Патент на изобретение №2154704
|
||||||||||||||||||||||||||
(54) МНОГОКОМПОНЕНТНАЯ СИСТЕМА ДЛЯ МОДИФИКАЦИИ, РАЗЛОЖЕНИЯ ИЛИ ОТБЕЛИВАНИЯ ЛИГНИНА, ЛИГНИНОСОДЕРЖАЩИХ МАТЕРИАЛОВ ИЛИ АНАЛОГИЧНЫХ ВЕЩЕСТВ И СПОСОБ ЕЕ ПРИМЕНЕНИЯ
(57) Реферат: Многокомпонентная система для модификации, разложения или отбеливания лигнина, лигнинсодержащих материалов или аналогичных веществ может быть использована в целлюлозно-бумажной промышленности. Система содержит: а) по меньшей мере один катализатор окисления, б) по меньшей мере один соотвесттвующий окислитель и в) по меньшей мере один медиатор. Медиатор выбран из группы, включающей гидроксипиридины, аминопиридины, гидроксихинолины, аминохинолины, гидроксиизохинолины, аминоизохинолины, с находящимися по отношению к гидрокси- или аминогруппами в орто- либо пара-положении нитрозо- или меркаптозаместителями, таутомеры указанных соединений, а также их соли, простые и сложные эфиры. Данной системой обрабатывают лигнин одновременно или в любой последовательности при смешении с водной суспензией лигнинсодержащего материала. Вышеуказанные медиаторы применяют для модификации, разложения или отбеливания лигнина, лигнинсодержащих материалов или аналогичных веществ. Техническим результатом является безопасность окружающей среды и повышение скорости делигнификации. 3 с. и 5 з.п.ф-лы, 1 табл. Настоящее изобретение относится к многокомпонентной системе для модификации, разложения или отбеливания лигнина, лигнинсодержащих материалов или аналогичных веществ, а также к способу ее применения. Среди применяемых в настоящее время для получения целлюлозы способов следует назвать в первую очередь сульфатный и сульфитный способы. С помощью обоих способов целлюлозу производят путем варки и при соответствующем давлении. В сульфатном способе работают с добавками NaOH и Na2S, тогда как в сульфитном способе используют Ca(CHSO3)2+SO2. Главной целью всех способов производства целлюлозы является удаление лигнина из исходных растительных материалов, древесины или однолетних растений. Лигнин, являющийся вместе с целлюлозой и гемицеллюлозой основной составной частью растительного материала (стеблей или стволов), необходимо удалять, поскольку в противном случае невозможно изготавливать не желтеющую и подвергаемую высоким механическим нагрузкам бумагу. В способах по производству древесной массы работают с использованием дефибреров (дефибрерная древесная масса) или рафинеров (термомеханическая древесная масса), с помощью которых древесину после соответствующей предварительной обработки (химической, термической либо термохимической) дифибрируют путем размола. Полученная таким путем древесная масса все еще содержит значительную долю лигнина. Такую древесную массу используют, в частности, для изготовления газет, иллюстрированных журналов и т.п. В течение вот уже нескольких лет проводятся исследования с целью изыскать возможности применения ферментов для разложения лигнина. Механизм действия лигнолитических систем такого типа был выявлен лишь недавно, когда благодаря созданию соответствующих условий выращивания и добавкам индуктора, вводимым в белую гниль (гриб Phanerochaete chrysosporium), удалось получить достаточные количества фермента. При этом были обнаружены не известные на тот момент лигнинпероксидазы и марганец-пероксидазы. Так как Phanerochaete chrysosporium обладает способностью весьма эффективно разлагать лигнин, были предприняты попытки выделить его ферменты и использовать их в очищенной форме для разложения лигнина. Однако эти попытки не увенчались успехом, поскольку выяснилось, что ферменты прежде всего приводят к повторной полимеризации лигнина, а не способствуют его разложению. Сказанное выше в равной мере относится и к другим лигнолитическим видам ферментов, таким, в частности, как лакказы, которые разлагают лигнин оксидативным путем с помощью кислорода вместо пероксида водорода. Было установлено, что во всех случаях имеют место аналогичные процессы, а именно, образуются радикалы, которые сами снова вступают в реакцию между собой и приводят тем самым к полимеризации. Таким образом, на сегодняшний день существуют только лишь способы, в которых работают с системами in vivo (грибные системы). Основными направлениями в опытах по оптимизации параметров этих способов является разработка методов так называемой биоварки и биоотбеливания. Под понятием “биоварка” имеется в виду обработка древесной щепы живыми грибными системами. В принципе существуют две возможности для осуществления этого способа: 1. Предварительная обработка щепы перед процессом рафинирования или размола в целях экономии энергии при получении древесной массы (например, термомеханической или обычной древесной массы). Другим преимуществом такой технологии является достигаемое в большинстве случаев улучшение механических свойств материала, но в то же время ей присущ такой недостаток, как неудовлетворительная степень белизны конечного продукта. 2. Предварительная обработка щепы (древесина из мягких пород/древесина из твердых пород) перед процессом варки целлюлозы (процесс получения крафт-целлюлозы, сульфитный процесс). Цель в данном случае заключается в снижении количества используемых при варке химикатов, повышение эффективности процесса варки и более продолжительная варка (“extended cooking”). К преимуществам такой технологии следует отнести также снижение каппа-показателей по завершении варки по сравнению с таковыми при варке, осуществляемой без предварительной обработки. К очевидным недостаткам указанных способов следует отнести продолжительность (до нескольких недель) обработки и, прежде всего, не решенную до сих пор проблему загрязнения окружающей среды во время обработки, если при этом хотят отказаться от нерентабельной стерилизации щепы. В способе биоотбеливания также используют системы in vivo. После варки в целлюлозу (мягкодревесные породы/твердодревесные породы) перед процессом отбеливания вносят грибную затравку, после чего выдерживают в этом состоянии в течение промежутка времени от нескольких дней до нескольких недель. И поскольку для более или менее заметного снижения каппа-показателей и повышения степени белизны требуется такой продолжительный период обработки, не представляется возможным с точки зрения экономичности интегрировать этот процесс в обычный технологический цикл отбеливания. В другом варианте, где используют иммобилизованные грибные системы, предусматривается обработка сточных вод производства целлюлозы, прежде всего сточных вод процесса отбеливания с целью их осветления и снижения АОХ (снижение количества содержащихся в сточных водах хлорированных соединений, поступающих со стадий отбеливания, где используют хлор или диоксид хлора). Кроме того, известно применение в качестве “усилителей отбеливания” гемицеллюлаз, в частности ксиланазы, маннаназы ( -маннозидазы).
Назначение этих ферментов состоит главным образом в том, чтобы воздействовать на повторно выпавший в осадок ксилан, который после варки частично блокирует доступ к остаточному лигнину, и за счет разложения этого ксилана обеспечить используемым на последующих стадиях отбеливания химикатам (прежде всего диоксиду хлора) более свободный доступ к лигнину.
Хотя в лабораторных условиях и удалось добиться экономии используемых при отбеливании химикатов, в промышленном масштабе этот фактор признан лишь как условно подтвержденный и, таким образом, указанный тип ферментов в любом случае можно применять в качестве отбеливающей добавки.
В качестве кофактора наряду с лигнолитическими ферментами приемлемы хелатные субстанции (сидерофоры, такие как оксалат аммония) и биотензиды (биоПАВ).
В заявке PCT/EP87/00635 описывается система для удаления лигнина из лигнинцеллюлозосодержащего материала при одновременном проведении процесса отбеливания, в которой используют лигнолитические ферменты из белой грибковой гнили с добавлением окислительно-восстановительных агентов и фенольных соединений в качестве медиаторов.
В DE 4008893 C2 в дополнение к окислительно-восстановительной системе вводят добавки “субстанций-имитаторов”, модулирующих активный центр (простетические группы) лигнолитических ферментов. Благодаря этому удалось добиться существенного повышения эффективности процесса.
Согласно заявке PCT/EP92/01086 предлагается дополнительное усовершенствование, предусматривающее применение окислительно-восстановительного каскада, в котором используются “согласованные” по их окислительному потенциалу фенольные или нефенольные ароматические соединения.
Возможности реализации всех трех вышеописанных способов в промышленном масштабе ограничены применением веществ с низкой плотностью (до максимально 4%), а согласно двум последним из указанных заявок к тому же и опасностью “выщелачивания” металлов, обусловленной использованием хелатных соединений, которые, прежде всего при проведении последующих стадий отбеливания с применением пероксида, могут способствовать разрушению последнего.
Из международных заявок WO 94/12619, WO 94/12620 и WO 94/12621 известны способы, в которых активность пероксидазы повышают за счет использования так называемых субстанций-усилителей.
В WO 94/12619 эти субстанции-усилители охарактеризованы периодом их полураспада.
Согласно WO 94/12620 субстанции-усилители представлены формулой A=N-N=B, где A и B каждый обозначает соответствующие циклические остатки.
Согласно WO 94/12620 субстанции-усилители представляют собой органические вещества, содержащие по меньшей мере два ароматических кольца, по меньшей мере одно из которых замещено соответствующими остатками.
Все три указанные заявки относятся к “ингибированию переноса красителя” и к применению соответствующих субстанций-усилителей совместно с пероксидазой в качестве детергентной добавки или детергентной композиции, используемых для изготовления моющих средств. И хотя в описании указывается на возможность их применения для обработки лигнина, наши собственные опыты с заявленными в упомянутых публикациях веществами показали, что последние не оказывают в качестве медиаторов никакого влияния на повышение пероксидазами эффективности отбеливания при обработке лигнинсодержащих материалов.
В WO 94/29510 описан способ ферментативной делигнификации, в котором применяют ферменты совместно с медиаторами. В качестве медиаторов предлагается использовать в основном соединения со структурой NO-, NOH- или HRNOH. Из представленных в указанной заявке медиаторов наилучшие результаты при делигнификации достигают с помощью 1-гидрокси-1H-бензотриазола (ГБТ). Однако ГБТ присущи существенные недостатки.
Во-первых, это дорогостоящий продукт и не выпускается в достаточных количествах. Во-вторых, он реагирует в условиях делигнификации, превращаясь в 1H-бензотриазол. А это соединение относительно плохо поддается разложению и в больших количествах может представлять значительную опасность для окружающей среды. Далее, в определенной степени он оказывает негативное воздействие на ферменты. И, наконец, скорость его делигнификации не слишком высока.
Поэтому целесообразно разработать такую систему для модификации, разложения или отбеливания лигнина, лигнинсодержащих материалов или аналогичных веществ, которая не имела бы указанных недостатков или имела бы их лишь в незначительной степени.
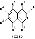
С учетом вышеизложенного настоящее изобретение относится к много компонентной системе для модификации, разложения или отбеливания лигнина, лигнинсодержащих материалов или аналогичных веществ, содержащаяа. по меньшей мере один катализатор окисления и б. по меньшей мере один соответствующий окислитель и в. по меньшей мере один медиатор. Система отличается тем, что медиатор выбран из группы, включающей гидроксипиридины, аминопиридины, гидроксихинолины, аминохинолины, гидроксиизохинолины, аминоизохинолины, с находящимися по отношению к гидрокси- или аминогруппам в орто- либо пара-положении нитрозо- или меркаптозаместителями, таутомеры названных соединений, а также их соли, простые и сложные эфиры. Неожиданным образом было установлено, что многокомпонентная система по изобретению с указанными медиаторами не имеет недостатков, присущих многокомпонентным системам, известным из уровня техники. В качестве медиаторов в многокомпонентной системе по изобретению предпочтительны соединения общей формулы (I), (II) или (III) ![]() а также их таутомеры, соли, простые и сложные эфиры этих соединении, причем в формулах (I), (II) или (III) два находящихся по отношению друг к другу в орто- либо пара-положении остатка R1 представляют собой гидрокси- и нитрозогруппу либо гидрокси- и меркаптогруппу либо нитрозо- и аминогруппу, а остальные остатки R1 являются идентичными или разными и выбраны из группы, включающей водород, галоген, гидрокси-, меркаптогруппу, формил, цианогруппу, карбамоил, карбоксигруппу, эфиры и соль последней, сульфогруппу, эфиры и соль последней, сульфамоил, нитро-, нитрозо-, аминогруппу, фенил, арил-C1-C5алкил, C1-C12алкил, C1-C5алкоксигруппу, C1-C10карбонил, карбонил-C1-C6алкил, фосфо-, фосфоно-, фосфонооксигруппу, эфиры и соль последней, и причем карбамоил, сульфамоил, амино-, меркаптогруппа и фенил могут быть незамещенными либо одно- или многократно замещены остатком R2, а арил-C1-C5алкил, C1-C12алкил, C1-C5алкоксигруппа, C1-C10карбонил, карбонил-C1-C6алкил могут быть насыщенными или ненасыщенными, разветвленными или неразветвленными и могут быть одно- или многократно замещены остатком R2, причем R2 имеет идентичные либо разные значения и представляет собой гидроксигруппу, формил, циано-, карбоксигруппу, эфиры или соль последней, карбамоил, сульфогруппу, сульфамоил, нитро-, нитрозо-, аминогруппу, фенил, C1-C5алкил, C1-C5алкоксигруппу или C1-C5алкилкарбонил и соответственно два остатка R1 либо два остатка R2 либо R1 и R2 могут быть попарно соединены мостиком [-CR3R4-] m, где m равно 1, 2, 3 или 4, и R3 и R4 имеют идентичные либо разные значения и представляют собой карбоксигруппу, эфиры или соль последней, фенил, C1-C5алкил, C1-C5алкоксигруппу или C1-C5алкилкарбонил и одна или несколько несмежных групп [-CR3R4-] могут быть заменены на кислород, серу или на необязательно замещенную C1-C5алкилом иминогруппу, а две смежные группы [-CR3R4-] могут быть заменены на группу [-CR3=R4-]. К особенно предпочтительным в качестве медиаторов, используемых в многокомпонентной системе по изобретению, относятся соединения общей формулы (I) или (II), а также их таутомеры, соли, простые или сложные эфиры, причем в формулах (I) и (II) особенно предпочтительны два находящихся по отношению друг к другу в орто-положении остатка R1, представляющие собой гидрокси- и нитрозогруппу, либо гидрокси- и меркаптогруппу, либо нитрозо- и аминогруппу, а остальные остатки R1 имеют идентичные либо разные значения и выбраны из группы, включающей водород, гидрокси-, меркаптогруппу, формил, карбамоил, карбоксигруппу, эфиры и соль последней, сульфогруппу, эфиры и соль последней, сульфамоил, нитро-, нитрозо-, аминогруппу, фенил, арил-C1-C5алкил, C1-C5алкил, C1-C5алкоксигруппу, C1-C5карбонил, карбонил-C1-C6алкил, фосфо-, фосфоно-, фосфонооксигруппу, эфиры и соль последней, причем карбамоил, сульфамоил, амино-, меркаптогруппа и фенил могут быть незамещенными либо одно- или многократно замещены остатком R2, а арил-C1-C5алкил, C1-C5алкил, C1-C5алкоксигруппа, C1-C5карбонил, карбонил-C1-C6алкил могут быть насыщенными или ненасыщенными, разветвленными или неразветвленными и могут быть одно- или многократно замещены остатком R2, причем R2 имеет указанные выше значения и соответственно два остатка R1 могут быть попарно соединены мостиком [-CR3R4-]m, где m равно 2, 3 или 4, и R3 и R4 имеют указанные выше значения, а одна или несколько несмежных групп [-CR3R4-] могут быть заменены на кислород или на не обязательно замещенную C1-C5алкилом иминогруппу. Примерами соединений, применяемых в многокомпонентной системе по изобретению в качестве медиаторов (компонент в), являются следующие: 2,6-дигидрокси-3-нитрозопиридин, 2,3-дигидрокси-4-нитрозопиридин, 2,6-дигидрокси-3-нитрозопиридин-4-карбоновая кислота, 2,4-дигидрокси-3-нитрозопиридин, 3-гидрокси-2-меркаптопиридин, 2-гидрокси-3-меркаптопиридин, 2,6-диамино-3-нитрозопиридин, 2,6-диамино-3-нитрозопиридин-4-карбоновая кислота, 2-гидрокси-3-нитрозопиридин, 3-гидрокси-2-нитрозопиридин, 2- меркапто-3-нитрозопиридин, 3-меркапто-2-нитрозопиридин, 2-амино-3-нитрозопиридин, 3-амино-2-нитрозопиридин, 2,4-дигидрокси-3-нитрозохинолин, 8-гидрокси-5-нитрозохинолин, 2,3-дигидрокси-4-нитрозохинолин, 3-гидрокси-4-нитрозоизохинолин, 4-гидрокси-3-нитрозоизохинолин, 8-гидрокси-5-нитрозоизохинолин, а также таутомеры этих соединений. В качестве медиаторов предпочтительны из них 2,6-дигидрокси-3-нитрозопиридин, 2,6-диамино-3-нитрозопиридин, 2,6-дигидрокси-3-нитрозопиридин-4-карбоновая кислота, 2,4-дигидрокси-3-нитрозопиридин, 2-гидрокси-3-меркаптопиридин, 2-меркапто-3-пиридинол, 2,4-дигидрокси-3-нитрозохинолин, 8-гидрокси-5-нитрозохинолин, 2,3-дигидрокси-4-нитрозохинолин, а также таутомеры этих соединений. Многокомпонентная система по изобретению содержит медиаторы, не требующие больших затрат по сравнению с известными из уровня техники, прежде всего по сравнению с ГБТ. Кроме того, применение медиаторов согласно изобретению обеспечивает повышение скорости делигнификации. Предпочтительно многокомпонентная система по изобретению включает по меньшей мере один катализатор окисления. В качестве катализаторов окисления в многокомпонентной системе по изобретению используют предпочтительно ферменты. Согласно изобретению понятие “фермент” включает также обладающие ферментативной активностью белки или пептиды или простетические группы ферментов. В качестве ферментов в многокомпонентной системе согласно изобретению могут применяться оксидоредуктазы классов 1.1.1 до 1.97 согласно международной классификации ферментов, принятой Комитетом Международного Союза биохимии и молекулярной биологии (Enzyme Nomenclature, Academic Press, Inc., 1992, стр. 24-154). Предпочтительно применяют ферменты ниженазванных классов. Ферменты класса 1.1, которые включают все дегидрогеназы, оказывающие воздействие на первичные, вторичные спирты и полуацетали, и которые в качестве акцепторов имеют NAD+ (никотинамид-аденин-динуклеид, НАД) или NADP+ (никотинамид-аденин-динуклеотидфосфат, НАДФ) (подкласс 1.1.1), цитохромы (1.1.2), кислород (O2) (1.1.3), дисульфиды (1.1.4), хиноны (1.1.5) или другие акцепторы (1.1.99). Из этого класса особенно предпочтительными являются ферменты класса 1.1.5 с хинонами в качестве акцепторов и ферменты класса 1.1.3 с кислородом в качестве акцептора. Наиболее предпочтительной в этом классе является целлобиоза: хинон-1-оксидоредуктаза (1.1.5.1). Далее предпочтительными являются ферменты класса 1.2. В этот класс ферментов входят такие ферменты, которые окисляют альдегиды до соответствующих кислот или оксогрупп. Акцепторами могут быть NAD+, NADP+ (1.2.1), цитохромы (1.2.2), кислород (1.2.3), сульфиды (1.2.4), протеины, содержащие железо и серу, (1.2.5) или другие акцепторы (1.2.99). Особенно предпочтительны среди них ферменты группы (1.2.3) с кислородом в качестве акцептора. Далее предпочтительными являются ферменты класса 1.3. В этот класс входят ферменты, которые воздействуют на CH-CH-группы донора. Соответствующими акцепторами являются это NAD+, NADP+ (1.3.1), цитохромы (1.3.2), кислород (1.3.3), хиноны или родственные соединения (1.3.5), протеины, содержащие железо и серу, (1.3.7) или другие акцепторы (1.3.99). Особенно предпочтительной является билирубиноксидаза (1.3.3.5). Среди названных также особенно предпочтительными являются ферменты класса (1.3.3) с кислородом в качестве акцептора и ферменты класса (1.3.5) с хинонами и т.д. в качестве акцептора. Далее предпочтительны ферменты класса 1.4, которые воздействуют на CH-NH2-группы донора. Соответствующими акцепторами являются NAD+, NADP+ (1.4.1), цитохромы (1.4.2), кислород (1.4.3), дисульфиды (1.4.4), протеины, содержащие железо и серу, (1.4.7) или другие акцепторы (1.4.99). Особенно предпочтительными из них и в этом случае являются ферменты класса 1.4.3 с кислородом в качестве акцептора. Далее предпочтительными являются ферменты класса 1.5, которые воздействуют на CH-NH-группы донора. Соответствующие акцепторы – это NAD+, NADP+ (1.5.1), кислород (1.5.3), дисульфиды (1.5.4), хиноны (1.5.5) или другие акцепторы (1.5.99). Среди названных также особенно предпочтительными являются ферменты с кислородом (O2) (1.5.3) и с хинонами (1.5.5) в качестве акцепторов. Далее предпочтительны ферменты класса 1.6, которые воздействуют на NADH или NADPH. Акцепторами в этих случаях являются NADP+ (1.6.1), гемопротеины (1.6.2), дисульфиды (1.6.4), хиноны (1.6.5), NO2-группы (1.6.6) и флавин (1.6.8) или некоторые другие акцепторы (1.6.99). Особенно предпочтительны среди названных ферменты класса 1.6.5 с хинонами в качестве акцепторов. Далее предпочтительными являются ферменты класса 1.7, которые воздействуют на другие NO2-соединения в качестве доноров, а в качестве акцепторов имеют цитохромы (1.7.2), кислород (O2) (1.7.3), протеины, содержащие железо и серу, (1.7.7) или другие (1.7.99). Среди них наиболее предпочтительным является класс 1.7.3 с кислородом в качестве акцептора. Далее предпочтительны ферменты класса 1.8, которые воздействуют на серусодержащие группы в качестве доноров, а в качестве акцепторов имеют NAD+, NADP+ (1.8.1), цитохромы (1.8.2), кислород (O2) (1.8.3), дисульфидфы (1.8.4), хиноны (1.8.5), протеины, содержащие железо и серу, (1.8.7) или другие (1.8.99). Наиболее предпочтительным является класс 1.8.3 с кислородом (O2) и класс (1.8.5) с хинонами в качестве акцепторов. Далее предпочтительными являются ферменты класса 1.9, которые воздействуют на гемогруппы в качестве доноров, а в качестве акцепторов имеют кислород (O2) (1.9.3), NO2-соединения (1.9.6) и другие (1.9.99). Особенно предпочтительна группа 1.9.3 с кислородом (O2) в качестве акцептора (цитохромоксидазы). Далее предпочтительными являются ферменты класса 1.12, которые воздействуют на водород в качестве донора. Акцепторами в этих случаях являются NAD+ или NADP+ (1.12.1) или другие (1.12.99). Далее предпочтительны ферменты классов 1.13 и 1.14 (оксигеназы). Далее предпочтительны ферменты класса 1.15, которые воздействуют на супероксидные радикалы в качестве акцепторов. Особенно предпочтительным из них является супероксид-дисмутаза (1.15.1.1). Далее предпочтительны ферменты класса 1.16. В качестве акцепторов выступают NAD+ или NADP+ (1.16.1) или кислород (O2) (1.16.3). Особенно предпочтительны из них ферменты класса 1.16.3.1 (ферроксидаза, например, церулоплазмин). Далее предпочтительными ферментами являются те, которые относятся к группе 1.17 (воздействие на CH2-группы, которые окисляются до группы -CHOH-), 1.18 (воздействие на восстановленный ферредоксин в качестве донора), 1.19 (воздействие на восстановленный флаводоксин в качестве донора) и 1.97 (другие оксидоредуктазы). Далее особенно предпочтительными являются ферменты группы 1.11, которые воздействуют на пероксид в качестве акцептора. Этот единственный подкласс (1.11.1) содержит пероксидазы. Наиболее предпочтительны при этом цитохром-C-пероксидазы (1.11.1.5), каталаза (1.11.1.6), пероксидаза (1.11.1.6), иодидпероксидаза (1.11.1.8), глутатионпероксидаза (1.11.1.9), хлоридпероксидаза (1.11.1.10), L-аскорбатпероксидаза (1.11.1.11), фосфолипид-гидропероксид-глутатионпероксидаза (1.11.1.12), марганецпероксидаза (1.11.1.13), диарилпропанпероксидаза (лигниназа, лигнин-пероксидаза) (1.11.1.14). Наиболее предпочтительны ферменты класса 1.10, которые воздействуют на бифенолы и родственные соединения. Они оказывают каталитическое воздействие на окисление бифенолов и аскорбатов. В качестве акцепторов при этом выступают NAD+, NADP+ (1.10.1), цитохромы (1.10.2), кислород (1.10.3) или другие (1.10.99). Из названных наиболее предпочтительными в свою очередь являются ферменты класса 1.10.3 с кислородом (O2) в качестве акцептора. Из ферментов этого класса особенно предпочтительны ферменты катехол-оксидаза (тирозиназа) (1.10.3.1), L-аскорбатоксидаза (1.10.3.3), о-аминофенолоксидаза (1.10.3.4) и лакказа (бензолдиол: оксиген-оксидоредуктаза) (1.10.3.2), причем лакказы (бензолдиол: оксиген-оксидоредуктаза) (1.10.3.2) являются наиболее предпочтительными. Названные оксидоредуктазы являются коммерчески доступными или могут быть получены стандартными способами. В качестве организмов для получения ферментов можно использовать, например, растения, клетки животных, бактерии и грибы. В принципе продуцентами для ферментов могут быть как естественные организмы, так и организмы, измененные под действием генной инженерии. Также в качестве продуцентов ферментов приемлемы части одноклеточных или многоклеточных организмов, прежде всего клеточные культуры. Для получения особенно предпочтительных ферментов, в частности из группы 1.11.1, прежде всего из группы 1.10.3, и в особенности для получения лакказ применяется, например, белая грибковая гниль, такая, как Pleurotus, Phlebia и Trametes. Многокомпонентная система согласно изобретению включает по меньшей мере один окислитель. В качестве окислителей могут применяться, например, воздух, кислород, озон, H2O2, органические пероксиды, надкислоты, такие как надуксусная кислота, надмуравьиная кислота, надсерная кислота, надазотная кислота, метахлорпероксибензойная кислота, перхлорная кислота, пербораты, перацетаты, персульфаты, пероксиды или кислородные типы и их радикалы, такие как ОН., ООН., синглетный кислород, супероксид (O2–), озонид, диоксигенил-катион (O2+), диоксираны, диоксетаны или радикалы Фреми. Предпочтительно применяют такие окислители, которые могут быть генерированы соответствующими оксидоредуктазами, например диоксиранами из лакказ и карбонилов, или которые могут химически регенерировать медиатор либо обеспечивать его прямое превращение. Изобретение относится также к применению субстанций, пригодных согласно изобретению в качестве медиаторов для модификации, разложения или отбеливания лигнина, лигнинсодержащих материалов или аналогичных веществ. Эффективность многокомпонентной системы для модификации, разложения или отбеливания лигнина, лигнинсодержащих материалов или аналогичных веществ удается во многих случаях повысить еще и при наличии наряду с указанными компонентами также ионов Mg2+. Эти ионы Mg2+ можно использовать, например, в виде соли, такой, в частности, как MgSO4. Их концентрация при этом находится в пределах 0,1-2 мг/г лигнинсодержащего материала, предпочтительно 0,2-0,6 мг/г. В некоторых случаях дальнейшего повышения эффективности многокомпонентной системы по изобретению достигают благодаря тому, что в составе этой системы наряду с ионами Mg2+ содержатся также комплексообразователи, такие, например, как этилендиаминтетрауксусная кислота (ЭДТК), диэтилентриаминпентауксусная кислота (ДТПК), гидроксиэтилендиаминтриуксусная кислота (ГЭДТК), диэтилентриаминпентаметиленфосфоновая кислота (ДТМФК), нитрилотриуксусная кислота (НТК), полифосфорная кислота (ПФК) и т.д. Их используют в концентрации от 0,2 до 5 мг/г лигнинсодержащего материала, предпочтительно 1-3 мг/г. Многокомпонентную систему по изобретению применяют в способе обработки лигнина, используя, например, следующую технологию: соответственно выбранные компоненты а) -в) согласно п. 1 формулы одновременно либо в любой последовательности смешивают с водной суспензией лигнинсодержащего материала. Способ с применением многокомпонентной системы по изобретению предпочтительно осуществляют в присутствии кислорода или воздуха при нормальном давлении до 10 бар и в диапазоне значений pH от 2 до 11, при температуре в интервале от 20 до 95oC, предпочтительно от 40 до 95oC, и плотности вещества от 0,5 до 40%. Как было установлено, применение многокомпонентной системы по изобретению в процессе отбеливания целлюлозы с использованием ферментов дает необычный и неожиданный эффект, заключающийся в том, что одновременно с повышением плотности вещества имеет место значительное снижение каппа-показателей. По соображениям экономичности способ согласно изобретению целесообразно осуществлять при плотности вещества в пределах от 8 до 35%, особенно предпочтительно от 9 до 15%. Неожиданным образом было далее установлено, что для некоторых видов целлюлозы промывка кислым соединением (значение pH 2-6, предпочтительно 4-5) или стадия набухания (значение pH 2-6, предпочтительно 4-5), проводимые перед стадией обработки системой фермент/медиатор, позволяют существенно снизить каппа-показатели по сравнению с обработкой без такой специальной предварительной операции. На стадии набухания в качестве хелатообразователей используют обычные для этих целей субстанции (такие, например, как ЭДТК, ДТПК). Их применяют предпочтительно в концентрациях от 0,1 до 1 мас.% (в пересчете на сухую целлюлозу), особенно предпочтительно от 0,1 до 0,5 мас.% (в пересчете на сухую целлюлозу). В способе согласно изобретению фермент применяют предпочтительно в дозировках от 0,01 до 100000 ME на грамм лигнинсодержащего материала. Особенно предпочтительны дозировки от 0,1 до 100 и наиболее предпочтительны от 1 до 40 ME фермента/г лигнинсодержащего материала (1 Е соответствует превращению 1 мкмоля диаммониевой соли 2,2′-азино-бис(3-этилбензотиазолин-6-сульфокислоты) (АБТС)/мин/мл фермента. В способе по изобретению окислители применяют предпочтительно в количестве от 0,01 до 100 мг на грамм лигнинсодержащего материала. Особенно предпочтительно применять 0,01-50 мг окислителя/г лигнинсодержащего материала. В способе согласно изобретению медиатор применяют предпочтительно в количестве от 0,5 до 80 мг на грамм лигнинсодержащего материала. Особенно предпочтительно применять 0,5-40 мг медиатора/г лигнинсодержащего материала. Одновременно могут добавляться восстановители, которые вместе с имеющимися окислителями служат для регулирования определенного окислительно-восстановительного потенциала. В качестве восстановителей можно использовать бисульфит натрия, дитионит натрия, аскорбиновую кислоту, тиосоединения, меркаптосоединения или глутатион и т.п. Реакция, например, в случае использования лакказы, протекает при подаче воздуха либо кислорода или при избыточном давлении кислорода, соответственно воздуха, в случае пероксидаз (например, лигнинпероксидазы, марганецпероксидазы) – с использованием пероксида водорода. При этом, например, кислород может быть генерирован in situ пероксидом водорода + каталазой, а пероксид водорода – глюкозой + глюкозооксидазой или же другими системами. Кроме того, в систему могут добавляться вещества, образующие радикалы, или поглотители радикалов (поглощение, например, OH- или OOH-радикалов). Указанные вещества могут улучшать взаимодействие между окислительно-восстановительными медиаторами и медиаторами радикалов. В реакционный раствор могут вводиться также добавки других солей металлов. Последние играют важную роль во взаимодействии с хелатообразователями в качестве веществ, образующих радикалы, или окислительно-восстановительных центров. Соли образуют в реакционном растворе катионы. Такими ионами являются, в частности, Fe2+, Fe3+, Mn2+, Mn3+, Mn4+, Cu2+, Ca2+, Ti3+, Cer4+ и Al3+. Присутствующие в растворе хелаты могут служить, кроме того, в качестве субстанций-имитаторов ферментов (псевдоферментов), например, лакказ (медные комплексы) либо лигнин- или марганецпероксидаз (гемокомплексы). Под понятием “субстанции-имитаторы” имеются в виду такие вещества, которые модулируют простетические группы (в данном случае) оксидоредуктаз и которые, например, могут катализовать реакции окисления. В реакционную смесь можно добавлять далее NaOCl. Это соединение, вступая во взаимодействие с пероксидом водорода, может образовывать синглетный кислород. И, наконец, существует также возможность работать с использованием детергентов. В качестве таковых приемлемы неионные, анионные, катионные и амфотерные тензиды (ПАВ). Эти детергенты могут способствовать более эффективному проникновению ферментов и медиаторов в волокно. Положительное воздействие на эффективность реакций могут оказывать также добавки полисахаридов и/или протеинов. Среди полисахаридов следует назвать в первую очередь глюканы, маннаны, декстраны, леваны, пектины, альгинаты или различные виды камеди и/или собственные, образуемые грибами либо продуцируемые в смешанной культуре с помощью дрожжей полисахариды, а в качестве протеинов следует назвать желатины и альбумин. Все эти вещества служат главным образом в качестве защитных коллоидов для ферментов. Из числа других протеинов, которые можно вводить в качестве добавок, можно назвать протеазы, такие, как пепсин, бромелин, папаин и т.д. Одна из целей их применения состоит, в частности, в том, чтобы за счет разложения имеющегося в древесине экстензина C, богатого гидроксипролином протеина, обеспечить более легкий доступ к лигнину. В качестве других защитных коллоидов могут рассматриваться аминокислоты, простой сахар, олигомерный сахар, типы полиэтиленгликоля с самой разной молекулярной массой, полиэтиленоксиды, полиэтиленимины и полидиметилсилоксаны. Способ по изобретению может применяться не только для делигнификации (отбеливания) сульфатной, сульфитной, органозольной или другой целлюлозы и древесной массы, но также в принципе во всех процессах производства целлюлозы, будь то при использовании древесных пород или однолетних растений, при условии, что при этом обеспечивается фибриллирование, достигаемое обычными методами варки (с возможным сочетанием с механическими способами или под давлением), иными словами, варка в высшей степени в щадящих условиях, при которых каппа-показатели могут находиться в диапазоне от порядка 50 до 120. При отбеливании целлюлозы, равно как и при получении целлюлозы, указанную обработку можно осуществлять повторно несколько раз, проводя ее либо после промывки и экстракции обработанного материала NaOH, либо без этих промежуточных операций. Такая технология обеспечивает дальнейшее существенное снижение каппа-показателей и значительное повышение степени белизны. Возможно также перед обработкой системой фермент/медиатор включить O2-стадию или же, как указывалось выше, проводить промывку кислым соединением либо стадию набухания (хелатная стадия). Ниже изобретение более подробно поясняется на примерах его осуществления. Пример 1 Ферментативное отбеливание сульфатной целлюлозы из мягкой древесины с помощью 8-гидрокси-5-нитрозохинолина 5 г абсолютно сухой целлюлозы (мягкодревесная, O2, делигнифицированная), плотность вещества 30% (приблизительно 17 г во влажном состоянии) добавляют в следующие растворы: А) 20 мл водопроводной воды смешивают при перемешивании с 65,3 мг 8-гидрокси-5-нитрозохинолина, значение pH устанавливают с помощью раствора 0,5 моля/л H2SO4 таким образом, что после добавления целлюлозы и фермента получают в результате pH 4,5. Б) 5 мл водопроводной воды смешивают с таким количеством лакказы Trametes versicolor, которое дает в результате активность, равную 15 Е (1 Е соответствует превращению 1 мкмоля АБТС/мин/мл фермента) на грамм целлюлозы. Затем оба раствора А и Б объединяют и доливают до объема 33 мл. После добавления целлюлозы перемешивают в течение 2 мин с помощью тестомесилки. После этого материал помещают в предварительно нагретый до 45oC автоклав, где его выдерживают при повышенном давлении кислорода 1-10 бар в течение 1-4 часов. Затем материал промывают, пропуская через нейлоновое сито (размер ячеек 30 мкм), после чего экстрагируют в течение 1 часа при 60oC, плотности вещества 2% и 8% NaOH/г целлюлозы. По завершении повторной промывки определяют каппа-показатель. Результат представлен в таблице 1. Пример 2 Ферментативное отбеливание сульфатной целлюлозы из мягкой древесины с помощью 2,4-дигидрокси-5-нитрозопиридина 5 г абсолютно сухой целлюлозы (мягкодревесная, O2, делигнифицированная), плотность вещества 30% (приблизительно 17 г во влажном состоянии) добавляют в следующие растворы: А) 20 мл водопроводной воды смешивают при перемешивании с 61,2 мг 2,4-дигидрокси-5-нитрозопиридина, значение pH устанавливают с помощью раствора 0,5 моля/л H2SO4 таким образом, что после добавления целлюлозы и фермента получают в результате pH 4,5. Б) 5 мл водопроводной воды смешивают с таким количеством лакказы Trametes versicolor, которое дает в результате активность, равную 15 Е (1 Е соответствует превращению 1 мкмоля АБТС/мин/мл фермента) на грамм целлюлозы. Затем оба раствора А и Б объединяют и доливают до объема 33 мл. После добавления целлюлозы перемешивают в течение 2 мин с помощью тестомесилки. После этого материал помещают в предварительно нагретый до 45oC автоклав, где его выдерживают при повышенном давлении кислорода 1-10 бар в течение 1-4 часов. Затем материал промывают, пропуская через нейлоновое сито (размер ячеек 30 мкм), после чего экстрагируют в течение 1 часа при 60oC, плотности вещества 2% и 8% NaOH/г целлюлозы. По завершении повторной промывки определяют каппа-показатель. Результат представлен в таблице. Пример 3 Ферментативное отбеливание сульфатной целлюлозы из мягкой древесины с помощью 3-гидрокси-2-меркаптопиридина 5 г абсолютно сухой целлюлозы (мягкодревесная, O2, делигнифицированная), плотность вещества 30% (приблизительно 17 г во влажном состоянии) добавляют в следующие растворы: А) 20 мл водопроводной воды смешивают при перемешивании с 47,7 мг 3-гидрокси-2-меркаптопиридина, значение pH устанавливают с помощью раствора 0,5 моля/л H2SO4 таким образом, что после добавления целлюлозы и фермента получают в результате pH 4,5. Б) 5 мл водопроводной воды смешивают с таким количеством лакказы Trametes versicolor, которое дает в результате активность, равную 15 Е (1Е соответствует превращению 1 мкмоля АБТС/мин/мл фермента) на грамм целлюлозы. Затем оба раствора А и Б объединяют и доливают до объема 33 мл. После добавления целлюлозы перемешивают в течение 2 мин с помощью тестомесилки. После этого материал помещают в предварительно нагретый до 45oC автоклав, где его выдерживают при повышенном давлении кислорода 1-10 бар в течение 1-4 часов. Затем материал промывают, пропуская через нейлоновое сито (размер ячеек 30 мкм), после чего экстрагируют в течение 1 часа при 60oC, плотности вещества 2% и 8% NaOH/г целлюлозы. По завершении повторной промывки определяют каппа-показатель. Результат представлен в таблице. Пример 4 Ферментативное отбеливание сульфатной целлюлозы из мягкой древесины с помощью 2,6-дигидрокси-3-нитрозопиридин-4-карбоновой кислоты 5 г абсолютно сухой целлюлозы (мягкодревесная, O2, делигнифицированная), плотность вещества 30% (приблизительно 17 г во влажном состоянии) добавляют в следующие растворы: А) 20 мл водопроводной воды смешивают при перемешивании с 69,1 мг 2,6-дигидрокси-3-нитрозопиридин-4-карбоновой кислоты, значение pH устанавливают с помощью раствора 0,5 моля/л H2SO4 таким образом, что после добавления целлюлозы и фермента получают в результате pH 4,5. Б) 5 мл водопроводной воды смешивают с таким количеством лакказы Trametes versicolor, которое дает в результате активность, равную 15 Е (1Е соответствует превращению 1 мкмоля АБТС/мин/мл фермента) на грамм целлюлозы. Затем оба раствора А и Б объединяют и доливают до объема 33 мл. После добавления целлюлозы перемешивают в течение 2 мин с помощью тестомесилки. После этого материал помещают в предварительно нагретый до 45oC автоклав, где его выдерживают при повышенном давлении кислорода 1-10 бар в течение 1-4 часов. Затем материал промывают, пропуская через нейлоновое сито (размер ячеек 30 мкм), после чего экстрагируют в течение 1 часа при 60oC, плотности вещества 2% и 8% NaOH/г целлюлозы. По завершении повторной промывки определяют каппа-показатель. Результат представлен в таблице. Пример 5 Ферментативное отбеливание сульфатной целлюлозы из мягкой древесины с помощью 2,6-диамино-3-нитрозопиридина 5 г абсолютно сухой целлюлозы (мягкодревесная, O2, делигнифицированная), плотность вещества 30% (приблизительно 17 г во влажном состоянии) добавляют в следующие растворы: А) 20 мл водопроводной воды смешивают при перемешивании с 51,8 мг 2,6-диамино-3-нитрозопиридина, значение pH устанавливают с помощью раствора 0,5 моля/л H2SO4 таким образом, что после добавления целлюлозы и фермента получают в результате pH 4,5. Б) 5 мл водопроводной воды смешивают с таким количеством лакказы Trametes versicolor, которое дает в результате активность, равную 15 Е (1 Е соответствует превращению 1 мкмоля АБТС/мин/мл фермента) на грамм целлюлозы. Затем оба раствора А и Б объединяют и доливают до объема 33 мл. После добавления целлюлозы перемешивают в течение 2 мин с помощью тестомесилки. После этого материал помещают в предварительно нагретый до 45oC автоклав, где его выдерживают при повышенном давлении кислорода 1-10 бар в течение 1-4 часов. Затем материал промывают, пропуская через нейлоновое сито (размер ячеек 30 мкм), после чего экстрагируют в течение 1 часа при 60oC, плотности вещества 2% и 8% NaOH/г целлюлозы. По завершении повторной промывки определяют каппа-показатель. Результат представлен в таблице. Пример 6 Ферментативное отбеливание сульфатной целлюлозы из мягкой древесины с помощью 2,6-дигидрокси-3-нитрозопиридина 5 г абсолютно сухой целлюлозы (мягкодревесная, O2, делигнифицированная), плотность вещества 30% (приблизительно 17 г во влажном состоянии) добавляют в следующие растворы: А) 20 мл водопроводной воды смешивают при перемешивании с 52,6 мг 2,6-дигидрокси-3-нитрозопиридина, значение pH устанавливают с помощью раствора 0,5 моля/л H2SO4 таким образом, что после добавления целлюлозы и фермента получают в результате pH 4,5. Б) 5 мл водопроводной воды смешивают с таким количеством лакказы Trametes versicolor, которое дает в результате активность, равную 15 Е (1 Е соответствует превращению 1 мкмоля АБТС/мин/мл фермента) на грамм целлюлозы. Затем оба раствора А и Б объединяют и доливают до объема 33 мл. После добавления целлюлозы перемешивают в течение 2 мин с помощью тестомесилки. После этого материал помещают в предварительно нагретый до 45oC автоклав, где его выдерживают при повышенном давлении кислорода 1-10 бар в течение 1-4 часов. Затем материал промывают, пропуская через нейлоновое сито (размер ячеек 30 мкм), после чего экстрагируют в течение 1 часа при 60oC, плотности вещества 2% и 8% NaOH/г целлюлозы. По завершении повторной промывки определяют каппа-показатель. Результат представлен в таблице. Пример 7 Ферментативное отбеливание сульфатной целлюлозы из мягкой древесины с помощью 2,4-дигидрокси-3-нитрозохинолина 5 г абсолютно сухой целлюлозы (мягкодревесная, O2, делигнифицированная), плотность вещества 30% (приблизительно 17 г во влажном состоянии) добавляют в следующие растворы: А) 20 мл водопроводной воды смешивают при перемешивании с 71,3 мг 2,4-дигидрокси-3-нитрозохинолина, значение pH устанавливают с помощью раствора 0,5 моля/л H2SO4 таким образом, что после добавления целлюлозы и фермента получают в результате pH 4,5. Б) 5 мл водопроводной воды смешивают с таким количеством лакказы Trametes versicolor, которое дает в результате активность, равную 15 Е (1Е соответствует превращению 1 мкмоля АБТС/мин/мл фермента) на грамм целлюлозы. Затем оба раствора А и Б объединяют и доливают до объема 33 мл. После добавления целлюлозы перемешивают в течение 2 мин с помощью тестомесилки. После этого материал помещают в предварительно нагретый до 45oC автоклав, где его выдерживают при повышенном давлении кислорода 1-10 бар в течение 1-4 часов. Затем материал промывают, пропуская через нейлоновое сито (размер ячеек 30 мкм), после чего экстрагируют в течение 1 часа при 60oC, плотности вещества 2% и 8% NaOH/г целлюлозы. По завершении повторной промывки определяют каппа-показатель. Результат представлен в таблице. Формула изобретения
![]() ![]() ![]() а также их таутомеры, соли, простые или сложные эфиры, причем в формулах I, II или III два находящихся по отношению друг к другу в орто- либо пара-положении остатка R1 представляют собой гидрокси- и нитрозогруппу либо гидрокси- и меркаптогруппу либо нитрозо- и аминогруппу, а остальные остатки R1 являются идентичными или разными и выбраны из группы, включающей водород, галоген, гидрокси-, меркаптогруппу, формил, цианогруппу, карбамоил, карбоксигруппу, эфиры и соль последней, сульфогруппу, эфиры и соль последней, сульфамоил, нитро-, нитрозо-, аминогруппу, фенил, арил-C1 – C5алкил, C1 – C12алкил, C1 – C5алкоксигруппу, C1 – C10карбонил, карбонил-C1 – C6алкил, фосфо-, фосфоно-, фосфонооксигруппу, эфиры и соль последней, и причем карбамоил, сульфамоил, амино-, меркаптогруппа и фенил могут быть незамещенными либо одно- или многократно замещены остатком R2, а арил-C1 – C5алкил, C1 – C12алкил, C1 – C5алкоксигруппа, C1 – C10карбонил, карбонил-C1 – C6алкил могут быть насыщенными или ненасыщенными, разветвленными или неразветвленными и могут быть одно- или многократно замещены остатком R2, причем R2 имеет идентичные либо разные значения и представляет собой гидроксигруппу, формил, циано-, карбоксигруппу, эфиры или соль последней, карбамоил, сульфогруппу, сульфамоил, нитро-, нитрозо-, аминогруппу, фенил, C1 – C5алкил, C1 – C5алкоксигруппу или C1 – C5алкилкарбонил и соответственно два остатка R1 либо два остатка R2 либо R1 и R2 могут быть попарно соединены мостиком [-CR3R4-] m, где m равно 1, 2, 3 или 4, и R3 и R4 имеют идентичные либо разные значения и представляют собой карбоксигруппу, эфиры или соль последней, фенил, C1 – C5алкил, C1 – C5алкоксигруппу или C1 – C5алкилкарбонил и одна или несколько несмежных групп [-CR3R4-] могут быть заменены на кислород, серу или на необязательно замещенную C1 – C5алкилом иминогруппу, а две смежные группы [-CR3R4-] могут быть заменены на группу [-CR3=R4-]. 3. Многокомпонентная система по любому из п.1 или 2, отличающаяся тем, что в качестве медиатора используют по меньшей мере одно соединение, выбранное из группы, включающей 2,6-дигидрокси-3-нитрозопиридин, 2,3-дигидрокси-4-нитрозопиридин, 2,6-дигидрокси-3-нитрозопиридин-4-карбоновую кислоту, 2,4-дигидрокси-3-нитрозопиридин, 3-гидрокси-2-меркаптопиридин, 2-гидрокси-3-меркаптопиридин, 2,6-диамино-3-нитрозопиридин, 2,6-диамино-3-нитрозопиридин-4-карбоновую кислоту, 2-гидрокси-3-нитрозопиридин, 3-гидрокси-2-нитрозопиридин, 2-меркапто-3-нитрозопиридин, 3-меркапто-2-нитрозопиридин, 2-амино-3-нитрозопиридин, 3-амино-2-нитрозопиридин, 2,4-дигидрокси-3-нитрозохинолин, 8-гидрокси-5-нитрозохинолин, 2,3-дигидрокси-4-нитрозохинолин, 3-гидрокси-4-нитрозохинолин, 4-гидрокси-3-нитрозохинолин, 8-гидрокси-5-нитрозоизохинолин, а также таутомеры этих соединений. 4. Многокомпонентная система по любому из пп.1 – 3, отличающаяся тем, что в качестве медиатора используют по меньшей мере одно соединение, выбранное из группы, включающей 2,6-дигидрокси-3-нитрозопиридин, 2,6-диамино-3-нитрозопиридин, 2,6-дигидрокси-3-нитрозопиридин-4-карбоновую кислоту, 2,4-дигидрокси-3-нитрозопиридин, 2-гидрокси-3-меркаптопиридин, 2-меркапто-3-пиридинол, 2,4-дигидрокси-3-нитрозохинолин, 8-гидрокси-5-нитрозохинолин, 2,3-дигидрокси-4-нитрозохинолин, а также таутомеры этих соединений. 5. Многокомпонентная система по любому из пп.1 – 4, отличающаяся тем, что в качестве фермента применяют лакказу. 6. Многокомпонентная система по любому из пп.1 – 5, отличающаяся тем, что в качестве окислителя применяют воздух, кислород, озон, H2O2, органические пероксиды, надкислоты, такие, как надуксусная кислота, надмуравьиная кислота, надсерная кислота, надазотная кислота, метахлорпероксибензойная кислота, перхлорная кислота, пербораты, перацетаты, персульфаты, пероксиды или типы кислорода и их радикалы, такие, как OH , OOH , синглетный кислород, супероксид (O2 ), озонид, диоксигенил-катион (O2+), диоксираны, диоксетаны или радикалы Фреми.
7. Способ обработки лигнина, отличающийся тем, что соответствующие компоненты а), б) и в), указанные в п.1, одновременно или в любой последовательности смешивают с водной суспензией лигнинсодержащего материала.
8. Применение медиаторов, указанных в п.1 в качестве компонента в), для модификации, разложения или отбеливания лигнина, лигнинсодержащих материалов или аналогичных веществ.
РИСУНКИ
MM4A Досрочное прекращение действия патента Российской Федерации на изобретение из-за неуплаты в установленный срок пошлины за поддержание патента в силе
Дата прекращения действия патента: 06.12.2001
Номер и год публикации бюллетеня: 14-2004
Извещение опубликовано: 20.05.2004
|
||||||||||||||||||||||||||

-маннозидазы).
Назначение этих ферментов состоит главным образом в том, чтобы воздействовать на повторно выпавший в осадок ксилан, который после варки частично блокирует доступ к остаточному лигнину, и за счет разложения этого ксилана обеспечить используемым на последующих стадиях отбеливания химикатам (прежде всего диоксиду хлора) более свободный доступ к лигнину.
Хотя в лабораторных условиях и удалось добиться экономии используемых при отбеливании химикатов, в промышленном масштабе этот фактор признан лишь как условно подтвержденный и, таким образом, указанный тип ферментов в любом случае можно применять в качестве отбеливающей добавки.
В качестве кофактора наряду с лигнолитическими ферментами приемлемы хелатные субстанции (сидерофоры, такие как оксалат аммония) и биотензиды (биоПАВ).
В заявке PCT/EP87/00635 описывается система для удаления лигнина из лигнинцеллюлозосодержащего материала при одновременном проведении процесса отбеливания, в которой используют лигнолитические ферменты из белой грибковой гнили с добавлением окислительно-восстановительных агентов и фенольных соединений в качестве медиаторов.
В DE 4008893 C2 в дополнение к окислительно-восстановительной системе вводят добавки “субстанций-имитаторов”, модулирующих активный центр (простетические группы) лигнолитических ферментов. Благодаря этому удалось добиться существенного повышения эффективности процесса.
Согласно заявке PCT/EP92/01086 предлагается дополнительное усовершенствование, предусматривающее применение окислительно-восстановительного каскада, в котором используются “согласованные” по их окислительному потенциалу фенольные или нефенольные ароматические соединения.
Возможности реализации всех трех вышеописанных способов в промышленном масштабе ограничены применением веществ с низкой плотностью (до максимально 4%), а согласно двум последним из указанных заявок к тому же и опасностью “выщелачивания” металлов, обусловленной использованием хелатных соединений, которые, прежде всего при проведении последующих стадий отбеливания с применением пероксида, могут способствовать разрушению последнего.
Из международных заявок WO 94/12619, WO 94/12620 и WO 94/12621 известны способы, в которых активность пероксидазы повышают за счет использования так называемых субстанций-усилителей.
В WO 94/12619 эти субстанции-усилители охарактеризованы периодом их полураспада.
Согласно WO 94/12620 субстанции-усилители представлены формулой A=N-N=B, где A и B каждый обозначает соответствующие циклические остатки.
Согласно WO 94/12620 субстанции-усилители представляют собой органические вещества, содержащие по меньшей мере два ароматических кольца, по меньшей мере одно из которых замещено соответствующими остатками.
Все три указанные заявки относятся к “ингибированию переноса красителя” и к применению соответствующих субстанций-усилителей совместно с пероксидазой в качестве детергентной добавки или детергентной композиции, используемых для изготовления моющих средств. И хотя в описании указывается на возможность их применения для обработки лигнина, наши собственные опыты с заявленными в упомянутых публикациях веществами показали, что последние не оказывают в качестве медиаторов никакого влияния на повышение пероксидазами эффективности отбеливания при обработке лигнинсодержащих материалов.
В WO 94/29510 описан способ ферментативной делигнификации, в котором применяют ферменты совместно с медиаторами. В качестве медиаторов предлагается использовать в основном соединения со структурой NO-, NOH- или HRNOH. Из представленных в указанной заявке медиаторов наилучшие результаты при делигнификации достигают с помощью 1-гидрокси-1H-бензотриазола (ГБТ). Однако ГБТ присущи существенные недостатки.
Во-первых, это дорогостоящий продукт и не выпускается в достаточных количествах. Во-вторых, он реагирует в условиях делигнификации, превращаясь в 1H-бензотриазол. А это соединение относительно плохо поддается разложению и в больших количествах может представлять значительную опасность для окружающей среды. Далее, в определенной степени он оказывает негативное воздействие на ферменты. И, наконец, скорость его делигнификации не слишком высока.
Поэтому целесообразно разработать такую систему для модификации, разложения или отбеливания лигнина, лигнинсодержащих материалов или аналогичных веществ, которая не имела бы указанных недостатков или имела бы их лишь в незначительной степени.
С учетом вышеизложенного настоящее изобретение относится к много компонентной системе для модификации, разложения или отбеливания лигнина, лигнинсодержащих материалов или аналогичных веществ, содержащая



, OOH