединены также в группу, охватывающую только те радикалы, которые преимущественно используются только в первую или вторую очередь или одновременно. Представленные примеры включают, но не ограничивают этим, 2-гидроксиэтил, 3-гидроксипропил, 2-гидрокси-1-гидроксиметилэтил, 2,3-дигидроксипропил, 1-гидроксиметилэтил, 3-гидроксибутил, 2,3-дигидроксибутил, 2-гидрокси-1-метилпропил, 2-аминоэтил, 3-аминопропил, 2-метилсульфонилэтил, аминосульфонилметил, аминосульфонилэтил, аминосульфонилпропил, метиламиносульфонилметил, метиламиносульфонилэтил, метиламиносульфонилпропил и им подобные. “Гетероалкилкарбонил” означает группу Ra-C(=O)-, где Ra означает гетероалкильную группу или, кроме того, именно радикалы, входящие в конкретные соединения, перечисленные в прилагаемых таблицах или описанные в примерах. Понятно, что эти радикалы могут быть объединены также в группу, охватывающую только те радикалы, которые преимущественно используются только в первую или вторую очередь или одновременно. Типичные примеры включают ацетилоксиметилкарбонил, аминометилкарбонил, 4-ацетилокси-2,2-диметилбутан-2-оил, 2-амино-4-метилпентан-2-оил и им подобные группы. “Гетероалкилоксигруппа” означает группу Ra-O-, где Ra означает гетероалкильную группу или, кроме того, именно радикалы, входящие в конкретные соединения, перечисленные в прилагаемых таблицах или описанные в примерах. Понятно, что эти радикалы могут быть объединены также в группу, охватывающую только те радикалы, которые преимущественно используются только в первую или вторую очередь или одновременно. Типичные примеры включают Ме-С(=O)-O-СН2-O и подобные группы. “Гетероалкилоксикарбонил” означает группу Ra-C(=O), где Ra является гетероалкилоксигруппой или, кроме того, именно группами, входящими в конкретные соединения, перечисленные в прилагаемых таблицах или описанные в примерах. Понятно, что эти радикалы могут быть объединены также в группу, охватывающую только те радикалы, которые преимущественно используются только в первую или вторую очередь или одновременно. Характерные примеры включают 1-ацетил-оксиметоксикарбонил (Ме-С(=O)-O-СН2-O-С(=O)-) и ему подобные группы. “Гетероарил” означает одновалентный моноциклический или бициклический радикал с 5-12 кольцевыми атомами, имеющий, как минимум, одно ароматическое кольцо, содержащее один, два или три кольцевых гетероатома, выбранных из азота, кислорода или серы, остальные атомы кольца представляют углерод, при условии, что место присоединения гетероарильного радикала находится в ароматическом кольце, или, кроме того, именно радикалы, входящие в конкретные соединения, перечисленные в прилагаемых таблицах или описанные в примерах. Понятно, что эти радикалы могут быть объединены также в группу, охватывающую только те радикалы, которые преимущественно используются только в первую или вторую очередь или одновременно. Гетероарильное кольцо необязательно замещено независимо одним или несколькими заместителями, предпочтительно одним или двумя, выбранными из алкила, галоидалкила, гетероалкила, гидроксила, алкоксила, галоида, нитрогруппы или циангруппы или, кроме того, именно заместителями, входящими в конкретные соединения, перечисленные в прилагаемых таблицах или описанные в примерах. Понятно, что эти радикалы могут быть объединены также в группу, охватывающую только те радикалы, которые преимущественно используются только в первую или вторую очередь или одновременно. Более конкретно термин гетероарил включает, но не ограничивает этим, пиридил, фуранил, тиенил, тиазолил, изотиазолил, триазолил, имидазолил, изоксазолил, пирролил, пиразолил, пиримидинил, бензофуранил, тетрагидро-бензофуранил, изобензофуранил, бензотиазолил, бензоизотиазолил, бензотриазолил, индолил, изоиндолил, бензоксазолил, хинолил, тетрагидрохинолинил, изохинолил, бензимидазолил, бензизоксазолил или бензотиенил, имидазо[1,2-а]-пиридинил, имидазо[2,1-b]тиазолил и их производные. “Гетероаралкил” означает радикал -RaRb, где Ra является алкиленовой группой и Rb является гетероарильной группой, как здесь определено, или, кроме того, именно радикалы, входящие в конкретные соединения, перечисленные в прилагаемых таблицах или описанные в примерах. Понятно, что эти радикалы могут быть объединены также в группу, охватывающую только те радикалы, которые преимущественно используются только в первую или вторую очередь или одновременно, например, пиридин-3-илметил, имидазолилэтил, пиридинилэтил, 3-(бензофуран-2-ил)пропил и им подобные. “Гетероалкилзамещенный циклоалкил” означает циклоалкильный радикал, как здесь определено, где один, два или три атома водорода в циклоалкильном радикале замещены гетероалкильной группой, подразумевая, что гетероалкильный радикал связан с циклоалкильным радикалом углерод-углеродной связью, или, кроме того, именно радикалы, входящие в конкретные соединения, перечисленные в прилагаемых таблицах или описанные в примерах. Понятно, что эти радикалы могут быть объединены также в группу, охватывающую только те радикалы, которые преимущественно используются только в первую или вторую очередь или одновременно. Типичные примеры включают, но не ограничивают этим, 1-гидроксиметилциклопентил, 2-гидроксиметилциклогексил и им подобные. “Гетерозамещенный циклоалкил” означает циклоалкильный радикал, как здесь определено, где один, два или три атома водорода в циклоалкильном радикале замещены заместителем, независимо выбранным из группы, состоящей из гидроксила, алкоксила, амино-, ациламино-, моноалкиламино-, диалкиламиногруппы, оксогруппы (C=O), иминогруппы, оксииминогруппы (=NOH), NR’SO2Rd (где R’ означает водород или алкил и Rd означает алкил, циклоалкил, гидроксиалкил, амино-, моноалкиламино- или диалкиламиногруппу), -X-Y-C(O)R (где Х означает кислород или NR’, Y означает алкилен или отсутствует, R означает водород, алкил, галоидалкил, алкоксил, амино-, моноалкиламино-, диалкиламиногруппу или необязательно замещенный фенил, и R’означает водород или алкил), или -S(O)nR (где n означает целое число от 0 до 2), таким образом, что, когда n означает 0, R означает водород, алкил, циклоалкил, циклоалкилалкил, необязательно замещенный фенил или тиенил, и когда n означает 1 или 2, R означает алкил, циклоалкил, циклоалкилалкил, необязательно замещенный фенил, тиенил, амино-, ациламино-, моноалкиламино- или диалкиламиногруппу или, кроме того, именно радикалы, входящие в конкретные соединения, перечисленные в прилагаемых таблицах или описанные в примерах. Понятно, что эти радикалы могут быть объединены также в группу, охватывающую только те радикалы, которые преимущественно используются только в первую или вторую очередь или одновременно. Типичные примеры включают, но не ограничивают этим, 2-, 3 или 4-гидроксициклогексил, 2-, 3 или 4-аминоциклогексил, 2-, 3- или 4-метансульфамидо-циклогексил и им подобные, предпочтительно 4-гидроксициклогексил, 2-амино-циклогексил или 4-метансульфамидоциклогексил. “Гетерозамещенный циклоалкилалкил” означает радикал RaRb-, где Ra означает гетерозамещенный циклоалкильный радикал и Rb означает алкиленовый радикал, или, кроме того, именно радикалы, входящие в конкретные соединения, перечисленные в прилагаемых таблицах или описанные в примерах. Понятно, что эти радикалы могут быть объединены также в группу, охватывающую только те радикалы, которые преимущественно используются только в первую или вторую очередь или одновременно. “Гетероциклическая аминогруппа” означает насыщенную одновалентную циклическую группу с 4-8 атомами в кольце, где один кольцевой атом является азотом, а остальные атомы в кольце представляют углерод, или, кроме того, именно те атомы, входящие в конкретные соединения, перечисленные в прилагаемых таблицах или описанные в примерах. Понятно, что эти радикалы могут быть объединены также в группу, охватывающую только те радикалы, которые преимущественно используются только в первую или вторую очередь или одновременно. Типичные примеры включают пиперидин и пирролидин. “Гетероциклил” означает насыщенный или ненасыщенный неароматический циклический радикал с 3-8 атомами в кольце, в котором один или два кольцевых атома являются гетероатомами, выбранными из азота, кислорода, или S(O)n (где n является целым числом от 0 до 2), остальные атомы кольца представляют углерод, и один или два углеродных атома могут необязательно быть замещены карбонильной группой, или, кроме того, именно радикалы, входящие в конкретные соединения, перечисленные в прилагаемых таблицах или описанные в примерах. Понятно, что эти радикалы могут быть объединены также в группу, охватывающую только те радикалы, которые преимущественно используются только в первую или вторую очередь или одновременно. Гетероциклильное кольцо может быть необязательно замещено независимо одним, двумя или тремя заместителями, выбранными из алкила, галоидалкила, гетероалкила, галогена, нитрогруппы, циангруппы, цианалкила, гидроксила, алкоксила, амино-, моноалкиламино-, диалкиламиногруппы, аралкила, -(X)n-C(O)R (где Х означает кислород или NR’, n означает 0 или 1, R означает водород, алкил, галоидалкил, гидроксил (когда n означает 0), алкоксил, амино-, моноалкиламино-, диалкиламиногруппу или необязательно замещенный фенил, и R’ означает водород или алкил), -алкилен-C(O)Ra (где Ra означает алкил, OR или NR’R” и R означает водород, алкил или галоидалкил, и R’ и R” означают независимо водород или алкил), или -S(O)nR (где n означает целое число от 0 до 2), таким образом, что, когда n означает 0, R означает водород, алкил, циклоалкил или циклоалкилалкил, и, когда n означает 1 или 2, R означает алкил, циклоалкил, циклоалкилалкил, амино-, ациламино-, моноалкиламино-, диалкиламиногруппу или гетероалкил, или, кроме того, именно радикалы, входящие в конкретные соединения, перечисленные в прилагаемых таблицах или описанные в примерах. Понятно, что эти радикалы могут быть объединены также в группу, охватывающую только те радикалы, которые преимущественно используются только в первую или вторую очередь или одновременно. Более конкретно, термин гетероциклил включает, но не ограничивает этим, тетрагидропиранил, пиперидинил, N-метилпиперидин-3-ил, пиперазинил, N-метилпирролидин-3-ил, 3-пирролидинил, морфолинил, тиоморфолинил, тиоморфолин-1-оксид, тиоморфолин-1,1-диоксид, 4-(1,1-диоксотетрагидро-2H-тиопиранил), пирролинил, имидазолинил, N-метансульфонилпиперидин-4-ил и их производные, или, кроме того, именно радикалы, входящие в конкретные соединения, перечисленные в прилагаемых таблицах или описанные в примерах. Понятно, что эти радикалы могут быть объединены также в группу, охватывающую только те радикалы, которые преимущественно используются только в первую или вторую очередь или одновременно. “Гетероциклилалкил” означает радикал -RaRb, где Ra означает алкиленовую группу и Rb означает гетероциклильную группу, как определено выше, или, кроме того, именно радикалы, входящие в конкретные соединения, перечисленные в прилагаемых таблицах или описанные в примерах. Понятно, что эти радикалы могут быть объединены также в группу, охватывающую только те радикалы, которые преимущественно используются только в первую или вторую очередь или одновременно, например, тетрагидропиран-2-илметил, 2- или 3-пиперидинилметил, 3-(4-метилпиперазин-1-ил)пропил и им подобные. “(Гетероциклил)(циклоалкил)алкил” означает алкильный радикал, в котором два атома водорода замещены гетероциклильной группой и циклоалкильной группой, или, кроме того, именно радикалы, входящие в конкретные соединения, перечисленные в прилагаемых таблицах или описанные в примерах. Понятно, что эти радикалы могут быть объединены также в группу, охватывающую только те радикалы, которые преимущественно используются только в первую или вторую очередь или одновременно. “(Гетероциклил)(гетероарил)алкил” означает алкильный радикал, в котором два атома водорода замещены гетероциклильной группой и гетероарильной группой, или, кроме того, именно радикалы, входящие в конкретные соединения, перечисленные в прилагаемых таблицах или описанные в примерах. Понятно, что эти радикалы могут быть объединены также в группу, охватывающую только те радикалы, которые преимущественно используются только в первую или вторую очередь или одновременно. “Гетероциклилспироциклоалкил” означает спирорадикал, состоящий из циклоалкильного кольца и гетероциклического кольца, где каждое кольцо содержит от 5 до 8 кольцевых атомов и два кольца имеют только один общий углеродный атом, подразумевая, что присоединение гетероциклилспироциклоалкильного радикала осуществляется по циклоалкильному кольцу. Спирорадикал образуется, когда два атома водорода при одном и том же атоме углерода циклоалкильного радикала заменяются гетероциклильной группой, как здесь определено, или, кроме того, именно теми радикалами, которые входят в конкретные соединения, перечисленные в прилагаемых таблицах или описанные в примерах. Понятно, что эти радикалы могут быть объединены также в группу, охватывающую только те радикалы, которые преимущественно используются только в первую или вторую очередь или одновременно, и могут быть необязательно замещены алкилом, гидроксилом, гидроксиалкилом или оксогруппой, или, кроме того, именно радикалами, входящими в конкретные соединения, перечисленные в прилагаемых таблицах или описанные в примерах. Понятно, что эти радикалы могут быть объединены также в группу, охватывающую только те радикалы, которые преимущественно используются только в первую или вторую очередь или одновременно. Примеры включают, но не ограничивают этим, например, 1,4-диоксаспиро[4.5]декан-8-ил, 1,3-диазаспиро[4.5]-декан-8-ил, 2,4-дион-1,3-диазаспиро[4.5]декан-8-ил, 1,5-диоксаспиро[5.5]ундекан-9-ил, (3-гидроксиметил-3-метил)-1,5-диоксаспиро[5.5]ундекан-9-ил и им подобные. “Гидроксиалкил” означает алкильный радикал, как здесь определено, замещенный одной или несколькими, предпочтительно одной, двумя или тремя гидроксильными группами, при условии, что к одному и тому же атому углерода не присоединено более одной гидроксильной группы, или, кроме того, именно радикалы, входящие в конкретные соединения, перечисленные в прилагаемых таблицах или описанные в примерах. Понятно, что эти радикалы могут быть объединены также в группу, охватывающую только те радикалы, которые преимущественно используются только в первую или вторую очередь или одновременно. Типичные примеры включают, но не ограничивают этим, гидроксиметил, 2-гидроксиэтил, 2-гидроксипропил, 3-гидроксипропил, 1-(гидроксиметил)-2-метилпропил, 2-гидроксибутил, 3-гидроксибутил, 4-гидроксибутил, 2,3-дигидроксипропил, 2-гидрокси-1-гидроксиметил-этил, 2,3-дигидроксибутил, 3,4-дигидроксибутил и 2-(гидроксиметил)-3-гидрокси-пропил, предпочтительно 2-гидроксиэтил, 2,3-дигидроксипропил и 1-(гидроксиметил)-2-гидроксиэтил. Соответственно, как упоминается в контексте, термин “гидроксиалкил” используется для определения подмножества гетероалкильных групп. “Уходящая группа” имеет значение, обычно приписываемое ей в синтетической органической химии, то-есть, это атом или группа, способная быть замещенной нуклеофилом, она включает галоген (как, например, хлор, бром и иод), алкан-сульфонилоксигруппу, аренсульфонилоксигруппу, алкилкарбонилоксигруппу (например, ацетоксигруппу), арилкарбонилоксигруппу, мезилоксигруппу, тозилоксигруппу, трифторметансульфонилоксигруппу, арилоксигруппу (например, 2,4-динитрофеноксигруппу), метоксигруппу, N,O-диметилгидроксиламиногруппу и им подобные, предпочтительно группы, конкретно приведенные в примерах. “Моноалкиламиногруппа” означает радикал -NHR, где R означает алкил, гидроксиалкил, циклоалкил или циклоалкилалкильную группу, как определено выше, или, кроме того, именно радикалы, входящие в конкретные соединения, перечисленные в прилагаемых таблицах или описанные в примерах. Понятно, что эти радикалы могут быть объединены также в группу, охватывающую только те радикалы, которые преимущественно используются только в первую или вторую очередь или одновременно, например, метиламиногруппа, (1-метилэтил)аминогруппа, гидроксиметиламиногруппа, циклогексиламиногруппа, циклогексилметиламиногруппа, циклогексилэтиламиногруппа и им подобные. “Необязательно замещенный фенил” означает фенильное кольцо, которое необязательно замещено независимо одним или несколькими заместителями, предпочтительно одним или двумя заместителями, выбранными из группы, состоящей из алкила, гидроксила, алкоксигруппы, галоидалкила, галоидалкоксила, гетероалкила, галогена, нитрогруппы, циангруппы, аминогруппы, метилендиоксигруппы, этилендиоксигруппы и ацила, или, кроме того, именно из радикалов, входящих в конкретные соединения, перечисленные в прилагаемых таблицах или описанные в примерах. Понятно, что эти радикалы могут быть объединены также в группу, охватывающую только те радикалы, которые преимущественно используются только в первую или вторую очередь или одновременно. “Фармацевтически приемлемый наполнитель” означает наполнитель, который годится для приготовления фармацевтической композиции, который обычно безопасен, нетоксичен и не является нежелательным ни биологически, ни по какой-либо другой причине, и включает наполнитель, который приемлем для применения в ветеринарии, а также для фармацевтического применения для людей. Термин “фармацевтически приемлемый наполнитель”, как он используется в спецификации и в формуле изобретения, включает как один, так и более, чем один, из таких наполнителей. “Фармацевтически приемлемая соль” соединения означает соль, которая фармацевтически приемлема и которая обладает желаемой фармакологической активностью исходного соединения. Такие соли включают: (1) кислотно-аддитивные соли, образованные с неорганическими кислотами, как, например, соляная кислота, бромистоводородная кислота, серная кислота, азотная кислота, фосфорная кислота и им подобные, или образованные с органическими кислотами, как, например, уксусная кислота, пропионовая кислота, капроновая кислота, циклопентанпропионовая кислота, гликолевая кислота, пировиноградная кислота, молочная кислота, малоновая кислота, янтарная кислота, яблочная кислота, малеиновая кислота, фумаровая кислота, винная кислота, лимонная кислота, бензойная кислота, 3-(4-гидроксибензоил)бензойная кислота, коричная кислота, миндальная кислота, метансульфокислота, этансульфокислота, 1,2-этандисульфокислота, 2-гидроксиэтансульфокислота, бензолсульфокислота, 4-хлорбензолсульфокислота, 2-нафталинсульфокислота, 4-толуолсульфокислота, камфарсульфокислота, 4-метилбицикло[2.2.2]окт-2-ен-1-карбоновая кислота, глюкогептоновая кислота, 3-фенилпропионовая кислота, триметилуксусная кислота, трет-бутилуксусная кислота, лаурилсерная кислота, глюконовая кислота, глутаминовая кислота, гидроксинафтойная кислота, салициловая кислота, стеариновая кислота, муконовая кислота и им подобные; или (2) соли, образованные таким образом, что кислотный протон, присутствующий в исходном соединении, либо замещается ионом металла, например, ионом щелочного металла, ионом щелочноземельного металла, или ионом алюминия; либо образовывает координационную связь с органическим основанием, как, например, этаноламин, диэтаноламин, триэтаноламин, трометамин, N-метилгюкамин и им подобные. Термины “про-лекарство” и “пролекарство” используются здесь как синонимы и относятся к любому соединению, которое высвобождает активное исходное соединение согласно формулам I или II in vivo, когда такое пролекарство вводится млекопитающему. Пролекарства соединения формулы I или II получают при модифицировании одной или нескольких функциональных групп, присутствующих в соединении формулы I или II, таким образом, что модификация (ии) могут быть расщеплены in vivo для высвобождения исходного соединения. Пролекарства включают соединения формул I и II, где гидроксил, аминогруппа, сульфгидрильная группа, карбоксильная группа или карбонильная группа в соединении формулы I или II связывается с любой группой, которая может быть расщеплена in vivo, для регенерации свободных гидроксила, аминогруппы или сульфгидрильной группы, соответственно. Примеры пролекарств включают, но не ограничивают этим, сложные эфиры (например, производные ацетатов, диалкиламиноацетатов, формиатов, фосфатов, сульфатов и бензоатов) и карбаматы (например, N,N-диметиламино-карбонил) по гидроксильным функциональным группам, сложноэфирные группы (например, сложные этиловые эфиры, сложные эфиры морфолинэтанола) по карбоксильным функциональным группам, N-ацилпроизводные (например, N-ацетил) оснований Манниха, основания Шиффа и енаминоны по функциональным аминогруппам, оксимы, ацетали, кетали и еноловые сложные эфиры по кетонным и альдегидным функциональным группам в соединениях формулы I или II и им подобные, смотрите Bundegaard, H. “Создание пролекарств” стр.1-92, изд. Elesevier, Нью-Йорк-Оксфорд (1985). “Защитная группа” относится к группе атомов, которая при присоединении к реакционноспособной группе в молекуле маскирует, уменьшает или препятствует ее реакционной способности. Примеры защитных групп могут быть найдены в книге T.W.Green и P.G.Futs “Защитные группы в органической химии”, (Wiley, 2-ое изд. 1991) и у Harrison и Harrison и др., Compendium of Synthetic Organic Methods, том 1-8 (изд. John Wiley and Sons, 1971-1996). Характерные аминозащитные группы включают формил, ацетил, трифторацетил, бензил, бензилоксикарбонил (CBZ), трет-бутокси-карбонил (Boc), триметилсилил (TMS), 2-триметилсилилэтансульфонил (SES), трифенилметиловые и замещенные трифенилметиловые группы, аллилоксикарбонил, 9-флуоренилметилоксикарбонил (FMOC), нитровератрилоксикарбонил (NVOC) и им подобные. Типичные защитные группы для гидроксильных групп включают такие, где гидроксильная группа или ацилирована, или алкилирована, как, например, простые бензиловые или трифенилметиловые эфиры, а также простые алкиловые эфиры, простые тетрагидропираниловые эфиры, простые триалкилсилиловые эфиры и простые аллиловые эфиры. “Лечение” или “терапия” заболевания включает: (1) профилактику болезни, то-есть, способствование тому, чтобы клинические симптомы заболевания не развивались у млекопитающего, которое может быть подвержено заболеванию или предрасположено к заболеванию, но еще не испытало заболевания или у которого еще не проявились симптомы болезни; (2) подавление заболевания, то-есть, купирование или уменьшение развития заболевания или его клинических симптомов; или (3) облегчение болезни, то-есть, способствование регрессии заболевания или его клинических симптомов. “Терапевтически эффективное количество” означает количество соединения, которое, будучи введенным млекопитающему для лечения заболевания, является достаточным для эффективного лечения заболевания. “Терапевтически эффективное количество” варьируется в зависимости от соединения, заболевания и его тяжести и от возраста, веса и т.д. подвергаемого лечению млекопитающего. При изображении структурных формул в настоящем описании “N” представлен только с одной или двумя связями по отношению к остальной структуре или “О” представлен только с одной связью по отношению к остальной структуре, специалист в данной области поймет, что в случае “N” два или один атом “Н”, соответственно, а в случае “О” один атом “Н” присутствуют в формуле, но не показаны компьютерной программой, используемой для черчения структур, например, ISISDraw. Следовательно, “-N” представляет “-NH2“, “-N-” представляет “-NH-” и “-О” представляет “-ОН”. Хотя наиболее подробное описание изобретения представлено в кратком изложении сущности изобретения, конкретные аспекты изложены ниже. Один аспект настоящего изобретения предоставляет соединение формулы I: где R1, R3, W, Z, Х1 и Ar1 являются такими, как определено выше в кратком описании сущности изобретения. Предпочтительно W означает NR2, более предпочтительно NH. Предпочтительно Z означает N. Предпочтительно Х1 означает О или СН2, более предпочтительно О. Предпочтительно Ar1 означает необязательно замещенный фенил, необязательно замещенный фурил или необязательно замещенный тиенил. Более предпочтительно Ar1 означает необязательно замещенный фенил, в частности, 2-замещенный, 4-замещенный или 2,4-дизамещенный. Еще более предпочтительно Ar1 означает моногалоидзамещенный фенил (например, 2-хлорфенил, 2-фторфенил или 4-фторфенил), моноалкилфенил (например, 2-метилфенил), дигалоидзамещенный фенил (например, 2,4-дифторфенил), диалкилфенил (например, 2,4-диметилфенил или 2,6-диметилфенил), 2,4-дизамещенный фенил (например, 4-фтор-2-метилфенил, 2-фтор-4-метилфенил) или предпочтительно также моногалоидзамещенный и моноалкилзамещенный фенил. Предпочтительно R1 означает арил, аралкил, циклоалкил, циклоалкилалкил, гетероалкилзамещенный циклоалкил, гетерозамещенный циклоалкил, гетероалкил, гетероциклил или гетероциклилалкил. Более предпочтительно R1 означает гетероалкилзамещенный циклоалкил, гетерозамещенный циклоалкил, гетероалкил или гетероциклил. Особенно предпочтительным примером гетероалкила R1 является гидроксиалкил, например, (1-гидрокси-2-метил)проп-2-ил, 1-гидроксипентан-2-ил, (S)-2-гидрокси-1,2-диметилпропил, (R)-2-гидрокси-1,2-диметилпропил, (S)-2-гидрокси-1-метилэтил, 1-гидроксиметилциклопентан-1-ил и 2-гидрокси-2-метилпропил или 1,3-диметил-3-гидроксибутил и, кроме того, именно 3-гидрокси-1(R)-3-диметилбутил или 3-гидрокси-1(S)-3-диметилбутил или радикалы из конкретных примеров, перечисленных в прилагаемых таблицах или в конкретных примерах. Особенно предпочтительные примеры гетероциклильного радикала R1 включают тетрагидро-2Н-пиран-4-ил, 1-(метилсульфонил)пиперидин-4-ил и 1,1-диоксидотетрагидро-2Н-тиопиран-4-ил или радикалы из конкретных примеров, перечисленных в прилагаемых таблицах или конкретных примерах. Конкретные примеры R1 включают 4-гидроксициклогексил, тетрагидро-2Н-пиран-4-ил, 1-(метилсульфонил)пиперидин-4-ил, циклопентил, (S)-(2-гидрокси-1,2-диметил)пропил, 2,2-диэтоксиэтил, 2,2-диметоксиэтил, 3-гидроксипиридин-2-ил, (S)-(1-гидроксиметил-2-метил)пропил, 4-(2-(N,N-диэтиламино)этокси)фенил, бензил, фенил, бутил, додецил, 2-гидроксиэтил, 3-метилбутил, 2-метилпропил, (2-гидрокси-1,1-диметил)этил, 2,3,-дигидроксипропил, 3-гидроксипропил, гексил, пиридин-2-ил, 2-морфолиноэтил, 2-(пиперидин-1-ил)этил, циклогексилметил, 1-(гидроксиметил)бутил, 4-фторфенил, циклопропилметил, 2-метоксиэтил, 3-(N,N-диметиламино)пропил, изопропил, метил, 2-морфолино-2-(пиридин-4-ил)этил, 3-фурилметил, 1-оксидотетрагидро-2Н-тиопиран-4-ил, 1,1-диоксидотетрагидро-2Н-тиопиран-4-ил, 1-фенилпропил, фенетил, 4-(2-гидроксиэтил)фенил, 3-(4-метилпиперазин-1-ил)пропил, 4-гидроксибутил, 3-морфолинопропил, 3-(2-пирролидинон-1-ил)пропил, 2-ацетамидоэтил, 2-(пиридин-2-ил)этил, пентил, 2-(N,N-диметиламино)этил, 2-(пирролидин-1-ил)этил, 3-(пирролидин-1-ил)пропил, этил, 5-метилпиридин-2-ил, пропил, метил, циклопропил, (1-гидроксиметил-3-метилтио) пропил, (1-гидроксиметил)циклопентил, 1,1-диметилпропил, 3-этокси-3-оксо пропил, (1-(пиперидин-1-ил)циклогексил)метил, 3-метоксипропил, циклобутил, 1-(оксоэтоксиметил)пиперидин-4-ил, 4-метокси-циклогексил, 2-циклогексилэтил, (2-метилтиазол-5-ил)метил, имидазо[2,1-b]тиазол-6-илметил, водород, 4-фенилбутил, 2-(4-аминофенил)этил, пиридин-3-ил, тетрагидро-2Н-тиопиран-4-ил и (1-гидроксиметил)бутил, или радикалы из конкретных примеров, перечисленных в прилагаемых таблицах или в конкретных примерах. Предпочтительно R3 означает алкил, арил, циклоалкил или гетероалкил, более предпочтительно алкил или циклоалкил и даже еще более предпочтительно метил или также пропил или циклопропил. Другой аспект изобретения предоставляет соединения формулы II или их фармацевтически приемлемые соли, где: Z означает N или СН; W означает NR2; Х1 означает О, NR4 (где R4 означает водород или алкил), S или CR5R6 (где R5 и R6 означают независимо водород или алкил), или С=O; Ar1 означает арил или гетероарил; R1 означает водород, алкил, галоидалкил, арил, аралкил, циклоалкил, циклоалкилалкил, гетероалкилзамещенный циклоалкил, гетерозамещенный циклоалкил, гетероалкил, цианалкил, гетероциклил, гетероциклилалкил, -Y1-C(O)-Y2-R11 (где Y1 и Y2 независимо либо отсутствуют, либо означают алкиленовую группу и R11 означает водород, алкил, галоидалкил, гидроксил, алкоксил, амино-, моноалкиламино- или диалкиламиногруппу), (гетероциклил) (цикло алкил)алкил или (гетероциклил)(гетероарил)алкил; R2 означает водород или алкил; R7 означает водород или алкил; и R8 и R9 означают независимо водород, алкил, арил, аралкил, циклоалкил, циклоалкилалкил, гетероалкил, алкилсульфонил, арилсульфонил, -С(O)-R81 (где R81 означает алкил, арил, аралкил, циклоалкил, циклоалкилалкил, гетероалкил, алкоксил, арилоксигруппу, аминогруппу, моно- и ди-алкиламиногруппу, ариламиногруппу или арил(алкил)аминогруппу), где R1, R3, W, Z, Х1 и Ar1 имеют вышеуказанные значения. Предпочтительно W означает NR2, более предпочтительно NH. Предпочтительно Z означает N. Предпочтительно Х1 означает О или СН2, более предпочтительно О. Предпочтительно Ar1 означает необязательно замещенный фенил, необязательно замещенный фурил или необязательно замещенный тиенил. Более предпочтительно Ar1 означает необязательно замещенный фенил, в частности, 2-замещенный, 4-замещенный или 2,4-дизамещенный. Еще более предпочтительно Ar1 означает моногалоидзамещенный фенил (например, 2-хлорфенил, 2-фторфенил или 4-фторфенил), моноалкилфенил (например, 2-метилфенил), дигалоидзамещенный фенил (например, 2,4-дифторфенил), диалкилфенил (например, 2,4-диметилфенил или 2,6-диметилфенил), 2,4-дизамещенный фенил (например, 4-фтор-2-метилфенил, 2-фтор-4-метилфенил) или предпочтительно также моногалоидзамещенный и моноалкилзамещенный фенил. Предпочтительно R1 означает арил, аралкил, циклоалкил, циклоалкилалкил, гетероалкилзамещенный циклоалкил, гетерозамещенный циклоалкил, гетероалкил, гетероциклил или гетероциклилалкил. Более предпочтительно R1 означает гетероалкилзамещенный циклоалкил, гетерозамещенный циклоалкил, гетероалкил или гетероциклил. Конкретные примеры R1 включают 4-гидроксициклогексил, тетрагидро-2Н-пиран-4-ил, 1-(метилсульфонил)пиперидин-4-ил, циклопентил, (S)-(2-гидрокси-1,2-диметил)пропил, 2,2-диэтоксиэтил, 2,2-диметоксиэтил, 3-гидроксипиридин-2-ил, (S)-(1-гидроксиметил-2-метил)пропил, 4-(2-(N,N-диэтиламино)этокси)фенил, бензил, фенил, бутил, додецил, 2-гидроксиэтил, 3-метилбутил, 2-метилпропил, (2-гидрокси-1,1-диметил)этил, 2,3-дигидроксипропил, 3-гидроксипропил, гексил, пиридин-2-ил, 2-морфолиноэтил, 2-(пиперидин-1-ил)этил, циклогексилметил, 1-(гидроксиметил)бутил, 4-фторфенил, циклопропилметил, 2-метоксиэтил, 3-(N,N-диметиламино)пропил, изопропил, метил, 2-морфолино-2-(пиридин-4-ил)этил, 3-фурилметил, 1-оксидо-тетрагидро-2Н-тиопиран-4-ил, 1-фенилпропил, 1,1-диоксидотетрагидро-2Н-тиопиран-4-ил, фенетил, 4-(2-гидроксиэтил)фенил, 3-(4-метилпиперазин-1-ил)пропил, 4-гидроксибутил, 3-морфолино пропил, 3-(2-пирролидинон-1-ил)пропил, 2-ацетамидоэтил, 2-(пиридин-2-ил)этил, пентил, 2-(N,N-диметиламино)этил, 2-(пирролидин-1-ил)этил, 3-(пирролидин-1-ил) пропил, этил, 5-метилпиридин-2-ил, пропил, метил, циклопропил, (1-гидроксиметил-3-метилтио)пропил, (1-гидроксиметил)циклопентил, 1,1-диметилпропил, 3-этокси-3-оксо пропил, (1-(пиперидин-1-ил)циклогексил)метил, 3-метоксипропил, циклобутил, 1-(оксо-этоксиметил)пиперидин-4-ил, 4-метоксициклогексил, 2-циклогексилэтил, (2-метил-тиазол-5-ил)метил, имидазо[2,1-b]тиазол-6-илметил, водород, 4-фенилбутил, 2-(4-аминофенил)этил, пиридин-3-ил, тетрагидро-2Н-тиопиран-4-ил и (1-гидроксиметил)-бутил. Предпочтительно R8 и R9 означают независимо водород, алкилсульфонил или -C(O)-R81, где R81 означает моноалкиламиногруппу. Другими предпочтительными вариантами осуществления настоящего изобретения далее являются следующие: (i) соединение формулы I или II или их фармацевтически приемлемые соли, где: Z означает N или СН; W означает NR2; Х1 означает О, NR4 (где R4 означает водород или алкил), S или CR5R6 (где R5 и R6 независимо означают водород или алкил), или С=O; X2 означает О или NR7; Ar1 означает арил или гетероарил; R2 означает водород, алкил, ацил, алкоксикарбонил, арилоксикарбонил, гетероалкилкарбонил, гетероалкилоксикарбонил или -R21-R22, где R21 означает алкилен или -С(=O)- и R22 означает алкил или алкоксил; R1 означает водород, алкил, галоидалкил, арил, аралкил, гетероарил, гетероаралкил, циклоалкил, циклоалкилалкил, гетероалкилзамещенный циклоалкил, гетерозамещенный циклоалкил, гетероалкил, цианалкил, гетероциклил, гетероциклилалкил, R12-SO2-гетероциклоаминогруппу (где R12 означает галоидалкил, арил, аралкил, гетероарил или гетероаралкил), -Y1-C(O)-Y2-R11 (где Y1 и Y2 независимо либо отсутствуют, либо означают алкиленовую группу и R11 означает водород, алкил, галоидалкил, гидроксил, алкоксил, амино-, моноалкиламино- или диалкиламиногруппу), (гетероциклил)(циклоалкил)алкил или (гетероциклил)(гетероарил)алкил; R3 означает водород, алкил, циклоалкил, циклоалкилалкил, арил, аралкил, галоидалкил, гетероалкил, цианалкил, алкилен -С(O)-R31 (где R31 означает водород, алкил, гидроксил, алкоксил, амино-, моноалкиламино- или диалкиламиногруппу), амино-, моноалкиламино-, диалкиламиногруппу или NR32-Y3-R33 (где Y3 означает -С(O), -С(O)O-, -C(O)NR34, S(O)2 или S(O)2NR35; R32, R34 и R35 означают независимо водород или алкил и R33 означает водород, алкил, циклоалкил, циклоалкилалкил, гетероалкил или необязательно замещенный фенил), или ацил; R7 означает водород или алкил; и R8 и R9 означают независимо водород, алкил, арил, аралкил, циклоалкил, циклоалкилалкил, гетероалкил, алкилсульфонил, арилсульфонил, -С(O)-R81 (где R81 означает алкил, арил, аралкил, циклоалкил, циклоалкилалкил, гетероалкил, алкоксил, арилоксигруппу, аминогруппу, моно- или диалкиламиногруппу, ариламино- или арил(алкил)аминогруппу) или R8 и R9 вместе образуют =CR82R83 (где R82 и R83 означают независимо водород, алкил, циклоалкил, циклоалкилалкил или необязательно замещенный фенил). Или их фармацевтически приемлемые соли. (ii) Соединение, как установлено в (i), формулы I или II или их фармацевтически приемлемые соли, где: Z означает N или СН; W означает NR2; X1 означает О, NR4 (где R4 означает водород или алкил), S или CR5R6 (где R5 и R6 означают независимо водород); Х2 означает О; Ar1 означает арил; R2 означает водород, алкил, ацил; R1 означает водород, алкил, арил, аралкил, гетероарил, гетероаралкил, циклоалкил, циклоалкилалкил, гетероалкилзамещенный циклоалкил, гетерозамещенный циклоалкил, гетероалкил, гетероциклил, гетероциклилалкил, R12-SO2-гетероциклоаминогруппу (где R12 означает галоидалкил, арил, аралкил, гетероарил), -Y1-C(O)-Y2-R11 (где Y1 и Y2 независимо либо отсутствуют, либо означают алкиленовую группу и R11 означает алкоксил), (гетероциклил)(циклоалкил)алкил или (гетероциклил)(гетероарил)алкил; R3 означает алкил, циклоалкил, арил, амино-, моноалкиламино-, диалкиламино-группу; и R8 и R9 означают независимо водород, алкилсульфонил, -C(O)-R81, где R81 означает моноалкиламиногруппу, или их фармацевтически приемлемые соли. (iii) Соединение, как установлено в (i), где: Z означает N или СН; W означает NR2 или О; Х1 означает О, NR4 (где R4 означает водород или алкил), S или CR5R6 (где R5 и R6 означают независимо водород или алкил), или С=O; X2 означает О или NR7; Ar1 означает арил или гетероарил; R2 означает водород или алкил; R1 означает водород, алкил, галоидалкил, арил, аралкил, циклоалкил, циклоалкилалкил, гетероалкилзамещенный циклоалкил, гетерозамещенный циклоалкил, гетероалкил, цианалкил, гетероциклил, гетероциклилалкил, -Y1-C(O)-Y2-R11 (где Y1 и Y2 независимо либо отсутствуют, либо означают алкиленовую группу и R11 означает водород, алкил, галоидалкил, гидроксил, алкоксил, амино-, моноалкиламино- или диалкиламиногруппу), (гетероциклил)(циклоалкил)алкил или (гетероциклил)(гетероарил)алкил; R3 означает водород, алкил, циклоалкил, циклоалкилалкил, арил, аралкил, галоидалкил, гетероалкил, цианалкил, алкилен -С(O)-R31 (где R31 означает водород, алкил, гидроксил, алкоксил, амино-, моноалкиламино- или диалкиламиногруппу), амино-, моноалкиламино-, диалкиламиногруппу или NR32-Y3-R33 (где Y3 означает -С(O), -С(O)O-, C(O)NR34, S(O)2 или S(O)2NR35; R32, R34 и R35 означают независимо водород или алкил; и R33 означает водород, алкил, циклоалкил, циклоалкилалкил, гетероалкил или необязательно замещенный фенил), или ацил; R7 означает водород или алкил; и R8 и R9 означают независимо водород, алкил, арил, аралкил, циклоалкил, циклоалкилалкил, гетероалкил, алкилсульфонил, арилсульфонил, -С(O)-R81 (где R81 означает алкил, арил, аралкил, циклоалкил, циклоалкилалкил, гетероалкил, алкоксил, арилоксигруппу, аминогруппу, моно- или диалкиламиногруппу, ариламино- или арил(алкил)аминогруппу) или R8 и R9 вместе образуют =CR82R83 (где R82 и R83 означают независимо водород, алкил, циклоалкил, циклоалкилалкил или необязательно замещенный фенил). (iv) Соединение, как установлено в (ii), где Ar1 означает не арил, а гетероарил. (v) Соединение, как установлено в (iii), формулы I, где: Z означает N; W означает NR2; Х1 означает О, S или CR5R6 (где R5 и R6 означают независимо водород); Х2 означает О; Ar1 означает арил; R2 означает водород или алкил; R1 означает водород, алкил, арил, аралкил, циклоалкил, циклоалкилалкил, гетероалкилзамещенный циклоалкил, гетерозамещенный циклоалкил, гетероалкил, гетероциклил, гетероциклилалкил, -Y1-C(O)-Y2-R11 (где Y1 и Y2 независимо либо отсутствуют, либо означают алкиленовую группу и R11 означает алкоксил, (гетероциклил)(циклоалкил)алкил или (гетероциклил)(гетероарил)алкил; R3 означает алкил, циклоалкил и арил. (vi) Соединение, как точно установлено в любом из разделов от (i) до (v), формулы I или формулы II, предпочтительно формулы I. (vii) Соединение, как точно установлено в любом из разделов от (i) до (vi), где Z означает N. (viii) Соединение, как точно установлено в любом из разделов от (i) до (vii), где W означает NH. (ix) Соединение, как точно установлено в любом из разделов от (i) до (viii), где Ar1 означает необязательно замещенный фенил. (х) Соединение, как точно установлено в любом из разделов от (i) до (ix), где Х1 означает О или СН2. (xi) Соединение, как точно установлено в любом из разделов от (i) до (х), где Х1 означает О. (xii) Соединение, как точно установлено в любом из разделов от (i) до (х), где R1 означает арил, аралкил, циклоалкил, циклоалкилалкил, гетероалкилзамещенный циклоалкил, гетерозамещенный циклоалкил, гетероалкил, гетероциклил или гетероциклилалкил. (xiii) Соединение, как точно установлено в любом из разделов от (i) до (xii), где R1 означает гетероалкилзамещенный циклоалкил, гетерозамещенный циклоалкил, гетероалкил или гетероциклил. (xiv) Соединение, как точно установлено в любом из разделов от (i) до (xiii), где R1 означает гетероциклил. (xv) Соединение, как точно установлено в любом из разделов от (i) до (xiii), где R1 означает гетероалкил. (xvi) Соединение, как точно установлено в любом из разделов от (i) до (xv), где R1 означает гидроксиалкил. (xvii) Соединение, как точно установлено в любом из разделов от (i) до (xvi), где Ar1 означает 2-замещенный фенил, 4-замещенный фенил или 2,4-дизамещенный фенил. (xviii) Соединение, как точно установлено в любом из разделов от (i) до (xvii), где Ar1 означает 2-хлорфенил, 2-фторфенил, 2-метилфенил, 4-фтор-2-метилфенил или 2,4-дифторфенил. (xix) Соединение, как точно установлено в любом из разделов от (i) до (xviii), где Х2 означает О. (хх) Соединение, как точно установлено в любом из разделов от (i) до (xviii), где Х2 означает NR7. (xxi) Соединение, как точно установлено в любом из разделов от (i) до (хх), где R3 означает метил, этил, пропил, циклопропил, аминогруппу, диметиламиногруппу, метилизобутиламиногруппу, пропиламиногруппу, замещенный галогеном фенил, например, фторфенил, предпочтительно метил, пропил или циклопропил, наиболее предпочтительно метил. (xxii) Соединение, как точно установлено в любом из разделов от (i) до (xxi), формулы II, где R8 означает водород и R9 означает алкил, алкилсульфонил или -C(O)-R81 (где R81 означает алкил, алкоксил, арилоксигруппу, амино-, моноалкиламино- или диалкиламиногруппу), предпочтительно R9 означает водород, алкилсульфонил, -C(O)-R81, где R81 является моноалкиламиногруппой. (xxiii) Соединение, как конкретизировано в (xxi), где Ar1 означает 2,4-дифторфенил и R1 означает тетрагидро-2H-пиран-4-ил, т.е., 6-(2,4-дифторфенокси)-8-метил-2-(тетрагидро-2H-пиран-4-иламино)пиридо[2,3-d]пиримидин-7(8H)-он. (xxiv) Соединение, как конкретизировано в (xxi), где Ar1 означает 2,4-дифторфенил и R1 означает тетрагидро-2H-пиран-4-ил, т.е., 6-(2,4-дифторфенокси)-8-пропил-2-(тетрагидро-2H-пиран-4-иламино)пиридо[2,3-d]пиримидин-7(8H)-он. (xxv) Соединение, как конкретизировано в (xxi), где Ar1 означает 2,4-дифторфенил и R1 означает тетрагидро-2H-пиран-4-ил, т.е., 6-(2,4-дифторфенокси)-8-циклопропил-2-(тетрагидро-2H-пиран-4-иламино)пиридо[2,3-d]пиримидин-7(8H)-он. (xxvi) Соединение, как конкретизировано в (xxi), где Ar1 означает 2,4-дифторфенил и R1 означает 1,3-диметил-3-гидроксибутил, т.е., 6-(2,4-дифторфенокси)-2-(3-гидрокси-1,3-диметилбутиламино)-8-метил-8Н-пиридо[2,3-d]пиримидин-7-он. (xxvii) Соединение, как конкретизировано в (xxvi), которое является 6-(2,4-дифторфенокси)-2-(3-гидрокси-1(S),3-диметилбутиламино)-8-метил-8Н-пиридо[2,3-d]пиримидин-7-оном. (xxviii) Соединение, как конкретизировано в (xxvi), которое является 6-(2,4-дифторфенокси)-2-(3-гидрокси-1(R),3-диметилбутиламино)-8-метил-8Н-пиридо[2,3-d]пиримидин-7-оном. (xxix) Соединение, как точно установлено в (i) или (ii), формулы I, где R2 означает ацил, алкоксикарбонил, арилоксикарбонил, гетероалкилкарбонил, гетероалкилоксикарбонил или -R21-R22, где R21 означает алкилен или -С(=O) и R22 означает алкил или алкоксил. (ххх) Соединение, как конкретизировано в (xxix), где R1 означает гетероалкил или гетероциклил. (xxxi) Соединение, как конкретизировано в (ххх), где R1 означает гетероциклил. (xxxii) Соединение, как точно установлено в любом из разделов от (xxix) до (xxxi), где Х1 означает О, Х2 означает О и R3 означает метил. (xxxiii) Соединение, как точно установлено в любом из разделов от (ххх) до (xxxii), где R2 означает ацил. (xxxiv) Соединение, как точно установлено в любом из разделов от (xxix) до (xxxiii), где Ar1 означает 2,4-дифторфенил, R1 означает тетрагидро-2Н-пиран-4-ил и R2 означает ацетил. (xxxv) Соединение формулы I’ или II”, где: Z означает N или СН; W означает S, S(O), S(O)2 или О; Х1 означает О, NR4 (где R4 означает водород или алкил), S или CR5R6 (где R5 и R6 означают независимо водород или алкил), или С=O; X2 означает О или NR7; Ar1 означает арил или гетероарил; R10 означает алкил, арил, аралкил, циклоалкил или циклоалкилалкил, или R10W вместе образуют уходящую группу или гидроксил; R3 означает водород, алкил, циклоалкил, циклоалкилалкил, арил, аралкил, галоидалкил, гетероалкил, цианалкил, алкилен -С(O)-R31 (где R31 означает водород, алкил, гидроксил, алкоксил, амино-, моноалкиламино- или диалкиламиногруппу), амино-, моноалкиламино-, диалкиламиногруппу или NR32-Y3-R33 (где Y3 означает -С(O), -С(O)O-, -C(O)NR34, S(O)2 или S(O)2NR35; R32, R34 и R35 означают независимо водород или алкил и R33 означает водород, алкил, циклоалкил, циклоалкилалкил, гетероалкил или необязательно замещенный фенил), или ацил; R7 означает водород или алкил; и R8 и R9 означают независимо водород, алкил, арил, аралкил, циклоалкил, циклоалкилалкил, гетероалкил, алкилсульфонил, арилсульфонил, -С(O)-R81 (где R81 означает алкил, арил, аралкил, циклоалкил, циклоалкилалкил, гетероалкил, алкоксил, арилоксигруппу, амино-, моно- и диалкиламиногруппу, ариламино- или арил(алкил)аминогруппу) или R8 и R9 вместе образуют =CR82R83 (где R82 и R83 означают независимо водород, алкил, циклоалкил, циклоалкилалкил или необязательно замещенный фенил). (xxxvi) Композиция, включающая, если желательно, фармацевтически приемлемый наполнитель и одно или несколько соединений, указанных в разделах от (i) до (xxxiv), или их фармацевтически приемлемых солей. (xxxvii) Способ получения производного сульфида формулы: где: Z означает N или СН; Х1 означает О, NR4 (где R4 означает водород или алкил), S, CR5R6 (где R5 и R6 означают независимо водород или алкил) или С=O; Х2 означает О; Ar1 означает арил или гетероарил; R означает алкил или арил; R3 означает водород, алкил, циклоалкил, циклоалкилалкил, арил, аралкил, галоидалкил, гетероалкил, цианалкил, ацил, алкилен-С(O)-R31 (где R31 означает водород, алкил, гидроксил, алкоксил, амино-, моноалкиламино- или диалкиламиногруппу), амино-, моноалкиламино-, диалкиламиногруппу или NR32-Y3-R33 (где Y3 означает -С(O), -С(O)O-, -C(O)NR34, S(O)2 или S(O)2NR35; R32, R34 и R35 означают независимо водород или алкил и R33 означает водород, алкил, циклоалкил, циклоалкилалкил, гетероалкил или необязательно замещенный фенил); упомянутый способ включает стадии: взаимодействия альдегида формулы: с арильным производным формулы где Х3 означает -C(=O)-OR’ и R’ означает алкил, в условиях, подходящих для получения сульфидного соединения. (xxxviii) Способ, как установлено в (xxxvii), где Z, X1, Ar1 или R3 являются такими, как установлено в любом из разделов от (i) до (xxxiv). (xxxix) Способ, как установлено в (xxxviii), где R3 означает водород. (хххх) Способ, как установлено в любом из разделов от (xxxvii) до (xxxix), включающий далее получение сульфонильного соединения формулы: где R, Z, R3, Х1, Х2 и Ar1 являются такими, как точно установлено в любом из разделов от (xxxvii) до (xxxix), включающий обработку упомянутого сульфидного соединения в окислительных условиях с целью получения упомянутого сульфонильного соединения. (xxxxi) Способ, конкретизированный в (хххх), по которому упомянутые окислительные условия включают применение м-хлорнадбензойной кислоты (МСРВА), оксона®, периодата или видов перекиси рения. (xxxxii) Способ получения соединения формулы I, как точно установлено в любом из разделов от (i) до (xxxiv), включающий стадии: взаимодействия соединения формулы IV: где Z, R3, Х1, Х2 и Ar1 являются такими, как точно установлено в любом из разделов от (i) до (xxxiv); и L является уходящей группой; с амином R1R2NH, где R1 и R2 имеют такие же значения, как R1 и R2 в любом из разделов от (i) до (xxxiv), в условиях реакции нуклеофильного замещения. (xxxxiii) Способ по (xxxxii), где L означает RS(O)n-, где R является алкилом или фенильной группой и n является целым числом от 0 до 2. (xxxxiv) Соединение, как установлено в любом из разделов от (i) до (xxxiv), всякий раз, когда оно получено способом, установленным в (xxxxii). (xxxxv) Соединение, как установлено в (xxxv), всякий раз, когда оно получено способом, установленным в любом из разделов от (xxxvii) до (хххх). (xxxxvi) Применение соединения, как установлено в любом из разделов от (i) до (xxxiv) или (xxxxiv) для приготовления лекарственного препарата для лечения нарушений, опосредствованных р38, конкретно, когда упомянутым опосредствованным р38 нарушением является артрит, болезнь Крона, синдром раздраженной толстой кишки, респираторный дистресс-синдром взрослых или хроническое обструктивное легочное заболевание, или таким упомянутым опосредствованным р38 нарушением является болезнь Альцгеймера. (xxxxvii) Способ лечения опосредствованного р38 нарушения, а именно, когда упомянутым опосредствованным р38 нарушением является артрит, болезнь Крона, синдром раздраженной толстой кишки, респираторный дистресс-синдром взрослых или хроническое обструктивное легочное заболевание, или когда упомянутым опосредствованным р38 нарушением является болезнь Альцгеймера, включающий введение больному при необходимости такого лечения эффективного количества соединения, как установлено в любом из разделов от (i) до (xxxiv) или (xxxxiv). Соединения по настоящему изобретению могут существовать в несольватированных формах, а также в сольватированных, включая гидратированные формы. Обычно сольватированные формы, включая гидратированные, эквивалентны несольватированным формам и предполагается, что они охватываются объемом настоящего изобретения. В дополнение к описанным выше соединениям соединения по настоящему изобретению включают все таутомерные формы. Кроме того, настоящее изобретение также включает все фармацевтически приемлемые соли этих соединений вместе с пролекарственными формами соединений и все стереоизомеры, находятся ли они в чистой хиральной форме или в виде рацемической смеси, или в виде смеси другой формы. Соединения формулы I и II способны также образовывать фармацевтически приемлемые кислотно-аддитивные соли. Все эти формы охватываются объемом настоящего изобретения. Фармацевтически приемлемые кислотно-аддитивные соли соединений формулы I и II включают соли, производные от неорганических кислот, как, например, соляной, азотной, фосфорной, серной, бромистоводородной, иодистоводородной, фосфористой кислот и им подобных, а также соли, производные от органических кислот, как, например, алифатических моно- и дикарбоновых кислот, фенилзамещенных алкановых кислот, гидроксилсодержащих алкановых кислот, алкандиовых кислот, ароматических кислот, алифатических или ароматических сульфокислот и т.д. Такие соли, таким образом, включают сульфат, пиросульфат, бисульфат, сульфит, бисульфит, нитрат, фосфат, вторичный кислый фосфат, первичный кислый фосфат, метафосфат, пирофосфат, хлорид, бромид, иодид, ацетат, пропионат, каприлат, изобутират, оксалат, малонат, соль янтарной кислоты, соль пробковой кислоты, соль себациновой кислоты, фумарат, малеат, соль миндальной кислоты, бензоат, хлорбензоат, метилбензоат, динитробензоат, фталат, бензолсульфонат, толуолсульфонат, фенилацетат, цитрат, лактат, малеат, тартрат, метансульфонат и им подобные. Также рассматриваются соли аминокислот, как, например, аргинат и ему подобные и глюконат, галактуронат (см., например, Berge S.M., и др., “Фармацевтические соли”, J. Of Pharmaceutical Science, 1977, 66, 1-19). Кислотно-аддитивные соли основных соединений могут быть получены при взаимодействии соединения в виде свободного основания с достаточным количеством желаемой кислоты для приготовления соли общепринятым способом. Соединение в виде свободного основания может быть регенерировано обычным способом при взаимодействии соединения в виде соли с основанием. Формы в виде свободных оснований отличаются от соответствующих форм в виде солей в некоторой степени определенными физическими свойствами, как, например, растворимость в полярных растворителях, но, с другой стороны, соли эквивалентны их соответствующему свободному основанию для целей по настоящему изобретению. Согласно другому аспекту изобретение предоставляет промежуточные соединения формулы I’ и II”, пригодные для получения соединений формулы I и II. где: Z означает N или СН; W означает S, S(O), S(O)2 или О; Х1 означает О, NR4 (где R4 означает водород или алкил), S или CR5R6 (где R5 и R6 означают независимо водород или алкил), или С=O; X2 означает О или NR7; Ar1 означает арил или гетероарил; R10 означает алкил, арил, аралкил, циклоалкил или циклоалкилалкил, или R10W вместе образуют уходящую группу или гидроксил; R3 означает водород, алкил, циклоалкил, циклоалкилалкил, арил, аралкил, галоидалкил, гетероалкил, цианалкил, алкилен -С(O)-R31 (где R31 означает водород, алкил, гидроксил, алкоксил, амино-, моноалкиламино- или диалкиламиногруппу), амино-, моноалкиламино-, диалкиламиногруппу или NR32-Y3-R33 (где Y3 означает -С(O), -С(O)O-, -C(O)NR34, S(O)2 или S(O)2NR35; R32, R34 и R35 означают независимо водород или алкил и R33 означает водород, алкил, циклоалкил, циклоалкилалкил, гетероалкил или необязательно замещенный фенил), или ацил; R7 означает водород или алкил; и R8 и R9 означают независимо водород, алкил, арил, аралкил, циклоалкил, циклоалкилалкил, гетероалкил, алкилсульфонил, арилсульфонил, -С(O)-R81 (где R81 означает алкил, арил, аралкил, циклоалкил, циклоалкилалкил, гетероалкил, алкоксил, арилоксигруппу, аминогруппу, моно- и диалкиламиногруппу, ариламино- или арил(алкил)аминогруппу) или R8 и R9 вместе образуют =CR82R83 (где R82 и R83 независимо означают водород, алкил, циклоалкил, циклоалкилалкил или необязательно замещенный фенил). Соединения формулы I’ и II”, где W означает О, могут быть получены при гидролизе предшествующих сульфонов, как, например. If, 2e, IIIg, представленных на следующих далее схемах 1-4, в кипящей водной уксусной кислоте или водной гидроокиси для получения гидроксилсодержащего соединения (то-есть, соединений I’ и II”, где R10W означает гидроксил). Полученное в результате гидроксилсодержащее соединение может быть проалкилировано с помощью R10-L, где L означает уходящую группу, для получения соединений формулы I’ и II”, где W означает О и R10 является таким, как описано. Альтернативно, сульфоновая группа в предшествующем сульфоне может быть непосредственно замещена спиртом R10-ОН, как описано в международной заявке на патент WO 96/33798, для получения соединений формулы I и II, где W означает О и R10 является таким, как описано. Соединения формулы I’ и II”, где R10W образуют уходящую группу, как, например, галоид, могут быть получены при обработке предшественника, где R10W означает гидроксил, галогенирующим средством, как, например, хлорокись фосфора или бромокись фосфора. Соединения формулы I’ и II”, где R10W образуют уходящую группу, как, например, ацетоксигруппу, тозилоксигруппу и т.д., могут быть получены при обработке предшествующего соединения, где R10W является гидроксилом, ацилирующим или сульфонилирующим средством, соответственно. Соединения по настоящему изобретению могут быть получены разнообразными способами. В одном из вариантов настоящего изобретения способ получения соединений формулы I, где Z означает N, представлен на схеме 1 ниже. Следует учесть, что, хотя на схеме часто указываются конкретные структуры, способы по настоящему изобретению широко применимы к аналогичным соединениям формулы I или II, если приводится подходящее решение для защиты или снятия защиты с реакционноспособных функциональных групп способами, стандартными в области органической химии. Например, гидроксильные группы для предотвращения нежелательных побочных реакций иногда нужно превратить в простые или сложные эфиры при проведении химических реакций по другим участкам молекулы. Защитную группу с гидроксила затем удаляют для получения свободной гидроксильной группы. Аналогично, аминогруппы и карбоксильные группы могут быть превращены в соответствующие производные для их защиты от нежелательных побочных реакций. Типичные защитные группы и способы их присоединения и расщепления подробно описываются во включенных ранее ссылках T.W. Greene и P.G.M. Wuts, “Protective Groups in Organic Synthesis”, 3-ье издание, John Wiley & Sons, Нью-Йорк, 1999, и Harrison и Harrison и др., Compendium of Synthetic Organic Methods, тома 1-8 (John Wiley and Sons, 1971-1996). Обработка соединения формулы Ia первичным амином (R3-NH2) приводит к соединению формулы Ib. Эта реакция обычно осуществляется в растворителе, который инертен в условиях реакции, предпочтительно в галогенированном алифатическом углеводороде, в частности, в дихлорметане, в необязательно галогенированном ароматическом углеводороде или в простом эфире с разомкнутой цепью или в циклическом, как, например, тетрагидрофуран, в формамиде или низшем алканоле. Обычно реакцию проводят при температуре примерно от -20°С до примерно 120°С. Восстановление соединения формулы Ib приводит к спирту формулы Ic. Это восстановление обычно проводят, применяя алюмогидрид лития, способом, хорошо известным специалистам в данной области (например, в растворителе, инертном в условиях восстановления, предпочтительно это простой эфир с разомкнутой цепью или циклический простой эфир, в частности, тетрагидрофуран, при температуре примерно от -20°С до примерно 70°С, предпочтительно при температуре примерно от 0°С до комнатной). Окисление спирта формулы Ic приводит к карбоксальдегиду формулы Id. Окисление обычно осуществляют с применением двуокиси марганца, хотя могут быть также применены многочисленные другие способы (см., например, Advanced Organic Chemistry, 4-ое изд., March, John Wiley & Sons, Нью-Йорк (1992)). В зависимости от примененного окисляющего агента реакцию обычно проводят в растворителе, инертном в конкретных условиях окисления, предпочтительно в галогенированном алифатическом углеводороде, в частности, в дихлорметане, или в необязательно галогенированном ароматическом углеводороде. Соответственно, окисление проводят при температуре примерно от 0°С до примерно 60°С. Реакция карбоксальдегида формулы Id со сложным эфиром, Ar1-X1СН2-CO2R’ (где R’ означает алкильную группу и Ar1 и Х1 являются такими, как установлено выше), в присутствии основания приводит к соединению формулы Ie. Может быть применено любое, в общем, ненуклеофильное основание, включая карбонаты, как, например, карбонат калия, карбонат лития и карбонат натрия; бикарбонаты, как, например, бикарбонат калия, бикарбонат лития и бикарбонат натрия; амины, как, например, вторичные и третичные амины, и присоединенные к смоле амины, как, например, 1,3,4,6,7,8-гексагидро-2Н-пиримидо[1,2-а]пиримидин. Обычно реакцию проводят в растворителе, относительно полярном, но инертном в условиях реакции, предпочтительно в амиде, как, например, диметилформамид, N-замещенный пирролидинон, в частности, 1-метил-2-пирролидинон, при температуре примерно от 25°С до 150°С. Окисление Ie окисляющим агентом, например, надкислотой, как, например, 3-хлорнадбензойной кислотой (т.е., МСРВА) или оксоном® приводит к сульфону (If), который может быть превращен в различные целевые соединения. Обычно окисление Ie проводят в растворителе, инертном в условиях окисления. Например, когда применяют МСРВА в качестве окислителя, растворителем предпочтительно является галогенированный алифатический углеводород, в частности, хлороформ. Когда в качестве окислителя используется оксон®, растворителем предпочтительно является метанол, водный этанол или водный тетрагидрофуран. Температура реакции зависит от используемого растворителя. В случае органического растворителя температура реакции обычно составляет примерно от -20°С до примерно 50°С, предпочтительно примерно от 0°С до комнатной температуры. Когда в качестве растворителя применяют воду, температура реакции обычно составляет примерно от 0°С до примерно 50°С, предпочтительно примерно от 0°С до комнатной температуры. Альтернативно, окисление может быть осуществлено в каталитических условиях с применением реагентов на основе рения/перекиси, см. (“Окисление сульфоксидов перекисью водорода, катализируемое метилтриоксорением(VII)”, Lahti, David W.; Espenson, James H., Inorg. Chem. (2000) 39 (10), стр.2164-2167; “Оксо-комплексы рения в каталитическом окислении”, Catal. Today (2000) 55 (4), стр.317-363, и “Простой и эффективный способ получения N-окисей пиридина”, Coperet, Christophe; Adolfsson, Hans; Khuong, Tinh-Alfredo V.; Yudin, Andrei K.; Sharpless, K. Barry, J. Org. Chem. (1998) 63 (5), стр.1740-1741). Реакция соединения If с амином (R1-NH2) приводит к соединениям формулы I’ (т.е., соединениям формулы I, где W означает NH). Дальнейшее алкилирование I’ затем приводит к соединениям формулы I, где W означает NR2, где R2 означает алкил. Реакция может быть проведена в присутствии или отсутствие растворителя. Обычно реакцию осуществляют при температуре примерно от 0°С до примерно 200°С, более предпочтительно примерно при температуре от комнатной до примерно 150°С. Альтернативно, в некоторых случаях, чтобы не использовать сульфон If, сульфид Ie или соответствующий сульфоксид может быть подвергнут реакции непосредственно с амином (R1-NH2) для получения соединений формулы I’. Соответственно, настоящее изобретение обеспечивает способ получения соединений формулы I путем обработки соединения общей формулы Ie, If или соответствующего сульфоксида амином (R1-NH2) и необязательной реакции полученного в результате продукта с R2-L, где R2 означает алкил и L означает уходящую группу. Соединения формулы I, где R3 означает амино-, моноалкиламино-, диалкиламиногруппу или NR32-Y3-R33, могут быть получены, как показано на схеме 2, из соответствующего 2-алкилтио-8-амино-[2,3-d]пиридопиримидин-7(8H)-она (IV, Z=N) или 7-алкилтио-1-амино-1,6-нафтиридин-2-она (IV, Z=CH), показанного на схеме 2, путем аминирования с применением O-дифенил-фосфинилгидроксиламина. Схема 2 Замещение сульфида (или соответствующего сульфоксида или сульфона) амином R1NH2, как ранее описано для соединения Ie на схеме 1, приводит к соединениям формулы I (соединения формулы I, где Z означает СН и R2 означает водород). Взаимодействие полученного в результате продукта с R2-L, где R2 означает алкил и L является уходящей группой, приводит к соединениям формулы I, где R2 означает алкил. Соединения формулы I, где Z означает СН, могут быть получены, как показано на схеме 3. 4-Амино-3,6-дибромпиридин (Den Hertog и др., Rec. Trav. Chim. Pays-Bas, 64 85-100 (1945)) обрабатывают натрийметилмеркаптидом и получают 4-амино-3-бром-6-метилтиопиридин (стадия а, см. Windscheif, P; Voegtle, F.; Synthesis, 87092 (1994). Метилтиопиридин подвергают сочетанию по реакции Хека при катализе палладием (например, ацетатом палладия) в присутствии основания (например, ацетата калия или трибутиламина) со сложным виниловым эфиром 2а для получения соединения формулы 2b (см. Dong, Y.; Busacca, С.A. J. Org. Chem.. 62. 6464-65 (1997)). Замыкание цикла в основных условиях приводит к 1,6-нафтиридону формулы 2с. Алкилирование 2с галоидалкилом (или любым другим алкилирующим агентом R3-X, где Х является уходящей группой) приводит к 1-алкилированному нафтиридону формулы 2d. Окисление 2d и замещение сульфона амином R1NH2, как описано ранее для соединения Ie на схеме 1, приводит к соединениям формулы II” (соединения формулы I, где Z означает СН и R2 означает водород). Реакция полученного в результате продукта с R2-L, где R2 означает алкил и L является уходящей группой, приводит к соединениям формулы I, где R2 означает алкил. Альтернативный способ представлен на схеме 3А. Такой путь синтеза приведен в примере 88. Соединения формулы II могут быть получены, как показано на схеме 4. Реакция карбоксальдегида формулы Id (R3 означает водород) с нитрилом, Ar1-X1CH2CN (где Ar1 и Х1 являются такими, как определено выше), в присутствии основания в условиях, подобных описанным для превращения Id в Ie на схеме 1, приводит к соединению формулы IIIe. Соединения формулы IIIe могут быть последовательно проалкилированы, проацилированы или подвергнуты сульфонилированию с помощью алкилирующих средств, галоидангидридов карбоновых кислот, изоцианатов, ангидридов и галоидсульфонилов для получения соединений формулы IIIf, где R8 и R9 являются такими, как описано в кратком изложении сущности изобретения. Последующее окисление IIIf и замещение сульфона амином R1NH2, как описано ранее для соединения Ie на схеме 1, приводит к соединениям формулы III’. При дальнейшей реакции полученного в результате продукта с R2-L, где R2 означает алкил и L является уходящей группой, получают соединения формулы II, где R2 означает алкил. Специалисту в данной области понятно, что предполагаются и определенные модификации к вышеприведенным схемам, которые охватываются объемом настоящего изобретения. Например, некоторые стадии включают применение защитных групп для функциональных групп, которые несовместимы с определенными реакционными условиями. Соединения формул I и II и фармацевтически приемлемые соли основных соединений формулы I и II с кислотами могут быть использованы в качестве лекарственных средств, например, в виде фармацевтических препаратов. Фармацевтические препараты могут вводиться энтерально, например, перорально в виде таблеток, таблеток с покрытием, драже, твердых и мягких желатиновых капсул, растворов, эмульсий или суспензий, через нос, например, в виде назальных аэрозолей, или через прямую кишку, например, в виде суппозиториев. Однако, они также могут быть введены парентерально, например, в виде инъекционных растворов. Соединения формулы I и II и их вышеупомянутые фармацевтически приемлемые соли могут подвергаться обработке вместе с фармацевтически инертными органическими или неорганическими носителями для приготовления фармацевтических препаратов. Лактоза, кукурузный крахмал или их производные, тальк, стеариновая кислота или ее соли и им подобные соединения могут быть использованы, например, в качестве таких носителей для таблеток, таблеток с покрытием, драже и твердых желатиновых капсул. Подходящими носителями для мягких желатиновых капсул являются, например, растительные масла, воски, жиры, полутвердые и жидкие полиолы и им подобные соединения; однако, в зависимости от природы активного ингредиента обычно не требуются носители в случае мягких желатиновых капсул. Подходящими носителями для приготовления растворов и сиропов являются, например, вода, полиолы, сахароза, инвертный сахар, глюкоза и им подобные. Подходящими носителями для суппозиториев являются, например, природные или отвержденные масла, воски, полужидкие или жидкие полиолы и им подобные вещества. Фармацевтические препараты могут также содержать консерванты, солюбилизаторы, стабилизаторы, смачивающие средства, эмульгаторы, подсластители, красители, придающие вкус вещества, соли для изменения осмотического давления, буферы, маскирующие средства или антиоксиданты. Они также могут содержать терапевтически ценные вещества, другие, нежели соединения формулы I и II и их вышеупомянутые фармацевтически приемлемые соли. Лекарственные препараты, содержащие соединение формулы I или II или фармацевтически приемлемую соль основного соединения формулы I или II с кислотой в сочетании с совместимым фармацевтическим носителем, также являются объектом настоящего изобретения, как и способ получения таких лекарственных препаратов, который включает объединение одного или нескольких из этих соединений или солей и, если желательно, одного или нескольких других терапевтически ценных веществ в галеновую форму для введения вместе с совместимым фармацевтическим носителем. Как упоминалось ранее, соединения формулы I и II и их вышеупомянутые фармацевтически приемлемые соли могут быть использованы согласно изобретению в качестве терапевтически активных веществ, особенно в качестве противовоспалительных средств или для предупреждения отторжения трансплантата после хирургической трансплантации. Доза может варьироваться в широких пределах и в каждом отдельном случае подбирается в зависимости от индивидуальных требований. Обычно, в случае введения взрослым подходящая дневная доза должна составлять примерно от 0,1 мг/кг до примерно 100 мг/кг, предпочтительно примерно от 0,5 мг/кг до примерно 5 мг/кг. Дневная доза может быть введена в виде одной дозы или в виде раздельных доз и, кроме того, верхний предел дозы, упомянутый выше, может быть превышен, если считают, что для этого имеется показание. Наконец, также объектом изобретения является применение соединений формулы I и II и их вышеупомянутых фармацевтически приемлемых солей для приготовления лекарственных средств, особенно для лечения или профилактики воспалительных, иммунологических, онкологических, бронхолегочных, дерматологических и сердечно-сосудистых расстройств, для лечения астмы, нарушений центральной нервной системы или осложнений при диабете, или для предупреждения отторжения трансплантата после хирургической трансплантации. Соединения формулы I или II претендуют на то, чтобы быть полезными, но не ограничиваясь этим, для лечения любого нарушения или болезненного состояния у человека или другого млекопитающего, которое обостряется или вызывается избыточным или нерегулируемым продуцированном TNF или киназы р38 у такого млекопитающего. Соответственно, настоящее изобретение обеспечивает способ лечения опосредствованного цитокином заболевания, который включает введение эффективного, подавляющего цитокин количества соединения формулы I или его фармацевтически приемлемой соли, или его таутомера. Соединения формулы I и II претендуют на то, чтобы быть полезными, но не ограничиваясь этим, для лечения воспаления у субъекта и для применения в качестве жаропонижающих средств для лечения лихорадочного состояния. Соединения по изобретению могут быть полезными для лечения артрита, включая, но не ограничивая этим, ревматоидный артрит, спондилоартропатии, подагрический артрит, остеоартрит, системную красную волчанку и болезнь Стилла и другие артритные состояния. Такие соединения могут быть полезны для лечения легочных нарушений или воспаления легких, включая респираторный дистресс-синдром взрослых, легочный саркоидоз, астму, силикоз и хроническое воспаление легких. Соединения также полезны для лечения вирусных и бактериальных инфекций, включая сепсис, септический шок, сепсис в результате воздействия грамотрицательных бактерий, малярию, менингит, кахексию в результате инфекции или злокачественного развития болезни, кахексию в результате синдрома приобретенного иммуного дефицита (СПИД), СПИД, ARC (комплекс, относящийся к СПИД), пневмонию и вирус герпеса. Соединения также полезны для лечения заболеваний, связанных с резорбцией костей, например, остеопороза, эндотоксического шока, синдрома токсического шока, нарушения реперфузии, аутоиммунного заболевания, включая реакцию реципиента на трансплантат и отторжения аллотрансплантата, сердечно-сосудистых заболеваний, включая атеросклероз, тромбоз, застойную сердечную недостаточность, и нарушения сердечной реперфузии, нарушения почечной реперфузии, заболевания печени и нефрита, и миалгии в результате инфекции. Соединения также полезны для лечения болезни Альцгеймера, гриппа, рассеянного склероза, рака, диабета, системной красной волчанки (SLE), состояний, связанных с кожей, как, например, псориаз, экзема, ожоги, дерматит, образование келоида и образование тканевых рубцов. Кроме того, соединения по изобретению полезны при лечении желудочно-кишечных заболеваний, как, например, воспалительное кишечное заболевание, болезнь Крона, гастрит, синдром раздраженной толстой кишки и неспецифический язвенный колит. Соединения также годятся для лечения офтальмологических заболеваний, как, например, ретинит, ретинопатии, увеит, глазная светобоязнь, и острой травмы глазной ткани. Соединения могут также быть применены при лечении ангиогенеза, включая неоплазию, метастаза, офтальмологических заболеваний, как, например, отторжение роговичного трансплантата, глазная реваскуляризация, сетчаточная реваскуляризация, включая реваскуляризацию после травмы или инфекции, диабетическая ретинопатия, ретролентальная фиброплазия и реваскулярная глаукома, язвенных заболеваний, как, например, язва желудка, патологических, но незлокачественных состояний, как, например, гемангиомы, включая гемангиомы младенцев, ангиофиброму носоглотки и бессосудистый некроз кости, диабетической нефропатии и кардиомиопатии и нарушений репродуктивной системы у женщин, как, например, эндометриоз. Соединения также могут быть применены для предотвращения продуцирования циклооксигеназы-2. Помимо того, что они пригодны для лечения людей, эти соединения также полезны в ветеринарии при лечении домашних животных, экзотических животных и сельскохозяйственных животных, включая млекопитающих, грызунов и им подобных. Более предпочтительные животные включают лошадей, собак и кошек. Представленные соединения могут также быть использованы при совместной терапии, частично или полностью, вместо других общепринятых противовоспалительных средств, например, вместе со стероидами, ингибиторами циклооксигеназы-2, нестероидными противовоспалительными препаратами (NSAIDs), DMARDS, подавляющими иммунитет средствами, ингибиторами 5-липоксигеназы, антагонистами LTB4 и ингибиторами гидролазы LTA4. Используемый здесь термин “опосредствованное фактором некроза опухоли (TNF) нарушение” относится к любому или ко всем нарушениям и болезненным состояниям, в которых играет роль TNF либо посредством саморегуляции, либо вызывая высвобождение другого монокина, как, например, но не ограничивая этим, IL-1, IL-6 или IL-8. Болезненное состояние, при котором, например, IL-1 является главным компонентом и продуцирование которого или действие усиливается или он секретируется в ответ на TNF, поэтому могло бы рассматриваться как опосредствованное фактором некроза опухоли нарушение. Используемый здесь термин “опосредствованное р38 нарушение” относится к любому или ко всем нарушениям и болезненным состояниям, в которых играет роль р38 либо путем саморегуляции, либо вызывая высвобождение другого фактора, как, например, но не ограничивая этим, IL-1, IL-6 или IL-8. Болезненное состояние, при котором, например, IL-1 является главным компонентом и продуцирование которого или действие усиливается или он секретируется в ответ на р38, могло бы рассматриваться поэтому как опосредствованное р38 нарушение. TNF- ПРИМЕРЫ Если не указано иначе, все температуры, включая точки плавления (т.е., Тпл), приводятся в градусах по Цельсию (°С). Пример 1: Получение 4-метиламино-2-метилтиопиримидин-5-карбоксальдегида Стадия А: Получение этилового эфира 4-метиламино-2-метилтиопиримидин-5-карбоновой кислоты К раствору этилового эфира 4-хлор-2-метилтиопиримидин-5-карбоновой кислоты (фирмы Aldrich, 20 г, 86 ммолей) в 250 мл дихлорметана при 0°С медленно прибавляли раствор метиламина в этаноле (33%, 35 мл, 281 ммоль). После перемешивания в течение 30 минут прибавляли воду (150 мл) и фазы разделяли. Органическую фазу сушили сульфатом магния и фильтровали. Фильтрат упаривали в вакууме, получали 19 г этилового эфира 4-метиламино-2-метилтиопиримидин-5-карбоновой кислоты в виде твердого вещества белого цвета. Стадия Б: Получение 4-метиламино-2-метилтиопиримидин-5-метанола Алюмогидрид лития (8,2 г, 215 ммолей) перемешивали в безводном тетрагидрофуране (300 мл) при 5°С и обрабатывали по каплям раствором этилового эфира 4-метиламино-2-метилтиопиримидин-5-карбоновой кислоты (46 г, 215 ммолей) в безводном тетрагидрофуране (450 мл). Реакционную смесь перемешивали 15 минут и прибавляли осторожно по каплям воду (18 мл). Реакционную смесь перемешивали 30 минут и затем прибавляли по каплям водный раствор гидроокиси натрия (15%, 8,5 мл), а затем воду (25,5 мл). Полученную в результате суспензию перемешивали 17 часов при комнатной температуре и затем фильтровали. Осадок после фильтрации промывали тетрагидрофураном (2х, 100 мл) и объединенные фильтрат и промывочный раствор упаривали при пониженном давлении. Остаток суспендировали в этилацетате/гексане-1/2 (200 мл) и твердое вещество отфильтровывали и сушили, получали 32,7 г 4-метиламино-2-метилтиопиримидин-5-метанола в виде твердого вещества желтого цвета. Стадия В: Получение 4-метиламино-2-метилтиопиримидин-5-карбоксальдегида 4-Метиламино-2-метилтиопиримидин-5-метанол (20 г, 108 ммолей) и 1 л дихлорметана объединяли при перемешивании и обрабатывали двуокисью марганца (87 г, 1 моль). Полученную в результате суспензию перемешивали 24 часа и затем фильтровали через целит. Остаток на фильтре промывали дихлорметаном (100 мл) и объединенные фильтрат и промывной раствор упаривали при пониженном давлении, получали 15,8 г 4-метиламино-2-метилтиопиримидин-5-карбоксальдегида в виде твердого вещества белого цвета. Пример 2: Получение 4-(циклопропиламино)-2-(метилтио)пиримидин-5-карбоксальдегида 4-Циклопропиламино-2-метилтиопиримидин-5-карбоксальдегид получали, как описано в примере 1 (стадии А-В), исходя из этилового эфира 4-хлор-2-метилтио-пиримидин-5-карбоновой кислоты (Aldrich Chemical Co.) и циклопропиламина (Aldrich Chemical Co.). Пример 3: Получение 4-[(4-фторфенил)амино]-2-(метилтио)пиримидин-5-карбоксальдегида 4-[(4-Фторфенил)амино]-2-(метилтио)пиримидин-5-карбоксальдегид получали, как описано в примере 1 (стадии А-В), исходя из этилового эфира 4-хлор-2-метилтиопиримидин-5-карбоновой кислоты (Aldrich Chemical Co.) и 4-фторанилина (Aldrich Chemical Co.). Пример 4: Получение метилового эфира 2-фторфеноксиуксусной кислоты К раствору 2-фторфенола (6,72 г, 60 ммолей) в 50 мл 1-метил-2-пирролидинона прибавляли метиловый эфир бромуксусной кислоты (6,24 мл, 65,92 ммоля) и карбонат калия (9,9 г, 72 ммоля). Реакционную смесь перемешивали 12 часов при комнатной температуре и затем выливали в воду. Водный раствор экстрагировали этилацетатом, промывали водой и сушили (насыщенный раствор соли, сульфат натрия). Выпаривание органического растворителя приводило к 10,5 г соответствующего ацетата (спектральные данные соответствовали таковым для известного из литературы соединения). Пример 5: Получение метилового эфира (фенилтио)уксусной кислоты К раствору тиофенола (1,09 г, 9,9 ммоля) в 25 мл 1-метил-2-пирролидинона прибавляли метиловый эфир бромуксусной кислоты (1,1 мл, 12 ммолей) и карбонат калия (2,0 г, 14,5 ммолей). Реакционную смесь перемешивали 12 часов при комнатной температуре и затем выливали в воду. Водный раствор экстрагировали этилацетатом, промывали водой и сушили (насыщенный раствор соли, сульфат натрия). Выпаривание органических растворителей приводило к 1,2 г соответствующего ацетата (спектральные данные соответствовали таковым для известного из литературы соединения). Пример 6: Получение этилового эфира 3-(2-фторфенил)пропановой кислоты Стадия А: К раствору (2Е)-3-(2-фторфенил)проп-2-еновой кислоты (10,0 г, 9,9 ммоля) в 100 мл этилового спирта прибавляли серную кислоту (0,2 мл). Реакционную смесь кипятили с обратным холодильником 5 часов и затем охлаждали до комнатной температуры. Реакционный раствор выпаривали до 1/4 первоначального объема и выливали в воду. Экстракция смеси этилацетатом, а затем сушка (насыщенный раствор соли, сульфат натрия) и полное упаривание приводили к сложному эфиру, который использовали на стадии Б. Стадия Б: Сложный эфир (со стадии А) растворяли в 50 мл этанола и прибавляли каталитическое количество палладия на угле. Реакционную смесь гидрировали в гидрогенизаторе Парра в течение 6 часов при комнатной температуре. Фильтрация реакционной смеси через слой целита, последующее выпаривание растворителя при пониженном давлении приводили к 9,8 г фторпропаноата (спектральные данные соответствовали таковым для известного из литературы соединения). Пример 7: Получение 6-фенокси-8-метил-2-(метилсульфонил)пиридо[2,3-d]-пиримидин-7(8Н)-она (сульфон 1) Стадия А: Получение 6-фенокси-8-метил-2-(тиометил)пиридо[2,3-d]-пиримидин-7(8Н)-она К смеси 4-метиламино-2-метилтиопиримидин-5-карбоксальдегида (10 г, 54,6 ммоля) и метилового эфира феноксиуксусной кислоты (Aldrich, 11,4 г, 68,6 ммоля) в 150 мл 1-метил-2-пирролидинона прибавляли карбонат калия (14 г, 101,4 ммоля). Реакционную смесь нагревали до 120°С и через 12 часов прибавляли дополнительно феноксиацетат (3х, 6,0 г, 36,1 ммоля) и карбонат калия (6,0 г, 44 ммоля). Через 6 часов перемешивания при 120°С реакционную смесь охлаждали до комнатной температуры и прибавляли воду (300 мл). Раствор перемешивали 1 час и фильтровали. Полученное в результате твердое вещество хроматографировали (SiO2, этилацетат/гексан 50/50 до этилацетата 100%) и затем выделяли путем выпаривания растворителей, получали 5 г сульфида (масс-спектр /МС/: М+1=300). Стадия Б: Получение 6-фенокси-8-метил-2-(метилсульфонил)пиридо[2,3-d]-пиримидин-7(8Н)-она (сульфон 1) Сульфид (5,07 г, 17,8 ммоля) растворяли в 100 мл хлористого метилена и прибавляли 3-хлорнадбензойную кислоту (77%, 5,9 г, 24 ммоля). Смесь перемешивали при комнатной температуре от 12 до 16 часов, фильтровали и затем промывали водным раствором сульфита натрия (2х, 75 мл), затем насыщенным раствором бикарбоната натрия (2х, 75 мл). Органический раствор затем сушили (насыщенный раствор соли, сульфат натрия) и упаривали при пониженном давлении. Полученное в результате твердое вещество хроматографировали (SiO2, этилацетат/гексан 80/20) и затем выделяли путем выпаривания растворителей, получали 3,0 г сульфона (МС: М+1=332). Пример 8: Получение 6-(2-фторфенокси)-8-метил-2-(метилсульфонил)пиридо-[2,3-d]пиримидин-7(8Н)-она (сульфон 2) Стадия А: Получение 6-(2-фторфенокси)-8-метил-2-(метилтио)пиридо[2,3-d]пиримидин-7(8Н)-она К смеси 4-метиламино-2-метилтиопиримидин-5-карбоксальдегида (4,8 г, 26,2 ммоля) и метилового эфира 2-фторфеноксиуксусной кислоты (5,9 г, 32 ммоля) в 50 мл 1-метил-2-пирролидинона прибавляли карбонат калия (6,0 г, 43,5 ммоля). Реакционную смесь нагревали до 120°С и через 12 часов добавляли еще феноксиацетат (2,0 г, 10,8 ммоля) и карбонат калия (2,0 г, 15 ммолей). Через 6 часов перемешивания при 120°С реакционную смесь охлаждали до комнатной температуры и прибавляли воду (700 мл). Раствор перемешивали 45 минут и фильтровали. Полученное в результате твердое вещество промывали водой (2х, 100 мл) и прибавляли к этилацетату (100 мл), и перемешивали 1 час. Твердое вещество затем выделяли при фильтрации и сушили, получали 6,4 г сульфида (МС: М+1=318, tпл 234-236°С). Стадия Б: Получение 6-(2-фторфенокси)-8-метил-2-(метилсульфонил)пиридо-[2,3-d]пиримидин-7(8Н)-она (сульфон 2) Сульфид (6,3 г, 20,5 ммоля) растворяли в 50 мл хлористого метилена и прибавляли 3-хлорнадбензойную кислоту (77%, 9,9 г, 44,2 ммоля). Смесь перемешивали при комнатной температуре от 12 до 16 часов, затем промывали водным раствором сульфита натрия (2х, 75 мл), затем насыщенным водным раствором бикарбоната натрия (3х, 75 мл). Органический раствор затем сушили (насыщенный раствор соли, сульфат натрия) и упаривали. Полученный в результате твердый остаток перемешивали с серным эфиром 1 час и фильтровали, получали сульфон (МС: М+1=350, tпл 158-162°С). Пример 9: Получение 6-(3-фторфенокси)-8-метил-2-(метилсульфонил)пиридо-[2,3-d]пиримидин-7(8Н)-она (сульфон 3) Стадия А: Получение 6-(3-фторфенокси)-8-метил-2-(метилтио)пиридо[2,3-d]пиримидин-7(8Н)-она К смеси 4-метиламино-2-метилтиопиримидин-5-карбоксальдегида (0,55 г, 26,2 ммоля) и метилового эфира 3-фторфеноксиуксусной кислоты (0,61 г, 3,3 ммоля) в 5 мл 1-метил-2-пирролидинона прибавляли карбонат калия (0,6 г, 4,3 ммоля). Реакционную смесь нагревали до 120°С и через 12 часов прибавляли дополнительное количество феноксиацетата (0,3 г, 1,5 ммоля) и карбонат калия (0,4 г, 2,9 ммоля). Через 6 часов перемешивания при 120°С реакционную смесь охлаждали до комнатной температуры и прибавляли воду (100 мл). Реакционную смесь экстрагировали этилацетатом (2х, 75 мл) и полученный в результате органический раствор промывали водой (5х, 50 мл), затем сушили (насыщенный раствор соли, сульфат магния). Упаривание раствора приводило к твердому остатку, который перекристаллизовывали (этилацетат/гексан), получали 1,0 г сульфида (МС: М+1=317). Стадия Б: Получение 6-(3-фторфенокси)-8-метил-2-(метилсульфонил)пиридо-[2,3-d]пиримидин-7(8Н)-она (сульфон 3) Сульфид (1,02 г, 3,2 ммоля) растворяли в 25 мл хлористого метилена и прибавляли 3-хлорнадбензойную кислоту (77%, 1,7 г, 9,6 ммоля). Смесь перемешивали при комнатной температуре 16 часов, разбавляли хлористым метиленом (25 мл), затем промывали водным раствором сульфита натрия (3х, 50 мл), затем насыщенным водным раствором бикарбоната натрия (3х, 50 мл). Органический раствор затем сушили (насыщенный раствор соли, сульфат магния) и упаривали, получали 0,64 г сульфона (МС: М+1=349). Пример 10: Получение 6-(2,6-дифторфенокси)-8-метил-2-(метилсульфонил)-пиридо[2,3-d]пиримидин-7(8Н)-она (сульфон 4) Стадия А: Получение 6-(2,6-дифторфенокси)-8-метил-2-(метилтио)пиридо[2,3-d]пиримидин-7(8Н)-она К смеси 4-метиламино-2-метилтиопиримидин-5-карбоксальдегида (4,8 г, 26,2 ммоля) и метилового эфира 2,6-дифторфеноксиуксусной кислоты (получали, как в примере 4, используя 2,6-дифторфенол, 5,9 г, 32 ммоля) в 50 мл 1-метил-2-пирролидинона прибавляли карбонат калия (6,0 г, 43,5 ммоля). Реакционную смесь нагревали до 120°С и через 12 часов прибавляли дополнительное количество феноксиацетата (2х, 2,0 г, 10,8 ммоля) и карбонат калия (2,0 г, 15 ммолей). Через 6 часов перемешивания при 120°С реакционную смесь охлаждали до комнатной температуры и прибавляли воду (70 мл). Раствор перемешивали 30 минут и фильтровали. Полученное в результате твердое вещество промывали водой (2х), этилацетатом и диэтиловым эфиром. Твердое вещество затем сушили, получали 7,0 г сульфида (МС: М+1=336, tпл 247-250,7°С). Стадия Б: Получение 6-(2,6-дифторфенокси)-8-метил-2-(метилсульфонил)-пиридо[2,3-d]пиримидин-7(8Н)-она (сульфон 4) Сульфид (7,0 г, 20,8 ммоля) растворяли в 50 мл хлористого метилена и прибавляли 3-хлорнадбензойную кислоту (77%, 11,5 г, 51,5 ммоля). Смесь перемешивали при комнатной температуре 16 часов, фильтровали, затем промывали водным раствором сульфита натрия (2х, 75 мл), затем насыщенным водным раствором бикарбоната натрия (3х, 75 мл). Органический раствор затем сушили (насыщенный раствор соли, сульфат натрия) и упаривали. Полученный в результате твердый остаток перемешивали с диэтиловым эфиром 1 час и фильтровали, получали 5,5 г сульфона (МС: М+1=368, tпл 215,2-216,4°С). Пример 11: Получение 6-(2,4-дифторфенокси)-8-метил-2-(метилсульфонил)-пиридо[2,3-d]пиримидин-7(8Н)-она (сульфон 5) Стадия А: Получение 6-(2,4-дифторфенокси)-8-метил-2-(метилтио)пиридо[2,3-d]пиримидин-7(8Н)-она К смеси 4-метиламино-2-метилтиопиримидин-5-карбоксальдегида (4,8 г, 26,2 ммоля) и метилового эфира 2,4-дифторфеноксиуксусной кислоты (полученного, как в примере 4, используя 2,4-дифторфенол, 5,4 г, 29 ммолей) в 50 мл 1-метил-2-пирролидинона прибавляли карбонат калия (6,0 г, 43,5 ммоля). Реакционную смесь нагревали до 120°С и через 12 часов прибавляли дополнительное количество феноксиацетата (2,5 г, 13,4 ммоля) и карбонат калия (2,5 г, 18 ммолей). Через 6 часов перемешивания при 120°С реакционную смесь охлаждали до комнатной температуры и прибавляли воду (100 мл). Раствор перемешивали 45 минут и фильтровали. Полученное в результате твердое вещество промывали водой (3х) и прибавляли к этилацетату (75 мл), перемешивали 1 час. Твердое вещество затем выделяли путем фильтрации и сушили, получали 6,1 г сульфида (МС: М+1=336, tпл 175,2-176,9°C). Стадия Б: Получение 6-(2,4-дифторфенокси)-8-метил-2-(метилсульфонил)-пиридо[2,3-d]пиримидин-7(8Н)-она (сульфон 5) Сульфид (6,0 г, 20,5 ммоля) растворяли в 50 мл хлористого метилена и прибавляли 3-хлорнадбензойную кислоту (77%, 9,3 г, 41,5 ммоля). Смесь перемешивали при комнатной температуре 16 часов, затем промывали водным раствором сульфита натрия (2х, 75 мл), затем насыщенным водным раствором бикарбоната натрия (3х, 75 мл). Органический раствор затем сушили (насыщенный раствор соли, сульфат натрия) и упаривали. Полученный в результате твердый остаток перемешивали с диэтиловым эфиром 1 час и фильтровали, получали сульфон (МС: М+1=368, tпл 177,2-178,5°С). Пример 12: Получение 6-(2-хлорфенокси)-8-метил-2-(метилсульфонил)-пиридо[2,3-d]пиримидин-7(8Н)-она (сульфон 6) Стадия А: Получение 6-(2-хлорфенокси)-8-метил-2-(метилтио)пиридо[2,3-d]пиримидин-7(8Н)-она К смеси 4-метиламино-2-метилтиопиримидин-5-карбоксальдегида (5,5 г, 30 ммолей) и метилового эфира 2-хлорфеноксиуксусной кислоты (полученного, как в примере 4, при использовании 2-хлорфенола, 7,0 г, 35 ммолей) в 80 мл 1-метил-2-пирролидинона прибавляли карбонат калия (9,0 г, 65,2 ммоля). Реакционную смесь нагревали до 120°С и через 12 часов прибавляли дополнительное количество феноксиацетата (2х, 0,5 г, 2,5 ммоля) и карбонат калия (2х, 2,0 г, 15 ммолей). Через 6 часов перемешивания при 120°С реакционную смесь охлаждали до комнатной температуры и прибавляли воду (100 мл). Раствор перемешивали 45 минут и фильтровали. Полученное в результате твердое вещество фильтровали и промывали водой (2х) и диэтиловым эфиром (2х). После высушивания продукта в вакуумном шкафу получали 9,0 г сульфида (МС: М+1=334). Стадия Б: Получение 6-(2-хлорфенокси)-8-метил-2-(метилсульфонил)-пиридо[2,3-d]пиримидин-7(8Н)-она (сульфон 6) Сульфид (8,9 г, 26,7 ммоля) растворяли в 70 мл хлористого метилена и прибавляли 3-хлорнадбензойную кислоту (77%, 13 г, 58 ммолей). Смесь перемешивали при комнатной температуре 16 часов, фильтровали, затем промывали водным раствором сульфита натрия (2х, 75 мл), затем насыщенным водным раствором бикарбоната натрия (3х, 75 мл). Органический раствор затем сушили (насыщенный раствор соли, сульфат натрия) и упаривали. Полученный в результате твердый остаток перемешивали с диэтиловым эфиром 18 часов и фильтровали, получали 8,5 г сульфона (МС: М+1=366). Пример 13: Получение 6-(4-хлорфенокси)-8-метил-2-(метилсульфонил)-пиридо[2,3-d]пиримидин-7(8Н)-она (сульфон 7) Стадия А: Получение 6-(4-хлорфенокси)-8-метил-2-(метилтио)пиридо[2,3-d]пиримидин-7(8Н)-она К смеси 4-метиламино-2-метилтиопиримидин-5-карбоксальдегида (0,55 г, 3,0 ммоля) и метилового эфира 4-хлорфеноксиуксусной кислоты (полученного, как в примере 4, при использовании 4-хлорфенола, 0,66 г, 3,3 ммоля) в 5 мл 1-метил-2-пирролидинона прибавляли карбонат калия (0,5 г, 3,6 ммоля). Реакционную смесь нагревали до 120°С и через 12 часов прибавляли дополнительное количество феноксиацетата (0,3 г, 1,5 ммоля) и карбонат калия (0,4 г, 2,9 ммоля). Через 6 часов перемешивания при 120°С реакционную смесь охлаждали до комнатной температуры и выливали в воду (100 мл). Реакционную смесь экстрагировали этилацетатом (2х, 75 мл) и полученный в результате органический раствор промывали водой (5х, 50 мл), затем сушили (насыщенный раствор соли, сульфат магния). Упаривание раствора приводило к твердому веществу, которое перекристаллизовывали (этилацетат/гексан), получали 0,55 г сульфида (МС: М+1=334). Стадия Б: Получение 6-(4-хлорфенокси)-8-метил-2-(метилсульфонил)-пиридо[2,3-d]пиримидин-7(8Н)-она (сульфон 7) Сульфид (1,44 г, 4,3 ммоля) растворяли в 50 мл хлористого метилена и прибавляли 3-хлорнадбензойную кислоту (77%, 2,2 г, 12,8 ммоля). Смесь перемешивали при комнатной температуре 16 часов, фильтровали, затем промывали водным раствором сульфита натрия (3х, 75 мл), затем насыщенным водным раствором бикарбоната натрия (3х, 50 мл). Органический раствор затем сушили (насыщенный раствор соли, сульфат магния) и упаривали. Полученный в результате твердый остаток перемешивали с диэтиловым эфиром 18 часов и фильтровали, получали 0,7 г сульфона (МС: М+1=366). Пример 14: Получение 8-метил-2-(метилтио)-6-(фенилтио)пиридо[2,3-d]пиримидин-7(8Н)-она (сульфид 1) К смеси 4-метиламино-2-метилтиопиримидин-5-карбоксальдегида (549 мг, 3 ммоля) и метилового эфира (фенилтио)уксусной кислоты (600 мг, 3,3 ммоля) в 25 мл 1-метил-2-пирролидинона прибавляли карбонат калия (750 мг, 5,4 ммоля). Реакционную смесь нагревали до 120°С и через 12 часов ее охлаждали до комнатной температуры, прибавляли воду (50 мл). Водную смесь экстрагировали этилацетатом (75 мл), получали органический раствор, который промывали водой (2х, 50 мл) и сушили (насыщенный раствор соли, сульфат натрия). Выпаривание растворителя приводило к твердому веществу, которое перемешивали с диэтиловым эфиром и гексаном 1 час. Фильтрация твердого осадка приводила к 0,67 г сульфида (МС: М+1=316). Пример 15: Получение 6-[(4-фторфенил)тио]-8-метил-2-(метилтио)пиридо[2,3-d]пиримидин-7(8Н)-она (сульфид 2) К смеси 4-метиламино-2-метилтиопиримидин-5-карбоксальдегида (0,55 г, 3 ммоля) и метилового эфира (4-фторфенилтио)уксусной кислоты (полученной как в примере 5 с использованием 4-фтортиофенола, 0,65 г, 3,3 ммоля) в 25 мл 1-метил-2-пирролидинона прибавляли 1,3,4,6,7,8-гексагидро-2Н-пиримидо(1,2-а)пиримидин, связанный с полимерной смолой (фирмы Aldrich, 200 мг). Реакционную смесь нагревали до 120°С. Через 12 часов ее охлаждали до комнатной температуры и прибавляли к воде (50 мл). Водную смесь экстрагировали этилацетатом (75 мл), получали органический раствор, который промывали водой (2х, 50 мл) и сушили (насыщенный раствор соли, сульфат натрия). После выпаривания растворителя получали 0,95 г сульфида (МС: М+1=334). Пример 16: Получение 6-(2-фторбензил)-8-метил-2-(метилсульфонил)-пиридо[2,3-d]пиримидин-7(8Н)-она (сульфон 8) Стадия А: Получение 6-(2-фторбензил)-8-метил-2-(метилтио)пиридо[2,3-d]пиримидин-7(8Н)-она К смеси 4-метиламино-2-метилтиопиримидин-5-карбоксальдегида (4,8 г, 26,2 ммоля) и этилового эфира 3-(2-фторфенил)пропановой кислоты (5,7 г, 29 ммолей) в 50 мл 1-метил-2-пирролидинона прибавляли карбонат калия (6,0 г, 43,5 ммоля). Реакционную смесь нагревали до 120°С и через 12 часов прибавляли дополнительное количество пропаноата (1,5 г, 7,6 ммоля) и карбонат калия (3,0 г, 22 ммоля). Через 6 часов перемешивания при 120°С, реакционную смесь охлаждали до комнатной температуры и прибавляли воду (700 мл). Раствор перемешивали 45 минут и фильтровали. Полученное в результате твердое вещество промывали водой (3х, 50 мл) и прибавляли к этилацетату (75 мл), перемешивали 1 час. Твердое вещество затем выделяли с помощью фильтрации и сушили, получали 7,5 г сульфида (МС: М+1=316, tпл 156-159°С). Стадия Б: Получение 6-(2-фторбензил)-8-метил-2-(метилсульфонил)-пиридо[2,3-d]пиримидин-7(8Н)-она (сульфон 8) Сульфид (7,4 г, 23,5 ммоля) растворяли в 50 мл хлористого метилена и прибавляли 3-хлорнадбензойную кислоту (77%, 11,5 г, 51 ммоль). Смесь перемешивали при комнатной температуре 16 часов, фильтровали и затем промывали водным раствором сульфита натрия (2х, 75 мл), затем насыщенным водным раствором бикарбоната натрия (3х, 75 мл). Органический раствор затем сушили (насыщенный раствор соли, сульфат натрия) и упаривали. Полученный в результате твердый остаток перемешивали с диэтиловым эфиром в течение 1 часа и фильтровали, получали сульфон (МС: М+1=348, tпл 153,8-154,4°C). Пример 17: Получение 6-(4-фторбензил)-8-метил-2-(метилсульфонил)-пиридо[2,3-d]пиримидин-7(8Н)-она (сульфон 9) Стадия А: Получение 6-(4-фторбензил)-8-метил-2-(метилтио)пиридо[2,3-d]пиримидин-7(8Н)-она К смеси 4-метиламино-2-метилтиопиримидин-5-карбоксальдегида (4,8 г, 26,2 ммоля) и этилового эфира 3-(4-фторфенил)пропановой кислоты (полученного, как в примере 6, 5,7 г, 29 ммолей) в 50 мл 1-метил-2-пирролидинона прибавляли карбонат калия (6,0 г, 43,5 ммоля). Реакционную смесь нагревали до 120°С и через 12 часов прибавляли дополнительное количество пропаноата (1,5 г, 7,6 ммоля) и карбонат калия (3,0 г, 22 ммоля). Через 6 часов перемешивания при 120°С реакционную смесь охлаждали до комнатной температуры и прибавляли воду (100 мл). Раствор перемешивали 45 минут и фильтровали. Полученное в результате твердое вещество промывали водой (2х) и затем выделяли путем фильтрации, сушили, получали 6,5 г сульфида (МС: М+1=316). Стадия Б: Получение 6-(4-фторбензил)-8-метил-2-(метилсульфонил)-пиридо[2,3-d]пиримидин-7(8Н)-она (сульфон 9) Сульфид (6,5 г, 20,6 ммоля) растворяли в 50 мл хлористого метилена и прибавляли 3-хлорнадбензойную кислоту (77%, 10,1 г, 45 ммолей). Смесь перемешивали при комнатной температуре 16 часов, фильтровали и затем промывали водным раствором сульфита натрия (2х, 75 мл), затем насыщенным водным раствором бикарбоната натрия (3х, 75 мл). Органический раствор затем сушили (насыщенный раствор соли, сульфат натрия) и упаривали. Полученный в результате твердый остаток перемешивали с диэтиловым эфиром в течение 1 часа и фильтровали, получали 6,7 г сульфона (МС: М+1=348). Пример 18: Получение 8-циклопропил-6-(2-фторфенокси)-2-(метилсульфонил)пиридо[2,3-d]пиримидин-7(8Н)-она (сульфон 10) Стадия А: Получение 8-циклопропил-6-(2-фторфенокси)-2-(метилтио)-пиридо[2,3-d]пиримидин-7(8Н)-она Циклопропилсульфид получали, применяя методику, описанную в примере 8 (стадия А), исходя из 4-(циклопропиламино)-2-(метилтио)пиримидин-5-карбоксальдегида (пример 2, 1,814 г, 8,67 ммоля) и метилового эфира 2-фторфенокси-уксусной кислоты (пример 4, 1,756 г, 9,53 ммоля). Продукт непосредственно использовали на стадии Б. Стадия Б: Получение 8-циклопропил-6-(2-фторфенокси)-2-(метилсульфонил)пиридо[2,3-d]пиримидин-7(8Н)-она (сульфон 10) Сульфид (3,02 г, 8,8 ммоля) растворяли в 50 мл тетрагидрофурана, охлаждали до 0°С и прибавляли по каплям оксон (Aldrich, 10,8 г, 17,6 ммоля) в 50 мл воды, поддерживая температуру постоянной. По окончании прибавления реакционной смеси давали нагреться до комнатной температуры и перемешивали 4 часа. Затем прибавляли воду (50 мл) и этилацетат (75 мл) и реакционную смесь распределяли между двумя фазами. Органический слой сушили (насыщенный раствор соли, сульфат магния) и после выпаривания растворителя получали 2,26 г сульфона (МС: М+1=376). Пример 19: Получение 6-(2-фторфенокси)-8-(4-фторфенил)-2-(метилсульфонил)пиридо[2,3-d]пиримидин-7(8Н)-она (сульфон 11) Стадия А: Получение 6-(2-фторфенокси)-8-(4-фторфенил)-2-(метилтио)-пиридо[2,3-d]пиримидин-7(8Н)-она Фторфенилсульфид получали, применяя методику, описанную в примере 8 (стадия А), исходя из 4-[(4-фторфенил)амино]-2-(метилтио)пиримидин-5-карбоксальдегида (пример 3, 1,22 г, 4,6 ммоля) и метилового эфира 2-фторфенокси-уксусной кислоты (пример 4, 0,93 г, 5,7 ммоля). Продукт реакции непосредственно использовали на стадии Б. Стадия Б: Получение 6-(2-фторфенокси)-8-(4-фторфенил)-2-(метилсульфонил)пиридо[2,3-d]пиримидин-7(8Н)-она (сульфон 11) Сульфид (0,75 г, 1,88 ммоля) растворяли в 20 мл тетрагидрофурана, охлаждали до 0°С и прибавляли по каплям оксон (Aldrich, 2,38 г, 3,88 ммоля) в 20 мл воды, поддерживая температуру постоянной. По окончании прибавления реакционной смеси давали нагреться до комнатной температуры и перемешивали 4 часа. Затем прибавляли воду (100 мл) и этилацетат (100 мл) и реакционную смесь распределяли между двумя фазами. Органический слой сушили (насыщенный раствор соли, сульфат магния) и после выпаривания растворителя получали 0,77 г сульфона (МС: М+1=414, tпл 82,3-91,5°С). Пример 20: Получение 2-амино-6-(2-фторфенокси)-8-метилпиридо[2,3-d] пиримидин-7(8Н)-она Смесь сульфона 2 (0,315 г, 0,9 ммоля) и аммиака (0,5 М раствор в 1,4-диоксане, 2 мл, 1 ммоль) в 1 мл 1-метил-2-пирролидинона нагревали при 80°С в течение 4 часов в атмосфере азота. Реакционную смесь охлаждали, упаривали при пониженном давлении и очищали с помощью колоночной хроматографии (SiO2, СН2Cl2/МеОН – 99/1). После выделения продукта путем выпаривания растворителей и сушки получали 0,33 г амина (МС: М+1=287, tпл 240,8-242,6°С). Пример 21: Получение 6-(фенокси)-8-метил-2-(тетрагидро-2H-пиран-4-ил-амино)пиридо[2,3-d]пиримидин-7(8H)-она Смесь сульфона 1 (0,20 г, 0,6 ммоля) и 4-аминотетрагидропирана (поставщик Combi-Blocks, 0,183 г, 1,81 ммоля) в 0,2 мл 1-метил-2-пирролидинона нагревали при 80°С в течение 3 часов. Реакционную смесь охлаждали, выливали в воду и экстрагировали этилацетатом (2х, 50 мл). Органический раствор промывали водой (5х, 50 мл) и сушили (насыщенный раствор соли, сульфат магния). Выпаривание растворителя и прибавление метанола с последующим подкислением (1 М, HCl/Et2O, 1,5 экв.) приводили к хлористоводородной соли, которую выделяли в виде твердого вещества при фильтрации (0,166 г, МС: М+1=353). Пример 22: Получение 6-(3-фторфенокси)-8-метил-2-(тетрагидро-2H-пиран-4-иламино)пиридо[2,3-d]пиримидин-7(8H)-она Смесь сульфона 3 (0,20 г, 0,57 ммоля) и 4-аминотетрагидропирана (поставщик Combi-Blocks, 0,173 г, 1,72 ммоля) в 0,2 мл 1-метил-2-пирролидинона нагревали при 80°С в течение 3 часов. Реакционную смесь охлаждали и прибавляли метанол (0,2-0,5 мл). Продукт выпадал в осадок, его выделяли путем фильтрации. Твердое вещество желтого цвета переносили в колбу с метанолом (5 мл). Прибавление по каплям соляной кислоты в диэтиловом эфире (1М, 1,5 экв.) и последующее перемешивание в течение 15 часов приводили к хлористоводородной соли, которую выделяли в виде твердого вещества (0,129 г, МС: М+1=371). Пример 23: Получение 6-(2,4-дифторфенокси)-8-метил-2-(тетрагидро-2H-пиран-4-иламино)пиридо[2,3-d]пиримидин-7(8H)-она Смесь сульфона 5 (0,20 г, 0,54 ммоля) и 4-аминотетрагидропирана (поставщик Combi-Blocks, 0,165 г, 1,63 ммоля) в 0,3 мл 1-метил-2-пирролидинона нагревали при 80°С в течение 3 часов. Реакционную смесь охлаждали, выливали в воду и экстрагировали этилацетатом (2х, 50 мл). Органический раствор промывали водой (5х, 25 мл) и сушили (насыщенный раствор соли, сульфат магния). Выпаривание растворителя и прибавление метанола, а затем соляной кислоты в диэтиловом эфире (1М, 1,5 экв.) приводили к хлористоводородной соли, которую выделяли в виде твердого вещества путем фильтрации (0,180 г, МС: М+1=389). Пример 24: Получение 6-(2-фторбензил)-8-метил-2-(тетрагидро-2H-пиран-4-иламино)пиридо[2,3-d]пиримидин-7(8H)-она Смесь сульфона 8 (0,35 г, 1,01 ммоля) и 4-аминотетрагидропирана (поставщик Combi-Blocks, 0,35 г, 3,47 ммоля) в 0,3 мл 1-метил-2-пирролидинона нагревали при 80°С в течение 3 часов. Реакционную смесь охлаждали, выливали в воду и экстрагировали этилацетатом (2х, 50 мл). Органический раствор промывали водой (5х, 25 мл) и сушили (насыщенный раствор соли, сульфат магния). Выпаривание растворителя и хроматография на колонке (SiO2, СН2Cl2/МеОН – 95/5) приводили к продукту, который помещали в колбу с метанолом (5 мл). Прибавляли по каплям соляную кислоту в диэтиловом эфире (1М, 1,5 экв.), затем перемешивали 1 час, получали хлористоводородную соль, которую выделяли в виде твердого вещества при фильтрации (0,299 г, МС: М+1=369, tпл 198,4-201,6°С). Пример 25: Получение 6-[(4-фторфенил)тио]-2-[(4-гидроксициклогексил)-амино]-8-метилпиридо[2,3-d]пиримидин-7(8H)-она Смесь сульфида 2 (0,333 г, 1,0 ммоль) и транс-4-аминоциклогексанола (0,345 г, 3,0 ммоля) в 0,3 мл 1-метил-2-пирролидинона нагревали при 120°С в течение 24 часов. Реакционную смесь охлаждали, выливали в воду и перемешивали 2 часа. Полученное в результате твердое вещество отфильтровывали, промывали водой (2х) и сушили. Продукт переносили в колбу с метанолом (5 мл) и прибавляли по каплям соляную кислоту в диэтиловом эфире (1М, 1,5 экв.). Органические растворители выпаривали при пониженном давлении и прибавляли диэтиловый эфир/метанол. Перемешивали 2 часа, затем фильтровали и сушили, получали хлористоводородную соль, которую выделяли в виде твердого вещества (0,286 г, МС: М+1=401, tпл 246,2-247,5°С). Пример 26: Получение 6-(4-фторфенокси)-2-[(4-гидроксициклогексил)амино]-8-метилпиридо[2,3-d]пиримидин-7(8H)-она Смесь 4-фторфеноксисульфида (см. пример 8, стадия А, 0,4 г, 1,26 ммоля) и транс-4-аминоциклогексанола (0,7 г, 6,0 ммолей) в 0,5 мл 1-метил-2-пирролидинона нагревали при 120°С в течение 24 часов. Реакционную смесь охлаждали, выливали в воду и экстрагировали этилацетатом (2х, 50 мл). Органический раствор промывали водой (5х, 25 мл) и сушили (насыщенный раствор соли, сульфат магния). Выпаривание растворителя и хроматография (SiO2, CH2Cl2/MeOH – 95/5) приводили к продукту, который переносили в колбу с метанолом (5 мл). Прибавляли по каплям соляную кислоту в диэтиловом эфире (1М, 1,5 экв.), затем перемешивали в течение 1 часа, получали хлористоводородную соль, которую выделяли в виде твердого вещества путем фильтрации (0,286 г, МС: М+1=385, tпл 253,2-253,9°С). Пример 27: Получение 6-(2-фторбензил)-2-[(4-гидроксициклогексил)амино]-8-метилпиридо[2,3-d]пиримидин-7(8H)-она Смесь сульфона 8 (0,348 г, 1,0 ммоль) и транс-4-аминоциклогексанола (0,35 г, 3,0 ммоля) в 0,35 мл 1-метил-2-пирролидинона нагревали при 80°С в течение 30 минут. Реакционную смесь охлаждали и прибавляли при перемешивании метанол (0,2-0,5 мл). Продукт выпадал в осадок и его выделяли путем фильтрации. Твердое вещество переносили в колбу с метанолом (5 мл). Прибавляли по каплям раствор соляной кислоты в диэтиловом эфире (1М, 1,5 экв.), затем перемешивали 30 минут, получали хлористоводородную соль, которую выделяли в виде твердого вещества (0,233 г, МС: М+1=383, tпл 229,5-230,2°С). Пример 28: Получение 6-(2-фторфенокси)-2-[(4-метоксициклогексил)амино]-8-метилпиридо[2,3-d]пиримидин-7(8H)-она: Стадия А: Получение 6-(2-фторфенокси)-2-[(4-гидроксициклогексил)амино]-8-метилпиридо[2,3-d]пиримидин-7(8H)-она Смесь сульфона 2 (0,20 г, 1,15 ммоля) и транс-4-аминоциклогексанола (0,123 г, 1,15 ммоля) в 2 мл 1-метил-2-пирролидинона нагревали при 120°С в течение 17 часов. Реакционную смесь охлаждали до комнатной температуры, упаривали в вакууме и очищали с помощью колоночной хроматографии (SiO2, CH2Cl2/MeOH – 95/5). Содержащие продукт фракции объединяли и упаривали, получали 0,20 г продукта. Продукт использовали непосредственно на стадии Б. Стадия Б: Получение 6-(2-фторфенокси)-2-[(4-метоксициклогексил)амино]-8-метилпиридо[2,3-d]пиримидин-7(8H)-она К суспензии свежеприготовленной окиси серебра (отфильтрованной/ высушенной из водной смеси нитрата серебра, 0,44 г, 2,70 ммоля) и гидроокиси натрия (0,21 г, 5,20 ммоля) в 2 мл тетрагидрофурана прибавляли пиримидин-7(8Н)-он (стадия А, 0,2 г, 0,52 ммоля) и йодистый метил (0,065 мл, 1,04 ммоля). После перемешивания при 50°С в течение трех дней прибавляли еще окись серебра и йодистый метил (0,98 мл, 15,7 ммоля); температура повышалась до температуры кипения и реакция продолжалась в течение двух недель. После этого периода времени смесь охлаждали до комнатной температуры, упаривали и очищали с помощью колоночной хроматографии (SiO2, CH2Cl2/MeOH/NH4OH – 90/9/1). Фракции, содержащие продукт, объединяли и упаривали при пониженном давлении, получали свободный амин. Последний растворяли в метаноле (1-2 мл) и прибавляли раствор соляной кислоты в диэтиловом эфире (1М, 1,0 экв.). Выделение твердого осадка путем фильтрации, промывка диэтиловым эфиром и сушка приводили к 0,030 г хлористоводородной соли (МС: М+1=399, tпл 135,0-145,0°C). Пример 29: Получение 6-(2-фторфенокси)-8-метил-2-{[1-(метилсульфонил)пиперидин-4-ил]амино}пиридо[2,3-d]пиримидин-7(8H)-она: Стадия А: Получение бензилового эфира 1-бензилпиперидин-4-илкарбаминовой кислоты К охлажденному до 0°С раствору 4-амино-1-бензилпиперидина (41,2 г, 216,5 ммоля) и триэтиламина (51,3 мл, 369 ммолей) в 600 мл тетрагидрофурана прибавляли по каплям бензиловый эфир хлормуравьиной кислоты (31 мл, 217 ммолей) в течение 30-45 мин с такой скоростью, чтобы температура реакции сохранялась между 5°С и 10°С. По окончании прибавления реакционной смеси давали нагреться до комнатной температуры и перемешивали 12 часов. Растворитель и низкокипящие вещества удаляли при пониженном давлении. Затем прибавляли воду (500 мл) и этилацетат (1,2 л) и реакционную смесь распределяли между двумя фазами. Органический слой промывали насыщенным водным раствором бикарбоната натрия (2х, 150 мл) и затем сушили (насыщенный раствор соли, сульфат магния). Выпаривание растворителя приводило к жидкости желтовато-коричневого цвета, которую очищали с помощью колоночной хроматографии (SiO2, EtOAc/гексан – 30/70 до EtOAc – 100), получали 27,8 г амина в виде твердого вещества белого цвета (МС: М+=324, tпл 79,1-79,6°C). Стадия Б: Получение бензилового эфира пиперидин-4-илкарбаминовой кислоты Бензиламин (27,8 г, 85,7 ммоля) растворяли в 400 мл хлористого метилена при комнатной температуре и прибавляли по каплям через капельную воронку 1-хлор-этилхлорформиат (25,4 г, 178 ммолей) в 50 мл хлористого метилена. По окончании прибавления реакционную смесь перемешивали при комнатной температуре в течение 3 часов. Растворитель и низкокипящие вещества удаляли при пониженном давлении и прибавляли метанол (500 мл). Реакционную смесь кипятили с обратным холодильником при перемешивании в течение 1 часа и затем охлаждали до комнатной температуры. После упаривания реакционного раствора получали 26,3 г соответствующего производного пиперидина в виде не совсем белого твердого вещества (МС: М+1=235, tпл 190,7-192,2°С). Стадия В: Получение бензилового эфира 1-(метилсульфонил)пиперидин-4-илкарбаминовой кислоты Защищенный пиперидин (10 г, 42,7 ммоля) и триэтиламин (12 мл, 86,7 ммоля) растворяли в 500 мл хлористого метилена при комнатной температуре. Прибавляли по каплям через капельную воронку метансульфохлорид (4,3 мл, 55,5 ммоля) в 20 мл хлористого метилена. По окончании прибавления реакционную смесь перемешивали при комнатной температуре 3 часа. Растворитель и низкокипящие вещества удаляли при пониженном давлении. Прибавляли этилацетат (500 мл) и водный раствор соляной кислоты (0,5 М, 350 мл). Реакционную смесь распределяли между двумя фазами и водный слой удаляли. Органический слой опять промывали водным раствором соляной кислоты (0,5 М, 2х, 100 мл) и затем насыщенным водным раствором бикарбоната натрия (3х, 100 мл). Реакционный раствор затем сушили (насыщенный раствор соли, сульфат магния) и упаривали при пониженном давлении, получали 9,2 г метансульфамида (tпл 148,6-152,8°С). Стадия Г: Получение 1-(метилсульфонил)пиперидин-4-амина Метансульфамид (9,2 г, 29,5 ммоля) растворяли в 200 мл тетрагидрофурана при комнатной температуре в круглодонной колбе емкостью 500 мл в атмосфере азота. Затем прибавляли палладий на угле (10%, 2-3 г) и реакционный сосуд продували водородом (3х). Баллон с водородом присоединяли к реакционной колбе и раствор перемешивали 15 часов (если было необходимо, добавляли еще катализатор и заполняли баллон с водородом). К реакционной смеси прибавляли хлористый метилен (100 мл) и фильтровали через слой целита. Выпаривание растворителя в вакууме приводило к 4,63 г желаемого амина (МС: М+1=179, tпл 65,3-65,7°С). Стадия Д: Получение 6-(2-фторфенокси)-8-метил-2-{[1-(метилсульфонил)-пиперидин-4-ил]амино}пиридо[2,3-d]пиримидин-7(8H)-она Смесь сульфона 2 (0,2 г, 0,57 ммоля) и 1-(метилсульфонил)пиперидин-4-амина (пример 29, стадии А-Г, 0,243 г, 1,36 ммоля) в 0,45 мл 1-метил-2-пирролидинона нагревали при 80°С в течение 3 часов. Реакционную смесь охлаждали и прибавляли метанол (0,2-0,5 мл). Продукт выпадал в осадок и его выделяли путем фильтрации. Твердое вещество переносили в колбу с метанолом (5 мл). Прибавляли по каплям раствор соляной кислоты в диэтиловом эфире (1M, 1,5 экв.) и перемешивали, получали хлористоводородную соль, которую выделяли в виде твердого вещества (0,143 г, МС: М+1=448). Пример 30: Получение 6-(2-фторфенокси)-8-(4-фторфенил)-2-{[1-(метилсульфонил)пиперидин-4-ил]амино}пиридо[2,3-d]пиримидин-7(8H)-она Смесь сульфона 11 (0,2 г, 0,46 ммоля) и 1-(метилсульфонил)пиперидин-4-амина (пример 29, стадии А-Г, 0,112 г, 0,62 ммоля) в 0,2 мл 1-метил-2-пирролидинона нагревали при 110°С в течение 1 часа. Реакционную смесь охлаждали и прибавляли этилацетат (40 мл). Реакционную смесь переносили, сушили (насыщенный раствор соли, сульфат магния) и упаривали, получали технический продукт. Очистка с помощью хроматографии (SiO2, препаративная тонкослойная хроматография /ТСХ/, этилацетат/гексан – 80/20), последующее выделение и упаривание при пониженном давлении приводили к свободному амину. Этот продукт растворяли в хлористом метилене и прибавляли раствор соляной кислоты в диэтиловом эфире (1M, 0,4 мл), затем перемешивали. Хлористоводородную соль выделяли при фильтрации в виде твердого вещества и сушили (0,13 г, МС: М+1=528, tпл 223,4-225°С). Пример 31: Получение 8-циклопропил-6-(2-фторфенокси)-2-{[1-(метилсульфонил)пиперидин-4-ил]амино}пиридо[2,3-d]пиримидин-7(8H)-она Смесь сульфона 10 (0,361 г, 0,97 ммоля) и 1-(метилсульфонил)пиперидин-4-амина (пример 29, стадии А-Г, 0,262 г, 1,47 ммоля) в 0,4 мл 1-метил-2-пирролидинона нагревали при 110°С в течение 2 часов. Реакционную смесь охлаждали и прибавляли этилацетат (40 мл) и воду (40 мл). Реакционную смесь распределяли между двумя слоями и водный слой отбрасывали. Органический слой затем сушили (насыщенный раствор соли, сульфат магния) и упаривали, получали технический продукт. Очистка этого продукта с помощью хроматографии (SiO2, препаративная ТСХ, этилацетат/гексан – 80/20) с последующим выделением и упаривание при пониженном давлении приводили к свободному амину. Этот продукт растворяли в хлористом метилене и прибавляли раствор соляной кислоты в диэтиловом эфире (1М, 1,5 экв.), затем перемешивали. Хлористоводородную соль выделяли в виде твердого вещества путем фильтрации и сушили (0,27 г, МС: М+1=474). Пример 32: Получение 6-(2-хлорфенокси)-8-метил-2-{[1-(метилсульфонил)-пиперидин-4-ил]амино}пиридо[2,3-d]пиримидин-7(8H)-она Смесь сульфона 6 (0,2 г, 0,55 ммоля) и 1-(метилсульфонил)пиперидин-4-амина (пример 29, стадии А-Г, 0,195 г, 1,09 ммоля) в 0,2 мл 1-метил-2-пирролидинона нагревали при 80°С в течение 3 часов. Реакционную смесь охлаждали и прибавляли метанол (1 мл). Продукт выпадал в осадок и его выделяли при фильтрации. Твердое вещество помещали в колбу с метанолом (5 мл). Прибавляли по каплям раствор соляной кислоты в диэтиловом эфире (1М, 1,5 экв.) и перемешивали, получали хлористоводородную соль, которую выделяли в виде твердого вещества (0,145 г, МС: М+1=465). Пример 33: Получение 6-(4-хлорфенокси)-8-метил-2-{[1-(метилсульфонил)-пиперидин-4-ил]амино}пиридо[2,3-d]пиримидин-7(8H)-она Смесь сульфона 7 (0,17 г, 0,46 ммоля) и 1-(метилсульфонил)пиперидин-4-амина (пример 29, стадии А-Г, 0,164 г, 0,92 ммоля) в 0,2 мл 1-метил-2-пирролидинона нагревали при 80°С в течение 3 часов. Реакционную смесь охлаждали и прибавляли метанол (1 мл). Продукт выпадал в осадок (3 дня) и его выделяли путем фильтрации. Твердый осадок помещали в колбу с метанолом (5 мл). Прибавление по каплям раствора соляной кислоты в диэтиловом эфире (1М, 1,5 экв.) с последующим перемешиванием приводило к хлористоводородной соли (0,2 г, МС: М+1=465). Пример 34: Получение 2-(циклопропиламино)-6-(2-фторфенокси)-8-метил-пиридо[2,3-d]пиримидин-7(8H)-она Смесь сульфона 2 (0,35 г, 1,0 ммоля) и циклопропиламина (1 мл, 14 ммолей) нагревали при 60°С в течение 8 часов в атмосфере азота. Реакционную смесь охлаждали, упаривали в вакууме и очищали с помощью колоночной хроматографии (SiO2, гексан/этилацетат – 3/2). Продукт суспендировали в метаноле, прибавляли раствор соляной кислоты в диэтиловом эфире (1М, 1,5 экв.) и реакционную смесь перемешивали 30 минут. Выделяли твердое вещество путем фильтрации и сушили, получали хлористоводородную соль (МС: М+1=327, tпл 178,2-179,6°C). Пример 35: Получение 2-(циклопентиламино)-6-(4-фторфенокси)-8-метил-пиридо[2,3-d] пиримидин-7(8H)-она Смесь 4-фторфеноксисульфона (см. пример 8, заменяли метиловым эфиром 4-фторфеноксиуксусной кислоты метиловый эфир 2-фторфеноксиуксусной кислоты – стадии А-Б, 0,4 г, 1,26 ммоля) и циклопентиламина (Aldrich, 0,146 г, 1,71 ммоля) в 0,3 мл 1-метил-2-пирролидинона нагревали при 80°С в течение 3 часов. Реакционную смесь охлаждали и прибавляли метанол (1 мл). Продукт выпадал в осадок и его выделяли при фильтрации. Твердое вещество переносили в колбу с метанолом (5 мл). Прибавляли по каплям раствор соляной кислоты в диэтиловом эфире (1М, 1,5 экв.) и затем перемешивали, получали хлористоводородную соль (0,165 г, МС: М+1=355). Пример 36: Получение 2-(циклопентиламино)-6-(3-фторфенокси)-8-метил-пиридо[2,3-d]пиримидин-7(8H)-она Смесь сульфона 3 (0,2 г, 0,57 ммоля) и циклопентиламина (Aldrich, 0,146 г, 1,71 ммоля) в 0,3 мл 1-метил-2-пирролидинона нагревали при 80°С в течение 4 часов. Реакционную смесь охлаждали и прибавляли метанол (1 мл). Продукт выпадал в осадок и его выделяли путем фильтрации. Твердое вещество переносили в колбу с метанолом (5 мл). Прибавление по каплям раствора соляной кислоты в диэтиловом эфире (1М, 1,5 экв.) с последующим перемешиванием приводило к хлористоводородной соли (0,105 г, МС: М+1=355). Пример 37: Получение 2-(бутиламино)-6-(2-фторфенокси)-8-метилпиридо[2,3-d]пиримидин-7(8H)-она Смесь сульфона 2 (0,05 г, 0,143 ммоля) и бутиламина (0,017 г, 0,17 ммоля) в 0,2 мл 1-метил-2-пирролидинона нагревали при 65°С в течение 12 часов. Реакционную смесь охлаждали, прибавляли метанол/воду (90/10, 1 мл), в результате образовывался осадок. Продукт промывали водой, растворяли в хлористом метилене и упаривали при пониженном давлении, получали амин (0,019 г, МС: М+1=343). Пример 38: Получение 6-(2-фторфенокси)-2-[(2-гидроксиэтил)амино]-8-метилпиридо[2,3-d]пиримидин-7(8H)-она Смесь сульфона 2 (0,05 г, 0,143 ммоля), 2-аминоэтанола (0,015 г, 0,2 ммоля) в 0,2 мл хлороформа нагревали при 65°С в течение 12 часов. Реакционную смесь охлаждали и хлороформ удаляли при упаривании. Прибавляли метанол/воду (90/10, 1 мл), образовывался осадок. Продукт промывали водой, растворяли в хлористом метилене и упаривали при пониженном давлении, получали амин (0,027 г, МС: М+1=331). Пример 39: Получение 6-(2-фторфенокси)-2-(изобутиламино)-8-метил-пиридо[2,3-d]пиримидин-7(8H)-она Смесь сульфона 2 (0,05 г, 0,143 ммоля), изобутиламина (0,013 г, 0,18 ммоля) в 0,2 мл хлороформа нагревали при 65°С в течение 12 часов. Реакционную смесь охлаждали и хлороформ удаляли при упаривании. Прибавляли метанол/воду (90/10, 1 мл), образовывался осадок. Продукт промывали водой, растворяли в хлористом метилене и упаривали при пониженном давлении, получали амин (0,038 г, МС: М+1=343). Пример 40: Получение 6-(2-фторфенокси)-2-{[(1S)-1-(гидроксиметил)-2-метилпропил]амино}-8-метилпиридо[2,3-d]пиримидин-7(8H)-она Смесь сульфона 2 (0,05 г, 0,143 ммоля) и (2S)-2-амино-3-метилбутан-1-ола (0,044 г, 0,43 ммоля) в 0,1 мл 1-метил-2-пирролидинона нагревали при 80°С в течение 3 часов. Реакционную смесь охлаждали, прибавляли метанол/воду (90/10, 1 мл), образовывался осадок. Продукт промывали водой, растворяли в хлористом метилене, фильтровали через осушитель (сульфат магния) и упаривали при пониженном давлении, получали амин (0,047 г, МС: М+1=373). Пример 41: Получение 2-[(2,3-дигидроксипропил)амино]-6-(2-фторфенокси)-8-метилпиридо[2,3-d]пиримидин-7(8H)-она Смесь сульфона 2 (0,05 г, 0,143 ммоля) и 3-аминопропан-1,2-диола (0,016 г, 0,18 ммоля) в 0,1 мл 1-метил-2-пирролидинона нагревали при 65°С в течение 3 часов. Реакционную смесь охлаждали, прибавляли метанол/воду (90/10, 1 мл), но осадок не выпадал. Поэтому удаляли все растворители путем упаривания при пониженном давлении, прибавляли воду (1 мл) и этилацетат (1 мл) и продукт распределяли в органическом слое. Водный слой удаляли, этилацетат сушили (сульфатом магния) и выпаривали, получали амин (0,034 г, МС: М+1=361). Пример 42: Получение 6-(2-фторфенокси)-8-метил-2-[(2-пиперидин-1-илэтил)амино]пиридо[2,3-d]пиримидин-7(8H)-она Смесь сульфона 2 (0,05 г, 0,143 ммоля), 2-пиперидин-1-илэтиламина (0,022 г, 0,17 ммоля) в 0,2 мл хлороформа нагревали при 65°С в течение 12 часов. Реакционную смесь охлаждали и растворители удаляли путем выпаривания. Прибавляли метанол/воду (90/10, 1 мл) и образовывался осадок. Продукт промывали водой, растворяли в хлористом метилене и упаривали, получали амин (0,041 г, МС: М+1=398). Пример 43: Получение 2-[(циклогексилметил)амино]-6-(2-фторфенокси)-8-метилпиридо[2,3-d]пиримидин-7(8H)-она Смесь сульфона 2 (0,05 г, 0,143 ммоля), циклогексилметиламина (0,019 г, 0,17 ммоля) в 0,2 мл хлороформа нагревали при 65°С в течение 12 часов. Реакционную смесь охлаждали и растворители удаляли путем выпаривания. Прибавляли метанол/воду (90/10, 1 мл) и образовывался осадок. Продукт промывали водой, растворяли в хлористом метилене и упаривали, получали амин (0,045 г, МС: М+1=383). Пример 44: Получение 2-[(циклопропилметил)амино]-6-(2-фторфенокси)-8-метилпиридо[2,3-d]пиримидин-7(8H)-она Смесь сульфона 2 (0,05 г, 0,143 ммоля), циклопропилметиламина (0,02 г, 0,28 ммоля) в 0,2 мл хлороформа нагревали при 65°С в течение 12 часов. Реакционную смесь охлаждали и растворители удаляли путем выпаривания. Прибавляли метанол/воду (90/10, 1 мл) и образовывался осадок. Продукт промывали водой, растворяли в хлористом метилене и упаривали при пониженном давлении, получали амин (0,03 г, МС: М+1=341). Пример 45: Получение 6-(2-фторфенокси)-2-[(2-метоксиэтил]амино]-8-метилпиридо[2,3-d]пиримидин-7(8H)-она Смесь сульфона 2 (0,05 г, 0,143 ммоля), 2-метоксиэтиламина (0,02 г, 0,27 ммоля) в 0,2 мл хлороформа нагревали при 65°С в течение 12 часов. Реакционную смесь охлаждали и растворители удаляли путем выпаривания. Прибавляли метанол/воду (90/10, 1 мл) и образовывался осадок. Продукт промывали водой, растворяли в хлористом метилене и упаривали при пониженном давлении, получали амин (0,04 г, МС: М+1=345). Пример 46: Получение 2-{[3-(диметиламино)пропил]амино}-6-(2-фтор-фенокси)-8-метилпиридо[2,3-d]пиримидин-7(8H)-она Смесь сульфона 2 (0,05 г, 0,143 ммоля), N,N-диметилпропан-1,3-диамина (0,018 г, 0,18 ммоля) в 0,2 мл хлороформа нагревали при 65°С в течение 12 часов. Реакционную смесь охлаждали и растворители удаляли путем выпаривания. Прибавляли метанол/воду (90/10, 1 мл) и образовывался осадок. Продукт промывали водой, растворяли в хлористом метилене и упаривали, получали амин (0,045 г, МС: М+1=372). Пример 47: Получение 6-(2-фторфенокси)-8-метил-2-{[3-(2-оксопирролидин-1-ил)пропил]амино}пиридо[2,3-d]пиримидин-7(8H)-она Смесь сульфона 2 (0,05 г, 0,143 ммоля), 1-(3-аминопропил)пирролидин-2-она (0,024 г, 0,17 ммоля) в 0,2 мл хлороформа нагревали при 65°С в течение 12 часов. Реакционную смесь охлаждали и растворители удаляли путем выпаривания. Прибавляли метанол/воду (90/10, 1 мл) и образовывался осадок. Продукт промывали водой, растворяли в хлористом метилене и упаривали, получали амин (0,033 г, МС: М+1=412). Пример 48: Получение N-(2-{[6-(2-фторфенокси)-8-метил-7-оксо-7,8-дигидропиридо[2,3-d]пиримидин-2-ил]амино}этил)ацетамида Смесь сульфона 2 (0,05 г, 0,143 ммоля), N-(2-аминоэтил)ацетамида (0,024 г, 0,18 ммоля) в 0,2 мл хлороформа нагревали при 65°С в течение 12 часов. Реакционную смесь охлаждали и растворители удаляли путем выпаривания. Прибавляли метанол/воду (90/10, 1 мл) и образовывался осадок. Продукт промывали водой, растворяли в хлористом метилене и упаривали, получали амин (0,035 г, МС: М+1-373). Пример 49: Получение 6-(2-фторфенокси)-8-метил-2-[(2-пиридин-3-илэтил)амино]пиридо[2,3-d]пиримидин-7(8H)-она Смесь сульфона 2 (0,05 г, 0,143 ммоля), 2-пиридин-3-илэтиламина (0,021 г, 0,17 ммоля) в 0,2 мл хлороформа нагревали при 65°С в течение 12 часов. Реакционную смесь охлаждали и растворители удаляли путем выпаривания. Прибавляли метанол/воду (90/10, 1 мл) и образовывался осадок. Продукт промывали водой, растворяли в хлористом метилене и упаривали, получали амин (0,039 г. МС: М+1=392). Пример 50: Получение этилового эфира N-[6-(2-фторфенокси)-8-метил-7-оксо-7,8-дигидропиридо[2,3-d]пиримидин-2-ил]- К раствору хлористоводородной соли этилового эфира Пример 51: Получение 6-(2-фторфенокси)-2-[(3-метоксипропил)амино]-8-метилпиридо[2,3-d]пиримидин-7(8H)-она Смесь сульфона 2 (0,05 г, 0,143 ммоля), 3-метоксипропиламина (0,015 г, 0,17 ммоля) в 1,5 мл хлороформа нагревали при 65°С в течение 12 часов. Реакционную смесь охлаждали и растворители удаляли путем выпаривания. Техническую реакционную смесь очищали с помощью колоночной хроматографии (Supelco /фирма Sigma Aldrich, Сент-Луис, Миссури, США/, набивка 3 мл, SiO2, CH2Cl2/MeOH 95/5) и последующего упаривания, получали амин (0,027 г, МС: М+1=359). Пример 52: Получение 6-(4-хлорфенокси)-2-{[(1S)-2-гидрокси-1,2-диметилпропил]амино}-8-метилпиридо[2,3-d]пиримидин-7(8H)-она: Стадия А: Получение трет-бутилового эфира (1S)-2-гидрокси-1,2-диметил-пропилкарбаминовой кислоты К охлажденному до 0°С раствору метилового эфира N-(трет-бутоксикарбонил)-L-аланина (10,0 г, 49,3 ммоля) в 70 мл тетрагидрофурана в атмосфере азота прибавляли по каплям метилмагнийхлорид (3,0 М в ТГФ, 70 мл, 210 ммолей) в течение 30-45 минут. После завершения прибавления реакционной смеси давали нагреться до комнатной температуры и перемешивали 2 часа. Растворитель и низкокипящие вещества удаляли при пониженном давлении. Затем прибавляли воду (500 мл) и этилацетат (1,2 л) и реакционную смесь распределяли между двумя фазами. Органический слой сушили (насыщенный раствор соли, сульфат магния) и выпаривали растворитель, получали жидкость, которую хроматографировали (SiO2, СН2Cl2/МеОН 90/10), получали 9,6 г защищенного амина в виде жидкости (МС: М+1=204). Стадия Б: Получение (3S)-3-амино-2-метилбутан-2-ола К охлажденному до 0°С раствору карбамата (9,6 г, 47,3 ммоля) в 96 мл хлористого метилена прибавляли по каплям в атмосфере азота трифторуксусную кислоту (4 мл, 51,9 ммоля). После завершения прибавления реакционной смеси давали нагреться до комнатной температуры и перемешивали 2 часа. К реакционной смеси прибавляли трет-бутанол (2-3 мл) и удаляли при пониженном давлении растворитель/низкокипящие примеси. Прибавление толуола (3х, 75 мл), упаривание и последующая сушка в вакуумном шкафу приводили к техническому амину, представляющему твердое вещество. Это вещество помещали в колбу и прибавляли затем при перемешивании метанол (10 мл) и соляную кислоту (12М, 5-7 мл). Через 30 минут выпадала в осадок хлористоводородная соль амина, ее промывали толуолом (50 мл) и диэтиловым эфиром (2х, 150 мл) и затем сушили при пониженном давлении (МС: М+1=104, tпл 128,1-130,1°С). Внимание: этот амин гигроскопичен и поэтому предпринимались меры, чтобы не допустить длительного контакта с воздухом/водой при выделении. Стадия В: Получение 6-(4-хлорфенокси)-2-{[(1S)-2-гидрокси-1,2-диметил-пропил]амино}-8-метилпиридо[2,3-d]пиримидин-7(8H)-она К раствору хлористоводородной соли (3S)-3-амино-2-метилбутан-2-ола (0,077 г, 0,55 ммоля) в 3 мл хлороформа прибавляли при комнатной температуре меламино-феноло-карбонатный полимер (Argonaut Technologies Inc., 0,75 г). Смесь оставляли перемешиваться 1 час и затем прибавляли сульфон 7 (0,1 г, 0,28 ммоля). Температуру реакционной смеси доводили до 60°С и перемешивали 24 часа. Смесь затем охлаждали и полимер удаляли путем фильтрации. Выпаривание растворителя и колоночная хроматография (SiO2, CH2Cl2) приводили к техническому продукту, который хроматографировали второй раз (SiO2, СН2Cl2/гексан 1/1 с градиентом до CH2Cl2/MeOH 99/1). Выделение соответствующих фракций с последующим выпариванием растворителя при пониженном давлении приводило к амину (0,032 г, МС: М+1=389). Пример 53: Получение 6-(2,4-дифторфенокси)-2-{[(1S)-2-гидрокси-1,2-диметилпропил]амино}-8-метилпиридо[2,3-d]пиримидин-7(8H)-она К раствору хлористоводородной соли (3S)-3-амино-2-метилбутан-2-ола (0,24 г, 1,77 ммоля) в 3 мл ацетонитрила при комнатной температуре прибавляли триметилсилилцианид (Aldrich, 0,7 мл, 5,2 ммоля). Все кипятили с обратным холодильником 30 минут, охлаждали до комнатной температуры и затем прибавляли сульфон 5 (0,367 г, 1,0 ммоль). Реакционную смесь кипятили с обратным холодильником 2 часа и охлаждали до комнатной температуры. Прибавляли метанол (2 мл) и водный раствор гидроокиси натрия (2 н., 1-3 мл) и смесь кипятили с обратным холодильником 30 минут. Реакционную смесь упаривали и прибавляли этилацетат (25 мл). Высушивание органического раствора (насыщенный раствор соли, 3х) с последующим упариванием при пониженном давлении и хроматография (SiO2, препаративная ТСХ на пластинке, этилацетат/гексан 75/25) приводили к техническому продукту. Продукт растворяли в хлористом метилене (1-2 мл) и прибавляли раствор соляной кислоты в диэтиловом эфире (1М, избыток). Твердое вещество выделяли путем фильтрации, сушили, получали 0,16 г хлористоводородной соли (МС: М+1=391, tпл 104,3-107,5°С). Пример 54: Получение 6-(2-фторбензил)-2-{[(1S)-2-гидрокси-1,2-диметилпропил]амино}-8-метилпиридо[2,3-d]пиримидин-7(8H)-она К раствору хлористоводородной соли (3S)-3-амино-2-метилбутан-2-ола (0,31 г, 2,21 ммоля) в 3 мл ацетонитрила при комнатной температуре прибавляли N,N-диизопропилэтиламин (0,7 мл, 4 ммоля). Все кипятили с обратным холодильником 30 минут, охлаждали до комнатной температуры и затем прибавляли сульфон 8 (0,4 г, 1,15 ммоля). Реакционную смесь кипятили с обратным холодильником 2 часа и охлаждали до комнатной температуры. Прибавляли этилацетат (25 мл) и этот раствор сушили (насыщенный раствор соли 3х, сульфат магния). Упаривание при пониженном давлении и хроматография (SiO2, препаративная ТСХ на пластинке, этилацетат/гексан – 75/25) приводили к техническому продукту. Последний растворяли в хлористом метилене (1-2 мл) и прибавляли раствор соляной кислоты в диэтиловом эфире (1М, избыток). Твердое вещество выделяли путем фильтрации и сушили, получали 0,25 г хлористоводородной соли (МС: М+1=371, tпл 162,9-170,5°C). Пример 55: Получение 6-(2-фторфенокси)-8-метил-2-[(1-оксидотетрагидро-2Н-тиопиран-4-ил)амино]пиридо[2,3-d]пиримидин-7(8Н)-она: Стадия А: Получение оксима тетрагидро-4Н-тиопиран-4-она: Суспензию смеси тетрагидротиопиран-4-она (5 г, 43 ммоля), тригидрата ацетата натрия (29,26 г, 215 ммолей) и хлоргидрата гидроксиламина (14,9 г, 215 ммолей) в 200 мл этанола кипятили с обратным холодильником 6 часов. Реакционную смесь охлаждали и при пониженном давлении удаляли растворитель/низкокипящие примеси. Остаток разбавляли охлажденной до температуры льда водой (400 мл) и экстрагировали этилацетатом (3х, 150 мл). Органический раствор сушили (насыщенный раствор соли, сульфат магния) и упаривали, получали 5,6 г оксима тианона в виде твердого вещества белого цвета (МС: М+=131). Стадия Б: Получение 4-аминотетрагидротиопирана: К раствору алюмогидрида лития (1М, 76 мл, 76 ммолей) в тетрагидрофуране при комнатной температуре прибавляли по каплям в атмосфере азота оксим тианона (2 г, 15 ммолей) в 30 мл тетрагидрофурана. После окончания прибавления смесь перемешивали при кипячении с обратным холодильником 7 часов и затем при комнатной температуре 12 часов. К суспензии медленно (по каплям) прибавляли воду (2,9 мл), затем водный раствор гидроокиси натрия (15%, 2,9 мл). Затем еще прибавляли воду (8,7 мл) и реакционную смесь перемешивали 30 минут, фильтровали через слой целита и промывали этилацетатом (200 мл). Фильтрат сушили (насыщенный раствор соли, сульфат магния) и упаривали при пониженном давлении, получали 1,62 г 4-аминотетрагидротиопирана (МС: М+1=118). Стадия В: Получение 6-(2-фторфенокси)-8-метил-2-(тетрагидро-2Н-тиопиран-4-иламино)пиридо[2,3-d]пиримидин-7(8Н)-она: Смесь сульфона 2 (1,0 г, 2,9 ммоля) и 4-аминотетрагидротиопирана (0,67 г, 5,8 ммоля) в 1 мл 1-метил-2-пирролидинона нагревали при 80°С в течение 1 часа. Реакционную смесь охлаждали, прибавляли этилацетат (100 мл) и органический раствор промывали водой (3х, 75 мл) и затем сушили (насыщенный раствор соли, сульфат магния). Выпаривание растворителя при пониженном давлении и колоночная хроматография (SiO2, этилацетат/гексан – 40/60) приводили к 0,84 г сульфида в виде твердого вещества белого цвета, которое использовали на стадии Г. Стадия Г: Получение 6-(2-фторфенокси)-8-метил-2-[(1-оксидотетрагидро-2Н-тиопиран-4-ил)амино]пиридо[2,3-d]пиримидин-7(8Н)-она: Сульфид (0,84 г, 2,2 ммоля) растворяли в 80 мл дихлорметана и охлаждали до 5°С, в то время как прибавляли в три приема в течение 30 минут 3-хлорнадбензойную кислоту (77%, 0,5 г, 2,2 ммоля). Реакция завершалась в течение 30 минут и смесь промывали водным раствором сульфита натрия (10%, 100 мл), затем холодным насыщенным водным раствором бикарбоната натрия. Раствор сушили (насыщенный раствор соли, сульфат натрия) и упаривали при пониженном давлении. Продукт очищали с помощью колоночной хроматографии (SiO2, CH2Cl2/MeOH 95/5), получали сульфоксид амина. Этот продукт (0,4 г) растворяли в этилацетате/дихлорметане (1/1, 1 мл) и прибавляли раствор соляной кислоты в диэтиловом эфире (1М, 1,2 мл, 1,2 экв.). Образовывалась суспензия белого цвета, все перемешивали 15 минут. Твердое вещество отфильтровывали и промывали диэтиловым эфиром, получали 385 мг хлористоводородной соли (МС: М+1=403, tпл 188,8-189,7°С). Пример 56: Получение 2-[(1,1-диоксидотетрагидро-2Н-тиопиран-4-ил)амино]-6-(2-фторфенокси)-8-метилпиридо[2,3-d]пиримидин-7(8Н)-она Смесь сульфоксида (0,47 г, 1,2 ммоля) и 3-хлорнадбензойной кислоты (0,26 г, 1,2 ммоля) в 50 мл дихлорметана перемешивали при комнатной температуре 2 часа в атмосфере азота. Реакцию затем останавливали при смешении с водным раствором сульфита натрия (10%, 100 мл), затем промывали холодным насыщенным водным раствором бикарбоната натрия (100 мл). Органический раствор сушили (насыщенный раствор соли, сульфат натрия), упаривали при пониженном давлении и очищали с помощью колоночной хроматографии (SiO2, CH2Cl2/MeOH – 97/3), получали 0,45 г сульфона. Сульфон растворяли в метаноле/дихлорметане (5/95, 1 мл) и прибавляли раствор соляной кислоты в диэтиловом эфире (1М, 1,3 мл). Образовывалась суспензия, которую перемешивали 30 минут. Твердое вещество отфильтровывали и промывали диэтиловым эфиром, получали 413 мг хлористоводородной соли (МС: М+1=419, tпл 186,2-230,7°C, образец частично плавился в этих пределах). Пример 57: Получение 6-(2,4-дифторфенокси)-8-метил-2-[(1-оксидотетрагидро-2Н-тиопиран-4-ил)амино]пиридо[2,3-d]пиримидин-7(8Н)-она: Стадия А: Получение 6-(2,4-дифторфенокси)-8-метил-2-(тетрагидро-2Н-тиопиран-4-иламино)пиридо[2,3-d]пиримидин-7(8Н)-она: Смесь сульфона 5 (1,14 г, 3,1 ммоля) и 4-аминотетрагидротиопирана (0,73 г, 6,2 ммоля) в 2 мл 1-метил-2-пирролидинона нагревали при 70°С в течение 15 минут. Реакционную смесь охлаждали, прибавляли этилацетат (100 мл). Органический раствор затем промывали водой (3х, 75 мл) и сушили (насыщенный раствор соли, сульфат магния). После выпаривания растворителя и колоночной хроматографии (SiO2, СН2Cl2/этилацетат – 90/10) получали 0,9 г сульфида (tпл 230,7-232,8°С, МС: (М+Н)=405), который использовали на стадии Б. Стадия Б: Получение 6-(2,4-дифторфенокси)-8-метил-2-[(1-оксидотетрагидро-2Н-тиопиран-4-ил)амино]пиридо[2,3-d]пиримидин-7(8Н)-она: Сульфид (0,9 г, 2,2 ммоля) растворяли в 80 мл дихлорметана и охлаждали до 5°С, в то время как прибавляли 3-хлорнадбензойную кислоту (77%, 0,5 г, 2,2 ммоля) в три приема в течение 30 минут. Реакция завершалась за 20 минут и к смеси прибавляли водный раствор сульфита натрия (10%, 100 мл), а затем холодный насыщенный водный раствор бикарбоната натрия. Раствор сушили (насыщенный раствор соли, сульфат магния) и упаривали при пониженном давлении. Продукт очищали с помощью колоночной хроматографии (SiO2, CH2Cl2/MeOH – 95/5), получали сульфоксид производного амина. Этот продукт (0,35 г, 0,8 ммоля) растворяли в 1 мл дихлорметана и прибавляли раствор соляной кислоты в диэтиловом эфире (1М, 1,0 мл). Образовывалась суспензия, все перемешивали 15 минут. После разбавления твердого вещества диэтиловым эфиром (10 мл), фильтрации и промывки диэтиловым эфиром получали 344 мг хлористоводородной соли (МС: М+1=421, tпл 201,8-202,5°С). Пример 58: Получение 2-[(1,1-диоксидотетрагидро-2Н-тиопиран-4-ил)амино]-6-(2,4-дифторфенокси)-8-метилпиридо[2,3-d]пиримидин-7(8Н)-она Смесь сульфоксида (0,6 г, 1,4 ммоля) и 3-хлорнадбензойной кислоты (0,48 г, 1,5 ммоля) в 50 мл дихлорметана перемешивали при комнатной температуре 12 часов в атмосфере азота. Реакцию затем прекращали прибавлением водного раствора сульфита натрия (10%, 100 мл), затем промывали холодным насыщенным водным раствором бикарбоната натрия (100 мл). Органический раствор сушили (насыщенный раствор соли, сульфат натрия), упаривали при пониженном давлении и очищали с помощью колоночной хроматографии (SiO2, CH2Cl2/MeOH – 95/5), получали 0,41 г сульфона. Последний растворяли в метаноле/дихлорметане (5/95, 1 мл), прибавляли раствор соляной кислоты в диэтиловом эфире (1М, 1,1 мл) и раствор перемешивали 15 минут. Упаривали при пониженном давлении, затем прибавляли диэтиловый эфир (10 мл) и перемешивали, получали твердое вещество. После фильтрации осадка и промывки диэтиловым эфиром получали 382 мг хлористоводородной соли (МС: М+1=437, tпл 251,7-254,9°С). Пример 59: Получение 6-(2,6-дифторфенокси)-2-{[1-(гидроксиметил)бутил]амино}-8-метилпиридо[2,3-d]пиримидин-7(8H)-она Смесь сульфона 4 (0,38 г, 1 ммоль) и 2-аминопентан-1-ола (0,35 г, 3,4 ммоля) в 0,5 мл 1-метил-2-пирролидинона перемешивали при 80°С в течение 1 часа и затем охлаждали до комнатной температуры. Прибавляли метанол/воду (9/1, 1-2 мл) и суспензию перемешивали 30 минут. Фильтрация и тщательная промывка осадка диэтиловым эфиром, затем водой, а затем сушка приводили к свободному амину. Последний растворяли в метаноле (1-2 мл), прибавляли раствор соляной кислоты в диэтиловом эфире (1М, избыток) и реакционную смесь перемешивали 30 минут. После выпаривания органических примесей, а затем прибавления диэтилового эфира/метанола (1-2 мл) получали осадок. Выделяли это твердое вещество путем фильтрации и сушили, получали 0,28 г хлористоводородной соли (МС: М+1=391, tпл 176,7-177,7°С). Пример 60: Получение 6-(2,6-дифторфенокси)-2-[(2-гидрокси-1,1-диметилэтил)амино]-8-метилпиридо[2,3-d]пиримидин-7(8H)-она Смесь сульфона 4 (0,38 г, 1 ммоль) и 2-амино-2-метилпропан-1-ола (0,35 г, 3,4 ммоля) в 0,4 мл 1-метил-2-пирролидинона перемешивали при 80°С в течение 1 часа и затем охлаждали до комнатной температуры. Прибавляли метанол/воду (9/1, 1-2 мл) и суспензию перемешивали 30 минут. Фильтрация и тщательная промывка осадка диэтиловым эфиром, затем водой, а затем сушка приводили к свободному амину. Последний растворяли в метаноле (1-2 мл), прибавляли раствор соляной кислоты в диэтиловом эфире (1М) и реакционную смесь перемешивали 30 минут. Выпаривание органических примесей, а затем прибавление диэтилового эфира/метанола (1-2 мл) приводили к осадку. Это твердое вещество выделяли при фильтрации и сушили, получали 0,212 г хлористоводородной соли (МС: М+1=377, tпл 212,8-213,5°С). Пример 61: Получение 6-(2-фторфенокси)-2-{[1-(гидроксиметил)-циклопентил]амино}-8-метилпиридо[2,3-d]пиримидин-7(8H)-она Смесь сульфона 2 (0,353 г, 1 ммоль), (1-аминоциклопентил)метанола (0,154 г, 1,42 ммоля) в 0,4 мл 1-метил-2-пирролидинона перемешивали при 80°С в течение 1 часа. Реакционную смесь охлаждали, затем прибавляли воду (50 мл) и этилацетат (50 мл) и реакционную смесь распределяли между двумя фазами. Органический слой сушили (насыщенный раствор соли, сульфат магния), растворитель выпаривали и получали остаток, который очищали с помощью колоночной хроматографии (SiO2, CH2Cl2/МеОН – 90/10). Фракции после колонки объединяли и концентрировали при пониженном давлении, получали свободный амин. Последний суспендировали в метаноле (1-2 мл), прибавляли раствор соляной кислоты в диэтиловом эфире (1М, избыток) и реакционную смесь перемешивали 30 минут. Выпаривали органические примеси, затем прибавляли диэтиловый эфир/метанол (1-2 мл), получали осадок. Выделяли это твердое вещество путем фильтрации и сушили, получали 0,279 г хлористоводородной соли (МС: М+1=385, tпл 198,6-200,3°С). Пример 62: Получение 6-(2-фторфенокси)-2-{[1-(гидроксиметил)-3-(метилтио)пропил]амино}-8-метилпиридо[2,3-d]пиримидин-7(8H)-она Смесь сульфона 2 (1,04 г, 2,94 ммоля), 2-амино-4-(метилтио)бутан-1-ола (1,0 г, 9,7 ммоля) в 1,0 мл 1-метил-2-пирролидинона нагревали при 80°С в течение 1 часа. Реакционную смесь охлаждали и прибавляли метанол/воду (9/1, 5-7 мл), но осадок не образовывался. Поэтому все растворители удаляли путем выпаривания при пониженном давлении, прибавляли воду (25 мл) и этилацетат (25 мл). Реакционную смесь распределяли между двумя слоями и водный слой удаляли. Раствор в этилацетате сушили (насыщенный раствор соли, сульфат магния) и упаривали при пониженном давлении. Техническую реакционную смесь очищали с помощью колоночной хроматографии (SiO2, СН2Cl2/МеОН – 95/5) и фракции после колонки объединяли и концентрировали при пониженном давлении, получали 0,8 г свободного амина. Этот продукт (0,2 г) суспендировали в метаноле (1-3 мл), прибавляли раствор соляной кислоты в диэтиловом эфире (1М, избыток) и реакционную смесь перемешивали 30 минут. Выпаривали органические примеси, затем прибавляли диэтиловый эфир/метанол (1-2 мл), получали осадок. После выделения этого твердого вещества путем фильтрации и сушки получали 0,125 г хлористоводородной соли (МС: М+1=405, tпл 130,6-132,2°С). Пример 63: Получение 2-(бензиламино)-6-(4-фторфенокси)-8-метилпиридо[2,3-d]пиримидин-7(8H)-она Смесь 6-(4-фторфенокси)-8-метил-2-(метилсульфонил)пиридо[2,3-d]пиримидин-7(8Н)-она (см. пример 8, получен путем замены метилового эфира 2-фторфенокси-уксусной кислоты метиловым эфиром 4-фторфеноксиуксусной кислоты – стадии А и Б, 0,35 г, 1,0 ммоль) и бензиламина (0,33 мл, 3 ммоля) в 5 мл 1-метил-2-пирролидинона перемешивали при 110°С в течение 12 часов и затем охлаждали до комнатной температуры. Прибавляли метанол (2 мл) и суспензию перемешивали 30 минут. Фильтрация и тщательная промывка осадка метанолом, а затем сушка приводили к свободному амину. Последний растворяли в этилацетате (1-2 мл) и прибавляли раствор соляной кислоты в диэтиловом эфире (1М, 1,5 экв.). Твердое вещество выделяли путем фильтрации и сушили, получали 0,317 г хлористоводородной соли (МС: М+1=377, tпл 203,2-204°C). Пример 64: Получение 2-(бензиламино)-6-(4-фторбензил)-8-метилпиридо[2,3-d]пиримидин-7(8H)-она Смесь сульфона 9 (0,36 г, 1,03 ммоля) и бензиламина (0,35 мл, 3 ммоля) в 0,3 мл 1-метил-2-пирролидинона перемешивали при 80°С в течение 1 часа и затем охлаждали до комнатной температуры. Прибавляли диэтиловый эфир (2 мл) и суспензию перемешивали 30 минут. Фильтровали и тщательно промывали осадок диэтиловым эфиром, затем сушили, получали свободный амин. Последний растворяли в метаноле (1-2 мл) и прибавляли раствор (1М, избыток) соляной кислоты в диэтиловом эфире. Упаривали при пониженном давлении, затем перемешивали с диэтиловым эфиром/метанолом (1-3 мл), получали осадок. Это твердое вещество выделяли путем фильтрации и сушили, получали 0,193 г хлористоводородной соли (МС: М+1=375). Пример 65: Получение 6-(2-фторфенокси)-8-метил-2-[(1-фенилпропил)амино]пиридо[2,3-d]пиримидин-7(8Н)-она Смесь сульфона 2 (0,1 г, 0,286 ммоля), Пример 66: Получение 6-(2-фторфенокси)-8-метил-2-[(пиридин-2-илметил)-амино]пиридо[2,3-d]пиримидин-7(8Н)-она Смесь сульфона 2 (0,05 г, 0,143 ммоля), пиридин-2-илметиламина (0,154 г, 1,42 ммоля) в 0,2 мл хлороформа нагревали при 65°С в течение 12 часов. Реакционную смесь охлаждали и растворители удаляли путем выпаривания. Прибавляли метанол/воду (90/10, 1 мл) и образовывался осадок. Продукт промывали водой, растворяли в хлористом метилене и упаривали, получали амин (0,035 г, МС: М+1=378). Пример 67: Получение 6-(2-фторфенокси)-2-[(3-фурилметил)амино]-8-метилпиридо[2,3-d]пиримидин-7(8H)-она Смесь сульфона 2 (0,05 г, 0,143 ммоля), 3-фурилметиламина (0,023 г, 0,23 ммоля) в 0,2 мл хлороформа нагревали при 65°С в течение 12 часов. Реакционную смесь охлаждали и растворители удаляли путем выпаривания. Прибавляли метанол/воду (90/10, 1 мл) и образовывался осадок. Продукт промывали водой, растворяли в хлористом метилене и упаривали, получали амин (0,042 г, МС: М+1=367). Пример 68: Получение 8-метил-6-фенокси-2-[(2-фенилэтил)амино]пиридо[2,3-d]пиримидин-7(8Н)-она Смесь сульфона 1 (0,33 г, 1 ммоль) и фенетиламина (0,380 мл, 3 ммоля) в 0,5 мл 1-метил-2-пирролидинона перемешивали при 110°С в течение 12 часов и затем охлаждали до комнатной температуры. Прибавляли метанол (2 мл) и суспензию перемешивали 30 минут. Фильтровали и тщательно промывали осадок метанолом, затем сушили, получали свободный амин. Последний суспендировали в метаноле (1-2 мл) и прибавляли раствор соляной кислоты в диэтиловом эфире (1М, 2 мл). Выделяли твердое вещество путем фильтрации и сушили, получали 0,127 г хлористоводородной соли (МС: М+1=373, tпл 211,8-213°C). Пример 69: Получение 6-(2-хлорфенокси)-8-метил-2-[(2-фенилэтил)амино]-пиридо[2,3-d]пиримидин-7(8Н)-она Смесь сульфона 6 (0,365 г, 1 ммоль) и фенетиламина (0,4 мл, 3,3 ммоля) в 0,4 мл 1-метил-2-пирролидинона перемешивали при 80°С в течение 1 часа и затем охлаждали до комнатной температуры. Прибавляли диэтиловый эфир (2-3 мл), но осадок не выпадал. Поэтому растворители удаляли путем выпаривания при пониженном давлении, прибавляли воду (5 мл) и этилацетат (5 мл). Реакционную смесь распределяли между двумя слоями и водный слой удаляли. Раствор в этилацетате сушили (насыщенный раствор соли, сульфат магния) и упаривали до получения остатка. К остатку прибавляли диэтиловый эфир (2-3 мл) и образовывался осадок. Фильтровали, промывали дополнительным количеством диэтилового эфира и сушили, получали свободный амин. Это твердое вещество суспендировали в метаноле (1-3 мл), прибавляли раствор соляной кислоты в диэтиловом эфире (1М, избыток) и реакционную смесь перемешивали 30 минут. Фильтровали, промывали диэтиловым эфиром и сушили, получали 0,321 г хлористоводородной соли (МС: М+1=407, tпл 210-211°С). Пример 70: Получение этилового эфира 4-{[6-(2,4-дифторфенокси)-8-метил-7-оксо-7,8-дигидропиридо[2,3-d]пиримидин-2-ил]амино}пиперидин-1-карбоновой кислоты Смесь сульфона 5 (1,0 г, 2,72 ммоля) и этилового эфира 4-амино-1-пиперидин-карбоновой кислоты (0,93 мл, 5,44 ммоля) в 5 мл 1-метил-2-пирролидинона перемешивали при 80°С в течение 17 часов и затем охлаждали до комнатной температуры. Прибавляли воду (200 мл) и суспензию перемешивали в течение ночи. После фильтрации и тщательной промывки осадка метанолом, а затем сушки получали свободный амин. Часть этого продукта (0,100 г, 0,216 ммоля) растворяли в метаноле (1-2 мл) и прибавляли раствор соляной кислоты в диэтиловом эфире (1М, 1 экв.). Твердое вещество выделяли путем фильтрации, затем промывали диэтиловым эфиром и сушили, получали 0,317 г хлористоводородной соли (МС: М+1=462, tпл 197,0-204,0°C). Пример 71: Получение 8-метил-2-{[3-(4-метилпиперазин-1-ил)пропил]амино}-6-феноксипиридо[2,3-d]пиримидин-7(8Н)-она Смесь сульфона 1 (0,33 г, 1 ммоль) и 1-(3-аминопропил)-4-метилпиперазина (0,51 мл, 3 ммоля) в 0,5 мл 1-метил-2-пирролидинона перемешивали при 110°С в течение 12 часов и затем охлаждали до комнатной температуры. Прибавляли метанол (2 мл) и суспензию перемешивали 30 минут. Фильтровали и тщательно промывали осадок метанолом, затем сушили, получали свободный амин. Последний суспендировали в метаноле (1-2 мл) и прибавляли раствор соляной кислоты в диэтиловом эфире (1М, 2 мл). Твердое вещество выделяли путем фильтрации и сушили, получали 0,183 г хлористоводородной соли (МС: М+1=409, tпл 180,2-182,2°С). Пример 72: Получение 6-(2-хлорфенокси)-8-метил-2-{[3-(4-метилпиперазин-1-ил)пропил]амино}пиридо[2,3-d]пиримидин-7(8Н)-она Смесь сульфона 6 (0,38 г, 1 ммоль) и 1-(3-аминопропил)-4-метилпиперазина (0,46 мл, 2,9 ммоля) в 0,4 мл 1-метил-2-пирролидинона перемешивали при 80°С в течение 1 часа и затем охлаждали до комнатной температуры. Прибавляли диэтиловый эфир (2 мл) и суспензию перемешивали 2 часа. Фильтровали и тщательно промывали осадок диэтиловым эфиром, затем сушили, получали свободный амин. Последний суспендировали в метаноле (1-2 мл), прибавляли раствор соляной кислоты в диэтиловом эфире (1М, избыток) и реакционную смесь перемешивали 30 минут. Выпаривание органических примесей, а затем прибавление диэтилового эфира/метанола (1-2 мл) приводило к осадку. Это твердое вещество выделяли при фильтрации и сушили, получали 0,44 г хлористоводородной соли (МС: М+1=443, tпл 233,9-235,5°С). Пример 73: Получение 2-анилино-6-(4-фторбензил)-8-метилпиридо[2,3-d]пиримидин-7(8Н)-она Смесь сульфона 9 (0,4 г, 1,15 ммоля) и анилина (0,4 мл, 4,3 ммоля) в 0,4 мл 1-метил-2-пирролидинона перемешивали при 110°С в течение 12 часов и затем охлаждали до комнатной температуры. Прибавляли метанол (2 мл) и суспензию перемешивали 30 минут. Фильтровали и тщательно промывали осадок метанолом, затем сушили, получали свободный амин. Последний суспендировали в метаноле (1-2 мл), прибавляли раствор соляной кислоты в диэтиловом эфире (1М, избыток) и реакционную смесь перемешивали 30 минут. Твердое вещество выделяли при фильтрации, промывали диэтиловым эфиром и сушили, получали 0,167 г хлористоводородной соли (МС: М+1=361, tпл 243,1-246,3°С). Пример 74: Получение 6-(4-фторфенокси)-2-[(4-фторфенил)амино]-8-метил-пиридо[2,3-d]пиримидин-7(8Н)-она Смесь 6-(4-фторфенокси)-8-метил-2-(метилсульфонил)пиридо[2,3-d]пиримидин-7(8Н)-она (см. пример 8, замена метилового эфира 2-фторфеноксиуксусной кислоты метиловым эфиром 4-фторфеноксиуксусной кислоты стадии А и Б, 0,35 г, 1,0 ммоль) и 4-фторанилина (0,284 мл, 3 ммоля) в 0,5 мл 1-метил-2-пирролидинона перемешивали при 110°С в течение 12 часов и затем охлаждали до комнатной температуры. Прибавляли метанол (2 мл) и суспензию перемешивали 30 минут. Фильтрация и тщательная промывка осадка метанолом, а затем сушка приводили к техническому продукту, который очищали с помощью колоночной хроматографии (SiO2, CH2Cl2/MeOH – 95/5). Фракции после колонки объединяли и концентрировали при пониженном давлении, получали свободный амин. Последний суспендировали в этилацетате (1-2 мл) и прибавляли раствор соляной кислоты в диэтиловом эфире (1М, 1,2 экв.). Твердое вещество выделяли путем фильтрации и сушили, получали 0,101 г хлористоводородной соли (МС: М+1=381, tпл 242,3-242,6°C). Пример 75: Получение 6-(2,6-дихлорфенокси)-2-[(4-фторфенил)амино]-8-метилпиридо [2,3-d]пиримидин-7(8Н)-она Смесь 6-(2,6-дихлорфенокси)-8-метил-2-(метилсульфонил)пиридо[2,3-d]-пиримидин-7(8Н)-она (см. пример 12, стадии А-Б (замена метилового эфира 2-фторфеноксиуксусной кислоты метиловым эфиром 2,6-дихлорфеноксиуксусной кислоты) 0,35 г, 1 ммоль) и 4-фторанилина (0,284 мл, 3 ммоля) в 0,5 мл 1-метил-2-пирролидинона перемешивали при 110°С в течение 12 часов и затем охлаждали до комнатной температуры. Прибавляли метанол (2 мл) и суспензию перемешивали 30 минут. Фильтрация и тщательная промывка осадка метанолом, а затем сушка приводили к техническому продукту, который очищали с помощью колоночной хроматографии (SiO2, CH2Cl2/MeOH – 95/5). Фракции после колонки объединяли и концентрировали при пониженном давлении, получали свободный амин. Последний суспендировали в этилацетате (1-2 мл) и прибавляли раствор соляной кислоты в диэтиловом эфире (1М, 1,2 экв.). Твердое вещество выделяли путем фильтрации и сушили, получали 0,131 г хлористоводородной соли (МС: М+1=430, tпл 248,2-249,1°С). Пример 76: Получение 6-(4-фторбензил)-2-[(4-фторфенил)амино]-8-метил-пиридо[2,3-d]пиримидин-7(8Н)-она Смесь сульфона 9 (0,36 г, 1 ммоль) и 4-фторанилина (0,8 мл, 7,2 ммоля) в 0,4 мл 1-метил-2-пирролидинона перемешивали при 110°С в течение 12 часов и затем охлаждали до комнатной температуры. Прибавляли метанол (2 мл) и суспензию перемешивали 30 минут. Фильтрация и тщательная промывка осадка метанолом, а затем сушка приводили к техническому продукту. Этот продукт суспендировали в метаноле (1-2 мл) и прибавляли раствор соляной кислоты в диэтиловом эфире (1М, избыток) и реакционную смесь перемешивали 1 час. Твердое вещество выделяли путем фильтрации, промывали диэтиловым эфиром и сушили, получали 0,207 г хлористоводородной соли (МС: М+1=379, tпл 246-250°С). Пример 77: Получение 2-{[4-(2-гидроксиэтил)фенил]амино}-8-метил-6-феноксипиридо[2,3-d]пиримидин-7(8Н)-она Смесь сульфона 1 (0,331 г, 1 ммоль) и 2-(4-аминофенил)этанола (0,411 г, 3 ммоля) в 0,5 мл 1-метил-2-пирролидинона перемешивали при 110°С в течение 12 часов и затем охлаждали до комнатной температуры. Прибавляли метанол (2 мл) и суспензию перемешивали 30 минут. Фильтровали и тщательно промывали осадок метанолом, затем сушили, получали свободный амин. Последний суспендировали в метаноле (1-2 мл) и прибавляли раствор соляной кислоты в диэтиловом эфире (1М, 1,5 мл), реакционную смесь перемешивали 30 минут. Твердое вещество выделяли при фильтрации и сушили, получали 0,127 г хлористоводородной соли (МС: М+1=389). Пример 78: Получение 6-(6-хлорфенокси)-2-({4-[2-(диэтиламино)этокси]фенил}амино)-8-метилпиридо[2,3-d]пиримидин-7(8Н)-она Смесь сульфона 6 (0,4 г, 1,1 ммоля) и 4-(2-диэтиламиноэтокси)анилина (0,8 г, 3,8 ммоля) в 0,5 мл 1-метил-2-пирролидинона перемешивали при 110°С в течение 12 часов и затем охлаждали до комнатной температуры. Прибавляли метанол/воду (9/1, 1-2 мл) и суспензию перемешивали 30 минут. Фильтровали и тщательно промывали осадок водой, затем сушили и получали технический продукт, который очищали с помощью колоночной хроматографии (SiO2, CH2Cl2/MeOH – 95/5). Соответствующие фракции после колонки объединяли и концентрировали при пониженном давлении, получали свободный амин. Последний суспендировали в метаноле (1-2 мл), прибавляли раствор соляной кислоты в диэтиловом эфире (1М, избыток) и реакционную смесь перемешивали 30 минут. После выпаривания органических примесей, последующего прибавления диэтилового эфира/метанола (1-2 мл) получали осадок. Это твердое вещество выделяли путем фильтрации и сушили, получали 0,16 г хлористоводородной соли (МС: М+1=494, tпл 255,5-261,4°С). Пример 79: Получение 2-({4-[2-(диэтиламино)этокси]фенил}амино)-6-(4-фторфенокси)-8-метилпиридо[2,3-d]пиримидин-7(8Н)-она Смесь 6-(4-фторфенокси)-8-метил-2-(метилсульфонил)пиридо[2,3-d]пиримидин-7(8Н)-она (см. пример 8 – стадии А-Б, 0,35 г, 1 ммоль) и 4-(2-диэтиламиноэтокси)-анилина (0,625 г, 3 ммоля) в 0,5 мл 1-метил-2-пирролидинона перемешивали при 110°С в течение 12 часов и затем охлаждали до комнатной температуры. Прибавляли метанол (2 мл) и суспензию перемешивали 30 минут. Фильтровали и тщательно промывали осадок метанолом, затем сушили, получали свободный амин. Последний суспендировали в этилацетате (1-2 мл) и прибавляли раствор соляной кислоты в диэтиловом эфире (1М, 1,2 экв.) и реакционную смесь перемешивали 30 минут. Твердое вещество выделяли при фильтрации и сушили, получали 0,085 г хлористоводородной соли (МС: М+1=478, tпл 245,2-246,1°С). Пример 80: Получение 6-(2-фторфенокси)-2-[(3-гидроксипиридин-2-ил)амино]-8-метилпиридо[2,3-d]пиримидин-7(8Н)-она Смесь сульфона 2 (0,05 г, 0,143 ммоля), 2-аминопиридин-3-ола (0,047 г, 0,43 ммоля) в 0,1 мл 1-метил-2-пирролидинона нагревали при 80°С в течение 3 часов. Реакционную смесь охлаждали, прибавляли метанол/воду (90/10, 1 мл) и образовывался осадок. Продукт промывали водой, растворяли в хлористом метилене, фильтровали через осушающий агент (сульфат магния) и упаривали, получали амин (0,040 г, МС: М+1=380). Пример 81: Получение 6-(2-фторфенокси)-8-метил-2-[(5-метилпиридин-2-ил)амино]пиридо[2,3-d]пиримидин-7(8Н)-она К раствору хлористоводородной соли 5-метилпиридин-2-амина (0,025 г, 0,17 ммоля) в 2 мл хлороформа при комнатной температуре прибавляли моногидрат гидроокиси бария (0,16 г, 0,86 ммоля). Все перемешивали в течение 1 часа, фильтровали и упаривали при пониженном давлении. К остатку прибавляли сульфон 2 (0,05 г, 0,143 ммоля) в 1 мл хлороформа, температуру реакционной смеси доводили до 65°С и перемешивали 24 часа. Смесь охлаждали и растворители удаляли путем выпаривания. Прибавляли метанол/воду (90/10, 1 мл) и образовывался осадок. Продукт промывали метанолом/водой, растворяли в хлористом метилене и упаривали, получали амин (0,034 г, М+1=378). Пример 82: Получение 2-(бензилтио)-6-(4-фторфенокси)пиридо[2,3-d]-пиримидин-7-амина: Стадия А: Получение (4-фторфенокси)ацетонитрила: Иодацетонитрил (2,14 мл, 29 ммолей) прибавляли к суспензии 4-фторфенола (3,0 г, 27 ммолей) и карбоната калия (4,85 г, 35 ммолей) в 10 мл диметилформамида. Реакционную смесь нагревали при 60°С в течение 15 часов, затем смесь охлаждали, разбавляли водой и экстрагировали этилацетатом-гексаном (1:1, 150 мл, 3х). Органические растворы объединяли и промывали водой (200 мл, 2х), сушили (насыщенный раствор соли, сульфат магния). Растворитель удаляли при пониженном давлении, получали 4,1 г продукта. Стадия Б: Получение 2-(бензилтио)-6-(4-фторфенокси)пиридо[2,3-d]пиримидин-7-амина: Смесь нитрила (полученного на стадии А, 1,83 г, 12 ммолей), аминопиримидин-альдегида (2,48 г, 10 ммолей) и карбоната калия (7,0 г, 50 ммолей) в 30 мл диметилформамида нагревали на масляной бане при 120°С в течение 4 часов. Смесь охлаждали, разбавляли водой и экстрагировали этилацетатом (125 мл, 3х). Органические растворы объединяли и промывали водой (120 мл, 3х), сушили (насыщенный раствор соли, сульфат магния) и фильтровали через короткую колонку, заполненную двуокисью кремния. Растворитель удаляли при пониженном давлении и технический продукт очищали с помощью колоночной хроматографии (SiO2, MeOH/CH2Cl2, 80/20 – 95/5), получали 1,3 г продукта (МС: М+1=379, tпл 186,2-192,2°С). Замещение бензилтиогруппы (или соответствующего сульфоксида или сульфона) амином R1NH2, как описано ранее, приводит к соединениям формулы II, где R8 и R9 оба означают водород. Дальнейшее алкилирование, ацилирование, сульфонилирование, восстановительное аминирование и т.д. приводили к соединениям формулы II, где R8 и R9 являются такими, как описано в кратком изложении сущности изобретения. Пример 83: Получение 6-(2,4-дифторфенокси)-2-(бензилтио)пиридо[2,3-d]-пиримидин-7(8Н)-она Стадия А: Получение 4-амино-2-бензилтиопиримидин-5-карбоксальдегида К 1 М раствору алюмогидрида лития /LAH/ (185 мл, 185 ммолей) в диэтиловом эфире прибавляли по каплям раствор эфира 4-амино-2-бензилтиопиримидин-5-карбоновой кислоты (46 г, 159 ммолей) в 500 мл безводного тетрагидрофурана в течение 1,5 часов при 0°С. Реакционную смесь медленно нагревали до температуры окружающей среды и затем охлаждали до 0°С, прежде, чем реакцию медленно останавливали прибавлением 7 мл воды, 7 мл 2 М раствора гидроокиси натрия, затем 14 мл воды. Полученную в результате суспензию фильтровали и осадок на фильтре промывали этилацетатом 2×300 мл. Собранные фракции концентрировали, получали 45,7 г 4-амино-2-бензилтиопиримидин-5-метанола в виде твердого вещества белого цвета. Суспензию полученного выше 4-амино-2-бензилтиопиримидин-5-метанола (45,7 г) в 800 мл хлористого метилена обрабатывали порошком активированной двуокиси марганца (87 г). Реакционную смесь перемешивали 18 часов, затем фильтровали через слой целита. Осадок на фильтре несколько раз промывали раствором горячего хлористого метилена и метанола. Объединенные фракции концентрировали и получали 25 г 4-амино-2-бензилтиопиримидин-5-карбоксальдегида в виде твердого вещества белого цвета. Стадия Б: Получение 6-(2,4-дифторфенокси)-2-(бензилтио)пиридо[2,3-d]-пиримидин-7(8Н)-она: К смеси 4-амино-2-бензилтиопиримидин-5-карбоксальдегида (19,5 г, 80 ммолей) и метилового эфира 2,4-дифторфеноксиуксусной кислоты (25,6 г, 119 ммолей) в N-метилпирролидоне (NMP) (50 мл) прибавляли карбонат калия (16,5 г, 119 ммолей). Смесь нагревали при 80-90°С в течение двух дней и охлаждали до комнатной температуры. Смесь прибавляли к охлажденной до температуры льда воде (1000 г) и перемешивали 1 час. Твердое вещество отфильтровывали, промывали водой и диэтиловым эфиром и сушили, получали 27 г сульфида (МС: М+1=398, tпл 240-244°C). Пример 84: Получение 1-трет-бутил-3-[6-(2,4-дифторфенокси)-2-(тетрагидро-пиран-4-иламино)пиридо[2,3-d]пиримидин-7-ил]мочевины Стадия А: Получение 1-трет-бутил-3-[6-(2,4-дифторфенокси)-2-метилсульфанил-пиридо[2,3-d]пиримидин-7-ил]мочевины: К раствору амина IIIe (полученного аналогичным описанному в примере 82 способом) (0,32 г, 1,0 ммоль) в 5 мл 1-метил-2-пирролидинона при комнатной температуре прибавляли гидрид натрия (60%, 0,04 г, 1,0 ммоль). Смесь перемешивали при комнатной температуре 1 час. Прибавляли по каплям в течение трех минут трет-бутилизоцианат (0,01 г, 0,11 мл, 1,0 ммоль). Раствор темно-коричневого цвета затем перемешивали еще два часа и выливали в 50 мл 1М HCl, экстрагировали этилацетатом (2х, 50 мл). Объединенные растворы в этилацетате промывали водой (3х, 75 мл) и сушили (насыщенный раствор соли, сульфат магния). Выпаривание растворителя и очистка продукта с помощью колоночной хроматографии на силикагеле при элюировании 10% этилацетатом в дихлорметане приводили к 0,164 г желаемого сульфида. Стадия Б: Получение 1-трет-бутил-3-[6-(2,4-дифторфенокси)-2-метансульфонилпиридо[2,3-d]пиримидин-7-ил]мочевины: К раствору сульфида (0,164 г, 0,4 ммоля) в дихлорметане (50 мл) прибавляли мета-хлорнадбензойную кислоту (77% макс., 0,19 г, 0,88 ммоля) при 5°С. Смесь затем перемешивали при комнатной температуре 15 часов и выливали в 10%-ный водный раствор бисульфита натрия. Органический раствор затем промывали 10%-ным водным раствором бикарбоната натрия и сушили (насыщенный раствор соли, сульфат магния). После выпаривания растворителя получали 0,176 г сульфона (МС: М+1=452). Стадия В: Получение 1-трет-бутил-3-[6-(2,4-дифторфенокси)-2-(тетрагидро-пиран-4-иламино)пиридо[2,3-d]пиримидин-7-ил]мочевины: Раствор сульфона (0,17 г, 0,4 ммоля) и 4-аминотетрагидропирана (0,24 г, 2,3 ммоля) в 2 мл 1-метил-2-пирролидинона нагревали при 80°С в течение трех часов. Реакционную смесь охлаждали, выливали в воду и экстрагировали этилацетатом (2х, 50 мл). Органический раствор промывали водой (5х, 50 мл) и сушили (насыщенный раствор соли, сульфат магния). Выпаривали растворитель при пониженном давлении и очищали с помощью колоночной хроматографии (SiO2, СН2Cl2/этилацетат 50/50), получали 0,123 г желаемого продукта (МС: М+1=473, tпл 195-201°C). Пример 85: Получение Н-[6-(2,4-дифторфенокси)-2-(тетрагидропиран-4-ил-амино)пиридо[2,3-d]пиримидин-7-ил]метансульфамида Стадия А: Получение N-[6-(2,4-дифторфенокси)-2-метилсульфанилпиридо[2,3-d]пиримидин-7-ил]метансульфамида К суспензии амина IIIe (полученного способом, аналогичным описанному в примере 82) (0,32 г, 1,0 ммоль) в 10 мл дихлорметана при 5°С прибавляли по каплям триметилалюминиевый реагент (2 М в толуоле, 0,5 мл, 1,0 ммоль). Темный раствор перемешивали 30 минут при температуре окружающей среды. Прибавляли ангидрид метансульфокислоты (0,174 г, 1,0 ммоль) и раствор кипятили с обратным холодильником. За ходом реакции следили с помощью ТСХ, для завершения реакции требовалось прибавление дополнительного количества ангидрида метансульфокислоты. Всего было прибавлено 3,6 эквивалента ангидрида и после 5 часов кипячения с обратным холодильником реакционную смесь выливали в водный 1М раствор соляной кислоты (50 мл) и экстрагировали этилацетатом (2х, 50 мл). Раствор сушили (насыщенный раствор соли, сульфат магния) и после упаривания вещество очищали с помощью колоночной хроматографии (SiO2, CH2Cl2/MeOH – 97/3), получали 0,164 г сульфамид-сульфида (МС: М+1=399). Стадия Б: N-[6-(2,4-Дифторфенокси)-2-(тетрагидропиран-4-ил-амино)пиридо[2,3-d]пиримидин-7-ил]метансульфамид К раствору сульфамид-сульфида (0,164 г, 0,4 ммоля) в 20 мл дихлорметана прибавляли мета-хлорнадбензойную кислоту (0,2 г, 0,9 ммоля). Реакционную смесь перемешивали при комнатной температуре 15 часов и промывали 10%-ным водным раствором бисульфита натрия, сушили (насыщенный раствор соли и сульфат магния). (Внимание: не промывать бикарбонатом натрия, сульфон чувствителен к основанию). Растворитель выпаривали при пониженном давлении и полученный сульфамид-сульфон (0,4 ммоля) и 4-аминотетрагидропиран (0,5 г) в 1,0 мл 1-метил-2-пирролидинона нагревали при 100°С в течение 12 часов, после чего растворитель выпаривали в высоком вакууме и вещество очищали с помощью колоночной хроматографии (SiO2, СН2Cl2/МеОН – 97/3), получали 90 мг желаемого продукта (МС: М+1=452, tпл 199-204°С). Пример 86: Получение 6-(2,4-дифторфенокси)-2-{[(1S)-2-фтор-1,2-диметил-пропил]амино}-8-метилпиридо[2,3-d]пиримидин-7(8Н)-она К соединению, полученному в примере 53 (свободное основание, 0,28 г), в хлористом метилене (5 мл) прибавляли при -78°С диэтиламиносератрифторид (DAST) (Aldrich, 0,14 мл). Реакционную смесь медленно нагревали до комнатной температуры. Ее распределяли между хлористым метиленом и водой. Органический слой отделяли и промывали насыщенным водным раствором карбоната натрия, сушили и концентрировали, получали технический продукт. После проведения препаративной ТСХ (силикагель, 45% этилацетат/гексаны) получали чистый продукт (0,16 г). Продукт превращали в хлористоводородную соль при обработке 1М HCl в диэтиловом эфире, получали RO3310297-001 (МС:М+1=393, tпл 196-197,2°C). Пример 87: Получение 6-(2,4-дифторфенокси)-2-{[(1S)-2-гидрокси-1,2-диметилпропил]амино}-8-изопропилпиридо[2,3-d]пиримидин-7(8Н)-она Стадия А: Получение 6-(2,4-дифторфенокси)-8-изопропил-2-фенилметан-сульфонил-8Н-пиридо[2,3-d]пиримидин-7-она Вышеуказанный сульфид (2,2 г, 5,5 ммоля), карбонат калия (0,84 г, 6,1 ммоля) и 2-иодпропан (0,58 мл, 5,8 ммоля) в безводном диметилформамиде (5 мл) перемешивали при комнатной температуре в течение ночи. Водная обработка приводила к техническому сульфиду. Последний растворяли в тетрагидрофуране (50 мл) и обрабатывали оксоном Стадия Б: Получение 6-(2,4-дифторфенокси)-2-{[(1S)-2-гидрокси-1,2-диметилпропил]амино}-8-изопропилпиридо[2,3-d]пиримидин-7(8Н)-она Полученный выше сульфон (0,93 г, 2,05 ммоля), хлористоводородная соль (3S)-3-амино-2-метилбутан-2-ола (0,54 г, 4 ммоля) и триэтиламин (1 мл) в изопропиловом спирте (10 мл) кипятили с обратным холодильником 10 часов. Водная обработка приводила к техническому продукту. После колоночной хроматографии (силикагель, 35%-45% этилацетат/гексаны) получали чистый продукт (0,386 г). Продукт превращали в его хлористоводородную соль при обработке 1М HCl (в диэтиловом эфире) и перекристаллизовывали из изопропилового спирта, получали RО3310294-001 (0,29 г) (МС: М+1=419, tпл 200-202°С). Пример 88: Получение 6-(2,4-дифторфенокси)-8 метил-2-(тетрагидро-2Н-пиран-4-иламино)пиридо[2,3-d]пиридин-7(8Н)-она Стадия А: Получение этилового эфира 6-хлор-4-метиламиноникотиновой кислоты Этиловый эфир 4,6-дихлор-3-никотиновой кислоты (индивидуальные образцы, 7,37 г, 33,5 ммоля) перемешивали с водным метиламином (40%, 14,5 мл) в ацетонитриле (50 мл) при 0-5°С, а затем при комнатной температуре 6 часов. Смесь концентрировали и прибавляли этилацетат. Органический слой промывали насыщенным раствором соли (2х), сушили и упаривали, получали желаемый продукт (7,12 г; tпл 61,4-63,1°С). Стадия Б: Получение 6-хлор-4-метиламинопиридин-3-карбоксальдегида К полученному выше сложному эфиру (7,1 г, 33,2 ммоля) в тетрагидрофуране (100 мл) медленно прибавляли алюмогидрид лития (1,0 М в ТГФ, 70 мл) при -78°С и перемешивали 3 часа. Температура медленно поднималась до -10°С и результаты ТСХ указывали на то, что сложный эфир весь израсходован. Прибавляли метанол/этилацетат (по 5 мл каждого) для разложения избытка алюмогидрида лития и смесь нагревали до комнатной температуры. Прибавляли воду (50 мл) и этилацетат (500 мл) и фильтровали через слой целита. Фильтрат отделяли и сушили. Технический продукт затем очищали с помощью колоночной хроматографии (силикагель, 40-75% EtOAc/гексаны и затем 5% MeOH/CH2Cl2), получали 3,3 г твердого вещества (МС: М+1=173,1, tпл 168,8-169,6°С). Полученный спирт (3,2 г) перемешивали с двуокисью марганца (16,2 г) в хлористом метилене (800 мл) при комнатной температуре два часа. Смесь фильтровали через слой целита и промывали этилацетатом. Фильтрат концентрировали, получали альдегид (2,8 г, tпл 77,2-80,8°С). Стадия В: Получение 7-хлор-3-(2,4-дифторфенокси)-1-метил-1Н-[1,6]нафтиридин-2-она Альдегид, полученный выше (1,8 г), нагревали с метиловым эфиром 2,4-дифторфеноксиуксусной кислоты (4,1 г) и карбонатом калия (4,1 г) в N-метилпирролидоне (20 мл) при 70°С в течение двух дней. Прибавляли этилацетат (200 мл) и промывали насыщенным раствором соли (3х), сушили и концентрировали, получали технический продукт. Растирали с гексанами, получали 3,07 г твердого вещества белого цвета (МС: М+1=323, tпл 168-170,5°C). Стадия Г: Получение 6-(2,4-дифторфенокси)-8 метил-2-(тетрагидро-2Н-пиран-4-иламино)пиридо[2,3-d]пиридин-7(8Н)-она Полученный выше продукт (2,06 г, 6,4 ммоля) нагревали с 4-амино-тетрагидропираном (3,4 г, 33,6 ммоля) при 150-160°С в течение трех дней. Смесь охлаждали до комнатной температуры и перемешивали с этилацетатом (200 мл) и насыщенным раствором соли (50 мл). Органический слой отделяли, сушили и концентрировали. Полученный технический продукт очищали с помощью колоночной хроматографии (40-60% EtOAc/гексаны), получали 1,65 г твердого вещества. Последнее растворяли в хлористом метилене/метаноле (по 5 мл каждого) и обрабатывали 4,5 мл 1 М HCl в диэтиловом эфире. Растворители удаляли и полученное в результате твердое вещество перекристаллизовывали из изопропилового спирта, получали 1,3 г кристаллов белого цвета (МС: М+1=388,2, tпл 237,5-239°C). Пример 89: Получение 8-амино-6-(2,4-дифторфенокси)-2-(тетрагидропиран-4-иламино)-8Н-пиридо[2,3-d]пиримидин-7-она Стадия А: Получение 8-амино-2-бензилсульфанил-6-(2,4-дифторфенокси)-8Н-пиридо[2,3-d]пиримидин-7-она К раствору сульфида (см. пример 83 для получения) (2,67 г, 6,72 ммоля) в диметилформамиде (120 мл) при 0°С прибавляли при перемешивании в один прием 60% NaH (375 мг, 1,4 экв.). Полученную в результате смесь перемешивали при 0°С в течение 30 минут. Затем прибавляли в один прием дифенилфосфинил-O-гидроксиламин (Tet. Let., том 23, №37, 3835-3836, 1982) (2,34 г, 1,5 экв.). Примерно через одну минуту смесь становилась густой и трудноперемешиваемой. Анализ с помощью ТСХ показывал, что весь исходный сульфид израсходован. К реакционной смеси прибавляли этилацетат (650 мл) и воду (250 мл), распределяли и разделяли слои. Этилацетатный слой далее промывали водой (4×200 мл) и затем в конце промывали насыщенным раствором соли (1×200 мл). Органический слой сушили над сульфатом магния, фильтровали и концентрировали. Выдерживали при работе вакуумного насоса в высоком вакууме и получали гидразидосульфид в виде порошкообразного вещества темно-коричневого цвета (2,683 г, (М+Н)+=413, tпл 179,3-182,3°C). Стадия Б: Получение 8-амино-6-(2,4-дифторфенокси)-2-(тетрагидропиран-4-иламино)-8Н-пиридо[2,3-d]пиримидин-7-она К сульфиду (820 мг, 1,99 ммоля) и 4-аминотетрагидропирану (500 мг, 2,5 экв.) прибавляли N-метилпирролидон (0,8 мл) и полученную в результате смесь нагревали при перемешивании при 150°С в течение 24 часов. По данным ТСХ исходный гидразидосульфид был израсходован. Прибавляли этилацетат (175 мл) и воду (50 мл), распределяли и затем слои разделяли. Водный слой далее экстрагировали этилацетатом (100 мл) и объединенные этилацетатные слои промывали водой (2×200 мл). Наконец, органический слой промывали насыщенным раствором соли (1×150 мл) и затем этилацетатный слой сушили над сульфатом магния, фильтровали и концентрировали, получали 882 г технического продукта. Очистка с помощью препаративной ТСХ при элюировании 6% метанолом в дихлорметане приводила к свободному амину в виде порошка темно-коричневого цвета (44 мг). Свободный амин растворяли в дихлорметане (15 мл) и затем прибавляли 1 М HCl в диэтиловом эфире (0,17 мл, 1,5 экв.) при перемешивании. Перемешивали 5 минут и затем растворитель удаляли при пониженном давлении при 50°С. Сушили в высоком вакууме при 56°С в течение 24 часов, получали желаемый продукт (43 мг, (М+Н)+=390) в виде порошка желтовато-коричневого цвета. Пример 90: Получение 6-(2,4-дифторфенокси)-8-изопропиламино-2-(тетрагидропиран-4-иламино)-8Н-пиридо[2,3-d]пиримидин-7-она Стадия А: Получение 2-бензилсульфанил-6-(2,4-дифторфенокси)-8-изопропиламино-8Н-пиридо[2,3-d]пиримидин-7-она: К гидразидосульфиду (300 мг, 0,73 ммоля) в метаноле (70 мл) и уксусной кислоте (16 мл) прибавляли ацетон (0,16 мл), а затем цианборгидрид натрия (55 мг, 1,2 экв.). Полученную в результате смесь перемешивали при комнатной температуре 24 часа. На следующий день реакционную смесь выливали в насыщенный раствор бикарбоната натрия (100 мл) и затем экстрагировали этилацетатом (2×100 мл). Экстракты в этилацетате промывали насыщенным раствором соли (1×150 мл) и затем сушили над сульфатом магния, фильтровали и концентрировали, получали 323 мг технического продукта. Очистка с помощью препаративной ТСХ при элюировании 30% этилацетатом в гексанах приводила к желаемому соединению (64 мг, (М+Н)+=455). Стадия Б: Получение 2-бензилсульфинил-6-(2,4-дифторфенокси)-8-изопропиламино-8Н-пиридо[2,3-d]пиримидин-7-она: К N-изопропилгидразидосульфиду (64 мг, 0,141 ммоля) в тетрагидрофуране(10 мл) при 0°С при перемешивании прибавляли по каплям раствор оксона (130 мг, 1,5 экв.) в воде (10 мл). По окончании прибавления полученную в результате смесь перемешивали в течение ночи при температуре от 0°С до комнатной. На следующий день по данным ТСХ реакция была завершена. Прибавляли этилацетат (75 мл) и воду (25 мл) и затем распределяли и разделяли слои. Далее промывали водой (2×25 мл) и в конце насыщенным раствором соли (1×75 мл). Органический слой сушили над сульфатом магния, фильтровали, концентрировали и сушили с помощью насоса, получали N-изопропилгидразидосульфоксид (74 мг, (М+Н)+=471). Стадия В: Получение 6-(2,4-дифторфенокси)-8-изопропиламино-2-(тетрагидропиран-4-иламино)-8Н-пиридо[2,3-d]пиримидин-7-она: Сульфоксид (74 мг, 0,157 ммоля), 4-аминотетрагидропиран (80 мг, 5 экв.) и N-метилпирролидон (0,1 мл) смешивали и нагревали при 80°С при перемешивании в течение 30 минут. По данным ТСХ реакция была завершена, охлаждали до комнатной температуры. Прибавляли этилацетат (35 мл) и воду (25 мл) и затем распределяли и разделяли слои. Органический слой затем промывали водой (2×25 мл) и в конце насыщенным раствором соли (1×25 мл). Затем этилацетатный слой сушили над сульфатом магния, фильтровали и концентрировали. Сушили с помощью насоса в высоком вакууме, получали 75 мг технического продукта. Очистка с помощью препаративной тонкослойной хроматографии при элюировании 75% этилацетата в гексанах приводила к желаемому соединению в виде свободного амина (39 мг). Свободный амин растворяли в дихлорметане (5 мл) и при перемешивании прибавляли 1 М HCl в диэтиловом эфире (0,14 мл, 1,2 экв.). Полученную в результате смесь перемешивали 5 минут. Затем растворитель удаляли при пониженном давлении при 50°С. Сушили в высоком вакууме при 56°С в течение 24 часов, получали указанное в заглавии соединение в виде не совсем белого порошка (39 мг, (M+H)+=432). Пример 91: Получение 6-(2,4-дифторфенокси)-8-[N-метил-(N-3-метилбутил)-амино]-2-(тетрагидропиран-4-иламино)-8H-пиридо[2,3-d]пиримидин-7-она Стадия А: Получение 2-бензилсульфанил-6-(2,4-дифторфенокси)-8-N-изобутиламино-8Н-пиридо[2,3-d]пиримидин-7-она К смеси гидразидосульфида (1 г, 2,52 ммоля) в метаноле (200 мл) и уксусной кислоты прибавляли изобутиральдегид (0,3 мл, 1,3 экв.), затем цианборгидрид натрия (159 мг, 1 экв.). Полученную в результате смесь перемешивали при комнатной температуре 3,5 часа. Затем прибавляли этилацетат (500 мл) и промывали насыщенным раствором бикарбоната натрия (5×200 мл) до слабощелочной реакции. В конце промывали насыщенным раствором соли (1×150 мл) и органический слой сушили над сульфатом магния, фильтровали, концентрировали и сушили с помощью насоса, получали технический продукт (1,083 г) в виде твердого вещества желтовато-коричневого цвета. Очистка с помощью флэш-хроматографии на силикагеле при элюировании 15% этилацетатом в гексанах приводила к желаемому продукту в виде пенообразного твердого вещества (487 мг, (M+H)+=469, tпл 132,1-133,9°С). Стадия Б: Получение 2-бензилсульфанил-6-(2,4-дифторфенокси)-8-(N-изобутил-N-метиламино)-8Н-пиридо[2,3-d]пиримидин-7-она К N-изобутилгидразидосульфиду (100 мг, 0,213 ммоля) в метаноле (10,5 мл) при 0°С прибавляли уксусную кислоту (3 мл), затем 37% водный формальдегид (25 мкл, 1,6 экв.) и затем цианборгидрид натрия (20 мг, 1,4 экв). Полученную в результате смесь перемешивали при температуре от 0°С до комнатной в течение ночи. На следующий день с помощью ТСХ обнаруживали только следы исходного вещества. Реакционную смесь выливали в насыщенный раствор бикарбоната натрия (150 мл) и затем экстрагировали этилацетатом (3×75 мл). Объединенные этилацетатные слои промывали насыщенным раствором соли (1×50 мл) и затем сушили над сульфатом магния, фильтровали и концентрировали. Технический продукт очищали с помощью препаративной тонкослойной хроматографии, элюируя 20% этилацетатом в гексанах, получали желаемое соединение в виде твердого пенообразного вещества (96 мг, (M+H)+=483). Стадия В: Получение 2-бензилсульфинил-6-(2,4-дифторфенокси)-8-(N-изобутил-N-метиламино)-8Н-пиридо[2,3-d]пиримидин-7-она К сульфиду (96 мг, 0,199 ммоля) в тетрагидрофуране (10 мл) при 0°С при перемешивании прибавляли по каплям раствор оксона (185 мг, 1,5 экв.) в воде (10 мл). По окончании прибавления полученную в результате смесь перемешивали при температуре от 0°С до комнатной в течение ночи. По данным ТСХ реакция кончалась на следующий день. Прибавляли этилацетат (75 мл) и промывали водой (4×30 мл), и в конце промывали насыщенным раствором соли (1×30 мл). Органический слой сушили над сульфатом магния, фильтровали и концентрировали, получали желаемое соединение в виде твердого пенообразного вещества белого цвета (95 мг, (М+Н)+=499). Стадия Г: Получение 6-(2,4-дифторфенокси)-8-[N-метил-(N-3-метилбутил)-амино]-2-(тетрагидропиран-4-иламино)-8Н-пиридо[2,3-d]пиримидин-7-она: N-Изобутил, N-метилгидразидосульфоксид (95 мг, 0,191 ммоля), 4-амино-тетрагидропиран (97 мг, 5 экв.) и N-метилпирролидон (0,1 мл) смешивали и нагревали при 80°С при перемешивании в течение 30 минут. По данным ТСХ весь исходный сульфоксид был израсходован. Охлаждали до комнатной температуры и прибавляли этилацетат (35 мл) и воду (25 мл). Распределяли и разделяли слои и затем промывали водой (2×25 мл), а затем насыщенным раствором соли (1×25 мл). Органический слой сушили над сульфатом магния, фильтровали, концентрировали и сушили с помощью насоса. Очистка с помощью препаративной тонкослойной хроматографии при элюировании 40% этилацетатом в гексанах приводила к желаемому продукту в виде свободного амина (82 мг). Свободный амин (82 мг) растворяли в дихлорметане (5 мл) и затем прибавляли 1М HCl в диэтиловом эфире (0,2 мл, 1,2 экв.). Полученную в результате смесь перемешивали 5 минут и затем растворитель удаляли при пониженном давлении при 50°С. Сушили в высоком вакууме при 56°С в течение 24 часов, получали указанное в заглавии соединение (60 мг, (М+Н)+=460) в виде не совсем белого порошка. Пример 92: Получение 6-(2,4-дифторфенокси)-8-N,N-диметиламино-2-(тетрагидропиран-4-иламино)-8Н-пиридо[2,3-d]пиримидин-7-она: Стадия А: Получение 2-бензилсульфанил-6-(2,4-дифторфенокси)-8-N,N-диметиламино-8Н-пиридо[2,3-d]пиримидин-7-она: Гидразидосульфид (1,5 г, 3,64 ммоля) растворяли в метаноле (200 мл) и уксусной кислоте (60 мл) и затем прибавляли 37% водный формальдегид (0,5 мл, 4 экв.), затем прибавляли цианборгидрид натрия (458 мг, 2 экв.). Полученную в результате смесь перемешивали при комнатной температуре в течение ночи. На следующий день оставалось еще некоторое количество исходного сульфида, поэтому прибавляли дополнительно 37% водный формальдегид (0,5 мл, 4 экв.) и реакционную смесь перемешивали при комнатной температуре еще один день. На второй день согласно данным ТСХ реакция была завершена. Прибавляли этилацетат (300 мл) и насыщенный раствор бикарбоната натрия (150 мл) и распределяли. Затем разделяли слои и промывали еще насыщенным раствором бикарбоната натрия (3×150 мл) до слабощелочной реакции. Наконец, промывали насыщенным раствором соли (1×150 мл) и органический слой сушили над сульфатом магния, фильтровали, концентрировали и сушили с помощью насоса, получали технический продукт (1,93 г). После очистки с помощью флэш-хроматографии на силикагеле при элюировании 15% этилацетатом в гексанах получали желаемый продукт в виде пенообразного твердого вещества не совсем белого цвета (740 мг, (M+H)+=441, tпл 63,0-66,0°С). Стадия Б: Получение 2-бензилсульфинил-6-(2,4-дифторфенокси)-8-N,N-диметиламино-8Н-пиридо[2,3-d]пиримидин-7-она: К сульфиду (725 мг, 1,65 ммоля) в тетрагидрофуране (30 мл) при 0°С прибавляли по каплям при перемешивании раствор оксона (1,01 г, 1 экв.) в воде (20 мл). По окончании прибавления полученную смесь перемешивали при температуре от 0°С до комнатной в течение 6 часов. Затем прибавляли этилацетат (100 мл) и промывали водой (3×50 мл), затем насыщенным раствором соли (1×50 мл). Органический слой сушили над сульфатом магния, фильтровали, концентрировали и сушили с помощью насоса, получали желаемое соединение в виде пенообразного твердого вещества белого цвета (727 мг, (М+Н)+=457, tпл 80,5-89,9°С). Стадия В: Получение 6-(2,4-дифторфенокси)-8-N,N-диметиламино-2-(тетрагидропиран-4-иламино)-8Н-пиридо[2,3-d]пиримидин-7-она: Сульфоксид (308 мг, 0,675 ммоля), 4-аминотетрагидропиран (205 мг, 3 экв.) и N-метилпирролидон (0,3 мл) смешивали и и нагревали при 80°С при перемешивании в течение 30 минут. По данным ТСХ реакция была завершена. Прибавляли этилацетат (35 мл) и воду (25 мл), распределяли и разделяли слои. Органический слой промывали водой (2×25 мл), а затем насыщенным раствором соли (1×25 мл). Сушили этилацетатный слой над сульфатом магния, фильтровали, концентрировали и сушили с помощью насоса, получали технический продукт (571 мг). Очистка с помощью препаративной тонкослойной хроматографии при элюировании 70% этилацетатом в гексанах приводила к продукту в виде свободного амина (185 мг). Свободный амин растворяли в дихлорметане (20 мл) и затем прибавляли 1М HCl в диэтиловом эфире (1,2 экв., 0,5 мл). Полученную в результате смесь перемешивали 5 минут и затем растворитель удаляли при пониженном давлении при 50°С. Сушили в высоком вакууме при 56°С в течение 24 часов, получали указанное в заглавии соединение в виде не совсем белого порошка (195 мг, (M+H)+=418, tпл 126,4-131,0°C). Пример 93: Получение 6-(2,4-дифторфениламино)-2-(2-гидрокси-1,1-диметилэтиламино)-8-метил-8Н-пиридо[2,3-d]пиримидин-7-она: Стадия А: Получение бензилового эфира (2,4-дифторфенил)карбаминовой кислоты Помещали 2,4-дифторанилин (5,06 мл, 49,6 ммоля) в раствор 10% гидроокиси натрия (76 мл). Охлаждали в бане со льдом и прибавляли бензиловый эфир хлормуравьиной кислоты (7,85 мл, 55 ммолей). После перемешивания в течение 2 часов продукт отфильтровывали, перемешивали с гексаном, сушили. Выход 9,4 г. Стадия Б: Получение метилового эфира [бензилоксикарбонил-(2,4-дифторфенил)амино]уксусной кислоты Защищенное бензилоксикарбонилом (CBZ) производное анилина (7,89 г, 30 ммолей) растворяли в 1-метил-2-пирролидиноне (NMP) и охлаждали в бане со льдом до 0°С. К этому раствору прибавляли гидрид натрия (1,3 г 60%-ной дисперсии в масле, 32,5 ммоля), все перемешивали в течение 30 минут. К этому раствору прибавляли метиловый эфир бромуксусной кислоты (3,0 мл, 31 ммоль), полученному раствору давали нагреться до комнатной температуры и перемешивали 12 часов. Прибавляли к воде и экстрагировали этилацетатом, промывали 5 раз водой, сушили (сульфатом магния) и упаривали досуха. Продукт очищали с помощью колоночной хроматографии (80:20 гексан: этилацетат), получали нужный продукт. Выход 8,2 г. Стадия В: Получение бензилового эфира (2,4-дифторфенил)(8-метил-2-метилсульфанил-7-оксо-7,8-дигидропиридо[2,3-d]пиримидин-6-ил)карбаминовой кислоты К раствору альдегида (1,69 г, 10 ммолей) в 1-метил-2-пирролидиноне и защищенного бензилоксикарбонилом производного анилина (3,5 г, 10,5 ммолей) прибавляли карбонат калия (2,0 г, 14,5 ммоля) и нагревали при 120°С в течение 12 часов. Реакционную смесь охлаждали до комнатной температуры и прибавляли к воде. Экстрагировали этилацетатом и промывали 5 раз водой, сушили (сульфатом магния) и упаривали досуха. Продукт очищали с помощью колоночной хроматографии (75:25 этилацетат: гексан). Выход 1,9 г, (М+Н)+ 469. Стадия Г: Получение бензилового эфира (2,4-дифторфенил)(8-метил-2-метилсульфонил-7-оксо-7,8-дигидропиридо[2,3-d]пиримидин-6-ил)карбаминовой кислоты К раствору сульфида (8,5 г, 18 ммолей) в хлористом метилене (100 мл) прибавляли мета-хлорнадбензойную кислоту (9,0 г 75%, 39 ммолей) и перемешивали при комнатной температуре 12 часов. Реакционный раствор промывали 10%-ным раствором сульфита натрия, затем трижды 10%-ным раствором бикарбоната натрия, сушили (сульфатом магния) и упаривали досуха. Технический продукт перемешивали с диэтиловым эфиром (100 мл) в течение 1 часа, фильтровали и сушили. Выход 7,9 г. Стадия Д: Получение бензилового эфира (2,4-дифторфенил)-[2-(2-гидрокси-1,1-диметилэтиламино)-8-метил-7-оксо-7,8-дигидропиридо[2,3-d]пиримидин-6-ил]карбаминовой кислоты Сульфон (0,5 г, 1 ммоль) смешивали с 2-амино-2-метил-1-пропанолом (0,5 г, 5,5 ммоля) и 0,5 мл 1-метил-2-пирролидинона, этот раствор нагревали при 80°С в течение 1 часа. Охлаждали до комнатной температуры, прибавляли метанол (2 мл) и воду (4 мл), перемешивали один час, фильтровали, получали продукт в виде твердого вещества. Выход 450 мг, (М+Н)+ 510. Стадия Е: Получение 6-(2,4-дифторфениламино)-2-(2-гидрокси-1,1-диметил-этиламино)-8-метил-8Н-пиридо[2,3-d]пиримидин-7-она Замещенный бензилоксикарбонилом (CBZ) амин (450 мг, 0,8 ммоля) растворяли в этиловом спирте (20 мл), к раствору прибавляли 5% палладий на угле (50 мг) и гидрировали при атмосферном давлении. Через 12 часов фильтровали через целит, упаривали досуха. Полученное вещество суспендировали в метиловом спирте и подкисляли соляной кислотой (1.0 M/Et2O, 1 экв.), перемешивали 20 минут, упаривали при пониженном давлении, перемешивали со смесью диэтиловый эфир/метанол в течение 2 часов, фильтровали, получали хлористоводородную соль. Выход 140 мг. Тпл 216-217,9°С. МС: (M+H)+ 376. Пример 94: Получение 6-[(2,4-дифторфенил)метиламино]-8-метил-2-(тетрагидропиран-4-иламино)-8Н-пиридо[2,3-d]пиримидин-7-она: Стадия А: Получение метилового эфира [(2,4-дифторфенил)метиламино]-уксусной кислоты К смеси 2,4-дифтор-N-метиланилина (Avacado Research Chemical, Heysham, Великобритания) (1,43 г, 10 ммолей) в 1-метил-2-пирролидиноне и карбоната калия прибавляли метиловый эфир бромуксусной кислоты (0,945 мл, 10 ммолей) и перемешивали при комнатной температуре 24 часа. Реакционную смесь прибавляли к воде и экстрагировали этилацетатом (3×50 мл), органические экстракты промывали водой (6х), сушили (сульфатом магния) и упаривали, получали продукт в виде масла. Выход 2,0 г. Стадия Б: Получение 6-[(2,4-дифторфенил)метиламино]-8-метил-2-метилсульфанил-8Н-пиридо[2,3-d]пиримидин-7-она Смесь 4-метиламино-2-метилтиопиримидин-5-карбоксальдегида (915 мг, 5 ммолей) и производного анилина (1,1 г, 5,1 ммоля), и карбоната калия (1,5 г, 10,8 ммоля) в 10 мл 1-метил-2-пирролидинона нагревали при 120°С. Через 12 часов реакционную смесь охлаждали до комнатной температуры и прибавляли 100 мл воды. Полученную в результате смесь экстрагировали этилацетатом (3х, 100 мл) и органический слой промывали водой (6х), сушили (сульфатом магния) и упаривали при пониженном давлении. Полученный остаток перемешивали с диэтиловым эфиром (50 мл) в течение 1 часа, фильтровали и получали продукт в виде твердого вещества. Выход 1,07 г. МС: (М+Н)+ 349. Стадия В: Получение 6-[(2,4-дифторфенил)метиламино]-8-метил-2-метилсульфонил-8Н-пиридо[2,3-d]пиримидин-7-она Сульфид (1,0 г, 2,8 ммоля) растворяли в 25 мл дихлорметана, к этому раствору прибавляли 3-хлорнадбензойную кислоту (77%, 1,4 г, 6,2 ммоля). Этот раствор перемешивали при комнатной температуре 6 часов, затем промывали водным раствором сульфита натрия (2х, 10 мл) и насыщенным раствором бикарбоната натрия (3х, 10 мл). Органический раствор сушили (сульфатом магния) и упаривали, получали твердый остаток. Этот остаток перемешивали с диэтиловым эфиром (25 мл), фильтровали и сушили, получали сульфон в виде твердого вещества. Выход 870 мг. МС: (М+Н)+ 381. Стадия Г: Получение 6-[(2,4-дифторфенил)метиламино]-8-метил-2-(тетрагидропиран-4-иламино)-8Н-пиридо[2,3-d]пиримидин-7-она Смесь сульфона (0,4 г, 1,05 ммоля), 4-аминотетрагидропирана (0,35 г, 3,47 ммоля) и 0,3 мл 1-метил-2-пирролидинона нагревали при 80°С в течение 1 часа. Охлаждали до комнатной температуры, прибавляли 1,0 мл метанола и 2,0 мл воды, перемешивали при комнатной температуре 1 час и фильтровали, промывали водой и сушили, получали продукт в виде твердого вещества. Продукт суспендировали в метаноле и подкисляли соляной кислотой (1,0 M/Et2O, 1 экв.), перемешивали один час. Органический растворитель выпаривали, остаток перемешивали со смесью метиловый спирт/ диэтиловый эфир в течение часа, фильтровали, получали продукт в виде хлористоводородной соли. Выход 0,358 г. Тпл 197-198,5°С. МС: (М+Н)+ 402. Пример 95: Получение 6-(2,4-дифторфенокси)-8-этил-2-(тетрагидро-2Н-пиран-4-иламино)пиридо[2,3-d]пиримидин-7(8Н)-она: Стадия А: Получение этилового эфира 4-этиламино-2-метилтиопиримидин-5-карбоновой кислоты К раствору 25 г (107 ммолей) этилового эфира 4-хлор-2-метилтио-5-пиримидин-карбоновой кислоты в 250 мл тетрагидрофурана прибавляли 47 мл (337 ммолей) и 43 мл 70%-ного раствора этиламина (668 ммолей). Смесь перемешивали при комнатной температуре 4 часа. Упаривали досуха, остаток растворяли в смеси этилацетат/вода, дважды промывали 10%-ным раствором бикарбоната натрия, сушили (сульфатом магния), упаривали досуха, получали продукт в виде твердого вещества. Выход 24,1 г. Стадия Б: Получение 4-этиламино-2-метилтиопиримидин-5-метанола Раствор этилового эфира 4-этиламино-2-метилтиопиримидинкарбоновой кислоты (24,1 г, 100 ммолей) в тетрагидрофуране (250 мл) охлаждали в бане со льдом до 0°С. К полученному раствору осторожно прибавляли небольшими порциями в течение часа алюмогидрид лития (4,3 г, 113 ммолей), через час после окончания прибавления медленно добавляли воду (4,3 мл), затем раствор гидроокиси натрия (4,3 мл, 15%), затем еще 13 мл воды, перемешивали 1 час. Полученную в результате суспензию фильтровали, остаток на фильтре дважды промывали 100 мл тетрагидрофурана. Этот раствор упаривали при пониженном давлении. Остаток перемешивали с 150 мл диэтилового эфира, фильтровали, сушили. Выход 19,1 г. Стадия В: Получение 4-этиламино-2-метилтиопиримидин-5-карбоксальдегида К раствору 4-этиламино-2-метилтиопиримидин-5-метанола (19,1 г, 96 ммолей) в 1000 мл дихлорметана прибавляли 87 г двуокиси марганца. Полученную в результате суспензию перемешивали 20 часов, фильтровали через целит. Остаток дважды промывали 100 мл дихлорметана, объединенные фильтрат и промывные растворы упаривали при пониженном давлении, получали продукт в виде твердого вещества. Выход 12,8 г. Стадия Г: Получение 6-(2,4-дифторфенокси)-8-этил-2-(метилтио)пиридо[2,3-d]пиримидин-7(8Н)-она К смеси 4-этиламино-2-метилтиопиримидин-5-карбоксальдегида (5,0 г, 25,5 ммоля) и феноксиацетата (6,0 г, 29,7 ммоля) в 50 мл 1-метил-2-пирролидинона прибавляли карбонат калия (6,0 г, 43,4 ммоля) и нагревали при 120°С. Через 2 часа прибавляли еще 1,5 г сложного эфира и нагревали дополнительно 2 часа. В это время к реакционной смеси прибавляли еще 1,5 г сложного эфира и 2,0 г карбоната калия, после дополнительных двух часов реакционную смесь охлаждали до комнатной температуры. Реакционную смесь прибавляли в воду (300 мл) и перемешивали 2 часа. Фильтровали и промывали диэтиловым эфиром, сушили. Выход 8,7 г. Тпл 122-127,9°С. МС: (М+Н)+ 350. Стадия Д: Получение 6-(2,4-дифторфенокси)-8-этил-2-(метилсульфонил)-пиридо[2,3-d]пиримидин-7(8Н)-она Сульфид (8,7 г, 24,9 ммоля) растворяли в 100 мл дихлорметана и прибавляли 3-хлорнадбензойную кислоту (77%, 11,5 г, 50 ммолей). Смесь перемешивали при комнатной температуре 8 часов, затем промывали раствором сульфита натрия (2х, 75 мл), а затем насыщенным водным раствором бикарбоната натрия (3х, 75 мл). Органический раствор затем сушили (сульфатом магния) и упаривали. Полученное в результате твердое вещество перемешивали с диэтиловым эфиром 1 час и фильтровали, получали сульфон в виде твердого вещества белого цвета. Выход 6,9 г. Тпл 128-129,1°С. МС: (M+H)+ 381. Стадия Е: Получение 6-(2,4-дифторфенокси)-8-этил-2-(тетрагидро-2Н-пиран-4-иламино)пиридо[2,3-d]пиримидин-7(8Н)-она Смесь сульфона (6,0 г, 15,7 ммоля) и 4-аминотетрагидропирана (5,0 г, 49,5 ммоля) и 6,0 мл 1-метил-2-пирролидинона нагревали при 80°С. Через 1 час охлаждали до комнатной температуры, прибавляли 12 мл метанола и 24 мл воды, перемешивали 1 час. Суспензию фильтровали, промывали водой и сушили. Твердый остаток суспендировали в метаноле (60 мл) и прибавляли соляную кислоту (1,0 M/Et2O, 1 экв.), смесь перемешивали 1 час и упаривали. Твердый остаток перемешивали со смесью метанол/диэтиловый эфир в течение одного часа, фильтровали, промывали диэтиловым эфиром и сушили. Выход 5,9 г. Тпл 199,1-205,9°С. МС: (М+H)+ 403. Пример 96: Получение 6-(2,4-дифторфенокси)-8-этил-2-(3-гидрокситетрагидропиран-4-иламино)пиридо[2,3-d]пиримидин-7(8Н)-она: Смесь сульфона (см. получение в примере 95) (0,50 г, 1,31 ммоля) и транс-4-амино-3-гидрокситетрагидропирана (0,23 г, 1,97 ммоля) (см. получение в следующих ссылках: (a) Marquis, Robert W. и др., J. Med. Chem. (2001), 44 (5), 725-736. (б) Gribble, Andrew D. и др., международная заявка согласно РСТ (1998), стр.74, (в) Мочалин В.Б. и др.. Журнал Органической Химии (1971), 7 (4), 825-8) в 2 мл 1-метил-2-пирролидинона нагревали при 100°С в течение 12 часов. Реакционную смесь охлаждали, прибавляли этилацетат (15 мл) и органический раствор промывали водой (3х, 15 мл), насыщенным раствором соли и затем сушили (сульфатом магния). Выпаривание растворителя при пониженном давлении и колоночная хроматография (хлористый метилен/метанол 97/3) приводили к 120 мг продукта (tпл 174,9-176,3°С, МС: (М+Н)+=419). Пример 97: Получение 6-(2,4-дифторфенокси)-2-(3-гидрокси-1,3-диметил-бутиламино)-8-метил-8Н-пиридо[2,3-d]пиримидин-7-она: Стадия А: Получение оксима 4-гидрокси-4-метилпентан-2-она Смесь 4-гидрокси-4-метил-2-пентанона (10,0 г, 85,7 ммоля) и хлоргидрата гидроксиламина (22,17 г, 343 ммоля) в 90 мл воды интенсивно перемешивали при комнатной температуре. К этому раствору медленно прибавляли в течение часа твердый бикарбонат натрия (26,8 г, 343 ммоля). Через 3 часа реакционную смесь экстрагировали этилацетатом (3х, 100 мл), сушили (сульфатом магния) и упаривали при пониженном давлении, получали продукт в виде масла. Выход 11,2 г. Стадия Б: Получение 4-амино-2-метилпентан-2-ола Оксим (11,2 г, 85 ммолей) растворяли в 150 мл этанола, к раствору прибавляли суспензию 20 мл 50% никелевого катализатора Ренея/ в воде и все помещали в гидрогенизатор Парра при давлении 3,515 кг/см2. Через 6 часов реакционную смесь фильтровали через целит и упаривали, получали амин в виде масла. Выход 9,9 г. Стадия В: Получение 6-(2,4-дифторфенокси)-2-(3-гидрокси-1,3-диметил-бутиламино)-8-метил-8Н-пиридо[2,3-d]пиримидин-7-она Смесь сульфона (1,0 г, 2,7 ммоля), 4-амино-2-гидрокси-2-метилпентана (1,0 г, 8,5 ммоля) и 1,0 мл 1-метил-2-пирролидинона нагревали при 80°С в течение 2 часов. Реакционную смесь охлаждали и прибавляли в воду, экстрагировали этилацетатом (3х, 75 мл), промывали водой (6х, 75 мл), сушили (сульфатом магния) и упаривали. Остаток очищали с помощью колоночной хроматографии (SiO2, CH2Cl2/MeOH – 95/5), получали чистый продукт. Остаток суспендировали в метаноле и подкисляли соляной кислотой (Et2O/HCl, 1,0 M, 1 экв.), перемешивали 30 минут, затем упаривали. Остаток перемешивали в смеси метанол/диэтиловый эфир в течение 1 часа, фильтровали и сушили, получали продукт в виде твердого вещества белого цвета. Выход 818 мг. Тпл 158,9-161°С, МС: (M+H)+ 405. Следуя описанной выше методике и разделяя аминоспирт на стадии Б перед использованием на стадии В, можно также получить: 6-(2,4-Дифторфенокси)-2-(3-гидрокси-1(S),3-диметилбутиламино)-8-метил-8Н-пиридо[2,3-d]пиримидин-7-он и 6-(2,4-дифторфенокси)-2-(3-гидрокси-1(R),3-диметилбутиламино)-8-метил-8Н-пиридо[2,3-d]пиримидин-7-он. Пример 98: Получение 6-(2,4-дифторфенокси)-8-метил-2-(3-гидрокситетрагидропиран-4-иламино)пиридо[2,3-d|пиримидин-7(8Н)-она: Смесь сульфона 5 (0,70 г, 1,4 ммоля) и транс-4-имино-3-гидрокситетрагидро-пирана (0,33 г, 2,85 ммоля) (см. следующие ссылки для осуществления получения: (a) Marquis, Robert W. и др., J. Med. Chem. (2001), 44 (5), 725-736. (б) Gribble, Andrew D. и др., международная заявка согласно РСТ (1998), стр. 74, (в) Мочалин В.Б. и др.. Журнал Органической Химии (1971), 7 (4), 825-8.) в 2 мл 1-метил-2-пирролидинона нагревали при 100°С в течение 12 часов. Реакционную смесь охлаждали, прибавляли этилацетат (20 мл). Органический раствор затем промывали водой (3х, 30 мл) и сушили (сульфатом магния). Выпаривание растворителя и тонкослойная хроматография (хлористый метилен/этилацетат 95/5) приводили к 0.25 г продукта. Прибавляли соляную кислоту (1,0 M/Et2O, 1,2 экв.) и получали соль, которую фильтровали и сушили, получали 185 мг желаемого продукта (tпл 226,4-227,7°С, МС: (M+H)+=405). Пример 99: Получение 6-(2-фторфенокси)-2-[(5-гидроксипиразол-3-ил)амино]-8-метилпиридо[2,3-d]пиримидин-7(8Н)-она Смесь сульфона 2 (0,05 г, 0,142 ммоля), 3-амино-5-гидроксипиразола (0,017 г, 0,0172 ммоля) в 1,0 мл диметилформамида нагревали при 65°С в течение 42 часов и охлаждали. Выпаривание растворителей приводило к остатку, который очищали с помощью жидкостной хроматографии с адсорбционной трубкой Supelco Supelclean Пример 100: Получение 6-(2-фторфенокси)-2-[(пиридин-2-илметил)амино]-8-метилпиридо[2,3-d]пиримидин-7(8Н)-она Смесь сульфона 2 (0,05 г, 0,142 ммоля), 4-(аминометил)пиридина (0,019 г, 0,0172 ммоля) в 1 мл диметилформамида нагревали при 65°С в течение 18 часов. Охлажденную реакционную смесь разбавляли 2 мл воды и 2 мл этилацетата и распределяли между двумя фазами. Раствор в этилацетате фильтровали через слой 0,5 г сульфата магния, упаривали и очищали с помощью жидкостной хроматографии с адсорбционной трубкой Supelco Supelclean LC-Si SPE, 6 мл (1 г) (СН2Cl2 до 2% MeOH/CH2Cl2) и МС/ВЭЖХ (0,0068 г, МС: М+1=378). Пример 101: Получение 2-{[(1,5-диметил-1H-пиразол-4-ил)метил]амино}-6-(2-фторфенокси)-8-метилпиридо[2,3-d]пиримидин-7(8Н)-она Гидрат гидрохлорида (1,5-диметил-1H-пиразол-4-ил)метиламина (0,031 г, 0,172 ммоля) обрабатывали 0,0172 мл 1М КОН/МеОН и упаривали. Амин смешивали с сульфоном 2 (0,05 г, 0,142 ммоля) в 1 мл диметилформамида при 65°С в течение 18 часов. Охлажденную реакционную смесь разбавляли водой и этилацетатом, каждый в количестве 2 мл, и распределяли между двумя фазами. Раствор в этилацетате фильтровали через слой 0,5 г сульфата магния, упаривали и полученную в результате смесь подвергали жидкостной хроматографии с адсорбционной трубкой Supelco Supelclean LC-Si SPE, 6 мл (1 г) (CH2Cl2 до 2% МеОН/СН2Cl2). (0,005 г, МС: М+1=395). Пример 102: Получение 2-{[(1,3-диметил-1H-пиразол-4-ил)метил]амино}-6-(2-фторфенокси)-8-метилпиридо[2,3-d]пиримидин-7(8Н)-она (1,3-Диметил-1H-пиразол-4-ил)метиламин 1,8 HCl 1,5 Н2О (0,037 г, 0,172 ммоля) обрабатывали 0,0172 мл 1М КОН/МеОН и упаривали. Свободный амин смешивали с сульфоном 2 (0,05 г, 0,142 ммоля) в 1 мл диметилформамида при 65°С в течение 18 часов. Охлажденную реакционную смесь разбавляли водой и этилацетатом, каждый в количестве 2 мл, и распределяли между двумя фазами. Раствор в этилацетате фильтровали через слой 0,5 г сульфата магния и упаривали. Полученную в результате смесь хроматографировали с помощью жидкостной хроматографии с адсорбционной трубкой Supelco Supelclean LC-Si SPE, 6 мл (1 г) (CH2Cl2 до 2% MeOH/CH2Cl2). (0,0266 г, МС: М+1=395). Пример 103: Получение 6-(2-фторфенокси)-2-{[(3-метилизоксазол-5-ил)метил]амино}-8-метилпиридо[2,3-d]пиримидин-7(8Н)-она Хлоргидрат (3-метилизоксазол-5-ил)метиламина (0,026 г, 0,172 ммоля) обрабатывали 0,0172 мл 1М КОН/МеОН и упаривали. Свободный амин смешивали с сульфоном 2 (0,05 г, 0,142 ммоля) в 1 мл диметилформамида при 65°С в течение 18 часов. Охлажденную реакционную смесь разбавляли водой и этилацетатом, каждый в количестве 2 мл, и распределяли между двумя фазами. Раствор в этилацетате упаривали и полученную в результате смесь хроматографировали с помощью жидкостной хроматографии с адсорбционной трубкой Supelco Supelclean Пример 104: 2-{[1-(Гидроксиметил)циклогексил]амино}-6-(2-метилбензил)-8-метилпиридо[2,3-d]пиримидин-7(8Н)-он Смесь сульфона (полученного аналогично сульфону 8) (0,05 г, 0,146 ммоля), (1-аминоциклогексил)метанола (0,038 г, 0,291 ммоля) в 2 мл хлороформа нагревали при 65°С в течение 18 часов. Охлажденную реакционную смесь упаривали, затем прибавляли 1 мл метанола. Полученный в результате осадок собирали и очищали с помощью жидкостной хроматографии с адсорбционной трубкой Supelco Supelclean Пример 105: 2-{[1-(Гидроксиметил)циклопентил]амино}-6-(2-метилбензил)-8-метилпиридо[2,3-d]пиримидин-7(8Н)-он Смесь сульфона (полученного аналогично сульфону 8) (0,05 г, 0,146 ммоля), (1-аминоциклопентил)метанола (0,033 г, 0,291 ммоля) в 2 мл хлороформа нагревали при 65°С в течение 18 часов. Охлажденную реакционную смесь упаривали, затем прибавляли 1 мл метанола. Полученный в результате осадок собирали и очищали с помощью жидкостной хроматографии с адсорбционной трубкой Supelco Supelclean Пример 106: 6-Бензил-2-{[1-(гидроксиметил)циклопентил]амино}-8-метил-пиридо[2,3-d]пиримидин-7(8Н)-он Смесь сульфона (полученного аналогично сульфону 8) (0,05 г, 0,152 ммоля), (1-аминоциклопентил)метанола (0,033 г, 0,291 ммоля) в 1 мл хлороформа нагревали при 65°С в течение 18 часов. Добавляли еще 0,020 г (1-аминоциклопентил)метанола и смесь нагревали при 65°С в течение 18 часов. Охлажденную реакционную смесь упаривали, затем прибавляли 1 мл метанола. Полученный в результате осадок собирали и очищали с помощью жидкостной хроматографии с адсорбционной трубкой Supelco SupelcleanTM LC-Si SPE, 6 мл (1 г) (CH2Cl2 до 1% MeOH/CH2Cl2) и МС/ВЭЖХ (0,0345 г, МС: М+1=379). Пример 107: N-[6-(2,4-Дифторфенокси)-8-метил-7-оксо-4а,7,8,8а-тетрагидро-пиридо[2,3-d]пиримидин-2-ил]-N-(тетрагидропиран-4-ил)ацетамид Смесь 6-(2,4-дифторфенокси)-8-метил-2-(тетрагидро-2H-пиран-4-иламино)-пиридо[2,3-d]пиримидин-7(8Н)-она (пример 23) (1,0 г, 2,57 ммоля), N,N-диизопропил-этиламина (0,498 г, 0,67 мл, 3,86 ммоля) в уксусном ангидриде (1,42 г, 1,02 мл, 13,9 ммоля) нагревали при 123-127°С в течение 2 часов. Низкокипящие примеси выпаривали при 60°С, получали густой остаток, который растворяли в 4 мл ацетона при 67-70°С. К полученному в результате раствору прибавляли 5 мл гексана, поддерживая температуру 53-55°С. Этой смеси давали охладиться до температуры окружающей среды в течение 18 часов. Полученное в результате твердое вещество фильтровали и промывали (3×3 мл) ацетоном: гексаном 1:2. Промытое твердое вещество суспендировали в 5 мл гексана и кипятили с обратным холодильником 45 минут. После охлаждения до температуры окружающей среды суспензию фильтровали и твердое вещество промывали гексаном и сушили в вакууме. (0,903 г, МС: М+1=431, tпл 185,3-186,9°С). Пример 108: Получение этилового эфира 4-{[6-(2-фторфенокси)-8-метил-7-оксо-7,8-дигидропиридо[2,3-d]пиримидин-2-ил]амино}пиперидин-1-карбоновой кислоты Смесь сульфона 2 (1,0 г, 2,86 ммоля) и этилового эфира 4-амино-1-пиперидин-карбоновой кислоты (0,98 мл, 5,73 ммоля) в 5 мл 1-метил-2-пирролидинона перемешивали при 120°С в течение 2 часов и затем выливали в воду (200 мл), и перемешивали при комнатной температуре 1 час. Фильтрация и последующая сушка приводили к свободному амину. Часть этого продукта (0,050 г, 0,113 ммоля) растворяли в метаноле (1-2 мл) и прибавляли раствор соляной кислоты в диэтиловом эфире (1М, 1 экв.). Твердое вещество выделяли путем фильтрации, после промывки диэтиловым эфиром и сушки получали 0,038 г желаемого продукта в виде хлористоводородной соли (tпл 171,2-183,5°С). Пример 109: Получение 6-(2-фторфенокси)-8-метил-2-{[(1-бензилсульфонил)пиперидин-4-ил]амино}пиридо[2,3-d]пиримидин-7(8Н)-она: Стадия А: Получение 6-(2-фторфенокси)-8-метил-2-(4-пиперидиламино)пиридо[2,3-d]пиримидин-7(8Н)-она Смесь свободного основания этилового эфира 4-{[6-(2-фторфенокси)-8-метил-7-оксо-7,8-дигидропиридо[2,3-d]пиримидин-2-ил]амино}пиперидин-1-карбоновой кислоты (0,500 г, 1,13 ммоля) и иодтриметилсилана (0,32 мл, 2,27 ммоля) в 5 мл дихлорметана кипятили с обратным холодильником. Через 4 часа добавляли дополнительное количество иодтриметилсилана (0,32 мл, 2,27 ммоля) и реакционную смесь перемешивали при комнатной температуре 3 дня. Реакционную смесь разбавляли метанолом и упаривали, растворяли остаток в метанольном растворе метилата натрия (0,5 М, 9,1 мл) и повторно упаривали. Полученное в результате твердое вещество промывали дихлорметаном и сушили в вакууме, получали 540 мг желаемого аминопиперидина в виде свободного основания. Стадия Б: Получение 6-(2-фторфенокси)-8-метил-2-{[(1-бензилсульфонил)-пиперидин-4-ил]амино}пиридо[2,3-d]пиримидин-7(8Н)-она Смесь аминопиперидина (0,125 г, 0,338 ммоля), карбоната натрия (0,072 г, 0,677 ммоля) и бензолсульфохлорида (0,052 мл, 0,406 ммоля) в 4 мл дихлорметана перемешивали при комнатной температуре 4 дня. Реакционную смесь очищали с помощью колоночной хроматографии (SiO2, CH2Cl2/MeOH/NH4OH – 95/4/1). Фракции после колонки объединяли и концентрировали при пониженном давлении, получали свободный амин. Этот свободный амин (0,040 г, 0,078 ммоля) растворяли в этилацетате (1-2 мл) и прибавляли соляную кислоту в диэтиловом эфире (1М, 1 экв.). Путем фильтрации выделяли твердое вещество, которое промывали диэтиловым эфиром и сушили, получали 0,032 г желаемого продукта в виде хлористоводородной соли (tпл 130,0-135,0°С). Пример 110: Получение 6-(2-этокси-4-фторфенокси)-8-метил-2-{[(1-бензилсульфонил)пиперидин-4-ил]амино}пиридо[2,3-d]пиримидин-7(8Н)-она: Стадия А: Получение 6-(2-этокси-4-фторфенокси)-8-метил-2-(4-пиперидиламино)пиридо[2,3-d]пиримидин-7(8Н)-она: Смесь этилового эфира 4-{[6-(2,4-дифторфенокси)-8-метил-7-оксо-7,8-дигидро-пиридо[2,3-d]пиримидин-2-ил]амино}пиперидин-1-карбоновой кислоты (пример 70, 1,0 г, 2,16 ммоля) и гидроокиси калия (2,43 г, 43,2 ммоля) в 20 мл этанола кипятили с обратным холодильником 17 часов, после чего прибавляли 0,5 мл воды и кипячение с обратным холодильником продолжали еще 20 часов, прежде чем реакционную смесь упаривали при пониженном давлении. Остаток растворяли в 100 мл воды и охлаждали в бане со льдом до подкисления прибавляемой по каплям концентрированной соляной кислоты. Кислый водный раствор экстрагировали дихлорметаном (2х), прежде, чем его повторно подщелачивали гидроокисью натрия и опять экстрагировали дихлорметаном (2х). Органические экстракты после экстракции щелочного водного раствора объединяли, сушили сульфатом магния и сушили в вакууме, получали аминопиперидин (М+1=414,1). Стадия Б: Получение 6-(2-этокси-4-фторфенокси)-8-метил-2-{[(1-бензилсульфонил)пиперидин-4-ил]амино}пиридо[2,3-d]пиримидин-7(8Н)-она Часть полученного выше производного пиперидина (0,150 г, 0,387 ммоля) растворяли в 2 мл дихлорметана с карбонатом натрия (0,082 г, 0,774 ммоля) и Пример 111: Получение 6-(2-метил-4-фторфенокси)-8-метил-2-{[(1-бензилсульфонил)пиперидин-4-ил]амино}пиридо[2,3-d]пиримидин-7(8H)-она Стадия А: Получение 6-(2-метил-4-фторфенокси)-8-метил-2-(метилтио)-пиридо[2,3-d]пиримидин-7(8Н)-она К смеси 4-метиламино-2-метилтиопиримидин-5-карбоксальдегида (получение описано в примере 1) (7,3 г, 39,6 ммоля) и метилового эфира 2-метил-4-фторфенокси-уксусной кислоты (полученного, как в примере 4, при замене 2-фторфенола 2-метил-4 фторфенолом) (11,8 г, 59,4 ммоля) в 80 мл 1-метил-2-пирролидинона прибавляли карбонат калия (11,0 г, 79,3 ммоля). Реакционную смесь нагревали при 120°С и через 3 дня прибавляли еще феноксиацетат (15,0 г, 75,7 ммоля). После 18 часов перемешивания при 120°С реакционную смесь охлаждали до комнатной температуры и прибавляли воду (1 л). Суспензию перемешивали 2 часа и затем экстрагировали этилацетатом (2х). Объединенные экстракты промывали водой (3х) и насыщенным раствором соли, сушили сульфатом магния и упаривали в вакууме. Техническое твердое вещество (10,1 г) промывали диэтиловым эфиром и этилацетатом, затем сушили в вакууме, получали 2,3 г чистого сульфида (МС: М+1=332). Стадия Б: Получение 6-(2-метил-4-фторфенокси)-8-метил-2-(метилсульфонил)пиридо[2,3-d]пиримидин-7(8Н)-она Сульфид (2,3 г, 6,9 ммоля) растворяли в 100 мл хлористого метилена и прибавляли 3-хлорнадбензойную кислоту (77%, 3,6 г, 20,6 ммоля). Смесь перемешивали 2 часа при комнатной температуре, затем выливали в водный раствор сульфита натрия (10%, 100 мл) и перемешивали 2 часа при комнатной температуре перед распределением. Органический слой промывали полунасыщенным водным раствором бикарбоната натрия (3х, 100 мл), сушили сульфатом магния и упаривали. Полученное в результате твердое вещество перемешивали с диэтиловым эфиром 1 час и фильтровали, получали сульфон. Стадия В: Получение 6-(2-метил-4-фторфенокси)-8-метил-2-(4-пиперидил-амино)пиридо[2,3-d]пиримидин-7(8Н)-она: Этиловый эфир производного пиперидинкарбоновой кислоты (полученный из сульфона, описанного на стадии Б, и этилового эфира 4-амино-1-пиперидинкарбоновой кислоты таким же способом, как описано в примере 70) выделяли в виде хлористоводородной соли (tпл 184,0-210,3°С). Кипятили с обратным холодильником в течение 3 дней 1,03 г полученного этилкарбамата (2,26 ммоля) и гидроокись калия (4,81 г, 85,7 ммоля) в 60 мл этанола и упаривали в вакууме. Остаток растворяли в водной соляной кислоте (2М) и экстрагировали дихлорметаном (2х), затем охлаждали в бане со льдом и повторно подщелачивали твердой гидроокисью натрия. Полученный в результате маслянистый осадок декантировали и промывали метанолом и дихлорметаном, сушили карбонатом натрия и упаривали в вакууме, получали 0,550 г желаемого производного пиперидина. Стадия Г: Получение 6-(2-метил-4-фторфенокси)-8-метил-2-{[(1-бензилсульфонил)пиперидин-4-ил]амино}пиридо[2,3-d]пиримидин-7(8Н)-она Смесь полученного выше производного пиперидина (0,125 г, 0,326 ммоля), карбоната натрия (0,069 г, 0,652 ммоля) и бензолсульфохлорида (0,050 мл, 0,391 ммоля) в 2 мл дихлорметана перемешивали при комнатной температуре 5 дней и очищали с помощью колоночной хроматографии (SiO2, CH2Cl2/MeOH – 95/5). Фракции после колонки объединяли и концентрировали при пониженном давлении, получали свободный амин. Этот свободный амин (0,185 г, 0,353 ммоля) растворяли в этилацетате (1-2 мл) и прибавляли соляную кислоту в диэтиловом эфире (1М, 1 экв.). Выделение твердого вещества путем фильтрации, промывание диэтиловым эфиром и сушка в вакууме приводили к 0,156 г хлористоводородной соли (tпл 115,2-122,9°С). Пример 112: Получение 6-(2,4-дифторфенокси)-8-метил-2-(N1-(метилсульфонил)-1,3-диаминопентан)пиридо[2,3-d]пиримидин-7(8Н)-она Стадия А: Получение 6-(2,4-дифторфенокси)-8-метил-2-(N1-(карбобензилокси)-1,3-диаминопентан)пиридо[2,3-d]пиримидин-7(8Н)-она Сульфон 5 (0,47 г, 6,4 ммоля) растворяли в безводном тетрагидрофуране, к которому прибавляли N’-(карбобензилокси)-1,3-диаминопентан (Org. Prep. And Proceed. Int., 30(3), 339-348 (1998)), (1,52 г, 6,4 ммоля) и перемешивали в течение ночи при 23°С в атмосфере азота. Концентрировали в вакууме и получали технический продукт в виде масла, которое растворяли в дихлорметане, промывали насыщенным раствором бикарбоната натрия, промывали насыщенным раствором соли и сушили (сульфатом магния). Фильтровали и концентрировали, получали неочищенное масло, которое хроматографировали на силикагеле, элюируя 2% метанолом в дихлорметане, получали 0,657 г 6-(2,4-дифторфенокси)-8-метил-2-(N1-(карбобензилокси)-1,3-диаминопентан)-пиридо[2,3-d]пиримидин-7(8Н)-она (МС: М+1=524). Стадия Б: Получение 6-(2,4-дифторфенокси)-8-метил-2-(N1-(метилсульфонил)-1,3-диаминопентан)пиридо[2,3-d]пиримидин-7(8Н)-она К раствору 6-(2,4-дифторфенокси)-8-метил-2-(N1-(карбобензилокси)-1,3-диаминопентан)пиридо[2,3-d]пиримидин-7(8Н)-она (0,65 г, 1,2 ммоля) в тетрагидрофуране прибавляли 10% Pd-C (0,13 г) и перемешивали 4 часа при 23°С в атмосфере водорода. Фильтровали и концентрировали в вакууме. Остаток растворяли в 10 мл дихлорметана и охлаждали до -10°С, прибавляли пиридин (5 мл, 62 ммоля) и метансульфохлорид (0,070 мл, 0,86 ммоля) и перемешивали. Концентрировали в вакууме и хроматографировали на силикагеле, элюируя 1% раствором метанола в дихлорметане, получали 0,121 г 6-(2,4-дифторфенокси)-8-метил-2-(N1-(метилсульфонил)-1,3-диаминопентан)пиридо[2,3-d]пиримидин-7(8Н)-она, который растворяли в безводном диэтиловом эфире и превращали в хлористоводородную соль (МС: М+1=468, tпл 178,6-181,2°С). Пример 113: Получение 4-амино-2-метилтиопиримидин-5-карбальдегида Получение калиевой соли 3,3-диэтокси-2-формилпропионитрила (II) К перемешиваемому раствору 3,3-диэтоксипропионитрила (I, 283,80 г, 1,98 моля) и метилформиата (148, 80 г, 2,48 моля) в безводном тетрагидрофуране (1,1 л) при 10°С прибавляли 1,0 М раствор трет-бутилата калия в тетрагидрофуране (2,2 л, 2,2 моля). Температуру поддерживали в диапазоне от 10°С до 15°С все время прибавления в течение 45 минут. После прибавления полученную в результате суспензию перемешивали 2 часа при температуре окружающей среды. Затем прибавляли гексан (400 мл) и перемешивание продолжали еще 20 минут. Суспензию фильтровали и слежавшийся осадок промывали гексанами/тетрагидрофураном 1/1 и сушили в течение ночи при 60°С в вакуумной сушилке. Выход порошка бледно-коричневого цвета составил 302,5 г (73,0%). 1Н-ЯМР-спектр (CD3OD) соответствовал желаемой структуре II. Получение 4-амино-2-сульфанилпиримидин-5-карбальдегида (III) Суспензию тиомочевины (92,8 г, 1,22 моля) в этаноле (90 мл) кипятили с обратным холодильником и интенсивно перемешивали. К этой суспензии прибавляли суспензию калиевой соли 3,3-диэтокси-2-формилпропионитрила (II) (222,20 г, 1,06 моля) в 25% MeONa/MeOH (85,5 мл, 0,37 моля) и этанол (285 мл) в виде пяти аликвот в течение 10 минут, поддерживая при этом кипение (альтернативно, последняя суспензия может быть нагрета до 50°С для получения гомогенного раствора для прибавления). Прибавляли дополнительную порцию этанола (150 мл) для облегчения перемешивания. После прибавления густая суспензия приобретала ярко-желтый цвет и ее кипятили с обратным холодильником еще один час. Смесь затем охлаждали и упаривали почти досуха в роторном испарителе. Остаток растворяли в воде (940 мл). Технический продукт осаждали из раствора при прибавлении 30%-ной уксусной кислоты (280 мл) и выделяли путем фильтрации, используя воронку со среднефриттованной пористой стеклянной пластинкой. Спекшийся осадок промывали водой (800 мл). Очищали путем растирания в горячей воде (1 л) в течение 30 минут, затем охлаждали и фильтровали, получали после сушки при 60°С в течение ночи в вакуум-сушильном шкафу 118,9 г (72,3%) продукта в виде твердого вещества ярко-желтого цвета (последующие опыты получения продемонстрировали, что такое растирание не является необходимым). По данным ВЭЖХ чистота составила 98,67%. 1Н-ЯМР-спектр (ДМСО-d6) соответствовал желаемой структуре III. Получение 4-амино-2-метилтиопиримидин-5-карбальдегида (IV) К раствору 4-амино-2-сульфанилпиримидин-5-карбальдегида III (100,00 г, 644,4 ммоля) и карбоната калия /325 меш/ (178,10 г, 1,29 моля) в ацетоне (1,5 л) прибавляли по каплям йодистый метил (128,10 г, 902,2 ммоля) в течение 20 минут при слабом охлаждении. Смесь перемешивали при комнатной температуре в течение выходных дней в конце недели. Тонкослойная хроматография показала присутствие остаточного III, прибавляли дополнительную аликвоту йодистого метила (8 мл) и перемешивание продолжали в течение ночи. ТСХ опять показала некоторое количество остаточного III, добавляли дополнительную порцию йодистого метила (8 мл) и перемешивание продолжали еще 24 часа. Анализ с помощью ВЭЖХ показал присутствие 95,9% S-алкилированного продукта и 3,7% соединения III. Реакционную смесь упаривали почти досуха в роторном испарителе. К остатку прибавляли воду (1 л) и продукт собирали путем фильтрации и промывали водой (200 мл). Продукт сушили в течение ночи в вакуум-сушильном шкафу при 60°С. Выход составил 103,37 г (94,8%). Анализ с помощью ВЭЖХ указывал на присутствие 95,8% IV и 4,2% III. Пример 114 Этот пример иллюстрирует in vitro анализ МАП-киназы р38, пригодный для оценки соединений по настоящему изобретению. Ингибирующую активность соединений по настоящему изобретению по отношению к МАП-киназе р38 in vitro определяли путем измерения переноса Фосфорилированная форма рекомбинантной МАП-киназы р38 была подвергнута совместной экспрессии с киназами SEK-1 и МЕКК в Е.Coli (см. Khokhlatchev, и др., J. Biol. Chem. 272: 11057-11062 (1997)) и затем проводили очистку с помощью аффинной хроматографии, используя никелевую колонку. Фосфорилированную МАП-киназу р38 разбавляли в буфере для киназы (20 мМ 3-(N-морфолин)пропансульфокислота, рН 7,2, 25 мМ Пример 115 Данный пример приводит in vitro анализ для оценки ингибирования индуцированного липополисахаридами (LPS) продуцирования TNF- Способность соединений по данному изобретению ингибировать высвобождение TNF- (а) Индуцирование биосинтеза TNF: Клетки ТНР-1 суспендировали в культуральной среде [RPMI(Gibco-BRL, Gailthersburg, Мэриленд, США), содержащая 15% сыворотку плода коровы, 0,02 мМ 2-меркаптоэтанол] в концентрации 2,5×106 клеток/мл и затем помещали в 96-ячеечный планшет (аликвоты по 0,2 мл в каждую ячейку). Исследуемые соединения растворяли в ДМСО и затем разбавляли культуральной средой так, чтобы конечная концентрация ДМСО составляла 5%. Аликвоты в 25 мкл исследуемого раствора или только среду с ДМСО (контроль) прибавляли в каждую ячейку. Клетки инкубировали 30 минут при 37°С. Прибавляли в ячейки липополисахарид (Sigma, Сент-Луис, Миссури, США) до конечной концентрации 0,5 мкг/мл и клетки инкубировали еще 2 часа. В конце инкубационного периода культуральные надосадочные жидкости собирали и количество присутствующего TNF- (б) ELISA-анализ: Количество присутствующего человеческого TNF- В каждую ячейку полистирольных 96-ячеечных планшетов помещали 50 мкл антитела 2TNF-H12 в забуференном фосфатом физиологическом растворе (ЗФР) (10 мкг/мл) и инкубировали в увлажненной камере при 4°С в течение ночи. Планшеты промывали ЗФР и затем блокировали 5%-ным раствором нежирного сухого молока в ЗФР в течение 1 часа при комнатной температуре, и промывали 0,1%-ным раствором бычьего сывороточного альбумина (БСА) в ЗФР. Стандарты TNF готовили из исходного раствора человеческого рекомбинантного TNF- Аликвоты в 25 мкл указанных выше культуральных надосадочных жидкостей или стандартов TNF, или только среды (контроль) смешивали с аликвотами в 25 мкл биотинилированного моноклонального антитела 2TNF-H34 (2 мкг/мл в ЗФР, содержащем 0,1% БСА) и прибавляли в каждую ячейку. Образцы инкубировали 2 часа при комнатной температуре при осторожном встряхивании и затем промывали 3 раза 0,1% БСА в ЗФР. Прибавляли в каждую ячейку 50 мкл раствора пероксидазы-стрептавидина (Zymed, S. Сан-Франциско, Калифорния, США), содержащего 0,416 мкг/мл пероксидазы-стрептавидина и 0,1% БСА в ЗФР. Образцы инкубировали еще 1 час при комнатной температуре и затем промывали 4 раза 0,1% БСА в ЗФР. В каждую ячейку прибавляли 50 мкл раствора O-фенилендиамина (1 мкг/мл O-фенилендиамина и 0,03% перекиси водорода в 0,2 М цитратном буфере с рН 4,5) и образцы инкубировали в темноте 30 минут при комнатной температуре. Оптическую плотность образца и стандарта определяли при 450 нм и 650 нм, соответственно. Содержание TNF- Значение ИК50 (концентрация, вызывающая 50%-ное ингибирование) определяли как концентрацию исследуемого соединения, соответствующую 50%-ному уменьшению поглощения при 450 нм. Пример 116 Пример иллюстрирует in vivo анализ оценки ингибирования индуцированного липополисахаридом продуцирования TNF- Способность соединений по данному изобретению ингибировать высвобождение TNF- Самок мышей линии BALB/c массой 18-21 г (Charles River, Hollister, Калифорния, США) подвергали акклиматизации в течение недели. Группам по 8 мышей в каждой дозированно вводили перорально либо исследуемые соединения, суспендированные или растворенные в водном носителе, содержащем 0,9% хлорида натрия, 0,5% натрий-карбоксиметилцеллюлозы, 0,4% полисорбата 80, 0,9% бензилового спирта (карбоксиметилцеллюлозный /CMC/ носитель), либо только носитель (контрольная группа). Через 30 минут мышей инъецировали внутрибрюшинно 20 мкг липополисахарида (Sigma, Сент-Луис, Миссури). Через 1,5 часа мышей умерщвляли путем ингаляции CO2 и кровь собирали путем пункции сердца. Кровь осветляли посредством центрифугирования при 15,600×g в течение 5 минут и сыворотки переносили в чистые пробирки и замораживали при -20°С до анализирования TNF- Типичные соединения по настоящему изобретению представлены ниже в таблице 1 и таблице 2. Ингибирующая активность соединений из таблиц 1 и 2 в отношении киназы р38 характеризуется значениями ИК50 в диапазоне примерно от 0,1 до 5000 нМ, для большинства соединений эти значения составляют от 1 до 1000 нМ и неожиданно эти соединения являются селективными ингибиторами киназы р38 по сравнению с циклин-зависимыми киназами и тирозинкиназой. Данные ИК50 для конкретных соединений представлены в единицах, причем единица (микромолярная), обозначаемая в таблицах “0,01”, соответствует 10 нМ. Физические данные и данные по активности Соединение формулы I где W означает NH, Х1 означает О, Х2 означает О, Z означает N, Ar1 означает 2,4-дифторфенил и R1 означает -Y1-C(O)-Y2-R11, где Y2 отсутствует
Фармацевтические композиции. Фармацевтические композиции, вводимые разными способами, получают, как показано ниже. В качестве «активного ингредиента» или «активного соединения» используют одно или более соединений формулы I. Композиция для орального введения
Ингредиенты смешивают и помещают в капсулы, содержащие по 100 мг каждая; одна капсула приблизительно соответствует общей единичной дозе. Композиция для орального введения
Компоненты смешивают и гранулируют, используя в качестве растворителя метанол. Затем композицию сушат и формуют в таблетки (содержащая около 20 мг активного соединения) с использованием оборудования для производства таблеток. Композиция для орального введения
Ингредиенты смешивают и образуют суспензию для орального введения. Композиция для парентерального введения
Активный ингредиент растворяют в порции воды для инъекции. Далее добавляют при перемешивании достаточное количество хлорид натрия до образования изотонического раствора. Раствор доводят до нужного количества инъекции водой, фильтруют через 0,2 микронный мембранный фильтр и упаковывают при стерильных условиях. Суппозитории
Ингредиенты плавят и смешивают на паровой бане, заливают в формы по 2,5 г. Композиция
Все ингредиенты, за исключением воды, комбинировали и нагревали при перемешивании при 60°С. Затем при энергичном перемешивании добавляют достаточное количество воды при 60°С для эмульгирования ингредиентов, далее добавляют воду до 100 мг. Композиция для назального использования Из водной суспензии, содержащий 0,025-0,5% активного соединения, получают назальный спрей. Необязательно композиции содержат инактивные ингредиенты такие, как например, микрокристаллическая целлюлоза, карбоксиметилцеллюлоза натрия, дектоза и тому подобные. Может быть добавлена соляная кислота для поддержания рН. Назальная композиция может вводиться через насос для назального введения в количестве 50-100 мкл на одно действие. Обычная доза рассчитана на 2-4 раза каждые 4-12 часов.
Формула изобретения
1. Производное пиридопиримидинов формулы I или II или его фармацевтически приемлемые соли, где Z означает N или СН; W означает NR2; X1 означает О, NR4 (где R4 означает водород или алкил), S или CR5R6 (где R5 и R6 означают водород); X2 означает О; Ar1 означает незамещенный или замещенный фенил; R2 означает водород, алкил или ацил; R1 означает водород, алкил, галоидалкил, арил, аралкил, гетероарил, гетероаралкил, циклоалкил, циклоалкилалкил, гетероалкилзамещенный циклоалкил, гетерозамещенный циклоалкил, гетероалкил, цианоалкил, гетероциклил, гетероциклилалкил, R12-SO2-гетероциклоаминогруппу (где R12 означает арил или аралкил), -Y1-C(O)-Y2-R11 (где Y1 и Y2 независимо либо отсутствуют, либо являются алкиленовой группой и R11 означает алкил, алкоксил, амино-, моноалкиламино- или диалкиламиногруппу), замещенный пиперазинил или морфолинил; R3 означает алкил, циклоалкил, арил, амино-, моноалкиламино- или диалкиламиногруппу; R8 и R9 означают независимо друг от друга водород, алкилсульфонил, -C(O)-R81 (где R81 означает моно- или диалкиламиногруппу). 2. Производное пиридопиримидинов по п.1, где Z означает N или СН; W означает NR2; X1 означает О, NR4 (где R4 означает водород или алкил), S или CR5R6 (где R5 и R6 означают водород); X2 означает О; Ar1 означает незамещенный или замещенный фенил; R2 означает водород или алкил; R1 означает водород, алкил, галоидалкил, арил, аралкил, циклоалкил, циклоалкилалкил, гетероалкилзамещенный циклоалкил, гетерозамещенный циклоалкил, гетероалкил, цианоалкил, гетероциклил, гетероциклилалкил, -Y1-C(O)-Y2-R11 (где Y1 и Y2 независимо либо отсутствуют, либо являются алкиленовой группой и R11 означает алкил, алкоксил, амино-, моноалкиламино- или диалкиламиногруппу), замещенный пиперазинил или морфолинил; R3 означает алкил, циклоалкил, арил, амино-, моноалкиламино- или диалкиламиногруппу; R8 и R9 означают независимо друг от друга водород, алкилсульфонил, -C(O)-R81 (где R81 означает моно- или диалкиламиногруппу). 3. Производное пиридопиримидинов по п.1 или 2, где Z означает N. 4. Производное пиридопиримидинов по любому из пп.1-3, где W означает NH. 5. Производное пиридопиримидинов по любому из пп.1-4, где Ar1 означает необязательно замещенный фенил 6. Производное пиридопиримидинов по любому из пп.1-5, где X1 означает О или СН2. 7. Производное пиридопиримидинов по любому из пп.1-6, где X1 означает О. 8. Производное пиридопиримидинов по любому из пп.1-7, где R1 означает арил, аралкил, циклоалкил, циклоалкилалкил, гетероалкилзамещенный циклоалкил, гетерозамещенный циклоалкил, гетероалкил, гетероциклил или гетероциклилалкил. 9. Производное пиридопиримидинов по любому из пп.1-8, где R1 означает гетероалкилзамещенный циклоалкил, гетерозамещенный циклоалкил, гетероалкил или гетероциклил. 10. Производное пиридопиримидинов по любому из пп.1-9, где R1 означает гетероциклил. 11. Производное пиридопиримидинов по любому из пп.1-9, где R1 означает гетероалкил. 12. Производное пиридопиримидинов по любому из пп.1-11, где Ar1 означает 2-замещенный фенил, 4-замещенный фенил или 2,4-дизамещенный фенил. 13. Производное пиридопиримидинов по любому из пп.1-12, где Ar1 означает 2-хлорфенил, 2-фторфенил, 2-метилфенил, 2-фтор-4-метилфенил или 2,4-дифторфенил. 14. Производное пиридопиримидинов по любому из пп.1-13 формулы I, где Х означает О и R3 означает метил, пропил или циклопропил, предпочтительно метил. 15. Производное пиридопиримидинов по любому из пп.1-13 формулы II, где R8 означает водород и R9 означает алкилсульфонил или -C(O)-R81 (где R81 является моноалкиламино- или диалкиламиногруппой). 16. Производное пиридопиримидинов по п.14, где Ar1 означает 2,4-дифторфенил и R1 означает тетрагидро-2Н-пиран-4-ил, т.е. 6-(2,4-дифторфенокси)-8-метил-2-(тетрагидро-2Н-пиран-4-иламино)пиридо[2,3-d]пиримидин-7(8Н)-он. 17. Производное пиридопиримидинов по п.14, где Ar1 означает 2,4-дифторфенил и R1 означает тетрагидро-2Н-пиран-4-ил, т.е. 6-(2,4-дифторфенокси)-8-пропил-2-(тетрагидро-2Н-пиран-4-иламино)пиридо[2,3-d]пиримидин-7(8Н)-он. 18. Производное пиридопиримидинов по п.14, где Ar1 означает 2,4-дифторфенил и R1 означает тетрагидро-2Н-пиран-4-ил, т.е. 6-(2,4-дифторфенокси)-8-циклопропил-2-(тетрагидро-2Н-пиран-4-иламино)пиридо[2,3-d]пиримидин-7(8Н)-он. 19. Производное пиридопиримидинов по п.14, где Ar1 означает 2,4-дифторфенил и R1 означает 1,3-диметил-3-гидроксибутил, т.е. 6-(2,4-дифторфенокси)-2-(3-гидрокси-1,3-диметилбутиламино)-8-метил-8Н-пиридо[2,3-d]пиримидин-7-он. 20. Производное пиридопиримидинов по п.19, которое является 6-(2,4-дифторфенокси)-2-(3-гидрокси-1(S),3-диметилбутиламино)-8-метил-8Н-пиридо[2,3-d]пиримидин-7-оном. 21. Соединение по п.20, которое является 6-(2,4-дифторфенокси)-2-(3-гидрокси-1(R), 3-диметилбутиламино)-8-метил-8Н-пиридо[2,3-d]пиримидин-7-оном. 22. Производное пиридопиримидинов по п.1 формулы I, где R2 означает ацил. 23. Производное пиридопиримидинов по п.22, где R1 означает гетероалкил или гетероциклил. 24. Производное пиридопиримидинов по п.23, где R1 означает гетероциклил. 25. Производное пиридопиримидинов по любому из пп.22-24, где X1 означает О, X2 означает О и R3 означает метил. 26. Производное пиридопиримидинов по любому из пп.23-25, где R2 означает ацил. 27. Производное пиридопиримидинов по любому из пп.22-26, где Ar1 означает 2,4-дифторфенил, R1 означает тетрагидро-2Н-пиран-4-ил и R2 означает ацетил. 28. Соединение формулы I’ или II” где Z означает N или CH; W означает S, S(O), S(O)2; X1 означает О, NR4 (где R4 означает водород или алкил), S или CR5R6 (где R5 и R6 означают независимо водород или алкил), или C=O; X2 означает О или NR7; Ar1 означает арил или гетероарил; R10 означает алкил или феналкил; R3 означает водород, алкил, циклоалкил, циклоалкилалкил, арил, аралкил, галоидалкил, гетероалкил, цианалкил, алкилен -С(O)-R31 (где R31 означает водород, алкил, гидроксил, алкоксил, амино-, моноалкиламино- или диалкиламиногруппу), амино-, моноалкиламино-, диалкиламиногруппу или NR32-Y3-R33 (где Y3 означает -С(O), -С(O)O-, -C(O)NR34, S(O)2 или S(O)2NR35; R32, R34 и R35 означают независимо водород или алкил и R33 означает водород, алкил, циклоалкил, циклоалкилалкил, гетероалкил или необязательно замещенный фенил), или ацил; R7 означает водород или алкил; и R8 и R9 означают независимо водород, алкил, арил, аралкил, циклоалкил, циклоалкилалкил, гетероалкил, алкилсульфонил, арилсульфонил, -C(O)-R81 (где R81 означает алкил, арил, аралкил, циклоалкил, циклоалкилалкил, гетероалкил, алкоксил, арилоксигруппу, аминогруппу, моно- и ди-алкиламиногруппу, ариламиногруппу или арил(алкил)аминогруппу) или R8 и R9 вместе образуют =CR82R83 (где R82 и R83 означают независимо водород, алкил, циклоалкил, циклоалкилалкил или необязательно замещенный фенил). 29. Фармацевтическая композиция, обладающая ингибирующей активностью в отношении киназы р38 и включающая фармацевтически приемлемый наполнитель, если желательно, и одно или несколько соединений по любому из пп.1-27 или их фармацевтически приемлемые соли. 30. Способ получения сульфидного соединения формулы где Z означает N или СН; X1 означает О, NR4 (где R4 означает водород или алкил), S или CR5R6 (где R5 и R6 означают независимо водород или алкил); X2 означает О; Ar1 означает незамещенный или замещенный фенил; R означает алкил или феналкил; R3 означает алкил, циклоалкил, арил, амино-, моноалкиламино- или диалкиламиногруппу; взаимодействием альдегида формулы с арильным соединением формулы где X3 означает -C(=O)-OR’ и R’ означает алкил, в условиях, подходящих для получения сульфидного соединения, с получением сульфидного соединения, которое при необходимости обрабатывают в окислительных условиях с получением сульфонильного соединения формулы где R, Z, R3, X1, X2 и Ar1 определены выше. 31. Способ по п.30, где Z, X1, Ar1 или R3 являются такими, как определено по любому из пп.1-27. 32. Способ по п.30, где упомянутые окислительные условия включают м-хлорнадбензойную кислоту, Оксон®, периодат или виды перекиси рения. 33. Способ получения соединения формулы I по любому из пп.1-27, включающий стадию взаимодействия соединения формулы IV: где Z, R3, X1, X2 и Ar1 являются такими, как определено в любом из пп.1-27, и L означает уходящую группу, с амином R1R2NH, в котором R1 и R2 имеют такие же значения, как R1 и R2 по любому из пп.1-27, в условиях нуклеофильного замещения. 34. Способ по п.33, где L означает группу RS(O)n-, где R является алкилом или фенильной группой и n является целым числом от 0 до 2. 35. Соединение по любому из пп.1-27, полученное способом по п.33. 36. Соединение по п.28, полученное способом по любому из пп.30-33. 37. Производные пиридопиримидинов по любому из пп.1-27 или 35 для получения лекарственного средства для лечения опосредованных р38 нарушений. 38. Производные пиридопиримидинов по п.37, где упомянутым опосредствованным р38 нарушением является артрит, болезнь Крона, синдром раздраженной толстой кишки, респираторный дистресс-синдром у взрослых или хроническое обструктивное заболевание легких, или упомянутым опосредствованным р38 нарушением является болезнь Альцгеймера. Приоритет от 12.02.2001 установлен по пп.1-38, Приоритет от 30.11.2001 установлен по пп.1-38 (уточнение пунктов).
MM4A – Досрочное прекращение действия патента СССР или патента Российской Федерации на изобретение из-за неуплаты в установленный срок пошлины за поддержание патента в силе
Дата прекращения действия патента: 05.02.2010
Извещение опубликовано: 27.11.2010 БИ: 33/2010
|
|||||||||||||||||||||||||||||||||||||||||||||||||||||||||||||||||||||||||||||||||||||||||||||||||||||||||||||||||||||||||||||||||||||||||||||||||||||||||||||||||||||||||||||||



, р38
, р38
и р38
). Киназы р38 ответственны за фосфорилирующие и активирующие факторы транскрипции, как и другие киназы, и активируются физической и химической нагрузкой, про-воспалительными цитокинами и бактериальными липополисахаридами.
























































































































































(8 г) в воде (50 мл) при 0-5°С. Затем смесь медленно нагревали до комнатной температуры и перемешивали еще 5 часов. Водная обработка приводила к техническому сульфону.

































































































