Патент на изобретение №2259830
|
|||||||||||||||||||||||||||||||||||||||||||||||||||||||||||||||||
(54) ФАРМАЦЕВТИЧЕСКАЯ КОМПОЗИЦИЯ ДЛЯ ЛЕЧЕНИЯ ЗАБОЛЕВАНИЙ, СВЯЗАННЫХ С ПОТЕРЕЙ КОСТНОЙ МАССЫ
(57) Реферат:
Изобретение относится к химико-фармацевтической промышленности и касается нового применения агониста рецептора ЕР4 для лечения и/или профилактики заболеваний, связанных с потерей костной массы, агонисты рецепторов ЕР4 высоко эффективны при лечении заболеваний, связанных с потерей костной ткани, в том числе таких, как остеопороз различного генеза, при этом агонисты рецепторов ЕР4 обладают скелетом простагландина. 3 н. и 13 з.п. ф-лы, 3 табл.
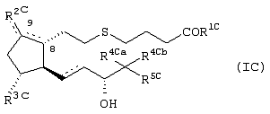
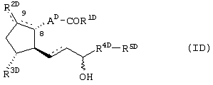
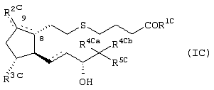
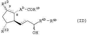
Область техники Настоящее изобретение относится к фармацевтической композиции для лечения заболеваний, связанных с потерей костной массы, содержащей в качестве активного ингредиента агонист ЕР4 рецептора. Более подробно, изобретение относится к фармацевтической композиции для лечения и/или профилактики заболеваний, связанных с потерей костной массы, таких как первичный остеопороз, вторичный остеопороз, метастаз в кость, гиперкальциемия, болезнь Педжета, разрежение кости и остеонекрозы и т.д.; и к фармацевтической композиции для ускорения остеогенеза, такого как остеогенез после перелома, остеогенез после трансплантации кости, остеогенез после операции по поводу искусственного сустава, остеогенез после спондилодеза и остеогенез после других операций по регенерации кости и т.д.; и к фармацевтической композиции для ускоренного лечения этих заболеваний, содержащим в качестве активного ингредиента агонист ЕР4 рецептора. Предшествующий уровень техники Приблизительно за 120-150 дней кость проходит цикл, включающий резорбцию кости остеокластами, остеогенез остеобластами и период покоя (называемый ремоделированием). У здорового взрослого человека и резорбция кости, и остеогенез строго контролируются, так что существует незначительное изменение общей костной массы. Однако у пациента, страдающего заболеванием, связанным с потерей костной массы, баланс между резорбцией кости и остеогенезом нарушен и происходит потеря костной массы и деградация костной ткани. Степень потери костной массы достигает 20-30%. Такой пациент имеет склонность к переломам костей, которые иногда являются причиной постельного режима, деформации тела или, в наиболее неблагоприятном случае, смерти, когда переломы происходят в опасных местах типа тазобедренного сустава и т.д. Типичным заболеванием, связанным с потерей костной массы, является остеопороз. Остеопороз – системное заболевание, для которого в качестве главного симптома характерны потеря костной массы и деградация костной ткани. Причины остеопороза могут быть различны, а наиболее частой причиной, как считают, является возраст, особенно постменопаузальный гормональный дисбаланс у женщин. Поэтому в настоящее время в качестве основного лечения остеопороза принято введение эстрогена, витамина D или кальцитонина. Однако при лечении гормонами имеется риск стимуляции рака (особенно, рака груди, рака матки и т.д.), так что такое лечение небезопасно. Кроме того, проводили введение бисфосфоната как лекарственного препарата второго поколения. Однако проблема состоит в том, что прекращение введения может вызвать осложнения. Кроме того, даже если при упомянутом лечении существует возможность задержать усугубление остеопороза, трудно регенерировать кость, масса которой однажды уменьшилась. С другой стороны, простагландин Е2 (сокращенное название PGE2) известен как метаболит в каскаде арахидоновой кислоты. Известно, что он обладает различными активностями, такими как цитопротекторная активность, контрактильная активность в отношении матки, эффектом индуцирования боли, стимулирующим действием на перистальтику желудочно-кишечного тракта, эффектом пробуждения, подавляющим влиянием на секрецию кислоты в желудке, гипотензивной активностью, диуретической активностью и т.д. PGE2, как считают, имеет отношение к резорбции кости (J.Dent Res. 59(10), 1635 (1980); Nature 266,6455 (1977)). Кроме того, существует заявка на патент, в которой сообщается, что макроскопически или микроскопически наблюдали рост костной ткани и увеличение костной массы у собаки, которой перорально или внутривенно вводили PGE1 или PGE2. Однако доза каждого соединения составляла 1000 мкг/кг/день, что является очень высокой дозой для PG, так что сомнительно, что каждый названный PG играет существенную роль. Ввиду такой высокой дозы могут быть трудности при получении средства на практике. Недавнее исследование доказало существование различных подтипов PGE2 рецептора, обладающих отличающим их друг от друга физическим предназначением. В настоящее время известны четыре подтипа рецептора; они названы EP1, ЕР2, ЕР3, ЕР4 (Ngishi M. и др., J.Lipid Mediators Cell Signaling 12, 379-391 (1995)). При изучении роли каждого подтипа рецепторов и обнаружении соединения, которое может образовывать специфическую связь с каждым рецептором и не может образовать связь ни с какими другими рецепторами, стало возможным получить средство, дающее меньше побочных эффектов. Недавно открыли, что агонист EP2 рецептора и антагонист ЕР4, применим в лечении остеопороза (WO98/279769) и ускоренной резорбции кости (GB2 330307), соответственно. Кроме того, в заявке ЕР-855389 описано, что соединение формулы (IA) использовали как конъюгатор для ЕР4 рецептора. В данной заявке на патент показано, что соединение формулы (IA) полезно для лечения и профилактики нарушений остеогенеза. Однако нет ни описания, ни предположения того, что агонист ЕР4 рецептора или антагонист ЕР4 имеет отношение к остеогенезу или на его роль в лечении. Как упомянуто выше, существует предположение, что PGE2 или PGE1 относятся к метаболитам кости, и для некоторых их подтипов это предположение действительно подтверждено. Однако не ясно, какие именно их подтипы, или какой именно антагонист или агонист рецептора, применимы. Сущность изобретения Авторы настоящего изобретения и др. синтезировали различные соединения, которые могут выборочно связываться с каждым подтипом PGE рецептора, и исследовали их, чтобы найти соединения, воздействующие на остеогенез, в качестве средства для лечения заболеваний, связанных с потерей костной массы. До сих пор считалось, что антагонист ЕР4 применим для лечения заболеваний, связанных с потерей костной массы, благодаря его ингибирующему действию на резорбцию кости, а агонист ЕР4 рецептора не применим для такого лечения из-за стимулирующего действия на резорбцию кости, которая может вызывать потерю костной массы. Однако неожиданно авторы настоящего изобретения обнаружили, что агонист ЕР4 рецептора в низких дозах вызывает увеличение костной массы и плотности кости, и тем самым реализовали настоящее изобретение. Кроме того, было экспериментально подтверждено, что соединения формул (IA)-(IJ), указанные ниже и представляющие собой агонисты ЕР4 рецептора, действительно оказывают агонистическое действие ЕР4 рецептора. Настоящее изобретение относится к фармацевтической композиции для лечения и/или профилактики заболеваний, связанных с потерей костной массы, содержащей в качестве активного ингредиента агонист ЕР4 рецептора. Согласно настоящему изобретению впервые было подтверждено, что агонист ЕР4 рецептора обладает активностью по увеличению костной массы и плотности кости и стимулирующим остеогенез действием. В настоящем изобретении термин “заболевание, связанное с потерей костной массы” и означает заболевание вследствие таких состояний, как пониженная плотность кости, деградация костной ткани и т.д., и включает, например: 1) первичный остеопороз (например, первичный возрастной остеопороз, первичный постменопаузальный остеопороз, первичный остеопороз вследствие овариэктомии и т.д.); 2) вторичный остеопороз (например, остеопороз, индуцированный глюкокортикоидами; остеопороз, индуцированный гипертиреозом; остеопороз, индуцированный неподвижностью; остеопороз, индуцированный гепарином; остеопороз, индуцированный иммунодепрессией, остеопороз вследствие почечной недостаточности, воспалительный остеопороз, остеопороз вследствие синдрома Кушинга, ревматоидный остеопороз и т.д.); 3) такие заболевания кости, как метастаз в кость, гиперкальцемия, болезнь Педжета, разрежение кости (альвеолярное разрежение кости, разрежение челюстной кости, идиопатическое разрежение кости у детей и т.д.), остеонекроз и т.д. Помимо лечения вышеупомянутых заболеваний настоящее изобретение также включает фармацевтическую композицию для ускорения остеогенеза после операции на кости (например, остеогенез после переломов, остеогенез после трансплантации кости, остеогенез после операции по поводу искусственного сустава, остеогенез после спондилодеза и остеогенез после других операций по поводу регенерации кости и т.д.), или стимулирующего лечения кости, или альтернативного лечения по трансплантации кости. Согласно настоящему изобретению агонгистом ЕР4 рецептора является каждое соединение, которое может выборочно образовывать связь с ЕР4 рецептором подтипом PGE2 рецептора, и не может или не образует связь с никаким другим EP1, ЕР2, ЕР3 подтипом рецептора, и обладает сродством к ЕР4. Следовательно, такие соединения включают и агонисты ЕР4, которые будут найдены в будущем, так же, как известные в настоящее время. Кроме того, такие агонисты ЕР4 включают как соединения, не обладающие PG-скелетом, так и с PG-скелетом. Данные соединения могут выборочно образовывать связь с ЕР4 рецептором, и они вообще не индуцируют боль, которую может вызывать EP1, релаксацию матки, которую может вызывать ЕР2, и сокращение матки, которое может вызывать ЕР3, так что они являются средствами, не имеющими никакого влияния на вышеупомянутые действия. Как показано в экспериментах, упомянутых позже, агонист ЕР4 обладает сильным стимулирующим действием на остеогенез, так что оно полезно для лечения упомянутых заболеваний, связанных с потерей костной массы, таких как остеопорозы. Предпочтительными соединениями, используемыми в настоящем изобретении, являются следующие: например, соединения, выбранные из агонистов ЕР4, состоящие из соединений формулы (IA) где R1А означает гидрокси, С1-4алкилокси, или NR6АR7А (где каждый R6А и R7А независимо означает водород или С1-4алкил), R2А означает водород или гидроксигруппу, R3А означает: (i) С1-8алкил, С2-8алкенил или С2-8алкинил; (ii) фенил или С3-7циклоалкил; (iii) С1-8алкил, С2-8алкенил или С2-8алкинил, замещенный фенилом или С3-7циклоалкилом (при условии, что, когда R2А является водородом, алкил, алкенил и алкинил в (i) и (ii) могут быть замещены одной гидроксигруппой). Символ — означает двойную или простую связь. При условии, что включено его 8-эпиравновесное соединение. Соединения формулы (IB) Где R1В означает гидрокси, С1-6алкилокси, или NR6ВR7В (где каждый R63 и R78 независимо означает водород или С1-6алкил), R2B означает водород или гидроксигруппу, R3B означает простую связь или C1-6алкилен, R4B означает: (i) С1-8алкил, С2-8алкенил или С2-8алкинил, замещенные одной-тремя группами, выбираемыми из C1-балкилокси или галогена; (ii) фенилокси или С3-7циклоалкилокси; (iii) фурил, фурилокси, тиенил, тиенилокси, нафтил, нафтилокси, фталанил или фталанилокси; (iv) фенил, фенилокси, С3-7циклоалкил или С3-7циклоалкилокси, замещенные одной-тремя группами, выбираемыми из следующей группы: C1-6алкил, С2-6алкенил, С2-6алкинил, C1-6алкилокси, С1-6алкилокси-С1-6алкил, С1-6алкилокси-С1-6алкилокси, С2-6алкенилокси-С1-6алкил, C1-6алкил, замещенный одной-тремя гидроксигруппами, С1-6алкил, замещенный одним-тремя атомами галогенов, C1-6алкилтио, С1-6алкилтио-С1-6алкил, С1-6алкилтио-С1-6алкилокси, С2-6алкенилтио-С1-6алкил, C1-6алкилсульфонил, галоген, тригалогенметил, циано, нитро, амино, гидрокси, С3-7циклоалкил, С3-7циклоалкилокси, С3-7циклоалкил-С1-6алкил, С3-7циклоалкилокси-С1-6алкил, фенил, фенилокси, фенил-С1-6алкил, фенил-С2-6алкенил, фенил-С2-6алкинил, фенилокси-С1-6алкил, фенилокси-С2-6алкенил, фенилокси-С2-6алкинил, фурил, фурилокси, фурил-С1-6алкил, фурилокси-С1-6алкил, тиенил, тиенилокси, тиенил-С1-6алкил или тиенилокси-С1-6алкил, (упомянутые выше фенил, фурил, тиенил или циклоалкил могут быть замещены одной-тремя группами, выбираемыми из C1-6алкилов, C1-6алкилокси, С1-6алкилокси-С1-6алкилов, нитрогруппы, галогенов, тригалогенметилов, амино и гидроксигрупп); или (v) фурил, фурилокси, тиенил, тиенилокси, нафтил, нафтилокси, фталанил или фталанилокси, замещенные одной-тремя группами, выбираемыми из следующих групп: C1-6алкил, С2-6алкенил, С2-6алкинил, C1-6алкилокси, С1-6алкилокси-С1-6алкил, С1-6алкилокси-С1-6алкилокси, С2-6алкенилокси-C1-6алкил, C1-6алкил, замещенный одной-тремя гидроксигруппами, С1-6алкил, замещенный одним-тремя атомами галогенов, C1-6алкилтио, С1-6алкилтио-С1-6алкил, С1-6алкилтио-С1-6алкилокси, С2-6алкенилтио-С1-6алкил, C1-6алкилсульфонил, галоген, тригалогенметил, циано, нитро, амино, гидрокси, С3-7циклоалкил, С3-7циклоалкилокси, С3-7циклоалкил-С1-6алкил, С3-7циклоалкилокси-С1-6алкил, фенил, фенилокси, фенил-C1-6алкил, фенил-С2-6алкенил, фенил-С2-6алкинил, фенилокси-C1-6алкил, фенилокси-С2-6алкенил, фенилокси-С2-6алкинил, фурил, фурилокси, фурил-С1-6алкил, фурилокси-C1-6алкил, тиенил, тиенилокси, тиенил-С1-6алкил или тиенилокси-C1-6алкил. (Упомянутые выше фенил, фурил, тиенил или циклоалкил могут быть замещены одной-тремя группами, выбираемыми из C1-6алкила, C1-6алкилокси, С1-6алкилокси-С1-6алкила, нитро, галогена, тригалогенметила, амино, и гидроксигрупп), R5B означает водород или C1-6алкил, символ —– означает двойную или простую связь. При условии, что, когда R2B является водородом, C1-6алкилен, представленный R3В, может быть замещен одной гидроксигруппой, и что включено его 8-эпиравновесное соединение) Соединения формулы (IC) где R1С означает гидроксигруппу, C1-6алкилокси, или NR6СR7С (где каждый R6С и R7С независимо означают водород или С1-4алкил), R2С означает оксогруппу, галоген или O-COR8С (в котором R8С является С1-4алкилом, фенилом, или фенил(С1-4алкилом)), R3С означает водород или гидроксигруппу, каждый R4Са и R4Сb независимо является водородом или С1-4алкилом, R5C означает фенил, замещенный следующими группами: (i) одной-тремя группами, выбираемыми из групп С1-4алкилокси-С1-4алкил, С2-4алкенилокси-С1-4алкил, С2-4алкинилокси-С1-4алкил, С3-7циклоалкилокси-С1-4алкил, С3-7циклоалкил(С1-4алкилокси)-С1-4алкил, фенилокси-С1-4алкил, фенил-С-1-4алкилокси-С1-4алкил, С1-4алкилтио-С1-4алкил, С2-4алкенилтио-С1-4алкил, С2-4алкинилтио-С1-4алкил, С3-7циклоалкилтио-С1-4алкил, С3-7циклоалкил(С1-4алкилтио)-С1-4алкил, фенилтио-С1-4алкил,или фенил-С1-4алкилтио-С1-4алкил; (ii) группами С1-4алкилокси-С1-4алкил и С1-4алкил, С1-4алкилокси-С1-4алкил и С1-4алкилокси, С1-4алкилокси-С1-4алкил и гидрокси, С1-4алкилокси-С1-4алкил и галоген, С1-4алкилтио-С1-4алкил и С1-4алкил, С1-4алкилтио-С1-4алкил и С1-4алкилокси, С1-4алкилтио-С1-4алкил и гидрокси, или С1-4алкилтио-С1-4алкил и галоген; (iii) галогеналкилами или гидрокси-С1-4алкилами; или (iv) С1-4алкилами и гидроксигруппами; символ —– означает простую или двойную связь. При условии, что, когда R2C означает O-COR8C, связь между атомами в 8 и 9 позициях является двойной. Соединения формулы (ID) где АD означает С2-8алкилен, С2-8алкенилен, С1-4алкилен-фенилен или С2-4алкенилен-фенилен, R1D означает гидроксигруппу, C1-6алкилокси, С1-6алкилокси-С1-6алкилокси, HO-C1-6алкилокси, или NR6DR7D (где каждый R6D и R7D независимо является водородом или С1-4алкилом), R2D означает оксогруппу, галоген, или R8D-COO- (где R8D означает водород, С1-4алкил, фенил, фенил(С1-4алкил), С1-4алкилокси, НООС-С1-4алкил, С1-4алкилокси-карбонил-C1-4алкил, НООС-С2-4алкенил или С1-4алкилоксикарбонил-С2-4алкенил), R3D означает водород или гидроксигруппу, R4D означает алкилен, R5D означает фенил, замещенный следующими группами: (i) одной-тремя группами, выбираемыми из групп С1-4алкилокси-С1-4алкил, С2-4алкенилокси-С1-4алкил, С2-4алкинилокси-С1-4алкил, С3-7циклоалкилокси-С1-4алкил, С3-7циклоалкил(С1-4алкилокси)-С1-4алкил, фенилокси-С1-4алкил, фенил-С1-4алкилокси-С1-4алкил, С1-4алкилтио-С1-4алкил, С2-4алкенилтио-С1-4алкил, С2-4алкинилтио-С1-4алкил, С3-7циклоалкилтио-С1-4алкил, С3-7циклоалкил(С1-4алкилтио)-С1-4алкил, фенилтио-С1-4алкил или фенил-С1-4алкилтио-С1-4алкил; (ii) группами С1-4алкилокси-С1-4алкил и С1-4алкил, С1-4алкилокси-С1-4алкил и С1-4алкилокси, С1-4алкилокси-С1-4алкил и гидрокси, С1-4алкилокси-С1-4алкил и галогенов, С1-4алкилтио-С1-4алкил и С1-4алкил, С1-4алкилтио-С1-4алкил и С1-4алкилокси, С1-4алкилтио-С1-4алкил и гидрокси, или С1-4алкилтио-С1-4алкил и галогенов; (iii) галоген-С1-4алкилами или гидрокси-С1-4алкил; или (iv) С1-4алкилами и гидроксигруппами; символ — означает простую или двойную связь. При условии, что, когда R2D соответствует формуле R9-COO-, R1D означает C1-6алкилокси, С1-6алкилокси-С1-6алкилокси или НО-C1-6алкилокси, связь между атомами в 8 и 9 позициях является двойной связью. Более предпочтительными соединениями, используемыми в настоящем изобретении в качестве агонистов EP4, являются следующие: (в скобках под каждой формулой указан опубликованный патент или номер заявки и номер примера). Например, производные простагландина формулы (IE) (WOOO/03980, пример 3); формулы (IF) (ЕР-985663, пример 2); формулы (IG) (PCT/JP99/04934, пример 8-6); формулы (IH) (PCT/JP99/04934, пример 2) и формулы (IJ) (PCT/JP99/04934, пример 2-11) или сложные алкиловые эфиры данных соединений, их нетоксичные соли и их циклодекстриновые клатратные соединения. [Сложный эфир] Соединения согласно настоящему изобретению, изображаемые формулами (IA)-(IJ), можно преобразовать в сложные эфиры известными методами. Преобразование в соответствующие сложные эфиры служит для повышения стабильности и всасываемости соединений и поэтому применимо для приготовления фармацевтических препаратов. Предпочтителен сложный алкиловый эфир, более предпочтителен С1-4- сложный алкиловый эфир и наиболее предпочтителен сложный метиловый эфир. [Соль] Соединения согласно настоящему изобретению, изображаемые формулами (IA)-(IJ), можно преобразовать в соответствующие соли известными методами. Предпочтительны нетоксичные и растворимые в воде соли. Подходящими солями являются, например, следующие: соли щелочных металлов (калия, натрия и т.д.), соли щелочноземельных металлов (кальция, магния и т.д.), соли аммония, соли фармацевтически приемлемых органических аминов (тетраметиламмония, триэтиламина, метиламина, диметиламина, циклопентиламина, бензиламина, фенэтиламина, пиперидина, моноэтаноламина, диэтаноламина, три(гидроксиметил)амина, лизина, аргинина, н-метил-d-глюкамина и т.д.). Соединения согласно настоящему изобретению, изображаемые формулами (IA)-(IJ), можно преобразовать в соответствующие гидраты известными методами. [Клатраты] Соединения согласно настоящему изобретению, изображаемые формулами (IA)-(IJ), и их сложные эфиры можно преобразовать в соответствующие циклодекстриновые клатраты методом, описанным в спецификации GB 1351238 или GB 1419221, используя [Способ получения соединений согласно настоящему изобретению] Каждое из соединений формул (IA)-(IJ) и способ его получения описаны в следующих заявках на патент. Соединение формулы (IA): ЕР-855389; Соединение формулы (IB): ЕР-985663; Соединение формулы (IC): WO00/03980; Соединение формулы (ID): заявка №PCT/JP99/04934; Соединение формулы (IE): WO00/03980; Соединение формулы (IF): ЕР-985663; Соединение формулы (IG):заявка №PCT/JP99/04934; Соединение формулы (IH): заявка №PCT/JP99/04934; Соединение формулы (IJ): заявка №PCT/JP99/04934. Наилучший способ осуществления изобретения Следующие ссылочные примеры и примеры предназначены для иллюстрации, но не ограничивают объем настоящего изобретения. Пример 1: стимулирующее остеогенез действие Использовали собак 6-месячного возраста породы Beagle/CSK (по n=3-6 в группе). Каждый (1) Определение площади поверхности кости Отделенную бедренную кость фиксировали забуференным раствором 10% формалина и затем нарезали на круглые срезы толщиной 10 мм перпендикулярно к продольной оси на расстоянии 25 мм по центральной стороне от trochlea sulcus. Изображения поверхности кости со стороны, ближней к эпифизу, получали с помощью камеры, соединенной с компьютером, на постоянном расстоянии, и затем анализировали полученное цифровое изображение, чтобы определить площадь поверхности кости. Результаты приведены в Таблице 1.
***: р<0,001 (означает стандартное отклонение в тесте Dunnett) Обсуждение: Группа согласно изобретению, включающая соединения формулы (IE), при дозах 10 мкг/кг/день или выше показывала 2,8-кратное увеличение площади поверхности кости по сравнению с контрольной группой. Особенное, более чем 7-кратное увеличение площади поверхности кости, отмечали в данной группе при дозе 25 мкг/кг/день. Группа согласно изобретению, включающая соединения формул (IF), (IH) и (IJ) при дозе 5 мкг/кг/день также показывала 2,8-5,3-кратное увеличение площади поверхности кости по сравнению с контрольной группой. Кроме того, группа согласно изобретению, включающая соединения формулы (IG) при дозе 25 мкг/кг/день, также показывала 4,2-кратное увеличение площади поверхности кости по сравнению с контрольной группой. (2) Определение плотности кости После снятия боковой рентгенограммы образца толщиной 1 см, используемого в упомянутом выше пункте (1), полученные входные графические данные вводили в компьютер, чтобы измерить уровень излучения на единицу площади при постоянной толщине и определить плотность кости (Микрофокусная система рентгеновских лучей
***: р<0,001 (означает стандартное отклонение в тесте Dunnett) Обсуждение: Группа согласно изобретению, включающая соединения формулы (IE) при дозах 10 и 25 мкг/кг/день, показала 1,5- и 1,7-кратное увеличение плотности кости по сравнению с контрольной группой, соответственно. Данные результаты подтвердили, что настоящие соединения, обладающие сродством к ЕР4, стимулируют значительное увеличение поверхности кости и плотности кости при дозе 10 мкг/кг/день или выше и обладают стимулирующим остеогенез действием. Пример 2: Определение сродства к ЕР4 Следующими экспериментами было подтверждено, что соединения формул (IA)-(IJ) могут связываться с Е4 рецептором и что они оказывают агонистический эффект на EP4 рецептору. Агонистический эффект соединений формул (IA)-(IJ) определяли, применяя клетки СНО, которые экспрессировали ЕР4 рецептор (см. FEBS Letters 364,339(1995) с частичными изменениями). Далее было подтверждено, что все соединения вызывают увеличение уровня сАМР и что они являются агонистами EP4. Пример 3: стимулирующее остеогенез действие Экспериментальный метод: Использовали самок крыс линии SD 11-недельного возраста (n=8, средний вес тела 271 г). На стенке брюшной полости крысы делали разрез под анастезией пентобарбиталом для проведения овариэктомии и затем на область разреза накладывали шов. В группе симуляции животным проводили только разрез и наложение шва без овариэктомии. Спустя 6-дней после овариэктомии раствор, приготовленный при растворении
###: р<0,001 против группы симуляции ***: р<0,001 против контрольной группы (в обоих:Т-тест) Обсуждение: Из Таблицы 3 ясно, что группа соединений согласно изобретению показала значительное увеличение плотности кости по сравнению с контрольной группой (без введения). [Токсичность] Токсичность соединений формулы (IE) настоящего изобретения очень низка, поэтому данные соединения безопасны для использования в качестве медицинских препаратов. Например, максимально переносимая доза соединения формулы (IE) i.v. у крысы составляла 30 мг/кг веса тела или больше. Промышленное применение [Применение для фармацевтики] Агонист ЕР4 и применяемое в настоящем изобретении обладает стимулирующим остеогенез действием, так что оно применимо для лечения и/или профилактики заболеваний, связанных с потерей костной массы. В настоящем изобретении заболевание, связанное с потерей костной массы, означает заболевание, которое наблюдается при заболеваниях, связанных с потерей костной массы, сопровождаемых понижением плотности кости или деградацией костной ткани и т.д. Например, такие заболевания включают: 1) первичный остеопороз (например, возрастной остеопороз, первичный постменопаузальный остеопороз, остеопороз вследствие овариэктомии и т.д.); 2) вторичный остеопороз (например, остеопороз, индуцированный глюкокортикоидами; остеопороз, индуцированный гипертиреозом; остеопороз, индуцированный неподвижностью; остеопороз, индуцированный гепарином; остеопороз, индуцированный иммунодепрессией, остеопороз вследствие почечной недостаточности, воспалительный остеопороз, остеопороз вследствие синдрома Кушинга, ревматоидный остеопороз и т.д.); 3) такие заболевания кости, как метастатическая кость, гиперкальцемия, болезнь Педжета, разрежение кости (альвеолярное разрежение кости, разрежение челюстной кости, идиопатическое разрежение кости у детей и т.д.), остеонекрозы и т.д. Кроме того, настоящее изобретение включает ускорение остеогенеза после операции по поводу кости (например, остеогенез после переломов, остеогенез после трансплантации кости, остеогенез после операции по поводу искусственного сустава, остеогенез после спондилодеза и остеогенез после других операций по поводу регенерации кости и т.д.), стимулирующее лечение кости и альтернативное лечение, связанное с трансплантацией кости. Для описанной выше цели агонист ЕР4, его сложный эфир, его нетоксичную соль или его циклодекстриновый клатрат, применяемый в настоящем изобретении, обычно можно вводить локально при пероральном приеме или парентеральном введении. Преобразование в пролекарство служит для того, чтобы уменьшить раздражение и улучшить абсорбционную способность и стабильность и т.д. Дозы, которые нужно вводить, определяют в зависимости от возраста, веса, симптомов, желаемого терапевтического эффекта, способа введения, продолжительности лечения и т.д. Для взрослого человека дозировки человек/доза находятся, в общем случае, между 1 мкг и 100 мг при пероральном приеме до нескольких раз в день, и между 0,1 мкг и 10 мг, предпочтительно между 0,2 мг и 5 мг, при парентеральном введении (предпочтительно при введении через кожу соответствующим подкожным способом или в вену) до нескольких раз в день. Как упомянуто выше, дозы, которые нужно использовать, зависят от различных условий. Поэтому имеются случаи, при которых можно использовать дозировки ниже или больше, чем диапазоны, установленные выше. Соединения согласно настоящему изобретению можно вводить в виде твердых композиций, жидких композиций или других композиций для перорального приема, или в виде инъекций, кожных мазей, пластыря или суппозиториев и т.д. для парентерального введения. Твердые композиции для перорального приема включают таблетки, пилюли, капсулы, порошки для диспергирования, гранулы и т.д. Капсулы включают жесткие капсулы и мягкие капсулы. В таких твердых композициях находится одно или более активных соединений, перемешанных, по меньшей мере, с одним инертным разбавителем, таким как лактоза, маннит, глюкоза, гидроксипропилцеллюлоза, микрокристаллическая целлюлоза, крахмал, поливинилпирролидон, метаалюмосиликат магния. Композиции могут также содержать, в соответствии с обычной практикой, дополнительные вещества, отличающиеся от инертных разбавителей: например, смазывающие вещества, такие как стеарат магния, дезинтегрирующие средства, такие как кальциевая глюконатцеллюлоза, и вспогательные средства для растворения, такие как глутаминовая кислота, аспарагиновая кислота. Таблетки или пилюли по желанию можно покрыть пленкой гастро- или энтеросолюбильного вещества, такого как сахар, желатин, гидроксипропилцеллюлоза или фталат гидроксипропилцеллюлозы и т.д., или покрыть двумя или более пленками. Далее покрытие может включать локализованные в пределах капсул абсорбирующие вещества, такие как желатин. Жидкие композиции для перорального приема включают фармацевтически приемлемые эмульсии, растворы, сиропы, эликсиры и т.д. В таких жидких композициях содержится одно или более активных соединений в инертном разбавителе(ях), обычно используемом в данной области (например, очищенная вода, этиловый спирт). Помимо инертных разбавителей такие композиции могут также содержать вспомогательные вещества, такие как смачивающие средства, суспендирующие средства, подсластители, корригенты, отдушки и консерванты. Другие композиции для перорального приема включают композиции для распыления, которые можно приготовить известными методами и которые содержат одно или более активных соединений. Композиции для распыления могут содержать дополнительные вещества, отличающиеся от инертных разбавителей: например стабилизаторы, такие как гидросульфат натрия, стабилизаторы для поддержания изотонии, изотонический буфер, такой как хлорид натрия, цитрат натрия, лимонная кислота. Для приготовления таких композиций для распыления можно использовать метод, описанный, например, в патенте США №2868691 или 3095355. Инъекции для парентерального введения включают стерильные водные или неводные растворы, суспензии и эмульсии. Водные растворы или суспензии содержат дистиллированную воду для инъекции и физиологический раствор соли. Неводные растворы или суспензии содержат пропиленгликоль, полиэтиленгликоль, растительное масло, такое как оливковое масло, спирт, такой как этиловый спирт, ПОЛИСОРБАТ80 (зарегистрированный товарный знак) и т.д. Такие композиции могут содержать дополнительные разбавители: например консерванты, смачивающие средства, эмульгаторы, диспергаторы, стабилизаторы, вспомогательные средства, такие как вспомогательные средства для растворения (например, глутаминовой кислоты, аспаргиновой кислоты). Их можно стерилизовать, например, фильтрацией сквозь задерживающий бактерии фильтр, посредством объединенной стерилизации вспомогательных средств в композициях или облучением. Их можно также изготовить в форме стерильных твердых композиций, которые можно растворять в стерилизованной воде или некоторых других стерильных разбавителях для инъекции непосредственно перед использованием. Другие композиции для парентерального введения включают жидкости для наружного применения, мази, линименты, пластыри, свечи и т.д., которые содержат одно или более активных соединений и могут быть приготовлены известными методами. Мазь помимо основы, такой как белый вазелин, может включать средства для корректировки рН, поверхностно-активное вещество, консерванты, эмульгаторы, диспергаторы, стабилизаторы, вспомогательные средства для растворения и т.д. Пример 1, форма выпуска: лиофилизированная форма Общепринятым способом смешивали следующие компоненты и стерилизовали раствор общепринятым способом; помещали порции по 1 мл в ампулы и лиофилизировали общепринятым способом для получения 100 ампул, где каждая содержит 0,2 мг активного ингредиента. – – маннит – 5 г; – дистиллированная вода – 100 мл. Пример 2, форма выпуска: мазь Общепринятым способом смешивали следующие компоненты и помещали каждые 10 г смеси в пробирку, чтобы получить 100 пробирок мази, где каждая содержит 0,2 мг активного ингредиента в 1 г смеси. – – белый вазелин – 1 кг.
Формула изобретения
1. Применение агониста рецептора ЕР4 для лечения и/или профилактики заболеваний, связанных с потерей костной массы. 2. Применение по п.1, где заболеванием, связанным с потерей костной массы, является первичный остеопороз. 3. Применение по п.2, где первичный остеопороз представляет собой старческий остеопороз, постменопаузальный первичный остеопороз, остеопороз вследствие овариэктомии. 4. Применение по п.1, где заболевание, связанное с потерей костной массы, представляет собой вторичный остеопороз. 5. Применение по п.4, где вторичный остеопороз представляет собой остеопороз, индуцированный глюкокортикоидами, остеопороз, индуцированный гипертиреозом, остеопороз, индуцированный неподвижностью, остеопороз, индуцированный гепарином, остеопороз, индуцированный иммуносупрессией, остеопороз вследствие почечной недостаточности, воспалительный остеопороз, остеопороз вследствие синдрома Кушинга или ревматоидный остеопороз. 6. Применение по п.1, где заболевание, связанное с потерей костной массы, представляет собой метастаз в кость, гиперкальциемию, болезнь Педжета, разрежение кости, остеонекроз. 7. Применение по п.1 или 6, где заболевания, связанные с потерей костной массы, представляют собой альвеолярное разрежение кости, разрежение челюстной кости, идиопатическое разрежение кости у детей. 8. Применение по п.1, где лечение заболеваний, связанных с потерей костной массы, представляет собой остеогенез после перелома, остеогенез после трансплантации кости, остеогенез после операции по поводу искусственного сустава, остеогенез после спондилодеза, остеогенез после регенерации кости и альтернативное трансплантации кости лечение. 9. Применение по п.1, где агонист ЕР4 представляет собой соединение, обладающее скелетом простагландина. 10. Применение по п.9, где соединение, обладающее скелетом простагландина представляет собой соединение формулы (IA) где R1А представляет собой гидрокси, С1-4 алкилокси, или NR6АR7А, где каждый R6А и R7А независимо представляет собой водород или С1-4 алкил, R2А представляет собой водород или гидрокси, R3А представляет собой: (i) С1-8 алкил, С2-8 алкенил, или С2-8 алкинил; (ii) фенил или С3-7 циклоалкил; (iii) C1-8 алкил, С2-8 алкенил или С2-8 алкинил, замещенный фенилом или С3-7 циклоалкилом (при условии, что, когда R2А является водородом, алкил, алкенил и алкинил в (i) и (ii) могут быть замещены одним гидрокси, символ —– означает двойную или простую связь, при условии, что включено его 8-эпиравновесное соединение), или его нетоксичную соль, или его циклодекстриновый клатрат. 11. Применение по п.9, где соединение, обладающее скелетом простагландина, представляет собой соединение формулы (IB) где R1В представляет собой гидрокси, С1-6 алкилокси, или NR6ВR7В, где каждый R6В и R7В независимо представляет собой водород или С1-6 алкил, R2В представляет собой водород или гидрокси, R3В представляет собой простую связь или С1-6 алкилен, R4В представляет собой: (i) C1-8 алкил, С2-8 алкенил или С2-8 алкинил, замещенные одной – тремя группами, выбранными из С1-6 алкилокси или галогена; (ii) фенилокси или С3-7 циклоалкилокси; (iii) фурил, фурилокси, тиенил, тиенилокси, нафтил, нафтилокси, фталанил или фталанилокси; (iv) фенил, фенилокси, С3-7 циклоалкил или С3-7 циклоалкилокси, замещенные одной – тремя группами, выбранными из следующей группы: С1-6 алкил, С2-6 алкенил, С2-6 алкинил, С1-6 алкилокси, С1-6 алкилокси-С1-6 алкил, С1-6 алкилокси-С1-6 алкилокси, С2-6 алкенилокси-С1-6 алкил, С1-6 алкил, замещенный одним – тремя гидрокси, С1-6 алкил, замещенный одним – тремя атомами галогена, С1-6 алкилтио, С1-6 алкилтио-С1-6 алкил, С1-6 алкилтио-С1-6 алкилокси, С2-6 алкенилтио-С1-6 алкил, С1-6 алкилсульфонил, галоген, тригалогенметил, циано, нитро, амино, гидрокси, С3-7 циклоалкил, С3-7 циклоалкилокси, С3-7 циклоалкил-С1-6 алкил, С3-7 циклоалкилокси-С1-6 алкил, фенил, фенилокси, фенил-С1-6 алкил, фенил-С2-6 алкенил, фенил-С2-6 алкинил, фенилокси-С1-6 алкил, фенилокси-С2-6 алкенил, фенилокси-С2-6 алкинил, фурил, фурилокси, фурил-С1-6 алкил, фурилокси-С1-6 алкил, тиенил, тиенилокси, тиенил-С1-6 алкил или тиенилокси-С1-6 алкил, (упомянутые выше фенил, фурил, тиенил или циклоалкил могут быть замещены одной – тремя группами, выбранными из С1-6 алкила, С1-6 алкилокси, С1-6 алкилокси-С1-6 алкила, нитрогруппы, галогена, тригалогенметила, амино и гидрокси); или (v) фурил, фурилокси, тиенил, тиенилокси, нафтил, нафтилокси, фталанил или фталанилокси, замещенные одной – тремя группами, выбранными из следующих групп: С1-6 алкил, С2-6 алкенил, С2-6 алкинил, С1-6 алкилокси, С1-6 алкилокси-С1-6 алкил, С1-6 алкилокси-С1-6 алкилокси, С2-6 алкенилокси-С1-6 алкил, C1-6 алкил, замещенный одним – тремя гидрокси, С1-6 алкил, замещенный одним – тремя атомами галогена, C1-6 алкилтио, C1-6 алкилтио-С1-6 алкил, C1-6 алкилтио-С1-6 алкилокси, С2-6 алкенилтио-С1-6 алкил, C1-6 алкилсульфонил, галоген, тригалогенметил, циано, нитро, амино, гидрокси, С3-7 циклоалкил, С3-7 циклоалкилокси, С3-7 циклоалкил-С1-6 алкил, С3-7 циклоалкилокси-С1-6 алкил, фенил, фенилокси, фенил-С1-6 алкил, фенил-С2-6 алкенил, фенил-С2-6 алкинил, фенилокси-С1-6 алкил, фенилокси-С2-6 алкенил, фенилокси-С2-6 алкинил, фурил, фурилокси, фурил-С1-6 алкил, фурилокси-С1-6 алкил, тиенил, тиенилокси, тиенил-С1-6 алкил или тиенилокси-С1-6 алкил (упомянутые выше фенил, фурил, тиенил или циклоалкил могут быть замещены одной – тремя группами, выбранными из С1-6 алкила, С1-6 алкилокси, С1-6 алкилокси-С1-6 алкила, нитро, галогена, тригалогенметила, амино и гидрокси), R5В представляет собой водород или С1-6 алкил, символ —– представляет собой двойную или простую связь, (при условии, что, когда R2В означает водород, С1-6 алкилен, представленный R3В, может быть замещен одним гидрокси, и что включено его 8-эпиравновесное соединение), или его нетоксичную соль, или его циклодекстриновый клатрат. 12. Применение по п.9, где соединение, обладающее скелетом простагландина, является соединением формулы (1С) где R1C представляет собой гидрокси, С1-6 алкилокси или NR6CR7C (где R6C и R7C независимо представляют собой водород или С1-4 алкил), R2C представляет собой оксо, галоген или O-COR8C, где R8C представляет собой С1-4 алкил, фенил или фенил(С1-4 алкил), R3C представляет собой водород или гидрокси, R4Ca и R4Cb независимо представляют собой водород или С1-4 алкил, R5C представляет собой фенил, замещенный следующими группами: (i) одной-тремя группами, выбранными из групп С1-4 алкилокси-С1-4 алкил, С2-4 алкенилокси-С1-4 алкил, С2-4 алкинилокси-С1-4 алкил, С3-7 циклоалкилокси-С1-4 алкил, С3-7 циклоалкил(С1-4 алкилокси)С1-4 алкил, фенилокси-С1-4 алкил, фенил-С1-4 алкилокси-С 1-4 алкил, С1-4 алкилтио-С1-4 алкил, С2-4 алкенилтио-С1-4 алкил, С2-4 алкинилтио-С1-4 алкил, С3-7 циклоалкилтио-С1-4 алкил, С3-7 циклоалкил(С1-4 алкилтио)С1-4 алкил, фенилтио-С1-4 алкил или фенил-С1-4 алкилтио-С1-4 алкил; (ii) C1-4 алкилокси-С1-4 алкилом и С1-4 алкилом, С1-4 алкилокси-С1-4 алкилом и C1-4 алкилокси, C1-4 алкилокси-С1-4 алкилом и гидрокси, C1-4 алкилокси-С1-4 алкилом и галогеном, C1-4 алкилтио-С1-4 алкилом и C1-4 алкилом, C1-4 алкилтио-С1-4 алкилом и C1-4 алкилокси, C1-4 алкилтио-С1-4 алкилом и гидрокси или C1-4 алкилтио-С1-4 алкилом и галогеном; (iii) галогеналкилом или гидрокси-С1-4 алкилом; или (iv) C1-4 алкилом и гидрокси; символ —- означает простую или двойную связь, (при условии, что, когда R2C означает O-COR8C, связь между атомами в положениях 8 и 9 является двойной), или его нетоксичную соль или его циклодекстриновый клатрат. 13. Применение по п.9, где соединение, обладающее скелетом простагландина, означает соединение формулы (ID) где АD представляет собой С2-8 алкилен, С2-8 алкенилен, C1-4 алкиленфенилен или С2-4 алкениленфенилен, R1D представляет собой гидрокси, С1-6 алкилокси, С1-6 алкилокси-С1-6 алкилокси, НО-С1-6 алкилокси или NR6DR7D (где R6D и R7D независимо представляют собой водород или C1-4 алкил), R2D представляет собой оксо, галоген, или R8D-COO- (где R8D представляет собой водород, С1-4 алкил, фенил, фенил(С1-4 алкил), С1-4 алкилокси, НООС-С1-4 алкил, С1-4 алкилоксикарбонил-С1-4 алкил, НООС-С2-4 алкенил или С1-4 алкилоксикарбонил-С2-4 алкенил), R3D представляет собой водород или гидрокси, R4D представляет собой алкилен, R5D представляет собой фенил, замещенный следующими группами: (i) одной-тремя группами, выбранными из групп: С1-4 алкилокси-С1-4 алкил, С2-4 алкенилокси-С1-4 алкил, С2-4 алкинилокси-С1-4 алкил, С3-7 циклоалкилокси-С1-4 алкил, С3-7 циклоалкил(С1-4 алкилокси)-С1-4 алкил, фенилокси-С1-4 алкил, фенил-С1-4 алкилокси-С1-4 алкил, С1-4 алкилтио-С1-4 алкил, С2-4 алкенилтио-С1-4 алкил, С2-4 алкинилтио-С1-4 алкил, С3-7 циклоалкилтио-С1-4 алкил, С3-7 циклоалкил(С1-4 алкилтио)-С1-4 алкил, фенилтио-С1-4 алкил или фенил-С1-4 алкилтио-С1-4 алкил; (ii) С1-4 алкилокси-С1-4 алкилом и С1-4 алкилом, С1-4 алкилокси-С1-4 алкилом и С1-4 алкилокси, С1-4 алкилокси-С1-4 алкилом и гидрокси, С1-4 алкилокси-С1-4 алкилом и галогеном, С1-4 алкилтио-С1-4 алкилом и С1-4алкилом, С1-4 алкилтио-С1-4 алкилом и С1-4алкилокси, С1-4 алкилтио-С1-4 алкилом и гидрокси, или С1-4 алкилтио-С1-4 алкилом и галогеном; (iii) галоген-С1-4 алкилом или гидрокси-С1-4 алкилом, или (iv) С 1-4 алкилом и гидрокси; символ —- означает простую или двойную связь, (при условии, что, когда R2D соответствует формуле R8D-COO-, R1D представляет собой С1-6 алкилокси, С1-6 алкилокси-С1-6 алкилокси или НО-С1-6 алкилокси, связь между атомами в положениях 8 и 9 является двойной связью), или его нетоксичную соль или его циклодекстриновый клатрат. 14. Применение по п.9, где агонист EP4 представляет собой (11 (11 -17,18,19,20-тетранор-3,7-дитиапрост-13-еновую кислоту, (9 (11 15. Применение соединения формулы (I) (11 16. Применение Приоритет по пунктам: 24.11.1999 по пп.1-8, 10-16; 22.11.2000 по п.9.
MM4A – Досрочное прекращение действия патента СССР или патента Российской Федерации на изобретение из-за неуплаты в установленный срок пошлины за поддержание патента в силе
Дата прекращения действия патента: 23.11.2008
Извещение опубликовано: 20.07.2010 БИ: 20/2010
|
|||||||||||||||||||||||||||||||||||||||||||||||||||||||||||||||||










-,
– или
-циклодекстрины или их смесь. Преобразование в соответствующие циклодекстриновые клатраты способствует повышению стабильности и растворимости соединений в воде и поэтому полезно при использовании для фармацевтических препаратов.
FX-1000 (Fuji Photo Film Co., Ltd.)). Результаты приведены в Таблице 2.



