|
|
(21), (22) Заявка: 2002128736/15, 27.03.2001
(24) Дата начала отсчета срока действия патента:
27.03.2001
(30) Конвенционный приоритет:
27.03.2000 US 60/192,260
(43) Дата публикации заявки: 10.04.2004
(45) Опубликовано: 10.02.2006
(56) Список документов, цитированных в отчете о поиске:
Dale L.В. et al. «Higher Order Iminodiacetic Libraries for Probing…», Bioorganic Medical Chemistry, п.6, 1998, 1347-1378. Brocks et al., «Cell», 1996 v.85, р.683-693.
(85) Дата перевода заявки PCT на национальную фазу:
28.10.2002
(86) Заявка PCT:
US 01/09785 (27.03.2001)
(87) Публикация PCT:
WO 01/72297 (04.10.2001)
Адрес для переписки:
129010, Москва, ул. Б.Спасская, 25, стр.3, ООО “Юридическая фирма Городисский и Партнеры”, пат.пов. Е.Е.Назиной
|
(72) Автор(ы):
БОГЕР Дейл Л. (US), ЧЕРЕШ Дэвид А. (US)
(73) Патентообладатель(и):
ДЗЕ СКРИППС РИСЕРЧ ИНСТИТЬЮТ (US)
|
(54) СПОСОБЫ ИНГИБИРОВАНИЯ АНГИОГЕНЕЗА И РОСТА ОПУХОЛЕЙ
(57) Реферат:
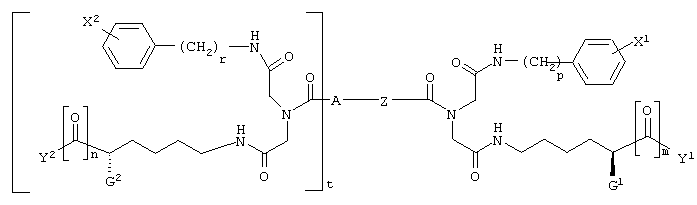
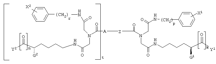
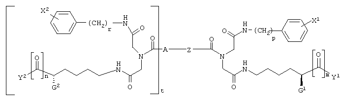
Изобретение относится к области онкологической фармакологии. Сущность его заключается в разработке способа ингибирования взаимодействия металлопротеиназы 2 с интегрином v 3 в клетках хозяина, который включает контактирование интегрина с ингибирующим взаимодействие количеством соединения, представленного формулой где G1 и G2, каждый независимо, представляет -NH-С(O)-O-R1, -NH-С(O)-O-(СН2)v-(С6Н4)-Х3, -NH-С(О)-NH-(СН2)v-(С6H4)-X3, -O-С(О)-NH-(СН2)v-(С6Н4)-X3, -O-С(O)-O-(СН2)v-(С6Н4)-Х3 или -NH-С(O)-СН2-(С6Н4)-Х3, Y1 и Y2, каждый независимо, представляют -ОН, С1-С4 алкил, С1-С4 гидроксиалкил, С1-С4 алкокси, фенил, бензил или -NH2; R1 представляет С1-С4 алкил; X1 и X2, каждый независимо, представляют галоген или С1-С4 алкокси; Х3 представляет галоген, нитро, С1-С4 алкил, С1-С4 алкокси или С1-С4 перфторалкил; Z представляет -С С-, -С6Н4-, цис-СН=СН-, транс-СН=СН-, цис-СН2-СН=СН-СН2-, транс-СН2-СН=СН-СН2-, 1,4-нафтил, цис-1,3-циклогексил, транс-1,3-циклогексил, цис-1,4-циклогексил или транс-1,4-циклогексил; А представляет Н или ковалентную связь; m и n, каждый независимо, представляют целое число, имеющее значение 0 или 1; t представляет целое число, имеющее значение 0 или 1; и р, r и v, каждый независимо, представляют целое число, имеющее значение 1 или 2; при условиях, что когда А является Н, t равно 0; когда А является ковалентной связью, t равно 1; когда m равно 0, Y1 представляет С1-С4 гидроксиалкил; и когда n является 0, Y2 представляет С1-С4 гидроксиалкил. Описан также способ индукции апоптоза, включающий введение вышеуказанного вещества в терапевтически эффективном количестве. Технический результат – расширение арсенала противоопухолевых средств. 5 н. и 32 з.п. ф-лы, 9 ил. 
Область изобретения
Данное изобретение относится к способам ингибирования ангиогенеза и роста опухолей. Более конкретно, данное изобретение относится к способам ингибирования ангиогенеза и роста опухолей с использованием соединений, которые селективно связываются с интегрином v 3 и блокируют взаимодействие интегрина v 3 с матриксной металлопротеиназой 2 (ММП2).
Исходный уровень техники
Инвазия сосудистых клеток в ткани требует координированного взаимодействия многочисленных факторов, включая протеиназы, которые ремоделируют архитектуру экстраклеточного матрикса, а также молекулы клеточной адгезии, которые распознают этот предварительный матрикс. В недавних сообщениях показано, что 72 кДа матриксная металлопротеиназа 2 (ММП2) играет ключевую роль в развитии сосудов и ангиогенеза. Например, Kitoh et al. (J. Cell Sci., 109, 953-8 (1996)) сообщают, что ММП2 и ее активатор мембранная матриксная металлопротеиназа типа 1 (МТ1-ММП) координированно экспрессируются мезенхимальными клетками почти исключительно во время эмбрионального развития, указывая на специфические ограничения реконструкции матрикса в этих тканях. Кроме того, ангиогенез и соответствующий рост опухолей снижается у дефектных по ММП2 мышей (см. Itoh et al., Cancer Res. 58, 1048-51 (1998)). Интересно, что Saftor et al. (Proc. Natl. Acad. Sci. U.S.A., 89, 1557-61 (1992)) показали, что лигирование интегрина v 3, известного как медиатор ангиогенеза, вызывает продукцию ММП2, что наводит на мысль о координированном взаимодействии этих двух молекул во время сосудистого ремоделирования, связанного с формированием кровеносного сосуда (см. также Bafetti et al., J. Biol. Chem., 273, 143-9 (1998)). Фактически прямое взаимодействие между ММП2 и интегрином v 3 было продемонстрировано Brooks et al. (Cell, 85, 683-93 (1996)). Негативная регуляция ММП2 во время сосудистой инвазии и созревания, как позднее показано Brooks et al., зависит от экспрессии v 3 (Cell, 92, 391-400 (1998)).
Хотя ингибирование ангиогенеза и сопутствующее подавление роста опухоли природными, а также синтетическими ингибиторами ММП, включая ММП2, подтверждено документами, осуществление такой стратегии в клинических условиях имело ограниченный успех, в основном из-за опасных побочных действий таких ингибиторов широкого спектра. Так как действие ММП, в основном, может быть необходимо для многих процессов в организме взрослых, ингибирование активного сайта фермента, вероятно будет оказывать глубокое воздействие на различные биологические процессы, участвующие в ремоделировании тканей, такие как заживление ран. Действительно, было документально подтверждено, что терапия ингибиторами ММП с широким спектром действия при клиническом изучении различных типов рака дает тяжелые побочные эффекты, включая воспалительные тендинит, полиартрит и болевые мышечно-скелетные синдромы, которые ограничивают дозу и часто сохраняются после прерывания терапии. При условии ограниченного распределения интегрина v 3 в организме взрослых, однако, можно предсказать, что направленность взаимодействия между ММП2 и v 3 на области неоваскуляризации или клеточной инвазии должна соответственно ограничивать действия такой связанной с лечением токсичности. Действительно, рекомбинантный некаталитический карбокси-концевой гемопексиновый домен ММП2 (ПЕКС), который опосредует связывание ММП2 с интегрином v 3, продемонстрировал антиангиогенную и противоопухолевую активность in vivo. Потенциальная пригодность такого большого белкового фрагмента, но с сопутствующими недостатками (например, проблемы большого масштаба производства, вопросы качества по требованиям FDA и контроля безопасности и антигенность), привела к потребности в более практичном решении этой проблемы.
Поэтому существует потребность в методах ингибирования ангиогенеза и роста опухолей с использованием химических соединений, которые селективно ингибируют активность ММП в месте роста опухоли с минимальным ингибированием ММП в других частях тела. Существует также потребность в способах специфического связывания с сайтом связывания ММП2 интегрина v 3.
Краткое изложение изобретения
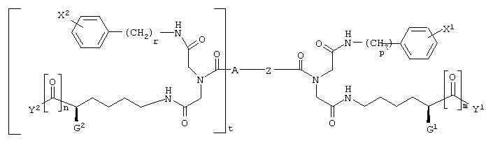
Данное изобретение представляет способ ингибирования взаимодействия ММП2 с интегрином v 3 и способ ингибирования ангиогенеза в клетках, содержащих интегрин v 3. Кроме того, данное изобретение представляет способ ингибирования роста опухоли путем введения ингибиторов взаимодействия ММП2- v 3. Активные ингибиторные соединения, представляемые формулой (I) ниже, контактируют с интегрином v 3 на клетке, что, в свою очередь, ингибирует связывание ММП2 с v 3. Ингибирование связывания ММП с v 3 способами данного изобретения приводит к угнетению ангиогенеза и, таким образом, роста опухоли. Кроме того, v 3 участвует в воспалении, и, таким образом, соединения формулы (I), используемые в соответствии с методами данного изобретения, могут также подавлять воспалительные проявления.

где G1 и G2, каждый независимо, представляет -NH-С(О)-О-R1, -NH-С(О)-О-(СН2)v-(С6Н4)-Х3, -NH-С(О)-NH-(СН2)v-(С6Н4)-Х3, -О-С(О)-NH-(СН2)v-(С6Н4)-Х3, -О-С(О)-О-(СН2)v-(С6Н4)-Х3 или -NH-С(О)-СН2-(С6Н4)-Х3, Y1 и Y2, каждый независимо, представляют -ОН, С1-С4 алкил, С1-С4 гидроксиалкил, С1-С4 алкокси, фенил, бензил или -NH2; R1 представляет С1-С4 алкил, Х1 и Х2, каждый независимо, представляют галоген или С1-С4 алкокси; Х3 представляет галоген, нитро, С1-С4 алкил, С1-С4 алкокси или С1-С4 перфторалкил; Z представляет -С С-, -С6Н4-, цис-СН=СН-, транс-СН=СН-, цис-СН2-СН=СН-СН2-, транс-СН2-СН=СН-СН2-, 1,4-нафтил, цис-1,3-циклогексил, транс-1,3-циклогексил, цис-1,4-циклогексил или транс-1,4-циклогексил; А представляет Н или ковалентную связь; m и n, каждый независимо, представляют целое число, имеющее значение 0 или 1; t представляет целое число, имеющее значение 0 или 1; и р, r и v, каждый независимо, представляют целое число, имеющее значение 1 или 2; при условиях, что когда А является Н, t равно 0; когда А является ковалентной связью, t равно 1; когда m равно 0, Y1 представляет С1-С4 гидроксиалкил; и когда n является 0, Y2 представляет С1-С4 гидроксиалкил.
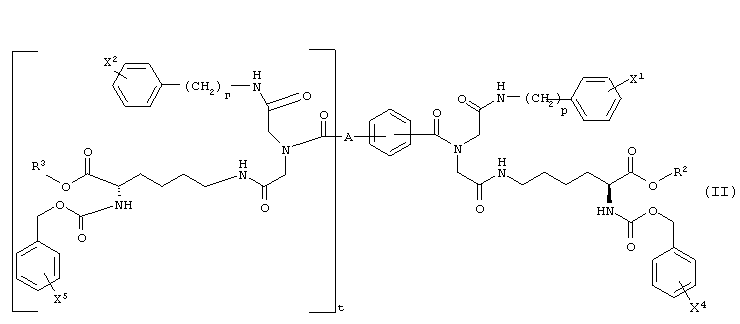
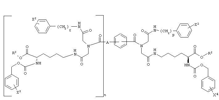
Предпочтительные соединения в границах структурной формулы (I) представлены в структурной формуле (II):

где R2 и R3, каждый независимо, представляют Н, С1-С4 алкил, фенил или бензил; Х1 и Х2, каждый независимо, представляют галоген или С1-С4 алкокси, Х4 и Х5, каждый независимо, представляют галоген, нитро, С1-С4 алкокси, С1-С4 алкил или С1-С4 перфторалкил; А представляет Н или ковалентную связь; р и r, каждый независимо, представляют целое число, имеющее значение 1 или 2; и t представляет целое число, имеющее значение 0 или 1, при условии, что когда А представляет Н, t равно 0, и когда А является ковалентной связью, t равно 1. Когда А является ковалентной связью и t равно 1, иминодиацетамидные производные группы могут быть соединены с бензольной связывающей группой в орто-, мета- или пара-положении.
Когда соединения формул (I) и (II) контактируют с клетками, содержащими v 3, связывание v 3 с ММП2 ингибируется, таким образом мешая основному механизму ангиогенеза. Воздействие на ангиогенез может также подавлять рост опухолей за счет предотвращения васкуляризации опухоли, таким образом, лишая ее питания. Соединения данного изобретения, ингибирующие ангиогенез и рост опухоли, таким образом, являются полезными терапевтическими средствами для лечения пациентов с опухолевыми и ангиогенными заболеваниями. Так как данные соединения связываются с v 3, эти соединения могут также использоваться для подавления явлений воспаления.
Соединения данного изобретения могут быть введены в подходящую фармацевтически приемлемую основу. Фармацевтические композиции с данными активными соединениями назначают пациенту с опухолью для снижения или прекращения роста опухоли. Данные активные соединения можно вводить парентерально путем инъекции или постепенного вливания в течение некоторого времени или любым другим способом, подходящим для конкретной дозированной формы.
Краткое описание фигур
В прилагаемых чертежах:
ФИГ.1 представляет схематическую иллюстрацию, изображающую взаимодействие ММП2 с интегрином v 3 и его роль в ангиогенезе.
ФИГ.2 представляет структурные субъединицы А, В и С комбинаторной библиотеки из 600 соединений, описанных у Boger et al., Bioorg. Med. Chem., 6, 1347-1378 (1998).
ФИГ.3 графически иллюстрирует связывание 60 комбинаторных смесей соединений с интегрином v 3 при конкуренции с ММП2.
ФИГ.4 иллюстрирует связывание смесей АхВ10 с интегрином v 3 и связывание 10 отдельных компонентов А6В10С4.
ФИГ.5 представляет структуры аналогов А6В10С4.
ФИГ.6А графически иллюстрирует связывание аналогов (соединения 2 – 26) А6В10С4 (соединение 1) с интегрином v 3 при конкуренции с ММП2.
ФИГ.6В графически иллюстрирует связывание соединений 9 и 19 с интегрином v 3 при сравнении с ММП2.
ФИГ.7 иллюстрирует то, что [14С]-меченное соединение 19 специфически связывается с v 3 и может быть конкурентно вытеснено с v 3 25-кратным избытком немеченного соединения 19, но не избытком соединения 9, пептидом RGD или пептидом с(RGDfV).
ФИГ.8 показывает, что соединение 19 разрывает связь ММП2 с интегрином v 3, но не мешает связыванию витронектина с интегрином v 3.
ФИГ.9 показывает, что соединение 19 непосредственно не подавляет протеолиза очищенного активного ММП2.
Подробное описание изобретения
Связывание ММП2 с интегрином v 3 является важным механизмом в процессе ангиогенеза. Специфическое ингибирование этого взаимодействия со связыванием приводит к снижению васкуляризации в растущих тканях, таких как опухоли, и таким образом, замедляет развитие опухоли. Взаимодействие ММП2 с интегрином v 3 графически иллюстрируется на ФИГ. 1. Новая группа ингибиторов ангиогенеза и роста опухолей, описанных ниже, специфически связывается с интегрином v 3 при конкуренции с ММП2, представляя, таким образом, важное новое терапевтическое средство.
Некоторые соединения данного изобретения могут иметь один асимметрический центр или более и могут существовать в оптически активных формах. Дополнительные асимметрические центры могут присутствовать в замещающей группе, такой как алкильная группа. Чистые S-изомеры и чистые R-изомеры, рацемические смеси данных изомеров и их смеси, как подразумевается, входят в объем данного изобретения. Хиральные формы некоторых соединений данного изобретения рассмотрены и, в частности, включены в объем данного изобретения.
Термин “алкокси” означает кислородный атом, связанный простой эфирной связью с алкильной группой, которой дано определение ниже, указанного размера. Примерами алкоксигрупп являются метокси, этокси, трет-бутокси и тому подобное. Термин “алкил” означает углеродный радикал с прямой или разветвленной цепью указанного размера. Примерами алкильных радикалов являются метил, этил, н-пропил, изопропил, н-бутил, вторичный бутил, изобутил, трет-бутил, 2-этилгексил, н-октил, 2,4-диметилпентил и тому подобное. Термин “гидроксиалкил” означает алкильную группу, которой дано определение выше, указанного размера, связанную с гидроксильной группой. Примеры включают гидроксиметил, 2-гидроксиэтил, 3-гидрокси-1-пропил, 2-гидрокси-1-пропил, 4-гидроксибутил и тому подобное.
Термин “перфторалкил” относится к алкильной группе указанного размера, которой дано определение ниже, имеющей заместители из атомов фтора вместо каждого водорода, например трифторметил и пентафторэтил.
Термины “галогено” или “галоген” относятся к брому, хлору, фтору и йоду.
Соединения, пригодные для способов данного изобретения, представлены формулой (I) и включают иминодиацетамидные производные, химически соединенные со связывающей группой

где G1 и G2, каждый независимо, представляют -NH-С(О)-О-R1, -NH-С(О)-О-(СН2)v-(С6Н4)-Х3, -NH-С(О)-NH-(СН2)v-(С6Н4)-Х3, -О-С(О)-NH-(СН2)v-(С6Н4)-Х3, -О-С(О)-О-(СН2)v-(С6Н4)-Х3 или -NH-С(О)-СН2-(С6Н4)-Х3, Y1 и Y2, каждый независимо, представляют -ОН, С1-С4 алкил, С1-С4 гидроксиалкил, С1-С4 алкокси, фенил, бензил или -NH2; R1 представляет С1-С4 алкил; Х1 и Х2, каждый независимо, представляют галоген или С1-С4 алкокси; Х3 представляет галоген, нитро, С1-С4 алкил, С1-С4 алкокси или С1-С4 перфторалкил; Z представляет -С С-, -С6Н4-, цис-СН=СН-, транс-СН=СН-, цис-СН2-СН=СН-СН2-, транс-СН2-СН=СН-СН2-, 1,4-нафтил, цис-1,3-циклогексил, транс-1,3-циклогексил, цис-1,4-циклогексил или транс-1,4-циклогексил; А представляет Н или ковалентную связь; m и n, каждый независимо, представляют целое число, имеющее значение 0 или 1; t представляет целое число, имеющее значение 0 или 1; и р, r и v, каждый независимо, представляют целое число, имеющее значение 1 или 2; при условиях, что когда А является Н, t равно 0; когда А является ковалентной связью, t равно 1; когда m равно 0, Y1 представляет С1-С4 гидроксиалкил; и когда n равно 0, Y2 представляет С1-С4 гидроксиалкил.
Предпочтительные соединения в границах структурной формулы (I) представлены структурной формулой (II) и включают иминодиацетамидные производные, соединенные с бензольной связывающей группой в или орто-, или мета-, или пара-ориентации:

где R2 и R3, каждый независимо, представляют Н, С1-С4 алкил, фенил или бензил; Х1 и Х2, каждый независимо, представляют галоген или С1-С4 алкокси, Х4 и Х5, каждый независимо, представляют галоген, нитро, С1-С4 алкокси, С1-С4 алкил или С1-С4 перфторалкил; А представляет Н или ковалентную связь; р и r, каждый независимо, представляют целое число, имеющее значение 1 или 2; и t представляет целое число, имеющее значение 0 или 1, при условии, что когда А представляет Н, t равно 0, и когда А является ковалентной связью, t равно 1.
Предпочтительно заместители Х1 и Х2 связаны с фенильным кольцом в 4-положении относительно СН2 групп (т.е. паразаместитель). Предпочтительно, по меньшей мере, один из Х1 и Х2 представляет собой фтор, наиболее предпочтительно Х1 и Х2, оба являются пара-фторо. Предпочтительно r и р равны 2. Х4 и Х5 предпочтительно представляют С1-С4 перфторалкил, наиболее предпочтительно пара-трифторметил. Предпочтительными R2 и R3 группами являются водород и метил. Заместители Х2 и Х3 могут быть одинаковыми или разными, и заместители R2 и R3 также могут быть одинаковыми или разными.
Соединения формул (I) и (II) описаны подробно вместе со способами их синтеза в работе Boger et al., Bioorg. Med. Chem., 6, 1347-1378 (1998), включенной сюда в виде ссылки.
Особенно активным представителем семейства соединений, представляемых формулой (II), где А является ковалентной связью, а t равно 1, является соединение 19 на схеме 1, ниже.

Синтез соединения 19 является иллюстрацией общего способа получения соединений формул (I) и (II), описанного Boger et al. Соединение 19 синтезировали в три стадии, начиная с доступного для приобретения метилового эфира N- -ВОС-L-лизина. Карбамат собирали с выходом 99% в реакции 4-(трифторметил)бензилового спирта с N,N-дисукцинимидилкарбонатом и с последующим добавлением активированного продукта со свободной -аминогруппой, получая промежуточное соединение 27. У этого лизинового производного затем удаляют защиту N-Вос (HCl) и соединяют с помощью бромтрипирролидинфосфония гексафторфосфата (PyBrOP, 74%) со свободной функциональной группой карбоновой кислоты моноамида иминодиуксусной кислоты, соединение 28, получая диамидное соединение 29. После удаления защиты N-ВОС (HCl) данное соединение димеризовали реакцией с изофталоилдихлоридом, завершая синтез и получая соединение 19 с выходом 60%. Радиоактивную метку включали в молекулу путем омыления двух метиловых эфиров (LiOH, 95%), получая дикарбоновую кислоту, соединение 30, с последующей эстерификацией [14С]-метанолом, опосредуемой 1-(3-диметиламино)пропил)-3-этилкарбодиимида гидрохлоридом (ЭДКИ) и катализом 4-диметиламинопиридином (ДМАП) с получением [14С]-соединения 1 при 35% выходе.
Фармацевтические препараты соединений формул (I) и (II) могут быть получены путем создания рецептуры с соединением и фармацевтически приемлемой несущей основой. Фармацевтические композиции, содержащие активные соединения формул (I) и (II), вводят в организм-хозяин с опухолью для снижения или прекращения роста опухоли. Активные соединения можно вводить парентерально путем инъекции или постепенного вливания в течение некоторого времени. Хотя на ткань, которая требует лечения, наиболее часто воздействуют путем внутрибрюшинного или подкожного введения, активные соединения можно также вводить в глаза, внутривенно, внутримышечно, внутрь сустава, в полости или трансдермально, и их можно также доставлять с помощью перистальтического устройства.
Термин “введение” соединения или композиции данного изобретения, как он использован здесь, относится к системному применению, такому как когда вводят перорально, парентерально, с помощью ингаляционного аэрозоля, интраназальным, ректальным или буккальным путями, или местно в препаратах в виде единичной дозированной формы, содержащих общепринятые нетоксичные фармацевтически приемлемые носители, вспомогательные вещества и разбавители, которые желательны. Термин “парентеральное”, как он использован здесь, включает внутривенные, внутримышечные, внутрибрюшинные, в грудину, подкожные и внутрисуставные инъекции и инфузионные методы.
Под “фармацевтически приемлемыми” подразумеваются те соли, амиды и сложные эфиры, которые в границах корректной медицинской оценки пригодны для использования при контакте с тканями людей и низших животных без излишних токсичности, раздражения, аллергической реакции и тому подобного, и соответствуют рациональному соотношению благотворного действия/риска, эффективны в отношении предназначенного им применения для лечения опухолей и заболеваний, связанных с ангиогенезом.
Фармацевтически приемлемые соли хорошо известны специалистам. Например, S.M.Berge, et al. подробно описывают фармацевтически приемлемые соли в J. Pharmaceutical Sciences, 66, 1-19 (1977). Примеры солей с присоединением кислот включают гидрохлорид, гидробромид, сульфат, бисульфат, ацетат, оксалат, валерат, олеат, пальмитат, стеарат, лаурат, борат, бензоат, лактат, фосфат, толуолсульфонат, метансульфонат, цитрат, малеат, фумарат, сукцинат, тартрат, аскорбат, глюкогептонат, лактобионат, лаурилсульфатные соли и тому подобное. Примеры солей щелочных или щелочноземельных металлов включают соли натрия, кальция, калия, магния и тому подобное.
Как он использован здесь, термин “фармацевтически приемлемые носители” означает нетоксичный, инертный твердый, полутвердый или жидкий наполнитель, растворитель, инкапсулирующий материал или вспомогательное вещество любого типа для лекарственной формы. Некоторыми примерами данных материалов, которые могут служить в качестве фармацевтически приемлемых носителей, являются сахара, такие как лактоза, глюкоза и сахароза; крахмалы, такие как кукурузный крахмал и картофельный крахмал; целлюлоза и ее производные, такие как натрийкарбоксиметилцеллюлоза, этилцеллюлоза и ацетат целлюлозы; порошкообразный трагакант; солод; желатин; тальк; наполнители, такие как масло какао и мягкие суппозиторные основы; масла, такие как арахисовое масло, хлопковое масло, сафлоровое масло, кунжутное масло, оливковое масло, кукурузное масло и соевое масло; гликоли, такие как пропиленгликоль; полиолы, такие как глицерин, сорбит, маннит и полиэтиленгликоль; сложные эфиры, такие как этилолеат и этиллаурат; агар; буферные вещества, такие как гидроксид магния и гидроксид алюминия; альгиновая кислота; апирогенная вода; изотонический солевой раствор; раствор Рингера; этиловый спирт и фосфатно-буферные растворы, а также другие нетоксичные вещества, используемые в фармацевтических препаратах.
Смачиватели, эмульгаторы и лубриканты, такие как лаурилсульфат натрия и стеарат магния, а также красители, высвобождающие вещества, вещества покрытия, подсластители, улучшающие вкус и запах вещества, консерванты и антиоксиданты также могут присутствовать в данной композиции, по усмотрению специалиста, разрабатывающего лекарственную форму. Примеры фармацевтически приемлемых антиоксидантов включают водорастворимые антиоксиданты, такие как аскорбиновая кислота, гидрохлорид цистеина, бисульфит натрия, метабисульфит натрия, сульфит натрия и тому подобное; жирорастворимые антиоксиданты, такие как аскорбилпальмитат, бутилированный гидроксианизол (БГА), бутилированный гидрокситолуол (БГТ), лецитин, пропилгаллат, альфа-токоферол и тому подобное; и металлохелатирующие вещества, такие как лимонная кислота, этилендиаминтетрауксусная кислота (ЭДТУ), сорбит, винная кислота, фосфорная кислота и тому подобное.
Под “терапевтически эффективным количеством” вещества или соединения данного изобретения подразумевается количество соединения, достаточное для лечения опухолей и связанных с ангиогенезом заболеваний при рациональном отношении благотворного действия/риска, применимое при любом медицинском лечении. Будет понятно, однако, что вопрос об общем суточном потреблении соединений и композиций данного изобретения будет решать лечащий врач в рамках рациональной медицинской оценки. Конкретный уровень терапевтически эффективной дозы для любого конкретного пациента будет зависеть от ряда факторов, включая заболевание, которое нужно лечить, и тяжести данного заболевания; активности конкретного используемого соединения; конкретной используемой композиции; возраста, веса тела, общего состояния здоровья, пола и диеты пациента; времени введения, пути введения и скорости выведения конкретного используемого соединения; продолжительности введения; лекарственных средств, используемых в сочетании или одновременно с конкретным используемым соединением; и тому подобных факторов, хорошо известных специалистам в области медицины.
Данное изобретение также представляет фармацевтические композиции в единичных дозированных формах, содержащих терапевтически эффективное количество соединения (или соединений) данного изобретения в сочетании с обычным фармацевтическим носителем. Инъекционные препараты, например стерильные инъекционные водные или масляные суспензии, могут быть изготовлены в соответствии с известной технологией, при использовании подходящих диспергирующих или смачивающих средств и суспендирующих средств. Стерильный инъекционный препарат может также быть стерильным инъекционным раствором, стерильной инъекционной суспензией или эмульсией в нетоксичном приемлемом для парентерального введения разбавителе или растворителе, например в виде раствора в 1,3-бутандиоле. Среди приемлемых носителей и растворителей, которые могут использоваться, находятся вода, раствор Рингера по U.S.Р. (Фармакопея США) и изотонический раствор хлорида натрия. Кроме того, обычно используются жирные масла в качестве растворителя или суспензирующей среды. Для этой цели можно использовать любое чистое жирное масло, включая синтетические моно- или диглицериды.
Кроме того, для приготовления инъекционных препаратов используют жирные кислоты, такие как олеиновая кислота. Инъекционный препарат может быть стерилизован, например, фильтрованием через задерживающий бактерии фильтр или включением стерилизующих средств в виде стерильных твердых композиций, которые могут быть растворены или диспергированы в стерильной воде или другой стерильной инъекционной среде непосредственно перед применением.
Чтобы продлить действие лекарства, часто желательно замедлить всасывание лекарственного вещества при подкожной или внутримышечной инъекции. Наиболее общим путем выполнения этого является инъекция суспензии кристаллического или аморфного вещества с плохой растворимостью в воде. Скорость всасывания лекарства становится зависимой от скорости растворения лекарства, которая, в свою очередь, зависит от физического состояния лекарственного вещества, например размера кристаллов и формы кристаллов. Другим подходом к замедлению всасывания лекарства является введение лекарственного вещества в виде раствора или суспензии в масле. Инъекционные депо-формы могут также изготавливаться путем создания микрокапсульных матриц из лекарственных веществ и биоразлагаемых полимеров, таких как полилактид-полигликолид. Скорость высвобождения лекарственного вещества может регулироваться в зависимости от соотношения лекарственного вещества к полимеру и композиции полимера. Примеры других биоразлагаемых полимеров включают полиортоэфиры и полиангидриды. Инъекционные препараты-депо можно также изготавливать путем заключения лекарственного вещества в липосомы или микроэмульсии, которые совместимы с тканями организма.
Суппозитории для ректального введения лекарства могут быть получены путем смешивания лекарственного вещества с подходящим нераздражающим наполнителем, таким как масло какао и полиэтиленгликоль, которые являются твердыми при обычной температуре, но жидкими при ректальной температуре и поэтому будут плавиться в прямой кишке и высвобождать лекарственное вещество.
Твердые дозированные формы для орального введения могут включать капсулы, таблетки, пилюли, порошки, драже и гранулы. В таких твердых дозированных формах активное соединение может быть смешано с, по меньшей мере, одним инертным разбавителем, таким как сахароза, лактоза или крахмал. Такие дозированные формы могут также включать, что является практически обычным, дополнительные вещества, кроме инертных разбавителей, например лубриканты для таблетирования и другие вспомогательные вещества для таблетирования, такие как стеарат магния и микрокристаллическая целлюлоза. В случае капсул, таблеток и пилюль дозированные формы могут также включать буферные вещества. Таблетки и пилюли могут быть, кроме того, изготовлены с энтеральными покрытиями и другими регулирующими высвобождение покрытиями. Твердые композиции подобного типа могут также использоваться в качестве наполнителей в мягких и твердых заполненных желатиновых капсулах, с применением таких наполнителей, как лактоза или молочный сахар, а также высокомолекулярные полиэтиленгликоли и тому подобное.
Жидкие дозированные формы для перорального применения могут включать фармацевтически приемлемые эмульсии, микроэмульсии, растворы, суспензии, сиропы и эликсиры, содержащие инертные разбавители (растворители), обычно используемые в данной области, такие как вода. Подобные композиции могут также включать вспомогательные вещества, такие как смачивающие вещества; эмульгирующие средства и суспендирующие средства; подсластители, улучшающие вкус и запах вещества. Если желательно, соединения данного изобретения могут включаться в системы доставки с медленным высвобождением или с направленной доставкой, такие как полимерные матрицы, липосомы и микросферы. Они могут быть стерилизованы, например, фильтрованием через задерживающий бактерии фильтр, или путем включения стерилизующих веществ в виде стерильных твердых композиций, которые могут растворяться в стерильной воде, или какой-то другой стерильной инъекционной среде непосредственно перед использованием. Активные соединения могут быть также представлены в микроинкапсулированном виде с помощью одного или более вспомогательных веществ, которые указаны выше.
Твердые дозированные формы из таблеток, драже, капсул, пилюль и гранул могут быть изготовлены с покрытиями и оболочками, такими как энтеральные покрытия и другие покрытия, хорошо известные в области фармацевтической технологии. Они могут, необязательно, содержать придающие непрозрачность вещества, а также могут состоять из такой композиции, что они высвобождают только активные ингредиент(ы), или предпочтительно, в определенной части кишечного тракта, необязательно, замедленным способом. Примеры оболочечных композиций, которые могут использоваться, включают полимерные вещества и воски. Дозированные формы для местного или трансдермального введения соединения данного изобретения, кроме того, включают мази, пасты, кремы, лосьоны, гели, порошки, растворы, спреи, ингаляционные препараты и пластыри. Активный компонент смешивают в стерильных условиях с фармацевтически приемлемым носителем и какими-либо необходимыми консервантами или буферами, когда может потребоваться.
Офтальмологические препараты, глазные капли, глазные мази, порошки и растворы также рассматриваются как находящиеся в объеме данного изобретения. Мази, пасты, кремы и гели, кроме активного соединения данного изобретения, могут содержать такие наполнители, как животные и растительные жиры, масла, воски, парафины, крахмал, трагакант, производные целлюлозы, полиэтиленгликоли, силиконы, бентониты, кремниевую кислоту, тальк и оксид цинка или их смеси.
Порошки и распыляемые препараты могут содержать, кроме соединений данного изобретения, такие наполнители как лактоза, тальк, кремниевая кислота, гидроксид алюминия, силикаты кальция и порошок полиамида, или смеси этих веществ. Распыляемые препараты могут дополнительно содержать обычные пропелленты, такие как хлорфторуглеводороды.
Трансдермальные пластыри обладают дополнительным преимуществом обеспечения регулируемой доставки соединения в организм. Такие дозированные формы могут быть изготовлены растворением или диспергированием соединения в соответствующей среде. Для увеличения проникновения соединения через кожу могут также использоваться усилители всасывания. Скорость может регулироваться или обеспечением регулирующей скорость мембраной или диспергированием соединения в полимерной основе или геле.
Композиции, содержащие активные соединения, применяют способом, подходящим для данного дозированного препарата, и в терапевтически эффективном количестве. Количество, которое нужно вводить, и распределение введений во времени зависит от организма хозяина, которого нужно лечить, объема системы организма-хозяина для применения активного ингредиента и степени желаемого терапевтического эффекта. Точное количество активного ингредиента, необходимое для введения, зависит от оценки лечащего врача и специфично для каждого индивидуума.
Подходящие интервалы доз для системного применения описаны здесь и зависят от пути введения. Подходящие режимы введения также различны, но являются типичными при первоначальном введении с последующими повторными введениями доз через один предопределенный интервал или более, путем последующей инъекции или другим путем введения.
Данное изобретение представляет также фармацевтическую композицию, пригодную для практического осуществления терапевтических методов, описанных здесь. Данные композиции содержат активное соединение, описанное выше, вместе с фармацевтически приемлемым носителем.
Препараты для парентерального введения настоящих соединений или композиций включают стерильные водные или неводные растворы, суспензии и эмульсии. Примерами неводных растворителей являются пропиленгликоль, полиэтиленгликоль, растительные масла, такие как оливковое масло и применяемые для инъекций органические сложные эфиры, такие как олеилолеат. Водные носители включают воду, растворы спирт/вода, эмульсии или суспензии, включая физиологический солевой раствор и буферную среду. Носители для парентеральных препаратов включают раствор хлорида натрия, раствор Рингера с декстрозой, декстрозу и хлорид натрия, лактозный раствор Рингера или жирные масла. Внутривенные носители включают жидкость и добавки питательных веществ, добавки электролитов (такие как лежащие в основе раствора Рингера с декстрозой) и тому подобное. Могут также присутствовать консерванты и другие добавки, такие как, например, антимикробные вещества, антиоксиданты, хелатирующие вещества, инертные газы и тому подобное.
Другой аспект данного изобретения представляет способ ингибирования взаимодействия ММП2 с v 3 и, таким образом, ангиогенез в опухолевой ткани. Способ ингибирования включает введение хозяину композиции, содержащей подавляющее ангиогенез количество соединения, описанного выше. Взаимодействие ММП2 с v 3 подавляется путем контакта v 3 с соединением данного изобретения.
Ангиогенез представляет собой формирование неоваскулярной сети из ранее существовавших сосудов хозяина и является необходимым для роста опухоли свыше 1-2 мм3. Для цели данного изобретения ангиогенез ингибируют до тех пор, пока ангиогенез и симптомы заболевания, опосредуемые ангиогенезом, не уменьшатся.
Интервалы доз активного соединения для введения хозяину зависят от конкретного активного соединения и его активности в отношении конкретных опухоли или интегрина. Опытный специалист может легко определить соответствующую дозировку для конкретного активного соединения без излишнего экспериментирования. Хозяин может быть любым млекопитающим. Доза должна быть достаточно большой для получения желаемого терапевтического эффекта, при котором ангиогенез и симптомы заболевания, опосредуемые ангиогенезом, уменьшаются, и обычно является количеством, достаточным для поддержания уровня активного соединения в плазме в пределах от примерно 0,01 до примерно 100 микромолей (мкМ), предпочтительно от примерно 0,2 до примерно 20 мкМ, более предпочтительно от примерно 1 до примерно 10 мкМ. Доза, однако, не должна быть такой большой, чтобы вызвать вредные побочные эффекты. Дозировка на килограмм (кг) веса тела может меняться от 1 до 20 мг на дозу при одном или более введений дозы в сутки в течение одного дня или нескольких дней, или неограниченно.
Для ингибирования ангиогенеза терапевтически эффективное количество равно количеству активного соединения, достаточному для получения измеряемого подавления ангиогенеза в ткани, которая нуждается в лечении, т.е. подавляющему ангиогенез количеству или количеству, подавляющему взаимодействие ММП2 – v 3. Ингибирование ангиогенеза может быть количественно оценено in situ с помощью иммуногистохимии, как описано здесь, или другими методами, известными специалистам.
Данное изобретение дополнительно представляет фармацевтические композиции, пригодные для осуществления на практике терапевтических способов, описанных здесь. Данные композиции содержат активное соединение, получившее определение здесь выше, вместе с фармацевтически приемлемым носителем.
Данное изобретение представляет также способ индукции апоптоза опухолевых клеток. Этот способ включает введение хозяину терапевтически эффективного количества активного соединения, достаточного для того, чтобы вызвать апоптоз опухолевых клеток.
Для целей данного изобретения апоптоз опухолевых клеток считается индуцированным, если усиленный апоптоз опухолевых клеток наблюдается в целевой опухоли, которую нужно лечить. Апоптоз опухолевых клеток может быть количественно оценен методами, описанными здесь или обычно известными специалистам в данной области.
Следующие не ограничивающие примеры представлены для иллюстрации различных аспектов данного изобретения.
Материалы и методы
Клетки, продуцирующие антитела и реагенты. Клетки меланомы хомяков CS-1 и CS-1 клетки, трансфицированные субъединицей человеческого 3-интегрина (клетки 3CS-1) описаны ранее (Cell, 85, 683-93 (1996); Cell, 92, 391-400 (1998)). Антибиотиновые mAb BN-34 и антиактиновые mAb АС-40 моноклональные антитела, связанные с пероксидазой хрена (HRP=ПОХ) были получены от Sigma (St. Louis, MO). Поликлональные антитела (pAb) к фактору Виллебранда (vWF) были получены от DAKO (Glostrup, Denmark). Циклические пептиды cRGDfV и cRADfV и интегрин- v 3 были предоставлены Merck KGaA (Damstadt, Germany). Очищенные про-ММП2 и интегрин- v 3 были предоставлены Chemicon International (Temecula, CA). Очищенный ММП2 был получен от Calbiochem (La Jolla, CA). Основной фактор роста фибробластов (bFGF) был любезно предоставлен Scios (Mountain View, CA).
Пример 1. Твердофазное исследование связывания интегрина
Очищенные интегрины адсорбировали в течение ночи на лунках микротитратора (1-5 мкг/мл, 50 мкг/лунку) перед блокированием казеиновым блокатором (Caseinblocker, от Pierce, Rockford, IL). Очищенный биотинилированный ММП2 (бММП2, 3-5 нМ) в буфере для связывания (50 мМ Трис, рН 8, 150 мМ NaCl, 1 мМ MgCl2, 0,5 мМ MnCl2) добавляли в лунки в присутствии или в отсутствие испытуемых соединений, циклических пептидов RGD или RAD или одного буферного носителя. В контрольные лунки не вносили интегрин. Биотинилированный витронектин (бВН, 1 мкг/мл) использовали для сравнения. Связанный белок определяли с помощью антибиотиновых HRP-mAb и количественно оценивали при 450 нм с помощью раствора 3,3′,5,5′-тетраметилбензидинового раствора (ТМБ; субстрата для пероксидазы) (BioRad, Hercules, CA).
Для оценки прямого связывания интегрина соединением 19 лунки микротитратора Immulon-4 покрывали v 3 и 5 1 (10 мкг/мл, 50 мкл/лунку) (Dynatech Laboratories, Chantilly, VA), которые по существу блокировали, и инкубировали с титрованием [14С]-соединения 19 перед добавлением 150 мкл буфера для связывания, содержащего 0,1% твин-20 и аспирацией всей жидкости. Высушенные лунки отделяли и погружали в жидкую смесь для сцинтилляции (ICN Biochemicals, Costa Mesa, CA) для количественной оценки. По кривой этого связывания определяли субнасыщающую концентрацию (3 мкМ) [14С]-соединения 19 в присутствии и в отсутствие 25-кратного молярного избытка (75 мкл) немеченного соединения 19 или соединения 9, или 100 мкМ циклического пептида RGD или RAD. Контролем служил бВН, используемый и регистрируемый, как описано выше.
Пример 2. Исследование клеточного связывания ММП2 и разложения [3Н]-коллагена IV
Клетки CS-1 или клетки 3CS-1 инкубировали в буферной фибробластной основной среде для адгезии (FBM=ФОС), дополненной 0,5% бычьего сывороточного альбумина (БСА), 0,4 мМ MnCl2 и 10 мкг/мл апротинина, содержащей или 4 нМ одного очищенного активного ММП2, или в комбинации с 10 мкМ соединения 19 или соединения 9 в течение 45 минут при 37°С перед промыванием и добавлением в лунки, покрытые [3Н]-коллагеном IV. Ячейки были покрыты в течение ночи 50 мкл 0,414 мКи/мл [3Н]-коллагеном IV (ICN Biochemicals, Costa Mesa, CA) и интенсивно промывали до тех пор, пока радиоактивность в удаляемом промывном растворе не достигала фонового значения. Альтернативно клетки обрабатывали так же, как описано выше, в отсутствие растворов ММП2, или растворы ММП2 добавляли непосредственно в лунки без клеток в качестве контролей. Разрушение коллагена IV оценивали количественно путем измерения радиоактивности, выделенной в 50 мкл культуральной среды, что определяли в жидкостном сцинтилляционном счетчике. Для оценки связывания биотинилированного ММП2 с CS-1 клетками клетки суспендировали в буфере для адгезии и инкубировали с 12 нМ бММП2 в течение 45 минут при 37°С в присутствии или в отсутствие 10 мкМ соединения 19 или соединения 9. Клетки затем промывали перед лизисом и обработкой для SDS-PAGE и иммуноблоттинга с антибиотиновыми mAb.
Пример 3. Синтез соединения 27
Раствор N,N’-дисукцинимидилкарбоната (95,38 г, 21 ммоль) в ацетонитриле (150 мл) приводили во взаимодействие с 4-(трифторметил)бензиловым спиртом (2,87 мл, 21 ммоль) и триэтиламином (Et3N; 5,8 мл, 42 ммоль) и перемешивали при 25°С. Через 3 часа этот раствор добавляли в колбу, содержащую метиловый эфир N- -ВОС-лизина (4,2 г, 14 ммоль) в ацетонитриле и перемешивали в течение еще 3 часов. Растворитель выпаривали и остаток растворяли в СН2Cl2 (250 мл) и промывали 10% соляной кислотой (2×200 мл) и насыщенным водным раствором NaHCO3 (200 мл). Флэш-хроматография (SiO2, 3:1 СН2Cl2/EtOAc) давала 6,4 г (99%) соединения 27 в виде бледно-желтого масла: [ ]D 25 -8,9 (C=5,55, СН3ОН); 1Н ЯМР (CDCl3, 400 МГц) 7,57 (д, J=8,1 Гц, 2Н), 7,39 (д, J=8,1 Гц, 2Н), 5,70 (д, J=7,9 Гц), 5,13 (м, 2H), 4,71 (м, 1H), 4,28 (м, 1H), 3,67 (с, 3H), 3,03 (м, 2H), 1,78 (м, 1H), 1,64 (м, 1H), 1,46-1,32 (м, 4H), 1,35 (с, 9H); 13C ЯМР (CDCl3, 100 МГц) 172,9, 156,2, 155,8, 140,4, 130,1 (кв., J=32,0 Гц), 127,8, 125,3, 122,9 (кв., J=270,0 Гц), 79,05, 65,8, 53,7, 52,3, 39,8, 31,7, 29,5, 28,4, 22,2;
ИК (пленка) мах 3357, 2952, 1790, 1745, 1524 см-1; FABHRMS (NBA-NaI) m/z 463,2044 (M+H+, C21H29F3N2О6 требует 463,2056).
Пример 4. Синтез соединения 29.
Раствор соединения 27 (2,2 г, 48,8 ммоль) в CH2Cl2 (3 мл) приводили во взаимодействие с 4N HCl в диоксане (10 мл) и перемешивали в течение 20 мин при 25°С. Растворитель и избыток кислоты удаляли под пониженным давлением и неочищенную гидрохлоридную соль растворяли в ДМФ (40 мл), приводили во взаимодействие с моноамидом N-((трет-бутилокси)карбонил)- N’-(2-(4-фторфенил)этил)иминодиуксусной кислоты (соединение 28) (1,68 г, 4,8 ммоль), PyBrOP (3,3 г, 7,1 ммоль) и диизопропилэтиламином (i-Pr2NEt; 5,0 мл, 29 ммоль) и перемешивали в течение 1 часа при 25°С. Реакционную смесь разбавляли EtOAc (400 мл) и промывали 10% водным HCl (2×300 мл) и насыщенным водным NaHCO3 (300 мл). Флэш-хроматография (SiO2, 1:1 СН2Cl2/EtOAc) давала 2,47 г (74%) соединения 29 в виде белого пенистого твердого вещества: [ ]D 25 -7,1 (C=4,50, СН3ОН); 1Н ЯМР (CDCl3, 400 МГц) 8,23 и 7,59 (м, вместе 1Н), 7,58 (д, J=8,1 Гц, 2Н) 7,43 (м, 2H), 7,13 (м, 2H), 7,06 и 6,78 (м, вместе 1Н), 6,94 (м, 2H), 5,70 (дд, J=12,9 и 8,2 Гц, 1Н), 5,11 (м, 2H), 4,31 (м, 1H), 3,85-3,72 (м, 4H), 3,71 (с, 3H), 3,49 (м, 2H), 3,22 (м, 2H), 2,79 (м, 2H), 1,81-1,39 (м, 6H), 1,38 (с, 9H);
13С ЯМР (CDCl3, 100 МГц) 172,8, 170,0, 169,9, 155,8, 154,8, 161,4 (д, J=242,7 Гц), 140,2, 134,4, 130,1 (кв., J=33,4 Гц), 130,0, 127,7, 125,3 (кв., J=3,0 Гц), 123,8 (кв., J=299,9 Гц), 115,0, 81,2, 65,7, 53,9, 53,3, 52,2, 40,8, 38,6, 34,4, 31,5, 28,0, 22,4;
ИК (пленка) мах 3267, 2935, 1708, 1657, 1511 см-1; FABHRMS (NBA-CsI) m/z 831,2026 (M+Cs+, C33H42F4N4О8 требует 831,1993).
Пример 5. Синтез соединения 19.
Раствор соединения 29 (50 мг, 0,075 ммоль) в СН2Cl2 (1 мл) приводили во взаимодействие с 4 N HCl в диоксане (1 мл) и перемешивали в течение 1 часа при 25°С. Растворитель и избыток кислоты удаляли в потоке N2 и неочищенную гидрохлоридную соль суспендировали в СН2Cl2 (1 мл) и приводили во взаимодействие с гидрохлоридом изофталоила (7,6 мг, 0,038 ммоль) и i-Pr2NEt (0,05 мл, 0,3 ммоль) и перемешивали в течение 12 часов при 25°С. Реакционную смесь разбавляли EtOAc (50 мл) и промывали 10% соляной кислотой (3×30 мл), насыщенным водным NaHCO3 (30 мл) и насыщенным водным раствором NaCl (30 мл). Флэш-хроматография (SiO2, 1:4,5:4,5 МеОН/СН2Cl2/EtOAc) давала 30 мг (60%) соединения 19 в виде белого порошка: 1Н ЯМР (CD3OD, 400 МГц) 7,62 (м, 4H), 7,52 (м, 4H), 7,42 (м, 4H), 7,19 (м, 4H), 6,96 (м, 4H), 5,14 (м, 4H), 4,16 (м, 2H), 4,13 (м, 2H), 4,08 (м, 2H), 3,99 (м, 4H), 3,68 (с, 6H), 3,45-3,35 (м, 4H), 3,25-3,11 (м, 4H), 2,82-2,70 (м, 4H), 1,82 (м, 2H), 1,69 (м, 2H), 1,60-1,34 (м, 8H);
ИК (пленка) мах 3291, 2936, 1725, 1651, 1326 см-1; FABHRMS (NBA-CsI) m/z 1459,4015 (M+Cs+, C64H70F8N8О14 требует 1459,3938).
Пример 6. Синтез соединения 30.
Раствор соединения 19 (13 мг, 0,01 ммоль) в трет-бутаноле (0,3 мл) приводили во взаимодействие с LiOH·Н2О (0,91 мг, 0,22 ммоль), растворенном в Н2О (0,15 мл) и перемешивали в течение 2 часов при 0°С. Реакционную смесь затем гасили НСО2Н (1 мл), разбавляли EtOAc (10 мл) и промывали насыщенным водным NaCl (2×10 мл). Осушение (Na2SO4) и выпаривание давали 12 мг (95%) соединения 30 в виде белого порошка: 1Н ЯМР (DMSO-d6, 400 МГц) : 12,54 (шир. с, 2H), 8,63 (м, 1Н), 8,43 (м, 2H), 8,30 (м, 1H), 7,74 (м, 4H), 7,69 (м, 2H), 7,57 (м, 4H), 7,40 (м, 4H), 7,24 (м, 4H), 7,09 (м, 4H), 5,15 (м, 4H), 4,14 (м, 2H), 4,02-3,87 (м, 8H), 3,31 (м, 4H), 3,208 (м, 4H), 2,74 (м, 4H), 1,71 (м, 2H), 1,62 (м, 2H), 1,50-1,34 (м, 8H);
ИК (пленка) мах 3287, 2928, 1705, 1659, 1320 см-1; MALDIHRMS m/z 1321,4493 (M+Na+, C62H66F8N8О14 требует 1321,4468).
Пример 7. Синтез [14С]-соединения 19.
Раствор соединения 27 (1,7 мг, 1,3 ммоль) и EDCI (2,0 мг, 10,3 ммоль) в ДМФ (20 мл) приводили во взаимодействие с 0,3 мл раствора 14СН3ОН в СН2Cl2 (57 мКи/ммоль, 5,2 ммоль 14СН3ОН) и 35 мл исходного раствора ДМАП в СН2Cl2 (0,6 ммоль ДМАП) и перемешивали в течение 4 часов при 0°С. Реакционную смесь затем разбавляли EtOAc (3 л) и промывали 10% соляной кислотой (3×3 мл) и насыщенным водным NaHCO3 (3 мл) и сушили (Na2SO4). Очистка на PTLC (SiO2, 2:3:3 EtOH/CHCl3EtOAc) давала 0,6 мг (35%) [14С]-соединения 19 в виде белой пленки. Это вещество было идентичным соответствующему немеченному диметиловому сложному эфиру, соединению 1 по 1Н ЯМР и ВЭЖХ. Относительная активность составляла примерно 104 мКи/ммоль: 1Н ЯМР (CD3OD, 400 МГц) 7,62 (м, 4H), 7,52 (м, 4H), 7,42 (м, 4H), 7,19 (м, 4H), 6,96 (м, 4H), 5,14 (м, 4H), 4,16 (м, 2H), 4,13 (м, 2H), 4,08 (м, 2H), 3,99 (м, 4H), 3,68 (с, 6H), 3,45-3,35 (м, 4H), 3,25-3,11 (м, 4H), 2,82-2,70 (м, 4H), 1,82 (м, 2H), 1,69 (м, 2H), 1,60-1,34 (м, 8H).
Результаты и обсуждение
Комбинаторные библиотеки соединений, включая соединения формул (I) и (II), подробно описаны вместе с методами их синтеза у Boger et al., Bioorg, Med. Chem., 6, 1347-1378 (1998). Boger et al. описывают получение комбинаторной библиотеки из 60 смесей из 10 соединений каждая, причем отдельные соединения в смесях состоят из трех субъединиц, соединенных вместе, как показано на фиг.2. Субъединицы соединений обозначены буквами А, В и С. Библиотеку составляли из шести разных единиц А (А1-А6), 10 разных единиц В (В1-В10) и 10 разных связывающих групп С (С1-С10). Каждая единица А была соединена с каждой единицей В с образованием 60 оригинальных соединений АВ. Отдельные соединения АВ затем соединяют со смесями из десяти разных связывающих групп С с образованием 60 смесей из 10 соединений каждая, обозначаемых АхВу, где х и у обозначают конкретные субъединицы А и В соответственно, которые были включены в соединения из смесей. Субъединицы А, В и С из комбинаторной библиотеки соединений представлены на фиг.2.
Оценка 60 смесей, описанных выше, в исследовании конкурентного связывания интегрина v 3 при конкуренции с ММП2 показала, что несколько смесей ингибировали связывание ММП2 с интегрином v 3. Результаты оценочного исследования представлены на фиг.3. Особенно активные смеси включали А1В6, А1В7, А1В8, А4В1, А5В4, А5В5, А5В6, А5В10 и А6В10. Наиболее активной была смесь А6В10, поэтому десять оригинальных соединений данной смеси синтезировали отдельно и изучали в том же самом исследовании, результаты которого представлены на фиг.4. Все индивидуальные компоненты с А6В10С1 по А6В10С10 были активны в исследовании в концентрации 3 мкМ.
Также оценивали аналоги соединений (2-26) А6В10С4 (соединение 1), показанные на фиг.5. Результаты исследований связывания для соединений 2-26 представлены на фиг.6А. Все соединения, за исключением соединений 8, 9 и 23, ингибировали связывание ММП2 с интегрином.
Активные ингибиторы связывания ММП2/интегрина- v 3 данного изобретения охватываются формулами (I) и (II).
Соединение 19 исследовали детально для определения его конкретной мишени и выяснения его биологических свойств. Бензоиламидное соединение 9 было выбрано в качестве соответствующего отрицательного контрольного соединения для многих этих исследований, так как было обнаружено, что у него отсутствует антагонистическая активность при изучении связывания, несмотря на его общее структурное подобие и сходные физические свойства (например, растворимость и гидрофобность). Соединение 19 проявляло зависящее от концентрации ингибирование связывания ММП2 с интегрином, как показано на фиг.6В.
Радиометку (14С) включали в соединение 19 в эфирном заместителе (относительная активность примерно 104 мКи/ммоль). После инкубации (при 3 мкМ) с фиксированным v 3 и последующим отмыванием это соединение, как было обнаружено, связывается с интегрином, что продемонстрировано на фиг.7. Инкубация в присутствии 25-кратного молярного избытка холодного соединения 19 значительно снижала наблюдаемое количество связанного вещества, тогда как инкубация в присутствии 25-кратного молярного избытка (немеченного) контрольного соединения 9 не действовала на связывание [14С]-соединения 19. В подобном же эксперименте количественного определения взаимодействия [14С]-соединения 19 с фиксированным ММП2 связывания не наблюдалось. Эти результаты наводят на мысль о том, что происхождение антагонистической активности, наблюдаемое при исследовании связывания ММП2- v 3 исходит от специфического связывания соединения 19 с v 3. Природа взаимодействия соединения 19- v 3 зависит от сайта интегрина, который распознает последовательность Arg-Gly-Asp. Циклический пептид RGD цикло(Arg-Gly-Asp-D-Phe-Val) не обладает воздействием на связывание [14С]-соединения 19 (фиг.7). Фактически, как показано на фиг.8, соединение 19 не подавляет связывание витронектина, v 3 классического с высоким сродством лиганда к интегрину, что согласуется с той концепцией, что сайт связывания для соединения 19 является отличным от того, с которым связываются RGD-лиганды.
Соединение 19 было также изучено в исследовании на клетках, при котором количественно оценивается способность эндотелиальных клеток использовать ММП2 для деградации протеинового матрикса, ключевой стадии при ангиогенезе. Ранее было показано, что разрыв связи ММП2 с v 3 подавляет разрушение коллагена IV. Меланомные клетки CS-1, трансфицированные v 3, как обнаружено, разрушают иммобилизированный [3Н]-коллаген IV значительно больше, чем разрушают отрицательные по 3 CS-1 клетки (у которых отсутствует v 3). Как показано на фиг.9, обработка этих клеток соединением 19 значительно снижала повышенное разрушение матрикса, что согласуется с тем, что клетки неспособны использовать ММП2, который не связан с интегриновой поверхностью. Соединение 19, однако, не подавляло непосредственно протеолитическое действие ММП2, так как очищенный (активный) фермент в отсутствие клеток был способен разрушать [3Н]-коллаген IV в сходной степени в присутствии или в отсутствие соединения 19.
Эти результаты подтверждают предположение, что соединения формулы (I) нарушают способность опухолевых клеток использовать ММП2 для разрушения белков ЕСМ способом, аналогичным, как для РЕХ. Соединения формулы (I) как не препятствуют связыванию v 3 с его классическими лигандами RGD, так они и не функционируют как непосредственные ингибиторы протеиназы.
Предшествующее описание и примеры должны восприниматься как иллюстративные, но не ограничивающие. Возможны и другие варианты в рамках сущности и объема данного изобретения, и их легко представят себе опытные специалисты.
Формула изобретения
1. Способ ингибирования взаимодействия матриксной металлопротеиназы 2 (ММП2) с интегрином v 3 в клетке хозяина, который включает контактирование интегрина с ингибирующим взаимодействие количеством соединения, представленного формулой

где G1 и G2, каждый независимо, представляют -NH-С (О)-O-R1, -NH-С (О) -О- (СН2)v-(С6Н4) -X3, -NH-С (О) -NH- (СН2)v– (С6Н4) -X3, -O-С(O)-NH-(СН2)v-(С6Н4)-Х3, -O-С(O)-O-(СН2)v-(С6Н4)-Х3 или -NH-С(О)-СН2-(С6Н4)-X3, Y1 и Y2, каждый независимо, представляют -ОН, С1-С4 алкил, С1-С4 гидроксиалкил, С1-С4 алкокси, фенил, бензил или -NH2; R1 представляет С1-С4 алкил; X1 и X2, каждый независимо, представляют галоген или С1-С4 алкокси; X3 представляет галоген, нитро, С1-С4 алкил, С1-С4 алкокси или С1-С4 перфторалкил; Z представляет -С С-, -С6Н4-, цис-СН=СН-, транс-СН=СН-, цис-СН2-СН=СН-СН2-, транс-СН2-СН=СН-СН2-, 1,4-нафтил, цис-1,3-циклогексил, транс-1,3-циклогексил, цис-1,4-циклогексил или транс-1,4-циклогексил; А представляет Н или ковалентную связь; m и n, каждый независимо, представляют целое число, имеющее значение 0 или 1; t представляет целое число, имеющее значение 0 или 1; и р, r и v, каждый независимо, представляют целое число, имеющее значение 1 или 2; при условиях, что когда А является Н, t равно 0; когда А является ковалентной связью, t равно 1; когда m равно 0, Y1 представляет С1-С4 гидроксиалкил; и когда n является 0, Y2 представляет С1-С4 гидроксиалкил.
2. Способ по п.1, где G1 и G2 представляют -NH-С(О)-О-(СН2)v-(С6Н4)-X3, А является ковалентной связью и v равно 1.
3. Способ по п.2, где X3 является трифторметилом.
4. Способ по п.2, где Y1 и Y2 являются ОН, m равно 1, и n равно 1.
5. Способ по п.2, где, по меньшей мере, один из Х1 и X2 является пара-фтором.
6. Способ по п.2, где m равно 1, n равно 1, и по меньшей мере, один из R2 и R3 является метилом.
7. Способ по п.2, где R2 и R3 представляют Н, m и n равны 1, X1 и X2 являются фтором, и X3 является трифторметилом.
8. Способ ингибирования взаимодействия ММП2 с интегрином v 3 в клетке хозяина, который включает контактирование интегрина с ингибирующим взаимодействие количеством соединения, представленного формулой

где R2 и R3, каждый независимо, представляют Н, С1-С4 алкил, фенил или бензил; X1 и X2, каждый независимо, представляют галоген или С1-С4 алкокси; X4 и X5, каждый независимо, представляют галоген, нитро, С1-С4 алкокси, С1-С4 алкил или С1-С4 перфторалкил; А представляет Н или ковалентную связь; р и r, каждый независимо, представляют целое число, имеющее значение 1 или 2; и t представляет целое число, имеющее значение 0 или 1, при условии, что когда А представляет Н, t равно 0, и когда А является ковалентной связью, t равно 1.
9. Способ по п.8, где, по меньшей мере, один из X4 и X5 представляет С1-С4 перфторалкил, и А является ковалентной связью.
10. Способ по п.8, где, по меньшей мере, один из R2 и R3 представляет Н, и А является ковалентной связью.
11. Способ по п.8, где, по меньшей мере, один из R2 и R3 представляет метил, и А является ковалентной связью.
12. Способ по п.8, где X4 и X5 представляют трифторметил, R2 и R3, каждый, представляют метил, и А является ковалентной связью.
13. Способ по п.8, где А является ковалентной связью, R2 и R3 представляют метил, X4 и X5 представляют трифторметил, X1 и X2 представляют собой фтор, m равно 1 и n равно 1.
14. Способ ингибирования ангиогенеза у хозяина, который включает введение хозяину эффективного ингибирующего ангиогенез количества соединения, представленного формулой

где G1 и G2, каждый независимо, представляют -NH-С(O)-O-R1, -NH-С(О)-О-(СН2)v-(С6Н4)-X3, -NH-С(О)-NH-(СН2)v-(С6Н4)-X3, -O-С(O)-NH-(СН2)v-(С6Н4)-Х3, -O-С(O)-O-(СН2)v-(С6Н4)-Х3 или -NH-С(О)-СН2-(С6Н4)-X3, Y1 и Y2, каждый независимо, представляют -ОН, С1-С4 алкил, С1-С4 гидроксиалкил, С1-С4 алкокси, фенил, бензил или -NH2; R1 представляет С1-С4 алкил; Х1 и X2, каждый независимо, представляют галоген или С1-С4 алкокси; X3 представляет галоген, нитро, С1-С4 алкил, С1-С4 алкокси или С1-С4 перфторалкил; Z представляет -С С-, -С6Н4-, цис-СН=СН-, транс-СН=СН-, цис-СН2-СН=СН-СН2-, транс-СН2-СН=СН-СН2, 1,4-нафтил, цис-1,3-циклогексил, транс-1,3-циклогексил, цис-1,4-циклогексил или транс-1,4-циклогексил; А представляет Н или ковалентную связь; m и n, каждый независимо, представляют целое число, имеющее значение 0 или 1; t представляет целое число, имеющее значение 0 или 1; и р, r и v, каждый независимо, представляют целое число, имеющее значение 1 или 2; при условиях, что когда А является Н, t равно 0; когда А является ковалентной связью, t равно 1; когда m равно 0, Y1 представляет С1-С4 гидроксиалкил; и когда n является 0, Y2 представляет С1-С4 гидроксиалкил.
15. Способ ингибирования ангиогенеза по п.14, где G1 и G2 представляют -NH-С(О)-О-(СН2)v-(С6Н4)-X3, А является ковалентной связью и v равно 1.
16. Способ ингибирования ангиогенеза по п.15, где X3 является трифторметилом.
17. Способ ингибирования ангиогенеза по п.15, где Y1 и Y2 являются ОН, m равно 1 и n равно 1.
18. Способ ингибирования ангиогенеза по п.15, где, по меньшей мере, один из Х1 и X2 является пара-фтором.
19. Способ ингибирования ангиогенеза по п.15, где m равно 1, n равно 1 и, по меньшей мере, один из R2 и R3 является метилом.
20. Способ ингибирования ангиогенеза по п.15, где R2 и R3 представляют метил, m и n равны 1, X1 и X2 представляют фтор и X3 является трифторметилом.
21. Способ ингибирования ангиогенеза по п.14, где введение включает внутрибрюшинное, подкожное, внутривенное, трансдермальное, внутрисуставное, внутримышечное или оральное введение.
22. Способ ингибирования роста опухолей у хозяина, который включает введение терапевтически эффективного количества соединения, представленного формулой

где G1 и G2, каждый независимо, представляют -NH-С(О)-O-R1, -NH-С(О)-О-(СН2)v-(С6Н4)-X3, -NH-С(О)-NH-(СН2)v-(С6Н4)-X3, -O-С(О)-NH-(СН2)v-(С6Н4)-X3, -O-С(O)-O-(СН2)v-(С6Н4)-Х3 или -NH-С(O)-СН2-(С6Н4)-Х3, Y1 и Y2, каждый независимо, представляют -ОН, С1-С4 алкил, С1-С4 гидроксиалкил, С1-С4 алкокси, фенил, бензил или -NH2; R1 представляет С1-С4 алкил; X1 и X2, каждый независимо, представляют галоген или С1-С4 алкокси; X3 представляет галоген, нитро, С1-С4 алкил, С1-С4 алкокси или С1-С4 перфторалкил; Z представляет -С С-, -С6Н4-, цис-СН=СН-, транс-СН=СН-, цис-СН2-СН=СН-СН2-, транс-СН2-СН=СН-СН2-, 1,4-нафтил, цис-1,3-циклогексил, транс-1,3-циклогексил, цис-1,4-циклогексил или транс-1, 4-циклогексил; А представляет Н или ковалентную связь; m и n, каждый независимо, представляют целое число, имеющее значение 0 или 1; t представляет целое число, имеющее значение 0 или 1; и р, r и v, каждый независимо, представляют целое число, имеющее значение 1 или 2; при условиях, что когда А является Н, t равно 0; когда А является ковалентной связью, t равно 1; когда m равно 0, Y1 представляет С1-С4 гидроксиалкил; и когда n является 0, Y2 представляет С1-С4 гидроксиалкил.
23. Способ ингибирования роста опухолей по п.22, где G1 и G2 представляют -NH-С(О)-О-(СН2)v-(С6Н4)-X3, А является ковалентной связью и v равно 1.
24. Способ ингибирования роста опухолей по п.23, где X3 является трифторметилом.
25. Способ ингибирования роста опухолей по п.23, где Y1 и Y2 являются ОН, m равно 1 и n равно 1.
26. Способ ингибирования роста опухолей по п.23, где, по меньшей мере, один из X1 и X2 является пара-фтором.
27. Способ ингибирования роста опухолей по п.23, где m равно 1, n равно 1 и, по меньшей мере, один из R2 и R3 является метилом.
28. Способ ингибирования роста опухолей по п.23, где R2 и R3 представляют метил, m и n равны 1, X1 и X2 представляют фтор и X3 является трифторметилом.
29. Способ ингибирования роста опухолей по п.22, где введение включает внутрибрюшинное, подкожное, внутривенное, трансдермальное, внутрисуставное, внутримышечное или пероральное введение.
30. Способ индукции апоптоза в клетках опухоли, который включает введение терапевтически эффективного количества соединения, представленного формулой

где G1 и G2, каждый независимо, представляют -NH-С(О)-O-R1, -NH-С(О)-О-(СН2)v-(С6Н4)-X3, -NH-С(О)-NH-(СН2)v-(С6Н4)-X3, -O-С(О)-NH-(СН2)v-(С6Н4)-X3, -O-С(O)-O-(СН2)v-(С6Н4)-Х3 или -NH-С(О)-СН2-(С6Н4)-X3, Y1 и Y2, каждый независимо, представляют -ОН, С1-С4 алкил, С1-С4 гидроксиалкил, С1-С4 алкокси, фенил, бензил или -NH2; R1 представляет С1-С4 алкил; X1 и X2, каждый независимо, представляют галоген или С1-С4 алкокси; X3 представляет галоген, нитро, С1-С4 алкил, С1-С4 алкокси или С1-С4 перфторалкил; Z представляет -С С-, -С6Н4-, цис-СН=СН-, транс-СН=СН-, цис-СН2-СН=СН-СН2-, транс-СН2-СН=СН-СН2-, 1,4-нафтил, цис-1, 3-циклогексил, транс-1, 3-циклогексил, цис-1,4-циклогексил или транс-1,4-циклогексил; А представляет Н или ковалентную связь; m и n, каждый независимо, представляют целое число, имеющее значение 0 или 1; t представляет целое число, имеющее значение 0 или 1; и р, r и v, каждый независимо, представляют целое число, имеющее значение 1 или 2; при условиях, что когда А является Н, t равно 0; когда А является ковалентной связью, t равно 1; когда m равно 0, Y1 представляет С1-С4 гидроксиалкил; и когда n является 0, Y2 представляет С1-С4 гидроксиалкил.
31. Способ индукции апоптоза по п.30, где G1 и G2 представляют -NH-С (О) -О- (СН2)v-(С6Н4)-X3, А является ковалентной связью и v равно 1.
32. Способ индукции апоптоза по п.31, где X3 является трифторметилом.
33. Способ индукции апоптоза по п.31, где Y1 и Y2 являются ОН, m равно 1 и n равно 1.
34. Способ индукции апоптоза по п.31, где, по меньшей мере, один из Х1 и X2 является пара-фтором.
35. Способ индукции апоптоза по п.31, где m равно 1, n равно 1 и, по меньшей мере, один из R2 и R3 является метилом.
36. Способ индукции апоптоза по п.31, где R2 и R3 представляют метил, m и n равны 1, X1 и X2 представляют фтор и X3 является трифторметилом.
37. Способ индукции апоптоза по п.30, где введение включает внутрибрюшинное, подкожное, внутривенное, трансдермальное, внутрисуставное, внутримышечное или оральное введение.
РИСУНКИ
|
|