|
|
(21), (22) Заявка: 2004122350/09, 20.07.2004
(24) Дата начала отсчета срока действия патента:
20.07.2004
(45) Опубликовано: 27.01.2006
(56) Список документов, цитированных в отчете о поиске:
SU 1688330 А1, 30.10.1991. SU 643996 А1, 25.01.1965. FR 2595873 А, 18.09.1987. FR 2699742 А, 24.06.1994.
Адрес для переписки:
394020, г.Воронеж, ул. Краснознаменная, 153, ГОУ ВПО Военный институт радиоэлектроники
|
(72) Автор(ы):
Головков Александр Афанасьевич (RU), Вербицкий Андрей Викторович (RU)
(73) Патентообладатель(и):
Государственное образовательное учреждение высшего профессионального образования Военный институт радиоэлектроники (RU)
|
(54) УПРАВЛЯЕМАЯ НЕОДНОРОДНОСТЬ
(57) Реферат:
Изобретение относится к радиосвязи и технике СВЧ и может быть использовано для реализации способов передачи и приема информации без собственного источника несущего сигнала. Техническим результатом является уменьшение массогабаритных характеристик устройства. В управляемой неоднородности, выполненной в виде плоскослоистой среды, содержащей последовательно расположенные первую неуправляемую решетку, первый диэлектрический слой, вторую неуправляемую решетку, второй диэлектрический слой, управляемый слой в виде двумерно-периодической решетки проводящих элементов (полосок или стержней), в разрывы которых включены управляемые элементы, отличающаяся тем, что в качестве управляемых элементов выбраны любые пассивные элементы с нелинейной характеристикой, к управляемым элементам подключены два источника первичного сигнала со своими поднесущими и два регистрирующих устройства. Геометрические параметры первой и второй решеток выбраны из условий обеспечения требуемых значений либо проводимости первой неуправляемой решетки и проводимости второй неуправляемой решетки на частоте f1 отраженного сигнала, либо проводимостей , на частоте f2 проходного сигнала. Приведены математические формулы для определения этих величин. Толщина d1 первого диэлектрического слоя выбрана из условия: ; показатели преломления первого n1 и второго n2 диэлектрических слоев выбраны из соотношений: 1 n1 10; 1 n2 10. 8 ил. 
Изобретение относится к радиосвязи и технике СВЧ и может быть использовано для реализации способов передачи и приема информации без собственного источника несущего сигнала.
Суть таких способов состоит в том, что первым абонентом в качестве несущего сигнала используется отраженный или преломленный сигнал второго абонента или любого постороннего источника высокочастотного колебания. Это колебание, отражаясь или преломляясь с помощью управляемой неоднородности, с ее же помощью наделяет посторонний несущий сигнал дополнительной модуляцией амплитуды и фазы отраженного или прошедшего сигналов. Эта же управляемая неоднородность обеспечивает демодуляцию падающего модулированного колебания.
Известна управляемая неоднородность, выполненная в виде радиолокационного отражателя, содержащего проводящий экран и расположенные в направлении распространения падающей волны первый диэлектрический слой и первую периодическую решетку линейных проводников, в разрывы которых включены диоды с отрицательным входным сопротивлением, второй диэлектрический радиопрозрачный слой, вторую периодическую решетку линейных проводников, разрывы которых закорочены нелинейным контактом, и источник постоянного тока, подключенный к линейным проводникам первой периодической решетки, при этом диаметры линейных проводников, периоды, ширины разрывов проводников первой периодической решетки и нелинейного контакта второй периодической решетки, а также толщины первого и второго диэлектрических слоев выбраны из определенных соотношений [Головков А.А. Комплексированные радиоэлектронные устройства. – М.: Радио и связь, 1996, – 128 с.].
К основным недостаткам такой управляемой неоднородности необходимо отнести следующие. В качестве управляемых элементов использованы активные диоды, которые, как правило, имеют большое энергопотребление. Второй недостаток заключается в том, что перечисленные параметры неоднородности выбраны из условия увеличения мощности высших гармоник падающего несущего сигнала, а не первой гармоники. Однако главный недостаток заключается в том, что модуляция амплитуды и фазы с помощью этой неоднородности возможна лишь для отраженного сигнала.
Известна управляемая неоднородность в виде слоистого твердого управляемого покрытия, содержащего расположенные в направлении распространения падающей волны первый диэлектрический слой, квадратную управляемую решетку металлических полосок или стержней, в разрывы которых включены полупроводниковые элементы, изменяющие свое сопротивление при изменении подаваемого на них электрического воздействия, второй и третий диэлектрический радиопрозрачный слой, прилегающий к отражающему экрану, причем на первый диэлектрический слой нанесена первая квадратная проводящая решетка, между вторым и третьим диэлектрическими слоями включена вторая квадратная проводящая решетка, при этом толщины первого, второго и третьего диэлектрических слоев, а также проводимость первой металлической решетки выбраны из определенных соотношений, обеспечивающих модуляцию амплитуды и фазы отраженного сигнала [Головков А.А. Комплексированные радиоэлектронные устройства. – М.: Радио и связь, 1996, – 128 с.].
Основным недостатком такой неоднородности, как и первого аналога, является отсутствие возможности модуляции амплитуды и фазы проходного сигнала, поскольку в виду наличия отражательного экрана таковой вообще отсутствует.
Наиболее близким по технической сущности и достигаемому результату (прототипом) является управляемая неоднородность проходного типа, выполненная из прилегающих друг к другу первой металлической решетки, первого воздушного слоя, второй металлической решетки, второго воздушного слоя, управляемого слоя проводящих полосок или стержней, в разрывы которых включены полупроводниковые диоды, третьего воздушного слоя и третей металлической решетки. Перечисленные неуправляемые решетки и управляемый слой имеют возможность быть перемещаемыми по некоторой направляющей параллельно друг относительно друга. Таким образом, существует возможность вручную изменять толщины все перечисленных воздушных слоев [Головков А.А. Комплексированные радиоэлектронные устройства. – М.: Радио и связь, 1996, – 128 с.].
Основным недостатком такой неоднородности является большая трудность и большое время настройки этой структуры в режиме модуляции параметров проходного сигнала. Это связано с необходимостью вручную оптимизировать три толщины воздушных слоев. Другими недостатками являются большие масса и габариты, связанные с наличием трех неуправляемых решеток.
Техническим результатом изобретения является уменьшение массогабаритных характеристик и уменьшение времени готовности к функционированию при увеличении объема передаваемой информации.
Указанный результат достигается тем, что в управляемой неоднородности, выполненной в виде плоскослоистой среды, содержащей последовательно расположенные первую неуправляемую решетку, первый диэлектрический слой, вторую неуправляемую решетку, второй диэлектрический слой, управляемый слой в виде двумерно-периодической решетки проводящих элементов (полосок или стержней), в разрывы которых включены управляемые элементы, в качестве управляемых элементов выбраны любые пассивные элементы с нелинейной характеристикой, к управляемым элементам подключены два источника первичного сигнала со своими поднесущими и два регистрирующих устройства, геометрические параметры первой и второй решеток выбраны из условий обеспечения требуемых значений либо проводимости первой неуправляемой решетки и проводимости второй неуправляемой решетки на частоте f1 отраженного сигнала, либо проводимостей , на частоте f2 проходного сигнала:


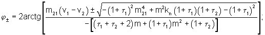
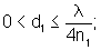
а толщина d2 определена из условия:

где 













, – требуемые отношения модулей коэффициентов отражения и передачи управляемой неоднородности в двух состояниях управляемых элементов соответственно; , – требуемые разности фаз коэффициентов отражения и передачи управляемой неоднородности в двух состояниях управляемых элементов соответственно; t1,2, h1,2 – заданные действительные и мнимые части нормированного сопротивления управляемого элемента в двух состояниях соответственно; 1 – длина волны на частоте f1, 2 – длина волны на частоте f2, причем толщина второго диэлектрического слоя d2 рассчитана либо относительно 1, либо относительно 2 соответственно выбранным частотам f1 и f2 для определения , ; толщина d1 первого диэлектрического слоя выбрана из условия: ; показатели преломления первого n1 и второго n2 диэлектрических слоев выбраны из соотношений: 1 n1 10; 1 n2 10.
На фиг.1 показана структура управляемой неоднородности (прототипа) в виде плоскослоистой среды.
На фиг.2 показана структура предлагаемой управляемой неоднородности в виде плоскослоистой среды.
На фиг.3 представлена эквивалентная схема управляемой неоднородности в виде каскадного соединения двух четырехполюсников.
На фиг.4 изображен пример выполнения управляемого слоя.
На фиг.5 изображена эквивалентная схема управляемого слоя.
На фиг.6 представлены зависимости модулей коэффициентов передачи и отражения управляемой неоднородности, изображенной на фиг.2, в двух состояниях управляемого слоя от частоты.
На фиг.7 представлены зависимости отношений модулей коэффициентов передачи и отражения управляемой неоднородности, изображенной на фиг.2, в двух состояниях управляемого слоя от частоты.
На фиг.8 представлены зависимости разности фаз коэффициентов передачи и отражения управляемой неоднородности, изображенной на фиг.2, в двух состояниях управляемого слоя от частоты.
Управляемая неоднородность – прототип (фиг.1) выполнена из последовательно расположенных первой неуправляемой решетки – 1 с проводимостью В1, первого воздушного слоя – 2 с толщиной d1, второй неуправляемой решетки – 3 с проводимостью В2, второго воздушного слоя – 4 с толщиной d2, управляемого слоя – 5 в виде двумерно-периодической решетки – 6 проводящих элементов, в разрывы которых включены диоды – 7, третьего воздушного слоя – 8 с толщиной d3, третьей неуправляемой решетки – 9 с проводимостью B3.
Управляемая неоднородность функционирует следующим образом. Благодаря возможности изменения вручную толщин воздушных слоев, экспериментально подбираются такие их значения, при которых возникает возможность модуляции амплитуды и фазы проходного в одном направлении сигнала.
Основным недостатком такой неоднородности является большая трудность и большое время настройки этой структуры в режиме модуляции параметров проходного сигнала. Это связано с необходимостью вручную оптимизировать три толщины воздушных слоев. Другими недостатками являются большие масса и габариты, связанные с наличием трех неуправляемых решеток и трех воздушных слоев. Отсутствует также возможность обеспечения одновременной модуляции амплитуды и фазы как отраженного, так и проходного сигнала.
Предлагаемая управляемая неоднородность (фиг.2) выполнена из последовательно расположенных первой неуправляемой решетки – 1 с проводимостями , первого диэлектрического слоя – 2 с толщиной d1, второй неуправляемой решетки – 3 с проводимостями , второго диэлектрического слоя – 4 с толщиной d2, управляемого слоя – 5 в виде двумерно-периодической решетки – 6 проводящих элементов, в разрывы которых включены управляемые элементы – 7, к управляемым элементам подключены два источника первичного сигнала со своими поднесущими – 10, 11 и два регистрирующих устройства – 12, 13. Значения проводимостей , на частоте f1 отраженного сигнала и проводимостей , на частоте f2 проходного сигнала, а также толщина второго диэлектрического слоя d2 выбраны по специальным формулам, обеспечивающим одновременную модуляцию амплитуды и фазы как отраженного, так и проходного сигнала. В качестве управляемых элементов могут быть использованы параметрические диоды, варикапы, вариконды, сегнетокерамические конденсаторы, нелинейные индуктивности и т.д. В качестве источника первичного сигнала могут быть использованы микрофон, магнитофон. В качестве регистрирующего устройства могут быть использованы наушники, магнитофон. Источниками поднесущих сигналов могут являться миниатюрные генераторы малой мощности, выполненные, например, на лавинно-пролетных диодах [Тагер А.С., Вальд-Перлов В.М. Лавинно-пролетные диоды и их применение в технике СВЧ. – М.: Сов. радио, 1968, с.480].
Предлагаемое устройство функционирует следующим образом. Электромагнитная волна (сигнал) в двух диапазонах частот от стороннего источника, в качестве которого может выступать приемопередатчик одного из абонентов, телевизионный городской центр, радиолокационная станция и т.д., падает на управляемую неоднородность. Если падающий сигнал промодулирован каким-то информационным сигналом, то, благодаря специальному выбору параметров решеток и диэлектрического слоя, произойдет демодуляция сигнала и информация будет принята одним из регистрирующих устройств. При этом в одном из диапазонов частот большая часть мощности отразится и, благодаря тому же специальному выбору параметров неуправляемых решеток и диэлектрических слоев, окажется промодулирована по амплитуде и фазе первичным информационным сигналом одного из двух источников первичного информационного сигнала. В другом диапазоне частот большая часть мощности пройдет через управляемую неоднородность, демодулируется, первичный информационный сигнал будет принят вторым регистрирующим устройством, благодаря указанному выбору параметров, прошедший сигнал окажется промодулирован по амплитуде и фазе первичным сигналом второго источника первичных информационных сигналов. Отраженный и прошедший сигналы будут приняты двумя абонентами, имеющими либо такую же управляемую неоднородность, либо традиционные приемопередатчики, расположенные по обе стороны от плоскости неоднородности. В результате повышается объем передаваемой информации за счет организации каналов связи в обоих полупространствах относительно неоднородности, а также уменьшаются массогабаритные характеристики, время готовности к функционированию и стоимость (за счет уменьшения количества неуправляемых решеток и отказа от активных управляемых диодов).
Покажем возможность достижения указанного результата.
Пусть на двух фиксированных частотах заданы значения сопротивлений управляемого элемента в двух состояниях Z1,2 =t1,2+jh1,2 определяемых уровнями управляющего низкочастотного сигнала.
Требуется определить минимальное количество неуправляемых слоев и значения их параметров, при которых изменение сопротивления управляемого элемента с Z1 на Z2 приводило бы к одновременному изменению модулей и фаз отраженного сигнала на первой частоте и проходного сигнала на второй частоте по следующим законам:

где – требуемые отношения модулей и разности фаз коэффициентов отражения и передачи управляемой неоднородности в двух состояниях. При условии m11 1, m21 1 отношения модулей связаны с глубиной амплитудной модуляции М11, М21 очевидным соотношением .
Представим эквивалентную схему управляемой неоднородности в виде каскадного соединения двух четырехполюсников (фиг.3).
Первый четырехполюсник включает в себя только неуправляемые слои и описывается волновой матрицей передачи T1:
где x11, x21, x22 – элементы матрицы сопротивлений первого четырехполюсника:

Ко второму четырехполюснику относятся управляемый слой и, возможно, часть неуправляемых слоев. Он описывается волновой матрицей передачи (управляемый слой включен параллельно) Т2:

Перемножая матрицы Т1 и Т2 найдем общую волновую матрицу передачи всего устройства. После этого, используя известные соотношения между элементами волновой матрицы передачи и элементами матрицы рассеяния [Фельдштейн А.Л., Явич Л.Р. Синтез четырехполюсников и восьмиполюсников СВЧ. – М: Связь, 1971. – с.37] и учтя свойство взаимности первого четырехполюсника (jx12=-jx21), получим выражения для коэффициентов отражения S11 и передачи S21:


где и – нормированное сопротивление параллельного соединения сопротивления управляемого элемента и единичного сопротивления свободного пространства и нормированная проводимость управляемого элемента соответственно.
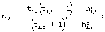
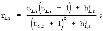
Подставляя выражения для S11 и S21 в (1) и разделяя между собой действительные и мнимые части, получим две системы двух уравнений, решение каждой из которых имеет вид:

где для случая манипуляции отраженного сигнала:





а для случая манипуляции проходного сигнала:


Анализ (7) для первого случая показывает, что условие физической реализуемости (обеспечение положительного знака подкоренного выражения) выполняется при любых значениях 011< , 0 11 2 , кроме комбинации, m11=1, 11=0, а для второго случая при следующих ограничениях:
m–  m+; – 21 +,
где 

Поскольку элементы матрицы сопротивления определяются только параметрами неуправляемых слоев, то значения x11, x21, x22 полученные, с одной стороны, для случая манипуляции проходного сигнала, а, с другой стороны, для случая манипуляции отраженного сигнала должны быть равны между собой и из этого равенства вытекает ограничение на третий элемент матрицы сопротивления:

где 
Причем второе равенство в (9) накладывает ограничения на m11, 11 при заданных m21, 21 или наоборот:

Таким образом, три соотношения (7), (10) являются исходными для синтеза управляемой неоднородности, обеспечивающей заданные значения m11, 11 на первой частоте и m21, 21 на второй частоте, которые удовлетворяют выражению (10). Это означает, что управляемая неоднородность должна содержать не менее чем три неуправляемых слоя, параметры которых должны быть определены из решения системы указанных трех уравнений. Для этого необходимо выбрать структуру управляемой неоднородности и определить матрицу сопротивлений ее неуправляемой части. Найденные таким образом элементы х11, х21, х22, выраженные через параметры неуправляемых слоев, надо подставить в (7), (10) и решить сформированную систему трех уравнений относительно выбранных трех параметров неуправляемых слоев. Остальные параметры могут быть выбраны произвольно.
Пример выполнения управляемого слоя – 5 изображен на фиг.4. Он состоит из двумерно-периодической решетки – 6 проводящих элементов (полосок или стержней), в разрывы которых включены управляемые полупроводниковые диоды – 7.
Эквивалентная схема управляемого слоя – 5 изображена на фиг.5, где D -диод, L – индуктивность полосок, С – емкость разрывов этих полосок.
Элементы матрицы сопротивлений неуправляемой части на частотах f1, f2 имеют вид:
где 
Геометрические параметры решеток (период, ширина полосок, величина зазора) определяются по результатам сравнения оптимальных значений B1 и В2
В соответствии с описанным алгоритмом были получены выражения для определения параметров неуправляемых слоев предлагаемой управляемой неоднородности, представленной на фиг.2:



где 



1 – длина волны на частоте f1, 2 – длина волны на частоте f2.
В результате расчетов и схемотехнического моделирования были получены амплитудно-частотные и фазочастотные характеристики отраженного и проходного сигналов предлагаемой структуры управляемой неоднородности, представленной на фиг.2, в двух состояниях управляемого слоя.
На фиг.6 представлены зависимости модулей коэффициентов передачи и отражения (—-) управляемой неоднородности в двух состояниях управляемого слоя от частоты.
На фиг.7 представлены зависимости отношений модулей коэффициентов передачи и отражения (—-) управляемой неоднородности в двух состояниях управляемого слоя от частоты. Из зависимостей видно, что на частоте f1=3·109 Гц отношение модулей коэффициентов отражения – m11=10, а на частоте f2=3.1·109 Гц отношение модулей коэффициентов передачи – m21=2.
На фиг.8 представлены зависимости разности фаз коэффициентов передачи и отражения (—-) управляемой неоднородности в двух состояниях управляемого слоя от частоты. Из зависимостей видно, что на частоте f1=3·109 Гц разность фаз коэффициентов отражения – 11=115°, а на частоте f2=3.1·109 Гц разность фаз коэффициентов передачи – 21=-13°.
Значения параметров предлагаемой структуры управляемой неоднородности, представленной на фиг.2, получились следующими: на частоте f1=3·109 Гц – ; ; d1/ 1=0.058; d2/ 1=0.053, а на частоте f2=3.1·109 Гц – ; ; d1/ 2=0.06; d2/ 2=0.062.
При этом показатели преломления первого и второго диэлектрических слоев n1=n2=1.5, что соответствует выбору диэлектрика из фторопласта [Матейко В.В. Распространение радиоволн, техника сверхвысоких частот и антенные устройства РЭС. Часть 1. Основы теории электромагнитного поля. – Воронеж: ВИРЭ, 1996. – С.283]. Вообще диэлектрические слои могут быть выбраны из следующих материалов – полимерные пленки, сегнетокерамические конденсаторы, керамики на основе Ва2Ti9О20, (Zn,Sn)TiO4, у которых показатели преломления n находятся в следующих пределах 1 n< 0, то есть 1 n1 10; 1 n2 10 [Сазонов Д.М. Антенны и устройства СВЧ. – М.: Высшая школа, 1988. – 432 с.].
Предлагаемое техническое решение является новым, поскольку из общедоступных сведений неизвестна управляемая неоднородность в виде плоскослоистой среды, содержащей последовательно расположенные первую неуправляемую решетку, первый диэлектрический слой, вторую неуправляемую решетку, второй диэлектрический слой и управляемый слой, подключенный к двум источникам первичного сигнала и двум регистрирующим устройствам.
Предлагаемое техническое решение имеет изобретательский уровень, поскольку из опубликованных научных данных и известных технических решений явным образом не следует, что заявленная последовательность расположения неуправляемых решеток, диэлектрического слоя и управляемого слоя, подключенного к двум источникам первичного сигнала и двум регистрирующим устройствам, обеспечивает модуляцию амплитуды и фазы проходного сигнала в одной полосе частот и модуляцию амплитуды и фазы отраженного сигнала в другой полосе частот, что является необходимым для увеличения объема передаваемой информации, уменьшения массогабаритных характеристик и уменьшения времени готовности к функционированию.
Предлагаемое техническое решение практически применимо, так как для его реализации могут быть использованы типовые приемопередающие станции и искусственные неоднородности в виде управляемых плоскослоистых сред, состоящих из известных материалов и элементов – слоев диэлектриков, периодических решеток проводящих элементов, полупроводниковых диодов, варикапов, варикондов и т.д. Параметры слоев и решеток можно легко рассчитать по приведенным в описании изобретения математическим выражениям.
Технико-экономическая эффективность предложенных технических решений заключается в повышении объема передаваемой информации за счет организации одного канала связи в одном полупространстве и в одной полосе частот и другого канала связи в другом полупространстве и в другой полосе частот, а также в уменьшение массогабаритных характеристик, времени готовности к функционированию и стоимости (за счет уменьшения количества неуправляемых решеток) и выбора в качестве управляемых элементов параметрических диодов, варикапов, варикондов, сегнетокерамических конденсаторов и т.д., а не активных диодов как в прототипе.
Формула изобретения
Управляемая неоднородность, выполненная в виде плоскослоистой среды, содержащей последовательно расположенные первую неуправляемую решетку, первый диэлектрический слой, вторую неуправляемую решетку, второй диэлектрический слой, управляемый слой в виде двумерно-периодической решетки проводящих элементов (полосок или стержней), в разрывы которых включены управляемые элементы, отличающаяся тем, что в качестве управляемых элементов выбраны любые пассивные элементы с нелинейной характеристикой, к управляемым элементам подключены два источника первичного сигнала со своими поднесущими и два регистрирующих устройства, геометрические параметры первой и второй решеток выбраны из условий обеспечения требуемых значений либо проводимости первой неуправляемой решетки и проводимости второй неуправляемой решетки на частоте f1 отраженного сигнала, либо проводимостей , на частоте f2 проходного сигнала


а толщина d2 второго слоя определена из условия

где 














– требуемые отражения и передачи управляемой неоднородности в двух состояниях управляемых элементов соответственно; , – требуемые разности фаз коэффициентов отражения и передачи управляемой неоднородности в двух состояниях управляемых элементов соответственно 
t1,2, h1,2 – заданные действительные и мнимые части нормированного сопротивления управляемого элемента в двух состояниях соответственно; 1 – длина волны на частоте f1, 2 – длина волны на частоте f2, причем толщина второго диэлектрического слоя d2 рассчитана либо относительно 1, либо относительно 2 соответственно выбранным частотам f1 и f2 для определения толщина d1 первого диэлектрического слоя выбрана из условия показатели преломления первого n1 и второго n2 диэлектрических слоев выбраны из соотношений 1 n1 10; 1 n2 10.
РИСУНКИ
MM4A – Досрочное прекращение действия патента СССР или патента Российской Федерации на изобретение из-за неуплаты в установленный срок пошлины за поддержание патента в силе
Дата прекращения действия патента: 21.07.2006
Извещение опубликовано: 20.12.2007 БИ: 35/2007
|
|