Патент на изобретение №2154788
|
||||||||||||||||||||||||||
(54) СПОСОБ ВОЗДУХОРАСПРЕДЕЛЕНИЯ ПРИ СУШКЕ МЯСНЫХ И РЫБНЫХ ПРОДУКТОВ
(57) Реферат: Изобретение относится к способам воздухораспределения и предназначено для использования на предприятиях мясной промышленности для сушки сырокопченых колбас и других мясных изделий, для вяления сыровяленых колбас, а также на предприятиях рыбной промышленности для вяления рыбных продуктов. Способ воздухораспределения при сушке мясных и рыбных продуктов включает использование обратного воздушного потока, применение эффекта настилания подаваемого приточного потока. Подачу воздуха в зону обрабатываемого продукта осуществляют снизу вверх. При этом настилание осуществляют на расстоянии, равном половине высоты рабочей зоны сушильной камеры. Причем подачу приточного воздуха осуществляют с помощью пирамидальных односторонних сопел, имеющих вертикальную стенку со стороны настилания струй и наклонную стенку со стороны рабочей зоны. Техническим результатом является повышение качества обрабатываемых пищевых продуктов и уменьшение энергозатрат. 3 з.п.ф-лы, 4 ил., 1 табл. Изобретение относится к способам воздухораспределения и предназначено для использования на предприятиях мясной промышленности для сушки сырокопченых колбас и других мясных изделий, для вяления сыровяленых колбас, а также на предприятиях рыбной промышленности для вяления рыбных продуктов. Известен способ воздухораспределения, предусматривающий распределение приточного воздуха с помощью распределительных каналов с плоскими соплами (фиг. 1). Данный способ применяют в сушильных камерах, камерах упаковки и хранения мясных и молочных продуктов и др. При этом способе распределение приточного воздуха осуществляют через каналы, размещенные в верхней зоне камер, на продольных стенах камер или в нижней зоне [1]. Способ отличается простотой устройств для распределения воздуха, но имеет следующие недостатки: – использует несовершенный вид воздухораспределителя – плоское сопло. Плоские сопла, выполненные в виде прямоугольных отверстий размерами от 200х300 до 50х100 мм, круглых отверстий диаметром 50-100 мм и щелей от 30х100 до 50х50 мм и др. не могут обеспечить необходимую дальнобойность приточных струй в связи с тем, что понижение скорости воздуха происходит в начале рабочей зоны, не достигая ее середины; – в связи с небольшой дальнобойностью приточных струй возникает значительная неравномерность распределения скорости движения воздуха в рабочей зоне сушильных камер, которая достигает 50 -60%; – в связи с недостаточной дальнобойностью приточных струй, выходящих из плоских сопел, значительная часть воздуха, подаваемого в сушильную камеру (до 30%), поступает к всасывающему отверстию вентилятора, минуя рабочую зону и не участвуя в процессах теплообмена и массообмена с продуктом, т.е. не весь подаваемый воздух участвует в процессах теплообмена и массообмена с продуктом. Следовательно, частично такой способ воздухораспределения работает вхолостую и поэтому имеет непроизводительные затраты энергии; – в связи с незначительной дальнобойностью приточных струй и неравномерными условиями теплообмена и массообмена между воздухом и продуктом увеличивается продолжительность процесса сушки по сравнению с продолжительностью, рекомендуемой технологическими нормами, что снижает качество обрабатываемых продуктов вследствие образования плесени на их поверхности в застойных зонах камеры, где нет движения воздуха; – предусмотрена сосредоточенная вытяжка отработанного воздуха, которая также способствует созданию неравномерных условий распределения воздуха в рабочей зоне сушильных камер и, следовательно, образованию плесени на продукте. Известен способ распределения воздуха с помощью верхних перфорированных каналов, потолков и панелей [2]. Перфорированные каналы (фиг.2) используют в качестве воздухораспределителя перфорированную панель, в которой предусмотрены плоские сопла, выполненные в виде круглых отверстий диаметром 3-20 мм. Коэффициент живого сечения перфорированной панели не превышает 5- 10%, т.е. площадь, занимаемая отверстиями, составляет всего лишь 5-10% от всей площади воздухораздающей панели, что в несколько раз меньше, чем в предыдущем способе. Уменьшение коэффициента живого сечения достигнуто за счет использования большого количества отверстий малого диаметра, что позволяет подавать приточный воздух в виде единого воздушного потока (слияние приточных струй происходит на расстоянии, не превышающем 5 диаметров отверстий). Подаваемый воздушный поток отличается равномерностью распределения скорости воздуха в любом сечении. Но он имеет различную скорость на верхнем и нижнем уровне размещения продукта по высоте. Поэтому такой способ не пригоден при распределении воздуха в сушильных камерах, так как расстояние между верхним и нижним уровнем рабочей зоны составляет 2 и более метров. При этом степень неравномерности распределения скорости воздуха не должна превышать по технологическим условиям 30%, т.е. скорость в зоне продукта должна находиться в пределах 0,15-0,2 м/с. При применении в сушильных камерах для сырокопченых колбас способа распределения воздуха с помощью верхних перфорированных каналов продукт, расположенный на верхнем уровне рабочей зоны, получается пересушенным, а на нижнем – недосушенным, что вызывает потери продукта вследствие излишней усушки и образования плесени. Кроме того, способ предусматривает сосредоточенную вытяжку отработанного воздуха, что также способствует неравномерности распределения скорости воздуха в зоне продукта и образованию брака. Наиболее близким по технической сущности и решаемой задаче является способ распределения воздуха в сушильных камерах, использующий обратный поток воздуха, создаваемый коническими или цилиндрическими соплами [3]. Способ предусматривает подачу приточного воздуха через два приточных воздухораспределительных канала (фиг. 3): левый и правый, размещенные в верхней части камеры вдоль ее продольных стен и оснащенные коническими или цилиндрическими соплами, равномерно установленными по длине каналов. В середине верхней части камеры предусмотрен вытяжной воздухораспределительный канал. В качестве воздухораспределителя в вытяжном канале используют плоские сопла прямоугольной, щелевидной или круглой формы, диффузоры и др. Вытяжной канал размещают непосредственно над зоной продукта, что обеспечивает равномерную вытяжку отработанного воздуха по всей зоне, а не сосредоточенную, как это предусмотрено в вышеописанных способах. Данный способ предусматривает распределение воздуха в зоне продукта по обратному потоку, а прямой поток движется справа и слева вдоль продольных стен, настилаясь на них, а затем на пол камеры. При настилании происходит формирование и слияние отдельных приточных струй, взаимодействие, стеснение и выравнивание скорости образовавшегося воздушного потока (левого и правого) не в рабочей зоне, а в пространствах между продольной стеной и рабочей зоной. Приточные струи в виде обратных потоков входят в зону продукта снизу и движутся вверх. При таком способе на потоки влияет только сопротивление продукта. При этом падение скорости воздуха в рабочей зоне не превышает 0,05 м/с. Поэтому на высоте размещения продукта, равной 2 м (высота напольной тележки), падение скорости соответствует технологическим нормам. Способ предусматривает использование конических и цилиндрических сопел с различными значениями диаметра и высоты сопла, а также с различным шагом размещения сопел по длине каналов. В сушильных камерах различных фирм встречаются чаще всего конические сопла с диаметром выходного отверстия d0=30-80 мм с шагом размещения сопел t0 = 180-400 мм. Такие показатели в значительной степени влияют на энергозатраты, необходимые на распределение воздуха в рабочей зоне. В результате проведенных исследований нами установлено, что удельные затраты электроэнергии на работу вентиляторов системы воздухораспределения составляют 0,9-2,2 кВт ч электроэнергии на 1 кг сухого продукта и оцениваются как значительные по сравнению с другими способами.
Таким образом, воздухораспределение по данному способу имеет преимущества перед вышеописанными способами в том, что использует наиболее эффективный вид воздухораспределителя, выполненного в виде конического сопла, обеспечивающего наибольшую дальнобойность струй, при этом сопла равномерно размещены по длине канала, обеспечивают подачу воздушного потока к продукту с равномерно распределенными параметрами, а подача по способу обратного потока обеспечивает поддержание заданной скорости воздуха в зоне продукта в пределах, допустимых технологическими условиями. Весь подаваемый поток воздуха входит в зону продукта и осуществляет необходимые условия теплообмена и массообмена на поверхности продукта, что способствует равномерным условиям сушки. Предусмотрена равномерная вытяжка отработанного увлажненного воздуха из зоны продукта по всей ее длине в связи с наличием вытяжного канала над центральной частью зоны продукта с равномерно расположенными в нем распределителями для забора увлажненного воздуха.
Недостатками данного способа являются– повышенный расход электроэнергии для обеспечения работы вентиляторов из-за необходимости создания воздушных потоков повышенной дальнобойности; – повышенная турбулентность воздушных потоков, омывающих поверхность продуктов, что отрицательно отражается на качестве обрабатываемых продуктов; – повышенная длина воздушных потоков, которая вызвана тем, что принцип действия данного способа воздухораспределения основан на необходимости обеспечения условий принудительной циркуляции воздуха по всей высоте рабочей зоны. В связи с этим необходимая длина воздушного потока складывается из длин трех участков Xп=h+0.5bр.з+hр.з, где Xп – полная длина воздушного потока, м; h – высота подвески каналов, м; bр.з – ширина рабочей зоны, м; bр.з – высота рабочей зоны, м; В данном способе имеет место не только повышенный расход электроэнергии на работу вентиляторов. Одновременно увеличиваются расходы теплоты и холода на сушку продукта, так как увеличение расхода электроэнергии на работу вентиляторов возникает не только вследствие повышенных потерь напора при использовании конических сопел, но и вследствие увеличенного расхода воздуха, вызванного необходимостью создания повышенной скорости воздуха на выходе из сопел. Повышенная турбулентность воздуха, омывающего поверхность продукта, в большинстве случаев вызывает затвердевание поверхностного слоя (“закал”) и потемнение его цвета по сравнению с внутренними слоями колбасного батона. При этом, образуется неравномерное распределение влаги по сечению колбасных батонов. Причем наиболее влажный слой находится внутри батона, что ухудшает качество продукта и уменьшает сроки его хранения. Целью создания заявляемого изобретения является повышение качества обрабатываемых пищевых продуктов и уменьшение энергозатрат. Поставленная цель достигается тем, что в заявленном способе, включающем использование обратного воздушного потока, обеспечивающего равномерные условия его распределения в зоне обрабатываемого продукта, применение эффекта настилания подаваемых приточных струй, подачу воздуха в зону обрабатываемого продукта осуществляют снизу вверх, причем настилание приточных струй на стены осуществляют на расстоянии, характеризующем длину воздушного потока от выходного отверстия сопел до входа в рабочую зону сушильной камеры, при этом подачу приточного воздуха осуществляют с помощью пирамидальных односторонних сопел, имеющих вертикальную стенку со стороны настилания струй и наклонную стенку со стороны рабочей зоны (для обеспечения более надежных условий настилания), при этом настилание воздушного потока осуществляют на расстоянии, равном половине высоты рабочей зоны, т.е. Xп.з=0.5bр.з, где Xп.з – полная длина воздушного потока, принудительно подаваемого вентилятором в заявляемом изобретении, hр.з – высота рабочей зоны. При таких условиях подачи приточных воздушных потов отпадает необходимость в установке конических сопел, обеспечивающих наибольшую дальнобойность приточных струй. Нами предлагается воздухораспределитель приточный, выполненный в виде пирамидального сопла с односторонним скосом боковой стенки с одной стороны и вертикальной стенкой с другой стороны, позволяющий обеспечить поджатие приточной струи и уменьшение участка касания струи с вертикальной стенкой камеры с целью обеспечения более надежных условий настилания. Кроме того, способ предусматривает использование пирамидальных односторонних сопел с геометрическими параметрами: ширина выходного отверстия сопла b0= 40-50 мм, ширина входного отверстия сопла b=2b0, высота сопла hс=2,4-2,5b0, длина сопла Lс=hс, шаг размещения сопел по длине приточных каналов t0=4,8-5,0b0. Способ предусматривает в вытяжном канале круглые отверстия с диаметром dвыт., соответствующим эквивалентному диаметру приточного сопла, т.е. dвыт= dэ.с; количество отверстий в одном ряду nвыт.отв=2nс, где nс количество сопел в приточных каналах, размещенных в один ряд nс=2; шаг отверстий tвыт= t0. Кроме того, способ предусматривает высоту подвески каналов: приточных hпр=0,5hр.з, вытяжного hвыт=hр.з+(0,10-0,15)м. Заявленный способ позволяет осуществить подачу воздуха в рабочую зону вытесняющим обратным ламинарным потоком, движущимся снизу вверх в одном направлении (без завихрений) через всю высоту рабочей зоны до отверстий вытяжного канала. Схема устройства для осуществления заявляемого способа воздухораспределения по обратному потоку пирамидальными соплами приведена на фиг.4. Устройство включает вентиляторы 1,2, кондиционер 3, приточные каналы 4,5, пирамидальные сопла 6, сушильную камеру 7, тележки с продуктом 8, вытяжной канал 9. Устройство работает следующим образом. Приточный воздух вентиляторами 1,2 от кондиционера 3 подается в левый приточный канал 4 и правый приточный канал 5 и через пирамидальные сопла 6, равномерно размещенные по длине приточных каналов, в виде отдельных струй поступает в сушильную камеру 7. Струи настилаются на продольные стены сушильной камеры с левой и правой стороны. При настилании происходит слияние струй, стеснение, взаимодействие и формирование общего воздушного потока (левого и правого). Причем скорость подачи воздуха из сопел, их количество и расстояние от выходного отверстия сопел до нижнего уровня рабочей зоны выбирают таким образом, что принудительное турбулентное движение воздуха происходит только на участке, характеризующем расстояние от выходного отверстия сопел до нижнего уровня рабочей зоны. Дальнейшее движение воздуха по высоте рабочей зоны (в данном варианте по высоте напольных тележек 8 с продуктом) предусмотрено за счет эффекта выдавливания сформировавшихся воздушных потоков (левого и правого) и подачи их к нижнему уровню размещения продукта и дальнейшему подъему по высоте зоны размещения продукта ламинарными потоками, что позволяет исключить вихревой эффект движения воздуха около продукта и, следовательно, в максимальной степени способствовать равномерным условиям сушки продукта и сохранению его качественных показателей. Одновременно достигается уменьшение расхода электроэнергии на работу вентиляторов в связи с уменьшением длины принудительного движения воздушных потоков. Выходящие воздушные потоки, увлажненные в результате контакта с поверхностью продукта, поднимаются к отверстиям вытяжного канала 9, а затем поступают в кондиционер 3, где проходят соответствующую тепловлажностную обработку. Затем схема движения воздуха повторяется. Пример конкретной реализации заявленного способа. В сушильной камере для сырокопченых колбас на 18 напольных тележек, размещенных по 9 тележек в 2 ряда, необходимо осуществить распределение воздуха по обратному потоку через конические сопла (прототип) и пирамидальные односторонние сопла (заявляемое изобретение) и сравнить удельный расход электроэнергии для этих способов при следующих исходных данных: высота напольной тележки hр.з=2 м, ширина пространства между стеной камеры и рабочей зоной bпр= 0,25 м; ширина сушильной камеры bкам=2,2 м, высота подвески приточных каналов с коническими соплами hпр.к=2,1 м при распределении воздуха через конические сопла; высота подвески приточных каналов при распределении воздуха через пирамидальные сопла hпр.п=0,5hр.з=1 м, длина напольной тележки Lтел= 1,25 м; длина камеры Lкам=12 м, рекомендуемая скорость воздуха в рабочей зоне p.з.= 0,15 м/c.При подаче воздуха через конические сопла учитываем конструктивные данные, при которых обеспечивается наименьший расход электроэнергии: диаметр сопла d0=60 мм, d=120 мм, hс=180 мм, t0=4d0=240 мм. При подаче воздуха через пирамидальные односторонние сопла принимаем следующие данные: b0=50 мм, b= 100 мм, hc=120 мм, Lc=120 мм, t0=240 мм. Необходимая длина воздухораспределительных каналов должна соответствовать длине рабочей зоны Lр.з=Lтел nтел=1,25 9=11,25 м.
Lкан Lр.зПринимаем длину канала Lкан=11,52 м с размещением 48 сопел (конических и пирамидальных), учитывая, что t0=240 мм Lкан=nс t0=48 0,24=11,52 м.
Расчет распределения воздуха и удельного расхода электроэнергии при использовании способа воздухораспределения с коническими соплами (прототип)1. Определение расхода воздуха Расход воздуха, необходимый при подаче через один приточный канал, определяют по рекомендуемой скорости приточного воздуха, выходящего из конических сопел, 0 = 10-15 м/c /1/.
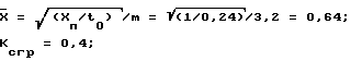
Принимаем 0 = 10 м/c. Тогда расход воздуха через один приточный канал с коническими соплами составляет![]() 2. Определение скорости воздуха на расстоянии X Скорость воздуха на расстоянии X X=h+0,5b1+hр.з=2,1+0,5 2,2+2=5,2 м,при подаче компактными струями ![]() где m – аэродинамический коэффициент для конического сопла выбирается равным m=6,6; Kс – коэффициент стеснения; Kв – коэффициент взаимодействия; Kн – коэффициент неизотермичности. Коэффициент стеснения зависит от относительного расстояния относительной площади ![]() ![]() где fр – площадь рабочей зоны, приходящаяся на один воздухораспределитель (одно сопло) fр=b1 t0/2,где b1 – ширина рабочей зоны, приходящаяся на один воздухораспределитель, м; t0 – шаг сопел, м; fр=(2,2-0,25 2) 0,24/2=0,2 м.
При коэффициент Kс=0,45,где ![]() Коэффициент взаимодействия Kв. зависит от отношения X/t0 X/t0=5,2/0,24=21,7; Kв=1,1. Коэффициент неизотермичности Kн можно принять равным 1, так как в сушильных камерах для колбас рабочая разность температур tp не превышает 2-3oC.
Определяем максимальное значение скорости x при 0 = 10 м/c:![]() x=5,2 = 0,3 м/c;при этом среднее значение скорости воздуха в рабочей зоне xcp = 0,5 x=5,2 = 0,15 м/c.С учетом потери скорости в зоне размещения продукта скорость xcp должна иметь значение на 25% больше, т.е.
xcp.треб = 0,15 1,25 = 0,19 м/c.При значении x=5,2 = 0,38 м/c необходимая скорость приточного воздуха должна быть 0 = 12,84 м/c.3. Уточнение необходимого расхода воздуха Расход воздуха V1 при скорости 0 = 12,84 м/c составляетV1=12,84 48 0,785 0,062 3600=6270 м3/ч.
4. Определение мощности электродвигателя вентиляторовМощность электродвигателя вентиляторов, обеспечивающих распределение и циркуляцию воздуха, зависит от расхода воздуха и напора, а также от коэффициентов эффективности вентиляторов и их привода Nдв = V H Kз/(3600 1000![]() в![]() м![]() эл),где V – расход воздуха, м3/ч; H – потери напора, Па; в – КПД вентилятора, в = 0,7; м – КПД механической передачи, м = 0,85; эл – КПД электродвигателя, эл = 0,95;Kз – коэффициент запаса мощности; Kз = 1,05-1,2. Потери напора складываются из потерь на трение, местных сопротивлений и динамических. Потери напора на трение составляют не более 5% от общих потерь, и поэтому их можно учесть поправочным коэффициентом. Потери напора на местные сопротивления при подаче воздуха через конические сопла составляют 450 Па /1/. Потери напора динамические при выходе воздуха из сопел со скоростью 0 = 12,84 м/c составляютHg = ![]() ![]() 20/2 = 1,2 12,842/2 = 100 Пa.Общие потери напора при воздухораспределении через конические сопла H=(450+100) 1,05=575,5 Па.
С учетом потерь напора, неучтенных расчетом, принимаем H=600 Па.
Мощность двигателя одного вентилятораNдв=6270 600 1,2/(3600 1000 0,7 0,95 0,85)=2,22 кВт5. Определение выхода готовой продукции за один цикл сушки Учитывая, что емкость сушильной камеры по сырому продукту Gпр.сыр=200 кг 18=3600 кг,где 200 кг – загрузка одной напольной тележки, и учитывая, что нормируемая усушка продукта составляет gн = 23% при нормируемой продолжительности процесса сушки сырокопченых колбас Tс=25 суток=600 часов, рассчитываем выпуск сухого продукта за один цикл сушкиGпр.сух=3600-3600 23/100=2772 кг.
6. Определение удельного расхода электроэнергии на распределение воздуха при сушке 1 кг продуктаNуд=Nуст Tч/Gпр.сух=2 2,22 600/2772=0,96 кВт ч/кг сух.пр.
Расчет распределения воздуха и удельного расхода электроэнергии при использовании способа воздухораспределения с пирамидальными соплами (заявляемое изобретение)1. Определение необходимой длины принудительного движения воздуха В предлагаемом способе имеется 2 участка воздушного потока: первый участок – участок принудительного движения воздуха до рабочей зоны; второй участок – участок движения воздуха снизу вверх за счет эффекта продавливания (проталкивания) его принудительно движущимися струями, поступающими из сопел. Необходимая длина принудительного движения воздуха – это расстояние X1 от места выхода струи из пирамидальных сопел до нижнего уровня рабочей зоны X1=0,5hр.з=0,5 2=1 м2. Определение скорости воздуха x на расстоянии X1 = 1 м.
Для плоских струй, создаваемых пирамидальными соплами![]() Для плоских вертикальных струй коэффициент стеснения Kс, учитывающий стеснение струй ограждением и взаимное стеснение ![]() где Kс. гр – коэффициент стеснения ограждением; Xп – полная длина струи (Xп=1 м); b0 – ширина сопла, b0=0,05 м; m – аэродинамический коэффициент пирамидального сопла; m=3,2; t0 – шаг пирамидальных сопел, t0=0,24 м. Коэффициент стеснения Kс. гр определяют в зависимости от относительного расстояния ![]() ![]() ![]() Коэффициент взаимодействия: при отношении X/t0=1/0,24=4,2 коэффициент Kв=1; ![]() 3. Определение скорости приточного воздуха Скорость приточного воздуха 0 зависит от скорости x на расстоянии X1=1 м, которая зависит от скорости воздуха в обратном потоке.
Максимальная скорость воздуха в обратном потоке oбp.макс.= 0,38 м/c, что соответствует рекомендуемой скорости воздуха в зоне размещения продукта ( xcp.треб.= 0,19 м/c).С другой стороны максимальная скорость воздуха в обратном потоке должна соответствовать условию ![]() 0,38 = 0,134 x; откуда x = 2,8 м/c; 0 = 5,6 м/c.4. Определение расхода воздуха Необходимый расход воздуха, подаваемый через один приточный канал, при использовании пирамидальных сопел составляет ![]() 5. Определение мощности электродвигателя вентиляторов Мощности электродвигателя вентиляторов так же, как и в предыдущем случае, определяем с учетом расхода воздуха и потерь его напора. Расход воздуха через 1 канал V1 = 5800 м3/ч. Потери напора на местные сопротивления принимаем также в размере 5% от потерь напора в местных сопротивлениях и динамических потерь. Потери напора в местных сопротивлениях на 30% меньше, чем аналогичные потери напора при использовании конических сопел /1/. Динамические потери напора при скорости воздуха 0 = 5,6 м/c составляютHg = 1,2 x 5,62/2 = 18,8Па. Общие потери напора H=(0,7 450+18,8) 1,05=383,2Па.
С учетом потерь, неучтенных расчетом, принимаем H=400 ПаМощность электродвигателя вентилятора Nдв=5800 400 1,2/(3600 1000 0,7 0,95 0,85)=1,4 кВт.
6. Определение удельного расхода электроэнергии на распределение воздуха при сушке 1 кг продуктаNуд = 2 х 1,4 600/2772 = 0,61 кВт ч/кг сух.пр.
Полученные результаты приведены в таблице 1.
Таким образом, удельный расход электроэнергии на распределение воздуха в сушильной камере для сырокопченых колбас составляет соответственно для способа прототипа и заявляемого способа 0,96 и 0,61 кВт ч на 1 кг сухого продукта. Следовательно, при распределении воздуха по способу прототипу расход электроэнергии на работу вентиляторов в 1,5 раза больше, чем при распределении воздуха по заявленному изобретению.
Источники информации, принятые во внимание.
1. А.М.Бражников, Н.Д.Малова, “Кондиционирование воздуха на предприятиях мясной и молочной промышленности”, М., Пищевая промышленность, 1979, с. 139, рис.40.
2. А.М.Бражников, Н.Д.Малова, “Кондиционирование воздуха на предприятиях мясной и молочной промышленности”, М., Пищевая промышленность, 1979, с. 140, рис. 41.
3. А.М.Бражников, С.Н.Каменский, Н.Д.Малова и др., “Исследование воздухораспределения в камерах термообработки сырокопченых колбас”, Мясная индустрия СССР, 1985, N4, стр.39-45, рис. 1,2.
Формула изобретения
РИСУНКИ
MM4A Досрочное прекращение действия патента Российской Федерации на изобретение из-за неуплаты в установленный срок пошлины за поддержание патента в силе
Дата прекращения действия патента: 08.09.2001
Номер и год публикации бюллетеня: 12-2003
Извещение опубликовано: 27.04.2003
|
||||||||||||||||||||||||||

ч электроэнергии на 1 кг сухого продукта и оцениваются как значительные по сравнению с другими способами.
Таким образом, воздухораспределение по данному способу имеет преимущества перед вышеописанными способами в том, что использует наиболее эффективный вид воздухораспределителя, выполненного в виде конического сопла, обеспечивающего наибольшую дальнобойность струй, при этом сопла равномерно размещены по длине канала, обеспечивают подачу воздушного потока к продукту с равномерно распределенными параметрами, а подача по способу обратного потока обеспечивает поддержание заданной скорости воздуха в зоне продукта в пределах, допустимых технологическими условиями. Весь подаваемый поток воздуха входит в зону продукта и осуществляет необходимые условия теплообмена и массообмена на поверхности продукта, что способствует равномерным условиям сушки. Предусмотрена равномерная вытяжка отработанного увлажненного воздуха из зоны продукта по всей ее длине в связи с наличием вытяжного канала над центральной частью зоны продукта с равномерно расположенными в нем распределителями для забора увлажненного воздуха.
Недостатками данного способа являются
p.з.= 0,15 м/c.
Lр.з

относительной площади 

коэффициент Kс=0,45,
tp не превышает 2-3oC.
Определяем максимальное значение скорости 
в







