Патент на изобретение №2154644
|
||||||||||||||||||||||||||
(54) ЗАМЕЩЕННЫЕ ПРОИЗВОДНЫЕ ПИРАЗОЛА И СРЕДСТВО, ОБЛАДАЮЩЕЕ ГЕРБИЦИДНОЙ АКТИВНОСТЬЮ
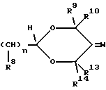
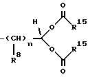
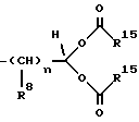
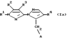
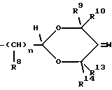
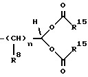
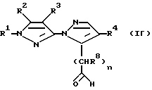
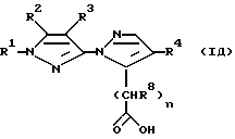
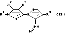
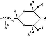
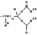
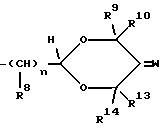
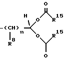
(57) Реферат: Описываются новые замещенные производные пиразола общей формулы (I), где R1 – алкил с 1-4 атомами углерода, R2 – алкилтиогруппа с 1-4 атомами углерода или алкилоксил с 1-4 атомами углерода, незамещенные или замещенные одним или несколькими атомами галогена; R1 и R2 образуют вместе группу -(CH2)m-; R3 – водород или галоген; R4 – водород, нитро, циано, или группа -C(O)NH2; R5 – группы -C(=Y)-R6, -CH2-CH(R3)-COOR7, где R6 означает водород, алкил с 1-6 атомами углерода, незамещенный или замещенный одним или несколькими одинаковыми или различными заместителями из группы, включающей галоген, гидроксил, или группу OR16, где R16 означает водород, алкил с 1-6 атомами углерода, замещенный одним или несколькими одинаковыми или различными заместителями из группы, включающей галоген и алкоксил с 1-4 атомами углерода; Y – кислород, группы -N-OR17 и -C-(R18)-R19, где R17 означает водород, алкил с 1-6 атомами углерода, алкенил с 2-6 атомами углерода, алкинил с 3-6 атомами углерода, алкоксикарбонил-алкил с 1-4 атомами углерода в алкоксикарбонильной части и с 1-4 атомами углерода в алкильной части, который дополнительно может быть замещен атомами галогена; R18 и R19 каждый независимо друг от друга водород, галоген, цианогруппа, алкил с 1-6 атомами углерода, алкенил с 2-6 атомами углерода, алкоксикарбонил-алкил с 1-4 атомами углерода в алкоксикарбонильной части и с 1-4 атомами углерода в алкильной части, который дополнительно может быть замещен атомами галогена; R7 – алкил с 1-4 атомами углерода, а R3 имеет вышеуказанное значение или группы (а), (в), (с), (d), где R8 означает водород или алкил с 1-4 атомами углерода; R9, R10, R11, R12, R13 и R14 каждый независимо друг от друга водород, галоген, алкил с 1-4 атомами углерода, незамещенный или замещенный галоидом, алкил с 1-4 атомами углерода и алкоксикарбонил с 1-4 атомами углерода, замещенные одним или несколькими одинаковыми или различными заместителями из группы, включающей гидроксил и алкоксил с 1-4 атомами углерода; R15– алкил с 1-4 атомами углерода; m = 3 или 4; n = 0, 1, 2 или 3; p = 0 или 1; X – кислород или сера; Z – кислород или сера; W – кислород или углерод; соединения обладают гербицидной активностью. Описывается также гербицидное средство на основе соединений формулы. 2 с. и 3 з.п. ф-лы, 2 табл. ![]() ![]() ![]() ![]()
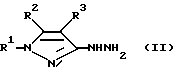
Изобретение относится к новым азотсодержащим гетероциклическим соединениям с биологической активностью, в частности к замещенным производным пиразола и средству, обладающему гербицидной активностью. Известны производные пиразола, обладающие гербицидной активностью (см. заявку WO 94/08999, МКИ: С 07 D 471/04, A 01 N 43/56, 28.04.1994 г.). Задачей изобретения является расширение ассортимента производных пиразола, которые могут представлять собой активное вещество средства, обладающего гербицидной активностью. Поставленная задача решается предлагаемыми замещенными производными пиразола общей формулы (I) ![]() в которой R1 – алкил с 1-4 атомами углерода, R2-алкилтио-группа с 1-4 атомами углерода или алкилоксил с 1-4 атомами углерода, незамещенные или замещенные одним или несколькими атомами галогена, R1 и R2 образуют вместе группу -(CH2)m-, R3 – водород или галоген, R4 – водород, нитро, циано, или группа -С(O)NH2, R5 – группы ![]() ![]() где R6 означает водород, алкил с 1-6 атомами углерода, незамещенный или замещенный одним или несколькими одинаковыми или различными заместителями из группы, включающей галоген, гидроксил, или группу OR16, где R16 означает водород, алкил с 1-6 атомами углерода, замещенный одним или несколькими одинаковыми или различными заместителями из группы, включающей галоген и алкоксил с 1-4 атомами углерода, Y-кислород, группы -N-OR17 или ![]() где R17 означает водород, алкил с 1-6 атомами углерода, алкенил с 2-6 атомами углерода, алкинил с 3-6 атомами углерода, алкоксикарбонил-алкил с 1-4 атомами углерода в алкоксикарбонильной части и с 1-4 атомами углерода в алкильной части, который дополнительно может быть замещен атомами галогена, R18 и R19 каждый независимо друг от друга водород, галоген, циано-группа, алкил с 1-6 атомами углерода, алкенил с 2-6 атомами углерода, алкоксикарбонил-алкил с 1-4 атомами углерода в алкоксикарбонильной части и с 1-4 атомами углерода в алкильной части, который дополнительно может быть замещен атомами галогена, R7 алкил с 1 – 4 атомами углерода, a R3 имеет вышеуказанное значение, или группы ![]() ![]() ![]() ![]() где R8 означает водород или алкил с 1-4 атомами углерода, R9, R10, R11, R12, R13 и R14 каждый независимо друг от друга водород, галоген, алкил с 1-4 атомами углерода, незамещенный или замещенный галоидом, алкил с 1-4 атомами углерода и алкоксикарбонил с 1 – 4 атомами углерода, замещенные одним или несколькими одинаковыми или различными заместителями из группы, включающей гидроксил и алкоксил с 1-4 атомами углерода; R15 – алкил с 1-4 атомами углерода. m = 3 или 4, n = 0, 1, 2 или 3, p = 0 или 1, X – кислород или сера, Z – кислород или сера, W- кислород или углерод. В первую группу предпочтительных замещенных производных пиразола общей формулы (I) входят соединения, у которых R1 – метил, R2 – метилтио или дифторметоксил, R1 и R2 вместе означают группу -(CH2)4-, R3 – водород, хлор или бром, R4 – водород, нитро, циано или группа -C(O)NH2, R5 – группы ![]() ![]() где R6 означает водород, алкил с 1-6 атомами углерода или группу -OR16, где R16 означает водород, алкил с 1-6 атомами углерода, незамещенный или замещенный одним или несколькими одинаковыми или различными заместителями из группы, включающей галоген и алкоксил с 1-4 атомами углерода, Y – кислород, группы -N-OR17 или ![]() R17 означает водород, алкил с 1-6 атомами углерода, алкенил с 2-6 атомами углерода, алкинил с 3-6 атомами углерода, алкоксикарбонил-алкил с 1-4 атомами углерода в алкоксикарбонильной части и с 1-4 атомами углерода в алкильной части, который может быть замещен атомами галогена, R18 и R19 каждый независимо друг от друга водород, галоген, циано, алкил с 1-6 атомами углерода, алкенил с 2-6 атомами углерода, алкоксикарбонил-алкил с 1-4 атомами углерода в алкоксикарбонильной части и с 1-4 атомами углерода в алкильной части, который может быть замещен атомами галогена: алкоксил с 1-4 атомами углерода, R7 – водород или алкил с 1-4 атомами углерода, a R3 имеет вышеуказанное значение, или группы ![]() ![]() ![]() ![]() где R8 означает водород или алкил с 1-4 атомами углерода, R9, R10, R11, R12, R13 и R14 каждый независимо друг от друга водород, алкил с 1-4 атомами углерода или алкоксикарбонил с 1-4 атомами углерода, замещенные одним или несколькими одинаковыми или различными заместителями из группы, включающей гидроксил и алкоксил с 1-4 атомами углерода, R15 – алкил с 1-4 атомами углерода, m = 3 или 4, n = 0, 1, 2 или 3, p = 0 или 1, X – кислород или сера, Z – кислород или сера, W – кислород или углерод. Во вторую группу предпочтительных замещенных производных пиразола общей формулы (I) входят соединения, у которых R1 – метил, R2 – дифторметокси, R1 и R2 вместе образуют группу -(CH2)4-, R3 – хлор, R4 – нитро или циано, R5 – группа ![]() где R6 означает водород или группу -OR16, где R16 означает алкил с 1-6 атомами углерода, Y – кислород, группы -N-OR17 или ![]() где R17 означает алкил с 1-6 атомами углерода, R18 и R19 каждый независимо друг от друга водород, галоген, или группа ![]() где R8 означает водород, R9, R10, R11, R12, R13 и R14 каждый независимо друг от друга водород, алкил с 1-4 атомами углерода, алкоксикарбонил-алкил с 1-4 атомами углерода в алкоксикарбонильной части и с 1-4 атомами углерода в алкильной части или галоидалкил с 1-4 атомами углерода, n = 0, p = 0 или 1, X – кислород. Соединения вышеприведенной общей формулы (I) могут быть получены следующим образом: А) Соединение общей формулы (II) ![]() в которой R1, R2 и R3 имеют вышеуказанные значения, подвергают взаимодействию с соединением общей формулы (III) ![]() в которой R4 означает группу -COOR7, где R7 имеет вышеуказанное значение, или группу -C(O)NH2, R5 имеет вышеуказанные значения за исключением формильной группы, а В означает группу -OR16 или ![]() где R16, R17, и R18 каждый независимо друг от друга означает алкил с 1-4 атомами углерода, или Б) в случае, когда R5 обозначает формильную группу, соединение общей формулы (Iа) ![]() в которой R1, R2, R3 и R4 имеют вышеуказанные значения и А обозначает водород, галоген, гидроксил, алкил- или арил-сульфонильную группу, подвергают взаимодействию с подходящим окислителем, или В) в случае, когда R5 обозначает группу -CYR6, где R6 имеет вышеуказанные значения, Y означает кислород, в соединение общей формулы (Iб) ![]() в которой R1, R2, R3 и R4 имеют вышеуказанные значения, вводят ион металла реакцией с соответствующими основаниями и затем осуществляют взаимодействие с ацильным соединением общей формулы (IV) или (V) ![]() ![]() в которой R6 имеет вышеуказанное значение, a D означает хлор, бром, группу -OR20 или ![]() где R20 , R21 и R22 имеют вышеуказанные значения, при этом если R6 означает водород, то D означает группу -OR20 или ![]() или Г) в случае, когда R5 означает группу ![]() в которой R6 имеет вышеуказанное значение, a Y означает группу -N-OR17, в которой R17 имеет вышеуказанные значения соединение общей формулы (Iв) ![]() в которой R1, R2, R3, R4 и R6 имеют вышеуказанные значения, подвергают взаимодействию с соединением общей формулы (VI) H2N – OR17, (VI) в которой R17 имеет вышеуказанные значения или Д) в случае, когда R5 означает группу ![]() в которой R6 имеет вышеуказанные значения, а Y означает группу ![]() где R18 и R19 имеют вышеуказанные значения, соединение общей формулы (Iв) ![]() в которой R1, R2, R3, R4 и R6 имеют вышеуказанные значения, подвергают взаимодействию с соединением общей формулы (VII) или (VIII) ![]() ![]() в которой R18 и R19 имеют вышеуказанные значения, а R23 означает алкил с 1 – 4 атомами углерода, или Е) в случае, когда R5 означает одну из групп ![]() ![]() ![]() в которых R8, R9, R10, R11, R12, R13, R14, R15, n, p и W имеют вышеуказанные значения? соединение общей формулы (Iг) ![]() в которой R1, R2, R3, R4, R8 и n имеют вышеуказанные значения, подвергают взаимодействию с соединением общей формулы (IX), (X) или (XI) ![]() ![]() ![]() в которых R9, R10, R11, R12, R13, R14, R15, p и W имеют вышеуказанные значения, или Ж) в случае, когда R5 означает группу ![]() в которой R8, R9, R10, R11, R12, R13, R14, n и p имеют вышеуказанные значения, соединение общей формулы (Iд) ![]() в которой R1, R2, R3, R4, R8 и n имеют вышеуказанные значения, подвергают взаимодействию с соединением общей формулы (XII) ![]() в которой R9, R10, R11, R12, R13, R14, Z и p имеют вышеуказанные значения, или З) соединение общей формулы (Iе) ![]() в которой R1, R2, R3 и R4 имеют вышеуказанные значения, сначала диазотируют с получением соединения общей формулы (Iж) ![]() в которой R1, R2, R3 и R4 имеют вышеуказанные значения, и затем подвергают взаимодействию с акцептором Михаеля общей формулы (XIII) ![]() в которой R24 и R25 каждый независимо друг от друга означают водород, алкил с 1-4 атомами углерода или галоген, и R26 означает алкил с 1-4 атомами углерода, или И) соединение вышеуказанной формулы (Iд) этерифицируют со спиртом общей формулы (XIV) R16 – OH, (XIV) в которой R16 имеет вышеуказанное значение. Соединения общей формулы (I), в которой R4 означает группу -C(O)NH2, могут быть получены по способу, описанному в журнале “Tetrahedron”, т. 29, 435 (1973). Окисление в соответствии со способом по варианту Б) можно осуществлять так, как описано, например, в книге Хоубен-Вейль, т. VII, 1, стр. 135 и далее (1954) или т. E 3, стр. 231 и далее (1983). Соединения общей формулы (Iа), которые используются как исходные, являются известными из вышеприведенной заявки WO 94/08 999. Способ по варианту В) эффективно осуществляется путем реакции исходного вещества формулы (Iб) в соответствующем растворителе при температуре от -100 до +40oC с соответствующим основанием для получения соединения общей формулы (Iз) ![]() в которой R1, R2, R3 и R5 имеют вышеуказанные значения и металл означает катион металла, например такой, как литий, натрий или калий. Промежуточное соединение формулы (Iз) непосредственно, т.е. без какой-либо дополнительной обработки, реагирует с соединением по формуле (IV) или (V) при температуре от -100 до +100 С.
Подходящими растворителями могут быть эфиры, такие как, например, диэтиловый эфир, тетрагидрофуран или 1,4-диоксан.
В качестве оснований можно указать бутиллитий, диизопропиламидлитий, гидрид натрия или третичный бутилат калия.
Известны соединения общей формулы (Iб), которые используются как исходные вещества. Их получение описано в вышеприведенной заявке WO 94/08 999.
Соединения, применяемые в варианте Д) способа могут быть получены по методике, описанной в книге Advanced Organic Chemistry, 1985, стр. 864 и далее и в литературе, на которую в ней сделаны ссылки.
Соединения по настоящему изобретению, соответствующие варианту Ж) способа, могут быть получены с помощью методики, описанной в статье A.I. Meyers в журнале “J. Am. Chem. Soc.”, т. 92, стр. 6644, (1970 г.).
Вещества, соответствующие варианту З) способа могут быть получены в соответствии с методикой, описанной в патенте США 5 250 504.
Этерификация по варианту И) способа широко известна и может быть выполнена в соответствии с обычными способами, такими как, например способы описанные в книге Хоубен-Вейль, т. Е5, стр. 659 и далее (1985).
Вышеприведенные реакции могут осуществляться в присутствии растворителей или без них, для чего, если необходимо, могут использоваться такие растворители или разбавители, которые являются инертными по отношению к используемым реагентам. Примерами таких растворителей или разбавителей, соответственно, являются алифатические и ароматические углеводороды, каждый из которых может быть дополнительно хлоринирован, такие как, например, гексан, циклогексан, петролейный эфир, уайт-спирит, бензол, толуол, ксилен, метиленхлорид, хлороформ, четыреххлористый углерод, этиленхлорид, трихлороэтилен и хлоробензол; простые эфиры, такие как, например, диэтиловый эфир, метиловый эфир, метил-трет.бутиловый эфир, диизопропиловый эфир, дибутиловый эфир, диоксан и тетрогидрофуран; кетоны, такие как, например, ацетон, метилэтилкетон, метилизопропилкетон, метилизобутилкетон; нитрилы, такие как, например, ацетонитрил и пропионитрил; спирты, такие как, например метанол, этанол, изопропанол, бутанол, трет.бутанол, трет.амиловый спирт и этиленгликоль; сложные эфиры, такие как, например, этилацетат и амилацетат, кислотные амиды, такие как, например, диметилформамид и диметилацетамид, сульфоксиды, такие как, например, диметилсульфоксид, сульфоны, такие, как например, сульфолан, основания такие как, например, пиридин и триэтиламин, карбоновые кислоты, такие, как например, уксусная кислота; минеральные кислоты, такие как, например, серная кислота и соляная кислота.
Получаемые в результате вышеприведенных реакций соединения очищаются обычными методами, например, путем кристаллизации или хроматографии.
Соединения в соответствии с настоящим изобретением в общем случае представляют собой бесцветные или имеющие легкую желтую окраску кристаллические или вязкие вещества, которые в основном легко растворяются в хлорированных углеводородах, таких как, например, метиленхлорид или хлороформ, простых эфирах, таких как, например, диэтиловый эфир или тетрагидрофуран, спиртах, таких как, например, метанол или этанол, кетонах таких как, например, ацетон или бутанон, амидах таких как, например, диметилформамид, а также сульфоксидах таких как, например, диметилсульфоксид.
Предлагаемые замещенные производные пиразола вышеприведенной общей формулы (I) могут представлять собой активное вещество средства, обладающего гербицидной активностью, которое является дополнительным объектом настоящего изобретения. Предлагаемое средство может быть смешано с носителями и/или вспомогательными добавками.
Предлагаемое средство может представлять собой любой стандартный препарат в виде концентрата, который можно разбавлять водой до желаемой концентрации.
В качестве примеров препаратов можно назвать порошки, распыляемые препараты, гранулы, растворы, эмульсии или суспензии с добавкой жидких и/или твердых носителей или, соответственно, разбавителей, и при необходимости, с добавкой связующих веществ, смачивающих веществ, эмульгаторов и/или диспергаторов.
Подходящими жидкими носителями являются, например алифатические и ароматические углеводороды, такие как бензол, толуол, ксилол, циклогексанон, изофорон, диметилсульфоксид, диметилформамид, а также фракции минеральных и растительных масел.
Подходящими твердыми носителями являются минералы, такие, как например бентонит, силикагель, тальк, каолин, аттапульгит, мел, а также растительные продукты, такие как, например, мука.
Примерами поверхностно-активных веществ являются лигнин-сульфонат кальция, полиэтиленалкилфениловый эфир, нафталенсульфокислоты и их соли, фенолсульфокислоты и их соли, конденсаты формальдегида, сульфаты жирных спиртов, а также замещенные бензенсульфокислоты и их соли.
Количество соответствующего активного вещества (веществ) в различных составах может изменяться в широком диапазоне. Например, состав может содержать приблизительно от 10 до 90 вес.% активного вещества, приблизительно от 90 до 10 вес.% жидкого или твердого носителя и может дополнительно включать до 20 вес.% поверхностно-активного вещества.
Применение средства можно осуществлять обычными методами, например, распылением, используя воду в качестве носителя, в количестве, приблизительно от 100 до 1000 литров/га.
Нижеследующие препараты А-Д иллюстрируют предлагаемое средство.
Препарат А10 вес. частей соединения формулы (I), например, соединения примера 2, смешивают с 90 вес. частями талька и получаемую смесь измельчают. Получают напыляемый препарат. Препарат Б 25 вес. частей соединения формулы (I), например, соединения примера 8, смешивают с 64 вес. частями каолинсодержащего кварца, 10 вес. частями лигнинсульфонокислого калия и 1 вес. частью олеилметилтауринокислого натрия в качестве смачивателя и диспергатора и получаемую смесь измельчают. Получают диспергируемый в воде препарат. Препарат В 20 вес. частей соединения формулы (I), например, соединения примера 14, смешивают с 6 вес. частями алкилфенолиолигликолевого эфира (торговое название: Triton Х 207), 3 вес. частями изотридеканолполигликолевого эфира, содержащего 8 этиленоксидных звеньев, и 71 вес. частью парафинового минерального масла с пределами кипения 255-277oC и получаемую смесь измельчают до тонкости менее 5 микрон. Получают диспергируемый в воде концентрат. Препарат Г 15 вес. частей соединения формулы (I), например, соединения примера 1, смешивают с 75 вес. частями циклогексанона в качестве растворителя и 10 вес. частями оксэтилированного нонилфенола в качестве эмульгатора. Получают эмульгируемый в воде концентрат. Препарат Д 75 вес. частей соединения формулы (I), например, соединения примера 3, смешивают с 10 вес. частями лигнинсульфокислого кальция, 5 вес. частями лаурилсульфата натрия, 3 вес. частями поливинилового спирта и 7 вес. частями каолина, получаемую смесь измельчают и получаемый порошок гранулируют в кипящем слое путем напрыскивания воды. Получают диспергируемые в воде гранулы. Получение соединений формулы (I) поясняется следующими примерами. Пример 1 1-(4-хлор-5-дифторметокси-1-метил-3-пиразолил)-5-формил-4- пиразол-карбонитрил К 30 мл дихлорметана добавляют 29 г (9,6 ммоль) 1-(4-хлор-5- дифторметокси-1-метил-3-пиразолил)-5-гидроксиметил-4-пиразол- карбонитрила, затем добавляют 15,2 г хлорхромата пиридиния на окиси алюминия. Перемешивание продолжают в течение 1 часа при комнатной температуре, затем реакционную смесь фильтруют в вакууме через Целит (Celite) и очищают на хроматографической колонке с применением смеси гексана/этилацетата. Выход: 1,8 г, что соответствует 62% от теории nD20 = 1,54066 Пример 2 (E/Z) 1-(4-хлор-5-дифторметокси-1-метил-3-пиразолил)-5- метоксииминометил-4-карбонитрил К 4 мл пиридина добавляют 0,46 г (1,5 ммоль) 1-(4-хлор-5- дифторметокси-1-метил-3-пиразолил)-5-формил-4-пиразол- карбонитрила при комнатной температуре, затем добавляют 0,25 г (3,0 ммоль) гидрохлорида O-метил-гидроксиламина. Эту смесь перемешивают в течение 2 часов при комнатной температуре, выливают в воду и встряхивают с этилацетатом. Смесь высушивают над сульфатом магния и концентрируют. Очистку осуществляют на хроматографической колонке с применением смеси гексана/этилацетата. Выход: 0,3 г, что соответствует 60% от теории Т.пл. 95-98oC Пример 3 1-(4-хлор-5-дифторметокси-1-метил-3-пиразолил)-5-(2- метоксивинил)-4-пиразол-карбонитрил К 10 мл тетрагидрофурана добавляют 2,9 г (8,4 ммоль) метоксиметилен-трифенилфосфоний хлорида и 5,6 мл (9,0 ммоль) 1,6-молярного раствора бутиллития в гексане медленно добавляют по каплям при температуре 0oС. Этот раствор оранжевого цвета перемешивают следующие 30 минут и затем в него медленно добавляют по каплям 1,0 г (3,3 ммоль) 1-(4-хлор-5-дифторметокси-1-метил-3- пиразолил)-5-формил-4-пиразол-карбонитрила. Перемешивание продолжают в течение 2 часов при комнатной температуре. Реакционную смесь затем добавляют в воду, встряхивают с этилацетатом, высушивают над сульфатом магния и концентрируют. Очистку производят с помощью хроматографической колонки с применением смеси гексана/этилацетата. Пример 4 1 -(4-хлор-5-дифторметокси-1 -метил-3-пиразолил)-5-(1,3- диоксолан-2- ил)-4-пиразол-карбонитрил В 30 мл толуола растворяют 0,6 г (2,0 ммоль) 1-(4-хлор-5- дифторметокси-1-метил-3-пиразолил)-5-формил-4-пиразол-карбонитрила и добавляют 0,14 г (2,2 ммоль) этилен-гликоля, а также каталитическое количество паратолуолсульфокислоты. Эту смесь подогревают в течение 2 часов на водном сепараторе, охлажденный раствор промывают раствором хлористого натрия, затем высушивают и концентрируют. Выход: 0,68 г, что соответствует 98% от теории Т.пл. 70-72oC Пример 5 1 -(4-хлор-5-дифторметокси-1 -метил-3-пиразолил)-5-(1,1- диацетоксиметил)-пиразол-4-карбонитрил 5 мл уксусного ангидрида охлаждают до температуры 0-5oC и добавляют 2 капли трифтор-эфирата бора. Затем медленно по каплям добавляют 2,3 г (7,6 ммоль) 1-(4-хлор-5-дифторметокси-1-метил-3- пиразолил)-5-формил-4-пиразол-карбонитрила, и перемешивание продолжают следующие 1,5 часа при комнатной температуре. Добавляют 9 мл 10%-ного раствора ацетата натрия, перемешивание продолжают в течение 20 минут при комнатной температуре и затем эту смесь встряхивают с этилацетатом. Объединенную этилацетатную фазу промывают раствором гидрокарбоната натрия и хлористого натрия, высушивают и концентрируют. Очистку производят на хроматографической колонке с применением смеси гексана и этилацетата. Выход: 2,5 г, что соответствует 80 % от теории Т. пл. 84-85oC Пример 6 cложный этиловый эфир 2-хлор-3-[1-(3-хлор-4,5,6,7- тетрагидропиразоло-[1,5-а]-пиридин-2-ил)-4-циан-5-пиразолил]-2- метил-пропионовой кислоты К 20 мл ацетонитрила добавляют 1,6 г (15,5 ммоль) трет.бутилнитрита, 20 мл этилметакрилата и 1,52 г хлорида меди (II) и 2,62 г (10 ммоль) 5-амино-1-(3-хлор-4,5,6,7- тетрагидропиразоло-[1,5-а] -пиридин-2-ил)-4-пиразол-карбонитрила тремя порциями. Эту смесь перемешивают при комнатной температуре в течение 20 часов, добавляют к 50 мл 2-нормальной соляной кислоты, 3 раза экстрагируют с дихлорометаном, высушивают над сульфатом магния и концентрируют. Очистку выполняют на хроматографической колонке с применением смеси гексана/этилацетата. Выход: 1,6 г, что соответствует 40% от теории nD20 = 1,54164 Пример 7 сложный изопропиловый эфир 1-(3-хлор-4,5,6,7- тетрагидропиразоло-[1,5-а] -пиридин-2-ил)-4-циан-5-пиразол- карбоновой кислоты 757 мг (2,7 ммоль) сложного диэтилового эфира азодикарбоновой кислоты добавляют по каплям к 800 мг (2,7 ммоль) 1-(3-хлор- 4,5,6,7-тетрагидропиразола [1,5-а] -пиридин-2-ил)-4-циан-5-пиразол- карбоновой кислоты. Смесь перемешивают в течение 2 часов при этой температуре, затем концентрируют и очищают на хроматографической колонке с применением силикагеля/гексана/этилацетата. Осадок перекристаллизовывают из диизопропилового эфира. Выход: 570 мг, что соответствует 62% от теории nD20 = 1,53942 Аналогичным образом получают соединения формулы (I), сведенные в таблице 1. Нижеследующий пример поясняет гербицидную активность предлагаемого средства. Пример 62 Указанные в таблице 2 виды растений после всхода в оранжерее подвергают обработке указанными в таблице 2 соединениями, взятыми в количестве 0,1 кг/га. При этом соединения применяют в виде эмульсии с расходом 500 литров воды на гектар и распыляют равномерно над растениями. Через 2 недели после обработки определяют степень повреждения растений по шкале 0-4. При этом 0 означает отсутствие повреждений; 1 – 1-24% повреждений, 2 – 25-74% повреждений, 3 – 75-89% повреждений, a 4 – 90-100% повреждений. Результаты опыта сведены в таблице 2. Используемые в таблице 2 для растений условные сокращенные названия обозначают: ALOMY – Лисохвостник полевой (Alopecurus myosuroides) AGRRE – Волоснец (Elymus repens) AVEFA – Овес дикий (Avena fatua) BROTE – Костер кровельный (Bromus tectorum) SETVI – Мышей зеленый (Setaria viridis) PANSS – Просо (Panicum sp.) SORHA – Сорго алеппское (Sorghum halepense) CYPES – Сыть съедобная (Cyperus esculentus) ABUTH – Грудника Теофраста (Abutilon theophrasti) IPOSS – Вьюнок пурпурный (lpomoea purpurea) GALAP – Подмаренник цепкий (Galium aparine) MATCH – Ромашка аптечная (Matricaria chamomilla) POLSS – Спорыш (Polygonum sp.) SEBEX – Сесбания (Sesbania exaltata) SOLSS – Паслен (Solanum sp.) VERP5 – Вероника персидская (Veronica persica) V/OSS – Фиалка (Viola sp.)1 Формула изобретения
![]() в которой R1 – алкил с 1 – 4 атомами углерода; R2 – алкилтиогруппа с 1 – 4 атомами углерода или алкилоксил с 1 – 4 атомами углерода, незамещенные или замещенные одним или несколькими атомами галогена; R1 и R2 образуют вместе группу -(СН2)m-; R3 – водород или галоген, R4 – водород, нитро, циано, или группа -С(О)NН2, R5 – группы ![]() ![]() где R6 – означает водород, алкил с 1 – 6 атомами углерода, незамещенный или замещенный одним или несколькими одинаковыми или различными заместителями из группы, включающей галоген, гидроксил, или группу ОR16, где R16 означает водород, алкил с 1 – 6 атомами углерода, замешенный одним или несколькими одинаковыми или различными заместителями из группы, включающей галоген и алкоксил с 1 – 4 атомами углерода; Y – кислород, группы -N-ОR17 и ![]() где R17 означает водород, алкил с 1 – 6 атомами углерода, алкенил с 2 – 6 атомами углерода, алкинил с 3 – 6 атомами углерода, алкоксикарбонил-алкил с 1 – 4 атомами углерода в алкоксикарбонильной части и с 1 – 4 атомами углерода в алкильной части, который дополнительно может быть замещен атомами галогена; R18 и R19 каждый независимо друг от друга водород, галоген, цианогруппа, алкил с 1 – 6 атомами углерода, алкенил с 2 – 6 атомами углерода, алкоксикарбонил-алкил с 1 – 4 атомами углерода в алкоксикарбонильной части и с 1 – 4 атомами углерода в алкильной части, который дополнительно может быть замещен атомами галогена; R7 – водород, алкил с 1 – 4 атомами углерода; R3 имеет вышеуказанное значение, или группы ![]() ![]() ![]() ![]() где R8 означает водород или алкил с 1 – 4 атомами углерода; R9, R10, R11, R12, R13 и R14 каждый независимо друг от друга водород, галоген, алкил с 1 – 4 атомами углерода, незамещенный или замещенный галоидом, алкил с 1 – 4 атомами углерода и алкоксикарбонил с 1 – 4 атомами углерода, замещенные одним или несколькими одинаковыми или различными заместителями из группы, включающей гидроксил и алкоксил с 1 – 4 атомами углерода; R15 – алкил с 1 – 4 атомами углерода; m = 3 или 4; n = 0, 1, 2 или 3; p = 0 или 1; X – кислород или сера; Z – кислород или сера; W – кислород или углерод. 2. Замещенные производные пиразола общей формулы I по п.1, в которой R1 – метил; R2 – метилтио или дифторметоксил; R1 и R2 вместе означают группу -(СН2)4; R3 – водород, хлор или бром; R4 – водород, нитро, циано или группа -С(О)NН2; R5 – группы ![]() ![]() где R6 означает водород, алкил с 1 – 6 атомами углерода или группу -ОR16, где R16 означает водород, алкил с 1 – 6 атомами углерода, незамещенный или замещенный одним или несколькими одинаковыми или различными заместителями из группы, включающей галоген и алкоксил с 1 – 4 атомами углерода; Y – кислород, группы -N-ОR17 и ![]() где R17 означает водород, алкил с 1 – 6 атомами углерода, алкенил с 2 – 6 атомами углерода, алкинил с 3 – 6 атомами углерода, алкоксикарбонил-алкил с 1 – 4 атомами углерода в алкоксикарбонильной части и с 1 – 4 атомами углерода в алкильной части, который может быть замещен атомами галогена; R18 и R19 каждый независимо друг от друга водород, галоген, циано, алкил с 1 – 6 атомами углерода, алкенил с 2 – 6 атомами углерода, алкоксикарбонил-алкил с 1 – 4 атомами углерода в алкоксикарбонильной части и с 1 – 4 атомами углерода в алкильной части, который может быть замещен атомами галогена, алкоксил с 1 – 4 атомами углерода; R7 – водород или алкил с 1 – 4 атомами углерода; R3 имеет вышеуказанное значение, или группы ![]() ![]() ![]() ![]() где R8 означает водород или алкил с 1 – 4 атомами углерода; R9, R10, R11, R12, R13 и R14 каждый независимо друг от друга водород, алкил с 1 – 4 атомами углерода или алкоксикарбонил с 1 – 4 атомами углерода, замещенные одним или несколькими одинаковыми или различными заместителями из группы включающей гидроксил и алкоксил с 1 – 4 атомами углерода; R15 – алкил с 1 – 4 атомами углерода; m = 3 или 4; n = 0, 1, 2 или 3; P = 0 или 1; X – кислород или сера; Z – кислород или сера; W – кислород или углерод. 3. Замещенные производные пиразола общей формулы I по п.1, в которой R1 – метил; R2 – дифторметокси; R1 и R2 вместе образуют группу -(СН2)4-; R3 – хлор; R4 – нитро или циано; R5 – группа ![]() где R6 означает водород или группу -ОR16, где R16 означает алкил с 1 – 6 атомами углерода; Y – кислород, группы -N-ОR17 и ![]() где R17 означает алкил с 1 – 6 атомами углерода; R18 и R19 каждый независимо друг от друга водород, галоген, или группа ![]() где R8 означает водород; R9, R10, R11, R12, R13 и R14 каждый независимо друг от друга водород, алкил с 1 – 4 атомами углерода, алкоксикарбонил-алкил с 1 – 4 атомами углерода в алкоксикарбонильной части и с 1 – 4 атомами углерода в алкильной части или галоидалкил с 1 – 4 атомами углерода; n = 0; р = 0 или 1; X – кислород. 4. Средство, обладающее гербицидной активностью, отличающееся тем, что оно содержит минимум одно из соединений по пп.1 – 3. 5. Средство, обладающее гербицидной активностью по п.4, смешанное с носителями и/или вспомогательными добавками. РИСУНКИ
MM4A Досрочное прекращение действия патента Российской Федерации на изобретение из-за неуплаты в установленный срок пошлины за поддержание патента в силе
Дата прекращения действия патента: 22.09.2004
Извещение опубликовано: 20.02.2006 БИ: 05/2006
|
||||||||||||||||||||||||||





















































означает катион металла, например такой, как литий, натрий или калий. Промежуточное соединение формулы (Iз) непосредственно, т.е. без какой-либо дополнительной обработки, реагирует с соединением по формуле (IV) или (V) при температуре от -100 до +100 С.
Подходящими растворителями могут быть эфиры, такие как, например, диэтиловый эфир, тетрагидрофуран или 1,4-диоксан.
В качестве оснований можно указать бутиллитий, диизопропиламидлитий, гидрид натрия или третичный бутилат калия.
Известны соединения общей формулы (Iб), которые используются как исходные вещества. Их получение описано в вышеприведенной заявке WO 94/08 999.
Соединения, применяемые в варианте Д) способа могут быть получены по методике, описанной в книге Advanced Organic Chemistry, 1985, стр. 864 и далее и в литературе, на которую в ней сделаны ссылки.
Соединения по настоящему изобретению, соответствующие варианту Ж) способа, могут быть получены с помощью методики, описанной в статье A.I. Meyers в журнале “J. Am. Chem. Soc.”, т. 92, стр. 6644, (1970 г.).
Вещества, соответствующие варианту З) способа могут быть получены в соответствии с методикой, описанной в патенте США 5 250 504.
Этерификация по варианту И) способа широко известна и может быть выполнена в соответствии с обычными способами, такими как, например способы описанные в книге Хоубен-Вейль, т. Е5, стр. 659 и далее (1985).
Вышеприведенные реакции могут осуществляться в присутствии растворителей или без них, для чего, если необходимо, могут использоваться такие растворители или разбавители, которые являются инертными по отношению к используемым реагентам. Примерами таких растворителей или разбавителей, соответственно, являются алифатические и ароматические углеводороды, каждый из которых может быть дополнительно хлоринирован, такие как, например, гексан, циклогексан, петролейный эфир, уайт-спирит, бензол, толуол, ксилен, метиленхлорид, хлороформ, четыреххлористый углерод, этиленхлорид, трихлороэтилен и хлоробензол; простые эфиры, такие как, например, диэтиловый эфир, метиловый эфир, метил-трет.бутиловый эфир, диизопропиловый эфир, дибутиловый эфир, диоксан и тетрогидрофуран; кетоны, такие как, например, ацетон, метилэтилкетон, метилизопропилкетон, метилизобутилкетон; нитрилы, такие как, например, ацетонитрил и пропионитрил; спирты, такие как, например метанол, этанол, изопропанол, бутанол, трет.бутанол, трет.амиловый спирт и этиленгликоль; сложные эфиры, такие как, например, этилацетат и амилацетат, кислотные амиды, такие как, например, диметилформамид и диметилацетамид, сульфоксиды, такие как, например, диметилсульфоксид, сульфоны, такие, как например, сульфолан, основания такие как, например, пиридин и триэтиламин, карбоновые кислоты, такие, как например, уксусная кислота; минеральные кислоты, такие как, например, серная кислота и соляная кислота.
Получаемые в результате вышеприведенных реакций соединения очищаются обычными методами, например, путем кристаллизации или хроматографии.
Соединения в соответствии с настоящим изобретением в общем случае представляют собой бесцветные или имеющие легкую желтую окраску кристаллические или вязкие вещества, которые в основном легко растворяются в хлорированных углеводородах, таких как, например, метиленхлорид или хлороформ, простых эфирах, таких как, например, диэтиловый эфир или тетрагидрофуран, спиртах, таких как, например, метанол или этанол, кетонах таких как, например, ацетон или бутанон, амидах таких как, например, диметилформамид, а также сульфоксидах таких как, например, диметилсульфоксид.
Предлагаемые замещенные производные пиразола вышеприведенной общей формулы (I) могут представлять собой активное вещество средства, обладающего гербицидной активностью, которое является дополнительным объектом настоящего изобретения. Предлагаемое средство может быть смешано с носителями и/или вспомогательными добавками.
Предлагаемое средство может представлять собой любой стандартный препарат в виде концентрата, который можно разбавлять водой до желаемой концентрации.
В качестве примеров препаратов можно назвать порошки, распыляемые препараты, гранулы, растворы, эмульсии или суспензии с добавкой жидких и/или твердых носителей или, соответственно, разбавителей, и при необходимости, с добавкой связующих веществ, смачивающих веществ, эмульгаторов и/или диспергаторов.
Подходящими жидкими носителями являются, например алифатические и ароматические углеводороды, такие как бензол, толуол, ксилол, циклогексанон, изофорон, диметилсульфоксид, диметилформамид, а также фракции минеральных и растительных масел.
Подходящими твердыми носителями являются минералы, такие, как например бентонит, силикагель, тальк, каолин, аттапульгит, мел, а также растительные продукты, такие как, например, мука.
Примерами поверхностно-активных веществ являются лигнин-сульфонат кальция, полиэтиленалкилфениловый эфир, нафталенсульфокислоты и их соли, фенолсульфокислоты и их соли, конденсаты формальдегида, сульфаты жирных спиртов, а также замещенные бензенсульфокислоты и их соли.
Количество соответствующего активного вещества (веществ) в различных составах может изменяться в широком диапазоне. Например, состав может содержать приблизительно от 10 до 90 вес.% активного вещества, приблизительно от 90 до 10 вес.% жидкого или твердого носителя и может дополнительно включать до 20 вес.% поверхностно-активного вещества.
Применение средства можно осуществлять обычными методами, например, распылением, используя воду в качестве носителя, в количестве, приблизительно от 100 до 1000 литров/га.
Нижеследующие препараты А-Д иллюстрируют предлагаемое средство.
Препарат А
















