|
|
(21), (22) Заявка: 2002127161/11, 11.10.2002
(24) Дата начала отсчета срока действия патента:
11.10.2002
(43) Дата публикации заявки: 27.04.2004
(45) Опубликовано: 10.02.2006
(56) Список документов, цитированных в отчете о поиске:
Итоги науки и техники. Железнодорожный транспорт. М.: ВИНИТИ, 1979, т.10, с.108-111. RU 2153434 С2, 27.07.2000. САВЧЕНКО И.Е. и др. Железнодорожные станции и узлы. М.: Транспорт, с.56-57, 389, 393. RU 2066649 C1, 20.09.1996.
Адрес для переписки:
141091, Московская обл., г. Юбилейный, мкр. 1, ул. Героев курсантов, 3, кв.25, В.П. Лобко
|
(72) Автор(ы):
Деревянко Юрий Джанович (RU)
(73) Патентообладатель(и):
Деревянко Юрий Джанович (RU)
|
(54) ТРАНСПОРТНЫЙ КОРИДОР
(57) Реферат:
Изобретение относится к транспорту и может быть использовано при проектировании, создании и эксплуатации перспективного транспортного коридора со скоростной железной дорогой, обеспечивающего антитеррористическую безопасность перевозок. Транспортный коридор содержит железную дорогу, включающую железнодорожные пути, подвижной состав, технические средства, обеспечивающие предупреждение о несанкционированном проникновении к железнодорожным путям. Внутри транспортного коридора расположены коммуникации в виде линий оптоволоконной связи, трубопроводов и автодороги, а также станции для инженерной поддержки функционирования транспортного коридора. Транспортный коридор и коммуникации, проходящие по нему, пересекаются с другими коммуникациями, расположенными за пределами транспортного коридора в разных уровнях посредством туннелей, путепроводов, эстакад. Изобретение позволяет повысить эффективность товарооборота за счет увеличения пропускной и провозной способности транспортного коридора в условиях повышенной террористической опасности. 8 з.п. ф-лы, 4 ил., 5 табл. 
Изобретение относится к транспорту и может быть использовано при изысканиях, проектировании, создании и эксплуатации перспективного транспортного коридора со скоростной железной дорогой, соединяющего Европейские страны. Российскую Федерацию, страны Юго-Восточной Азии и Тихоокеанского бассейна, проходящего по территории Российской Федерации и обеспечивающего антитеррористическую безопасность перевозок.
Уровень техники
Аналогом изобретения является железная дорога (транспортный коридор), содержащая пересекающиеся железнодорожные пути (рельсовые пути), подвижной состав, технические средства, обеспечивающие функционирование железной дороги (см. стр.119-121 источника /1/).
С существенными признаками изобретения совпадает следующая совокупность признаков аналога: «железнодорожные пути, подвижной состав, технические средства, обеспечивающие функционирование железной дороги».
Недостатками аналога являются.
А. Низкая пропускная и провозная способности из-за того, что железная дорога содержит менее 4 железнодорожных путей, при этом не исключается несанкционированное проникновение к железнодорожным путям, подвижному составу, техническим средствам, обеспечивающим функционирование железной дороги, людей, животных, технических средств (в частности, автомобилей), а также не обеспечивается пересечение железной дороги с другими коммуникациями на разных уровнях (в частности, в двух) движения.
Б. Низкая вероятность доставки грузов в срок из-за того, что железная дорога содержит менее 4 железнодорожных путей, при этом не исключается несанкционированное проникновение к железнодорожным путям, подвижному составу, техническим средствам, обеспечивающим функционирование железной дороги, людей, животных, технических средств (в частности, автомобилей), а также не обеспечивается пересечение железной дороги с другими коммуникациями на разных уровнях (в частности, в двух) движения.
В. Низкая безопасность транспортировки грузов по транспортному коридору из-за того, что железная дорога содержит менее 4 железнодорожных путей, при этом не исключается несанкционированное проникновение к железнодорожным путям, подвижному составу, техническим средствам, обеспечивающим функционирование железной дороги, людей, животных, технических средств (в частности, автомобилей), а также не обеспечивается пересечение железной дороги с другими коммуникациями на разных уровнях (в частности, в двух) движения.
Прототипом изобретения является транспортный коридор, содержащий железную дорогу, включающую железнодорожные пути (рельсовые пути), подвижной состав, технические средства, обеспечивающие функционирование железной дороги, в частности средства управления перевозками, средства технического обслуживания подвижного состава и железнодорожных путей, линии связи, линии электропередачи /2/.
С существенными признаками изобретения совпадает следующая совокупность признаков прототипа: «Транспортный коридор, содержащий железную дорогу, включающую железнодорожные пути, подвижной состав».
Недостатками прототипа являются.
А. Низкая пропускная и провозная способности из-за того, что железная дорога содержит менее 4 железнодорожных путей, при этом не исключается несанкционированное проникновение к железнодорожным путям, подвижному составу, техническим средствам, обеспечивающим функционирование железной дороги, людей, животных, технических средств (в частности, автомобилей), а также не обеспечивается пересечение железной дороги с другими коммуникациями на разных уровнях (в частности, в двух) движения.
Увеличение числа путей в составе железной дороги позволит (позволило бы) увеличить пропускную и провозную способности железной дороги. Так, увеличение числа путей в два раза позволит увеличить пропускную и провозную способности железной дороги в два раза.
Исключение несанкционированного проникновения к железнодорожным путям, подвижному составу, техническим средствам, обеспечивающим функционирование железной дороги, расположенным в транспортном коридоре, людей, животных, технических средств (в частности, автомобилей), позволит увеличить скорость движения поездов, что в свою очередь будет способствовать повышению пропускной и провозной способности железной дороги и транспортного коридора в целом.
Принятие технических мер по обеспечению пересечения транспортного коридора с транспортными коммуникациями (в частности, железнодорожными, автомобильными), расположенными за пределами транспортного коридора на разных уровнях (в частности, в двух) движения, позволит увеличить скорость движения поездов, что в свою очередь будет способствовать повышению пропускной и провозной способности железной дороги и транспортного коридора в целом.
Б. Низкая вероятность доставки грузов в срок из-за того, что железная дорога содержит менее 4 железнодорожных путей, при этом не исключается несанкционированное проникновение к железнодорожным путям, подвижному составу, техническим средствам, обеспечивающим функционирование железной дороги, людей, животных, технических средств (в частности, автомобилей), а также не обеспечивается пересечение железной дороги с другими коммуникациями на разных уровнях (в частности, в двух) движения.
Увеличение числа путей в составе железной дороги позволит повысить вероятность доставки грузов в срок. Наличие дополнительного пути в составе железной дороги позволит использовать его при выходе из строя или ремонте одного из основных путей движения поездов. При этом скорость движения поездов не уменьшится и груз будет доставлен вовремя.
Исключение несанкционированного проникновения к железнодорожным путям, подвижному составу, техническим средствам, обеспечивающим функционирование железной дороги, расположенным в транспортном коридоре, людей, животных, технических средств (в частности, автомобилей), позволит увеличить скорость движения поездов, что в свою очередь будет способствовать повышению вероятности доставки грузов по железной дороги и транспортного коридора в целом вовремя.
Принятие технических мер по обеспечению пересечения транспортного коридора с транспортными коммуникациями (в частности, железнодорожными, автомобильными), расположенными за пределами транспортного коридора на разных уровнях (в частности, в двух) движения позволит увеличить скорость движения поездов, что в свою очередь будет способствовать повышению вероятности доставки грузов по железной дороге и транспортному коридору в целом вовремя по расписанию.
В. Низкая безопасность транспортировки грузов по транспортному коридору из-за того, что железная дорога содержит менее 4 железнодорожных путей, при этом не исключается несанкционированное проникновение к железнодорожным путям, подвижному составу, техническим средствам, обеспечивающим функционирование железной дороги, людей, животных, технических средств (в частности, автомобилей), а также не обеспечивается пересечение железной дороги с другими коммуникациями на разных уровнях (в частности, в двух) движения.
Увеличение числа путей в составе железной дороги позволит повысить безопасность транспортировки грузов по железной дороге.
Наличие большого числа путей позволяет внести неопределенность, например для террористов, в определении по какому конкретно из путей будет двигаться конкретный груз. Наличие такой неопределенности движения по железной дороге позволит существенно повысить безопасность транспортировки грузов.
Исключение несанкционированного проникновения к железнодорожным путям, подвижному составу, техническим средствам, обеспечивающим функционирование железной дороги, расположенным в транспортном коридоре, людей, животных, технических средств (в частности, автомобилей), например, террористов, позволит существенно повысить безопасность транспортировки грузов.
Принятие технических мер по обеспечению пересечения транспортного коридора с транспортными коммуникациями (в частности, железнодорожными, автомобильными), расположенными за пределами транспортного коридора на разных уровнях (в частности, в двух) движения, позволит существенно повысить безопасность транспортировки грузов. Будет полностью исключена возможность аварии из-за выезда на железнодорожный путь транспортного средства, пересекающего железную дорогу.
Сущность изобретения
Задачей изобретения является создание транспортного коридора, повышающего эффективность товарооборота, например, между Европейскими странами. Российской Федерацией, странами Юго-восточной Азии и Тихоокеанского бассейна.
При осуществлении изобретения будут получены следующие технические результаты:
А. Повышенная пропускная и провозная способности транспортного коридора в условиях возросшей террористической опасности за счет:
– расположения в нем железной дороги, линий оптоволоконной связи, трубопроводов, автодороги;
– наличия технических средства, обеспечивающих предупреждение о несанкционированном проникновении и предотвращение несанкционированного проникновения людей, животных к железнодорожным путям, подвижному составу, средствам, обеспечивающим функционирование железной дороги, расположенным в транспортном коридоре;
– расположения вышеуказанных технических средств внутри и по границе транспортного коридора и за счет того, что технические средства содержат на всей длине границы транспортного коридора ограждения;
– того, что транспортный коридор и коммуникации, проходящие по нему пересекаются с другими коммуникациями, расположенными за пределами транспортного коридора в разных уровнях (на разных уровнях) только посредством туннелей, путепроводов, эстакад.
В прототипе требуемые пропускная и провозная способности достигаются исключительно за счет увеличения количества путей, увеличения скорости движения, уменьшения времени стоянок на станциях, оснащения переездов светофорами и шлагбаумами. Этого явно не достаточно в условиях возросшей террористической опасности.
Именно вся указанная совокупность признаков в независимом пункте формулы изобретения обеспечивает достижение указанного технического результата.
Б. Гарантированная доставка грузов в срок по транспортному коридору в условиях возросшей террористической опасности за счет:
– расположения в нем железной дороги, линий оптоволоконной связи, трубопроводов, автодороги;
– наличия технических средства, обеспечивающих предупреждение о несанкционированном проникновении и предотвращение несанкционированного проникновения людей, животных к железнодорожным путям, подвижному составу, средствам, обеспечивающим функционирование железной дороги, расположенным в транспортном коридоре;
– расположения вышеуказанных технических средств внутри и по границе транспортного коридора и за счет того, что технические средства содержат на всей длине границы транспортного коридора ограждения;
– того, что транспортный коридор и коммуникации, проходящие по нему, пересекаются с другими коммуникациями, расположенными за пределами транспортного коридора в разных уровнях (на разных уровнях) только посредством туннелей, путепроводов, эстакад.
Вся указанная совокупность признаков в независимом пункте формулы изобретения обеспечивает достижение данного технического результата.
Указанные технические результаты достигаются тем, что транспортный коридор содержит железную дорогу, включающую железнодорожные пути, подвижной состав, технические средства, обеспечивающие предупреждение о несанкционированном проникновении и предотвращение несанкционированного проникновения людей, животных к железнодорожным путям, подвижному составу, средствам, обеспечивающим функционирование железной дороги, расположенным в транспортном коридоре, и при этом вышеуказанные технические средства расположены внутри и по границе транспортного коридора и содержат на всей длине границы транспортного коридора ограждения;
кроме того, внутри транспортного коридора дополнительно расположены коммуникации: линии оптоволоконной связи, трубопроводы и автодорога, а также расположены станции для инженерной поддержки функционирования транспортного коридора;
и при этом транспортный коридор и коммуникации, проходящие по нему, пересекаются с другими коммуникациями, расположенными за пределами транспортного коридора в разных уровнях (на разных уровнях) только посредством туннелей, путепроводов, эстакад.
От прототипа изобретение отличается следующей совокупностью признаков: «технические средства, обеспечивающие предупреждение о несанкционированном проникновении и предотвращение несанкционированного проникновения людей, животных к железнодорожным путям, подвижному составу, средствам, обеспечивающим функционирование железной дороги, расположенным в транспортном коридоре, и при этом вышеуказанные технические средства расположены внутри и по границе транспортного коридора и содержат на всей длине границы транспортного коридора ограждения;
кроме того, внутри транспортного коридора дополнительно расположены коммуникации: линии оптоволоконной связи, трубопроводы и автодорога, а также расположены станции для инженерной поддержки функционирования транспортного коридора;
и при этом транспортный коридор и коммуникации, проходящие по нему, пересекаются с другими коммуникациями, расположенными за пределами транспортного коридора в разных уровнях (на разных уровнях) только посредством туннелей, путепроводов, эстакад».
С целью повышения провозной и пропускной способности транспортный коридор выполнен таким образом, что располагается на территории Российской Федерации и выполнен длинной 6000:9000 км (от 6000 км до 9000 км), кроме того, транспортный коридор содержит по крайней мере одну автомобильную коммуникацию, по крайней мере одну коммуникацию связи, по крайней мере одну кабельную или воздушную линию электропередачи, по крайней мере один трубопровод, и при этом каждый железнодорожный путь, входящий в состав железной дороги, расположенной в транспортном коридоре, на 75:100% своей длины электрифицирован и выполнен с возможностью обеспечения движения локомотивов по нему со средней скоростью 50:250 км/час (от 50 км/час до 250 км/час).
С целью повышения провозной и пропускной способности железной дороги, находящейся в транспортном коридоре, повышения безопасности доставки грузов, транспортный коридор выполнен таким образом, что содержит технические средства, обеспечивающие функционирование железной дороги, включающие средства управления перевозками, средства технического обслуживания подвижного состава и средства технического обслуживания железнодорожных путей, кроме того, транспортный коридор содержит технические средства, обеспечивающие предупреждение о несанкционированном проникновении и предотвращение несанкционированного проникновения людей, животных, технических средств (в частности, транспортных средств) к техническим средствам, обеспечивающим функционирование железной дороги; при этом технические средства, обеспечивающие предупреждение о несанкционированном проникновении и предотвращение несанкционированного проникновения к железнодорожным путям и техническим средствам, обеспечивающим функционирование железной дороги, выполнены таким образом, что обеспечивают предупреждение о несанкционированном проникновении с вероятностью 0.85:0.99 и выполнены таким образом, что обеспечивают предотвращение несанкционированного проникновения с вероятностью 0.85:0.99; и технические средства, обеспечивающие предупреждение о несанкционированном проникновении и предотвращение несанкционированного проникновения к железнодорожным путям и техническим средствам, содержат ограждения (в частности, линейные части электризуемого ограждения (заграждения), линейные части неэлектризуемых ограждений, линейные извещатели с чувствительными элементами), расположенные по границам транспортного коридора и внутри транспортного коридора между железнодорожными путями.
С целью повышения провозной и пропускной способности железной дороги, находящейся в транспортном коридоре, повышения безопасности доставки грузов, транспортный коридор выполнен таким образом, что транспортный коридор, в котором расположена железная дорога, на 75:100% своей длины (на протяжении от 75% до 100% своей длины) выполнен шириной 100 м: 5000 м (от 100 м до 5000 м), при этом расстояние между трассами любых соседних железнодорожных путей на 75:100% их длины составляет 5 м: 500 м (от 5 м до 500 м), кроме того, в транспортном коридоре, в том числе между железнодорожными путями, расположены технические средства, обеспечивающие функционирование железной дороги, при этом технические средства, обеспечивающие функционирование железной дороги, содержат систему управления подвижным составом, в частности систему управления движением локомотивов, которая обеспечивает управление движением 75:100% локомотивов (от 75% до 100% локомотивов) без участия локомотивных бригад.
С целью повышения провозной и пропускной способности железной дороги, находящейся в транспортном коридоре, повышения безопасности доставки грузов, транспортный коридор выполнен таким образом, что 75:100% (от 75% до 100%) поездов, входящих в подвижной состав железной дороги, выполнено с возможностью перевозки грузов в контейнерах, причем от 75% до 100% поездов железной дороги выполнено с одинаковым количеством вагонов или платформ для перевозки грузов.
С целью повышения провозной и пропускной способности железной дороги, находящейся в транспортном коридоре, повышения безопасности доставки грузов транспортный коридор выполнен таким образом, что по крайней мере один его железнодорожный путь выполнен таким образом, что обеспечивает пропускную способность от 150 до 228 поездов в сутки при межпоездном интервале 5 минут, обеспечивает пропускную способность от 50 до 114 поездов в сутки при межпоездном интервале 10 минут, обеспечивает пропускную способность от 35 до 76 поездов в сутки при межпоездном интервале 15 минут.
С целью повышения провозной и пропускной способности железной дороги, находящейся в транспортном коридоре, повышения безопасности доставки грузов, транспортный коридор выполнен таким образом, что пропускная способность железной дороги, расположенной в транспортном коридоре в одном направлении по двум железнодорожным путям, составляет от 300 до 456 поездов в сутки при межпоездном интервале 5 минут, и пропускная способность железной дороги в одном направлении по трем железнодорожным путям составляет от 450 до 684 поездов в сутки при межпоездном интервале 5 минут, и пропускная способность железной дороги в одном направлении по четырем железнодорожным путям составляет от 600 до 912 поездов в сутки при межпоездном интервале 5 минут, и пропускная способность железной дороги в одном направлении по пяти железнодорожным путям составляет от 750 до 1100 поездов в сутки при межпоездном интервале 5 минут, и пропускная способность железной дороги в одном направлении по двум железнодорожным путям составляет от 100 до 228 поездов в сутки при межпоездном интервале 10 минут, и пропускная способность в одном направлении по трем железнодорожным путям составляет от 150 до 342 поездов в сутки при межпоездном интервале 10 минут, и пропускная способность в одном направлении по четырем железнодорожным путям составляет от 200 до 456 поездов в сутки при межпоездном интервале 10 минут, и пропускная способность в одном направлении по пяти железнодорожным путям составляет от 250 до 570 поездов в сутки при межпоездном интервале 10 минут; и пропускная способность в одном направлении по двум железнодорожным путям составляет от 70 до 152 поездов в сутки при межпоездном интервале 15 минут, и пропускная способность в одном направлении по трем железнодорожным путям составляет от 105 до 228 поездов в сутки при межпоездном интервале 15 минут, и пропускная способность в одном направлении по четырем железнодорожным путям составляет от 175 до 304 поездов в сутки при межпоездном интервале 15 минут, и пропускная способность в одном направлении по пяти железнодорожным путям составляет от 175 до 380 поездов в сутки при межпоездном интервале 15 минут.
С целью повышения провозной и пропускной способности железной дороги, находящейся в транспортном коридоре, повышения безопасности доставки грузов, транспортный коридор выполнен таким образом, что провозная способность железной дороги в одном направлении по 2:5 железнодорожным путям (соответственно при 4:10 путей в железной дороге) составляет от 100 млн.т. до 10 млрд.т. грузов в год при межпоездном интервале 5:15 минут и средней скорости движения поездов от 50 км/час до 250 км/час.
С целью повышения провозной и пропускной способности железной дороги, находящейся в транспортном коридоре, повышения безопасности доставки грузов, транспортный коридор выполнен таким образом, что содержит по крайней мере два транспортных узла, обеспечивающих перевалку грузов с различных видов транспорта, расположенных за пределами транспортного коридора, на платформы (в вагоны) железнодорожных поездов, находящихся в транспортном коридоре.
С целью повышения провозной и пропускной способности железной дороги, находящейся в транспортном коридоре, повышения безопасности доставки грузов, транспортный коридор выполнен таким образом, что по крайней мере на одном из участков транспортный коридор содержит по крайней мере одно ответвление, причем ответвление транспортного коридора содержит железную дорогу, и пересечение ответвления транспортного коридора с другими транспортными коммуникациями (в частности, железнодорожными, автомобильными) осуществлено на разных уровнях (в частности, в двух уровнях), и кроме того, ответвление транспортного коридора содержит технические средства, обеспечивающие предупреждение о несанкционированном проникновении и предотвращение несанкционированного проникновения людей, животных, технических средств (в частности, автомобилей, тракторов) к железнодорожным путям.
С целью повышения провозной и пропускной способности железной дороги, находящейся в транспортном коридоре, повышения безопасности доставки грузов, транспортный коридор выполнен таким образом, что по крайней мере один железнодорожный путь, расположенный в транспортном коридоре, выполнен с шириной рельсовой колеи от 0.5 м до 2.5 м, и при этом железнодорожный путь содержит рельсы, на поверхности которых расположены (нанесены) идентификаторы производителей рельс, причем по крайней мере один рельс выполнен таким образом, что каждое из по крайней мере двух поперечных сечений содержит границу сечения, и при этом граница сечения по крайней мере на одном из участков (в частности, на участке границы шейки рельса, подошвы рельса) выполнена в виде комбинации по крайней мере двух различных по длине несмежных элементов эллипса или выполнена в виде комбинации по крайней мере двух различных по длине несмежных элементов гиперболы;
или граница сечения вышеуказанного рельса по крайней мере на одном из участков выполнена в виде комбинации по крайней мере двух различных по длине элементов эллипсов с различными значениями эксцентриситетов, или выполнена в виде комбинации по крайней мере двух различных по длине элементов гипербол с различными значениями эксцентриситетов;
или граница сечения вышеуказанного рельса по крайней мере на одном из участков выполнена в виде комбинации различных по длине элемента эллипса и элемента гиперболы;
и моменты инерции по крайней мере двух вышеупомянутых поперечных сечений рельса относительно идентичных по положению (расположению) осей в поперечных сечениях различны;
и полярные моменты инерции по крайней мере двух вышеупомянутых поперечных сечений рельса относительно центров масс сечений различны;
и площади по крайней мере двух вышеупомянутых поперечных сечений рельса различны;
и периметры по крайней мере двух вышеупомянутых поперечных сечений рельса различны.
С целью повышения провозной и пропускной способности железной дороги, находящейся в транспортном коридоре, повышения безопасности доставки грузов, транспортный коридор выполнен таким образом, что упомянутый железнодорожный рельс содержит по крайней мере два поперечных сечения, у которых идентичные участки ненулевой длины границ сечений выполнены в виде элементов эллипсов с различными эксцентриситетами;
или содержит по крайней мере два поперечных сечения, у которых идентичные участки ненулевой длины границ сечений выполнены в виде элементов гипербол с различными эксцентриситетами.
С целью повышения провозной и пропускной способности железной дороги, находящейся в транспортном коридоре, повышения безопасности доставки грузов, транспортный коридор выполнен таким образом, что граница сечения рельса по крайней мере на одном из ее участков выполнена в виде комбинации по крайней мере двух переходящих друг в друга несмежных элементов эллипса или выполнена в виде комбинации по крайней мере двух переходящих друг в друга несмежных элементов гиперболы;
или граница сечения рельса по крайней мере на одном из ее участков выполнена в виде комбинации по крайней мере двух переходящих друг в друга элементов эллипса с различными значениями эксцентриситета или выполнена в виде комбинации по крайней мере двух переходящих друг в друга элементов гиперболы с различными значениями эксцентриситета.
С целью повышения провозной и пропускной способности железной дороги, находящейся в транспортном коридоре, повышения безопасности доставки грузов, транспортный коридор выполнен таким образом, что граница сечения рельса содержит по крайней мере два поперечных сечения, у которых идентичные участки границ сечений выполнены в виде элементов эллипсов конического сечения с различными эксцентриситетами;
или содержит по крайней мере два поперечных сечения, у которых идентичные участки границ сечений выполнены в виде элементов гипербол конического сечения с различными эксцентриситетами.
С целью повышения провозной и пропускной способности железной дороги, находящейся в транспортном коридоре, повышения безопасности доставки грузов, транспортный коридор выполнен таким образом, что по крайней мере один железнодорожный путь, расположенный в транспортном коридоре, выполнен в виде монорельсового пути на опорах.
Формула изобретения полностью (дословно) основана на вышеприведенных материалах.
В формуле изобретения приведены признаки, выраженные в виде альтернативы. Данные признаки при любых допускаемых указанными альтернативами выборах в совокупности с другими признаками изобретения обеспечивают получение заявленных технических результатов.
С целью обеспечения выполнения п.3.3.1(4) Правил ниже приводится раскрытие понятий и терминов, используемых в материалах заявки. Раскрытие понятий и терминов необходимо потому, что последние в уровне техники (в частности, в справочниках и толковых словарях) имеют различные толкования.
ТРАНСПОРТНЫЙ – транспортировать, относится к транспорту.
ТРАНСПОРТ (от лат. transporto – перемещаю) – отрасль материального производства, осуществляющая перевозки людей и грузов.
ТРАНСПОРТНАЯ РАЗВЯЗКА – комплекс сооружений в месте пересечения дорог двух или нескольких направлений для поворота транспорта с одного направления на другое. Транспортные развязки устраивают главным образом в двух (напр., “клеверный лист”) или нескольких уровнях.
КОРИДОР – узкое длинное пространство, проход, ограниченное с обеих сторон.
ТРАНСПОРТНЫЙ КОРИДОР – узкое длинное пространство (проход), ограниченное ограждениями (содержащее по границе ограждения).
В транспортном коридоре могут располагаться железная дорога, автомобильная дорога, трубопроводы, кабельные линии связи, линии электропередач и др.
На всей длине или на части длины границы транспортного коридора расположены ограждения. В качестве ограждений могут использоваться линейные части системы, обеспечивающей предупреждение о несанкционированном проникновении и предотвращение несанкционированного проникновения людей, животных и др. к коммуникациям, расположенным в транспортном коридоре, в частности к железной дороге.
Транспортный коридор может иметь одно или несколько ответвлений (примыканий, разветвлений). Отношение максимальной ширины транспортного коридора к его длине или суммарной длине (учитывая ответвления) может составить величину 0.01 и менее.
Транспортный коридор и коммуникации, проходящие по нему, пересекаются с другими коммуникациями, расположенными за пределами транспортного коридора в разных уровнях (на разных уровнях) посредством туннелей, путепроводов, эстакад.
В настоящее время проектируется транспортный коридор «Север-Юг», который будет проходить по территории России и Азербайджана /4/.
Пропускная и провозная способности транспортного коридора обеспечиваются перевозками по железной и автомобильной дороге, перекачкой веществ по трубопроводам, передачей массивов информации по кабельным линиям связи, передачей энергии по линиям электропередач.
ГРАНИЦА – условная линия раздела между территориями, то, что отличает одно от другого. Например, граница между земельными участками, входящими в состав транспортного коридора и не входящими в состав транспортного коридора.
ЖЕЛЕЗНАЯ ДОРОГА – транспортное предприятие с комплексом технических средств и сооружений (железнодорожные пути, подвижной состав, станции, технические средства, обеспечивающие функционирование железной дороги, в частности устройства автоматики и телемеханики, диспетчерская централизация и т.п.) для перевозки пассажиров и грузов. Различают железные дороги: общего пользования (магистральные), подъездные (в т.ч. лесовозные, рудничные и др.) и городские (трамвайные, метрополитены). Используется широкая (1668, 1520, 1435 мм и др.) и узкая (1000, 914, 891, 762, 500 мм и др.) железнодорожная колея. Количество железнодорожных путей на любом участке железной дороги является целым числом (не может быть дробным числом), например, 4, или 5, или 6, или 7, или 8, или 9, или 10 железнодорожных путей на участке протяженностью от 75% до 100% длины железной дороги. В описании и формуле изобретения употреблено выражение: «…содержит от 4 до 10 железнодорожных путей…»
ЖЕЛЕЗНОДОРОЖНАЯ СТАНЦИЯ – основная производственно-хозяйственная единица в системе железнодорожного транспорта, осуществляющая непосредственную связь с клиентурой. Железнодорожная станция выполняет начальные и конечные операции перевозочного процесса и работу по обеспечению формирования и движения поездов. Различают железнодорожные станции грузовые, пассажирские, участковые, промежуточные, сортировочные.
ПУТЕПРОВОД – мост на пересечении сухопутных дорог. Обеспечивает движение по ним в разных уровнях.
РЕЛЬСЫ (англ. rails, мн. ч. от rail – рельс, от лат. regula – прямая палка) – стальные балки специального сечения, укладываемые на верхнее строение пути (на шпалы) для движения железнодорожного или городского подвижного состава (поездов, дрезин, трамваев), передвижения подъемных кранов (подкрановые пути), вагонеток в шахтах и на карьерах. Иногда используют один рельс (напр., в монорельсовых дорогах, для перемещения вагонов, поездов, кран-балки). Рельсы скрепляют на стыках специальными скреплениями или сваркой (бесстыковой путь).
ШПАЛА (от нидерл. spalk – подпорка) – опора для рельсов, укладываемая на балласт. Применяют деревянные (пропитанные антисептиками), железобетонные, металлические шпалы.
КОММУНИКАЦИЯ (лат. communicatio, от communico – делаю общим, связываю, общаюсь) – путь сообщения, связь одного места с другим.
КОММУНИКАБЕЛЬНОСТЬ (от позднелат. communicabilis соединимый, сообщающийся) – 1) совместимость (способность к совместной работе) разнотипных систем передачи информации.
ПРОТЯЖЕННОСТЬ – расстояние по длине, занимаемое чем-либо. Например, дорога общей протяженностью от 6000 км до 9000 км.
ПРОТЯЖЕНИЕ – протяженность. Например, по всему протяжению шоссе или железной дороги.
УЧАСТОК – часть поверхности, площади чего-либо, протяженный отрезок чего-либо. Например, аварийный участок железной дороги, опасный участок пути.
ДЛИНА – протяжение чего-либо. Например, длина пути.
Таким образом, сущность изобретения выражена в совокупности существенных признаков, достаточной для достижения заявленных технических результатов.
Перечень фигур чертежей
На Фиг.1 представлена схема транспортного коридора с железной дорогой, содержащей железнодорожные пути и подвижной состав.
На Фиг.2 представлена схема пересечения транспортного коридора и железной дороги с другими коммуникациями: железной и автомобильной дорогами.
На Фиг.3 представлена схема территории Российской Федерации с проходящим по ней транспортным коридором.
На Фиг.4 представлена схема части территории Российской Федерации, включающей Хабаровский и Приморский край, о. Сахалин с проходящим по ней транспортным коридором и железной дорогой.
Сведения, подтверждающие возможность осуществления изобретения
Возможность осуществления изобретения с реализацией указанного назначения подтверждается известностью средств и методов получения устройств, позволяющих изготовить транспортный коридор.
На Фиг.1 представлена схема транспортного коридора (ТК) с железной дорогой, содержащей железнодорожные пути 1 и подвижной состав 2.
Транспортный коридор содержит технические средства, обеспечивающие предупреждение о несанкционированном проникновении и предотвращение несанкционированного проникновения к железнодорожным путям 1 и техническим средствам, обеспечивающим функционирование железной дороги 6 и 7, содержат ограждения (в частности, линейные части электризуемого ограждения (заграждения) 5, линейные части неэлектризуемых ограждений 3, линейные извещатели с чувствительными элементами 4), расположенные по границам транспортного коридора; и содержат пункт управления 13 техническими средствами, обеспечивающими предупреждение о несанкционированном проникновении и предотвращение несанкционированного проникновения к железнодорожным путям 1 и техническим средствам. Внутри транспортного коридора дополнительно расположены линия электропередачи 8, линии связи 9 (волновод прямоугольный), 10 (волновод круглый), 11 (волновод коаксиальный) и передающий радиоцентр 12, соединенный прямоугольным волноводом с пунктом управления 7. На территории транспортного коридора расположены средства пожаротушения 14 (автомобиль пожарный), 15 (цистерна пожарная), 16 (автомобиль пожарный насосно-рукавной).
Кроме того, по транспортному коридору проходит трубопровод 46 и автомобильная дорога 47 (см. Фиг.2).
На Фиг.2 представлена схема пересечения транспортного коридора и железной дороги с другими коммуникациями: железнодорожными путями 19 и 20, и автомобильной дорогой 18. Транспортный коридор проходит над этими коммуникациями по путепроводу 17. Железнодорожный путь 1 транспортного коридора соединен с территорией, расположенной за границей транспортного коридора железной дорогой 21.
На Фиг.3 представлена схема территории Российской Федерации с проходящим по ней транспортным коридором 24. Транспортный коридор содержит транспортные узлы: 22 (условно называемый С-Петербургский), 30 (условно называемый Китайским), 31 (условно называемый Приморским), 29 (условно называемый Сахалинским), 26 (условно называемый Чукотским). Кроме того, транспортный коридор содержит: узловые станции 37, 36, 34 (носят названия терминалы внутрироссийского доступа), в которых осуществляется перевалка грузов с Российских магистралей 44, 42, 41, 43, 39 на железнодорожный транспорт транспортного коридора; центры технического обслуживания подвижного состава 32, 33, 35 (узловые транспортные точки); ответвление 40, соединяющее основную ветвь транспортного коридора 24 в центре технического обслуживания подвижного состава 35 с транспортным узлом 26. Ответвление 40 пересекает железную дорогу местного значения по путепроводу 45. Управление транспортным коридором осуществляется центром управления 23.
На Фиг.4 представлена схема части территории Российской Федерации, включающей Хабаровский и Приморский край, о. Сахалин с проходящим по ней транспортным коридором 24 и железной дорогой 25. Сахалинский участок 28 транспортного коридора соединен с основной его частью 24 мостом 27. Транспортный узел 29 соединен с Японией паромной переправой 38.
Поезда 2 движутся по железнодорожным путям 1 одновременно в двух направлениях с интервалом в 5:15 минут. Скорость движения поездов 50:250 км/час. Препятствуют проникновению на территорию ТК заграждения 3, 4, 5.
Железная дорога является основной транспортной коммуникацией и функционирует в составе транспортного коридора (условно называемого Транспортного коридора Европа-Азия).
Транспортный коридор представляет собой систему (техническую и организационную систему) транспортировки грузов из стран Тихоокеанского бассейна в Россию, в Европу и обратно по территории Российской федерации. Железная дорога ТК отвечает следующим основным требованиям:
– время транспортировки грузов по территории РФ при длине транспортного коридора 8000 км 80-150 часов;
– годовой грузооборот не менее 1 млрд. метрических тонн (или 10:100 млн. 40-футовых контейнеров);
– себестоимость транспортировки (включая перевалку грузов) не более 50% стоимости транспортировки океанским путем;
– обеспечение гарантированной безопасности перевозки грузов при транспортировке по территории Российской Федерации.
Ключевыми элементами ТК являются: железная дорога, транспортные узлы (условно Петербургский, Сахалинский, Приморский, Корейский, Китайский и др.) и Объединенный центр управления ТК и, в частности железной дорогой, расположенный на территории Российской Федерации (например, в г. Санкт-Петербурге или его окрестностях).
Транспортный коридор и железная дорога представляют собой объекты, как с организационной, так и с военно-технической стороны, закрытые от несанкционированного доступа.
Железная дорога на 75:100% своей длины содержит 4:10 электрифицированных железнодорожных путей.
Принципиальной отличительной особенностью транспортного коридора от аналогичных ТК является то, что пересечение его с иными коммуникациями осуществляется только туннельным или эстакадным способом (полностью исключены пересечения на одном уровне). Железнодорожные пути служат для обеспечения транзитных перевозок, при этом два пути, по одному в каждом направлении, могут использоваться для обеспечения товарооборота с Российскими потребителями и производителями. Одновременно эти две ветки, обеспечивающие участие Российских территорий в товарообороте, являются резервными для транзитных перевозок.
Время работы каждого железнодорожного пути составляет не менее 20 часов в сутки.
Внутри транспортного коридора пролегают линии оптоволоконной связи, трубопроводы и технологическая автодорога, а также расположены узловые станции для инженерной поддержки функционирования коридора.
В точках пересечения транспортного коридора с иными – водными, железнодорожными, автомобильными и прочими путями – ТК имеет узловые терминалы 37, 36, 34 внутрироссийского доступа к транспортному коридору.
Транспортировка грузов по ТК осуществляется в 40-футовых морских контейнерах, на подвижном составе фиксированной длины, включающем в себя электровоз и систему платформ, например, на 100 контейнеров.
Отличительными особенностями подвижного состава являются:
– свободное перемещение в двух прямо противоположных направлениях без смены положения электровоза;
– возможность исключения физического участия человека в системе управления движением электровоза;
– срок гарантийной службы электровоза – не менее 25 лет;
– наличие у электровоза автоматизированной системы диагностики как самого себя, так и подвижного состава.
Диагностика, ремонт и смена подвижного состава осуществляются в конечных и узловых транспортных точках на специализированных пунктах: центрах технического обслуживания подвижного состава 32, 33, 35.
Для формирования адресного грузопотока ТК имеет сортировочные узлы в виде системы двухуровневых развязок, исключающих возможность пересечения встречных направлений на одном уровне.
В оконечных пунктах ТК располагаются транспортные узлы.
Транспортный узел ТК представляет собой единый по замыслу комплекс транспортных, коммуникационных и инженерно-технических средств и сооружений, предназначенных для перевалки грузов с различных видов транспорта.
Назначение ТК и геостратегическое положение России обуславливают необходимость вхождения в состав ТК пяти основных транспортных узлов со следующими условными наименованиями:
Петербургский транспортный узел;
Сахалинский транспортный узел;
Приморский транспортный узел;
Корейский и Китайский транспортные узлы.
Петербургский транспортный узел предназначен для обеспечения прохождения через город Санкт-Петербург ввиду его исключительного положения, всего объема грузопотока ТК.
Прогнозируемые параметры данного грузопотока определяют следующий состав Петербургского транспортного узла:
– новый порт, представляющий собой канал вокруг Санкт-Петербурга (соединяет Финский залив и реку Неву на участке между г.Санкт-Петербургом и Ладожским озером) с причальными стойками и грузовыми терминалами по обеим своим сторонам для перевалки грузов в Европейские порты;
– железнодорожные пути вдоль порта-канала, которые являются конечными отрезками железнодорожных путей транспортного коридора;
– автомобильные коммуникации порта-канала.
– Пропускная способность канала – не менее 72 контейнеровозов водоизмещением 30-35 тыс.т. с осадкой, не превышающей 8 метров в сутки.
Сахалинский транспортный узел предназначен для перевалки грузов, получаемых и направляемых в Японию из стран северной части Юго-Восточной Азии.
Он включает:
– сухопутную переправу с материка на остров;
– новый морской порт на О.Сахалин для перевалки грузов с трех видов транспорта;
– газопровод О.Сахалин – о.Хоккайдо и нефтеналивной порт на О.Сахалин для транспортировки сибирского газа и других энергоносителей в Японию.
Приморский транспортный узел, как и Сахалинский, предназначен для перевалки с трех видов транспорта грузов с учетом предполагаемого нового объема оборота грузов. Приморский узел состоит из модернизированных портов Владивостока и Находки, вновь построенных терминалов с учетом подхода коммуникаций ТК к этим портам и необходимых технологических автомобильных и железнодорожных обвязок.
Корейский и Китайский транспортные узлы ввиду наличия общих границ с Китаем и Северной Кореей предназначены для осуществления возможности сухопутной транспортировки грузов между Корейскими государствами и Европой, Китаем и Западной Европой.
Перевалка грузов обеспечивается на данных узлах с двух видов транспорта (железнодорожного и автомобильного) на составы ТК и наоборот.
Кроме того, Корейский и Китайский узлы включают в себя инженерные сооружения, способные обеспечивать экспорт природных энергоносителей по трубопроводам из Сибири в Китай и на Корейский полуостров.
РАСЧЕТ ПАРАМЕТРОВ ТРАНСПОРТНОГО КОРИДОРА
Для проведения расчетов конечными точками маршрута являются Петербург и порт Корсаков на Сахалине. Кратчайшее расстояние между ними равно 6700 км. Коэффициент развития трассы примем равным 1.2. Тогда общая протяженность трассы приблизительно равна 8000 км.
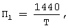
Максимальная пропускная способность одного железнодорожного пути в сутки определяется по формуле

где Т – межпоездной интервал, 1440 – длительность суток в минутах. Значения П1 для диапазона межпоездных интервалов Т=5-15 минут представлены в табл.1.
| Таблица 1 |
| Т, мин |
5 |
6 |
7 |
8 |
9 |
10 |
11 |
12 |
13 |
14 |
15 |
| П1, ед |
288 |
240 |
206 |
180 |
160 |
144 |
130 |
120 |
111 |
103 |
96 |
Пропускная способность одного железнодорожного пути определяется по формуле
П=П1Кипс,
где Кипс – коэффициент использования пропускной способности, рассчитываемый по соотношению

где tтехр – продолжительность технологического окна, предоставляемого в графике движения для работ по текущему содержанию пути и других устройств, Н – надежность используемых технических устройств. Для tтехн=4 часа, Р=0.95 в табл.2 представлены результаты расчетов пропускной способности одного железнодорожного пути.
| Таблица 2 |
| Т, мин |
5 |
6 |
7 |
8 |
9 |
10 |
11 |
12 |
13 |
14 |
15 |
| П, ед |
228 |
190 |
163 |
143 |
127 |
114 |
104 |
95 |
88 |
81 |
76 |
Пропускная способность железной дороги в одном направлении в сутки определяется по формуле
Пжм=ПN,
где N – количество железнодорожных путей в одном направлении. Результаты расчетов для N=2, 3, 4, 5 представлены в табл.3.
| Таблица 3 |
| Т, мин |
5 |
6 |
7 |
8 |
9 |
10 |
11 |
12 |
13 |
14 |
15 |
| Пжм, ед N=2 |
456 |
380 |
326 |
286 |
254 |
228 |
208 |
190 |
176 |
164 |
152 |
| Пжм, ед N=3 |
684 |
570 |
489 |
429 |
381 |
342 |
312 |
285 |
264 |
246 |
228 |
| Пжм, ед N=4 |
912 |
760 |
652 |
572 |
508 |
456 |
416 |
380 |
352 |
328 |
304 |
| Пжм, ед N=5 |
1100 |
950 |
815 |
715 |
635 |
570 |
520 |
475 |
440 |
410 |
380 |
Провозная способность железной дороги в год в одном направлении рассчитывается по формуле
R=365Пжмnk,
где nk – количество контейнеров, перевозимых одним составом. Для nk=100 40-футовых контейнеров результаты расчетов приведены в табл.4.
| Таблица 4 |
| T, мин |
5 |
6 |
7 |
8 |
9 |
10 |
11 |
12 |
13 |
14 |
15 |
| R, млн ед, N=2 |
16.6 |
13. 9 |
11. 9 |
10. 4 |
9.2 7 |
8.3 2 |
7.5 9 |
6.9 3 |
6.4 2 |
5.99 |
5.55 |
| R, млн ед, N=3 |
25. 0 |
20. 8 |
17. 8 |
15. 7 |
13. 9 |
12. 5 |
11. 4 |
10. 4 |
9.64 |
8.9 8 |
8.32 |
| R, млн ед, N=4 |
33.3 |
27. 7 |
23. 8 |
20. 9 |
18. 5 |
16. 6 |
15. 2 |
13. 9 |
12. 8 |
12. 0 |
11.1 |
| R, млн ед, N=5 |
41. 6 |
34. 7 |
29. 7 |
26. 1 |
23. 2 |
20. 8 |
19. 0 |
17. 3 |
16. 1 |
15. 0 |
13.9 |
Количество поездов одновременно находящихся на всей протяженности одного железнодорожного пути рассчитывается по формуле

где S – протяженность трассы, v – скорость движения поезда. Расчеты для скоростей движения 60, 80, 100 км/час и S=8000 км представлены в табл.5.
| Таблица 5 |
| Т, мин |
5 |
6 |
7 |
8 |
9 |
10 |
11 |
12 |
13 |
14 |
15 |
| К, ед V=60 км/час |
160 0 |
130 0 |
110 0 |
100 0 |
889 |
800 |
728 |
667 |
616 |
572 |
534 |
| К, ед V=80 км/час |
120 0 |
110 0 |
858 |
750 |
667 |
600 |
546 |
500 |
462 |
429 |
400 |
| К, ед V=100 км/час |
960 |
800 |
686 |
600 |
534 |
480 |
437 |
400 |
370 |
343 |
320 |
Количество поездов, одновременно находящихся на всей протяженности железной дороги, находится в диапазоне от 1280 до 16000 единиц.
Таким образом, заявленная железная дорога (с принятым в расчетах техническим обликом) обеспечивает;
1. Время транспортировки грузов от 80 до 133 часов на расстояние 8000 км.
2. Годовой грузооборот в одном направлении от 5.55 до 41.6 млн 40-футовых контейнеров, в двух направлениях от 11.1 до 83.2 млн 40-футовых контейнеров.
3. Количество одновременно находящихся на железной дороге поездов находится в диапазоне от 1280 до 16000 едениц.
При осуществлении изобретения будут получены следующие технические результаты:
А. Повышенная пропускная и провозная способности транспортного коридора в условиях возросшей террористической опасности.
Б. Гарантированная доставка грузов в срок по транспортному коридору в условиях возросшей террористической опасности.
Оба технических результата заявленным транспортным коридором будут достигнуты за счет:
– расположения в нем железной дороги, линий оптоволоконной связи, трубопроводов, автодороги;
– наличия технических средства, обеспечивающих предупреждение о несанкционированном проникновении и предотвращение несанкционированного проникновения людей, животных к железнодорожным путям, подвижному составу, средствам, обеспечивающим функционирование железной дороги, расположенным в транспортном коридоре;
– расположения вышеуказанных технических средств внутри и по границе транспортного коридора и за счет того, что технические средства содержат на всей длине границы транспортного коридора ограждения;
– того, что транспортный коридор и коммуникации, проходящие по нему пересекаются с другими коммуникациями, расположенными за пределами транспортного коридора в разных уровнях (на разных уровнях) только посредством туннелей, путепроводов, эстакад.
Целесообразно, чтобы у транспортного коридора на участке протяженностью от 75% до 100% длины железной дороги или участках суммарной протяженностью от 75% до 100% длины железной дороги, располагались от 4 до 10 железнодорожных путей, полностью исключалось несанкционированное проникновение к железнодорожным путям, подвижному составу, техническим средствам, обеспечивающим функционирование железной дороги, расположенным в транспортном коридоре, людей, животных, автомобилей, а также чтобы обеспечивались все пересечения транспортного коридора с транспортными коммуникациями (в частности, железнодорожными, автомобильными), расположенными за пределами транспортного коридора на разных уровнях (в частности, в двух) движения.
Литература
1. Проектирование, строительство и реконструкция железных дорог: Учеб. Пособие для вузов ж.-д. трансп. / В.А.Бучкин, Ю.А.Быков, В.А.Копыленко, Б.В.Яковлев; Под ред. Б.В.Яковлева. – М.:Транспорт, 1989. – 263 с.
2. Изыскания и проектирование железных дорог: Учебник для вузов ж.-д. трансп. / И.В.Турбин, А.В.Гавриленков, И.И Кантор и др.; Под ред. И.В.Турбина. – М.: Транспорт, 1989. – 479 с.
3. Большой толковый словарь русского языка. / Сост. И гл. ред. С.А.Кузнецов. – СПб.: «Норинг», 2000. – 1536 с.
4. АвтоТрансИнфо, 17-06-2002.
Формула изобретения
1. Транспортный коридор, содержащий железную дорогу, включающую железнодорожные пути, подвижной состав, технические средства, обеспечивающие предупреждение о несанкционированном проникновении и предотвращение несанкционированного проникновения людей, животных к железнодорожным путям, подвижному составу, средствам, обеспечивающим функционирование железной дороги, расположенным в транспортном коридоре, при этом указанные технические средства расположены внутри и по границе транспортного коридора и содержат на всей длине границы транспортного коридора ограждения, внутри транспортного коридора дополнительно расположены коммуникации в виде линий оптоволоконной связи, трубопроводов и автодороги, а также станции для инженерной поддержки функционирования транспортного коридора, транспортный коридор и коммуникации, проходящие по нему, пересекаются с другими коммуникациями, расположенными за пределами транспортного коридора, в разных уровнях посредством туннелей, путепроводов, эстакад.
2. Транспортный коридор по п.1, отличающийся тем, что выполнен длинной от 6000 до 9000 км и дополнительно содержит кабельную или воздушную линию электропередачи, при этом каждый железнодорожный путь, входящий в состав железной дороги, расположенной в транспортном коридоре, на 75-100% своей длины электрифицирован и выполнен с возможностью обеспечения движения локомотивов по нему со средней скоростью от 50 до 250 км/ч.
3. Транспортный коридор по п.1, отличающийся тем, что средства, обеспечивающие функционирование железной дороги, включают средства управления перевозками, средства технического обслуживания подвижного состава и средства технического обслуживания железнодорожных путей.
4. Транспортный коридор по п.1, отличающийся тем, что указанные технические средства содержат линейные части электризуемого ограждения, линейные части не электризуемых ограждений, линейные извещатели с чувствительными элементами, расположенные по границам транспортного коридора и внутри транспортного коридора между железнодорожными путями.
5. Транспортный коридор по п.1, отличающийся тем, что на протяжении от 75 до 100% своей длины выполнен шириной от 100 до 5000 м, при этом расстояние между трассами любых соседних железнодорожных путей на 75-100% их длины составляет от 5 до 500 м, средства, обеспечивающие функционирование железной дороги, расположенные в транспортном коридоре, в том числе между железнодорожными путями, содержат систему управления подвижным составом, которая обеспечивает управление движением от 75 до 100% локомотивов без участия локомотивных бригад.
6. Транспортный коридор по п.1, отличающийся тем, что от 75 до 100% поездов, входящих в подвижной состав железной дороги, выполнено с возможностью перевозки грузов в контейнерах, от 75 до 100% поездов выполнено с одинаковым количеством вагонов или платформ для перевозки грузов.
7. Транспортный коридор по п.1, отличающийся тем, что он по крайней мере на одном из участков содержит по крайней мере одно ответвление, причем ответвление содержит железную дорогу и пересечение ответвления с другими транспортными коммуникациями осуществлено на разных уровнях, при этом ответвление содержит технические средства, обеспечивающие предупреждение о несанкционированном проникновении и предотвращение несанкционированного проникновения людей, животных к железной дороге.
8. Транспортный коридор по п.1, отличающийся тем, что по крайней мере один железнодорожный путь, расположенный в транспортном коридоре, выполнен с шириной рельсовой колеи от 0,5 до 2,5 м, при этом железнодорожный путь содержит рельсы, на поверхности которых расположены идентификаторы производителей рельсов.
9. Транспортный коридор по п.1, отличающийся тем, что содержит по крайней мере два транспортных узла, обеспечивающих перевалку грузов с различных видов транспорта, расположенных за пределами транспортного коридора, на платформы или в вагоны железнодорожных поездов, находящихся в транспортном коридоре.
РИСУНКИ
|
|