Патент на изобретение №2263110
|
||||||||||||||||||||||||||
(54) СПОСОБ ПОЛУЧЕНИЯ ПРОИЗВОДНЫХ ХИНОЛИНА
(57) Реферат:
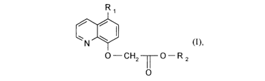
Изобретение относится к соединениям формулы (I), в которой R1 обозначает атом водорода или хлора, a R2 обозначает водородный атом, С1-С8алкил или С1-С8алкил, замещенный C1-С6алкокси или С3-С6алкенилокси, которые могут быть получены осуществлением следующих стадий: а) введение основной части от того количества соединения формулы (II), которое должно взаимодействовать, в смесь растворителей, включающую по меньшей мере один органический растворитель, способный образовывать с водой азеотроп, и по меньшей мере один апротонный биполярный растворитель; б) дозирование в водное сильное основание, взятое в количестве, эквивалентном основной части общего количества этого соединения формулы (II); в) добавление оставшейся части от того количества соединения формулы (II), которое должно взаимодействовать; г) добавление слабого основания в количестве, которое по меньшей мере эквивалентно этой оставшейся части; д) удаление воды из реакционной смеси азеотропной дистилляцией; е) добавление соединения формулы (III), в которой R2 имеет такие же значения, как указанные для формулы (I); и ж) выделение из реакционной смеси полученного соединения формулы (I). Технический результат: увеличение выхода и качества продукта. 1 з.п.ф-лы, 1 табл.
Настоящее изобретение относится к способу получения производных хинолина реакцией 8-гидроксихинолинов с эфирами хлоруксусной кислоты. Хинолиновые производные, используемые для защиты выращиваемых растений от фитотоксического действия гербицидов, известны, например, из ЕР-А 0094349 и US 5441922. В соответствии с ЕР-А 0094349 такие хинолиновые производные могут быть получены реакцией 8-гидроксихинолинов с производными хлоруксусной кислоты в присутствии основания в инертном растворителе при повышенной температуре. Достигаемый выход продукта оказывается неудовлетворительным, в особенности при крупномасштабном получении этих соединений. Более того, при осуществлении этого способа образуются нежелательные побочные продукты, например спирты, которые значительно снижают качество продукта. Целью настоящего изобретения является соответственно разработка способа получения производных хинолина, который характеризуется высоким выходом и хорошим качеством продукта и осуществление которого позволяет устранить недостатки известных способов. Предлагаемый в соответствии с изобретением способ получения соединения формулы I в которой R1 обозначает атом водорода или хлора, а R2 обозначает водородный атом, С1-C8алкил или С1-С8алкил, замещенный C1-С6алкокси или С3-С6алкенилокси, включает а) введение основной части от того количества соединения формулы II которое должно взаимодействовать, в смесь растворителей, включающую по меньшей мере один органический растворитель, способный образовывать с водой азеотроп, и по меньшей мере один апротонный биполярный растворитель; б) дозирование в водное сильное основание, взятое в количестве, эквивалентном основной части общего количества этого соединения формулы II; в) добавление оставшейся части от того количества соединения формулы II, которое должно взаимодействовать; г) добавление слабого основания в количестве, которое по меньшей мере эквивалентно этой оставшейся части; д) удаление воды из реакционной смеси азеотропной дистилляцией; е) добавление соединения формулы III в которой R3 имеет такие же значения, как указанные для формулы I; и ж) выделение из реакционной смеси полученного соединения формулы I. Соединение формулы I может быть выделено, например, осаждением из воды и фильтрованием с последующей сушкой. Особое предпочтение отдают выделению соединения формулы I из реакционной смеси после завершения реакционной стадии е) отгонкой растворителей, предпочтительно под пониженным давлением, преимущественно под вакуумом. После отгонки растворителей с целью нейтрализовать избыток основания в предпочтительном варианте в расплав продукта добавляют небольшое количество уксусной кислоты, после чего добавляют воды с целью удалить соли. Водную фазу отделяют, а фазу органического продукта вновь экстрагируют водой. Экстракции водой в предпочтительном варианте проводят при температурах от 80°С до температуры кипения реакционной смеси, преимущественно при температуре от 90 до 95°С. После отделения второй водной фазы воду, которая все еще растворена в расплаве продукта, можно отгонять под пониженным давлением, преимущественно под вакуумом. Исходное соединение формулы II в способе в соответствии с изобретением используют в виде двух частей. Основную часть, предпочтительно от 0,70 до 0,98 молярного экв. (от 1 молярного экв. в общей сложности), преимущественно 0,95 молярного экв., используют в качестве исходной порции в начале процесса, а оставшуюся часть вводят после добавления сильного основания. В предпочтительном варианте перед введением оставшуюся часть суспендируют в растворителе, обладающем апротонными биполярными свойствами, преимущественно в N-метилпирролидоне. Целесообразно использовать такой же растворитель, как уже использованный для основной части от общего количества соединения формулы II. Слабое основание добавляют либо в количестве, эквивалентном оставшейся части, либо в избытке, предпочтительно в количестве от 1 до 3 молярных экв., преимущественно 2 молярных экв., в пересчете на оставшуюся часть соединения формулы II. Органическими растворителями, способными образовывать с водой азеотроп, являются, например, толуол или ксилол, или их смеси, предпочтительно толуол. Растворителями, обладающими апротонными биполярными свойствами, являются, например, N-метилпирролидон, диметилформамид, диметилацетамид и ацетонитрил или их смеси, предпочтительно N-метилпирролидон. В контексте описания настоящего изобретения предпочтительными сильными основаниями являются гидроксиды щелочных металлов и щелочноземельных металлов, преимущественно гидроксид натрия и гидроксид калия. В контексте описания настоящего изобретения предпочтительными слабыми основаниями являются карбонаты щелочных металлов и щелочноземельных металлов, преимущественно карбонат натрия и карбонат калия. Соединение формулы III дозируют в эквивалентном количестве или в слабом избытке относительно общего количества используемого соединения формулы II. Предпочтение отдают применению небольшого избытка, преимущественно от 1,01 до 1,1 экв., более предпочтительно от 1,01 до 1,03 экв., наиболее предпочтительно 1,02 экв., соединения формулы III. В предпочтительном варианте реакцию соединения формулы II с соединением формулы III проводят под пониженным давлением, преимущественно под давлением от 10 до 50 кПа, более предпочтительно 25 кПа. Сильное основание добавляют при комнатной температуре или предпочтительно при повышенной температуре, преимущественно при температуре от 40 до 50°С, более предпочтительно от 42 до 45°С. Соединение формулы II взаимодействует с соединением формулы III при повышенной температуре, предпочтительно от 75 до 85°С, преимущественно от 78 до 80°С. Способ в соответствии с изобретением обладает рядом следующих преимуществ перед известными в данной области техники: обращение с соединением формулы II, используемым в сухом состоянии в качестве исходного материала, возможно только с предельными затруднениями технологического порядка, поскольку при этом образуются исключительно большие количества пыли. По этой причине такое соединение, как правило, хранят в форме, в которой предусмотрено наличие кристаллизационной воды, и оно обычно также технически доступно в этой же форме (содержание воды обычно составляет от примерно 30 до 50%). Содержание воды в используемом соединении формулы II обычно варьируется в настолько широком диапазоне, что после азеотропной дистилляции с толуолом необходимо определять точное содержание соединения формулы II в смеси; в противном случае невозможно с достаточной точностью рассчитать количества других реагентов, которые должны быть использованы, вследствие чего возможно дозирование избыточных или недостаточных их количеств, что приводит к значительным потерям выхода продукта и/или к снижению качества продукта. Осуществление способа в соответствии с изобретением позволяет устранить эти недостатки путем проведения процесса по особому методу с применением следующего простого технического приема. В начале процесса часть исходного соединения формулы II используют в качестве начальной порции, и сильное основание дозируют в нее до количественного превращения соединения формулы II в соответствующую соль. Когда во время добавления основания непрерывно измеряют рН, такой момент времени можно определить просто по скачку на кривой значений рН (рН>13, т.е. после завершения превращения в соль появляются свободные гидроксильные ионы). В результате с учетом расхода известного количества сильного основания можно точно рассчитать количества других исходных материалов. Еще одно преимущество способа в соответствии с изобретением заключается в том, что выделенный продукт формулы I может быть получен в форме расплава, и в этой же форме его можно хранить. В противоположность этому выделение соединения формулы I в форме сухого продукта сопряжено с затратами больших количеств труда и времени, поскольку в случае получения в промышленном масштабе продолжительность процесса сушки для удаления остаточной воды может достигать недели. Пример получения Получение 2-(5-хлорхинолин-8-илокси)-1-метилгексилового эфира формулы 4.01 В смесь 1705 кг (примерно 0,95 экв.) 5-хлор-8-гидроксихинолина (примерно 70%-ный, содержащий кристаллизационную воду) в 1400 кг толуола и 3200 кг N-метилпирролидона в сосуде с мешалкой при температуре от 42 до 45°С порциями добавляют 30%-ный водный гидроксид натрия до тех пор, пока добавление очередной порции не вызывает скачкообразного роста значения рН>0,5 и одновременно с этим значение рН составляет >13 (примерно от 740 до 840 кг). Затем в 200 кг N-метилпирролидона добавляют 5-хлор-8-гидроксихинолин в количестве, рассчитанном по расходу водного гидроксида натрия, таким образом, чтобы общее количество было равным 1 экв. (примерно 63 кг). После азеотропной отгонки воды добавляют карбонат калия (примерно 97 кг, что соответствует 0,1 экв. в пересчете на общее количество используемого 5-хлор-8-гидроксихинолина). Затем в реакционную смесь при температуре от 78 до 82°С и под давлением от 25 до 30 кПа добавляют 1,02 экв. 1-метилгексилового эфира хлоруксусной кислоты. После завершения реакции и отгонки растворителей под вакуумом до температуры 120°С при 80-95°С добавляют 80 кг 80%-ной уксусной кислоты. Далее при температуре от 80 до 95°С добавляют 4500 л деминерализованной воды. После разделения на слои продукт нижнего слоя в виде расплава при температуре от 80 до 95°С отделяют в 3700 л деминерализованной воды с температурой от 80 до 95°С во втором реакторе. После разделения на слои продукт нижнего слоя в виде расплава при температуре от 80 до 95°С отделяют в последующий реактор, а остаточную воду, сохраняющуюся в растворенной форме, отгоняют из расплава продукта под вакуумом при температуре от 80 до 115°С. Получают 2310 кг (94%-ный выход от теоретического в пересчете на 5-хлор-8-гидроксихинолин) 2-(5-хлорхинолин-8-илокси)-1-метилгексилового эфира, содержание которого составляет 95%. Способ в соответствии с изобретением особенно приемлем при получении соединений, представленных в следующей таблице. Таблица: соединения формулы I
Способ в соответствии с изобретением особенно приемлем при получении соединения 4.01.
Формула изобретения
1. Способ получения соединения формулы I в которой R1 обозначает атом водорода или хлора, а R2 обозначает атом водорода, C1-C8алкил или С1-С8алкил, замещенный C1-С8алкокси или С3-С6алкенилокси, включающий а) введение основной части от того количества соединения формулы II которое должно взаимодействовать, в смесь растворителей, включающую по меньшей мере один органический растворитель, способный образовывать с водой азеотроп, и по меньшей мере один апротонный биполярный растворитель; б) дозирование в водное сильное основание, взятое в количестве, эквивалентном основной части общего количества этого соединения формулы II; в) добавление оставшейся части от того количества соединения формулы II, которое должно взаимодействовать; г) добавление слабого основания в количестве, которое по меньшей мере эквивалентно этой оставшейся части; д) удаление воды из реакционной смеси азеотропной дистилляцией; е) добавление соединения формулы III в которой R2 имеет такие же значения, как указанные для формулы I, и ж) выделение из реакционной смеси полученного соединения формулы I. 2. Способ по п.1, в котором соединение формулы I выделяют из реакционной смеси после завершения реакционной стадии е) отгонкой растворителей из расплава продукта, экстракцией расплава продукта водой, а затем удалением из расплава продукта водной фазы.
|
||||||||||||||||||||||||||









