Патент на изобретение №2154643
|
||||||||||||||||||||||||||
(54) 4-АМИНО-5-ХЛОР-2,3-ДИГИДРО-N-[1-(3-МЕТОКСИПРОПИЛ)-4-ПИПЕРИДИНИЛ]-7-БЕНЗОФУРАНКАРБОКСАМИД ИЛИ ЕГО ФАРМАЦЕВТИЧЕСКИ ПРИЕМЛЕМАЯ КИСЛОТНО-АДДИТИВНАЯ СОЛЬ, СПОСОБЫ ЕГО ПОЛУЧЕНИЯ, ФАРМАЦЕВТИЧЕСКАЯ КОМПОЗИЦИЯ И СПОСОБ ЕЕ ПОЛУЧЕНИЯ
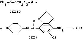
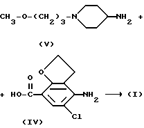
(57) Реферат: Описывается новое соединение 4-амино-5-хлор-2,3-дигидро-N-[1-(3-метоксипропил)-4-пиперидинил] -7-бензофуранкарбоксамид или его фармацевтически приемлемая кислотно-аддитивная соль, проявляющее энтерокинетические свойства. Описываются также фармацевтические композиции, содержащие эти новые соединения, способы получения соединений и композиций и использование их в качестве лекарственных средств, в частности при лечении состояний, включающих пониженную перистальтику кишечника. 5 c. и 8 з.п.ф-лы, 3 табл. Данное изобретение относится к новому производству бензамида и его фармацевтически приемлемым кислотно-аддитивным солям, фармацевтическим композициям, содержащим указанные соединения, способам получения данных соединений и композиций и использованию их в качестве лекарственных средств, в частности, при лечении состояний, включающих ослабленную перистальтику кишечника, в особенности ободочной кишки. В нашей Европейской заявке на патент (ЕР) 0 389037-A, опубликованной 26 сентября 1990, раскрываются производные N-(3-гидрокси-4- пиперидинил) (дигидробензофуран или дигидро-2H-бензопиран) карбоксамида как имеющие свойства, стимулирующие перистальтику желудочно-кишечного тракта. В нашей ЕР 0 445862-A, опубликованной 11 сентября 1991, раскрываются производные N-(4-пиперидинил) (дигидробензофуран или дигидро-2Н-бензопиран)карбоксамида, также имеющие свойства, стимулирующие перистальтику желудочно-кишечного тракта. Соединение, являющееся объектом данной заявки, отличается от них тем, что демонстрирует превосходящие энтерокинетические свойства. Данное изобретение относится к соединению формулы (I)и его фармацевтически приемлемым кислотно-аддитивным солям. Химическим названием соединения формулы (I) является 4-амино-5- хлор-2,3-дигидро-N-[1-(3-метоксипропил)-4-пиперидинил]-7- бензофуранкарбоксамид. Подразумевается, что фармацевтически приемлемые кислотно-аддитивные соли, упоминаемые здесь выше, включают формы терапевтически активных нетоксичных кислотно-аддитивных солей, которые соединения формулы (1) способны образовывать. Последние можно удобно получить обработкой формы основания такой подходящей кислотой. Подходящие кислоты включают, например, неорганические кислоты, такие как галоидоводородные кислоты, например, соляную или бромистоводородную кислоту, серную, азотную; фосфорную и подобные кислоты; или органические кислоты, такие как, например, уксусная, пропановая, гидроксиуксусная, молочная, пировиноградная, щавелевая, малоновая, янтарная (т.е. бутандиовая кислота), малеиновая, фумаровая, яблочная, винная, лимонная, метансульфокислота, этансульфокислота, бензолсульфокислота, п- толуолсульфокислота, цикламиновая, салициловая, п- аминосалициловая, памовая и подобные кислоты. Используемый здесь ранее термин ”аддитивная соль” включает также сольваты, которые способны образовать соединения формулы (1), а также их соли. Такие сольваты являются, например, гидратами, алкоголятами и тому подобными. Наоборот, форму соли можно превратить обработкой щелочью в форму свободного основания. В дальнейшем термин “соединения формулы (1)” означает соединение формулы (1), так же как и его фармацевтически приемлемые кислотно-аддитивные соли, если не оговорено иное. Интересными соединениями формулы (1) являются кислотно-аддитивные соли, которые образуются с помощью обработки формы основания соединения формулы (1) галоидоводородными кислотами или бутандиовой кислотой. Предпочтительными соединениями формулы (1) являются моногидрохлорид 4-амино-5-хлор-2,3-дигидро-N-[1- (3-метоксипропил)- 4-пиперилинил]-7-бензофуранкарбоксамида и бутандиоат 4-амино-5-хлор-2,3-дигидро-N-[1-(3-метоксипропил)-4- пиперидинил]-7-бензофуранкарбоксамида (1:1). Соединения формулы (I) можно получать в соответствии со способами, которые описываются в Европейских патентах EP-0 389037-A и EP-0 445862-A. Ряд альтернативных получений показывается здесь ниже. В следующих получениях продукты реакции можно выделить из реакционной смеси и, если необходимо, далее очищать в соответствии с обычно известными в данной области методиками, такими, как например, экстракция, дистилляция, кристаллизация, растирание и хроматография. Соединения формулы (I) можно получить N-алкилированием промежуточного соединения формулы (II) алкилирующим реагентом формулы (III), где W представляет подходящую уходящую группу, такую как галоид, например, хлор; или сульфонилокси уходящую группу, например, метансульфонилокси (мезилат) или п-толуолсульфонилокси (тозилат) в инертном по отношению к реакции растворителе, таком как диполярный апротонный растворитель, например, диметилформамид, в присутствии подходящего основания, такого, как например, триэтиламин. Для повышения скорости реакции можно также добавлять подходящий катализатор, например иодид калия. ![]() Соединение формулы (I) можно также получить реакцией N-ацилирования карбоновой кислоты формулы (IY) или ее реакцион- носпособного промежуточного продукта и амина формулы (Y). Данную реакцию N-ацилирования можно проводить перемешиванием двух реагентов в реакционно инертном растворителе, таком как хлорированный углеводород, например хлороформ или ароматический углеводород, например толуол. ![]() Упоминаемые выше промежуточные продукты являются известными в данной области или получение их упоминается в EP-O 389037-A и EP-O 445862-A. Соединения формулы (I) обладают превосходными стимулирующими перистальтику кишечника свойствами. В частности, данные соединения формулы (I) проявляют существенное усиливающее перистальтику действие на тонкую и толстую кишку. Другими словами, данные соединения формулы (I) имеют энтерокинетические свойства. Эти свойства подтверждаются фармакологическими примерами, описанными здесь ниже. Данные соединения формулы (I) усиливают неадренергическое нехолинергическое (НАНХ) возбуждение и проталкивание фекальных образований (шариков) через толстую кишку. В дополнение к изложенному они ускоряют желудочное опорожнение и сократительную способность тонкого кишечника и оказывают облегчающее действие на холинергические нервы. Такие соединения лишены также 5-HT2– или 5-HT3-рецепторных антагонистических свойств. Кроме того, данные соединения проявляют также активность in vivo, о чем свидетельствуют испытания “Телеметрическая регистрация перистальтики оболочной или толстой кишки у находящихся в сознании собак”. Ввиду их полезных энтерокинетических усиливающих свойств соединения, являющиеся предметом изобретения, можно приготовить в виде разных форм для целей введения. Для получения фармацевтических композиций данного изобретения эффективное количество конкретного соединения в форме основания или кислотно-аддитивной соли в качестве активного ингредиента комбинируют в тесную смесь с фармацевтически приемлемым носителем, который может иметь разнообразное множество форм в зависимости от формы препарата, желательного для введения. Данные фармацевтические композиции желательны в форме единичных доз, подходящих предпочтительно для введения перорально, ректально или с помощью парентеральной инъекции. Например, при получении композиций в пероральной дозированной форме можно использовать обычную фармацевтическую среду, такую, как например, воду, гликоли, масла, спирты и тому подобные, в случае пероральных жидких препаратов, например суспензий, сиропов, эликсиров и растворов; или твердые носители, например крахмалы, сахара, каолин, смазывающие вещества, связующие, дезинтегрирующие средства и тому подобные в случае порошков, пилюль, капсул и таблеток. Вследствие легкости их введения таблетки и капсулы представляют наиболее благоприятную пероральную форму единичных доз, в случае которой, как очевидно, используют твердые фармацевтические носители. Для парентеральных композиций носитель обычно включает, по крайней мере в большей части, стерильную воду, хотя, чтобы способствовать растворению, можно включать другие ингредиенты. Можно получать, например, инъецируемые растворы, в которых носитель включает солевой раствор, раствор глюкозы или смесь солевого раствора и раствора глюкозы. Можно также получать инъецируемые суспензии, в случае которых могут использоваться подходящие жидкие носители, суспендирующие средства и тому подобные. В композициях, подходящих для трансдермального введения, носитель необязательно включает средство, повышающее проникновение, и/или подходящие смачивающие средства, необязательно в сочетании в небольших пропорциях с подходящими добавками любой природы, которые не оказывают значительного ухудшающего действия на кожу. Указанные добавки могут облегчать введение в кожу и/или могут быть полезными при получении желаемых композиций. Эти композиции можно вводить разными путями, например в виде трансдермального пластыря, в виде нанесения пятен и в виде мази. Особенно благоприятно приготавливать вышеупомянутые фармацевтические композиции в форме единичных доз для легкости введения и равномерности дозировки. Формы единичных доз, используемые в описании и формуле изобретения, относятся к дискретным единицам, подходящим в качестве единичных доз, причем каждая единица содержит заданное количество активного ингредиента, вычисленное для достижения желательного терапевтического действия, в сочетании с требуемым фармацевтическим носителем. Примерами таких дозированных форм являются таблетки (включая таблетки с насечками или с покрытием), капсулы, пилюли, пакетики с порошком, облатки, инъецируемые растворы или суспензии, формы объемом в чайную ложку, столовую ложку и тому подобные, и разделенные многократные дозы их. Ввиду своей способности стимулировать перистальтику кишечника и, в частности, способности повышать перистальтику ободочной кишки, соединения изобретения полезны для нормализации или улучшения прохождения содержимого через кишечник у субъектов, страдающих симптомами, связанными с нарушенной перистальтикой, например пониженной перистальтикой тонкой и толстой кишки или пониженной перистальтикой в сочетании с замедленным желудочным опорожнением. Ввиду полезности соединений данного изобретения предоставляется способ лечения теплокровных животных, включая людей, страдающих нарушениями перистальтики кишечной системы, такими, как например, констипация, псевдонепроходимость, кишечная атония, послеоперационная кишечная атония, синдром раздраженной толстой кишки (СРТК), индуцированное лекарственным средством замедленное прохождение содержимого через кишечник. В частности, предоставляется способ лечения нарушений перистальтики толстой кишки. Соединения можно также использовать для облегчения очистки толстой кишки или облегчения интубации и/или эндоскопии. Указанный способ включает системное введение эффективного, стимулирующего кишечник (толстую или тонкую кишку) количества соединения формулы (I) теплокровным животным, включая людей. Следовательно, предоставляется использование соединения формулы (I) в качестве лекарственного средства и, в частности, использование соединения формулы (I) для производства лекарственного средства для лечения состояний, включающих нарушенную перистальтику или нарушенное прохождение содержимого через тонкую и толстую кишку. В общем предполагается, что терапевтически эффективное количество будет около 0,001 мг/кг до около 10 мг/кг массы тела, предпочтительно от около 0,02 мг/кг до около 5 мг/кг массы тела. Способ лечения может включать также введение активного ингредиента по схеме введения от двух до четырех раз в день. Экспериментальная часть Пример 1 4-Амино-5-хлор-2,3-дигидро-7-бензофуранкарбоновую кислоту (0,05 моль) (получение которой описано в EP-O 389037-A) суспендировали в трихлорметане (135 мл) и охлаждали до 5oC. По каплям при температуре ниже 10oC добавляли N, N-диэтилэтанамин (0,05 моль). По каплям добавляли этилхлорформиат (0,05 моль), и реакционную смесь перемешивали в течение 40 мин, поддерживая температуру ниже 10oC. Получаемую смесь добавляли по каплям в течение периода 20 мин к раствору 1-(3-метоксипропил)-4- пиперидинамина (0,05 моль) в трихлорметане (35 мл). Охлаждающую баню убирали, и реакционную смесь перемешивали в течение 150 мин. Смесь промывали водой (50 мл). Осадок отделяли фильтрованием через стеклянный фильтр и промывали водой и CHCl3. Фильтрат разделяли на слои. Отделенный органический слой промывали водой (50 мл) и 50% раствором NaOH (1 мл), сушили, фильтровали и растворитель выпаривали. Остаток перемешивали в 2-пропаноле (100 мл). Смесь подкисляли смесью HCl/2-пропанол (7,2 мл, 5,29 н). Смесь перемешивали в сечение 16 ч при комнатной температуре, и получаемый осадок отделяли фильтрованием, промывали 2-пропанолом (15 мл) и сушили (вакуум; 50oC), получая 12,6 г (62%) моногидрохлорида 4-амино-5- хлор-2,3-дигидро-N-[1-(З-метоксипропил)4-пиперидинил] -7- бензофуранкарбоксамида (соединение 1).
Пример 2Смесь 4-амино-5-хлор-2,3-дигидро-N-(4-пиперидинил) -7-бензофуранкарбоксамида (0,01 моль), 1-хлор-3-метоксипропана (0,012 моль), N,N-диэтилэтанамина (2,1 мл) и K1 (каталитическое количество) в N,N-диметилформамиде (75 мл) перемешивали в течение ночи при 50oC. Реакционную смесь охлаждали. Растворитель выпаривали. Остаток очищали колоночной хроматографией на силикагеле (элюент: CHCl3/(CH3ОН/NH3), 97/3). Чистые фракции собирали и растворитель выпаривали. Остаток растворяли в 2-пропаноле и превращали в соль хлористоводородной кислоты (1:1) обработкой смесью HCl/2-пропанол. Остаток отделяли фильтрованием и сушили (вакуум; 80oC), получая 1,40 г (35%) моногидрохлорида 4-амино-5- хлор-2,3-дигидро-N-[1-(3-метоксипропил)-4-пиперидинил] -7- бензофуранкарбоксамида (соединение 1). Пример 3 Реакция в потоке N2. 4-Амино-5-хлор-2,3-дигидро-7-бензофуранкарбоновую кислоту (0,18 моль) растворяли в тетрагидрофуране (360 мл), и раствор перемешивали и охлаждали до 3oC. В виде одной порции добавляли 1,1′-карбонилбис-1H-имидазол (9,18 моль) и охлаждение прекращали. Смесь перемешивали в течение 75 мин (смесь становилась гомогенной через 30 мин). По каплям добавляли раствор 1-(3-метоксипропил)-4-пиперидинамина (0,18 моль) в тетрагидрофуране (90 мл) (температура экзотермической реакции повышалась от 23 до 27oC). Реакционную смесь перемешивали в течение 24 ч. Добавляли еще 1,1′- карбонилбис-1Н-имидазол (0,0125 моль), и реакционную смесь перемешивали в течение 75 мин. Добавляли дополнительно 1-(3- метоксипропил)-4-пиперидинамин (0,0125 моль) (в 10 мл ТГФ). Получаемую реакционную смесь перемешивали в течение 3 ч при комнатной температуре, затем в течение 2,5 ч при температуре кипячения с обратным холодильником. Затем смесь перемешивали в течение 13 ч, оставляя ее для охлаждения до комнатной температуры. Растворитель выпаривали. Остаток перемешивали в течение 8 часов в воде (360 мл), и осадок отделяли фильтрованием, промывали водой, затем сушили (вакуум; 30oC), получая 62,9 г (95%) моногидрата 4-амино-5-хлор-2,3-дигидро-N-[1- (3-метоксипропил)-4- пиперидинил]-7-бензофуранкарбоксамида; т.пл. 90,7oC (соединение 2).
Пример 4Соединение (2) (5 г, 0,0129 моль) растворяли в нагретом этаноле (25 мл). Добавляли раствор (+)-(S)-молочной кислоты (1,45 г, 0,0135 моль) в этаноле (10 мл). При непрерывном перемешивании кристаллизация начиналась при 23oC. Смесь перемешивали в течение 24 ч. Осадок отделяли фильтрованием, промывали этанолом (2 мл), затем сушили (вакуум; 55oC; 72 ч), получая 3,7 г (62%) соли (1: 1) 4-амино-5-хлор-2,3-дигидро-N-[1-(3-метоксипропил)-4- пиперидинил]-7-бензофуранкарбоксамида и (+)-(S)-2-гидроксипропановой кислоты; т.пл. 170,4oC (соединение 3). Соединение (2) (5 г, 0,0129 моль) растворяли в нагретой смеси этанол (35 мл)/вода (3,5 мл). Добавляли фосфорную кислоту (0,929 мл), что почти сразу же приводило к кристаллизации. Смесь перемешивали в течение 24 ч при 23oC. Осадок отделяли фильтрованием, промывали этанолом (2 мл), затем сушили (вакуум; 55oC; 72 ч), получая 5,87 г (97,7%) соли (1:1) 4-амино-5-хлор-2,3-дигидро-N-[1-(3-метоксипропил)-4- пиперидинил]-7-бензофуранкарбоксамида и фосфорной кислоты; т.пл. 259,6oC (соединение 4). Соединение (2) (5 г, 0,0129 моль) растворяли в нагретой смеси этанол (35 мл)/вода (3,5 мл). Добавляли раствор 48% бромистоводородной кислоты (1,52 мл), что почти сразу же приводило к кристаллизации. Смесь перемешивали в течение 24 часов при 13oC. Осадок отделяли фильтрованием, промывали этанолом (2 мл), затем сушили (вакуум; 55oC; 72 часа), получая 5,4 г (93,3%) гидробромида 4-амино-5-хлор-2,3-дигидро-N- [1-(3-метоксипропил)-4-пиперидинил] -7-бензофуранкарбоксамида (1:1); т.пл. 280,1oC (соединение 5). Соединение (2) (5 г, 0,0129 моль) растворяли в нагретом этаноле (25 мл). Добавляли раствор янтарной кислоты (1,6 г) в смеси этанол (10 мл)/вода (3,5 мл). Потирание по стенкам приводило к кристаллизации. Смесь перемешивали в течение 24 ч при 23oC. Осадок отделяли фильтрованием, промывали этанолом (2 мл), затем сушили (вакуум; 55oC; 72 часа), получая 5,7 г (91%) бутандиоата 4-амино-5-хлор-2,3-дигидро-N-[1-(3- метоксипропил)-4-пиперидинил] -7-бензофуранкарбоксамида (1:1); т.пл. 197,2oC (соединение 6). Пример 5 Соединение (2) (5 г, 0,0129 моль) растворяли в этаноле (35 мл). Добавляли воду (3,5 мл). По каплям добавляли серную кислоту (0,75 мл). Смесь перемешивали в течение 24 ч при 22oC. Осадок отделяли фильтрованием, промывали этанолом (2 мл), затем сушили (вакуум; 55-60oC; 72 ч), получая 6,1 г (101%) сульфата 4-амино-5-хлор-2,3-дигидро-N-[1-(3-метоксипропил)-4- пиперединил] -7-бензофуранкарбоксамида (1:1); т.пл. 267,5oC (соединение 7).
Соединение (2) (5 г, 0,0129 моль) растворяли в этаноле (35 мл). Добавляли воду (3,5 мл). По каплям добавляли метан- сульфокислоту (0,88 мл). Смесь перемешивали, затем сушили (вакуум; 55-60oC; 72 ч), получая 6 г (100%) соли 4-амино- 5-хлор-2,3-дигидро-N-[1-(3-метоксипропил)-4-пиперидинил] -7- бензофуранкарбоксамида и метансульфокислоты (1:1); т.пл. 286oC (соединение 8).
Соединение (2) (5 г, 0,0129 моль) растворяли в метилизобутилкетоне (35 мл) при 60-65oC. По каплям добавляли уксусную кислоту (0,8 мл) (температура поднималась до 75oC). Добавление почти сразу же приводило к осаждению. Смесь оставляли для охлаждения до комнатной температуры. Смесь перемешивали в течение 20 ч. Осадок отделяли фильтрованием, промывали этанолом (2 мл), затем сушили (вакуум; 55-60oC; 72 ч), получая 5,5 г (99%) соли 4-амино-5-хлор-2,3-дигидро-N-[1- (3-метоксипропил)-4-пиперидинил]-7-бензофуранкарбоксамида и уксусной кислоты (1:1); т.пл. 156,1oC (соединение 9).
Фармакологические примерыПример 6 Стимуляция неадренергической нехолинергической искусственно вызываемой релаксации нервов с последующим сокращением. Релаксацию медиировали через медиатор, отличающийся от норадреналина, оксида азота или АТФ. Сокращение медиировали через трансмиттер, отличающийся от ацетилхолина. Морских свинок Dunkin-Harley любого пола (350-600 г, неголодающие) умерщвляли цервикальным сдвигом с последующей декапитацией. Восходящие ободочные кишки удаляли и полость их очищали неоднократным промыванием раствором De Jalon. После осторожного рассечения брыжейки восходящие ободочные кишки делили на сегменты длиной 3 см. Каждый сегмент располагали вертикально в органической бане (ванне), содержащей 100 мл раствора De Jalon. Органическую баню сохраняли при 37,5oC и заполняли смесью 95% кислорода и 5% диоксида углерода. Для блокирования -, – и мускариновых рецепторов в раствор добавляли фентоламин (10-6 М), пропанол (3 10-7 М) и атропин (3 10-7 М). Сокращение измеряли изометрически. Препарат неоднократно растягивали до получения базального натяжения 40 мН и оставляли для стабилизации в течение 45-60 мин. Для получения максимального сокращения в раствор бани добавляли гистамин (3 10-5 М). Трансмуральное возбуждение вызывали по всей длине полоски ободочной кишки при помощи двух платиновых электродов, анод продевали через полость ободочной кишки, катод был в растворе ванны. Препарат возбуждали прямоугольными волновыми импульсами (9 В, 1 мс/импульс) в течение 10 с каждые 5 мин при разных частотах. Электрическая стимуляция приводила к релаксации (=ON-ответная реакция) с последующим сразу сокращением (=OFF-ответная реакция). Первоначально препараты стимулировали три раза при 0,4 Гц для получения субмаксимальной релаксации с последующими тремя стимуляциями при 1,5 Гц для получения субмаксимального сокращения. Затем в жидкость ванны добавляли испытуемое соединение и снова оба стимула (0,4 Гц и 1,5 Гц) повторяли три раза. При концентрации 3 10-7 М испытуемое соединение индуцировало повышение OFF- ответной реакции на 100% от начальной величины.
Пример 7Морских свинок Dunkin-Harley любого пола (350, без голодания) умерщвляли цервикальным сдвигом с последующей декапитацией. Восходящие ободочные кишки отрезали на расстоянии 5 см от прямой кишки, разрезали и лигировали на длине 40 см и освобождали от прилипающей ткани. Когда в ободочной кишке имелось, по меньшей мере, 10 шариков, ткань переносили в стеклянный стакан, содержащий 200 мл раствора Кребса-Хенселейта, насыщали смесью 95% кислорода и 5% диоксида углерода и сохраняли при 37oC. Раствор содержал либо чистый растворитель, либо испытуемое соединение. Выталкиваемые шарики подсчитывали и удаляли из раствора каждые 5 мин в течение максимального периода 60 мин.
Кумулятивное число шариков, вытолкнутых из ободочной кишки в каждый момент, выражали как процент от общего числа шариков, присутствующих в целой ободочной кишке в начале эксперимента. Наносились кривые зависимости ответной реакции от времени путем построения графика кумулятивного процента шариков, удаленных из ободочной кишки, в зависимости от времени.
При концентрации присутствующего соединения 3 10-9 М 80% первоначального количества шариков было удалено в течение 10 мин.
Пример 8Коаксиальная стимуляция подвздошной кишки морской свинки Морских свинок Dunkin Harley обоих полов (масса тела 500 г) умерщвляли цервикальным сдвигом с последующей декапитацией. Подвздошную кишку отделяли и промывали нагретым и насыщенным кислородом раствором Кребса-Хенселейта. Неконцевые сегменты неповрежденной подвздошной кишки длиной 4,5 см морских свинок вертикально подвешивали с предварительной нагрузкой 1 г в 100 мл раствора Кребса-Хенселейта (37,5oC), насыщенного смесью 95% O2 и 5% CO2. Трансмуральное возбуждение вызывали по всей длине сегмента подвздошной кишки при помощи двух платиновых электродов, анод продевали через полость подвздошной кишки, катод был в растворе ванны. Препарат возбуждали одним прямоугольным стимулом [1 мс; 0,1 Гц; субмаксимальная ответная реакция (ток, приводящий к 80% максимальной ответной реакции)] от программируемого стимулятора. Сокращения измеряли изометрически. Во время периода стабилизации 30 мин полоски несколько раз вытягивали до натяжения 2 г, чтобы получить натяжение стационарного состояния 1 г. До начала электрической стимуляции получали кумулятивную кривую зависимости от дозы ацетилхолина (кривая доза-ответ). Электрическую стимуляцию начинали при сверхмаксимальном токе для определения максимальной амплитуды ответных реакций в виде мышечных сокращений. Когда ответные реакции были стабильными, давали субмаксимальную стимуляцию для получения 80% максимальной ответной реакции до тех пор, пока ответные реакции мышечных сокращений не были постоянными в течение, по меньшей мере, 15 мин, после чего в жидкость бани добавляли разовую дозу испытуемого соединения. Амплитуду ответной реакции мышечных сокращений через 5 мин после введения испытуемого соединения сравнивают с амплитудой до введения испытуемого соединения. Данное соединение показало повышение амплитуды ответной реакции мышечных сокращений более чем на 5% при концентрации 3,10-9 М.
Соединения согласно изобретению были подвергнуты скрининговому испытанию на токсичность на крысах. Данное испытание включает инъекцию крысам испытываемого соединения в дозе 40 мг/кг. Ни одно из испытанных соединений не показало каких-либо признаков острой токсичности при испытываемой дозе. Все соединения, предлагаемые согласно изобретению, имели показатель LD50 более чем 40 мг/кг.
Ниже заявители приводят подтверждающие данные для демонстрации неожиданных превосходящих энтерокинетических свойств соединений настоящего изобретения по сравнению с соединением 107 противопоставленного ЕР-445862, которое в структурном отношении является близким к заявленным. Заявители считают, что приведенные ниже данные ясно свидетельствуют о превосходящих свойствах настоящих соединений, на основании чего заявленное предложение может быть признано патентоспособным селективным изобретением с учетом ЕР-0445862.
Соединение 107 ЕР-0445862 (для краткости “соединение 107”) представлено формулой![]() Соединение 1 настоящего изобретения, полученное по примеру 2, представлено формулой ![]() Соединение 1 и соединение 107 были подвергнуты в различные периоды времени испытанию под названием “Fecal pellet propulsion in the guinea-pig colon descendens” (“Пропульсация или выталкивание фекальных шариков в нисходящей ободочной кишке морской свинки”). С помощью данного испытания измеряется скорость опорожнения от фекальных шариков ободочной кишки и демонстрируется эффект усиления сократительной способности или перистальтики ободочной кишки. Подробное описание данного испытания приведено в примере 7 в описании к данной заявке. Результаты, полученные в данном испытании, приведены в таблице 1. Из данных, приведенных в таблице 1, видно, что процент вытолкнутых фекальных шариков через 10 мин составляет выше для соединения 1 настоящего изобретения по сравнению с соединением 107, что подтверждает превосходящие свойства усиления сократительной способности, проявляемые соединениями настоящего изобретения. Соединение 1 и соединение 107 испытывались также в различные периоды времени в опыте под названием “Telemetric recording of motility of the colon in the conscious fasted dog” (“Телеметрическая регистрация перистальтики ободочной кишки на содержавшейся в голоде находящейся в сознании собаке”). С помощью данного опыта оценивают действие испытываемых соединений на перистальтику ободочной кишки с помощью визуального наблюдения дефекации на несдерживаемой, содержавшейся в голоде и находящейся в сознании собаке. Результаты данного испытания приведены ниже в таблицах 2 и 3. Как можно видеть из результатов, представленных в таблицах 2 и 3, действие на перистальтику ободочной кишки как в проксимальной, так и в дистальной части ободочной кишки является гораздо более выраженным для соединения 1, чем для соединения 107. Данные, стимулирующие усиленную перистальтику свойства соединения 1, приводят в результате к более высокому числу случаев дефекации во время периода наблюдения после введения указанного соединения 1 по сравнению с числом дефекаций после введения соединения 107. Принимая во внимание в целом все приведенные выше исследования, о которых свидетельствуют результаты, приведенные в таблицах 1, 2 и 3, заявители считают, что эти результаты ясно демонстрируют превосходящие и неожиданные свойства соединения 1 рассматриваемой заявки, проявляющиеся в усилении перистальтики, по сравнению с соединением 107, описанным в ЕР-0445862. Следующие ниже примеры иллюстрируют готовые препаративные формы, включающие соединения настоящего изобретения, которые, если эксперт сочтет необходимым, могут быть добавлены в описание к данной заявке. Примеры композиции Следующие ниже готовые препаративные формы являются примерами типичных фармацевтических композиций в форме единичных доз, подходящих для системного и топического введения теплокровным животным в соответствии с настоящим изобретением. Пример 9: Растворы для перорального введения 9 г метил 4-гидроксибензоата и 1 г пропил 4-гидроксибензоата растворяется в 4 л кипящей очищенной воды. В 3 л данного раствора растворяют сначала 10 г 2,3-дигидроксибутандиовой кислоты, а после этого 20 г соединения 1. Последний раствор объединяется с оставшейся частью первого раствора, и к нему добавляется 12 л 1,2, 3-пропантриола и 3 л 70% раствора сорбита. 40 г натриевого сахарина растворяется в 0.5 л воды и добавляется 2 мл малиновой и 2 мл крыжовниковой эссенции. Последний раствор объединяют с первым, добавляют воду в количестве необходимом до объема 20 л, получая раствор для перорального введения, включающий 5 мг соединения 1 на чайную ложку (5 мл). Получающимся раствором заполняют подходящие контейнеры. Пример 10: Капсулы 20 г соединения 1, 6 г лаурилсульфата натрия, 56 г крахмала, 56 г лактозы, 0.8 г коллоидной двуокиси кремния и 1.2 г стеарата магния перемешивают энергично вместе. Получающимся раствором впоследствии заполняют 1000 подходящих затвердевших желатиновых капсул, каждая из которых включает 20 мг соединения 1. Пример 11: Таблетки, покрытые пленкой Получение сердцевины таблетки Смесь 100 г соединения 1, 570 г лактозы и 200 г крахмала хорошо смешивают и после этого увлажняют раствором 5 г додецилсульфата натрия и 120 г поливинилпирролидона (Kollindon-K 90R примерно в 200 мл воды. Смесь влажного порошка просеивают через сито, сушат и снова просеивают. Затем добавляют 100 г микрокристаллической целлюлозы (AvicelR) и 15 г гидрированного растительного масла (SterotexR). Все смешивают хорошо и прессуют в таблетки, получая 10000 таблеток, каждая из которых включает 10 мг активного ингредиента. Покрытие К раствору 10 г метилцеллюлозы (Methocel 60 HGR) в 75 мл денатурированного этанола добавляется раствор 5 г этилцеллюлозы (Ethocel спзR) в 150 мл дихлорметана. Затем добавляется 75 мл дихлорметана и 2.5 мл 1,2,3-пропантриола. 10 г полиэтиленгликоля расплавляется и растворяется в 75 мл дихлорметана. Последний раствор добавляется к первому, а затем добавляется 2.5 г октадеканоата магния, 5 г поливинилпирролидона и 30 мл концентрированной красящей суспензии (Opaspray К-1-2109R), и все гомогенизируется. Сердцевины таблеток покрывают полученной таким образом смесью в аппарате для нанесения покрытия. Формула изобретения
![]() или его фармацевтически приемлемая кислота-аддитивная соль. 2. Соединение по п.1, которое представляет моногидрохлорид 4-амино-5-хлор-2,3-дигидро-N-[1-(3-метоксипропил)-4-пиперидинил] -7-бензофуранкарбоксамида. 3. Соединение по п.1, которое представляет бутандиоат 4-амино-5-хлор-2,3-дигидро-N-[1-(3-метоксипропил)-4-пиперидинил] -7-бензофуранкарбоксамида (1:1). 4. Фармацевтическая композиция, обладающая энтерокинетическими свойствами, включающая фармацевтически приемлемый носитель и терапевтически эффективное количество соединения по любому из пп.1-3. 5. Способ получения фармацевтической композиции по п.4, согласно которому терапевтически эффективное количество соединения по любому из пп.1-3 тщательно смешивают с фармацевтически приемлемым носителем. 6. Соединение по любому из пп.1-3, обладающее энтерокинетическими свойствами. 7. Соединение по любому из пп.1-3, обладающее способностью ускорять прохождение содержимого через кишечник. 8. Способ получения соединения по п.1 или 2, по которому промежуточный продукт формулы II ![]() N-алкилируют алкилирующим реагентом формулы III CH3-O-(CH2)3-W, где W представляет подходящую уходящую группу, такую, как галоид, например хлор, или сульфонилокси уходящую группу, в реакционно инертном растворителе в присутствии подходящего основания, и, при желании, соединение формулы I превращают в терапевтически активную нетоксичную кислотно-аддитивную соль или, наоборот, кислотно-аддитивную соль превращают в форму свободного основания с помощью щелочи. 9. Способ получения соединения по п.1 или 2, по которому амин формулы V N-ацилируют карбоновой кислотой формулы IV ![]() ![]() и, при желании, соединение формулы I превращают в терапевтически активную нетоксичную кислотно-аддитивную соль или, наоборот, кислотно-аддитивную соль превращают в форму свободного основания с помощью щелочи. РИСУНКИ
|
||||||||||||||||||||||||||

(I)

5oC. По каплям при температуре ниже 10oC добавляли N, N-диэтилэтанамин (0,05 моль). По каплям добавляли этилхлорформиат (0,05 моль), и реакционную смесь перемешивали в течение 40 мин, поддерживая температуру ниже 10oC. Получаемую смесь добавляли по каплям в течение периода 20 мин к раствору 1-(3-метоксипропил)-4- пиперидинамина (0,05 моль) в трихлорметане (35 мл). Охлаждающую баню убирали, и реакционную смесь перемешивали в течение 150 мин. Смесь промывали водой (50 мл). Осадок отделяли фильтрованием через стеклянный фильтр и промывали водой и CHCl3. Фильтрат разделяли на слои. Отделенный органический слой промывали водой (50 мл) и 50% раствором NaOH (1 мл), сушили, фильтровали и растворитель выпаривали. Остаток перемешивали в 2-пропаноле (100 мл). Смесь подкисляли смесью HCl/2-пропанол (7,2 мл, 5,29 н). Смесь перемешивали в сечение 16 ч при комнатной температуре, и получаемый осадок отделяли фильтрованием, промывали 2-пропанолом (15 мл) и сушили (вакуум; 50oC), получая 12,6 г (62%) моногидрохлорида 4-амино-5- хлор-2,3-дигидро-N-[1-(З-метоксипропил)4-пиперидинил] -7- бензофуранкарбоксамида (соединение 1).
Пример 2
-,
– и мускариновых рецепторов в раствор добавляли фентоламин (10-6 М), пропанол (3
10-7 М) и атропин (3




