Патент на изобретение №2154482
|
||||||||||||||||||||||||||
(54) ИСПОЛЬЗОВАНИЕ ПИРИДИЛБИФОСФОНАТОВ В КАЧЕСТВЕ ТЕРАПЕВТИЧЕСКОГО СРЕДСТВА
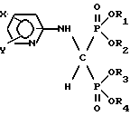
(57) Реферат: Настоящее изобретение относится к области медицины и касается применения тетраалкильных эфиров пиридиниламинометилиденбифосфоновой кислоты для лечения заболеваний костей, таких как остеолитическая болезнь кости, связанная со злокачественным новообразованием, болезнь Педжета, а также первичной и вторичной остеопороз, фармацевтической композиции и лечения заболевания костей. Изобретение позволяет повысить эффективность лечения. 3 с. и 4 з.п. ф-лы, 1 ил., 6 табл. Настоящее изобретение относится к специфической группе тетраэфиров пиридилбифосфоновой кислоты для использования их в качестве лечебного средства, в частности, для использования в случаях заболевания кости. Бифосфонаты представляют собой терапевтические средства, применяемые для лечения патологического разрушения кости различного происхождения, таких, как заболевание костей остеолитической природы, связанное со злокачественными новообразованиями, болезнь Педжета и остеопороз. Они являются аналогами физиологических неорганических пирофосфатов. Основная P-C-P структура бифосфонатов позволяет образовывать большое число различных соединений либо за счет изменения боковых цепей атомов углерода, либо за счет добавления групп на фосфаты. В целом, бифосфонаты ингибируют остеокласты, клетки, которые ответственны за резорбцию кости. Известные бифосфонаты связываются с костным матриксом, при этом они входят в рассасывающиеся остеокласты и снижают активность таких остеокластов. Они ингибируют резорбцию кости как in vitro, так и in vivo. Для известных бифосфонатов характерны ограниченное всасывание из желудочно-кишечного тракта, быстрое исчезновение в костной ткани и выделение с мочой в неизменном виде. В основе настоящего изобретения лежит идея создания производных бифосфонатов с высокой биологической доступностью при пероральном приеме, которые, кроме того, обладают низкой афинностью к кости. Это позволило бы избежать побочных явлений без потери антирезорбционной активности. В патентах US 4447256, DE 3831578 (Suzuki et el); JP 55089210, JP 55098105, JP 55043054, P 55043055 (Ниссан Кемикал Индастрис) раскрывается способ получения некоторых тетраалкиловых эфиров пиридиламинометиленбифосфоновой кислоты. В соответствии с этими патентами, описываемые соединения могут использоваться в качестве гербицидов. В патенте EP 337706 (Isomura et al.) раскрывается получение циклил- или гетероциклилзамещенных тетраэфиров аминометиленбифосфоновой кислоты, в которых кольцевой заместитель частично или полностью насыщен. Тетраэфиры не были исследованы. В патенте US 4973576 (Sakamoto et al.) раскрываются некоторые изоксазолилзамещенные тетраалкиловые эфиры аминометиленбифосфоновой кислоты, которые были испытаны при лечении артрита. Биологическая доступность их при пероральном приеме низкая. В патенте EP 282309 раскрываются азол-аминометиленбифосфоновые кислоты и их низшие алкиловые эфиры. Тетраэфиры не были исследованы. В патенте EP 325482 раскрываются циклоалкил-аминометиленбифосфоновые кислоты и их эфиры. Тетраэфиры не были исследованы. Настоящее изобретение относится к группе пиридил-бифосфонатов с новым фармакологическим и фармакокинетическим профилем. Эти новые пиридилбифосфонаты не ингибируют резорбцию кости in vitro, но способны ингибировать резорбцию кости iv vivo. Пиридилбифосфонаты не связываются с костным матриксом и по всей видимости нуждаются в метаболической активации. Таким образом, настоящее изобретение относится к тетраалкиловым эфирам пиридил-аминометиленбифосфоновой кислоты, которые могут быть не обязательно замещены на пиридиновом кольце, в частности, к производным метиленбифосфоновой кислоты общей формулы 1. ![]() в которой каждый из радикалов от R1 до R4 представляет собой линейную или разветвленную насыщенную C1-C5-алкильную группу, каждый из X и Y представляет собой независимо друг от друга водород, линейную или разветвленную насыщенную C1-C5-алкильную группу, галоген, гидроксильную группу, C1-C5-алкокси, бензилокси, ацилокси, нитрогруппу, трифторметильную группу или NR5R6, где R5 и R6 могут быть одинаковыми или различаться и представляют собой водород, C1-C5-алкил, или – ацил, предназначенным для использования их в качестве терапевтических средств. Группы X и Y, а также аминогруппа эфирной структуры в метиленбифосфоновой кислоте могут замещать одно из любых положений от 2 до 6 в пиридильном кольце. Группы X и Y представляют собой предпочтительно водород или гидроксильные группы, в последнем случае предпочтительны одна или две гидроксильные группы. Пиридильная группа представляет собой предпочтительно 2-пиридильную группу. Галоген представляет собой фтор, хлор, бром или йод. C1-C5-алкильные группы представляют собой линейную или разветвленную группу, такую как метил, этил, n-, i-пропил, n-, i- и t-бутил или -пентил, предпочтительно метил или этил. Алкильная группа в алкокси группе, как и в случае X и Y, может иметь приведенное выше значение, которое предпочтительно означает метил или этил. Ацил в определении ацилокси-группы, как в случае X и Y или в определении R5 или R6, представляет собой предпочтительно низшую алкильную карбонильную группу, которая содержит от 1 до 5 атомов углерода и имеет значение, данное выше, предпочтительно это метил или этил. Группы от R1 до R4 предпочтительно имеют одинаковые значения и преимущественно являются этилом. Предпочтительные соединения настоящего изобретения представлены приведенными ниже соединениями: Тетраэтиловый эфир [(2-пиридиниламино)метилиден]бифосфоновой кислоты, Тетраэтиловый эфир [[(3-гидpoкcи-2-пиpидинил)амино]метилиден] бифосфоновой кислоты, Тетраэтиловый эфир [[(6-метокси-З-пиридил)амино]метилиден]бифосфоновой кислоты, Тетраэтиловый эфир [(4-пиридиниламино)метилиден]бифосфоновой кислоты, Тетраэтиловый эфир [[(5-xлop-2-пиpидинил)aминo] метилиден]бифосфоновой кислоты, Тетраэтиловый эфир [[(5-метокси-2-пиридинил)амино]метилиден] бифосфоновой кислоты, Тетраэтиловый эфир [[(6-амино-2-пиридинил)амино]метилиден]- бифосфоновой кислоты, Тетраэтиловый эфир [[(3-нитpo-2-пиpидинил)амино]метилиден] бифосфоновой кислоты Тетраэтиловый эфир [[(3,5-дихлор-2-пиридинил)амино]метилиден] бифосфоновой кислоты, Тетраэтиловый эфир [[(6-гидрокси-3-пиридинил)амино]метилиден] бифосфоновой кислоты, Тетраэтиловый эфир [[(5-гидрокси-2-пиридинил)амино]метилиден] бифосфоновой кислоты, Тетраэтиловый эфир [[(3-хлор-5-трифторметил-пиридинил)амино] метилиден] бифосфоновой кислоты, Тетраэтиловый эфир [[(2-xлop-3-пиpидинил)амино]метилиден] бифосфоновой кислоты, Тетраэтиловый эфир [[(6-хлор-З-пиридинил)амино]метилиден] бифосфоновой кислоты, Тетраэтиловый эфир [[(3-бензилокси-2-пиридинил)амино]метилиден] бифосфоновой кислоты, Тетраэтиловый эфир [[(5-нитро-2-пиридинил)амино]метилиден] бифосфоновой кислоты, Тетраэтиловый эфир [[(5-бензилокси-2-пиридинил)амино]метилиден] бифосфоновой кислоты. N-замещенные тетраэфиры (аминоалкилиден) бифосфоновой кислоты могут быть получены с помощью известного способа, то есть при взаимодействии аминозамещенного соединения с алкил-ортоформиатом и дальнейшем взаимодействии полученного таким образом в качестве интермедиата иминоэфирного производного с диалкилфосфитом либо в полученном виде, либо в очищенной форме. По второму методу подходящий аминопиридин вначале вступает в реакцию со смесью муравьиной кислоты/уксусным ангидридом. Полученный формамид взаимодействует затем с тригалогенидом фосфора и триалкилфосфитом. Тетраэфиры аминоалкилидинбифосфоновой кислоты могут быть также получены в ходе взаимодействия аминопиридинового производного с галогенметилфосфонатом и последующей реакции полученного таким образом соединения после бромирования с триалкилфосфитом (Schrader et al. Synthesis (1986), 372). Описываемые соединения используются для лечения у млекопитающих заболеваний кости, таких как остеолитические болезни кости, связанные со злокачественными новообразованиями, болезнь Педжета, а также первичный и вторичный остеопороз. Активность описываемых соединений была подтверждена в исследованиях на животных и in vitro. Методы и результаты таких исследований представлены ниже. У нормально растущих крыс репрезентативное соединение в виде тетраэтилового эфира [(2- пиридиниламино)метилилен]бифосфоновой кислоты снижал спонтанную резорбцию кости, как показывал метод оценки по выведению тетрациклина с мочой и у хронически предварительно меченных крыс. Указанные соединения были также эффективны для предупреждения разрежения кости в случаях экспериментального пороза, индуцированного разрезом седалищного нерва у крыс. Не было показано никакого воздействия in vitro на культуру ткани черепа мышей, как показал тест на высвобождение кальция. Этот результат позволяет предположить, что соединение метаболизируется раньше, чем может быть обнаружен фармакологический эффект. Родительское соединение не демонстрирует какого-либо связывания на кристаллах гидроксиапатита in vitro. Фармакокинетика соединения – тетраэтилового эфира [(2- пиридиниламино)метилиден] бифосфоновой кислоты была исследована на крысах. Небольшие количества внутривенной дозы выделялись в виде родительского соединения в течение 24 часов в мочу, поддерживая представление о его метаболизации. Примерно половина пероральной дозы упомянутого соединения подвергалась всасывания в организме крыс. Следующие примеры иллюстрируют настоящее изобретение, не ограничивая его каким-либо образом. Пример 1 Синтез тетраэтилового эфира [(2-пиридиниламино)метилидин] бифосфоновой кислоты: 2-аминопиридин (0,2 моля) смешивают с триэтилортоформиатом (0,8 моля) и этератом трифторида бора и нагревают смесь при температуре 150oC в течение 4 часов, в результате чего происходит отгонка образованного в реакции этанола. Триэтилортоформиат отгоняют в вакууме. К реакционной смеси добавляют диэтилфосфит (0,4 моля) и нагревают смесь при температуре 150oC до отгонки образованного этанола. Смесь охлаждают и грубый продукт очищают с помощью хроматографии (элюент: дихлорметан-метанол, 1: 1). Выход составляет 29 граммов (37%). Полученный продукт имеет следующие физико-химические характеристики: 31P-ЯМР (CDCl3) 15,52 ppm 1H-ЯМР (CDCl3) (см. табл. А). Пример 2 Получение тетраэтилового эфира [[(5-хлор-2-пиридинил) амино]метилиден-бифосфоновой кислоты. 5-хлор-2-пиридин (0,2 моля) смешивают с триэтилортоформиатом (0,8 моля) и этератом трифторида бора и нагревают смесь при температуре 150oC в течение 4 часов. Образовавшийся в ходе реакции этанол отгоняют. Триэтилортоформиат отгоняют в вакууме. К реакционной смеси добавляют диэтилфосфит (0,8 моля) и нагревают смесь при температуре 150oC до отгонки образовавшегося этанола. Смесь охлаждают, а грубый продукт чистят с применением хромотографии (элюент: дихлорметан-метанол, 1: 1). Выход составляет 26,5 граммов (32%). (31P-ЯМР 15,20 ppm CDCl3) Сходным образом могут быть получены: Тетраэтиловый эфир [[(3,5-дихлор-2-пиридинил)амино]метилиден] бифосфоновой кислоты (31P ЯМР, 14,59 ppm, CDCl3). Тетраэтиловый эфир [[(3-хлор-5-трифторметил-пиридинил)амино] метилиден] бифосфоновой кислоты (31P-ЯМР, 14,15 ppm; CDCl3. Тетраэтиловый эфир [[(5-гидрокси-2- пиридинил)амино]метилиден]бифосфоновой кислоты (масс-спектр (E1 Mass): 396 М, 350 M-EtOH, 259 M-P(O)(OC2H5)2. Тетраэтиловый эфир [[(5-нитро-2-пиридинил)амино]метилиден] бифосфоновой кислоты (31P-ЯМР, 13,97 ppm; CDCl3). Тетраэтиловый эфир [[(5-бензилокси-2-пиридинил)амино]метилиден] бифосфоновой кислоты. Тетраэтиловый эфир [[(5-метокси-2-пиридинил)амино] метилиден] бифосфоновой кислоты. Тетраэтиловый эфир [[(3,5-диметокси-2-пиридинил)амино] метилиден]бифосфоновой кислоты. Пример 3 Получение тетраэтилового эфира [[(3-гидрокси-2-пиридинил) амино]метилиден]бифосфоновой кислоты. 2-амино-3-гидроксипиридин подвергают O-бензилированию с помощью бензилхлорида в двухфазной системе при наличии катализатора фазового переноса (Bristol et al. Synthesis 1981, 971). 2-амино-3-бензилоксипиридин (0,1 моля) растворяют в дихлорметане, а полученный раствор охлаждают до температуры 0oC. К раствору добавляют 50 мл муравьиной кислоты/уксусного ангидрида (5:3) и перемешивают полученную смесь в течение ночи при комнатной температуре. Реакционную смесь концентрируют, а остаток промывают диизопропиловым эфиром с получением 11,4 г 6-метокси-3-формамида, 10 мл трихлорида фосфора и 1,5 мл триэтилфосфита нагревают при температуре 60 -70oC в течение 1 часа. К раствору добавляют 3-бензилоксипи-ридил-2-формамид (0,01 моля) и перемешивают полученную смесь в течение 5 часов при комнатной температуре. Реакционную смесь концентрируют и чистят хроматографически (элюент:дихлорметан-метанол, 2: 1) с получением 0,8 г тетраэтилового эфира [[(3-бензилокси-2-пиридинил) амино]метилиден]бифосфоновой кислоты. Бензильную группу гидрогенизируют с получением 0,4 г тетраэтилового эфира [[(3- гидрокси-2-пиридинил)амино] метилиден]бифосфоновой кислоты (масс-спектр (E1 Mass): 396 М, 350 M-EtOH, 259 M-P(O)(OC2H5)2. Аналогичным образом могут быть получены: Тетраэтиловый эфир [[(6-бензокси-3-пиридинил)амино]метилиден] бифосфоновой кислоты, Тетраэтиловый эфир [[(6-гидрокси-3-пиридинил)амино]метилиден] бифосфоновой кислоты, Пример 4 Получение тетраэтилового эфира [[(6-хлор-З-пиридинил) aминo]метилиден] бифocфoнoвoй кислоты. Диэтилйодметилфосфонат получают в соответствии с методикой Cade, J.Chem. Soc., 1959, 2266. 6-хлор-3-аминопиридин алкилируют с применением диэтил- йодметилфосфаната и амида натрия в качестве основания в соответствии с известными методиками. Полученный диэтиловый эфир 6-хлор-3-пиридиниламино-метилфосфоновой кислоты (0,5 моля) и N-бромсукцинимид (0,5 моля) в безводном четыреххлористом углероде облучают в течение 2-х часов с помощью лампы в 200 V. Твердые вещества отфильтровывают, промывают остаток в четырехуксусном хлористом углероде и концентрируют в вакууме. Полученный диэтиловый эфир 6-хлор-3-пиридиниламино(бромметил)-фосфоновой кислоты (0,1 моля) нагревают в тетрагидрофуране с триэтилфосфитом (0,1 моля) при 50oC в течение 4-х часов. Реакционную смесь концентририуют в вакууме. Продукт чистят хроматографически (элюент: дихлорметан-метанол, 9:1). Выход составляет 5,1 г. Аналогичным способом могут быть получены: Тетраэтиловычй эфир [[(2-хлор-3-пиридинил)амино]метилиден] бифосфоновой кислоты. Тетраэтиловый эфир [[(6-метокси-3-пиридинил)амино]метилиден] бифосфоновой кислоты. Тетраэтиловый эфир [(4-пиридиниламино)метилиден]бифосфоновой кислоты. Тетраэтиловый эфир [[(6-амино-2-пиридинил)амино]метилиден] бифосфоновой кислоты. Тетраэтиловый эфир [[(3-нитро-2-пиридинил)амино]метилиден] бифосфоновой кислоты. Тетраэтиловый эфир [[(2-хлор-3-пиридинил)амино]метилиден] бифосфоновой кислоты. Тетраэтиловый эфир [[(5-aцилoкcи-2-пиpидинил)aминo]метилиден] бифосфоновой кислоты. Оценка воздействия на спонтанную резорбцию кости с помощью теста на выведение тетрациклина с мочой у предварительно меченых крыс: Использовали самцов крыс Спрэг-Доли (Spraque-Dawley). Начиная с первой недели жизни крысам инъецируют подкожно раствор, содержащий 10 мкCi/мл (7- 3H(N) тетрациклина, растворенного в физиологическом растворе. Инъекции проводят 2 раза в неделю в течение 6 недель. Каждое животное получает в целом 20 мкCi радиоактивного тетрациклина. Все крысы получают нормальную пищу, необходимую для растущих животных и воду libitum. Через неделю после проведения последней инъекции радиоактивного тетрациклина крыс взвешивают и начинают кормление с применением диеты для взрослых животных. На 5-й день крыс распределяют случайным образом по группам и помещают в, индивидуальные метаболические камеры. В течение 10 дней проводят сбор 24-часовой мочи. Начиная со 2 дня вводят подкожно в различных дозах ежедневно в течение 6 дней соединение 1, представляющее собой тетраэтиловый эфир [(2-пиридиниламино) метилиден]бифосфоновой кислоты, растворенное в физиологическом растворе. Контрольным животным давали физиологический раствор. Объем мочи измеряли и определяли радиоактивность в образцах мочи с помощью жидкостно-сцинтилляционного счетчика. Для определения максимального ингибирования выведения тетрациклина вычисляли данные в виде отношения результатов для обработанных/контрольных животных на каждый день. Выведение неметаболизированного тетрациклина с мочой отражает его удаление из кости в ходе резорбтивных процессов и таким образом позволяет проводить постоянный мониторинг процесса резорбции кости. Как показано в таблице 1 (соединение 1), имеет место зависимое от дозы ингибирования выведения радиоактивного тетрациклина, что указывает на ингибирование процесса резорбции кости. Воздействие на индуцированный иммобилизацией остеопороз у крыс. Крыс-самцов Спрэг-Доли (Spraque-Dawlei), весящих 200 25 г, случайным образом распределяют по весу по группам и проводят анастезию с помощью Гипнорма/Мебуната и Темгезии (Hypnorm/Mebunat and Temqesic). Делают задне-боковое сечение на правом или левом бедре, обнажая седалищный нерв и вырезают участок в 0,5 см. Мышцы и кожу сшивают, а животное помещают в камеру. Противоположную относительно боковой стороны конечность оставляют без воздействия. Соединение 1, растворенное в физиологическом растворе, вводят посредством подкожной инъекции ежедневно в различных дозах, начиная со 2 дня до операции и затем до 20 дня после нейрэктомии. Контрольным животным давали только физиологический раствор. Животных с двойной меткой с флуорохромом, получавших его через установленные временные интервалы, умерщвляют на 21 день после нейрэктомии и удаляют участки бедра. Бедра помещают в метилметакрилат, разрезают и окрашивают. Метафизарный вторичный спонгиоз и диафизарный кортикальный слой костей бедра животных подвергают гистоморфометрическому анализу. У контрольных крыс общая площадь кости бедра снижается в иммобилизованной конечности. Как показано на таблице 2, соединение 1 уменьшает в зависимом от дозы режиме площадь бедренной кости в иммобилизованной конечности. При этом не было обнаружено какого-либо разрушительного воздействия на уровень отложения минеральных компонентов в кортикальном слое кости (данные не представлены).
Действие на кость in vitroНоворожденных мышей метили с помощью подкожных инъекций 45Ca в течение четырех дней до умерщвления. Фрагменты кости свода черепа получали с помощью микроиссечений из теменных костей, после их предварительной инкубации в культуральной среде с индометацином, промывали и затем культивировали в течение трех дней при наличии соединения 1 и в его отсутствие. Резорбция кости стимулировалась введением паратиреоидного гормона (ПТГ, 10 нМ), было измерено ингибирующее воздействие на такую стимулированную резорбцию. Как показано в Таблице 3, in vitro не было продемонстрировано ингибирования резорбции кости, за исключением случаев применения очень высоких нефизиологических концентраций. Для определения наличия связывания соединения 1 с минеральными компонентами кости тетрагидрат 14C-двунатрий-клодронта и кристаллы гидроксиапатита инкубируют при комнатной температуре в буфере на основе барбитуровой кислоты при физиологическом значении pH в присутствии и в отсутствие соединения 1 в разных концентрациях. Через два часа инкубации смесь центрифугируют и в супернатанте измеряют процент общей специфически связанной радиоактивности. Вплоть до концентрации 500 мкМ не было отмечено связывания соединения 1 с гидроксиапатитом (таблица 3). Фармакокинетика Биологическую доступность определяли, исходя из величины общего количества соединения, выделяемого с мочой в течение 24 часов или на основе данных по концентрации его в сыворотке крови в различные временные точки после перорального или внутривенного введения. Образцы мочи и крови анализируют на наличие исследуемого соединения 1 с применением метода высокоэффективной жидкостной хроматографии. В количестве ниже 10% от принимаемой перорально дозы и 14% от вводимой внутривенно дозы соединение выделялось в качестве родительского соединения в течение 24 часов (таблица 4, биологическая доступность 58%). Биологическая доступность соединения 1, оцениваемая по концентрации его в крови, составляла 44%. Общая плотность большой берцовой кости представлена на чертеже Введение соединения примера 3 иммобилизованным крысам приводит к значительному увеличению плотности большой берцовой кости как иммобилизованной, так и интактной конечности по сравнению с контрольными крысами, которым вводили физиологический раствор (NaCl). ФАРМАЦЕВТИЧЕСКИЙ ПРЕПАРАТ Соединения можно вводить энтерально, парэнтерально или подкожно в виде любых стандартных лекарственных форм, таких как таблетки, капсулы, сиропы, растворы или суспензии. Так же могут быть использованы любые адьюванты для производства, растворения и введения препарата, так же как и буферные растворы, стабилизаторы или агенты, обеспечивающие желаемую вязкость или создающие суспензию. Вышеупомянутые адьюванты включают, например, тартратные и цитратные буферные растворы, спирты, ЕДТА и другие образующие комплексы агента, твердые и жидкие полимеры и другие стерильные субстраты, крахмал, лактозу, маннит, метилцеллюлозу, тальк, жиры и, если необходимо, ароматизаторы и подсластители. Доза зависит от различных факторов, например, от способа введения, вида, возраста и индивидуальных свойств. Ежедневная доза составляет от около 1 до 1000 мг, обычно 10-200 мг в день, причем эта доза может быть введена однократно или разделена на несколько введений. Типичный состав капсулы или таблетки представлен в табл. 5. Для медицинского применения при парэнтеральном введении препарат может быть приготовлен, например, в виде концентрата для инфузий или в виде раствора для инъекций. В случае концентрата для инфузий можно использовать стерильную воду, фосфатный буфер, NaCl, NaOH или HCl или другие известные фармацевтические адьюванты, а в случае инъекций можно также использовать любые подходящие фармацевтические консерванты. Формула изобретения
![]() в которой каждый из радикалов от R1 до R4 представляет собой линейную или разветвленную насыщенную С1 – С5-алкильную группу, каждый из Х и Y представляет собой независимо друг от друга водород, линейную или разветвленную насыщенную С1 – С5-алкильную группу, галоген, гидроксильную группу, С1 – С5-алкокси, бензилокси, ацилокси, нитрогруппу, трифторметильную группу или NR5R6, где R5 и R6 могут быть одинаковыми или различаться и представляют собой водород С1 – С5-алкил, или -ацил в качестве активного агента для приготовления фармацевтической композиции для лечения заболеваний костей, таких, как остеолитическая болезнь кости, связанная со злокачественным новообразованием, болезнь Педжета, а также первичный и вторичный остеопороз. 2. Применение по п.1, отличающееся тем, что С1 – С5-алкил, включая также алкильную группу, входящую в состав алкокси и ацильной группы, представляет собой метил или этил, а галоген представляет собой хлор. 3. Применение по п.1 или 2, отличающееся тем, что группы от R1 до R4 одинаковые и предпочтительно представляют собой этил. 4. Применение по п. 3, отличающееся тем, что пиридинильная группа представляет собой 2-пиридинил. 5. Применение по п.1, отличающееся тем, что активный агент представляет собой: Тетраэтиловый эфир [[(2-пиридинил-амино)-метилиден] бисфосфоновой кислоты; тетраэтиловый эфир [[(3-гидрокси-2-пиридинил)метилиден]бифосфоновой кислоты; тетраэтиловый эфир [[(6-метокси-3-пиридинил)амино]мтилиден]бифосфоновой кислоты; тетраэтиловый эфир [[(4-пиридиниламино]-метилиден]бифосфоновой кислоты; тетраэтиловый эфир [[5-хлор-2-пиридинил)амино] метилиден] бифосфоновой кислоты; тетраэтиловый эфир [[(5-метокси-2-пиридинил)амино]метилиден]бифосфоновой кислоты; тетраэтиловый эфир [[(6-амино-2-пиридинил)метилиден] бифосфоновой кислоты; тетраэтиловый эфир [[(3-нитро-2-пиридинил)амино]метилиден]бифосфоновой кислоты; тетраэтиловый эфир [[(3,5-дихлор-2-пиридинил)амино] метилиден]бифосфоновой кислоты; тетраэтиловый эфир [[(6-гидрокси-3-пиридинил)амино] метилиден]бифосфоновой кислоты; тетраэтиловый эфир [[(5-гидрокси-2-пиридинил)амино] метилиден]бифосфоновой кислоты; тетраэтиловый эфир [[(3-хлор-5-трифторметил-пиридинил)амино]метилиден] бифосфоновой кислоты; тетраэтиловый эфир [[(2-хлор-3-пиридинил)амино] метилиден]бифосфоновой кислоты; тетраэтиловый эфир [[(6-хлор-3-пиридинил)амино] метилиден]бифосфоновой кислоты; тетраэтиловый эфир [[(5-нитро-2-пиридинил)амино]метилиден]бифосфоновой кислоты или тетраэтиловый эфир [[(5-бензилокси-2-пиридинил)амино]метилиден]бифосфоновой кислоты. 6. Фармацевтическая композиция для лечения заболеваний костей, таких, как остеолитическая болезнь кости, связанная со злокачественным новообразованием, болезнь Педжета, а также первичный и вторичный остеопороз, отличающаяся тем, что содержит фармацевтически приемлемый носитель и эффективное количество соединения, раскрытого в пп.1 – 5. 7. Способ лечения заболеваний костей, таких, как остеолитическая болезнь кости, связанная со злокачественным новообразованием, болезнь Педжета, а также первичный и вторичный остеопороз, включающий введение в организм млекопитающего, пораженного заболеванием, эффективного количества соединения, раскрытого в пп.1 – 5 или композиции по п.6. РИСУНКИ
|
||||||||||||||||||||||||||


25 г, случайным образом распределяют по весу по группам и проводят анастезию с помощью Гипнорма/Мебуната и Темгезии (Hypnorm/Mebunat and Temqesic). Делают задне-боковое сечение на правом или левом бедре, обнажая седалищный нерв и вырезают участок в 0,5 см. Мышцы и кожу сшивают, а животное помещают в камеру. Противоположную относительно боковой стороны конечность оставляют без воздействия. Соединение 1, растворенное в физиологическом растворе, вводят посредством подкожной инъекции ежедневно в различных дозах, начиная со 2 дня до операции и затем до 20 дня после нейрэктомии. Контрольным животным давали только физиологический раствор. Животных с двойной меткой с флуорохромом, получавших его через установленные временные интервалы, умерщвляют на 21 день после нейрэктомии и удаляют участки бедра. Бедра помещают в метилметакрилат, разрезают и окрашивают. Метафизарный вторичный спонгиоз и диафизарный кортикальный слой костей бедра животных подвергают гистоморфометрическому анализу. У контрольных крыс общая площадь кости бедра снижается в иммобилизованной конечности. Как показано на таблице 2, соединение 1 уменьшает в зависимом от дозы режиме площадь бедренной кости в иммобилизованной конечности. При этом не было обнаружено какого-либо разрушительного воздействия на уровень отложения минеральных компонентов в кортикальном слое кости (данные не представлены).
Действие на кость in vitro