Патент на изобретение №2154834
|
||||||||||||||||||||||||||
(54) СПОСОБ ИЗМЕРЕНИЯ СОСТАВЛЯЮЩИХ ПОЛНОГО СОПРОТИВЛЕНИЯ И УСТРОЙСТВО ДЛЯ ЕГО ОСУЩЕСТВЛЕНИЯ
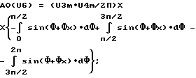
(57) Реферат: Использование: в области электроизмерительной техники для измерения и контроля составляющих полного сопротивления, в частности, для измерения указанных параметров двухполюсников, обладающих собственной ЭДС, в том числе биологических объектов. Техническим результатом является обеспечение возможности строго одновременного определения значений параметров полного сопротивления в виде непрерывных аналоговых сигналов, динамически адекватных каждому из измеряемых параметров, при исключении необходимости использования управляющих сигналов, частота которых превышает рабочую частоту измерений. Сущность изобретения: синхронно формируют первое синусоидальное напряжение и два синхронных с ним прямоугольных напряжения, периоды которых равны периоду синусоидального напряжения. Напряжения формируют таким образом, чтобы фронт первого прямоугольного напряжения совпадал с моментом перехода первого синусоидального напряжения через нуль, а фронт второго прямоугольного напряжения был смещен относительно указанного момента на четверть периода. Первое синусоидальное напряжение подают на анализируемое полное сопротивление с получением на выходе второго синусоидального напряжения с амплитудой, пропорциональной модулю анализируемого полного сопротивления, и со сдвигом фазы относительно первого синусоидального напряжения, равным фазовому сдвигу анализируемого полного сопротивления. Обработку полученного сигнала в виде второго синусоидального напряжения производят с одновременным участием первого и второго прямоугольных напряжений путем раздельного перемножения каждого из указанных напряжений на второе синусоидальное напряжение с последующей фильтрацией результирующих сигналов, причем по отфильтрованному результирующему сигналу от перемножения второго синусоидального напряжения на первое прямоугольное судят о величине активной составляющей полного сопротивления, а по отфильтрованному результирующему сигналу от перемножения второго синусоидального напряжения на второе прямоугольное судят о величине реактивной составляющей полного сопротивления. 2 с.п.ф-лы, 2 ил. Изобретение относится к области электроизмерительной техники, а именно к измерению и контролю составляющих полного сопротивления, и может быть использовано, в частности, для измерения составляющих полного сопротивления двухполюсников, обладающих собственной ЭДС, в том числе биологических объектов. Известны способ измерения полного сопротивления, в частности, датчика, и устройство (схема) для его осуществления [1]. Способ заключается в том, что синхронно формируют первое синусоидальное напряжение U1 и прямоугольное напряжение U2, затем первое синусоидальное напряжение U1 подают на измерительную схему, содержащую измеряемый импеданс Zx, на выходе которой появляется второе синусоидальное напряжение U3, пропорциональное импендансу Zx. Это напряжение отфильтровывают и так сдвигают по фазе, чтобы полученное в результате напряжение U5 проходило через нуль одновременно с прямоугольным напряжением U2. После этого напряжение U5 детектируют в течение положительного полупериода, а в течение отрицательного полупериода закорачивают на землю, синхронизируя этот процесс прямоугольным напряжением U2. В результате перечисленных выше операций получают постоянное напряжение Udc, пропорциональное модулю измеряемого импеданса. Устройство для осуществления способа-аналога [1] содержит генератор с двумя выходами, измерительную схему, содержащую анализируемое полное сопротивление, вход которой подключен к первому выходу генератора, фильтр, вход которого подключен к выходу измерительной схемы, и элементы обработки сигнала, в качестве которых используют управляемую выпрямительную схему, соединенную с выходом фильтра, а также элемент сдвига фазы. Выход выпрямительной схемы является выходом устройства. Известные способ и устройство [1] не позволяют обеспечить достижение технического результата, получаемого при использовании изобретения, так как действия, положенные в основу способа-аналога, позволяют прямое измерение только величины модуля полного сопротивления и не дают возможности определять его составляющие. Наиболее близкими к изобретению по совокупности осуществленных признаков являются способ измерения составляющих полного сопротивления и устройство для его осуществления [2]. Известный способ, принятый за прототип, включает синхронное формирование первого синусоидального и первого прямоугольного напряжения таким образом, что они имеют одинаковые периоды, а фронт первого прямоугольного напряжения совпадает с моментом перехода первого синусоидального напряжения через нуль, подачу первого синусоидального напряжения на анализируемое полное сопротивление с получением на входе второго синусоидального напряжения с амплитудой, пропорциональной модулю анализируемого полного сопротивления, и сдвигом фазы относительно первого синусоидального напряжения, равным фазовому сдвигу анализируемого полного сопротивления, и обработку полученного сигнала в виде второго синусоидального напряжения с участием в ней первого прямоугольного напряжения. Обработку производят путем управляемого интегрирования второго синусоидального напряжения, причем знак интегрирования задается номером полупериода прямоугольного напряжения, а начало интегрирования привязывают либо к моменту перехода через нуль первого синусоидального напряжения, либо к моменту максимума его абсолютной величины. По результатам первого интегрирования судят о величине активной составляющей анализируемого полного сопротивления, а по результатам второго – о величине реактивной. Устройство для осуществления способа-прототипа включает генератор с двумя выходами, первый из которых является выходом первого синусоидального напряжения, а второй – выходом первого прямоугольного напряжения с периодом, равным периоду первого синусоидального напряжения, и с фронтом, совпадающим с моментом перехода первого синусоидального напряжения через нуль, измерительную схему, содержащую анализируемое полное сопротивление, вход которой подключен к первому выходу генератора, а выход является выходом второго синусоидального напряжения с амплитудой, пропорциональной модулю анализируемого полного сопротивления, и со сдвигом фазы относительно первого синусоидального напряжения, равным фазовому сдвигу анализируемого полного сопротивления, элемент защиты от помех и элементы обработки сигналов, соединенные с выходом измерительной схемы через элемент защиты от помех. Элемент защиты от помех выполнен в виде фильтра. В качестве элементов обработки сигналов используют управляемый интегратор и элементы памяти. Способ и устройство, принятые за прототип, так же, как способ и устройство, принятые в качестве аналога, не позволяют получить технический результат, достигаемые при реализации заявленных решений. Это обусловлено следующими причинами. Управляемое интегрирование результирующего сигнала позволяет осуществлять измерение активной и реактивной составляющих только поочередно, со сдвигом во времени на несколько периодов. Следовательно, результаты измерений могут быть представлены только в виде набора дискретных значений, причем значения активной и реактивной составляющих относятся к смещенным друг относительно друга моментам времени. В случае объектов с меняющимися во времени параметрами и, в частности, объектов с нестабильными характеристиками, например, биологических, возникающие отсюда погрешности принципиально неустранимы. Кроме того, поочередно и дискретное определение измеряемых значений приводит к необходимости вводить в устройство, реализующее способ, элементы памяти с соответствующим управлением. Способ-прототип основан на управляемом интегрировании сигнала рабочей частоты в течение периода и, значит, в устройствах на его основе необходимы элементы отсчета времени, существенно меньшего длительности периода, и должны использоваться управляющие сигналы, также короткие по сравнению с длиной периода. Чем выше точность измерений, тем, очевидно, короче интервалы времени и длительность управляющих сигналов. Это обстоятельство приводит либо к необходимости использования высокочастотных (по сравнению с рабочей частотой) сигналов, участвующих в процессе управления, либо требует применения соответствующих прецизионных элементов. И то, и другое значительно усложняет устройство в целом. Задачей изобретения является создание способа и устройства для измерения составляющих полного сопротивления, обеспечивающих возможность строго одновременного определения значений параметров полного сопротивления в виде непрерывных аналоговых сигналов, динамически адекватных каждому из измеряемых параметров, при исключении необходимости использования управляющих сигналов, частота которых превышает рабочую частоту измерений. Поставленная задача решается тем, что в способе измерения составляющих полного сопротивления, включающем синхронное формирование первого синусоидального и первого прямоугольного напряжения таким образом, что они имеют одинаковые периоды, а фронт первого прямоугольного напряжения совпадает с моментом перехода первого синусоидального напряжения через нуль, подачу первого синусоидального напряжения на анализируемое полное сопротивление с получением на выходе второго синусоидального напряжения с амплитудой, пропорциональной модулю анализируемого полного сопротивления, и сдвигом фазы относительно первого синусоидального напряжения, равным фазовому сдвигу анализируемого полного сопротивления, и обработку полученного сигнала в виде второго синусоидального напряжения с участием в ней первого прямоугольного напряжения, по результатам которой судят о величинах составляющих анализируемого полного сопротивления, согласно изобретению синхронно с первым синусоидальным напряжением дополнительно формируют второе прямоугольное напряжение таким образом, чтобы его период был равен периоду первого синусоидального напряжения, а его фронт был смещен на четверть периода относительно момента перехода первого синусоидального напряжения через нуль. Обработку полученного сигнала в виде второго синусоидального напряжения производят с одновременным участием первого и второго прямоугольных напряжений, путем раздельного перемножения каждого из указанных напряжений на второе синусоидальное напряжение с последующей фильтрацией результирующих сигналов. При этом по отфильтрованному результирующему сигналу от перемножения второго синусоидального напряжения на первое прямоугольное судят о величине активной составляющей анализируемого полного сопротивления, а по отфильтрованному результирующему сигналу от перемножения второго синусоидального напряжения на второе прямоугольное судят о величине его реактивной составляющей. Поставленная задача решается также тем, что в устройстве для измерения составляющих полного сопротивления, включающее генератор с двумя выходами, первый из которых является выходом первого синусоидального напряжения, а второй – выходом первого прямоугольного напряжения с периодом, равным периоду первого синусоидального напряжения, и с фронтом, совпадающим с моментом перехода первого синусоидального напряжения через нуль, измерительную схему, содержащую анализируемое полное сопротивление, вход которой подключен к первому выходу генератора, а выход является выходом второго синусоидального напряжения с амплитудой, пропорциональной модулю анализируемого полного сопротивления, и со сдвигом фазы относительно первого синусоидального напряжения, равным фазовому сдвигу анализируемого полного сопротивления, элемент защиты от помех и элементы обработки сигналов, соединенные с выходом измерительной схемы через элемент защиты от помех, согласно изобретению генератор дополнительно содержит третий выход, который является выходом второго прямоугольного напряжения с периодом, равным периоду первого синусоидального напряжения и фронтом, смещенным на четверть периода относительно момента перехода первого синусоидального напряжения через нуль, а в качестве элементов обработки сигналов используют два умножителя и два фильтра. Измерительная схема непосредственно подсоединена к элементам обработки сигналов таким образом, что выход измерительной схемы соединен с одним из входов первого и одним из входов второго умножителя, второй вход первого умножителя подключен к второму выходу генератора, второй вход второго умножителя подключен к третьему выходу генератора, выход первого умножителя соединен с входом первого фильтра, выход второго умножителя соединен с входом второго фильтра, а выходы первого и второго фильтров являются выходами устройства. Достижение обеспечиваемого изобретением технического результата обусловлено следующим. Информация о величине обеих составляющих создается строго одновременно и в течение каждого периода синусоидального сигнала, причем напряжения на выходах фильтров, по которым судят о величине составляющих полного сопротивления, непрерывны и отслеживают изменения измеряемых параметров. Следовательно, обеспечиваются строгая одновременность определения параметров полного сопротивления и возможность представления результатов измерений в виде аналоговых непрерывно меняющихся сигналов. Кроме того, информация об измеряемых величинах создается обработкой синусоидального и двух прямоугольных сигналов рабочей частоты. Процесс обработки не требует управляющих сигналов короче периода рабочей частоты или каких-либо прецизионных измерений времени. Сущность предлагаемого способа измерения подтверждается следующим расчетом на примере использования переменного прямоугольного напряжения (фиг. 1 и 2). По определению исходные формируемые напряжения могут быть представлены в следующем виде: Исходное (первое) синусоидальное напряжение U1 = U1m sin ,где = t, – угловая частота,t – время, U1m – амплитуда напряжения U1. Напряжение на выходе измерительной схемы (второе синусоидальное) U4 = U4m sin( + x),где x – сдвиг по фазе напряжения U4 относительно U1;U4m – амплитуда напряжения U4. Первое прямоугольное напряжение (синфазное с первым синусоидальным) U2 = +U2m при 0 < < 180![]() U2 = -U2m при 180 < < 360![]() Второе прямоугольное напряжение (смещенное на четверть периода) U3 = -U3m при 0 < < 90 и 270 < < 360![]() U3 = +U3m при 90 < < 270![]() (для определенности здесь принято отставание по фазе). В соответствии со способом измерений напряжения после перемножения синусоидального и прямоугольных могут быть записаны в виде U5 = U2 U4m sin( + x) иU6 = U3 U4m sin( + x)Разложение в ряд Фурье этих напряжений на n гармоник имеет вид [3] ![]() ![]() здесь S – символ суммирования, индексы при A и B – номера гармоник, символы в скобках при A и B – наименования напряжений, к которым они относятся. При периоде аргумента, равном 2n (n = 3,14), амплитуды k-х гармоник могут быть записаны в виде ![]() ![]() Выражения для постоянных составляющих в спектре U5 и U6 в таком случае могут быть записаны в форме ![]() ![]() В соответствии с определением исходных синусоидального и прямоугольных сигналов интегралы в пределах 2n разбиваются на интегралы, отличающиеся только знаком ![]() ![]() ![]() ![]() или AO(U5) = (2 U2m/п) U4m cos( x);AO(U6) = -(2 U3m/п) U4m sin( x).Так как амплитуда U4m пропорциональна модулю измеряемого полного сопротивления, а сдвиг фазы x равен его фазе, то очевидно, что постоянная составляющая напряжения U5 пропорциональна активной составляющей измеряемого полного сопротивления, а постоянная составляющая напряжения U6 – его реактивной составляющей. Если амплитуды обоих прямоугольных напряжений равны, т. е. U2m = U3m, то, в частном случае, коэффициенты пропорциональности окажутся одинаковыми. Следовательно, если в частотных спектрах напряжений U5 и U6 подавить все составляющие, кроме постоянных, то соответствующие напряжения U7 и U8 будут пропорциональны значениям составляющих анализируемого полного сопротивления.
Сущность предлагаемого способа измерения составляющих полного сопротивления и работа устройства для его осуществления поясняется чертежами, где на фиг. 1 представлена блок-схема способа измерения составляющих полного сопротивления и она же – блок-схема устройства для его реализации, а на фиг. 2 – временная диаграмма напряжений, участвующих в способе измерения составляющих полного сопротивления.
На фиг. 1 обозначены:U1 – сформированное первое синусоидальное напряжение. U2 – сформированное первое прямоугольное напряжение. U3 – сформированное второе прямоугольное напряжение. U4 – второе синусоидальное напряжение, получаемое на выходе измерительной схемы 2, содержащей анализируемое полное сопротивление. U5 – результирующий сигнал после умножения (блок 3) второго синусоидального напряжения на первое прямоугольное. U6 – результирующий сигнал после умножения (блок 4) второго синусоидального напряжения на второе прямоугольное. U7 – результат фильтрации (блок 5) сигнала U5, по которому судят об активной составляющей анализируемого полного сопротивления. U8 – результат фильтрации (блок 6) сигнала U6, по которому судят о реактивной составляющей анализируемого полного сопротивления. На фиг. 2 представлены форма и временные связи напряжений и сигналов U1, U2, U3 и U4. Устройство, реализующее предлагаемый способ измерения, содержит (см. фиг. 1) генератор 1, с тремя выходами. При этом первый выход генератора является выходом первого синусоидального напряжения (U1), второй выход – выходом первого прямоугольного напряжения (U2) с периодом, равным периоду первого синусоидального напряжения, и с фронтом, совпадающим с моментом перехода первого синусоидального напряжения через нуль, третий выход – выходом второго прямоугольного напряжения (U3) с периодом, равным периоду первого синусоидального напряжения и фронтом, смещенным на четверть периода относительно момента перехода первого синусоидального напряжения через нуль. Генератор 1 подключен первым выходом к входу измерительной схемы 2, содержащей анализируемое полное сопротивление Zx, выход которой является выходом второго синусоидального напряжения (U4) с амплитудой, пропорциональной модулю анализируемого полного сопротивления, и сдвигом фазы относительно первого синусоидального напряжения, равным фазовому сдвигу анализируемого полного сопротивления (сдвиг фазы между напряжением и током в цепи, полное сопротивление которой измеряют), и соединен с первыми входами умножителей 3 и 4. Вторые входы умножителей 3 и 4 подключены, соответственно, к второму и третьему выходам генератора 1, а их выходы соединены, соответственно, с входами фильтров 5 и 6, выходы которых являются выходами устройств. Все элементы заявленного устройства могут быть построены на основе стандартных аналоговых и логических составных частей. В частности, в качестве умножителей 3 и 4 может быть использован, например, стандартный перемножитель типа 525ПС1, принципиальная схема которого и описание работы приведены в [4, рис. 3.3 стр.91, стр. 89-91], или перемножитель повышенной точности на микросхеме 140МА1 с дополнительными транзисторными сборками [4, рис. 3.6 стр. 94, стр. 91-95]. Фильтрами 5 и 6 могут служить обычные фильтры нижних частот с полосой, зависящей от частоты синусоидального напряжения на первом выходе генератора 1, см., например, [5, стр. 112-120]. Схема работает следующим образом. Когда с первого выхода генератора 1 первое синусоидальное напряжение U1 поступает на вход измерительной схемы 2, содержащей анализируемое полное сопротивление Zx, на ее выходе появляется второе синусоидальное напряжение U4, амплитуда и фаза которого несут информацию о модуле и фазе анализируемого полного сопротивления. Напряжение U4 поступает на первые входы умножителей 3 и 4. Одновременно на вторые входы умножителей 3 и 4 поступают, соответственно, прямоугольное напряжение U2 со второго выхода генератора 1 и прямоугольное напряжение U3 с его третьего выхода. В каждом из умножителей 3 и 4 входные напряжения перемножаются, создавая на своих выходах результирующие сигналы U5 и U6, которые содержат составляющие, пропорциональные, соответственно, активной и реактивной составляющим анализируемого полного сопротивления. Эти результирующие сигналы подаются: U5 – на вход фильтра 5, а U6 – на вход фильтра 6. В фильтрах 5 и 6 подавляются все составляющие, кроме тех, которые пропорциональны величинам составляющих анализируемого полного сопротивления. Таким образом, значения напряжений на выходе фильтра 5(U7) и фильтра 6 (U8) определяют величину активной и реактивной составляющих анализируемого полного сопротивления, а сами выходы фильтров 5 и 6 являются выходами всего устройства. Источники информации 1. Заявка ЕПВ N 0065675, кл. МКИ4 G 01 R 27/02, 27/22, 27/26, опубликованная 01.12.82. 2. Патент РФ N 2092861, кл. МКИ6 G 01 R 27/02, опубликован 10.10.97 г., Бюл. N 28. 3. Бронштейн И.Н., Семендяев К.А. Справочник по математике. – М.: ОГИЗ, 1948. – С. 491 – 492. 4. Найдеров В.З., Голованов А.И., Юсупов З.Ф. и др. Функциональные устройства на микросхемах. – М.: Радио и связь, 1985. – С. 89-91, 91-95. 5. Мейнке Х., Гундлах Ф. Радиотехнический справочник. – М.: Госэнергоиздат, 1960. – С. 112-120. Формула изобретения
РИСУНКИ
MM4A Досрочное прекращение действия патента Российской Федерации на изобретение из-за неуплаты в установленный срок пошлины за поддержание патента в силе
Дата прекращения действия патента: 15.10.2003
Извещение опубликовано: 20.12.2004 БИ: 35/2004
|
||||||||||||||||||||||||||

sin
,
t,
< 








