Патент на изобретение №2269519
|
||||||||||||||||||||||||||||||||||||||||||||||||||||
(54) СОЕДИНЕНИЯ ФЕНИЛПИРИДАЗИНА И СОДЕРЖАЩИЕ ИХ ЛЕКАРСТВЕННЫЕ СРЕДСТВА
(57) Реферат:
Предложены соединения фенилпиридазина, представленные следующей формулой (I): где R1 представляет замещенный или незамещенный фенил, где заместители выбраны из группы, содержащей галоген, низший алкил, низший алкокси и фенилтио; или пиридил; R2 представляет низшую алкоксигруппу, низшую алкилтиогруппу, низший алкилсульфинил или низший алкилсульфонил; R3 представляет водород или низшую алкоксигруппу; или R2 и R3 вместе могут быть конденсированы, образуя низший алкилендиоксигруппу; R4 представляет циано; карбоксил; замещенный или незамещенный низший алкил, где заместители выбраны из группы, содержащей гидроксил, карбоксил и N-гидрокси-N-низший алкиламинокарбонил; низший алкенил; низший алкилтио; низший алкилсульфинил; низший алкилсульфонил; низший алкилсульфонилокси; замещенный или незамещенный фенокси, где заместители выбраны из группы, содержащей галоген, низший алкокси, нитро, циано; незамещенный фенилтио или фенилтио, замещенный галогеном; пиридилокси; морфолино; морфолинокарбонил; 1-пиперазинилкарбонил, замещенный низшим алкилом; замещенный или незамещенный амино, где заместители выбраны из группы, содержащей низший алкил, бензил, фенил, который может быть замещен атомами галогена или низшими алкоксигруппами и n=0; или их соли. Данные соединения обладают превосходной ингибирующей активностью против производства интерлейкина-1
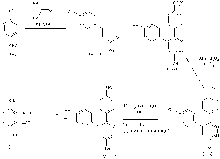
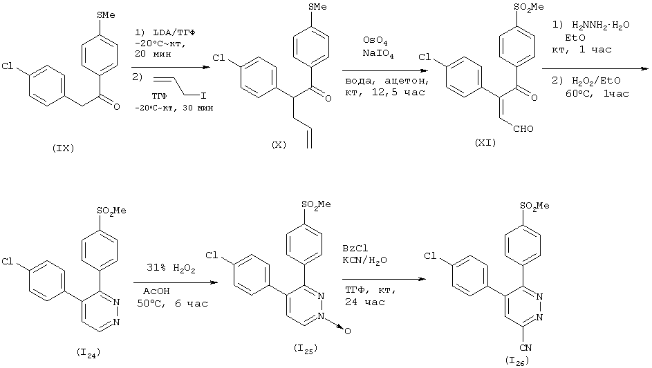
Область изобретения Настоящее изобретение касается соединений фенилпиридазина, обладающих превосходной ингибирующей активностью против производства интерлейкина-1 Известный уровень техники При многих заболеваниях, таких как ревматизм, артрит, остеопороз, воспалительный колит, синдром иммунодефицита, пиемия, гепатит, нефрит, ишемическая болезнь, инсулинзависимый сахарный диабет, артериальный склероз, болезнь Паркинсона, болезнь Альцгеймера и лейкоз, наблюдается стимуляция производства воспалительного цитокина, известного как интерлейкин-1 Из исследования, проведенного с применением рекомбинант данных ингибирующих биологическую активность веществ, анти-интерлейкин-1 Например, сообщается, что иммуносупрессоры и стероиды, применяемые для лечения ревматизма, ингибируют производство интерлейкина-1 Однако для всех этих соединений активность ингибирования производства интерлейкина-1 В последние годы исследования продвигаются с возрастающей активностью и сфокусированы на ингибирующем действии против производства интерлейкина-1 Однако ни одно из таких соединений не демонстрирует достаточную ингибирующую активность против производства интерлейкина-1 С другой стороны, известно, что разнообразные производные 5,6-дифенилпиридазина оказывают обезболивающее и противовоспалительное действие (Eur. J. Med. Chem., 14, 53060, 1979). Однако абсолютно ничего не известно в отношении ингибирующей активности данных производных 5,6-дифенилпиридазина против производства интерлейкина-1 В последние годы в JP 7-69894, WO 9841511, WO 9910331, WO 9910332, WO 9925697 и WO 9944995 раскрыты некоторые производные пиридазина, как обладающие ингибирующей активностью против производства интерлейкина-1 Таким образом, одной целью настоящего изобретения является обеспечение соединения, обладающего превосходной ингибирующей активностью против производства интерлейкина-1 Краткое описание изобретения Настоящее изобретение касается соединений пиридазина, представленных общей формулой (I), обладающих превосходной ингибирующей активностью против производства интерлейкина-1 А именно, настоящее изобретение относится к соединению фенилпиридазина, которое представлено следующей формулой (I): где R1 представляет замещенную или незамещенную фенильную группу или замещенную или незамещенную пиридильную группу; R2 представляет низшую алкоксигруппу, низшую алкилтиогруппу, низшую алкилсульфинильную группу или низшую алкилсульфонильную группу; R3 представляет атом водорода или низшую алкоксигруппу; или R2 и R3 вместе могут быть конденсированы, образуя алкилендиоксигруппу; R4 представляет водород, галоген, циано, карбоксил, замещенный или незамещенный низший алкил, замещенный или незамещенный низший алкенил, замещенный или незамещенный низший алкилтио, замещенный или незамещенный низший алкилсульфинил, замещенный или незамещенный низший алкилсульфонил, замещенный или незамещенный низший алкилсульфонилокси, замещенный или незамещенный арил, замещенный или незамещенный ароматический гетероцикл, замещенный или незамещенный фенокси, замещенный или незамещенный фенилтио, замещенный или незамещенный фенилсульфинил, замещенный или незамещенный фенилсульфонил, замещенный или незамещенный пиридилокси, замещенный или незамещенный морфолино, замещенный или незамещенный морфолинокарбонил, замещенный или незамещенный пиперидинокарбонил, замещенный или незамещенный 1-пиперазинилкарбонил или замещенный или незамещенный амино, и n равно 0 или 1, при условии, что, если R1 представляет 4-метоксифенильную группу, R2 представляет метоксигруппу и R3 представляет атом водорода, то R4 не может быть водородом или галогеном, а также R1 не может быть 4-(метилсульфонил)фенилом или 4-(аминосульфонил)фенилом; или его соль. Настоящее изобретение относится также к лекарственному средству, включающему в качестве активного ингредиента соединение фенилпиридазина (I) или его соль. Настоящее изобретение относится также к ингибитору производства интерлейкина-1 Настоящее изобретение относится также к фармацевтической композиции, включающей соединение фенилпиридазина (I) или его соль в качестве эффективного ингредиента и фармакологически приемлемый носитель. Настоящее изобретение относится также к способу лечения заболевания, вызванного стимуляцией производства интерлейкина-1 Кроме того, настоящее изобретение относится также к применению соединения фенилпиридазина (I) или его соли для производства лекарственного средства. Подробное описание предпочтительных вариантов Примерами низших алкильных групп и низших алкильных фрагментов в низшей алкоксигруппе, низшей алкилтиогруппе, низшей алкилсульфинильной группе, низшей алкилсульфонильной группе и низшей алкилсульфонилоксигруппе, которые использованы в данном описании, являются линейные, разветвленные или циклические низшие алкильные группы, имеющие от 1 до 6 атомов углерода, такие как метил, этил, н-пропил, изопропил, н-бутил, изобутил, трет-бутил, н-пентил, 2-метилбутил, 2,2-диметилпропил, циклопентил, циклогексил, н-гексил, 2-метилпентил, 3-метилпентил, 2,2-диметилбутил и 2,3-диметилбутил. Примеры атомов галогена могут включать атомы фтора, хлора, брома и йода. Примеры одной или более групп заместителей в замещенной фенильной или пиридильной группе, обозначенной R1 в формуле (I), включают галоген, гидроксил, алкил, низшие алкокси- и фенилтиогруппы, причем особо предпочтительны галоген, низшие алкокси- и фенилтиогруппы. Среди галогенов предпочтительны фтор и хлор, а среди низших алкоксигрупп предпочтительна метоксигруппа. Данные группы заместителей предпочтительно находятся в положении 4 фенильной группы, хотя, если требуется, могут располагаться в любом другом положении. Предпочтительной группой R1 является фенильная группа, или пиридильная группа, или группа, замещенная одним или более галогенами, низшими алкоксигруппами или фенилтиогруппами. Более предпочтительными группами R1 являются 4-метоксифенил, 4-пиридил, фенил, 4-фторфенил, 4-хлорфенил или 4-(фенилтио)фенил. В качестве низшего алкильного фрагмента в низших алкокси, низших алкилтио, низших алкилсульфинильных или низших алкилсульфонильных группах, обозначенных R2, особо предпочтительной является метильная группа. Наиболее предпочтительными R2 являются метокси, метилтио или метилсульфонильная группы. В качестве низшей алкоксигруппы, обозначенной R3, особо предпочтительной является метоксигруппа. Кроме того, если R2 и R3 объединены, образуя алкилендиоксигруппу, предпочтительной является этилендиоксигруппа. Примеры одной или более групп заместителей в замещенных низших алкильных группах, обозначенных R4, включают галоген, гидрокси, циано, нитро, амино, карбоксильные и замещенные или незамещенные аминокарбонильные группы. Иллюстрацией одной или более групп заместителей в аминокарбонильной группе является гидроксил и низшие алкильные группы. Примеры одной или более групп заместителей в замещенной низшей алкенильной группе, обозначенной R4, включают галоген и арильные группы. Примеры низшей алкенильной группы включают линейные, разветвленные или циклические низшие алкенильные группы, имеющие 1-6 атомов углерода, причем особо предпочтительна аллильная группа. Примеры одной или более групп заместителей в замещенной низшей алкилтиогруппе, замещенной низшей алкилсульфинильной группе, замещенной низшей алкилсульфонильной группе или замещенной низшей алкилсульфонилоксигруппе, обозначенной R4, включают арильные группы. Иллюстрацией одной или более групп заместителей в замещенной арильной группе или замещенной ароматической гетероциклической группе, обозначенной R4, является галоген, низший алкил, низшие алкокси, циано, нитро и аминогруппы, причем особо предпочтительны галоген и низшие алкильные группы. Примеры арильной группы включают фенил и группы с 6-10 атомами углерода, такие как нафтил, причем особо предпочтителен фенил. Примеры ароматических гетероциклических групп включают 5- или 6-членные кольца, содержащие азот, причем особо предпочтителен пиридил. Примеры одной или более групп заместителей в замещенной феноксигруппе, обозначенной R4, включают галоген, циано, нитро, амино, низшие алкильные и низшие алкоксигруппы, среди которых особо предпочтительны галоген, циано, нитро и низшие алкоксигруппы. Иллюстрацией одной или более групп заместителей в замещенных фенилтио, замещенных фенилсульфинильных или замещенных фенилсульфонильных группах, обозначенных R4, является галоген, низший алкил, низшие алкокси, циано, нитро и аминогруппы, причем особо предпочтителен галоген. Иллюстрацией одной или более групп заместителей в замещенной пиридилоксигруппе, обозначенной R4, является галоген, низший алкил, низшие алкокси, циано, нитро и аминогруппы. Иллюстрацией одной или более групп заместителей в замещенных морфолино, замещенных морфолинокарбонильных или замещенных пиперидинокарбонильных группах, обозначенных R4, является галоген, низший алкил, низшие алкоксигруппы, циано и нитрогруппы. Иллюстрацией одной или более групп заместителей в замещенной 1-пиперазинилкарбонильной группе, обозначенной R4, является галоген, низший алкил, низшие алкокси, циано, нитро и аминогруппы, причем особо предпочтительны низшие алкильные группы. Иллюстрацией одной или более групп заместителей в замещенной аминогруппе, обозначенной R4, является низший алкил, замещенный или незамещенный фенил, бензил или ацильные группы, среди которых предпочтительны низший алкил, замещенный или незамещенный фенил и бензил. Примеры групп заместителей в фенильной группе включают галоген, циано, нитро, амино и низшие алкоксигруппы, причем предпочтительны галоген и алкоксигруппы. Предпочтительными группами R4 являются водород; галоген; циано; карбоксил; низший алкил, который может быть замещен одной или более группами, выбранными из гидроксила, карбоксила или замещенных или незамещенных аминокарбонильных групп; низший алкенил; низший алкилтио; низший алкилсульфонил; низший алкилсульфонилокси; фенил; фенокси, который может быть замещен одной или более группами, выбранными из галогенов, циано, нитро или низших алкоксигрупп; фенилтио, который может быть замещен одним или более атомами галогенов; пиридилокси; морфолино; морфолинокарбонил; 1-пиперазинилкарбонил, который может быть замещен одной или более низшими алкильными группами; или аминогруппа, которая может быть замещена одной или более группами, выбранными из низшего алкила, замещенной или незамещенной фенильной или бензильной групп. В производных фенилпиридазина формулы (I) настоящего изобретения R1 представляет замещенную или незамещенную фенильную или пиридильную группу, R2 представляет низшую алкокси-, низшую алкилтио- или низшую алкилсульфонильную группу, R3 представляет водород или низшую алкоксигруппу, или R2 и R3 вместе могут быть конденсированы, образуя алкилендиоксигруппу. R4 представляет водород, галоген, циано, карбоксил, замещенный или незамещенный низший алкил, низший алкенил, низший алкилтио, низший алкилсульфонил, низший алкилсульфонилокси, замещенный или незамещенный арил, замещенный или незамещенный фенокси, замещенный или незамещенный низший фенилтио, пиридилокси, морфолино, морфолинокарбонил, 1-пиперазинилкарбонил или замещенную или незамещенную аминогруппу, и n равно 0 или 1, при условии, что исключено производное фенилпиридазина формулы (I), в которой R4 представляет атом водорода или галогена, R1 представляет 4-метоксифенил, R2 представляет метоксигруппу и R3 представляет водород; или, что исключено производное фенилпиридазина формулы (I), в которой R1 представляет 4-(метилсульфонил)фенил или 4-(аминосульфонил)фенил. Более предпочтительные конкретные примеры соединений фенилпиридазина (I) настоящего изобретения включают: 3,4-бис(4-метоксифенил)-6-(фенокси)пиридазин, 3,4-бис(4-метоксифенил)-6-(2,3-дифторфенокси)пиридазин, 3,4-бис(4-метоксифенил)-6-(2,5-дифторфенокси)пиридазин, 3,4-бис(4-метоксифенил)-6-(2,6-дифторфенокси)пиридазин, 3,4-бис(4-метоксифенил)-6-(3,4-дифторфенокси)пиридазин, 3,4-бис(4-метоксифенил)-6-(2,3,5,6-тетрафторфенокси)пиридазин, 3,4-бис(4-метоксифенил)-6-(2,3,4,5,6-пентафторфенокси)пиридазин, 3,4-бис(4-метоксифенил)-6-(3,4,5-трихлорфенилтио)пиридазин, 3,4-бис(4-метоксифенил)-6-(4-метоксифенокси)пиридазин, 3,4-бис(4-метоксифенил)-6-(4-нитрофенокси)пиридазин, 3,4-бис(4-метоксифенил)-6-(2-цианофенокси)пиридазин, 3,4-бис(4-метоксифенил)-6-(3-цианофенокси)пиридазин, 6-(2,4-дифторфенокси)-3-(4-метоксифенил)-4-(4-пиридил)пиридазин, 6-(2,3-дифторфенокси)-3-(4-метоксифенил)-4-фенилпиридазин, 6-(2,4-дифторфенокси)-3-(4-метоксифенил)-4-фенилпиридазин, 3-(4-метоксифенил)-6-(2,3,4,5,6-пентафторфенокси)-4-фенилпиридазин, 3-(4-метилтиофенил)-6-фенилтио-4-(4-фенилтиофенил)пиридазин, 4-(4-хлорфенил)-6-(2,4-дифторфенокси)-3-[4-(метилтио)фенил]пиридазин, 3,4-бис(4-метоксифенил)-6-цианопиридазин и 6-циано-3-(4-метоксифенил)-4-фенилпиридазин. Способ получения Способ получения соединения фенилпиридазина (I) настоящего изобретения или его соли не имеет никаких особых ограничений, и можно использовать различные способы, которые обычно используют для синтеза производных пиридазина, и их модификации. Например, соединение фенилпиридазина (I) настоящего изобретения или его соли можно получить по реакционным схемам любого из следующих способов получения 1-5. (Способ получения 1) где R1, R2 и R3 имеют такие же значения, как определены выше, R5 представляет замещенный или незамещенный морфолино, замещенный или незамещенный пиперидино, замещенный или незамещенный 1-пиперазинил или им подобные, R6 и R7 каждый независимо представляет водород, гидроксил, низший алкил или им подобные. Описанные далее способы получения предполагают подходящие растворители, реагенты, катализаторы и условия для каждой реакции. Однако понятно, что они являются лишь иллюстративными по природе и не ограничивают настоящее изобретение. В способе получения 1 исходные соединения (II) и (III) можно получить известными способами (WO 9925697). (1) Получение соединения (I1), в котором R4 обозначает галоген: Соединение (I1) можно получить взаимодействием агента галогенирования с соединением (II) в растворителе. Подходящие растворители, применимые в данной реакции, включают бензол, толуол и N,N-диметилформамид (ДМФ). Подходящими агентами галогенирования являются оксихлорид фосфора и тионилхлорид. Предпочтительно проводить взаимодействие при температуре от 20 до 150°С в течение 0,5-10 час, более предпочтительно при температуре от 50 до 130°С в течение 1-5 час. (2) Получение соединения (I2), в котором R4 обозначает замещенную или незамещенную феноксигруппу, соединения (I3), в котором R4 обозначает замещенную или незамещенную фенилтиогруппу, соединения (I4), в котором R4 обозначает замещенную или незамещенную пиридилоксигруппу, соединения (I5), в котором R4 обозначает замещенную или незамещенную морфолиногруппу, или соединения (I6), в котором R4 обозначает замещенную или незамещенную аминогруппу: Соединения (I2-I6) каждое можно получить взаимодействием соответствующего соединения (I1) с R4′Н, в котором R4′ обозначает замещенную или незамещенную феноксигруппу, замещенную или незамещенную фенилтиогруппу, замещенную или незамещенную пиридилоксигруппу, замещенную или незамещенную морфолиногруппу или замещенную или незамещенную аминогруппу, в присутствии основания в растворителе. Подходящие основания включают неорганические основания, такие как карбонат калия, карбонат натрия и гидрид натрия; и органические основания, такие как алкоксиды металлов. Примеры подходящих растворителей включают ДМФ, диметилсульфоксид, ацетон и метилэтилкетон. Предпочтительно проводить взаимодействие при 20-150°С в течение 1-20 час, более предпочтительно при 50-130°С в течение 2-10 час. (3) Получение соединения (I7), в котором R4 обозначает замещенный или незамещенный арил: Соединение (I7) можно получить при растворении соответствующего соединения (I1) в растворителе, последовательном добавлении палладиевого катализатора и арилмагнийбромида и проведении их взаимодействие. Подходящие для данной реакции растворители включают диэтиловый эфир, тетрагидрофуран (ТГФ), диметоксиэтан, бензол и толуол. Примеры палладиевого катализатора включают хлорид палладия и тетракис(трифенилфосфин)палладий. Предпочтительно проводить взаимодействие при 20-100°С в течение 0,5-2 час, более предпочтительно при 40-80°С в течение 1-1,5 час. (4) Получение соединения (I8), в котором R4 обозначает алкилтиогруппу: Соединение (I8) можно получить взаимодействием алкилгалогенида с соответствующим соединением (III) в присутствии гидрида натрия в растворителе. Подходящие для данной реакции растворители включают ДМФ, диметилсульфоксид, ацетон, ТГФ, диоксан и метилэтилкетон. Предпочтительно проводить взаимодействие при перемешивании и температуре от 0 до 50°С в течение 0,5-2 час, более предпочтительно при 5-20°С в течение 1 час. (5) Получение соединения (I9), в котором R4 обозначает алкилсульфонил: Соединение (I9) можно получить окислением соответствующего соединения (I8) в растворителе. Подходящие окислительные агенты включают смесь тетраоксид осмия-периодат натрия или метахлорпербензойную кислоту. В качестве растворителя можно использовать хлороформ, ацетон, бутанол или им подобные, или их смесь. Предпочтительно проводить взаимодействие при перемешивании и температуре от -40 до 50°С в течение 1-40 час, более предпочтительно при температуре от -10 до 20°С в течение 10-30 час. (6) Получение соединения (I10), в котором R4 обозначает алкилсульфонилоксигруппу: Соединение (I9) можно получить взаимодействием соответствующего соединения (II) с алкилсульфонилхлоридом в растворителе. Подходящие растворители включают пиридин, пиколин и лутидин. Предпочтительно проводить взаимодействие при 10-40°С в течение 1-10 дней, более предпочтительно при 20-30°С в течение 3-5 дней. (7) Получение соединения (I11), в котором R4 обозначает водород: Соединение (I11) можно получить, подвергая соответствующее соединение (I1) каталитическому восстановлению в присутствии катализатора в растворителе. Подходящие растворители включают метанол, этанол, ТГФ, этилацетат и уксусную кислоту. В качестве катализатора можно использовать 10% палладий на угле. Предпочтительно проводить реакцию в токе газообразного водорода при комнатной температуре и атмосферном давлении в течение 1-10 час, более предпочтительно в течение 4-5 час. (8) Получение соединения (I12), в котором R4 обозначает водород, а именно, пиридазин-оксидного соединения: Соединение (I12) можно получить взаимодействием соответствующего соединения (I11) с пероксидом водорода в растворителе. Подходящим растворителем является уксусная кислота. Предпочтительно проводить взаимодействие при 20-80°С в течение 2-10 час, более предпочтительно при 40-60°С в течение 4-6 час. (9) Получение соединения (I13), в котором R4 обозначает цианогруппу: Соединение (I13) можно получить взаимодействием соответствующего соединения (I12) с ацилирующим агентом и цианидом щелочного металла в растворителе. Подходящие цианиды щелочных металлов включают цианид натрия и цианид калия. В качестве ацилирующего агента можно использовать уксусный ангидрид, ацетилхлорид, бензоилхлорид или им подобные. Предпочтительно проводить взаимодействие при 10-40°С в течение 10-40 час, более предпочтительно при 20-30°С в течение 20-30 час. (10) Получение соединения (I14), в котором R4 обозначает карбоксил: Соединение (I14) можно получить гидролизом соответствующего соединения (I13) в присутствии неорганической кислоты или щелочи в растворителе. Подходящие растворители включают воду, этанол, метанол и их смеси. В качестве неорганической кислоты можно использовать хлористоводородную, серную, азотную кислоты или им подобные. В качестве щелочи можно использовать гидроксид натрия, гидроксид калия или им подобные. Предпочтительно проводить реакцию при перемешивании и температуре 60-140°С в течение 0,5-2 час, более предпочтительно при 80-120оС. (11) Получение соединения (I15), в котором R4 обозначает -COR5: Соединение (I15) можно получить взаимодействием соединения, которое представлено формулой R5H, где R5 имеет такое же значение, как определено выше, с соответствующим соединением (I14) в присутствии агента конденсации. Подходящие агенты конденсации включают 50% раствор циклического ангидрида 1-пропанфосфорной кислоты (n=3) в этилацетате. В качестве растворителя можно использовать ТГФ, ДМФ или их смеси. Предпочтительно проводить взаимодействие при перемешивании и температуре 10-40°С в течение 1-7 час, более предпочтительно при 20-30°С в течение 3-5 час. (12) Получение соединения (I16), в котором R4 обозначает алкенил: Соединение (I16) можно получить взаимодействием алкенилмагнийбромида с соответствующим соединением (I1) в присутствии палладиевого катализатора в растворителе и атмосфере инертного газа. Подходящие растворители включают ТГФ, бензол и толуол. В качестве палладиевого катализатора предпочтителен тетракис(трифенилфосфин)палладий или ему подобные. Предпочтительно проводить взаимодействие при температуре -20-40°С в течение 0,5-4 час, более предпочтительно при температуре -10-10°С в течение 0,5-1,5 час, продолжая реакцию при 20-30°С в течение 1-3 час. (13) Получение соединения (I17), в котором R4 обозначает гидроксиалкил: Соединение (I17) можно получить, подвергая алкенильную группу соответствующего соединения (I16) реакции гидроборирования. Реакцию гидроборирования можно проводить, например, добавляя раствор 9-борабицикло[3.3.1]нонана (9-BBN) или его соли к растворителю, в котором находится соединение (I16), в атмосфере инертного газа, такого как аргон или азот, перемешивая полученную смесь при 10-40°С в течение 5-30 час, предпочтительно при 20-30°С в течение 10-20 час, затем последовательно добавляя к реакционной смеси воду, водный раствор щелочи и раствор пероксида водорода при охлаждении ледяной водой и с последующим перемешиванием полученной таким образом смеси при 10-40°С в течение 1-4 час, предпочтительно при 20-30°С в течение 1,5-3 час. (14) Получение соединения (I18), в котором R4 обозначает карбоксиалкил: Соединение (I18) можно получить, подвергая соединение (I17) реакции окисления окислителем в растворителе. Подходящие растворители включают ацетон и уксусную кислоту. В качестве окислителя предпочтителен реактив Джонса. Предпочтительно проводить взаимодействие при 10-40°С в течение 4-12 час, более предпочтительно при температуре 20-30°С в течение 6-10 час. (15) Получение соединения (I19), в котором R4 обозначает алкил, замещенный замещенным или незамещенным аминокарбонилом: Соединение (I19) можно получить взаимодействием соответствующего соединения (I18) и соединения, представленного формулой R6R7NH, в котором R6 и R7 имеют такие же значения, как определено выше, аналогично получению соединения (I15). (Способ получения 2) Получение соединения (I20), в котором R2 обозначает низший алкилсульфонил: Соединение (I20) можно получить окислением соответствующего соединения (IV) в растворителе. В данном случае можно применять реакцию, аналогичную реакции, применяемой при получении соединения (I9). Альтернативно, в качестве окислителя можно использовать пероксид водорода, а в качестве растворителя уксусную кислоту или тому подобное. В данном случае предпочтительно проводить взаимодействие при 40-100°С в течение 0,5-6 час, более предпочтительно при 60-80°С в течение 2-4 час. (Способ получения 3) Получение соединения (I21), в котором R1 обозначает фенилтиофенил, и R4 обозначает фенилтиогруппу: Соединение (I21) можно получить взаимодействием соответствующего соединения (I1), в котором R1 обозначает галогенфенильную группу, с тиофенолом в присутствии основания в растворителе. Подходящие основания включают неорганические основания, такие как карбонат калия, карбонат натрия и гидрид натрия; и органические основания, такие как алкоксиды металлов. В качестве растворителя можно использовать ДМФ, диметилсульфоксид, ацетон, метилэтилкетон или им подобные. Предпочтительно проводить взаимодействие при 50-300°С в течение 5-40 час, более предпочтительно при 100-200°С в течение 10-30 час. (Способ получения 4) В способе получения 4 можно получить соединение (VII) взаимодействием ацетона с соединением (V) в присутствии основания в растворителе. Подходящие растворители включают ацетон, этанол, метанол и их смеси. Примеры оснований включают пиперидин, морфолин и диизопропиламин. Предпочтительно проводить взаимодействие при перемешивании и температуре 10-40°С в течение 10 мин-1 час, более предпочтительно в течение 20-40 мин. Альтернативно, в качестве соединения (VII) можно использовать коммерческий продукт от Lancaster. (1) Получение соединения (I22), в котором R4 обозначает алкил: Соединение (I22) можно получить, проводя взаимодействие соединения (VI) и соединения (VII) в присутствии цианида щелочного металла в растворителе с получением соединения (VIII), взаимодействие гидразингидрата с соединением (VIII) в растворителе и последующую дегидрогенизацию. Подходящие растворители для взаимодействия соединения (VI) и соединения (VII) включают ДМФ и диметилсульфоксид, а примеры цианида щелочного металла включают цианид калия и цианид натрия. Подходящие растворители для взаимодействия с гидразингидратом включают этанол и изопропанол. Предпочтительно проводить взаимодействие при перемешивании и температуре 50-100°С в течение 4-10 час, более предпочтительно при 70-90°С в течение 6-8 час. Реакцию дегидрогенизации можно осуществить окислением воздухом в таком растворителе, как хлороформ. (2) Получение соединения (I23), в котором R2 обозначает алкилсульфонил, и R4 обозначает алкил: Соединение (I23) можно получить взаимодействием соответствующего соединения (I22), в котором R2 обозначает алкилтиогруппу, по аналогичной методике получения соединения (I20). (Способ получения 5) В способе получения 5 соединение (IX) можно получить по известной методике (WO 9925697). Соединение (Х) можно получить, добавлением литийдиизопропиламида (ЛДА) при -20°С к раствору соединения (IX) в ТГФ, проведением затем взаимодействия при комнатной температуре в течение 20 мин, добавлением аллилйодида и последующим проведением их взаимодействия при комнатной температуре в течение 30 мин. Соединение (XI) можно получить окислением соединения (Х) тетраоксидом осмия, аналогично описанному выше способу. (1) Получение соединения (I24), в котором R1 обозначает галогенфенил и R4 обозначает водород: Соединение (I24) можно получить взаимодействием соединения (XI) по аналогичной методике получения соединения (I22). (2) Получение соединения (I25), пиридазин 1-оксида, в котором R1 обозначает галогенфенил и R4 обозначает водород: Соединение (I25) можно получить взаимодействием соединения (I24) по аналогичной методике получения соединения (I12). (3) Получение соединения (I26), в котором R1 обозначает галогенфенил и R4 обозначает цианогруппу: Соединение (I26) можно получить взаимодействием соединения (I25) по аналогичной методике получения соединения (I13). Промежуточные соединения и целевые соединения, полученные в описанных выше конкретных реакциях, можно выделить и очистить способами очистки, обычно применяемыми в синтетической органической химии, включая, но, не ограничиваясь ими, фильтрование, экстракцию, промывание, сушку, концентрирование, перекристаллизацию, различные хроматографические методы. Промежуточные продукты можно использовать в следующих реакциях без их очистки или можно очистить, если необходимо, применяя обычные способы очистки. Кроме того, их можно получать в виде сольватов растворителей, таких как реакционные растворители или растворители перекристаллизации, в особенности, гидратов. Примерами солей фенилпиридазиновых соединений настоящего изобретения являются гидрохлорид, нитрат, гидробромид, ацетат, сульфат, пара-толуолсульфонат, метансульфонат, фумарат, сукцинат, лактат, соль натрия, соль калия, соль магния, соль кальция, соль аммония, соль метиламмония, соль диметиламмония и триметиламмония. Фенилпиридазиновые соединения (I) и их соли, соответствующие настоящему изобретению, обладают превосходной ингибирующей активностью относительно производства интерлейкина-1 Фармацевтические композиции настоящего изобретения содержат в качестве активного ингредиента фенилпиридазиновые соединения (I) или их соли. Для данных композиций можно применять любые способы введения, включая, но, не ограничиваясь ими, пероральное введение в виде таблеток, капсул, гранул, порошков или сиропов, и парентеральное введение путем внутривенных инъекций, внутримышечных инъекций, в виде суппозиториев, ингаляций, трансдермальных препаратов, глазных капель или носовых капель. При получении фармацевтических композиций в виде различных стандартных дозированных форм активные ингредиенты можно использовать сами по себе или, если требуется, в комбинации с обычными фармацевтически приемлемыми эксципиентами, связующими, заменителями, разрыхлителями, поверхностно-активными веществами, смазывающими агентами, диспергирующими агентами, буферами, консервантами, модификаторами, ароматизаторами, покрывными агентами, растворителями, разбавителями и/или носителями. Дозировку каждой фармацевтической композиции настоящего изобретения варьируют в зависимости от веса тела, возраста, пола и состояния пациента. Однако для взрослых обычно предпочтительно пероральное или парентеральное введение соединений, представленных формулой (I) в количестве примерно от 0,01 до 1000 мг, предпочтительно от 0,1 до 100 мг в день, одной или несколькими порциями. Примеры После описания данного изобретения в общих чертах можно получить дополнительное понимание при обращении к некоторым конкретным примерам, которые представлены здесь только для иллюстрации, а не с целью ограничения, если не указано иного. Пример 1 Получение 3,4-бис(4-метоксифенил)-6-фенилпиридазина 3,4-Бис(4-метоксифенил)-6-хлорпиридазин [Eur. J. Med. Chem.-Chimica Therapeutica, 14, 53-60 (1979)] (309,3 мг, 0,95 ммоль) растворяют в бензоле (2 мл). Добавляют последовательно тетракис(трифенилфосфин)палладий [Pd(Ph3P)4] (90,6 мг, 0,08 ммоль) и фенилмагнийбромид (1,0 М тетрагидрофурановый раствор) (1,5 мл) и далее перемешивают при 60°С в течение 75 мин. После добавления к реакционной смеси воды-метиленхлорида смесь экстрагируют метиленхлоридом и органический слой сушат над безводным сульфатом натрия. Растворитель отгоняют, а остаток отделяют и очищают хроматографией на колонке с силикагелем [силикагель (10 г), гексан/этилацетат (2/1)], при этом получают указанное в заголовке соединение в виде светло-желтого аморфного твердого вещества (129 мг, 36,9%). 1Н-ЯМР (CDCl3) ИК (пленка) см-1: 1609, 1514, 1392, 1252, 1178. Пример 2 Получение 3,4-бис(4-метоксифенил)-6-(2,4-дифторфенилтио)пиридазина 3,4-Бис(4-метоксифенил)-6-хлорпиридазин (440 мг, 1,35 ммоль) растворяют в N,N-диметилформамиде (5 мл). Добавляют последовательно карбонат калия (400 мг, 2,90 ммоль) и 2,4-дифтортиофенол (300 мг, 2,05 ммоль) и затем перемешивают при 80°С в течение 7 час. Реакционную смесь концентрируют при пониженном давлении, остаток экстрагируют хлороформом и органический слой сушат над безводным сульфатом натрия. Растворитель отгоняют, остаток отделяют и очищают препаративной тонкослойной хроматографией на силикагеле [проявляющий растворитель: гексан/этилацетат (8/1)], полученные кристаллы перекристаллизовывают из смеси хлороформ-диэтиловый эфир-гексан, получая бесцветные иглы (219,7 мг, 37,4%). Т.пл. 112,0-113,0°С. 1Н-ЯМР (CDCl3) ИК (KBr) см-1: 1608, 1509, 1487, 1387, 1297, 1251, 1178. Пример 3 Получение 3,4-бис(4-метоксифенил)-6-(фенилтио)пиридазина Аналогично способу примера 2 подвергают взаимодействию 3,4-бис(4-метоксифенил)-6-хлорпиридазин (160 мг, 0,490 ммоль) и фенол в качестве исходных веществ при 120°С в течение 22 час и проводят дальнейшую обработку, получая указанное в заголовке соединение в виде бесцветных игл (133,1 мг, 70,7%). Т.пл. 198,8-199,5°С (этилацетат-гексан). 1Н-ЯМР (CDCl3) ИК (KBr) см-1: 1608, 1512, 1489, 1419, 1397, 1251, 1216, 1174. Пример 4 Получение 3,4-бис(4-метоксифенил)-6-(фенокси)пиридазина Аналогично способу примера 2 подвергают взаимодействию 3,4-бис(4-метоксифенил)-6-хлорпиридазин (352,5 мг, 1,08 ммоль) и тиофенол в качестве исходных веществ при 100°С в течение 7 час и проводят дальнейшую обработку, получая указанное в заголовке соединение в виде бесцветного кристаллического порошка (55,8 мг, 12,9%). Т.пл. 176,9-177,8°С (хлороформ-диэтиловый эфир). 1Н-ЯМР(CDCl3) ИК (KBr) см-1: 1607, 1508, 1387, 1219, 1174. Пример 5 Получение 3,4-бис(4-метоксифенил)-6-(2,3-дифторфенокси)пиридазина Аналогично способу примера 2 подвергают взаимодействию 3,4-бис(4-метоксифенил)-6-хлорпиридазин (180 мг, 0,551 ммоль) и 2,3-дифторфенол в качестве исходных веществ при 150°С в течение 19 час и проводят дальнейшую обработку, получая указанное в заголовке соединение в виде бесцветного кристаллического порошка (208,3 мг, 90,0%). Т.пл. 157,5-159,0°С (хлороформ-гексан). 1Н-ЯМР (CDCl3) ИК (KBr) см-1: 1609, 1513, 1478, 1420, 1396, 1372, 1295, 1251, 1201, 1176. Пример 6 Получение 3,4-бис(4-метоксифенил)-6-(2,4-дифторфенокси)пиридазина Аналогично способу примера 2 подвергают взаимодействию 3,4-бис(4-метоксифенил)-6-хлорпиридазин (200 мг, 0,613 ммоль) и 2,4-дифторфенол в качестве исходных веществ при 120°С в течение 13 час и проводят дальнейшую обработку, получая указанное в заголовке соединение в виде бесцветного кристаллического порошка (136 мг, 52,5%). Т.пл. 141,7-142,5°С (диэтиловый эфир-гексан). 1Н-ЯМР (CDCl3) ИК (KBr) см-1: 1610, 1506, 1395, 1299, 1249, 1208, 1179. Пример 7 Получение 3,4-бис(4-метоксифенил)-6-(2,5-дифторфенокси)пиридазина Аналогично способу примера 2 подвергают взаимодействию 3,4-бис(4-метоксифенил)-6-хлорпиридазин (200 мг, 0,613 ммоль) и 2,5-дифторфенол в качестве исходных веществ при 150°С в течение 24 час и проводят дальнейшую обработку, получая указанное в заголовке соединение в виде бесцветного кристаллического порошка (235,5 мг, 91,5%). Т.пл. 174,4-175,2°С (хлороформ-гексан). 1Н-ЯМР(CDCl3) ИК (KBr) см-1: 1608, 1507, 1419, 1398, 1372, 1301, 1250, 1209, 1173. Пример 8 Получение 3,4-бис(4-метоксифенил)-6-(2,6-дифторфенокси)пиридазина Аналогично способу примера 2 подвергают взаимодействию 3,4-бис(4-метоксифенил)-6-хлорпиридазин (200 мг, 0,613 ммоль) и 2,6-дифторфенол в качестве исходных веществ при 150°С в течение 72 час и проводят дальнейшую обработку, получая указанное в заголовке соединение в виде бесцветного кристаллического порошка (101,0 мг, 39,3%). Т.пл. 204,7-206,4°С (хлороформ-гексан). 1Н-ЯМР (CDCl3) ИК (KBr) см-1: 1609, 1513, 1499, 1479, 1394, 1295, 1251, 1221, 1178. Пример 9 Получение 3,4-бис(4-метоксифенил)-6-(3,4-дифторфенокси)пиридазина Аналогично способу примера 2 подвергают взаимодействию 3,4-бис(4-метоксифенил)-6-хлорпиридазин (150 мг, 0,459 ммоль) и 3,4-дифторфенол в качестве исходных веществ при 150°С в течение 14 час и проводят дальнейшую обработку, получая указанное в заголовке соединение в виде светло-желтого аморфного твердого вещества (190,2 мг, 99,1%). 1Н-ЯМР (CDCl3) ИК (KBr) см-1: 1610, 1587, 1574, 1506, 1419, 1394, 1373, 1298, 1251, 1209, 1179. Пример 10 Получение 3,4-бис(4-метоксифенил)-6-(3,5-дифторфенокси)пиридазина Аналогично способу примера 2 подвергают взаимодействию 3,4-бис(4-метоксифенил)-6-хлорпиридазин (250 мг, 0,766 ммоль) и 3,5-дифторфенол в качестве исходных веществ при 150°С в течение 6 час и проводят дальнейшую обработку, получая указанное в заголовке соединение в виде бесцветных игл (315,0 мг, 98,0%). Т.пл. 135,1-137,5°С (этилацетат-диэтиловый эфир-гексан). 1Н-ЯМР (CDCl3) ИК (KBr) см-1: 1609, 1514, 1466, 1394, 1373, 1253, 1212, 1182. Пример 11 Получение 3,4-бис(4-метоксифенил)-6-(2,3,5,6-тетрафторфенокси)пиридазина Аналогично способу примера 2 подвергают взаимодействию 3,4-бис(4-метоксифенил)-6-хлорпиридазин (200 мг, 0,613 ммоль) и 2,3,5,6-тетрафторфенол в качестве исходных веществ при 150°С в течение 12 час и проводят дальнейшую обработку, получая указанное в заголовке соединение в виде бесцветного кристаллического порошка (105,7 мг, 37,8%). Т.пл. 172,5-174,5°С (гексан). 1Н-ЯМР (CDCl3) ИК (KBr) см-1: 1610, 1526, 1515, 1484, 1393, 1264, 1250, 1203, 1181. Пример 12 Получение 3,4-бис(4-метоксифенил)-6-(2,3,4,5,6-пентафторфенокси)пиридазина Аналогично способу примера 2 подвергают взаимодействию 3,4-бис(4-метоксифенил)-6-хлорпиридазин (200 мг, 0,613 ммоль) и 2,3,4,5,6-пентафторфенол в качестве исходных веществ при 150°С в течение 24 час и проводят дальнейшую обработку, получая указанное в заголовке соединение в виде бесцветного аморфного твердого вещества (175,6 мг, 60,5%). 1Н-ЯМР (CDCl3) ИК (пленка) см-1: 1610, 1520, 1472, 1395, 1371, 1298, 1253, 1205, 1180. Пример 13 Получение 3,4-бис(4-метоксифенил)-6-(2,4-дихлорфенокси)пиридазина Аналогично способу примера 2 подвергают взаимодействию 3,4-бис(4-метоксифенил)-6-хлорпиридазин (150 мг, 0,495 ммоль) и 2,4-дихлорфенол в качестве исходных веществ при 150°С в течение 15 час и проводят дальнейшую обработку, получая указанное в заголовке соединение в виде бесцветного кристаллического порошка (195,5 мг, 93,9%). Т.пл. 152,2-152,8°С (этилацетат-гексан). 1Н-ЯМР (CDCl3) ИК (KBr) см-1: 1608, 1513, 1473, 1420, 1394, 1372, 1255, 1231, 1179. Пример 14 Получение 3,4-бис(4-метоксифенил)-6-(3,4,5-трифторфенокси)пиридазина Аналогично способу примера 2 подвергают взаимодействию 3,4-бис(4-метоксифенил)-6-хлорпиридазин (200 мг, 0,613 ммоль) и 3,4,5-трихлорфенол [Ger. Offen. DE 2515699 19751023 (Dow Chemical Co., U.S.A.)] в качестве исходных веществ при 100°С в течение 72 час и проводят дальнейшую обработку, получая указанное в заголовке соединение в виде бесцветного аморфного твердого вещества (125,3 мг, 40,6%). 1Н-ЯМР (CDCl3) ИК (пленка) см-1: 1608, 1510, 1385, 1298, 1252, 1179. Пример 15 Получение 3,4-бис(4-метоксифенил)-6-(4-метоксифенокси)пиридазина Аналогично способу примера 2 подвергают взаимодействию 3,4-бис(4-метоксифенил)-6-хлорпиридазин (150 мг, 0,459 ммоль) и 4-метоксифенол в качестве исходных веществ при 150°С в течение 24 час и проводят дальнейшую обработку, получая указанное в заголовке соединение в виде бесцветных призм (180,1 мг, 94,7%). Т. пл. 146,7-148,2°С (этилацетат-диэтиловый эфир-гексан). 1Н-ЯМР (CDCl3) ИК (KBr) см-1: 1610, 1512, 1504, 1396, 1252, 1219, 1180. Пример 16 Получение 3,4-бис(4-метоксифенил)-6-(3-нитрофенокси)пиридазина Аналогично способу примера 2 подвергают взаимодействию 3,4-бис(4-метоксифенил)-6-хлорпиридазин (106,9 мг, 0,327 ммоль) и 3-нитрофенол в качестве исходных веществ при 150°С в течение 17 час и проводят дальнейшую обработку, получая указанное в заголовке соединение в виде светло-желтых призм (140,4 мг, 99,9%). Т.пл. 172,2-174,0°С (этилацетат-диэтиловый эфир-гексан). 1Н-ЯМР (CDCl3) ИК (KBr) см-1: 1610, 1528, 1514, 1395, 1347, 1253, 1227, 1178. Пример 17 Получение 3,4-бис(4-метоксифенил)-6-(4-нитрофенокси)пиридазина Аналогично способу примера 2 подвергают взаимодействию 3,4-бис(4-метоксифенил)-6-хлорпиридазин (150 мг, 0,495 ммоль) и 4-нитрофенол в качестве исходных веществ при 150°С в течение 15 час и проводят дальнейшую обработку, получая указанное в заголовке соединение в виде светло-желтого кристаллического порошка (146,1 мг, 74,1%). Т.пл. 197,7-201,1°С (этилацетат-гексан). 1Н-ЯМР (CDCl3) ИК (KBr) см-1: 1675, 1608, 1590, 1515, 1488, 1345, 1296, 1250, 1181. Пример 18 Получение 3,4-бис(4-метоксифенил)-6-(2-цианофенокси)пиридазина Аналогично способу примера 2 подвергают взаимодействию 3,4-бис(4-метоксифенил)-6-хлорпиридазин (110 мг, 0,337 ммоль) и 2-цианофенол в качестве исходных веществ при 150°С в течение 24 час. и проводят дальнейшую обработку, получая указанное в заголовке соединение в виде светло-желтого аморфного твердого вещества (121,4 мг, 88,1%). Т.пл. 197,7-201,1°С (этилацетат-гексан). 1Н-ЯМР (CDCl3) ИК (KBr) см-1: 3233, 1609, 1514, 1486, 1395, 1252, 1235, 1179. Пример 19 Получение 3,4-бис(4-метоксифенил)-6-(3-цианофенокси)пиридазина Аналогично способу примера 2 подвергают взаимодействию 3,4-бис(4-метоксифенил)-6-хлорпиридазин (175 мг, 0,536 ммоль) и 3-цианофенол в качестве исходных веществ при 150°С в течение 19 час и проводят дальнейшую обработку, получая указанное в заголовке соединение в виде бесцветных призм (165 мг, 75,2%). Т.пл. 169,9-172,7°С (этилацетат-диэтиловый эфир-гексан). 1Н-ЯМР (CDCl3) ИК (KBr) см-1: 2236, 1608, 1514, 1255, 1242, 1179. Пример 20 Получение 3,4-бис(4-метоксифенил)-6-(4-цианофенокси)пиридазина Аналогично способу примера 2 подвергают взаимодействию 3,4-бис(4-метоксифенил)-6-хлорпиридазин (150 мг, 0,459 ммоль) и 4-цианофенол в качестве исходных веществ при 150°С в течение 13 час и проводят дальнейшую обработку, получая указанное в заголовке соединение в виде светло-желтого кристаллического порошка (108,0 мг, 57,5%). Т.пл. 167,3-170,5°С (этилацетат-гексан). 1Н-ЯМР (CDCl3) ИК (KBr) см-1: 2228, 1608, 1584, 1513, 1501, 1421, 1394, 1372, 1298, 1254, 1224, 1177. Пример 21 Получение 3,4-бис(4-метоксифенил)-6-(4-пиридилокси)пиридазина Аналогично способу примера 2 подвергают взаимодействию 3,4-бис(4-метоксифенил)-6-хлорпиридазин (200 мг, 0,613 ммоль) и 4-гидроксипиридин в качестве исходных веществ при 150°С в течение 22 час и проводят дальнейшую обработку, получая указанное в заголовке соединение в виде светло-желтого кристаллического порошка (201,6 мг, 85,2%). 1Н-ЯМР (CDCl3) ИК (KBr) см-1: 1637, 1609, 1567, 1514, 1254, 1190. Пример 22 Получение 6-хлор-3-(4-метоксифенил)-4-(4-пиридил)пиридазина Оксихлорид фосфора (100 мл) добавляют к 6-(4-метоксифенил)-5-(4-пиридил)-2Н-пиридазин-3-ону [WO 9925697] (3,00 г, 10,8 ммоль) и перемешивают при 90°С в течение 1 час. Реакционную смесь концентрируют при пониженном давлении и добавляют к остатку воду. Полученную смесь экстрагируют этилацетатом. Органический слой промывают насыщенным водным раствором карбоната калия и затем сушат над безводным сульфатом натрия. Экстракт концентрируют при пониженном давлении, остаток кристаллизуют из смеси этилацетат-диэтиловый эфир, получая указанное в заголовке соединение в виде светло-желтых призм, т.пл. которых составляет 186,2-188,9°С (2,88 г, 90,0%). 1Н-ЯМР (CDCl3) ИК (KBr) см-1: 1608, 1579, 1562, 1520, 1387, 1254, 1182. Пример 23 Получение 6-(2,4-дифторфенокси)-3-(4-метоксифенил)-4-(4-пиридил)пиридазина Аналогично способу примера 2 подвергают взаимодействию 2,6-хлор-3-(4-метоксифенил)-4-(4-пиридил)пиридазин (150 мг, 0,504 ммоль) и 2,4-дифторфенол в качестве исходных веществ при 150°С в течение 25 час и проводят дальнейшую обработку, получая указанное в заголовке соединение в виде светло-желтого аморфного твердого вещества (157,0 мг, 79,6%). 1Н-ЯМР (CDCl3) ИК (пленка) см-1: 1610, 1586, 1506, 1399, 1374, 1250, 1212, 1178. Пример 24 Получение 6-хлор-3-(4-метоксифенил)-4-фенилпиридазина 6-(4-Метоксифенил)-5-фенил-2Н-пиридазин-3-он [WO 9925697] (2,76 г, 9,60 ммоль) и оксихлорид фосфора (2,8 мл) перемешивают при 90°С в течение 5 час в бензоле. Реакционную смесь обрабатывают аналогично способу примера 22, получая указанное в заголовке соединение в виде светлого желто-коричневого масла (1,83 г, 64,3%). 1Н-ЯМР (CDCl3) ИК (пленка) см-1: 1609, 1579, 1558, 1521, 1499, 1386, 1337, 1298, 1253, 1177. Пример 25 Получение 6-(2,3-дифторфенокси)-3-(4-метоксифенил)-4-фенилпиридазина Аналогично способу примера 2 подвергают взаимодействию 6-хлор-3-(4-метоксифенил)-4-фенилпиридазин (210 мг, 0,708 ммоль) и 2,3-дифторфенол в качестве исходных веществ при 150°С в течение 20 час и проводят дальнейшую обработку, получая указанное в заголовке соединение в виде бесцветных призм (230,3 мг, 83,4%). Т. пл. 155,2-156,6оС (этилацетат-гексан). 1Н-ЯМР (CDCl3) ИК (KBr) см-1: 1608, 1508, 1478, 1399, 1371, 1362, 1255, 1224, 1207, 1182, 1033, 1014, 849. Масс-спектр m/z: 390(M+) Пример 26 Получение 6-(2,4-дифторфенокси)-3-(4-метоксифенил)-4-фенилпиридазина Аналогично способу примера 2 подвергают взаимодействию 6-хлор-3-(4-метоксифенил)-4-фенилпиридазин (215 мг, 0,725 ммоль) и 2,4-дифторфенол в качестве исходных веществ при 150°С в течение 20 час и проводят дальнейшую обработку, получая указанное в заголовке соединение в виде бесцветных игл (169,7 мг, 60,0%). Т. пл. 169,0-169,9оС (этилацетат-гексан). 1Н-ЯМР (CDCl3) ИК (KBr) см-1: 1508, 1396, 1249, 1213. Масс-спектр m/z: 390(M+) Пример 27 Получение 3-(4-метоксифенил)-6-(2,3,4,5,6-пентафторфенокси)-4-фенилпиридазина Аналогично способу примера 2 подвергают взаимодействию 6-хлор-3-(4-метоксифенил)-4-фенилпиридазин (200 мг, 0,675 ммоль) и 2,3,4,5,6-пентафторфенол в качестве исходных веществ при 150°С в течение 48 час и проводят дальнейшую обработку, получая указанное в заголовке соединение в виде бесцветного кристаллического порошка (91,2 мг, 30,5%). Т. пл. 133,1-133,9оС (этилацетат-гексан). 1Н-ЯМР (CDCl3) ИК (KBr) см-1: 1612, 1519, 1399, 1369, 1207, 1178. Пример 28 Получение 6-хлор-4-(4-фторфенил)-3-[4-(метилтио)фенил]пиридазина 5-(4-Фторфенил)-6-[4-(метилтио)фенил]-2Н-пиридазин-3-он [WO 9925697] (510 мг, 1,633 ммоль) и оксихлорид фосфора (8 мл) перемешивают при 100°С в течение 2 час. Реакционную смесь обрабатывают аналогично способу примера 22. Полученные таким образом кристаллы перекристаллизовывают из смеси этилацетат-гексан, получая указанное в заголовке соединение в виде светло-желтых игл (367 мг, 69,2%). Т. пл. 130,9-131,4оС. 1Н-ЯМР (CDCl3) ИК (KBr) см-1: 1603, 1595, 1503, 1385, 1221, 1137, 1109, 843, 828, 784. Масс-спектр m/z: 330(M+), 331(M+), 332(M+), 333(M+), 334(M+). Пример 29 Получение 6-(2,4-дифторфенокси)-4-(4-фторфенил)-3-[4-(метилтио)фенил]пиридазина Аналогично способу примера 2 подвергают взаимодействию 6-хлор-4-(4-фторфенил)-3-[4-(метилтио)фенил]пиридазин (198 мг, 0,599 ммоль) и 2,4-дифторфенол в качестве исходных веществ при 150°С в течение 20 час и проводят дальнейшую обработку, получая указанное в заголовке соединение в виде светло-желтых кристаллов (197 мг, 77,4%). Т. пл. 140,6-143,4°С (ацетон-вода). 1Н-ЯМР (CDCl3) ИК (KBr) см-1: 1638, 1606, 1505, 1393, 1213, 1140, 1101, 965, 849. Масс-спектр m/z: 424(M+), 425(M+), 426(M+). Пример 30 Получение 3-[4-(метилтио)фенил]-6-фенилтио-4-[4-(фенилтио)фенил]пиридазина Аналогично способу примера 2 подвергают взаимодействию 6-хлор-4-(4-фторфенил)-3-[4-(метилтио)фенил]пиридазин (198 мг, 0,599 ммоль) и тиофенол (165 мг, 1,5 ммоль) в качестве исходных веществ при 150°С в течение 20 час и проводят дальнейшую обработку, получая указанное в заголовке соединение в виде желтого масла (217 мг, 73,1%). 1Н-ЯМР (CDCl3) ИК (KBr) см-1: 1674, 1594, 1475, 1439, 1379, 1336, 1106, 824. Масс-спектр m/z: 494(M+), 496(M+). Пример 31 Получение 6-хлор-4-(4-хлорфенил)-3-[4-(метилтио)фенил]пиридазина 5-(4-Хлорфенил)-6-[4-(метилтио)фенил]-2Н-пиридазин-3-он [WO 9925697] (700 мг) подвергают взаимодействию в качестве исходного вещества при 100°С в течение 2 час. Аналогично способу примера 22, получая указанное в заголовке соединение в виде бесцветных кристаллов (дихлорметан-гексан) с выходом 93,4%. Т.пл. 145,0-145,8оС. 1Н-ЯМР (CDCl3) ИК (KBr) см-1: 3436, 1595, 1489, 1383, 1107, 1091, 833, 825. Масс-спектр m/z: 346(M+), 348(M+). Пример 32 Получение 3-[4-(метилтио)фенил]-6-фенилтио-4-[4-(фенилтио)фенил]пиридазина Аналогично способу примера 2 подвергают взаимодействию 6-хлор-4-(4-хлорфенил)-3-[4-(метилтио)фенил]пиридазин (150 мг, 0,303 ммоль) и тиофенол (119 мг) в качестве исходных веществ при 150°С в течение 20 час и проводят дальнейшую обработку, получая указанное в заголовке соединение в виде светло-желтого кристаллического порошка (85,0 мг, 39,8%). Т.пл. 53,3-56,2°С (диэтиловый эфир-гексан). 1Н-ЯМР (CDCl3) ИК (KBr) см-1: 1594, 1489, 1475, 1439, 1379, 1336, 1106, 1083, 824, 748, 691. Масс-спектр m/z: 494(M+), 496(M+). Пример 33 Получение 4-(4-хлорфенил)-6-(2,4-дифторфенокси)-3-[4-(метилтио)фенил]пиридазина Аналогично способу примера 2 подвергают взаимодействию 6-хлор-4-(4-хлорфенил)-3-[4-(метилтио)фенил]пиридазин (230,0 мг, 0,662 ммоль) и 2,4-дифторфенол в качестве исходных веществ при 150°С в течение 20 час и проводят дальнейшую обработку, получая указанное в заголовке соединение в виде бесцветных пластин (дихлорметан-гексан, 216,2 мг, 74,0%). Т.пл. 163,2-164,0°С. 1Н-ЯМР (CDCl3) ИК (KBr) см-1: 1596, 1506, 1492, 1411, 1389, 1372, 1247, 1212, 1142, 1096. Масс-спектр m/z: 440(M+), 442(M+). Пример 34 Получение 4-(4-хлорфенил)-6-(2,4-дифторфенокси)-3-[4-(метилсульфонил)фенил]пиридазина 4-(4-Хлорфенил)-6-(2,4-дифторфенокси)-3-[4-(метилтио)фенил]пиридазин (108 мг, 0,24 ммоль) растворяют в смешанном растворителе хлороформ (5 мл)-ацетон (30 мл) и к полученному раствору добавляют раствор перйодата натрия (210 мг, 0,98 ммоль) в воде (10 мл). После охлаждения ледяной водой добавляют раствор (0,16 мл) тетраоксида осмия (1 г, 0,0 3 ммоль) в бутаноле (25 мл) и перемешивают в течение 20 час. К реакционной смеси добавляют воду, полученную таким образом смесь экстрагируют хлороформом и органический слой сушат над безводным сульфатом натрия. Отгоняют растворитель, остаток очищают хроматографией на колонке с силикагелем [гексан/этилацетат (2/1)]. Отбирают нужные фракции и дополнительно очищают препаративной тонкослойной хроматографией на силикагеле [проявляющий растворитель: бензол/этилацетат (4/1)] и затем кристаллизуют из смеси диэтиловый эфир-гексан, получая указанное в заголовке соединение в виде бесцветного кристаллического порошка (71,5 мг, 61,7%). Т.пл. 115,2-117,3оС. 1Н-ЯМР (CDCl3) ИК (KBr) см-1: 1507, 1493, 1411, 1390, 1316, 1304, 1210, 1154, 1093. Масс-спектр m/z: 472(M+), 474(M+). Пример 35 Получение 6-хлор-3-(3,4-диметоксифенил)-4-(4-метоксифенил)пиридазина 6-(3,4-Диметоксифенил)-5-(4-метоксифенил)-2Н-пиридазин-3-он [WO 9925697] (231 мг, 0,683 ммоль) обрабатывают аналогично способу примера 22, получая указанное в заголовке соединение в виде коричневого аморфного твердого вещества (112 мг, 46,0%). 1Н-ЯМР (CDCl3) 6,80 (2Н, д, J=8,55 Гц), 6,87 (2Н, д, J=9,04 Гц), 6,96-7,00 (2Н, м), 7,15 (2Н, д, J=9,04 Гц), 7,47 (1Н, м). ИК (KBr) см-1: 1607, 1511, 1418, 1382, 1252, 1176, 1141, 1025, 889, 834, 754. Масс-спектр m/z: 456(M+), 458 (M+). Пример 36 Получение 3-(3,4-диметоксифенил)-4-(4-метоксифенил)-6-(фенилтио)пиридазина К раствору 6-хлор-3-(3,4-диметоксифенил)-4-(4-метоксифенил)пиридазина (112 мг, 0,314 ммоль) в N,N-диметилформамиде (2 мл) добавляют карбонат калия (87 мг, 0,628 ммоль) и тиофенол (42 мг, 0,377 ммоль) и перемешивают в течение 8 час на бане при температуре 100оС. Реакционную смесь экстрагируют этилацетатом, органический слой промывают последовательно водой и насыщенным водным раствором хлорида натрия (насыщенный раствор соли), а затем сушат над безводным сульфатом натрия. Отгоняют растворитель. Полученное коричневое масло (162 мг) отделяют и очищают препаративной тонкослойной хроматографией на силикагеле [проявляющий растворитель: гексан/этилацетат (2/1)], получая указанное в заголовке соединение в виде коричневого аморфного твердого вещества (98 мг, 72,5%). 1Н-ЯМР (CDCl3) ИК (KBr) см-1: 1605, 1510, 1375, 1250, 1024, 832, 749. Масс-спектр m/z: 430(M+), 429(M+-1). Пример 37 Получение 6-(2,4-дифторфенокси)-3-(3,4-диметоксифенил)-4-(4-метоксифенил)пиридазина Аналогично способу примера 2 осуществляют взаимодействие 6-хлор-3-(3,4-диметоксифенил)-4-(4-метоксифенил)пиридазина (203 мг, 0,589 ммоль) и 2,4-дифторфенола в качестве исходных веществ при 150°С в течение 20 час и проводят дальнейшую обработку, получая указанное в заголовке соединение в виде желтого аморфного твердого вещества (260 мг, количественный). 1Н-ЯМР (CDCl3) ИК (KBr) см-1: 1609, 1506, 1391, 1251, 1210, 1178, 1140, 1026. Масс-спектр m/z: 450(M+). Пример 38 Получение 6-хлор-3-(3,4-этилендиоксифенил)-4-(4-метоксифенил)пиридазина 6-(3,4-Этилендиоксифенил)-5-(4-метоксифенил)-2Н-пиридазин-3-он (202 мг, 0,601 ммоль) обрабатывают аналогично способу примера 22, получая указанное в заголовке соединение в виде желтого аморфного твердого вещества (207 мг, 97,1%). 1Н-ЯМР (CDCl3) ИК (KBr) см-1: 1608, 1510, 1286, 1247, 1067, 897, 831, 747. Масс-спектр m/z: 354(M+), 356 (M+). Пример 39 Получение 6-(2,4-дифторфенокси)-3-(3,4-этилендиоксифенил)-4-(4-метоксифенил)пиридазина Аналогично способу примера 2 осуществляют взаимодействие 6-хлор-3-(3,4-этилендиоксифенил)-4-(4-метоксифенил)пиридазина (136 мг, 0,383 ммоль) и 2,4-дифторфенола в качестве исходных веществ при 120°С в течение 8 час и проводят дальнейшую обработку, получая указанное в заголовке соединение в виде бесцветных призм (113 мг, 65,7%). Т.пл. 158,0-159,5°С (этилацетат-гексан). 1Н-ЯМР (CDCl3) ИК (KBr) см-1: 1610, 1505, 1391, 1244, 1211, 1062, 897, 829. Пример 40 Получение 3,4-бис(4-метоксифенил)-6-(диметиламино)пиридазина Аналогично способу примера 2 осуществляют взаимодействие 3,4-бис(4-метоксифенил)-6-хлорпиридазина (140 мг, 0,43 ммоль) и 40% (масс/объем) водного раствора диметиламина в качестве исходных веществ при 45°С в течение 30 час и проводят дальнейшую обработку, получая указанное в заголовке соединение в виде бесцветных призм (139 мг, 96,5%). Т.пл. 109,6-110,7°С (этилацетат-гексан). 1Н-ЯМР (CDCl3) ИК (KBr) см-1: 1610, 1591, 1517, 1402, 1248, 1173, 1023, 830. Пример 41 Получение 6-бензиламино-3,4-бис(4-метоксифенил)пиридазина Аналогично способу примера 2 осуществляют взаимодействие 3,4-бис(4-метоксифенил)-6-хлорпиридазина (300 мг, 0,918 ммоль) и бензиламина в качестве исходных веществ при 120°С в течение 19 час и проводят дальнейшую обработку, получая указанное в заголовке соединение в виде бесцветных призм (365 мг, количественный). Т.пл. 125,4-126,3°С (этилацетат-гексан). 1Н-ЯМР (CDCl3) ИК (KBr) см-1: 3400, 3236, 1611, 1516, 1247, 1177, 832. Масс-спектр m/z: 397 (M+). Пример 42 Получение 3,4-бис(4-метоксифенил)-6-(2,4-дифторфениламино)пиридазина Аналогично способу примера 2 осуществляют взаимодействие 3,4-бис(4-метоксифенил)-6-хлорпиридазина (264,2 мг, 0,809 ммоль) и 2,4-дифторанилина в качестве исходных веществ при 100°С в течение 12 час и проводят дальнейшую обработку, получая указанное в заголовке соединение в виде бесцветного кристаллического порошка (328,8 мг, 97,0%). Т.пл. 177,4-178,0°С (хлороформ-диэтиловый эфир-гексан). 1Н-ЯМР (CDCl3) ИК (KBr) см-1: 3419, 1609, 1511, 1492, 1250, 1175. Пример 43 Получение 3,4-бис(4-метоксифенил)-6-[N-(н-пропил)-2,4-дифторанилино]пиридазина (1) Получение 2′,4′-дифторпропионанилида 2,4-Дифторанилин (5,0 г, 38,7 ммоль) растворяют в хлороформе (30 мл), затем добавляют пропионовый ангидрид (6,0 г, 46,1 ммоль). Полученную смесь перемешивают при комнатной температуре в течение 16 час. После добавления к реакционной смеси метанола (10 мл) полученную таким образом смесь концентрируют при пониженном давлении. Остаток растворяют в хлороформе. Полученный раствор промывают насыщенным водным раствором бикарбоната натрия и затем сушат над безводным сульфатом натрия. Растворитель выпаривают, остаток кристаллизуют из смеси толуол-гексан, получая указанное в заголовке соединение в виде бесцветных, похожих на листочки кристаллов (7,17 г, количественный). Т.пл. 66,9-67,4оС. 1Н-ЯМР (CDCl3) ИК (KBr) см-1: 3289, 1676, 1613, 1546, 1503, 1210. (2) Получение N-(н-пропил)-2,4-дифторанилина 2,4-Дифторпропионанилид (7,17 г, 38,7 ммоль) растворяют в тетрагидрофуране (30 мл), затем добавляют литийалюминийгидрид (7 г, 184 ммоль). Полученную смесь перемешивают при 70°С в течение 7 час. При охлаждении водой со льдом добавляют метанол (10 мл) для разложения избытка литийалюминийгидрида. Затем к реакционной смеси добавляют насыщенный водный раствор хлорида аммония (100 мл) и осадок отфильтровывают. Фильтрат экстрагируют хлороформом и сушат органический слой над безводным сульфатом натрия. Растворитель отгоняют, остаток отделяют и очищают хроматографией на колонке с силикагелем (силикагель 5 г, хлороформ), получая указанное в заголовке соединение в виде светлого красновато-коричневого масла (5,7 г, 86,0%). 1Н-ЯМР (CDCl3) ИК (пленка) см-1: 3431, 2965, 2936, 2877, 1603, 1521, 1479, 1430, 1264, 1206, 1147, 1130, 1092. (3) Получение 3,4-бис(4-метоксифенил)-6-[N-(н-пропил)-2,4-дифторанилино]пиридазина Аналогично способу примера 2 перемешивают 3,4-бис(4-метоксифенил)-6-хлорпиридазин (180 мг, 0,551 ммоль) и N-(н-пропил)-2,4-дифторанилин в качестве исходных веществ при 100°С в течение 12 час, затем осуществляют взаимодействие при 170°С в течение 10 час и проводят дальнейшую обработку, получая указанное в заголовке соединение в виде светлого желто-коричневого аморфного твердого вещества (137,5 мг, 54,1%). 1Н-ЯМР (CDCl3) ИК (KBr) см-1: 1610, 1589, 1510, 1460, 1426, 1297, 1249, 1178. Пример 44 Получение 3,4-бис(4-метоксифенил)-6-(3,4,5-триметоксианилино)пиридазина Аналогично способу примера 2 осуществляют взаимодействие 3,4-бис(4-метоксифенил)-6-хлорпиридазина (150,0 мг, 0,459 ммоль) и 3,4,5-триметоксианилина в качестве исходных веществ при 140°С в течение 5 час и проводят дальнейшую обработку, получая указанное в заголовке соединение в виде светло-желтого кристаллического порошка (155,0 мг, 71,3%). Т.пл. 125,4-126,3°С (хлороформ-гексан). 1Н-ЯМР (CDCl3) ИК (KBr) см-1: 3343, 1609, 1593, 1574, 1508, 1452, 1436, 1249, 1128. Пример 45 Получение 3,4-бис(4-метоксифенил)-6-(морфолино)пиридазина Аналогично способу примера 2 осуществляют взаимодействие 3,4-бис(4-метоксифенил)-6-хлорпиридазина (125,5 мг, 0,384 ммоль) и морфолина в качестве исходных веществ при 100°С в течение 15 час и проводят дальнейшую обработку, получая указанное в заголовке соединение в виде светло-желтого кристаллического порошка (115,2 мг, 79,5%). Т.пл. 188,0-190,3°С (хлороформ-диэтиловый эфир). 1Н-ЯМР (CDCl3) ИК (KBr) см-1: 1627, 1606, 1518, 1303, 1251, 1189. Пример 46 Получение 4-(4-фторфенил)-6-метилтио-3-[4-(метилтио)фенил]пиридазина Раствор 55% гидрида натрия (4,3 мг, 0,097 ммоль) в N,N-диметилформамиде (1 мл) охлаждают на льду в атмосфере газообразного аргона, затем добавляют раствор 5-(4-фторфенил)-6-{4-(метилтио)фенил]-2Н-пиридазин-3-тиона [WO 9925697] (32 мг, 0,097 ммоль) в N,N-диметилформамиде (2 мл) и затем добавляют раствор метилйодида (13,9 мг, 0,097 ммоль) в N,N-диметилформамиде (1 мл). Далее полученную смесь перемешивают в течение 1 час. Разбавляют реакционную смесь этилацетатом и полученную таким образом смесь промывают последовательно водным раствором тиосульфата натрия, водой и насыщенным раствором соли. Органический слой сушат над безводным сульфатом натрия. Растворитель отгоняют, остаток отделяют и очищают хроматографией на колонке с силикагелем [силикагель 2 г, гексан/этилацетат (2/1)], затем нужные фракции кристаллизуют из смеси этилацетат-гексан, получая неочищенные кристаллы (38,1 мг). Неочищенные кристаллы перекристаллизовывают из смеси этилацетат-гексан, получая указанное в заголовке соединение в виде желтых призм (20,9 мг, 62,9%). Т.пл. 165,8-169,5оС. 1Н-ЯМР (CDCl3) ИК (KBr) см-1: 1604, 1508, 1387, 1227, 1107, 839. Масс-спектр m/z: 342(M+), 343(M+), 344 (M+). Пример 47 Получение 3,4-бис(4-метоксифенил)-6-(метилсульфонил)пиридазина 3,4-Бис(4-метоксифенил)-6-(метилтио)пиридазин (0,18 г, 0,53 ммоль) обрабатывают аналогично способу примера 34, получая светло-коричневое масло (0,20 г, количественный). Данное масло кристаллизуют из смеси этилацетат-гексан, получая указанное в заголовке соединение в виде светло-коричневых призм. Т.пл. 137-140°С. 1Н-ЯМР (CDCl3) ИК (KBr) см-1: 1607, 1513, 1501, 1323, 1256, 1155. Пример 48 Получение 3,4-бис(4-метоксифенил)-6-(метилсульфонилокси)пиридазина Метилсульфонилхлорид (10 мкл, 1,44 ммоль) добавляют к раствору 5,6-бис(4-метоксифенил)-2Н-пиридазин-3-она (11 мг, 0,36 ммоль) в пиридине (3 мл), затем перемешивают при комнатной температуре в течение 5 дней. Пиридин отгоняют и к остатку добавляют смесь вода-хлороформ. Полученную смесь экстрагируют хлороформом и сушат органический слой над безводным сульфатом натрия. Растворитель отгоняют, остаток отделяют и очищают препаративной тонкослойной хроматографией на силикагеле [проявляющий растворитель: гексан/этилацетат (2/1)], получая бесцветное масло (93 мг, 66,9%). Данное масло кристаллизуют из смеси этилацетат-гексан, получая указанное в заголовке соединение в виде светлых пурпурно-красных призм (59 мг). Т.пл. 150,0-151,0оС. 1Н-ЯМР (CDCl3) ИК (KBr) см-1: 1609, 1513, 1395, 1372, 1256, 1180, 1162, 909, 816. Пример 49 Получение 4-(4-(хлорфенил)-6-метил-3-[4-(метилтио)фенил]пиридазина (1) Получение 4-(4-(хлорфенил)-3-бутен-2-она Пиперидин (1,5 мл) добавляют к смешанному растворителю ацетон (1,1 мл)-этанол (5 мл). После перемешивания полученной смеси в течение 5 мин добавляют 4-хлорбензальдегид (700 мг, 5,0 ммоль). Полученную таким образом смесь перемешивают при комнатной температуре в течение 30 мин. Затем добавляют уксусную кислоту (две капли, 0,2 мл) и далее нагревают при кипении с обратным холодильником в течение 6 час. Растворитель отгоняют, остаток (879 мг) отделяют и очищают хроматографией на колонке с силикагелем [силикагель 40 г, гексан/диэтиловый эфир (10/1)], получая указанное в заголовке соединение в виде светло-желтого масла (375 мг, 41,7%). 1Н-ЯМР (CDCl3) (2) Получение 4-(4-(хлорфенил)-5-[4-(метилтио)фенил]пентан-2,5-диона Цианид натрия (90 мг, 1,87 ммоль) добавляют к раствору 4-(метилтио)бензальдегида (300 мг, 1,97 ммоль) в N,N-диметилформамиде (2 мл). Перемешивая полученную смесь при 30-40оС, прикапывают раствор 4-(4-хлорфенил)-3-бутен-2-она (370 мг, 1,97 ммоль) в N,N-диметилформамиде (3 мл). Полученную таким образом смесь перемешивают при той же температуре в течение 90 мин. Добавляют к реакционной смеси воду, затем экстрагируют этилацетатом. Органический слой последовательно промывают водой и насыщенным раствором соли, затем сушат над безводным сульфатом натрия. Растворитель отгоняют, полученное коричневое масло (762 мг) отделяют и очищают препаративной тонкослойной хроматографией на силикагеле [проявляющий растворитель: гексан/диэтиловый эфир (2/1)], получая указанное в заголовке соединение в виде светло-желтого масла (317 мг, 48,3%). 1Н-ЯМР (CDCl3) (3) Получение 4-(4-(хлорфенил)-6-метил-3-[4-(метилтио)фенил]пиридазина Гидразингидрат (72 мг, 1,44 ммоль) добавляют к раствору 4-(4-хлорфенил)-5-[4-(метилтио)фенил]пентан-2,5-диона (317 мг, 0,953 ммоль) в этаноле (6 мл) и полученную смесь перемешивают 7 час на бане при температуре 80оС. Добавляют к реакционной смеси воду и затем экстрагируют этилацетатом. Экстракт промывают последовательно водой и насыщенным раствором соли и затем сушат над безводным сульфатом натрия. Растворитель отгоняют, остаток растворяют в хлороформе. Полученный таким образом раствор перемешивают при комнатной температуре в течение 7 час, проводя окисление воздухом. Растворитель отгоняют, остаток (296 мг) отделяют и очищают препаративной тонкослойной хроматографией на силикагеле (проявляющий растворитель: хлороформ), получая указанное в заголовке соединение в виде светло-желтого масла (200,5 мг, 64,3%). 1Н-ЯМР (CDCl3) Масс-спектр m/z: 325(M+-1), 326 (M+), 328 (M+). Пример 50 Получение 4-(4-(хлорфенил)-6-метил-3-[4-(метилсульфонил)фенил]пиридазина Гидразин моногидрат (206 мг, 4,1 ммоль) добавляют к раствору 4-(4-хлорфенил)-5-[4-(метилтио)фенил]пентан-2,5-диона (661 мг, 2,0 ммоль) в этаноле (12 мл) и полученную смесь перемешивают 3 час на бане при температуре 80оС. Растворитель отгоняют и остаток растворяют в хлороформе (30 мл). Полученный таким образом раствор перемешивают при комнатной температуре в течение 24 час, проводя окисление воздухом. Растворитель отгоняют, остаток растворяют в уксусной кислоте (10 мл) и затем добавляют 31% раствор пероксида водорода. Полученную смесь перемешивают 3 час на бане при температуре 70оС. После нейтрализации реакционной смеси разбавленным водным раствором каустической соды реакционную смесь экстрагируют этилацетатом. Органический слой промывают последовательно 3%-ным водным раствором сульфита натрия и насыщенным раствором соли, затем сушат над безводным сульфатом натрия. Растворитель отгоняют, остаток отделяют и очищают препаративной тонкослойной хроматографией на силикагеле [проявляющий растворитель: хлороформ/метанол (35/1)], получая указанное в заголовке соединение в виде слегка желтоватых призм (330 мг, 46,3%). Т.пл. 205-209°С (этилацетат). 1Н-ЯМР (CDCl3) ИК (KBr) см-1: 1596, 1391, 1311, 1303, 1151, 1091, 856, 840. Масс-спектр m/z: 357(M+-1), 358 (M+), 359 (M+), 360 (M+). Пример 51 Получение 3,4-бис(4-метоксифенил)-6-цианопиридазина Раствор 3,4-бис(4-метоксифенил)пиридазин 1-оксида [Eur. J. Med. Chem.-Chimica Therapeutica, 14, 53-60 (1979)] (5,01 г, 16,25 ммоль) и цианида калия (3,17 г, 48,75 ммоль) в воде (90 мл) охлаждают на льду. После добавления бензоилхлорида (7,77 г, 55,25 ммоль), по капле при интенсивном перемешивании в атмосфере газообразного азота, полученную смесь перемешивают при комнатной температуре в течение 20 час. Добавляют к реакционной смеси воду-хлороформ, затем подщелачивают и полученную таким образом смесь экстрагируют хлороформом. Органический слой промывают водой и затем сушат над безводным сульфатом натрия. Растворитель отгоняют при пониженном давлении, остаток (масло) отделяют и очищают хроматографией на колонке с силикагелем [гексан/этилацетат (5/1)]. Нужные фракции кристаллизуют из смеси этилацетат-диэтиловый эфир-гексан, получая указанное в заголовке соединение в виде слегка желтоватых призм (3,30 г, 64,0%). Т.пл. 113-115°С. 1Н-ЯМР (CDCl3) Пример 52 Получение 3,4-бис(4-метоксифенил)-6-карбоксипиридазина 10% водный раствор каустической соды (9 мл) добавляют к раствору 3,4-бис(4-метоксифенил)-6-цианопиридазина (1,47 г, 4,63 ммоль) в этаноле (12 мл) и перемешивают при 100°С в течение 1 час. После отгонки растворителя остаток подкисляют разбавленной хлористоводородной кислотой и экстрагируют хлороформом. Органический слой промывают водой и затем сушат над безводным сульфатом натрия. Растворитель отгоняют при пониженном давлении, остаток кристаллизуют из смеси этилацетат-диэтиловый эфир, получая указанное в заголовке соединение в виде светло-желтых игл (1,48 г, 95,0%). Т.пл. 157-158оС. 1Н-ЯМР (CDCl3) Пример 53 Получение 3,4-бис(4-метоксифенил)-6-(4-метил-1-пиперазинилкарбонил)пиридазина 3,4-Бис(4-метоксифенил)-6-карбоксипиридазин (0,10 г, 0,30 ммоль) и N-метилпиперазин (0,375 г, 3,7 ммоль) суспендируют в смешанном растворителе N,N-диметилформамид (2 мл)-тетрагидрофуран (3 мл), куда добавляют 50% раствор циклического ангидрида 1-пропанфосфорной кислоты (n=3) (0,33 г) в этилацетате при охлаждении на льду. После перемешивания полученной таким образом смеси при комнатной температуре в течение 4 час добавляют воду. Полученную смесь экстрагируют этилацетатом. Органический слой промывают водой и затем сушат над безводным сульфатом натрия. Растворитель отгоняют при пониженном давлении, остаток промывают диэтиловым эфиром, получая указанное в заголовке соединение в виде светло-коричневых кристаллов (49 мг, 39,4%). Слегка желтоватый порошок (хлороформ-гексан). Т.пл. 178-181оС. 1Н-ЯМР (CDCl3) ИК (KBr) см-1: 3436, 1736, 1645, 1610, 1514, 1401, 1300, 1254. Пример 54 Получение 3,4-бис(4-метоксифенил)-6-(морфолинкарбонил)пиридазина Используя 3,4-Бис(4-метоксифенил)-6-карбоксипиридазин (0,25 г, 0,74 ммоль), морфолин (0,65 г, 7,4 ммоль), тетрагидрофуран (7 мл) и 50% раствор циклического ангидрида 1-пропанфосфорной кислоты (n=3) (1,2 г) в этилацетате (вес. %, продукт Hoechst AG), повторяют процедуры примера 53, получая масло (0,208 г, 69,0%). Осуществляют кристаллизацию из смеси этилацетат-гексан, получая указанное в заголовке соединение в виде бесцветного кристаллического порошка (0,155 г, 51,4%). Т.пл. 126-128оС. 1Н-ЯМР (CDCl3) ИК (KBr) см-1: 3447, 1645, 1608, 1514, 1389, 1251. Пример 55 Получение 6-аллил-3,4-бис(4-метоксифенил)пиридазина К раствору 3,4-бис(4-метоксифенил)-6-хлорпиридазина (1,2 г, 3,7 ммоль) в тетрагидрофуране (24 мл) добавляют тетракис(трифенилфосфин)палладий (0,21 г, 0,18 ммоль). При охлаждении ледяной водой в атмосфере газообразного аргона добавляют по капле 1М раствор (11 мл) аллилмагнийбромида в диэтиловом эфире. После перемешивания полученной смеси при той же температуре в течение 1 час температуре смеси дают подняться до комнатной и далее перемешивают еще 2 час. К реакционной смеси добавляют смесь вода-этилацетат и полученную таким образом смесь экстрагируют этилацетатом. Органический слой промывают водой и затем сушат над безводным сульфатом натрия. Экстракт концентрируют при пониженном давлении и остаток оставляют на три дня при комнатной температуре. Остаток отделяют и очищают хроматографией на колонке с силикагелем [гексан/этилацетат (4/1)], получая указанное в заголовке соединение в виде светло-коричневого масла (0,85 г, 69,8%). 1Н-ЯМР (CDCl3) ИК (пленка) см-1: 1609, 1512, 1397, 1251, 1179. Пример 56 Получение 3,4-бис(4-метоксифенил)-6-(3-гидроксипропил)пиридазина К раствору 6-аллил-3,4-бис(4-метоксифенил)пиридазина (0,58 г, 1,7 ммоль) в тетрагидрофуране (3 мл) добавляют по капле 0,5 М раствор (8,7 мл) 9-борабицикло[3.3.1]нонана в атмосфере газообразного аргона при охлаждении реакционной системы водой со льдом. Затем полученную смесь перемешивают при комнатной температуре в течение 15 час. К реакционной смеси добавляют воду (1 мл), затем 3N раствор каустической соды (3 мл) и 31% раствор пероксида водорода (3 мл) при охлаждении льдом и затем перемешивают при комнатной температуре в течение 2 час. Реакционную смесь экстрагируют этилацетатом, органический слой промывают последовательно водой, насыщенным водным раствором гидрокарбоната натрия и водой, затем сушат над безводным сульфатом натрия. Экстракт концентрируют при пониженном давлении и полученную смесь оставляют на три дня при комнатной температуре. Остаток отделяют и очищают хроматографией на колонке с силикагелем (этилацетат), получая указанное в заголовке соединение в виде светло-коричневого масла (0,54 г, 88,3%). 1Н-ЯМР (CDCl3) ИК (пленка) см-1: 3366, 1609, 1513, 1400, 1299, 1252, 1179. Пример 57 Получение 3,4-бис(4-метоксифенил)-6-(2-карбоксиэтил)пиридазина 3,4-Бис(4-метоксифенил)-6-(3-гидроксипропил)пиридазин (0,54 г, 1,5 ммоль) растворяют в ацетоне (6 мл), добавляют реактив Джонса (4,2 мл) и полученную смесь перемешивают при комнатной температуре в течение 8 час. После добавления изопропанола для разложения избытка реактива добавляют воду и полученную таким образом смесь экстрагируют этилацетатом. Органический слой промывают водой и проводят обратную экстракцию насыщенным водным раствором бикарбоната натрия. Обратный экстракт подкисляют хлористоводородной кислотой и затем экстрагируют хлороформом. Органический слой промывают водой и затем сушат над безводным сульфатом натрия. Растворитель отгоняют, остаток отделяют и очищают хроматографией на колонке с силикагелем [хлороформ/метанол (40/1)], получая указанное в заголовке соединение в виде светло-коричневого масла (0,21 г, 37,4%). 1Н-ЯМР (CDCl3) ИК (CHCl3) см-1: 1727, 1610, 1514, 1477. Пример 58 Получение 3,4-бис(4-метоксифенил)-6-(N-гидрокси-N-метил-2-карбамоилэтил)пиридазина 3,4-Бис(4-метоксифенил)-6-(2-карбоксиэтил)пиридазин (0,136 г, 0,37 ммоль) и гидрохлорид N-метилгидроксиламина (0,156 г, 1,87 ммоль) растворяют в N,N-диметилформамиде (4 мл). При охлаждении льдом добавляют по капле триэтиламин (0,77 г, 7,608 ммоль) и затем 50% раствор циклического ангидрида 1-пропанфосфорной кислоты (n=3) (0,39 г, 0,613 ммоль) в этилацетате. После перемешивания в течение 1 час температуре полученной смеси дают подняться до комнатной, при которой смесь перемешивают в течение 15 час. Добавляют к реакционной смеси воду и полученную таким образом смесь экстрагируют этилацетатом. Органический слой промывают последовательно насыщенным водным раствором гидрокарбоната натрия и водой, затем сушат над безводным сульфатом натрия. Растворитель отгоняют и остаток кристаллизуют из смеси этилацетат-гексан, получая указанное в заголовке соединение в виде светло-коричневых игл (17 мг, 13,0%). Т.пл. 85-87оС. 1Н-ЯМР (CDCl3) ИК (KBr) см-1: 3436, 1736, 1645, 1610, 1514, 1401, 1300, 1254. Пример 59 Получение 6-хлор-3-[4-(метилтио)фенил]-4-фенилпиридазина 6-[4-(Метилтио)фенил]-5-фенил-2Н-пиридазин-2-он [WO 9925697] (500 мг) обрабатывают в качестве исходного вещества аналогично способу примера 22 (взаимодействие при 100°С в течение 2 час), получая указанное в заголовке соединение с количественным выходом в виде светло-коричневых призм (этилацетат-гексан). Т.пл. 157,7-158,3оС. 1Н-ЯМР (CDCl3) ИК (KBr) см-1: 1592, 1401, 1386, 1339, 1323, 1136, 1107, 834, 788, 702, 585. Масс-спектр m/z: 312(M+), 314 (M+). Пример 60 Получение 6-хлор-4-(4-хлорфенил)-3-[4-метилсульфонил)фенил]пиридазина 6-Хлор-4-(4-хлорфенил)3-[4-(метилтио)фенил]пиридазин (230 мг) обрабатывают в качестве исходного вещества аналогично способу примера 34, получая указанное в заголовке соединение с количественным выходом в виде бесцветных пластин (этилацетат-гексан). Т.пл. 189,6-190,5оС. 1Н-ЯМР (CDCl3) ИК (KBr) см-1: 1490, 1312, 1304, 1152, 1134, 1090, 852, 846, 776, 585. Масс-спектр m/z: 378(M+), 380 (M+). Пример 61 Получение 4-(4-хлорфенил)-3-[4-(метилсульфонил)фенил]пиридазина (1) Получение 2-(4-хлорфенил)-1-[4-(метилтио)фенил]-4-пентен-1-она После добавления 2,0М раствора литийдиизопропиламида (ЛДА) (36,2 мл, 72,4 ммоль) при -20°С к раствору 2-(4-хлорфенил)-1-[4-(метилтио)фенил]-1-этанона (20 г, 72,3 ммоль) в безводном тетрагидрофуране (200 мл) полученную смесь перемешивают 20 мин. при нагревании до комнатной температуры. Затем смесь охлаждают до -20оС, добавляют аллилйодид (6,67 мл, 72,9 ммоль) и затем перемешивают 30 мин при нагревании до комнатной температуры. Добавляют к реакционной смеси воду и полученную смесь экстрагируют этилацетатом. Органический слой сушат над безводным сульфатом натрия. Растворитель отгоняют, остаток отделяют и очищают хроматографией на колонке с силикагелем [силикагель, 100 г, гексан/этилацетат (2/1)]. Нужные фракции кристаллизуют из смеси диэтиловый эфир-гексан, получая указанное в заголовке соединение в виде бесцветных призм (22,85 г, 99,8%). 1Н-ЯМР (CDCl3) ИК (CHCl3) см-1: 1663, 1588, 1553, 1340, 1322, 1306, 1285, 1264, 1210, 1172, 1118. (2) Получение 3-(4-хлорфенил)-4-[4-(метилсульфонил)фенил]-4-оксобутилальдегида 2-(4-Хлорфенил)-1-[4-(метилтио)фенил]-4-пентен-1-он (5,7 г, 18,0 ммоль) обрабатывают аналогично способу примера 34, получая указанное в заголовке соединение в виде желтого аморфного твердого вещества (4,50 г, 71,3%). 1Н-ЯМР (CDCl3) ИК (пленка) см-1: 1718, 1689, 1493, 1317, 1153. (3) Получение 4-(4-хлорфенил)-3-[4-(метилсульфонил)фенил]пиридазина Гидразингидрат (0,8 мл, 16,5 ммоль) добавляют к раствору 3-(4-хлорфенил)-4-[4-(метилсульфонил)фенил]-4-оксобутилальдегида (4,5 г, 12,8 ммоль) в этаноле (100 мл) и затем перемешивают при комнатной температуре 1 час. К реакционной смеси добавляют 31% раствор пероксида водорода (6 мл) и полученную смесь перемешивают при 60°С в течение 18 час. Данную смесь концентрируют при пониженном давлении, остаток отделяют и очищают хроматографией на колонке с силикагелем [силикагель, 70 г, хлороформ/метанол (50/1)], получая указанное в заголовке соединение в виде светло-желтого аморфного твердого вещества (2,60 г, 58,8%). 1Н-ЯМР (CDCl3) ИК (пленка) см-1: 1733, 1684, 1597, 1492, 1313, 1153. Пример 62 Получение 4-(4-хлорфенил)-3-[4-(метилсульфонил)фенил]пиридазин-1-оксида Раствор пероксида водорода (31%, 5,2 мл) добавляют к раствору 4-(4-хлорфенил)-3-[4-(метилсульфонил)фенил]пиридазина (2,6 г, 7,55 ммоль) в уксусной кислоте (30 мл) и затем перемешивают при 50°С в течение 6 час. Реакционную смесь концентрируют при пониженном давлении и добавляют к остатку водный раствор карбоната калия. Полученную таким образом смесь экстрагируют хлороформом и сушат органический слой над безводным сульфатом натрия. Растворитель отгоняют, остаток отделяют и очищают хроматографией на колонке с силикагелем [силикагель, 100 г, бензол/этилацетат (1/1)], получая указанное в заголовке соединение в виде светло-желтого аморфного твердого вещества (1,2 г, 44,1%). 1Н-ЯМР (CDCl3) ИК (пленка) см-1: 1683, 1592, 1525, 1492, 1314, 1152. Пример 63 Получение 4-(4-хлорфенил)-6-циано-3-[4-(метилсульфонил)фенил]пиридазина К раствору 4-(4-хлорфенил)-3-[4-(метилсульфонил)фенил]пиридазин-1-оксида (1,1 г, 3,05 ммоль) в безводном тетрагидрофуране (50 мл) добавляют последовательно воду (30 мл), цианид калия (1,008 г, 15,5 ммоль) и бензоилхлорид (6 мл, 51,7 ммоль), затем перемешивают при комнатной температуре в течение 24 час. Реакционную смесь экстрагируют хлороформом и сушат органический слой над безводным сульфатом натрия. Растворитель отгоняют, остаток отделяют и очищают хроматографией на колонке с силикагелем [силикагель, 30 г, хлороформ/метанол (40/1)]. Нужные фракции кристаллизуют из смеси этилацетат-диэтиловый эфир, получая указанное в заголовке соединение в виде светло-желтых призм (310 мг, 27,5%). Т.пл. 211,4-212,5оС. 1Н-ЯМР (CDCl3) ИК (KBr) см-1: 2248, 1597, 1494, 1386, 1313, 1151. Пример 64 Получение 3-(4-метоксифенил)-4-фенилпиридазина 10% Палладий на угле (1,1 г) добавляют к раствору 6-хлор-3-(4-метоксифенил)-4-фенилпиридазина (1,53 г, 5,16 ммоль) в уксусной кислоте (25 мл) и в токе газообразного азота, каталитическое восстановление проводят при комнатной температуре и атмосферном давлении в течение 5 час. Катализатор отфильтровывают, отгоняют растворитель и добавляют к остатку насыщенный водный раствор бикарбоната натрия. Полученную таким образом смесь экстрагируют хлороформом и сушат органический слой над безводным сульфатом натрия. Растворитель отгоняют и остаток кристаллизуют из гексана, получая указанное в заголовке соединение в виде светло-желтых игл (1,28 г, 94,7%). Т.пл. 116,1-119,6оС. 1Н-ЯМР (CDCl3) ИК (KBr) см-1: 1607, 1514, 1428, 1352, 1300, 1248, 1181. Пример 65 Получение 3-(4-метоксифенил)-4-фенилпиридазин-1-оксида 3-(4-Метоксифенил)-4-фенилпиридазин (1,15 г, 4,39 ммоль) обрабатывают аналогично способу примера 62 и остаток кристаллизуют из смеси хлороформ-диэтиловый эфир, получая указанное в заголовке соединение в виде светло-желтых призм (1,01 г, 82,8%). Т.пл. 117,1-118,0оС. 1Н-ЯМР (CDCl3) ИК (KBr) см-1: 1607, 1509, 1428, 1377, 1346, 1252, 1173, 1150. Пример 66 Получение 6-циано-3-(4-метоксифенил)-4-фенилпиридазина 3-(4-метоксифенил)-4-фенилпиридазин-1-оксид (1,11 г, 3,79 ммоль) обрабатывают аналогично способу примера 63 и остаток кристаллизуют из смеси диэтиловый эфир-гексан, получая указанное в заголовке соединение в виде светло-желтых игл (593 мг, 51,7%). Т.пл. 131,4-132,2оС. 1Н-ЯМР (CDCl3) ИК (KBr) см-1: 2245, 1575, 1489, 1381, 1259, 1184, 1180. Эксперимент 1 (ингибирующая активность против производства интерлейкина-1 Ингибирующую активность соединений настоящего изобретения, представленных формулой (I), против производства интерлейкина-1 Клетки HL-60 культивируют 4 дня до слияния на среде RPMI 1640 c добавлением к ней 10% фетальной телячьей сыворотки (FBS). Среду центрифугируют. Супернатант отбрасывают, клетки суспендируют с концентрацией 1×106 клеток/мл в среде RPMI 1640 c 3% FBS и добавляют липополисахарид, получая конечную концентрацию 10 мкг/мл. Культуру высевают в количестве 1 мл/лунка в 24-луночный планшет. Добавляют исследуемое соединение в количестве 1 мкл/лунка и затем культивируют в течение 3 дней. Через три дня определяют количество интерлейкина-1
Возможность применения в промышленности Соединения фенилпиридизина (I) и их соли, которые относятся к настоящему изобретению, обладают превосходной ингибирующей активностью против производства интерлейкина-1
Формула изобретения
1. Соединение фенилпиридазина, представленное следующей формулой (I): где R1 представляет замещенный или незамещенный фенил, где заместители выбраны из группы, содержащей галоген, низший алкил, низший алкокси и фенилтио; или пиридил; R2 представляет низшую алкоксигруппу, низшую алкилтиогруппу, низший алкилсульфинил или низший алкилсульфонил; R3 представляет водород или низшую алкоксигруппу; или R2 и R3 вместе могут быть конденсированы, образуя низший алкилендиоксигруппу; R4 представляет циано; карбоксил; замещенный или незамещенный низший алкил, где заместители выбраны из группы, содержащей гидроксил, карбоксил и N-гидрокси-N-низший алкиламинокарбонил; низший алкенил; низший алкилтио; низший алкилсульфинил; низший алкилсульфонил; низший алкилсульфонилокси; замещенный или незамещенный фенокси, где заместители выбраны из группы, содержащей галоген, низший алкокси, нитро, циано; незамещенный фенилтио или фенилтио, замещенный галогеном; пиридилокси; морфолино; морфолинокарбонил; 1-пиперазинилкарбонил, замещенный низшим алкилом; замещенный или незамещенный амино, где заместители выбраны из группы, содержащей низший алкил, бензил, фенил, который может быть замещен атомами галогена или низшими алкоксигруппами, n=0; или его соль. 2. Промежуточное соединение для получения соединения фенилпиридазина по п.1, представленного формулой (I), где данное промежуточное соединение выбрано из группы, включающей 4-(4-хлорфенил)-3-[4-(метилсульфонил)фенил]пиридазин; 4-(4-хлорфенил)-3-[4-(метилсульфонил)фенил]пиридазин-1-оксид; 3-(4-метоксифенил)-4-фенилпиридазин-1оксид. 3. Соединение фенилпиридазина или его соль по п.1, где данное соединение выбрано из группы, включающей 3,4-бис(4-метоксифенил)-6-(фенокси)пиридазин, 3,4-бис(4-метоксифенил)-6-(2,3-дифторфенокси)пиридазин, 3,4-бис(4-метоксифенил)-6-(2,5-дифторфенокси)пиридазин, 3,4-бис(4-метоксифенил)-6-(2,6-дифторфенокси)пиридазин, 3,4-бис(4-метоксифенил)-6-(3,4-дифторфенокси)пиридазин, 3,4-бис(4-метоксифенил)-6-(2,3,5,6-тетрафторфенокси)пиридазин, 3,4-бис(4-метоксифенил)-6-(2,3,4,5,6-пентафторфенокси)пиридазин, 3,4-бис(4-метоксифенил)-6-(3,4,5-трихлорфенилтио)пиридазин, 3,4-бис(4-метоксифенил)-6-(4-метоксифенокси)пиридазин, 3,4-бис(4-метоксифенил)-6-(4-нитрофенокси)пиридазин, 3,4-бис(4-метоксифенил)-6-(2-цианофенокси)пиридазин, 3,4-бис(4-метоксифенил)-6-(3-цианофенокси)пиридазин, 6-(2,4-дифторфенокси)-3-(4-метоксифенил)-4-(4-пиридил)пиридазин, 6-(2,3-дифторфенокси)-3-(4-метоксифенил)-4-фенилпиридазин, 6-(2,4-дифторфенокси)-3-(4-метоксифенил)-4-фенилпиридазин, 3-(4-метоксифенил)-6-(2,3,4,5,6-пентафторфенокси)-4-фенилпиридазин, 3-(4-метилтиофенил)-6-фенилтио-4-(4-фенилтиофенил)пиридазин, 4-(4-хлорфенил)-6-(2,4-дифторфенокси)-3-[4-(метилтио)фенил]пиридазин, 3,4-бис(4-метоксифенил)-6-цианопиридазин и 6-циано-3-(4-метоксифенил)-4-фенилпиридазин и их соли. 4. Лекарственное средство, ингибирующее производство интерлейкина-1 5. Ингибитор производства интерлейкина-1 6. Фармацевтическая композиция, ингибирующая производство интерлейкина-1 7. Соединение фенилпиридазина (I) или его соли для производства лекарственного средства, ингибирующего производство интерлейкина-1
TZ4A – Поправки к описаниям изобретений
Часть описания, где обнаружена ошибка: Текст опис., страница 3, строка 18
Напечатано: имеет неприемлемый КСВП…
Следует читать: имеет неприемлемый КСВН…
Номер и год публикации бюллетеня: 2-2006
Извещение опубликовано: 20.03.2006 БИ: 08/2006
TZ4A – Поправки к описаниям изобретений
Часть описания, где обнаружена ошибка: строки 30-31
Напечатано: …, уменьшают в соответствии с полученной разницей объема керамических дисков…
Следует читать: …, уменьшают в соответствии с полученной разницей объемы керамических дисков…
Номер и год публикации бюллетеня: 2-2006
Извещение опубликовано: 20.03.2006 БИ: 08/2006
TZ4A – Поправки к описаниям изобретений
Часть описания, где обнаружена ошибка: строки 36-37
Напечатано: На фиг. 1 и 2: – диэлектрический диск,…
Следует читать: На фиг. 1 и 2: 1 – диэлектрический диск,…
Номер и год публикации бюллетеня: 2-2006
Извещение опубликовано: 20.03.2006 БИ: 08/2006
TZ4A – Поправки к описаниям изобретений
Часть описания, где обнаружена ошибка: страница 4, строка 26
Напечатано: изготовленные из борнилина…
Следует читать: изготовленные из борнилита…
Номер и год публикации бюллетеня: 2-2006
Извещение опубликовано: 20.03.2006 БИ: 08/2006
TZ4A – Поправки к описаниям изобретений
Часть описания, где обнаружена ошибка: страница 5, строка 6
Напечатано: 1. Symons R.S. et., al.,…
Следует читать: 1. Symons R.S. et al.,…
Номер и год публикации бюллетеня: 2-2006
Извещение опубликовано: 20.03.2006 БИ: 08/2006
TZ4A – Поправки к описаниям изобретений
Часть описания, где обнаружена ошибка: строка 7
Напечатано: 2. Копалов В.В.,…
Следует читать: 2. Копылов В.В.,…
Номер и год публикации бюллетеня: 2-2006
Извещение опубликовано: 20.03.2006 БИ: 08/2006
|
||||||||||||||||||||||||||||||||||||||||||||||||||||


и могут быть использованы при производстве лекарственного средства, ингибирующего производство интерлейкина-1





: 3,83 (3Н, с), 3,84 (3Н, с), 6,86 (2Н, д, J=9,04 Гц), 6,90 (2Н, д, J=9,04 Гц), 7,22 (2Н, д, J=9,04 Гц), 7,45-7,55 (5Н, м), 7,79 (1Н, с), 8,15-8,20 (2Н, м).
