Патент на изобретение №2154475
|
||||||||||||||||||||||||||
(54) ИНГИБИРОВАНИЕ ПРОЛИФЕРАЦИИ КЛЕТОК ГЛАДКОЙ МУСКУЛАТУРЫ И РЕСТЕНОЗА
(57) Реферат: Предложено новое средство для ингибирования пролиферации гладкомышечных клеток аорты или для ингибирования рестеноза артерий вследствие пролиферации гладкомышечных клеток. В качестве этого средства предложены известные вещества формулы I или II ![]() ![]() где R1 и R3 обозначают независимо водород, или где Аr необязательно замещенный фенил; R2 выбран из группы, содержащей пирролидино и пиперидино; R4 представляет водород или OR1, и его фармацевтически приемлемая соль. Изобретение расширяет арсенал средств указанного назначения. 2 с. и 6 з.п. ф-лы, 1 ил.
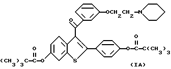
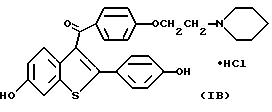
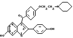
Пролиферация клеток гладкой мускулатуры играет важную роль в развитии таких заболеваний, как атеросклероз и рестеноз. Как было установлено, после чрескожной пластики коронарных сосудов (РТСА) в раннем и позднем периодах наблюдается сосудистый рестеноз. Ранняя фаза заболевания наступает через несколько часов или дней после РТСА и определяется развившимся тромбозом с явлениями ангиоспазма, а поздняя стадия, по всей видимости, характеризуется прежде всего избыточной пролиферацией и миграцией клеток гладкой мускулатуры. В случае этого заболевания патогенез определяется в значительной степени увеличением количества клеток, а также повышенной способностью клеток гладкой мускулатуры и макрофагов к образованию колоний. Избыточная пролиферация сосудистых клеток гладкой мускулатуры может представлять собой первичный механизм развития таких патологических состояний, как реокклюзия коронарных артерий, наступающей после РТСА, атеректомии лазерной пластики сосудов и хирургических операций по созданию обходного артериального шунта. См. “Intimal Praliferation of Smooth Muscle Cells as an Explanation for Recurrent Coronary Artery Stenosis after Percutaneous Transluminal Coronary Angioplasty”, Austin et al. , Sournal of the American College of Cardiology 8: 369-375 (Ang. 1985). Сосудистый рестеноз представляет собой одно из длительных осложнений, возникающих после хирургического вмешательства на закупоренных артериях методом чрескожной пластики коронарных сосудов (РТСА), атеректомии, лазерной пластики сосудов и пластики методом шунтирования артерий. У примерно 35% пациентов, подвергающихся РТСА, в период времени от трех до шести месяцев после операции развивается реокклюзия. Применяемая для лечения сосудистого рестеноза стратегия включает механическое вмешательство с помощью таких приборов, как стенты, или фармакологическую терапию с помощью гепарина, низкомолекулярного гепарина, кумарина, аспирина, рыбьего жира, антагонистов кальция, cтероидов и простациклина. Однако эти методы не смогли снизить уровень развития реокклюзии и оказались неэффективными для предупреждения и лечения сосудистого реcтеноза. См. “Prevention of Restinosis after Percutaneous Transluminar Coronary Angioplasty : The Searsh for a Magic Bullet”, Hermans et al American Hert Journal 122 : 171-187 (July 1991). Избыточная пролиферация и миграция клеток, определяющие патогенез рестеноза, представляются в свою очередь результатом действия ростовых факторов, продуцируемых компонентами крови и нарушенными стенками артериальных сосудов, которые поддерживают пролиферацию клеток гладкой мускулатуры, ведущую к рестенозу. Вещества, способные ингибировать пролиферацию и/или миграцию клеток гладкой мускулатуры, полезны в лечении и предупреждении рестеноза. Настоящее изобретение относится к использованию соединений, действующих как ингибиторы пролиферации клеток гладкой мускулатуры. Изобретение относится также к способу ингибирования пролиферации клеток гладкой мускулатуры у человека или других млекопитающих, включающему введение им фармацевтически эффективной дозы соединения формулы (I) или (II) ![]() ![]() где R1 и R3 являются независимо друг от друга водородом CH3, или , где Ar представляет собой не обязательно замещенный фенил;R2 представляет собой ![]() и R4 представляет собой водород или -OR1 или фармацевтически приемлемые соли или сольваты их. Изобретение относится также к способу ингибирования рестеноза. Настоящее изобретение относится к открытию того, что группа соединений формулы I или II полезна для ингибирования пролиферации клеток гладких мышц и рестеноза. Способ лечения, предлагаемый в настоящем изобретении, представляет собой введение нуждающемуся в таком лечении человеку или другому представителю млекопитающих необходимой дозы соединения формулы 1 или II или их фармацевтически приемлемых солей или сольватов, которое эффективно ингибирует пролиферацию клеток гладкой мускулатуры и рестеноз. Термин ингибирование применяется в настоящем случае в его общепринятом значении, которое включает профилактическое лечение человека, подвергшегося рестенозу или усиленной пролиферации гладко-мышечных клеток, и контроль уровня пролиферации клеток гладкой мускулатуры и степени рестеноза. Таким образом, данный способ включает и терапевтический, и профилактический варианты использования указанных соединений. В общем случае соединение смешивают с общепринятыми наполнителями, разбавителями или носителями, используемыми для приготовления лекарственных средств, и далее полученный препарат прессуется в виде таблеток или формируется в виде эликсиров или растворов удобного для перорального применения или внутримышечного, а также внутривенного способов введения. Соединения могут также вводиться чрескожным способом и могут формулироваться в виде препаратов с дозированным выделением лекарственного средства и др. Соединения формулы I, применяемые в способах настоящего изобретения, могут быть получены известными способами, описанными в частности в патентах США NN 4133814, 4418068 и 4380635. В общем случае этот процесс начинается с бензо[b] тиофена, имеющего 6-гидроксильную группу и 2-(4-гидроксифенильную) группу. Для образования соединения формулы I исходное соединение подвергается защитной обработке, алкилируется и затем защита снова снимается. Примеры приготовления таких соединений приведены в указанных выше патентах США. Соединения формулы II могут быть получены по способу, также описанному в патентах США NN 4230862, C 07 D 295/08 и 4232707, G 05 B 11/01, включенных в настоящее изобретение в качестве ссылки. В настоящем изобретении предлагается применение следующих соединений: ![]() ![]() Замещенная фенильная группа может быть представлена фенилом, замещенным в одном или двух случаях C1-C6 алкилом, C1-C4 алкоксигруппой, гидроксильной группой, нитро-, хлорсодержащими, фторсодержащими или три(хлор или фтор)метильной группами. Соединения, применяемые в способе данного изобретения, образуют фармацевтически приемлемые соли присоединения кислоты и основания со множеством органических и неорганических кислот и оснований и включают физиологически приемлемые соли, часто используемые в фармацевтической химии. Такие соли также являются частью настоящего изобретения. Типичные неорганические кислоты, используемые для получения таких солей, включают соляную, бромистоводородную, йодистоводородную, азотную, серную, фосфорную, фосфорноватую кислоты и ряд других. Как указывалось выше, могут также использоваться соли, производные от органических кислот, таких, как алифатические моно- и дикарбоновые кислоты, алканоевые кислоты, включающие фенильную группу в качестве заместителя, гидроксиалканоевые и гидроксидиалканоевые кислоты, ароматические кислоты, алифатические и ароматические сульфоновые кислоты. Указанные фармацевтически приемлемые соли включают ацетат, фенилацетат, трифторацетат, акрилат, аскорбат, бензоат, хлорбензоат, динитробензоат, гидроксибензоат, метоксибензоат, метилбензоат, о-ацетоксибензоат, нафталин-2-бензоат, бромид, соли изомасляной, фенилмасляной, -гидроксимасляной кислот, бутин-1,4-диоат, гексин-1,4- диоат, соли каприновой и каприловой кислот, хлорид, соли коричной, муравьиной и фумаровой кислот, цитрат, фумарат, гликоллят, гептаноат, соли гиппуровой, молочной, яблочной кислот, малеат, гидроксималеат, малонат, мезилат, соли миндальной, никотиновой, изоникотиновой, фталевой, терафталевой кислот, нитрат, оксалат, фосфат, моногидрогенфосфат, дигидрогенфосфат, метафосфат, пирофосфат, соли пропиоловой, себациновой, пробковой кислот, пропионат, фенилпропионат, салицилат, сукцинат, сульфат, бисульфат, пиросульфат, сульфит, бисульфит, сульфонат, бензол-сульфонат, п-бромфенилсульфонат, хлорбензолсульфонат, этансульфонат, 2-гидроксиэтансульфонат, метан-сульфонат, нафталин-1-сульфонат, нафталин-2-сульфонат, п-толуолсульфонат, ксилосульфонат, тартрат и др. Предпочтительной солью является гидрохлорид.
Фармацевтически приемлемые соли присоединения кислоты образуются в ходе реакции соединения формулы I с эквимолярным количеством или избытком кислоты. Реагенты смешиваются в общем для них растворителе, каким является, например, диэтиловый эфир или бензол. В течение времени от 1 часа до нескольких дней соль обычно осаждается из раствора и может быть отделена фильтрацией, либо может быть отогнан растворитель с помощью традиционных методов с целью получения соли.
Используемые обычно для получения солей присоединения оснований основания включают гидроксид алюминия и щелочи, в том числе гидроксиды щелочноземельных металлов, карбонаты и бикарбонаты, а также алифатические и ароматические амины, алифатические диамины и гидроксиалкиламины. Наиболее полезными для приготовления солей присоединения основания признаны гидроксид алюминия, карбонат калия, бикарбонат натрия, гидроксид кальция, метиламин, диэтиламин, этилендиамин, циклогексиламин и этаноламин.
Как правило, фармацевтически приемлемые соли присоединения имеют увеличенные показатели растворимости в сравнении с теми соединениями, из которых они были получены, и в связи с этим являются наиболее пригодными для приготовления лекарственных препаратов в виде жидкостей или эмульсий.
Приготовление лекарственных препаратов основывается на хорошо известных процедурах. В частности, рассматриваемые соединения могут быть введены в общую композицию с известными наполнителями, разбавителями или носителями и сформированы далее в виде таблеток, капсул, суспензий, порошков и др. В качестве примеров наполнителей, разбавителей или носителей, пригодных для приготовления таких препаратов, можно привести следующие: наполнители и вещества, увеличивающие объем, такие, как крахмал, сахара, маннитол и производные кремневой кислоты; связывающие вещества, такие, как карбоксиметилцеллюлоза и другие производные целлюлозы, альгинаты, желатин и поливинилпирролидон; увлажняющие агенты, такие, как глицерин; вещества, способствующие дезинтеграции лекарственного препарата, такие, как агар-агар, карбонат кальция и бикарбонат натрия, соединения, тормозящие растворение, такие, как, например, парафин; ускорители всасывания, такие, как четвертичные соединения аммония; поверхностно-активные вещества, такие, как цетиловый спирт, глицеролмоностеарат; носители, способствующие адсорбции, такие, как каолины и бентонит; и смазочные вещества, такие, как тальк, стеарат кальция и магния и твердый полиэтиленгликоль.
Соединения могут также использоваться для приготовления эликсиров и растворов для удобного перорального применения или в виде растворов для парентерального введения, в частности внутримышечного, подкожного или внутривенного. К тому же рассматриваемые соединения хорошо подходят для изготовления на их основе лекарственных средств с дозированным выделением терапевтического агента. При этом препарат может быть создан таким образом, что становится возможным выделение активного ингредиента исключительно или преимущественно в определенной части пищеварительного тракта и даже через определенный заданный отрезок времени. Покрытия, оболочки и протективные матрицы могут быть изготовлены на основе, например, полимерных веществ иди воска.
Доза соединения I, необходимая для ингибирования пролиферации гладкомышечных клеток и коррекции рестеноза, по способу данного изобретения, зависит от тяжести заболевания, способа введения препарата и других взаимосвязанных факторов, оценить влияние которых может лечащий врач. В общем случае приемлемая эффективная дневная доза находится в пределах от 0,1 до примерно 1000 мг/день, а более типично – от 50 до 200 мг/день. Указанные дозы должны вводиться нуждающемуся в таком лечении пациенту от одного до трех раз ежедневно или в случае особой необходимости для более эффективного ингибирования пролиферации клеток гладкой мускулатуры и рестеноза несколько чаще.
Доставка к тому или иному месту ингибирующих количеств активного соединения для лечения рестеноза может осуществляться с помощью самых различных технических приспособлений, вводящих соединение к тому участку организма, где отмечается усиленная пролиферация. Примеры, приведенные в настоящем изобретении, имеют своей целью отнюдь не ограничение возможных для применения способов такой доставки, но исключительно иллюстрация доступных методик и приборов. Такие примеры включают использование для локальной доставки препарата катетеров, сайт-специфических носителей, имплантатов, прямых инъекций или прямых аппликаций.
Локальная доставка с помощью катетера позволяет вводить фармацевтический агент непосредственно к участку с измененной пролиферацией. Примеры использования катетера-баллона фогарти для указанной цели приведены в EPO 383492 A2 и патенте США 4636195 (Wolinsky, январь 13, 1987).
Доставка с помощью имплантата основана на хирургическом введении матрицы, содержащей фармацевтический агент, к участку пролиферативного повреждения. Имплантированная матрица выделяет фармацевтический агент путем диффузии, химической реакции или активации растворителя. Lange Science 249: 1527-1533 (сентябрь, 1990).
Примером локальной доставки посредством имплантата может служить использование стента. Стенты разработаны для механического предотвращения коллапса и реокклюзии коронарных артерий. Включение фармацевтического агента в стент позволяет осуществлять доставку лекарства непосредственно к участку пролиферации. Локальная доставка с применением этого вида техники описана у Кона (Kohn, Pharmaceutical Technology (октябрь, 1990).
Другой пример локальной доставки представляет собой система, при которой полимер, содержащий фармацевтический агент, инъецируется к сайту повреждения в жидкой форме. Полимер затем образует имплантат in situ. Подобная техника описана в PCT WO 90/03768 (Донн, апрель, 19, 1990).
Еще один пример такой доставки описывает использование полимера для введения фармацевтического агента в просвет сосуда. По этой технике катетер вводит полимерный имплантат на внутреннюю поверхность сосуда. Далее фармацевтический агент, включенный в имплантат на основе способного к биодеградации полимера, начинает выделяться в участке хирургического вмешательства. Данная техника приведена в PCT WO 90/01969 (август 23, 1989).
И последний пример локальной доставки с применением имплантата представляет собой прямую инъекцию везикул или микрочастиц в сайт пролиферации. Подобные частицы могут состоять из таких веществ, как белки, липиды, углеводы или синтетические полимеры. Указанные микрочастицы несут фармацевтический агент, включенный либо вовнутрь ее, либо на поверхности в качестве покрытия. Системы доставки, включающие микрочастицы, описаны у Ланге (Lange, Science 249: 1527-1533 (September, 1990) Mathiowitz, et al., J. Appl. Poly. Sci., 26:809 (1981).
Локальная доставка сайт-специфическими носителями основана на прикреплении фармацевтического агента к носителю, который направляет лекарство непосредственно к участку пролиферативного нарушения. Примеры подобной техники доставки включают использование таких носителей, как белковые лиганды или моноклональные антитела. Lange, Science 249: 1527- 1533 (September).
Локальная доставка методом прямой аппликации включает использование местных аппликаций. Примером локальной доставки методом прямой аппликации может служить наложение фармацевтического агента непосредственно на обходной артериальный шунт во время хирургического вмешательства.
Предпочтительно вводить соединение формулы I в виде соли присоединения кислоты, аналогично ситуации, имеющей место при введении лекарственных средств, несущих основную группу, такую, как кольцо пиперидина. Удачным для введения такого соединения является пероральное использование его для лечения пожилых людей (т.е. женщин в постклимактерическом периоде). Для таких целей доступны следующие дозированные формы лекарственного средства.
Приготовление лекарственных средствВ нижеприведенных препаратах термин “Активный ингредиент” означает соединение формулы I или II. Композиция 1. Желатиновые капсулы Твердые желатиновые капсулы приготавливаются с использованием следующих компонентов, мг/капсулу: Активный ингредиент – 0,1 – 1000 Крахмал, NF – 0 – 650 Сыпучий крахмальный порошок – 0 – 650 Силиконовая жидкость, 350 сантистоксов – 0 – 15 Ингредиенты смешивают, пропускают через сито N 45 меш (США) и вводят в твердые желатиновые капсулы до их заполнения. Состав специфических капсул, приготовленных на основе соединения формулы I в случае, когда это соединение представлено ралоксифеном, включает следующие указанные в нижеприведенных примерах ингредиенты: Композиция 2. Капсулы ралоксифена, мг/капсулу: Ралоксифен – 1 Крахмал, NF – 112 Сыпучий порошок крахмала – 225,3 Силиконовая жидкость, 350 сантистоксов – 1,7 Композиция 3, мг/капсулу: Ралоксифен – 5 Крахмал, NF – 108 Сыпучий порошок крахмала – 225,3 Силиконовая жидкость, 350 сантистоксов – 1,7 Композиция 4. Капсулы ралоксифена, мг/капсулу: Ралоксифен – 10 Крахмал, NF – 103 Сыпучий порошок крахмала – 225,3 Силиконовая жидкость, 350 сантистоксов – 1,7 Композиция 5. Капсулы ралоксифена, мг/капсулу: Ралоксифен – 50 Крахмал, NF – 150 Сыпучий порошок крахмала – 397 Силиконовая жидкость, 350 сантистоксов – 3,0 Приведенные выше специфические препараты могут быть изменены в соответствии с потребностью в обоснованных изменениях состава препарата. Лекарственный препарат в форме таблеток приготавливается с использованием следующих компонентов, приведенных ниже: Композиция 6. Таблетки, мг/капсулу: Активный ингредиент – 0,1 – 1000 Целлюлоза микрокристаллическая – 0 – 650 Двуокись кремния дымящаяся – 0 – 650 Стеариновая кислота – 0 – 15 Компоненты смешивают, прессуют для получения таблеток. Альтернативно, таблетки, каждая содержащая 0,1 – 1000 мг активного ингредиента, получают следующим образом. Композиция 7. Таблетки, мг/капсулу: Активный ингредиент – 0,1 – 1000 Крахмал – 45 Целлюлоза микрокристаллическая – 35 Поливинилпирролидон (в виде 10%-ного раствора в воде) – 4 Натрий-карбоксиметилцеллюлоза – 4,5 Стеарат магния – 0,5 Тальк – 1 Активный ингредиент, крахмал и целлюлоза пропускаются через фильтр N 45 меш (США) и тщательно перемешиваются. К полученному порошку добавляется раствор поливинилпирролидона, смесь после этого пропускается через сито N 14 меш (США). Полученные таким способом гранулы высушиваются при температуре 50 – 60oC и пропускаются через сито N 18 меш (США). Натрий-карбоксиметилцеллюлоза, крахмал, стеарат магния и тальк, предварительно пропущенные через сито N 60 (США), добавляются к гранулам, которые после перемешивания подвергаются прессованию на машине для получения таблеток. Суспензии, содержащие 0,1 – 1000 мг медикамента на 5 мл дозы, приготавливаются следующим образом. Композиция 8. Суспензии, мг/5 мл: Активный ингредиент – 0,1 – 1000 мг Натрий-карбоксиметилцеллюлоза – 50 мг Сироп – 1,25 мг Раствор бензойной кислоты – 0,10 мл Ароматизатор – q.v Краситель – q.v Очищенная вода до – 5 мл Медикамент пропускается через сито N 45 меш (США) и смешивают с натрий-карбоксиметилцеллюлозой и сиропом с образованием однородной пасты. Раствор бензойной кислоты, ароматизатор и краситель разбавляют некоторым количеством воды и добавляют к пасте при перемешивании. Далее добавляют воду до получения требуемого объема. Способ тестирования. Соединения настоящего изобретения обладают способностью ингибировать пролиферацию гладкомышечных сосудистых клеток. Это их свойство может быть продемонстрировано при использовании культуры гладкомышечных клеток, полученных из аорты кролика, при этом перед экспериментом в указанных клетках был оценен уровень пролиферации путем измерения скорости синтеза ДНК. Клетки были получены по методу эксплантата, как это описано у Росс (Ross, J. of Cell Biol 50: 172 (1971). Клетки помещались на 96-гнездное микротитровальное плато на 5 дней. Далее клетки в культуре слипались, и рост прекращался. После этого клетки переносили на среду Дульбекко, полученную за счет модификации среды Игла (ДМЕМ), содержащую 0,5 – 2% плазмы, обедненной тромбоцитами, 2 мМ L-глутамина. 100 ед/мл пенициллина, 100 мкг/мл стрептомицина, 1 мк С/мл3 Н-тимидина, 20 наног/мл фактора роста, полученного из тромбоцитов, а также различные количества рассматриваемого соединения. Раствор соединений для длительного хранения приготавливают в диметилсульфоксиде и затем разбавляют до нужной концентрации (0,01 – 30 микроМ) указанной выше средой. Далее клетки инкубируются при температуре 37oC в течение 24 ч в среде, содержащей 5% CO2/ 95% воздуха. По окончании 24-часового периода клетки фиксируют в метаноле. Включение 3H-тимидина в ДНК определяют в сцинтилляционном счетчике, как описано у Бонина (Bonin et al., Exp. Cell. Res. 181: 475-482 (1989). Способность соединений настоящего изобретения ингибировать пролиферацию гладко-мышечных клеток была далее продемонстрирована на экспоненциально растущих клетках. Гладко-мышечные клетки из аорты кролика высеваются по методике этого эксперимента на 12-гнездные плато для культивирования тканей в ДМЕМ, содержащей 10%-ную бычью сыворотку из зародышей, 2 мМ L-глутамина, 100 ед/мл пенициллина и 100 мг/мл стрептомицина. Через 24 часа клетки отделяются, среда заменяется на ДМЕМ, содержащую 10%-ную сыворотку, 2 мM L-глутамина, 100 ед/мл пенициллина, 100 микрог/мл стрептомицина и указанных количеств рассматриваемых соединений. После этого клетки растут в течение четырех дней. Клетки далее обрабатываются трипсином, и в каждой культуре с использованием счетчика ZM Култера подсчитывается число клеток. Активность, продемонстрированная в описанных выше тестах, указывает на возможность применения соединений настоящего изобретения в лечении рестеноза (см. чертеж). Формула изобретения
![]() или ![]() где R1 и R3 являются независимо друг от друга водородом, -СН3, или , где Ar необязательно замещенный фенил;R2 представляет ![]() R4 представляет водород или ОR1, и их фармацевтически приемлемых солей для ингибирования пролиферации гладкомышечных клеток аорты. 2. Применение по п.1, отличающееся тем, что указанным соединением является гидрохлорид данного соединения. 3. Применение по п.1, отличающееся тем, что указанное применение является профилактическим. 4. Применение по п. 1, отличающееся тем, что указанное соединение представляет собой ![]() или его гидрохлорид. 5. Применение соединения формул I или II ![]() или ![]() где R1 и R3 являются независимо друг от друга водородом, -СН3, или , где Ar необязательно замещенный фенил;R2 представляет ![]() R4 представляет водород или ОR1, и их фармацевтически приемлемых солей для ингибирования рестеноза артерий вследствие пролиферации гладкомышечных клеток. 6. Применение по п.5, отличающееся тем, что указанным соединением является гидрохлорид. 7. Применение по п. 5, отличающееся тем, что указанное применением осуществляется в виде профилактического введения. 8. Применение по п.5, отличающееся тем, что указанное соединение имеет формулу ![]() или представляет собой гидрохлорид данного соединения. РИСУНКИ
MM4A Досрочное прекращение действия патента Российской Федерации на изобретение из-за неуплаты в установленный срок пошлины за поддержание патента в силе
Дата прекращения действия патента: 14.10.2003
Извещение опубликовано: 10.05.2005 БИ: 13/2005
|
||||||||||||||||||||||||||



или
где Аr необязательно замещенный фенил; R2 выбран из группы, содержащей пирролидино и пиперидино; R4 представляет водород или OR1, и его фармацевтически приемлемая соль. Изобретение расширяет арсенал средств указанного назначения. 2 с. и 6 з.п. ф-лы, 1 ил.


или
, где Ar представляет собой не обязательно замещенный фенил;


-гидроксимасляной кислот, бутин-1,4-диоат, гексин-1,4- диоат, соли каприновой и каприловой кислот, хлорид, соли коричной, муравьиной и фумаровой кислот, цитрат, фумарат, гликоллят, гептаноат, соли гиппуровой, молочной, яблочной кислот, малеат, гидроксималеат, малонат, мезилат, соли миндальной, никотиновой, изоникотиновой, фталевой, терафталевой кислот, нитрат, оксалат, фосфат, моногидрогенфосфат, дигидрогенфосфат, метафосфат, пирофосфат, соли пропиоловой, себациновой, пробковой кислот, пропионат, фенилпропионат, салицилат, сукцинат, сульфат, бисульфат, пиросульфат, сульфит, бисульфит, сульфонат, бензол-сульфонат, п-бромфенилсульфонат, хлорбензолсульфонат, этансульфонат, 2-гидроксиэтансульфонат, метан-сульфонат, нафталин-1-сульфонат, нафталин-2-сульфонат, п-толуолсульфонат, ксилосульфонат, тартрат и др. Предпочтительной солью является гидрохлорид.
Фармацевтически приемлемые соли присоединения кислоты образуются в ходе реакции соединения формулы I с эквимолярным количеством или избытком кислоты. Реагенты смешиваются в общем для них растворителе, каким является, например, диэтиловый эфир или бензол. В течение времени от 1 часа до нескольких дней соль обычно осаждается из раствора и может быть отделена фильтрацией, либо может быть отогнан растворитель с помощью традиционных методов с целью получения соли.
Используемые обычно для получения солей присоединения оснований основания включают гидроксид алюминия и щелочи, в том числе гидроксиды щелочноземельных металлов, карбонаты и бикарбонаты, а также алифатические и ароматические амины, алифатические диамины и гидроксиалкиламины. Наиболее полезными для приготовления солей присоединения основания признаны гидроксид алюминия, карбонат калия, бикарбонат натрия, гидроксид кальция, метиламин, диэтиламин, этилендиамин, циклогексиламин и этаноламин.
Как правило, фармацевтически приемлемые соли присоединения имеют увеличенные показатели растворимости в сравнении с теми соединениями, из которых они были получены, и в связи с этим являются наиболее пригодными для приготовления лекарственных препаратов в виде жидкостей или эмульсий.
Приготовление лекарственных препаратов основывается на хорошо известных процедурах. В частности, рассматриваемые соединения могут быть введены в общую композицию с известными наполнителями, разбавителями или носителями и сформированы далее в виде таблеток, капсул, суспензий, порошков и др. В качестве примеров наполнителей, разбавителей или носителей, пригодных для приготовления таких препаратов, можно привести следующие: наполнители и вещества, увеличивающие объем, такие, как крахмал, сахара, маннитол и производные кремневой кислоты; связывающие вещества, такие, как карбоксиметилцеллюлоза и другие производные целлюлозы, альгинаты, желатин и поливинилпирролидон; увлажняющие агенты, такие, как глицерин; вещества, способствующие дезинтеграции лекарственного препарата, такие, как агар-агар, карбонат кальция и бикарбонат натрия, соединения, тормозящие растворение, такие, как, например, парафин; ускорители всасывания, такие, как четвертичные соединения аммония; поверхностно-активные вещества, такие, как цетиловый спирт, глицеролмоностеарат; носители, способствующие адсорбции, такие, как каолины и бентонит; и смазочные вещества, такие, как тальк, стеарат кальция и магния и твердый полиэтиленгликоль.
Соединения могут также использоваться для приготовления эликсиров и растворов для удобного перорального применения или в виде растворов для парентерального введения, в частности внутримышечного, подкожного или внутривенного. К тому же рассматриваемые соединения хорошо подходят для изготовления на их основе лекарственных средств с дозированным выделением терапевтического агента. При этом препарат может быть создан таким образом, что становится возможным выделение активного ингредиента исключительно или преимущественно в определенной части пищеварительного тракта и даже через определенный заданный отрезок времени. Покрытия, оболочки и протективные матрицы могут быть изготовлены на основе, например, полимерных веществ иди воска.
Доза соединения I, необходимая для ингибирования пролиферации гладкомышечных клеток и коррекции рестеноза, по способу данного изобретения, зависит от тяжести заболевания, способа введения препарата и других взаимосвязанных факторов, оценить влияние которых может лечащий врач. В общем случае приемлемая эффективная дневная доза находится в пределах от 0,1 до примерно 1000 мг/день, а более типично – от 50 до 200 мг/день. Указанные дозы должны вводиться нуждающемуся в таком лечении пациенту от одного до трех раз ежедневно или в случае особой необходимости для более эффективного ингибирования пролиферации клеток гладкой мускулатуры и рестеноза несколько чаще.
Доставка к тому или иному месту ингибирующих количеств активного соединения для лечения рестеноза может осуществляться с помощью самых различных технических приспособлений, вводящих соединение к тому участку организма, где отмечается усиленная пролиферация. Примеры, приведенные в настоящем изобретении, имеют своей целью отнюдь не ограничение возможных для применения способов такой доставки, но исключительно иллюстрация доступных методик и приборов. Такие примеры включают использование для локальной доставки препарата катетеров, сайт-специфических носителей, имплантатов, прямых инъекций или прямых аппликаций.
Локальная доставка с помощью катетера позволяет вводить фармацевтический агент непосредственно к участку с измененной пролиферацией. Примеры использования катетера-баллона фогарти для указанной цели приведены в EPO 383492 A2 и патенте США 4636195 (Wolinsky, январь 13, 1987).
Доставка с помощью имплантата основана на хирургическом введении матрицы, содержащей фармацевтический агент, к участку пролиферативного повреждения. Имплантированная матрица выделяет фармацевтический агент путем диффузии, химической реакции или активации растворителя. Lange Science 249: 1527-1533 (сентябрь, 1990).
Примером локальной доставки посредством имплантата может служить использование стента. Стенты разработаны для механического предотвращения коллапса и реокклюзии коронарных артерий. Включение фармацевтического агента в стент позволяет осуществлять доставку лекарства непосредственно к участку пролиферации. Локальная доставка с применением этого вида техники описана у Кона (Kohn, Pharmaceutical Technology (октябрь, 1990).
Другой пример локальной доставки представляет собой система, при которой полимер, содержащий фармацевтический агент, инъецируется к сайту повреждения в жидкой форме. Полимер затем образует имплантат in situ. Подобная техника описана в PCT WO 90/03768 (Донн, апрель, 19, 1990).
Еще один пример такой доставки описывает использование полимера для введения фармацевтического агента в просвет сосуда. По этой технике катетер вводит полимерный имплантат на внутреннюю поверхность сосуда. Далее фармацевтический агент, включенный в имплантат на основе способного к биодеградации полимера, начинает выделяться в участке хирургического вмешательства. Данная техника приведена в PCT WO 90/01969 (август 23, 1989).
И последний пример локальной доставки с применением имплантата представляет собой прямую инъекцию везикул или микрочастиц в сайт пролиферации. Подобные частицы могут состоять из таких веществ, как белки, липиды, углеводы или синтетические полимеры. Указанные микрочастицы несут фармацевтический агент, включенный либо вовнутрь ее, либо на поверхности в качестве покрытия. Системы доставки, включающие микрочастицы, описаны у Ланге (Lange, Science 249: 1527-1533 (September, 1990) Mathiowitz, et al., J. Appl. Poly. Sci., 26:809 (1981).
Локальная доставка сайт-специфическими носителями основана на прикреплении фармацевтического агента к носителю, который направляет лекарство непосредственно к участку пролиферативного нарушения. Примеры подобной техники доставки включают использование таких носителей, как белковые лиганды или моноклональные антитела. Lange, Science 249: 1527- 1533 (September).
Локальная доставка методом прямой аппликации включает использование местных аппликаций. Примером локальной доставки методом прямой аппликации может служить наложение фармацевтического агента непосредственно на обходной артериальный шунт во время хирургического вмешательства.
Предпочтительно вводить соединение формулы I в виде соли присоединения кислоты, аналогично ситуации, имеющей место при введении лекарственных средств, несущих основную группу, такую, как кольцо пиперидина. Удачным для введения такого соединения является пероральное использование его для лечения пожилых людей (т.е. женщин в постклимактерическом периоде). Для таких целей доступны следующие дозированные формы лекарственного средства.
Приготовление лекарственных средств

или
, где Ar необязательно замещенный фенил;



или
, где Ar необязательно замещенный фенил;
