Патент на изобретение №2154476
|
||||||||||||||||||||||||||
(54) ПРИМЕНЕНИЕ ТЕТРАГИДРОБЕНЗ /cd/ИНДОЛ-6-КАРБОКСАМИДОВ ДЛЯ ПРЕДОТВРАЩЕНИЯ РВОТЫ, ФАРМАЦЕВТИЧЕСКИЕ ПРЕПАРАТЫ НА ИХ ОСНОВЕ
(57) Реферат: Изобретение относится к новому средству предотвращения рвоты у млекопитающих и к фармацевтическим препаратам на его основе. Средство представляет собой тетрагидробенз[сd]индолы общей формулы I, в которой R1 – водород, С1-С4-алкил или аллил; R2 – водород, С1-С4-алкил или аллил; R3 и R4– каждый независимо водород, С1-С4-алкил, C1-C4-алкил, замещенный фенильной группой, фенил или R3 и R4, взятые вместе с атомом азота, к которому они присоединены, образуют C3-C5-гетероциклическое кольцо, при условии, что только один из R3 и R4 может быть водородом, в то время как другой из R3 и R4 должен быть не водородом; или его фармацевтически приемлемая кислотно-аддитивная соль. Заявленное средство проявляет более высокую активность, чем известные гексагидробензиндолы. 4 с. и 5 з.п. ф-лы, 4 табл.
Настоящее изобретение относится к способу предотвращения рвоты и лечению половой дисфункции у млекопитающих, а также к фармацевтическим препаратам для такого лечения. В течение ряда лет проводились значительные исследования, направленные на разработку соединений, способных предотвращать рвоту и лечить половую дисфункцию у млекопитающих. Например, буспирон, 8-гидрокси-дипропиламино тетралин, йогимбин, скополамин, и различные антагонисты серотонина-3 оценивались для предотвращения рвоты. Однако до настоящего времени такие соединения считались неудовлетворительными как противорвотные средства по ряду причин, включающих небезопасность для пациента, недостаточную эффективность, наличие нежелательных побочных действий и отсутствие противорвотной активности широкого спектра. Таким же образом бромокриптин, йогимбин, бупропион, налтрексон, метисергид, буспирон и гармон выделения гонадотропина – все оценивались на лечение половой дисфункции. Эти соединения также оказались неудовлетворительными в лечении половой дисфункции по многим схожим причинам, описанным выше. Цель настоящего изобретения – предложить новый способ предотвращения рвоты и лечения половой дисфункции у млекопитающих, способ, который включает введение соединения, выбранного из некоторых тетрагидробенз[cd]индолов с общей формулой ![]() Полагают, что тетрагидробенз[cd]индолы, используемые в заявленном здесь способе, обеспечивают безопасный, широкий спектр возможностей в предотвращении рвоты и лечении половой дисфункции с минимальными побочными действиями. Как таковой, заявленный способ лишен многих недостатков, наблюдающихся при использовании соединений, ранее опробованных для лечения половых дисфункций и предотвращения рвоты. Поскольку настоящее изобретение предусматривает новый способ предотвращения рвоты и лечения половой дисфункции млекопитающих, потребуются фармацевтические препараты, пригодные для такого нового способа. Соответственно, другая цель этого изобретения – предложить фармацевтические препараты, пригодные для использования в заявленном способе. Целью настоящего изобретения является использование некоторых тетрагидробенз[cd]индолов общей формулы ![]() Такие соединения известны в области техники, как описывается ниже, и они обладают многими полезными свойствами. Flaugh, патент США N 4576959 раскрывает, что первичные аминокарбоксамидные соединения, используемые в настоящем изобретении /т.е. те соединения, в которых R3 и R4 оба водород/ являются центральными агонистами серотонина. Кроме того, изученные соединения полезны в лечении депрессии, ожирения, алкоголизма, табакокурения и старческого слабоумия. Действительно, одно из соединений, раскрытое в патенте Flaugh, а именно / /-4-дипропил-амино-1,3,4,5-тетрагидробенз[cd] индол-6-карбоксамид, в настоящее время проходит клинические испытания для использования в лечении депрессии у людей.
Leander, US патент США N 4745126, выявил, что первичные aмино карбоксамидные соединения, раскрытые в вышеупомянутом патенте Flaugh, также полезны в лечении страха. Одно из соединений, раскрытое в патенте Leander, а именно, соединение 6-карбоксамида, описанное выше, также в данное время проходит клинические испытания для лечения страхов и беспокойства у людей.
Наконец, в европейской патентной заявке 392768 раскрывается, что замещенные соединения аминокарбоксамида, используемые в настоящем изобретении /т. е. те соединения, в которых R3 и/или R4 отличен от водорода/, полезны в лечении состояний, требующих усиления функции серотонина в организме. Такие состояния можно определить как включающие депрессию, страх, алкоголизм, ожирение, табакокурение, половую дисфункцию и старческое слабоумие.
Первичные соединения аминокарбоксамида, используемые в способе настоящего изобретения, до сих пор не раскрывались с точки зрения возможности использования для предотвращения рвоты или лечения половой дисфункции у млекопитающих. Более того, замещенные соединения аминокарбоксамида, используемые в способе настоящего изобретения, до сих пор не были раскрыты как полезные в предотвращении рвоты. Известная активность таких соединений, как описано выше, не предполагается в способе настоящего изобретения. Соответственно, целью настоящего изобретения является получение новых фармакологических применений и препаратов для некоторых известных тетрагидробенз[cd]индолов.
Другие цели, характеристики и преимущества настоящего изобретения станут очевидными из последующего описания и прилагаемой формулы.
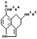
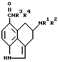
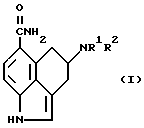
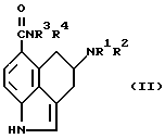
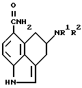
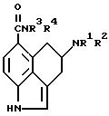
Как упоминалось выше, настоящее изобретение предлагает способ предотвращения рвоты и лечения половой дисфункции у млекопитающих, включающий введение млекопитающему, подверженному приступам рвоты, или страдающему от нее, или страдающему половой дисфункцией, эффективного количества соединения формулы I![]() в которой: R1 – водород, C1-C4-алкил или аллил; R2 – водород, C1-C4-алкил или аллил; или их кислотно-аддитивная фармацевтически приемлемая соль. Настоящее изобретение также предусматривает способ предотвращения рвоты у млекопитающих, включающий введение млекопитающему, подверженному приступам рвоты или страдающему от нее, эффективного количества соединения формулы II ![]() в которой: R1 – водород, C1-C4-алкил или аллил; R2 – водород, C1-C4-алкил или аллил; R3 и R4 – каждый независимо водород, C1-C4-алкил, C1-C4-алкил, замещенный фенильной группой, фенил или R3 и R4, взятые вместе с атомом азота, к которому они присоединены, образуют гетероциклическое кольцо C3-C5 при условии, что только один из R3 и R4 может быть водородом, в то время как другой из R3 и R4 должен быть отличен от водорода; или его фармацевтически приемлемой кислотно-аддитивной соли. Наконец, поскольку настоящее изобретение предлагает новые способы предотвращения рвоты и лечения половой дисфункции у млекопитающих, потребуются фармацевтические препараты, приемлемые для таких способов лечения. Соответственно, настоящее изобретение также предлагает фармацевтические препараты, полезные в предотвращении рвоты и лечении половых дисфункций, включающие соединение формулы I или II или их фармацевтически приемлемую кислотно-аддитивную соль в комбинации с одним или несколькими фармацевтически приемлемыми носителями, разбавителями или наполнителями. Используемый здесь термин “C1-C4-алкил” означает прямую или разветвленную алкильную группу с 1-4 атомами углерода. Обычно C1-C4-алкильные группы включают метил, этил, н-пропил, изопропил, н-бутил, втор-бутил и другие. Термин “C3-C5-гетероциклическое кольцо” включает пирролидин, пиперидин, морфолин и другие. Хотя все соединения формул I и II считаются полезными для способов лечения рвоты и половой дисфункции, только некоторые из соединений I и II предпочтительны для таких применений. Предпочтительно R1 и R2 в формулах I и II – оба C1-C4-алкил /особенно, н-пропил/ и R3 и R4 в формуле II либо оба метил, либо R3 – метил, а R4 – водород. Другие предпочтительные аспекты изобретения указаны далее. Фармацевтически приемлемые кислотно-аддитивные соли соединений формулы I и II также полезны в раскрытых здесь способах предотвращения рвоты и лечения половой дисфункции. Соответственно, такие соли включены в объем способов этого изобретения. Термин “фармацевтически приемлемые кислотно-аддитивные соли”, используемый здесь, относится к кислотно-аддитивным солям соединений формул I и II, которые практически не токсичны для живых организмов. Типичные фармацевтически приемлемые кислотно-аддитивные соли включают те соли, которые получают реакцией формы свободного основания соединений формул I или II с фармацевтически приемлемой минеральной или органической кислотой. Фармацевтически приемлемые минеральные или органические кислоты, общеиспользуемые для получения таких солей, включают неорганические кислоты, такие, как хлористоводородная, бромистоводородная, йодистоводородная, азотная, серная и фосфорная кислоты, а также органические кислоты, такие, как пара-толуолсульфокислота, метансульфокислота, гиппуровая, щавелевая, пара-бромофенилсульфокислота, карбоновая, янтарная, бензойная, уксусная и родственные неорганические и органические кислоты. Таким образом, такие фармацевтически приемлемые соли включают сульфат, пиросульфат, бисульфат, сульфит, бисульфит, фосфат, моногидрогенфосфат, дигидрогенфосфат, метафосфат, пирофосфат, гидрохлорид, гидробромид, гидройодид, ацетат, нитрат, пропионат, деканоат, каприлат, акрилат, формат, изобутират, капрат, гептаноат, пропиолат, оксалат, малонат, сукцинат, суберат, себакат, фумарат, малеат, бутин-1, 4-диоат, гексин-1,6-диоат, бензоат, хлоробензоат, метилбензоат, динитробензоат, гидроксибензоат, метоксибензоат, фталат, терефталат, сульфонат, ксиленсульфонат, фенилацетат, фенилпропионат, фенилбутират, цитрат, лактат, -гидроксибутират, гликоллят, тартрат, метансульфонат, пропансульфонат, нафталин-2-сульфонат, п-толутенсульфонат, манделят, гиппурат, и другие подобные соли. Предпочтительной фармацевтически приемлемой кислотно-аддитивной солью для использования в способе настоящего изобретения является соль гиппурата. Такая форма соли и способы ее получения раскрываются в европейской патентной заявке 444852, которая включена сюда в качестве ссылки.
Соединения, используемые в способах настоящего изобретения, имеют асимметричный центр у атома углерода в 4-позиции кольца тетрагидробенз[cd] индола. Как таковые, соединения могут существовать или как рацемическая смесь, или как отдельные стереоизомеры. Все такие типы соединений рассматриваются для использования в способах настоящего изобретения.
Следующий перечень иллюстрирует соединения, приемлемые для использования в настоящем изобретении.
/ /-4-/ди-н-пропиламино/-1,3,4,5- тетрагидробенз[cd] индол-6-карбоксамидоксалат,/ /-4-амино-1,3,4,5- тетрагидробенз[cd]индол-6-карбоксамид малеат,/-/-4-/метиламино/-1,3,4,5-тетрагидробенз[cd]индол-6-карбоксамид формат, /-/-4-/диэтиламино/-1,3,4,5- тетрагидробенз[cd]индол-6-карбоксамид, /+/-4-/диметиламино/-1,3,4,5-тетрагидробенз[cd] индол-6- карбоксамид оксалат, /+/-4-/этиламино/-1,3,4,5-тетрагидробенз[cd]индол-6- карбоксамид фосфат, / /-4-амино-1,3,4,5-тетрагидробенз[cd]индол-6- карбоксамид гидрохлорид,/ /-4-/н-пропиламино/-1,3,4,5-тетрагидробенз[cd] индол-6- карбоксамид оксалат,/ /-4-/метиламино/-1,3,4,5-тетрагидробенз[cd] индол-6- карбоксамид толуолсульфонат,/-/-4-/амино-1,3,4,5-тетрагидробенз[cd]индол-6-карбоксамид, /+/-4-/метилэтиламино/-1,3,4,5-тетрагидробенз[cd] индол-6- карбоксамид сульфат, /-/-4-/диэтиламино/-1,3,4,5-тетрагидробенз[cd]индол-6- карбоксамид, /-/-4-/-амино-1,3,4,5-тетрагидробенз[cd]индол-6- карбоксамид пропионат, /+/-4-/диметиламино/-1,3,4,5-тетрагидробенз[cd]индол-6- карбоксамид, / /-4-/диэтиламино/-1,3,4,5-тетрагидробенз[cd] индол-6- карбоксамид гидройодид,/ /-4-амино-1,3,4,5-тетрагидробенз[cd]индол-6-карбоксамид,/ /4-/этил-н-пропиламино/-1,3,4,5-тетрагидробенз[cd] индол- 6-карбоксамид,/ /-4-/ди-н-пропиламино/-1,3,4,5-тетрагидробенз[cd] индол-6- карбоксамид сукцинат,/ /-4-/метил-н-пропиламино/-1,3,4,5-тетрагидробенз[cd]индол-6- карбоксамид,/+/-4-/диметиламино/-1,3,4,5-тетрагидробенз[cd]индол-6- карбоксамид сульфат, /-/-4-амино-1,3,4,5-тетрагидробенз[cd]индол-6-карбоксамид малеат, /+/-4-/диэтиламино/-1,3,4,5-тетрагидробенз[cd]индол-6- карбоксамид, / /-4-/ди-н-пропиламино/-1,3,4,5-тетрагидробенз[cd] индол-6- карбоксамид гиппурат,/+/-4-/диметиламино/-1,3,4,5-тетрагидробенз[cd]индол-6- карбоксамид, /-/-4-/ди-н-пропиламино/-1,3,4,5-тетрагидробенз[cd] индол-6- карбоксамид ацетат, / /-4-амино-1,3,4,5-тетрагидробенз[cd]индол-6-карбоксамид сукцинат,/ /-4-/диметиламино/-1,3,4,5-тетрагидробенз[cd]индол-6- карбоксамид цитрат,/ /-4-/ди-н-пропиламино/-1,3,4,5-тетрагиробенз[cd] индол-6- карбоксамид гидробромид,/-/-4-/этил-н-пропиламино/-1,3,4,5-тетрагидробенз[cd] индол-6- карбоксамид бензоат, /+/-4-/метил-н-пропиламино/-1,3,4,5-тетрагидробенз[cd]индол- 6-карбоксамид фталат, /+/-4-/метилэтиламино/-1,3,4,5-тетрагидробенз[cd]индол-6- карбоксамид, /+/-4-/метилаллиламино/-1,3,4,5-тетрагидробенз[cd] индол-6- карбоксамид мезилат, /-/-4-/ди-н-пропиламино/-1,3,4,5-тетрагидробенз[cd] индол-6- карбоксамид малеат, /+/-4-/диаллиламино/-1,3,4,5-тетрагидробенз[cd] индол-6- карбоксамид сукцинат, /-/-4-амино-1,3,4,5-тетрагидробенз[cd]индол-6-карбоксамид фумарат, /+/-4-/ди-н-пропиламино/-1,3,4,5-тетрагидробенз[cd]индол-6- карбоксамид, /+/-4-/диэтиламино/-1,3,4,5-тетрагидробенз[cd] индол-6- карбоксамид ацетат, / /-4-/этиламино/-1,3,4,5-тетрагидробенз[cd]индол-6-карбоксамид,/-/-4-амино-1,3,4,5-тетрагидробенз[cd]индол-6-карбоксамид, /+/-4-/метиламино/-1,3,4,5-тетрагидробенз[cd]индол-6- карбоксамид, /+/-4-/н-пропиламино/-1,3,4,5-тетрагидробенз[cd]индол-6- карбоксамид гидробромид, /+/-4-/ди-н-пропиламино/-1,3,4,5-тетрагидробенз[cd]индол-6- карбоксамид, / /-4-/метилэтиламино/-1,3,4,5-тетрагидробенз[cd] индол-6- карбоксамид гидройодид,/+/-4-/аллиламино/-1,3,4,5-тетрагидробенз[cd]индол-6- карбоксамид малонат, / /-4-/диэтиламино/-1,3,4,5-тетрагидробенз[cd]индол-6- карбоксамид,/ /-N, N-диметил-4-/ди-н-пропиламино/-1,3,4,5- тетрагидробенз[cd]индол-6-карбоксамид,/ /-N-метил-4-/ди-н-пропиламино/-1,3,4,5-тетрагидробенз[cd] индол-6-карбоксамид,/ /-N, N-диэтил-4-/ди-н-пропиламино/-1,3,4,5-тетрагидробенз[cd] индол-6-карбоксамид.
Как говорилось выше, соединения, используемые в способах настоящего изобретения, известны. Например, способы получения соединений формулы I даны в патенте США N 4576953 и 4745126, а способы получения соединений формулы II – в патенте США N 5204340. Предпочтительный способ получения соединений формул I и II и, в частности, стереоизомеров таких соединений, предлагается в патентной заявке США с серийным N 07/799924 /пошлина за публикацию уплачена/ и ее аналоге европейской патентной заявке EP 4444851. Все эти патенты и патентные заявки включены сюда в качестве ссылки.
Настоящее изобретение предусматривает способы предотвращения рвоты и лечение половых дисфункций у млекопитающих. Такое действие демонстрировалось на следующих тестируемых системах.
РвотаВзрослые самки кошек разных пород отбирались для испытаний и помещались так, что имели свободный доступ к пище и воде, за исключением времени испытания. Кошки для этого исследования выбирались те, которые имели, по меньшей мере, два приступа рвоты в 5 тестах в ответ на 30 минутное вращение на специальном устройстве, описанном у Crampton и др. Aviat. Spase Environ Med 56, стр. 462 – 465 /1985/. Одиночные тесты на ответную рвотную реакцию проводились, по меньшей мере, с интервалом в две недели, чтобы не было привыкания к вращению, вызывающему рвоту. Признаки ответной реакции /приступы тошноты и рвоты/ на вращение после предварительного введения физраствора определялись до и после введения тестуемых соединений. Субъектам делались подкожные инъекции тестуемого соединения в стерильном физрастворе в концентрации 0,1 мг/кг или носителя за 30 минут до вращения. Последовательность тестирования была следующей: физраствор 0,02, 0,005, 0,01, 0,0075, 0,0025 мг/кг тестуемого соединения и физраствор. Сдвоенные данные на рвоту/тошноту анализировались с использованием Q теста Cochrane и теста McNewmar на повторность. Результаты такого тестирования даны в табл. 1. Испытания проводились также на группе из 16 самцов голубей Карно Белые с весом приблизительно 460 – 650 г /85 – 90% их веса в состоянии голода/. Птицы имели свободный доступ к воде и корму из устричных раковин за исключением времени тестирования, и раз в день им скармливалось около 20 г зерна /Purina Pigeon Cheсkers/. Помещение с птицами освещалось с 6 утра до 6 вечера ежедневно. Все фазы тестирования проводились в световое время. Вначале голубям давалось 20 г пищи Purina Pigeon Cheсkers в клетках. Спустя 5 минут птицы взвешивались и внутривенно им вводилось либо 10, либо 13 мг/кг цисплатина /цис-платина II диаммин дихлорид; Signma Chemical Co., St. Louis, MO/ и затем они помещались в плексигласовую прозрачную клетку. После 45 минут внутримышечной инъекцией вводились либо носитель, либо 0,08 или 0,32 мг/кг тестуемого соединения. Тестуемое соединение растворялось в дистиллированной воде с помощью нескольких капель молочной кислоты. Затем животные наблюдались еще 4,5 часа на проявление признаков как позывов, так и рвоты. Рвотой считался активный выброс жидкости или пищи, в то время как позывами считались рвотные рефлексы без выброса содержимого. Каждый голубь использовался только один раз и после 4,5 часового наблюдения птицы умерщвлялись. Результаты такого тестирования показаны в табл. 2. Другая группа самцов голубей Карно Белых с весом приблизительно 460 – 650 г /85 – 90% веса в состоянии голода/ также тестировались с использованием дитолилгуанидина /ДТГ/ вместо цисплатина для вызова рвоты. Животные имели свободный доступ к воде и корму из устричных раковин за исключением времени испытаний, и ежедневно им скармливалось 20 г зерновой пищи /Purina Pigeon Cheсkers/. Помещение с птицами освещалось с 6 утра до 6 вечера ежедневно. Все фазы тестирования проводились в световое время. Вначале голубям давалось 20 г пищи /Purina Pigeon Checkers/ в клетках. Спустя 5 минут птицы взвешивались, им делались инъекции различных доз тестуемых соединений и опять сажали в клетки. Тестуемое соединение растворялось в дистиллированной воде с помощью нескольких капель молочной кислоты. Все инъекции делались в грудную мышцу в объеме 1 мл/кг. После 15 минут вводилась доза ДТГ в 5,6 мг/кг, и голуби помещались в плексигласовую камеру для наблюдения. Через час их возвращали в свои клетки, а пол камеры наблюдения исследовался на наличие выброшенной из желудка пищи. Зависимой переменной в текущем эксперименте был процент птиц с такой дозировкой, которая показывает очевидный выброс пищи. Результаты такого исследования представлены в табл. 3. Данные в таблицах 1- 3 позволяют сделать заключение, что соединения формул I и II можно использовать для предотвращения рвоты. Термин “рвота”, используемый в настоящем изобретении, означает рвоту /фактический выброс содержимого желудка/, позывы к рвоте /рвотные рефлексы без выброса содержимого желудка/ и сопровождающую их тошноту, связанную с таким состоянием. Соответственно, соединения формул I и II можно использовать для подавления рвотных ответных реакций на провокационное движение /тошнота при движении/ и различные химические стимулы, такие, как онколитические агенты /например, цисплатин/ или другие психоактивные агенты /например, ксилазин, аналгетики, анестезирующие вещества и допаминергические агенты/ и им подобные. Половая дисфункция В этом исследовании использовались самцы крыс Sprague-Dawley и крысы Long-Evans с удаленными яичниками из Charles River Laboratories (Portage, MI). Все крысы помещались в комнату с контролируемой температурой, в которой свет выключался с 10:00 до 20:00. Крысам с удаленными яичниками, используемым как сексуальные партнеры для тестуемых самцов, для сексуальной восприимчивости вводилось 400 г эстрона в пропиленгликоле подкожно за 48 часов до тестирования и 2,5 мг прогестерона в пропиленгликоле подкожно за 4 часа до тестирования. За 4 недели до тестирования самцы помещались отдельно, и каждые 2 недели с 6-тимесячного возраста до 12-тимесячного проверялись с использованием процедуры, описанной ранее у Foreman et al., J. Neural. Trans, 68, стр. 153 – 170 /1987/. Спаривание проводилось между 12:00 и 17:00 во время темной фазы светового цикла. Каждый поведенческий тест начинался подсадкой самки и заканчивался либо через 30 минут, либо сразу после первой садки и семяизвержения. До лечения раствором с лекарством с каждым самцом проводилось, по меньшей мере, два последовательные теста с носителем при подобном половом акте. После каждого лекарственного теста проводились дополнительные тесты на носитель. Чтобы исключить поведенческие реакции при лечении лекарством, которые можно отнести за счет спонтанных изменений в акте спаривания, использовался критерий реверсивности поведенческой реакции с последующим введением носителя. Таким образом, реальная поведенческая реакция на лечение лекарством произвольно определялась как реакция, которая не менялась в сравнении с предшествующей контрольной реакцией, либо была обратной в последующем контрольном тесте с носителем. Статистические сравнения между реакциями на носитель и лекарственное лечение для каждого животного делались с использованием теста парного образца Вилкоксона. Результаты такого тестирования представлены в табл. 4. В колонке 1 табл. 4 указана доза тестуемого соединения, назначенного каждому тестуемому субъекту. В колонках 2 и 3 дается процентное различие в контроле латентности семяизвержения и общего числа садок, необходимых для семяизвержения соответственно для каждой тестуемой дозы. Наконец, в колонках 4 и 5 указана процентная разница контроля эффективности совокупления и скорости совокупления, соответственно, для каждой тестуемой дозы. Данные в табл. 4 показывают, что соединения формулы I можно использовать для лечения половой дисфункции. Термин “половая дисфункция”, используемый здесь, означает любые расстройства, связанные со слабой эрекцией у мужских особей млекопитающих и сексуальным позывом и сексуальными рефлексами /как возбуждающим, так и оргазмическим/ у женских особей. Соответственно, соединения формулы I можно использовать в лечении эрекционной дисфункции, замедленного семяизвержения и отсутствия оргазма. Соединения можно также использовать для повышения сексуальных желаний обоих полов у млекопитающих. Как уже говорилось, соединения формул I и II физиологически активны, что позволяет их использовать в способах лечения, заявленных здесь. Эти методы включают введение млекопитающему /предпочтительно, человеку/, нуждающемуся в предотвращении рвоты или лечении половой дисфункции, эффективного количества одного или нескольких соединений формулы I /рвота и половая дисфункция/ или II /только рвота/, достаточного для получения терапевтического или профилактического результата. Соединения можно вводить разными способами, включающими оральный, ректальный, трансдермальный, подкожный, внутривенный, внутримышечный или внутриносовой. Предпочитаются оральный и трансдермальный способы. В зависимости от способа введения используются фармацевтические композиции, которые готовятся технологией, хорошо известной в фармацевтической науке. Способы настоящего изобретения включают предотвращение рвоты и лечение половой дисфункции также и профилактическим образом /т.е. использованием соединений формул I и II для профилактики рвоты или половых дисфункций у млекопитающих, подверженных таким состояниям до появления или повторного появления такого состояния/. Такой профилактический метод введения особенно приемлем в тех случаях, когда пациент подвержен состоянию слабости или дурноты, и если ему предстоит поездка на машине, лодке или самолете, которая чревата в обычных условиях приступами такой дурноты; когда пациенту надлежит пройти лечение различными химическими стимуляторами (раковая химиотерапия или радиотерапия, обезболивающими и наркотическими агентами), которые, как известно, вызывают тошноту; когда пациенту надлежит пройти лечение анксиолитиками, такими, как бензодиазепин, или антидепрессантами, такими, как ингибитор захвата 5-НТ или трициклическими антидепрессантами, которые вызывают половые расстройства; когда пациент страдал в прошлом половыми расстройствами и хочет предотвратить такую повторную дисфункцию; или он желает повысить свои сексуальные возможности. Как указывалось ранее, способы настоящего изобретения используют фармацевтические композиции. В приготовлении таких композиций один или несколько ингредиентов обычно смешиваются с носителем, или разбавляются носителем, либо включаются в носитель, который может быть в форме капсулы, пакета, бумаги или другом виде. Если носитель является разбавителем, он может быть твердым, полутвердым или жидким материалом, который действует как носитель, наполнитель или среда для активного ингредиента. Таким образом, композиции могут быть в форме таблеток, пилюлей, порошков, лепешек, пакетов, облаток, эликсиров, суспензий, эмульсий, растворов, сиропов, аэрозолей /или твердое вещество или в жидкой среде/, мазей, содержащих, например, до 10 вес.% активного соединения, мягких и твердых желатиновых капсул, суппозиторий, стерильных инъекционных растворов и стерильно упакованных порошков. Некоторые примеры подходящих носителей, наполнителей и разбавителей включают лактозу, декстрозу, сахарозу, сорбит, маннитол, крахмалы, аравийскую камедь, фосфат кальция, алгинаты, трагакант, желатин, силикат кальция, микрокристаллическую целлюлозу, поливинилпирролидон, целлюлозу, воду, физраствор, сироп, метилцеллюлозу, метил- и пропилгидроксибензоаты, тальк, стеарат магния и минеральное масло. Препараты могут дополнительно включать смазочные агенты, смачивающие агенты, эмульгирующие и суспендирующие агенты, консерванты, подслащающие и ароматизирующие агенты. Композиции могут формироваться таким образом, чтобы обеспечивать быстрое, замедленное действие или действие с задержкой активного ингредиента после назначения пациенту с использованием процедур, хорошо известных в данной области техники. Композиции формуются предпочтительно в разовую форму дозировки, так что каждая форма содержит от 5 до 500 мг, чаще 25 – 300 мг активного ингредиента. Термин “разовая форма дозировки” относится к физически дискретным единицам общепринятых доз для людей и животных, причем каждая такая единица содержит определенное количество активного материала, рассчитанное на получение нужного терапевтического или профилактического действия, вместе с одним или несколькими подходящими фармацевтическими разбавителями, наполнителями или носителями. Композиции, используемые в способе настоящего изобретения, эффективны в большом диапазоне дозировок для предотвращения рвоты и лечения половой дисфункции. Здесь “эффективное количество” означает диапазон дозировки от 0,5 до 500 мг/кг веса тела в день. В лечении взрослых людей предпочтителен диапазон от 1 до 100 мг/кг одной или несколькими дозами. Однако количество назначаемого соединения будет определяться лечащим врачом с учетом релевантных обстоятельств, включающих состояние пациента, выбор соединения, лечебную или профилактическую направленность, способ назначения, возраст, вес и ответную реакцию конкретного пациента, а также степень серьезности симптомов, и поэтому указанные диапазоны дозировок не ограничивают никоим образом объем изобретения. Примеры следующих препаратов могут использовать в качестве активных ингредиентов любые из соединений формулы I или II. Примеры являются только иллюстративными и нисколько не ограничивают объем изобретения. Пример 1. Твердые желатиновые капсулы для предотвращения рвоты готовятся с использованием следующих ингредиентов: Количество /мг/ капсул / /-4-дипропиламино-1,3,4,5-тетрагидробенз[cd] индол- 6-карбоксамид гиппурат – 250Высушенный крахмал – 200 Стеарат магния – 10 Указанные ингредиенты смешиваются и заполняются в твердые желатиновые капсулы по 460 мг. Пример 2. Таблетка для предотвращения рвоты готовится с использованием следующих ингредиентов: Кол-во /мг/таблетку / /-N-метил-4-дипропиламино-1,3,4,5-тетрагидробенз[cd] индол- 6-карбоксамид гидрохлорид – 250Целлюлоза, микрокристаллическая – 400 Двуокись кремния – 10 Стеариновая кислота – 5 Компоненты смешиваются и таблетируются, каждая таблетка весом в 665 мг. Пример 3. Аэрозольный раствор, пригодный для лечения половых расстройств с содержанием следующих компонентов: Вес /+/-4-диэтиламино-1,3,4,5-тетрагидробенз[cd]индол-6-карбоксамид – 0,25 Этанол – 29,75 Пропеллант 22 /хлородифторметан/ – 70,00 Активное соединение смешивается с этанолом, и смесь добавляется к части пропеллант 22, охлажденного до -30oC, и переносится в заполняющее устройство. Затем нужное количество подается в контейнер из нержавеющей стали и разбавляется остальной частью пропелланта. Далее в контейнер вжимается клапан. Пример 4. Таблетки для лечения половой дисфункции, каждая с содержанием 60 мг активного ингредиента, готовятся так: /+/-4-диэтиламино-1,3,4,5-тетрагидробенз[cd]индол-6-карбоксамид – 60 мг Крахмал – 45 мг Микрокристаллическая целлюлоза – 35 мг Поливинилпирролидон /в виде 10% раствора в воде/ – 4 мг Крахмал карбоксиметила натрия – 4,5 мг Стеарат магния – 0,5 мг Тальк – 1 мг Всего – 150 мг Активный ингредиент, крахмал и целлюлоза просеиваются через сито в 45 меш по стандартам США и тщательно смешиваются. Раствор поливинилпирролидона смешивается с остальными порошками, которые затем просеиваются через сито N 14 меш. Полученные гранулы высушиваются при 50 – 60oC и просеиваются через сито N 18 меш. Крахмал карбоксиметила натрия, стеарат магния и тальк, предварительно просеянные через сито N 60 меш, добавляются к гранулам, которые после смешивания таблетируются машиной для получения таблеток весом в 150 мг. Пример 5. Капсулы для предотвращения рвоты, каждая с содержанием 80 мг лекарства, готовятся следующим образом: / /-N-метил-4-диэтиламино-1,3,4,5-тетрагидробенз[cd]индол- 6-карбоксамид гиппурат – 80 мгКрахмал – 59 мг Микрокристаллическая целлюлоза – 59 мг Стеарат магния – 2 мг Всего – 200 мг Активный ингредиент, целлюлоза, крахмал и стеарат магния смешиваются, просеиваются через сито стандарта США N 45 меш и заполняются в твердые желатиновые капсулы в количестве по 200 мг. Пример 6. Суппозитории для лечения половой дисфункции, каждый с содержанием 225 мг активного вещества ингредиента, готовятся следующим образом: / /-4-диаллиламино-1,3,4,5-тетрагидробенз[cd] индол- 6-карбоксамид – 225 мгГлицериды насыщенной жирной кислоты – до 2000 мг Активный ингредиент просеивается через сито стандарта США N 60 меш и суспендируется в глицеридах насыщенной жирной кислоты, предварительно расплавленных с использованием нужного тепла. Затем смесь выливается в форму для шариков объемом в 2 г и остужается. Пример 7. Суспензии для предотвращения рвоты, каждая с содержанием 50 мг лекарства на дозу в 5 мл, готовятся так: /-/-N, N-метил-4-дипропиламино-1,3,4,5-тетрагидробенз[cd] индол-6- карбоксамид – 50 мг Натрий карбоксиметилцеллюлоза – 50 мг Сироп – 1,25 мл Раствор бензойной кислоты – 0,10 мл Ароматизирующие добавки, красители, очищенная вода – до 5 мл Лекарство просеивается через сито N 45 меш и смешивается с натрийкарбоксиметил целлюлозой и сиропом для получения пасты. Раствор бензойной кислоты, ароматизирующие и подкрашивающие агенты разбавляются частью воды и добавляются к пасте с перемешиванием. До нужного объема доливается вода. Пример 8. Капсулы для лечения половой дисфункции, каждая с содержанием 150 мг лекарства, готовятся следующим образом: /-/-4-дипропиламино-1,3,4,5-тетрагидробенз[cd] индол- 6-карбоксамид гиппурат – 150 мг Крахмал – 164 мг Микрокристаллическая целлюлоза – 164 мг Стеарат магния – 22 мг Всего – 500 мг Активный ингредиент, целлюлоза, крахмал и стеарат магния смешиваются, просеиваются через сито N 45 меш по стандартам США и заполняются в твердые желатиновые капсулы в количестве по 500 мг. Формула изобретения
![]() в которой R1 – водород, С1-С4-алкил или аллил; R2 – водород, С1-С4-алкил или аллил, или его фармацевтически приемлемой кислотно-аддитивной соли для предотвращения рвоты. 2. Применение по п.1, отличающееся тем, что в соединении R1 и R2 каждый независимо представляет собой С1 – С4-алкил. 3. Применение по п.1 или 2, отличающееся тем, что используемым соединением является ( )-4-дипропиламино-1,3,4,5-тетрагидробенз[сd]индол-6-карбоксамид, (-)-4-дипропиламино-1,3,4,5-тетрагидробенз[сd]индол-6-карбоксамид, (+)-4-дипропиламино-1,3,4,5-тетрагидробенз[сd] индол-6-карбоксамид или его фармацевтически приемлемая кислотно-аддитивная соль.
4. Фармацевтическая композиция, предназначенная для предотвращения рвоты у млекопитающих, включающая эффективное количество соединения формулы![]() в которой R1 – водород, С1-С4-алкил или аллил; R2 – водород, С1-С4-алкил или аллил, или его фармацевтически приемлемой кислотно-аддитивной соли в комбинации с одним или несколькими фармацевтически приемлемыми носителями, разбавителями или наполнителями. 5. Фармацевтическая композиция по п.4, отличающаяся тем, что используемым соединением является ( )-4-дипропиламино-1,3,4,5-тетрагидробенз[сd]индол-6-карбоксамид, (-)-4-дипропиламино-1,3,4,5-тетрагидробенз[сd]индол-6-карбоксамид, (+)-4-дипропиламино-1,3,4,5-тетрагидробенз[сd] -индол-6-карбоксамид или его фармацевтически приемлемая кислотно-аддитивная соль.
6. Применение соединения формулы![]() в которой R1 – водород, С1-С4-алкил или аллил; R2 – водород, С1-С4-алкил или аллил; R3 и R4 – каждый независимо водород, С1-С4-алкил, С1-С4-алкил, замещенный фенильной группой, фенил или R3 и R4, взятые вместе с атомом азота, к которому они присоединены, образуют С3-С5 гетероциклическое кольцо, при условии, что только один из R3 и R4 может быть водородом, в то время как другой из R3 и R4 должен быть отличен от водорода, или его фармацевтически приемлемой кислотно-аддитивной соли для предотвращения рвоты. 7. Применение по п.6, отличающееся тем, что в соединении R1 и R2 каждый независимо представляет С1-С4-алкил. 8. Применение по п.6 или 7, отличающееся тем, что используемым соединением является N,N-диметил-4-дипропиламино-1,3,4,5-тетрагидробенз[сd]индол-6-карбоксамид, N-метил-4-дипропиламино-1,3,4,5-тетрагидробенз[сd]индол-6-карбоксамид, или его фармацевтически приемлемая кислотно-аддитивная соль. 9. Фармацевтическая композиция для предотвращения рвоты у млекопитающих, включающая эффективное количество соединения формулы ![]() в которой R1 – водород, С1-С4-алкил или аллил; R2 – водород, С1-С4-алкил или аллил; R3 и R4 – каждый независимо водород, С1-С4-алкил, С1-С4-алкил, замещенный фенильной группой, фенил или R3 и R4, взятые вместе с атомом азота, к которому они присоединены, образуют С3-С5 гетероциклическое кольцо, при условии, что только один из R3 и R4 может быть водородом, в то время как другой из R3 и R4 должен быть не водородом, или его фармацевтически приемлемой кислотно-аддитивной соли в комбинации с одним или несколькими фармацевтически приемлемыми носителями, разбавителями или наполнителями. РИСУНКИ
MM4A – Досрочное прекращение действия патента СССР или патента Российской Федерации на изобретение из-за неуплаты в установленный срок пошлины за поддержание патента в силе
Дата прекращения действия патента: 10.06.2007
Извещение опубликовано: 20.07.2010 БИ: 20/2010
|
||||||||||||||||||||||||||



/-4-дипропил-амино-1,3,4,5-тетрагидробенз[cd] индол-6-карбоксамид, в настоящее время проходит клинические испытания для использования в лечении депрессии у людей.
Leander, US патент США N 4745126, выявил, что первичные aмино карбоксамидные соединения, раскрытые в вышеупомянутом патенте Flaugh, также полезны в лечении страха. Одно из соединений, раскрытое в патенте Leander, а именно, соединение 6-карбоксамида, описанное выше, также в данное время проходит клинические испытания для лечения страхов и беспокойства у людей.
Наконец, в европейской патентной заявке 392768 раскрывается, что замещенные соединения аминокарбоксамида, используемые в настоящем изобретении /т. е. те соединения, в которых R3 и/или R4 отличен от водорода/, полезны в лечении состояний, требующих усиления функции серотонина в организме. Такие состояния можно определить как включающие депрессию, страх, алкоголизм, ожирение, табакокурение, половую дисфункцию и старческое слабоумие.
Первичные соединения аминокарбоксамида, используемые в способе настоящего изобретения, до сих пор не раскрывались с точки зрения возможности использования для предотвращения рвоты или лечения половой дисфункции у млекопитающих. Более того, замещенные соединения аминокарбоксамида, используемые в способе настоящего изобретения, до сих пор не были раскрыты как полезные в предотвращении рвоты. Известная активность таких соединений, как описано выше, не предполагается в способе настоящего изобретения. Соответственно, целью настоящего изобретения является получение новых фармакологических применений и препаратов для некоторых известных тетрагидробенз[cd]индолов.
Другие цели, характеристики и преимущества настоящего изобретения станут очевидными из последующего описания и прилагаемой формулы.
Как упоминалось выше, настоящее изобретение предлагает способ предотвращения рвоты и лечения половой дисфункции у млекопитающих, включающий введение млекопитающему, подверженному приступам рвоты, или страдающему от нее, или страдающему половой дисфункцией, эффективного количества соединения формулы I

-гидроксибутират, гликоллят, тартрат, метансульфонат, пропансульфонат, нафталин-2-сульфонат, п-толутенсульфонат, манделят, гиппурат, и другие подобные соли. Предпочтительной фармацевтически приемлемой кислотно-аддитивной солью для использования в способе настоящего изобретения является соль гиппурата. Такая форма соли и способы ее получения раскрываются в европейской патентной заявке 444852, которая включена сюда в качестве ссылки.
Соединения, используемые в способах настоящего изобретения, имеют асимметричный центр у атома углерода в 4-позиции кольца тетрагидробенз[cd] индола. Как таковые, соединения могут существовать или как рацемическая смесь, или как отдельные стереоизомеры. Все такие типы соединений рассматриваются для использования в способах настоящего изобретения.
Следующий перечень иллюстрирует соединения, приемлемые для использования в настоящем изобретении.
/


