Патент на изобретение №2154467
|
||||||||||||||||||||||||||
(54) СОСТАВ ИНГИБИТОРА 5
(57) Реферат: Изобретение относится к медицине. Состав ингибитора 5 – редуктазы для орального введения включает композицию, полученную посредством измельчения смеси из азатероида, водорастворимого полимера, представляющего собой водорастворимое производное целлюлозы или производное полиалкенилпирролидона, и дезинтегранта. Изобретение обеспечивает получение орально-дозируемой твердой композиции азастероида, который ранее не был пригоден для орального применения. 2 с. и 17 з.п. ф-лы, 4 табл.
Настоящее изобретение относится к составу ингибитора 5 -редуктазы для орального введения и способу его получения и использования.
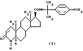
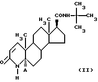
Предшествующий уровень техникиАзастероиды, включенные в качестве активного ингредиента в состав ингибитора 5 – редуктазы для орального введения согласно настоящему изобретению, а именно: N-[1-(4-метоксифенил)-1-метилэтил]-3- оксо-4-аза -5 – андрост-1-ен- -17 – карбоксамид (соединение, представленное формулой (I), изображенной ниже) и N-(1,1-диметилэтил)-3-оксо-4-аза -5 – андрост-1-ен -17 – карбоксамид (соединение, представленное формулой (II), изображенной ниже), представляют собой известные соединения и проявляют ингибирующее действие в отношении -5 – редуктазы. Следовательно, эти соединения полезны в качестве профилактического и/или терапевтического агента при гипертрофии простаты.
![]() ![]() Однако вышеописанные соединения имеют низкую растворимость в воде и до настоящего времени представляется затруднительным получить твердую композицию, содержащую такое соединение, по следующим причинам. Когда фармацевтический состав получают из недостаточно водорастворимого соединения способом, по существу известным в технике, получающийся в результате состав обычно имеет низкую растворимость и, следовательно, не проявляет достаточной биодоступности. Авторы настоящего изобретения фактически получили фармацевтический состав из вышеописанных азастероидов способом, известным, по существу, в технике, но конечный состав имел весьма низкую растворимость. В таком случае в качестве контрмеры для обеспечения достаточной биодоступности состава считается способ добавления избыточного количества активного ингредиента в одну единичную дозу. Такой способ, однако, является неэффективным, потому что получение фармацевтического состава, содержащего избыточное количество активного ингредиента, требует избыточного количества активного ингредиента. Кроме того, введение такого состава, содержащего избыток активного ингредиента, вызывает колебания коэффициента поглощения в отдельных организмах, которым введено лекарство, что увеличивает возможность появления нежелательных побочных эффектов. Поэтому вышеуказанный способ не пригоден для практического применения. Относительно состава таких недостаточно водорастворимых соединений к настоящему времени сообщалось о различных способах, улучшающих их свойства растворения. Проблемы, связанные с этим, заключаются в том, имеется ли подходящий способ для улучшения свойства растворения конкретного соединения и насколько свойство растворения может быть улучшено в зависимости от различных физических свойств (например, кристаллическая форма и размер частиц) и химических свойств (например, типа и числа функциональных групп). На самом деле такие проблемы будут решаться в первое время за счет получения различных составов, содержащих соединение, в соответствии с различными способами и оценки на практике полученных конечных составов. Способ смешения-измельчения соединения, используемого в качестве активного ингредиента и фармакологически приемлемого ингредиента, является одним из методов улучшения свойства к растворению. Относительно этого способа сделаны следующие сообщения. В “YAKUZAIGAKU”, 50(2), 187-192 (1990) описывается, что в случае измельчения смеси фенитоина и казеин натрия и в случае измельчения смеси фенитоина, казеин натрия и олеиновой кислоты растворимость фенитоина увеличивается, тогда как в случае измельчения смеси фенитоина, казеин натрия и пальмитиновой кислоты не наблюдается каких-либо изменений в растворимости. В “YAKUZAIGAKU”, 49(1), 70-77 (1989) описывается, что измельчение смеси 9,3”-диацетилмидекамицина с поливинилпирролидоном приводит к аморфному 9,3”- диацетилмидекамицину. В японской патентной заявке Kokai N SHO 60-181030 (GB-A-2153678) раскрывается фармацевтический состав, имеющий улучшенное свойство к растворимости, полученный измельчением смеси синтезированного стероида (Медроксипрогестерона) с сшитым поливинилпирролидоном (кросповидон). Поэтому автор настоящего изобретения измельчил смесь вышеуказанного азастероида с кросповидоном в соответствии со способом, описанным в вышеуказанной японской патентной заявке Kokai N SHO 60-181030, в которой раскрывается соединение, имеющее относительно сходную структуру к азастероиду по настоящему изобретению, однако получить композицию для практического применения, имеющую достаточно улучшенную способность к растворению, не удалось. Говоря конкретно, тип ингредиента и его коэффициент смешения, подходящие для улучшения способности к растворению активного ингредиента посредством измельчения их смеси, зависит от физических и химических свойств активного ингредиента. Позволит или не позволит способ, известный из предшествующего уровня техники, получить подобный эффект не зависит просто от сходства или несхожести химической структуры активного ингредиента. Авторы настоящего изобретения провели дальнейшие исследования способа улучшения способности к растворению вышеописанного азастероида в плане обеспечения его состава для практического применения. В результате было установлено, что состав настоящего изобретения дает заметное улучшение способности к растворению. В “YAKUGAKU ZASSHI, 109(12), 932-937 (1989)” раскрывается подобная композиция за исключением соединения, содержащегося в ней в качестве активного ингредиента. Однако значительного улучшения способности к растворению, полученного согласно настоящему изобретению, нельзя было предположить исходя из предшествующего уровня техники. Согласно настоящему изобретению может быть получена орально-дозируемая твердая композиция вышеуказанного азастероида, который до настоящего времени не был пригоден для практического применения в орально-дозируемых твердых композициях, имеющая способность к растворению, которая на первое время является достаточной для практического применения. Раскрытие изобретения Было проведено обширное исследование в области состава ингибиторов 5 – редуктазы для орального введения, содержащего азастероид. В результате было установлено, что растворимость азастероида может быть заметно улучшена подходящим выбором фармакологически приемлемых ингредиентов для использования в комбинации и осуществлением измельчения смеси этих ингредиентов и азастероида, что привело к завершению настоящего изобретения.
В одном аспекте настоящего изобретения:(1) таким образом обеспечивается состав ингибитора 5 -редуктазы для орального введения, который включает композицию, полученную измельчением смеси, содержащей один азастероид, выбранный из группы (A), показанной ниже, водорастворимый полимер и дезинтегрант:Группа (A) N-[1-(4-метоксифенил)-1-метилэтил] -3-оксо-4-аза -5 – андрост-1-ен -17 – карбоксамид; иN-(1,1-диметилэтил)-3-оксо-4-аза 5 – андрост-1-ен -17 – карбоксамид.
Предпочтительными являются:(2) состав ингибитора 5 – редуктаэы для орального введения, как описано выше, в котором указанный один азастероид, выбранный из группы (A), представляет собой N-[1-(4-метоксифенил)-1-метилэтил] -3- оксо-4-аза -5 – андрост-1-ен -17 – карбоксамид;(3) состав ингибитора 5 – редуктазы для орального введения, как описано выше, в котором указанный водорастворимый полимер представляет собой водорастворимое производное целлюлозы или производное полиалкенилпирролидона;(4) состав ингибитора 5 – редуктазы для орального введения, как описано выше, в котором указанный водорастворимый полимер представляет собой гидроксипропилметилцеллюлозу, гидроксипропилцеллюлозу или поливинилпирролидон;(5) состав ингибитора 5 – редуктазы для орального введения, как описано выше, в котором указанный дезинтегрант представляет собой карбоксиметилкрахмал натрия, кросповидон, кармеллозу, кармеллозу кальция, кроскармеллозу натрия, низкозамещенную гидроксипропилцеллюлозу или кристаллическую целлюлозу;(6) состав ингибитора 5 – редуктазы для орального введения, как описано выше, в котором указанный дезинтегрант представляет собой карбоксиметилкрахмал натрия, кросповидон, кармеллозу, кармеллозу кальция или кроскармеллозу натрия;(7) состав ингибитора 5 – редуктазы для орального введения, как описано выше, в котором указанный водорастворимый полимер добавляют в количестве от 0.1 до 500 частей по весу на основе 1 части по весу указанного азастероида;(8) состав ингибитора 5 – редуктазы для орального введения, как описано выше, в котором указанный дезинтегрант добавляют в количестве от 0.1 до 500 частей по весу на основе 1 части по весу указанного азастероида; и(9) состав ингибитора 5 – редуктазы для орального введения, как описано выше, в котором указанный дезинтегрант добавляют в количестве от 0.5 до 10 частей по весу на основе 1 части по весу указанного водорастворимого полимера.
В другом аспекте настоящего изобретения также обеспечивается:(10) способ получения состава ингибитора 5 – редуктазы для орального введения, который включает измельчение смеси, содержащей один азастероид, выбранный из группы (A), показанной ниже, водорастворимый полимер и дезинтегрант:Группа A N-[1-(4-метоксифенил)-1-метилэтил] -3-оксо-4-аза -5 – андрост-1-ен -17 – карбоксамид; иN-(1,1-диметилэтил)-3-оксо-4-аза -5 – андрост-1-ен -17 – карбоксамид.
Предпочтительными являются:(11) способ, как описано выше, в котором указанный один азастероид, выбранный из группы (A), представляет собой N-[1-(4-метоксифенил)-1-метилэтил] -3-оксо-4-аза -5 – андрост-1-ен -17 – карбоксамид;(12) способ, как описано выше, в котором указанный водорастворимый полимер представляет собой водорастворимое производное целлюлозы или производное полиалкенилпирролидона; (13) способ, как описано выше, в котором указанный водорастворимый полимер представляет собой гидроксипропилметилцеллюлозу, гидроксипропилцеллюлозу или поливинилпирролидон; (14) способ, как описано выше, в котором указанный дезинтегрант представляет собой карбоксиметилкрахмал натрия, кросповидон, кармеллозу, кармеллозу кальция, кроскармеллозу натрия, низкозамещенную гидроксипропилцеллюлозу или кристаллическую целлюлозу; (15) способ, как описано выше, в котором указанный дезинтегрант представляет собой карбоксиметилкрахмал натрия, кросповидон, кармеллозу, кармеллозу кальция или кроскармеллозу натрия; (16) способ, как описано выше, в котором указанный водорастворимый полимер добавляют в количестве от 0.1 до 500 частей по весу на основе 1 части по весу указанного азастероида; (17) способ, как описано выше, в котором указанный дезинтегрант добавляют в количестве от 0.1 до 500 частей по весу, на основе 1 части по весу указанного азастероида; (18) способ, как указано выше, в котором указанный дезинтегрант добавляют в количестве от 0.5 до 10 частей по весу на основе 1 части по весу указанного водорастворимого полимера. В дополнительном аспекте настоящего изобретения также обеспечивается: (19) применение состава ингибитора 5 – редуктазы для орального введения, как описано выше, в любом одном из (1) по (9) в качестве профилактического и/или терапевтического агента при гипертрофии простаты.
В “составе ингибитора 5 – редуктазы для орального введения” согласно настоящему изобретению термин “азастероид” означает N-[1-(4-метоксифенил)-1-метилэтил] -3-оксо-4-аза -5 – андрост-1-ен -17 – карбоксамид или N-(1,1-диметилэтил)-3-оксо-4-аза -5 – андрост-1-ен -17 – карбоксамид. Предпочтительным является N-[1-(4-метоксифенил)-1- метилэтил]-3-оксо-4-аза -5 – андрост-1-ен -17 – карбоксамид.
Случается, что вышеуказанные соединения абсорбируют воду, имея таким образом адсорбированную воду, или превращаются в гидраты при хранении на воздухе или во время перекристаллизации. Термин “азастероид” также охватывает такие гидраты.
В качестве примеров “водорастворимого полимера” и “дезинтегранта”, содержащихся в измельченной смеси для получения “состава ингибитора 5 -редуктазы для орального введения” по настоящему изобретению, могут быть приведены следующие соединения.
Примеры “водорастворимого полимера” включают водорастворимые производные целлюлозы, такие как гидроксипропилметилцеллюлоза, гидроксипропилцеллюлоза, гидроксиэтилцеллюлоза, кармеллоза натрия и метилцеллюлоза; производные полиалкенилпирролидона, такие как поливинилпирролидон; производные полиалкениловых спиртов, такие как поливиниловый спирт; производные карбоксиалкенильных полимеров, такие как карбоксивинильный полимер; производные полиалкениловых органических кислот, такие как частично омыленный поливинилацетат; производные сополимеров сложных эфиров органических алкениловых кислот, такие как сополимер винилацетата; соли полисахаридов, такие как аргинат натрия, эфирные производные полисахаридов, такие как аргинат пропиленгликоля; и производные полиалкиленгликоля, такие как полиэтиленгликоль.
Среди них предпочтительными являются водорастворимые производные целлюлозы и производные полиалкенилпирролидона, и гидроксипропилметилцеллюлоза, гидроксипропилцеллюлоза и поливинилпирролидон являются наиболее предпочтительными. Эти водорастворимые полимеры могут использоваться или по отдельности, или в комбинации.
Примеры “дезинтегрантов” включают крахмал, частично -превращенный крахмал, карбоксиметилкрахмал, гидроксипропил-крахмал, карбоксиметилкрахмал натрия, кросповидон, кармеллозу, кармеллозу кальция, кроскармеллозу натрия и низкозамещенную гидроксипропилцеллюлозу и водонерастворимые производные целлюлозы (например, кристаллическая целлюлоза, этилцеллюлоза, ацетат целлюлозы, карбоксиметилэтилцеллюлоза и нитроцеллюлоза). Среди них предпочтительными являются карбоксиметилкрахмал натрия, кросповидон, кармеллоза, кармеллоза кальция, кроскармеллоза натрия, низкозамещенная гидроксипропилцеллюлоза и кристаллическая целлюлоза, и наиболее предпочтительными являются карбоксиметилкрахмал натрия, кросповидон, кармеллоза, кармеллоза кальция и кроскармеллоза натрия. Приведенные в качестве примеров указанные выше дезинтегранты могут использоваться как по отдельности, так и в комбинации.
Вышеописанный водорастворимый полимер обычно может добавляться в количестве от 0.1 до 500 частей по весу, основанных на 1 части по весу вышеуказанного азастероида. Предпочтительно его добавляют в количестве от 0.2 до 300 частей по весу (более предпочтительно 10 частей по весу, особенно предпочтительно 6 частей по весу и наиболее предпочтительно 5 частей по весу) на основе 1 части по весу азастероида.
Описанный выше дезинтегрант обычно может добавляться в количестве от 0.1 до 500 частей по весу на основе 1 части по весу азастероида. Предпочтительно его добавляют в количестве от 0.25 части по весу (более предпочтительно 0.5 части по весу и наиболее предпочтительно 1 часть по весу) до 300 частей по весу (предпочтительно 10 частей по весу, особенно предпочтительно 6 частей по весу и наиболее предпочтительно 5 частей по весу) на основе 1 части по весу азастероида.
Обычно дезинтегрант может добавляться в количестве от 0.1 до 100 частей по весу на основе 1 части по весу описанного выше водорастворимого полимера. Предпочтительно его добавляют в количестве от 0.5 части по весу (более предпочтительно 1 часть по весу) до 10 частей по весу (предпочтительно 5 частей по весу) на основе 1 части по весу водорастворимого полимера.
Водорастворимый полимер и дезинтегрант обычно могут добавляться в общем количестве от 0.2 до 1000 весовых частей на основе 1 части по весу азастероида. Предпочтительно их добавляют в общем количестве от 0.5 части по весу (более предпочтительно 1 часть по весу и особенно предпочтительно 2 части по весу) до 600 частей по весу (более предпочтительно 20 частей по весу, особенно предпочтительно 10 частей по весу, более предпочтительно 6 частей по весу и наиболее предпочтительно 5 частей по весу) на основе 1 части по весу азастероида.
Азастероиды, содержащиеся в качестве активного ингредиента “состава ингибитора 5 -редуктазы для орального введения”, согласно настоящему изобретению, то есть N-[1-(4-метоксифенил)-1-метилэтил]-3-оксо-4-аза -5 – андрост-1-ен -17 – карбоксамид (соединение, представленное формулой (I) выше) и N-(1,1-диметилэтил)-3-оксо-4-аза -5 – андрост-1-ен -17 – карбоксамид (соединение, представленное формулой (II) выше), получают способами, раскрытыми в Японской патентной заявке Kokai N HEI 5-32693 и Японской патентной заявке Kokai N SHO 60-222497 (Японская патентная заявка Kokoku N SHO 63-65080) соответственно.
“Композицию”, содержащуюся в “составе ингибитора 5 -редуктазы для орального введения”, согласно настоящему изобретению получают измельчением смеси, содержащей азастероид, водорастворимый полимер и дезинтегрант.
Измельчение может осуществляться известным способом, предпочтительно с использованием аппарата для измельчения, который позволяет осуществлять непрерывное измельчение в течение длительного периода времени. Примеры таких аппаратов для измельчения включают те, в которых используется материал, такие как стержневая мельница и шаровая мельница, и вибрационная шаровая мельница и аппарат измельчения с перемешиванием материала являются предпочтительными.
Хотя время, требуемое для измельчения, изменяется в соответствии с используемыми для измельчения инструментами или аппаратом, видом измельчаемого соединения или количества смеси для измельчения, измельчение обычно осуществляют в течение от 1 минуты до 24 часов.
“Композиция”, полученная таким образом, может вводиться, как есть, человеку в качестве ингибитора 5 -редуктазы, и в этом случае она также проявляет заметно улучшенную способность к растворению.
Альтернативно ее можно вводить в виде различных дозировочных форм, получаемых посредством добавления одной или более добавок к “композиции” и составления конечной смеси способом, по существу известным в технике. В качестве дозировочных форм применяют твердые формы, обычно известные как составы для орального введения. Их примеры включают порошки, гранулы, таблетки и капсулы.
Для получения порошков, например, вышеописанную “композицию” используют саму по себе или смешивают до однородности с одной или более добавками, описанными далее.
Гранулы могут быть получены, например, посредством сухого гранулирования или влажного гранулирования. В этом случае возможно, если это необходимо, добавление к композиции перед гранулированием или после него одной или более добавок, описанных ниже.
Таблетки могут быть получены, например, непосредственным таблетированием “композиции”. Альтернативно, они могут быть получены посредством изготовления гранул из “композиции” и последующим таблетированием получающихся гранул. В любом случае, если это необходимо, перед таблетированием могут быть добавлены одна или более из нижеописанных добавок.
Капсулы могут быть получены, например, наполнением капсул “композицией”, как таковой. Альтернативно они могут быть получены предварительным получением гранул, как описано выше, и последующим наполнением капсул этими гранулами. В любом случае, если это необходимо, перед наполнением может быть добавлена одна или более из нижеописанных добавок.
Примеры добавок, используемых для получения фармацевтического состава из “композиции”, включают эксципиенты, связующие вещества, дезинтегранты, красители, вкусмаскирующие агенты/запахмаскирующие агенты и смазывающие вещества.
В качестве примеров эксципиентов в настоящее описание включены каолин, казеин, порошкообразный солодковый корень, агар, легкая безводная кремниевая кислота, природный силикат алюминия, синтетический силикат алюминия, синтетический силикат магния, кремниевый ангидрид, силикат магния, пшеничная мука, тяжелый оксид магния, гидроксид алюминия, соосажденный карбонат магния, высушенный гель гидроксида алюминия, гипс, высушенный гипс, желатин, микрокристаллическая целлюлоза, D-сорбит, карбонат кальция, осажденный карбонат кальция, карбонат магния, бикарбонат натрия, тальк, декстрин, крахмал, лактоза, лактат кальция, сахароза, глюкоза, пектин, солодовый экстракт, D-маннит, метасиликаталюминат магния, моностеарат алюминия, очищенный ланолин, двухосновный фосфат кальция и двухосновный фосфат натрия. Предпочтительными являются лактоза, D-маннит, сахароза, очищенная сахароза и кристаллическая целлюлоза.
В качестве примеров связующих средств в настоящее описание включены сахарный сироп, крахмальный сироп, аравийская камедь, порошок аравийской камеди, этанол, этилцеллюлоза, казеин натрия, кармеллоза, кармеллоза кальция, KANBAIKO, глицерин, ацетат-фталат целлюлозы, стеариновая кислота, очищенная вода, желатин, очищенный шеллак, белый шеллак, декстрин, крахмал, трагакант, порошкообразный трагакант, мед, микрокристаллическая целлюлоза, гидроксицеллюлоза, гидроксипропилцеллюлоза, гидроксипропилкрахмал, гидроксипропилметилцеллюлоза, гидроксиметилцеллюлоза, полифосфат натрия, рисовая мука, метилцеллюлоза, метилцеллюлоза натрия и поливинилпирролидон.
Примеры дезинтегрантов включают те, которые приводились выше в качестве “дезинтегрантов”.
Примеры красителей включают карамель, полуторная окись железа, дегтевые красители, используемые в фармацевтических препаратах.
Примеры вкусмаскирующих агентов/запахмаскирующих агентов включают обычно применяемые подсластители, подкислители и ароматизаторы.
В качестве примеров смазывающих веществ здесь включены карнаубский воск, легкая безводная кремниевая кислота, синтетический силикат алюминия, природный силикат алюминия, синтетический силикат магния, гидрированное масло, гидрированные производные растительных масел (например, Sterotex HM), кунжутное масло, белый пчелиный воск, оксид титана, сухой гель гидроксида алюминия, стеариновая кислота, стеарат кальция, стеарат магния, тальк, двухосновный фосфат кальция и лаурилсульфат натрия.
Также возможно добавлять указанные выше в качестве примеров добавки к смеси перед измельчением, если они не оказывают отрицательного влияния на измельчение и свойства растворимости азастероида, а затем измельчать полученную смесь, получая, таким образом, описанную выше “композицию”.
Хотя доза “состава ингибитора 5 -редуктазы для орального введения” по настоящему изобретению будет меняться в соответствии с симптомами и возрастом пациента, желательно вводить ежедневно, одну или в нескольких долях, состав, который отрегулирован так, чтобы содержать азастероид в количестве, изменяющемся от 0.1 мг (предпочтительно 0.5 мг) в качестве нижнего предела до 100 мг (предпочтительно 50 мг, наиболее пред почтительно 20 мг) в качестве верхнего предела.
Лучший способ осуществления изобретенияИзобретение далее будет описано более детально на следующих примерах, сравнительных примерах и испытаниях. Пример 1 В ступке смешивают до однородности 1.0 г N-[1-(4-метоксифенил)-1- метилэтил] -3-оксо-4-аза -5 – андрост-1-ен -17 – карбоксамида (которое далее будет называться “соединение I”), 0.5 г гидроксипропилметилцеллюлозы (которая далее будет сокращаться аббревиатурой ГПМЦ) и 2 г кросповидона (торговая марка “Kollidon CL”; продукт фирмы BASF, Япония), с последующим измельчением в течение 30 минут в вибрационной типовой мельнице модели TI-100 (CMT Co., Ltd.), имеющей внутри стержень.
Пример 2В ступке смешивают до однородности 1.0 г соединения I, 0.5 г ГПМЦ и 2 г карбоксиметилкрахмала натрия (торговая марка “Explotab”; продукт Kimura Sangyo Co. , Ltd.) с последующим измельчением в течение 30 минут в вибрационной типовой мельнице модели TI-100, имеющей внутри стержень. Пример 3 В ступке смешивают до однородности 1.0 г соединения I, 0.5 г ГПМЦ и 2 г кроскармеллозы натрия (торговая марка “Ac-Di-Sol”; продукт Asahi Chemical Industry Co., Ltd.) с последующим измельчением в течение 30 минут в вибрационной типовой мельнице модели TI-100, имеющей внутри стержень. Пример 4 Смешивают соединение I (1170 г), 286 г ГПМЦ, 286 г кармеллозы кальция и 258 г кристаллической целлюлозы. Полученную смесь загружают в динамическую мельницу типа 10 (Mitsui Miike Engineering Corporation) и измельчают со скоростью 60 г/мин. Пример 5 Смешивают соединение I (2 кг), 3.9 кг кармеллозы кальция, 0.5 кг ГПМЦ и 0.4 кг кристаллической целлюлозы. Полученную смесь загружают в динамическую мельницу типа 10 (Mitsui Miike Engineering Corporation) и измельчают со скоростью 120 г/мин. Пример 6 В ступке смешивают до однородности 1.0 г N-(1,1-диметилэтил)-3-оксо-4-аза -5 – андрост-1-ен -17 – карбоксамида (которое далее называют “соединение II”), 3 г ГПМЦ и 2 г Kollidon CL с последующим измельчением в течение 30 минут в вибрационной типовой мельнице модели TI-100, имеющей внутри стержень.
Сравнительный пример 1В вибрационную типовую мельницу модели TI-100, имеющую стержень внутри, загружают 5 г соединения I в виде кристаллов с последующим измельчением в течение 30 минут. Сравнительный пример 2 Смешивают 1170 г соединения I, 286 г ГПМЦ, 286 г кармеллозы кальция и 258 г кристаллической целлюлозы. Сравнительный пример 3 10 мг соединения I растворяют в 20 мл полиэтиленгликоля 400. Тест 1: испытание на растворимость Взвешивают количества композиций, полученных в примерах с 1 по 4, порошки, полученные в сравнительном примере 1, и смесь, полученную в сравнительном примере 2, каждое из которых соответствует 10 мг соединения I. Они подвергаются испытанию на растворимость в соответствии со способом 2 (лопастной способ), описанном в тесте на растворимость в Фармакопеи Японии (12 издание). В случае композиций, полученных в примерах с 1 по 3, и порошков, полученных в сравнительном примере 1, в качестве раствора для растворения использовали 900 мл второй жидкости для испытания, как раскрыто в тесте на измельчение в Фармакопеи Японии (12 издание). Испытание осуществляли при частоте вращения лопастей 200 оборотов в минуту. В качестве раствора для растворения в случае композиции, полученной в примере 4, и смеси, полученной в сравнительном примере 2, использовали воду, и испытание осуществляли при скорости вращения лопастей 200 оборотов в минуту. Результаты представлены в таблицах 1 и 2. Как это видно из таблиц 1 и 2, способность к растворению соединения I достаточно улучшилась для практического применения за счет измельчения смеси соединения I, водорастворимого полимера и дезинтегранта. Таким образом, состав ингибитора 5 -редуктазы для орального введения согласно настоящему изобретению является значительно полезным, так как отпадает необходимость вводить избыточное количество активного ингредиента в одну единичную дозу и, кроме того, так как колебания в коэффициенте поглощения среди отдельных пациентов, которым вводится препарат, могут быть сведены к минимуму.
Тест 2: изменение концентрации соединения I в кровиКоличество композиции, полученной в примере 5, соответствующее 10 мг соединения I, суспендировали в 20 мл воды с получением суспензии. Полученную суспензию и раствор, полученный в сравнительном примере 3, соответственно вводили орально гончим собакам. Пробы крови получали из верхней части предплечья с промежутком времени и измеряли концентрацию (нг/мл) соединения I в крови. Результаты представлены в таблице 3. Из данных таблицы 3 следует, что состав ингибитора 5 -редуктазы для орального введения по настоящему изобретению имеет биодоступность, эквивалентную раствору соединения I.
Тест 3: улучшение способности к растворению за счет измельченияВзвешивают количество композиции, полученной в примере 6, соответствующее 100 мг соединения II, и проводят для него тест на растворение в соответствии со способом 2 (лопастной способ), описанным в тесте на растворимость Фармакопеи Японии (12 издание). В этом испытании в качестве раствора для растворения использовали 900 мл второй жидкости для проведения теста, как это описано в тесте на измельчение Фармакопеи Японии (12 издание), и испытание осуществляли при частоте вращения лопастей 200 оборотов в минуту. Как видно из таблицы 4, растворимость соединения II заметно улучшается при измельчении смеси. Формула изобретения
-редуктазы, который содержит измельченную смесь одного азастероида, выбранного из группы (А), представленной ниже, водорастворимого полимера и дезинтегранта: Группа А – N-[1-(4-метоксифенил)-1-метилэтил]-3-оксо-4-аза-5 -андрост-1-ен-17 -карбоксамид; и N-(1,1-диметилэтил)-3-оксо-4-аза-5 -андрост-1-ен-17 -карбоксамид.
2. Состав по п.1, в котором указанный азастероид, выбранный из группы (А), представляет собой N-[1-(4-метоксифенил)-1-метилэтил] -3-оксо-4-аза-5 -андрост-1-ен-17 -карбоксамид.
3. Состав по п.1 или 2, в котором указанный водорастворимый полимер представляет собой водорастворимое производное целлюлозы или производное полиалкенилпирролидона.
4. Состав по п. 1 или 2, в котором указанный водорастворимый полимер представляет собой гидроксипропилметилцеллюлозу, гидроксипропилцеллюлозу или поливинилпирролидон.
5. Состав по любому из пп.1 – 4, в котором указанный дезинтегрант представляет собой карбоксиметилкрахмал натрия, кросповидон, кармеллозу, кармеллозу кальция, кроскармеллозу натрия, низкозамещенную гидроксипропилцеллюлозу или кристаллическую целлюлозу.
6. Состав по любому из пп. 1 – 4, в котором указанный дезинтегрант представляет собой карбоксиметилкрахмал натрия, кросповидон, кармеллозу, кармеллозу кальция или кроскармеллозу натрия.
7. Состав по любому из пп.1 – 6, в котором указанный водорастворимый полимер добавляют в количестве 0,1 – 500 ч. по весу на основе 1 ч. по весу указанного азастероида.
8. Состав по любому из пп.1 – 7, в котором указанный дезинтегрант добавляют в количестве 0,1 – 500 ч. по весу на основе 1 ч. по весу указанного азастероида.
9. Состав по любому из пп.1 – 8, в котором указанный дезинтегрант добавляют в количестве 0,5 – 10 ч. по весу на основе 1 ч. по весу указанного водорастворимого полимера.
10. Способ получения состава для орального введения ингибитора 5 -редуктазы, включающий измельчение смеси, содержащей один азастероид, выбранный из группы (А), представленной ниже, водорастворимый полимер и дезинтегрант: Группа А – N-[1-(4-метоксифенил)-1-метилэтил]-3-оксо-4-аза-5 -андрост-1-ен-17 -карбоксамид; и N-(1,1-диметилэтил)-3-оксо-4-аза-5 -андрост-1-ен-17 -карбоксамид.
11. Способ по п.10, в котором указанный азастероид, выбранный из группы (А), представляет собой N-[1-(4-метоксифенил)-1-метилэтил] -3-оксо-4-аза-5 -андрост-1-ен-17 -карбоксамид.
12. Способ по п.10 или 11, в котором указанный водорастворимый полимер представляет собой водорастворимое производное целлюлозы или производное полиалкенилпирролидона.
13. Способ по п.10 или 11, в котором указанный водорастворимый полимер представляет собой гидроксипропилметилцеллюлозу, гидроксипропилцеллюлозу или поли(винилпирролидон).
14. Способ по любому из пп.10 – 13, в котором указанный дезинтегрант представляет собой карбоксиметилкрахмал натрия, кросповидон, кармеллозу, кармеллозу кальция, кроскармеллозу натрия, низкозамещенную гидроксипропилцеллюлозу или кристаллическую целлюлозу.
15. Способ по любому из пп.10 – 13, в котором указанный дезинтегрант представляет собой карбоксиметилкрахмал натрия, кросповидон, кармеллозу, кармеллозу кальция или кроскармеллозу натрия.
16. Способ по любому из пп.10 – 15, в котором указанный водорастворимый полимер добавляют в количестве 0,1 – 500 ч. по весу на основе 1 ч. по весу указанного азастероида.
17. Способ по любому из пп.10 – 16, в котором указанный дезинтегрант добавляют в количестве 0,1 – 500 ч. по весу на основе 1 ч. по весу указанного азастероида.
18. Способ по любому из пп.10 – 17, в котором указанный дезинтегрант добавляют в количестве 0,5 – 10 ч. по весу на основе 1 ч. по весу указанного водорастворимого полимера.
19. Способ по любому из пп.10 – 18, в котором измельчение осуществляют в течение времени от 1 мин до 24 ч.
РИСУНКИ
MM4A – Досрочное прекращение действия патента СССР или патента Российской Федерации на изобретение из-за неуплаты в установленный срок пошлины за поддержание патента в силе
Дата прекращения действия патента: 05.02.2006
Извещение опубликовано: 20.12.2007 БИ: 35/2007
|
||||||||||||||||||||||||||

-РЕДУКТАЗЫ ДЛЯ ОРАЛЬНОГО ВВЕДЕНИЯ, СПОСОБ ЕГО ПОЛУЧЕНИЯ И ЕГО ИСПОЛЬЗОВАНИЕ
– карбоксамид (соединение, представленное формулой (I), изображенной ниже) и N-(1,1-диметилэтил)-3-оксо-4-аза -5
