|
(21), (22) Заявка: 2002113918/15, 27.10.2000
(24) Дата начала отсчета срока действия патента:
27.10.2000
(30) Конвенционный приоритет:
29.10.1999 US 60/162,120
(43) Дата публикации заявки: 20.12.2003
(45) Опубликовано: 10.09.2005
(56) Список документов, цитированных в отчете о поиске:
RU 2136661 C1, 10.09.1999. RU 2049784 C1, 10.12.1995. WO 9712874 A1, 10.04.1997.
(85) Дата перевода заявки PCT на национальную фазу:
29.05.2002
(86) Заявка PCT:
FI 00/00935 (27.10.2000)
(87) Публикация PCT:
WO 01/30347 (03.05.2001)
Адрес для переписки:
129010, Москва, ул. Б.Спасская, 25, стр.3, ООО “Юридическая фирма Городисский и Партнеры”, пат.пов. Е.Е.Назиной
|
(72) Автор(ы):
ХЕЙНО Риитта (FI), ЛЕЙНО Тиина (FI), ЛЕХТИМЯКИ Тарья (FI)
(73) Патентообладатель(и):
ОРИОН КОРПОРЕЙШН (FI)
|
(54) ЛЕЧЕНИЕ ИЛИ ПРЕДУПРЕЖДЕНИЕ ГИПОТЕНЗИИ И ШОКА
(57) Реферат:
Изобретение относится к способу предупреждения или лечения гипотензии и шока, вызванных низким сопротивлением периферического сопротивления, а также к способу кардиопульмональной реанимации путем введения эффективного количества производного имидазола формулы I. Изобретение обеспечивает высокую эффективность лечения. 4 с. и 10 з.п. ф-лы, 2 ил., 1 табл.

Предпосылки к созданию изобретения
Настоящее изобретение относится к способу предупреждения или лечения гипотензии и шока, вызванных низким периферическим сопротивлением. Кроме того, настоящее изобретение относится к способу лечения в связи с кардиопульмональной реанимацией. Соответственно, настоящее изобретение относится к способу предупреждения или лечения гипотензии и шока, вызванных низким периферическим сопротивлением, введением производного имидазола формулы I:

где R представляет водород или метил, или его фармацевтически приемлемого эфира или соли.
Помимо этого, настоящее изобретение относится к способу лечения в связи с кардиопульмональной реанимацией, введением производного имидазола формулы I или его фармацевтически приемлемого эфира или соли.
Настоящее изобретение относится также к применению производного имидазола формулы I или его фармацевтически приемлемого эфира или соли для производства лекарственного средства для профилактики или лечения гипотензии и шока, вызванных низким периферическим сопротивлением. Кроме того, настоящее изобретение относится также к применению производного имидазола формулы I или его фармацевтически приемлемого эфира или соли для производства лекарственного средства для лечения в связи с кардиопульмональной реанимацией.
Дополнительные цели и преимущества настоящего изобретения будут частично приведены в описании и будут частично ясны из указанного описания, или могут быть поняты при практическом осуществлении настоящего изобретения. Цели и преимущества настоящего изобретения будут поняты с помощью элементов и комбинаций, особо указанных в прилагаемой формуле изобретения.
Следует понимать, что следующее общее описание и подробное описание представляют собой только примеры и объяснения и не ограничивают настоящее изобретение в том виде, в котором оно заявлено.
Получение производных имидазола формулы I в общих чертах описано в WO 97/12874. Энтеральные, местные и парентеральные пути введения и их применение в качестве агонистов 2-адреноцепторов, пригодных для лечения гипертензии, глаукомы, мигрени, диареи, ишемии, привыкания к химическим веществам, состояния тревоги, особенно предоперационной тревоги, и различных неврологических, мышечно-скелетных, психиатрических и познавательных расстройств, а также в качестве седативного и анальгетического агента, назального противоотечного агента и в качестве вспомогательного агента при анестезии, обсуждаются в WO 97/12874.
Агонисты 2-адреноцепторов, такие как дексмедетомидин, как известно, вызывают характерный ряд сердечно-сосудистых реакций, включая, например, брадикардию и гипотензию, и, следовательно, они обычно рассматриваются как потенциальные кандидаты для лечения гипертензии.
КРАТКОЕ ОПИСАНИЕ ЧЕРТЕЖЕЙ
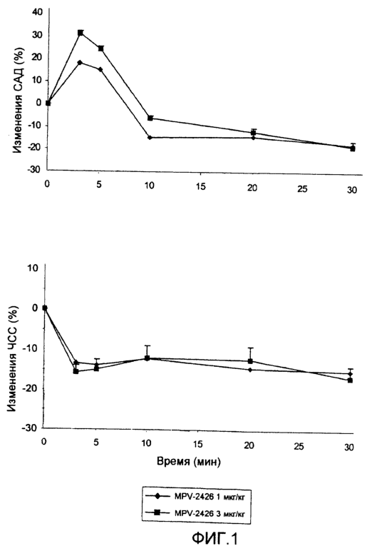
Фиг.1 показывает изменения с течением времени среднего артериального давления (САД) (вверху) и частоты сердечных сокращений (внизу) у крыс, находящихся под наркозом, после медленного внутривенного введения (в течение 5 мин) 3-(1Н-имидазол-4-илметил)индан-5-ола в дозах 1 и 3 мкг/кг. Показаны средние величины ±СО средней процентных изменений от исходной величины, в каждой группе n=6.
Фиг.2 показывает изменения с течением времени среднего артериального давления (САД) (вверху) и частоты сердечных сокращений (внизу) у крыс, находящихся под наркозом, после медленного внутривенного введения (в течение 5 мин) дексмедетомидина (DMD) в дозах 3 и 10 мкг/кг. Показаны средние величины ±СО средней процентных изменений от исходной величины, в каждой группе n=6.
ПОДРОБНОЕ ОПИСАНИЕ ИЗОБРЕТЕНИЯ
Заявители неожиданно установили, что, в отличие от других агонистов 2-адреноцепторов, производные имидазола формулы I не понижают кровяное давление после внутривенного, внутримышечного или подкожного введения млекопитающему. Соответственно, они вызывают повышение кровяного давления с рефлекторным урежением сердечных сокращений после введения. Таким образом, производные имидазола формулы I или их фармацевтически приемлемые эфиры или соли можно использовать в таких ситуациях, когда необходим возврат крови из периферической циркуляции в центральную циркуляцию, как при циркуляторном шоке, вызванном низким периферическим сопротивлением и остановкой сердца. Кроме того, преимуществом соединений по настоящему изобретению по сравнению с адреналином, который широко применяют в указанных ситуациях, является отсутствие прямой стимуляции сердца, т.е. частота сердечных сокращений не повышается и не вызывает дальнейшую ишемию сердца. Соответственно, целью настоящего изобретения является создание способа предотвращения или лечения гипотензии и шока, вызванных низким периферическим сопротивлением, который заключается в введении производного имидазола формулы I или его фармацевтически приемлемого эфира или соли млекопитающему. Помимо этого, целью настоящего изобретения является создание способа лечения в связи с кардиопульмональной реанимацией, который заключается в введении производного имидазола формулы I или его фармацевтически приемлемого эфира или соли млекопитающему.
Предпочтительным соединением по настоящему изобретению является 3-(1Н-имидазол-4-илметил)индан-5-ол.
Следует отметить, что способ лечения гипотензии и шока, вызванных низким периферическим сопротивлением, охватывает все возможные состояния, которые требуют лечения гипотензии и шока, например, гипотензию, вызванную вазодилятацией, анафилактический шок, септический шок и шок после оперативного вмешательства на сердце.
Точное количество лекарственного средства, которое следует ввести млекопитающему для предотвращения и лечения гипотензии и шока, вызванных низким периферическим сопротивлением, а также для лечения в связи с кардиопульмональной реанимацией, зависит от множества факторов, известных специалистам, таких как вводимое соединение, общее состояние пациента, состояние, по поводу которого проводится лечение, желательная продолжительность применения, тип млекопитающего, способ введения и т.п. Требуемую дозу можно вводить внутривенно, болюсом или продолжительной инфузией, внутримышечно или подкожно. Например, доза 3-(1Н-имидазол-4-илметил)индан-5-ола, которую вводят человеку внутривенно, может составлять приблизительно от 10 до 500 мкг на пациента, предпочтительно, приблизительно 30-200 мкг на пациента.
Специалист признает лекарственные формы, подходящие для способа по настоящему изобретению. Препараты для инъекций или инфузий могут содержать один или более разбавителей или носителей.
Настоящее изобретение далее поясняется следующим примером, который представлен только для демонстрации осуществления настоящего изобретения.
ПРИМЕР 1
Влияние 3-(1Н-имидазол-4-илметил)индан-5-ола на кровяное давление и частоту сердечных сокращений после медленного внутривенного введения изучалось на крысах, находившихся под наркозом. Дексмедетомидин (Orion Corporation Orion Pharma, Финляндия), специфический агонист 2-адреноцепторов изучали в качестве ссылочного соединения (соединения для сравнения).
Самцам крыс Sprague-Dawley (B&K, Швеция) весом 290-400 г давали наркоз пентобарбиталом натрия (Mebunat® 60 мг/мл) в дозе 75 мг/кг внутрибрюшинно. Для осуществления медленных инъекций лекарственных средств катетеризировали левую бедренную вену (РЕ-50). Катетеризировали левую бедренную артерию для (РЕ-60) и постоянно фиксировали среднее артериальное давление (САД) и частоту сердечных сокращений (ЧСС) с помощью преобразователя Micro МР-15, соединенного с полиграфом Grass Model 7D. Артериальное давление фиксировали с частотой 150 замеров в секунду и записывали на компьютере Pinus PC с использованием программы AcqKnowledge версия 3.5.3 и устройства для получения данных МР100А для аналого-цифрового преобразования (BIOPAC Systems, Inc.). Для получения постоянного изображения на мониторе частоты сердечных сокращений использовали пульсовые волны кровяного давления. Температуру тела (ректальную) поддерживали на постоянном уровне 37±0,5°С подогреванием лампой, расположенной над грудной клеткой животного. Для испытаний использовали только крыс с САД 73 мм рт.ст. или выше. После периода стабилизации 10-20 мин вводили дозу 3-(1Н-имидазол-4-илметил)индан-5-ола (1 и 3 мкг/кг, в форме гидрохлорида) или дексмедетомидина (3 и 10 мкг/кг, в форме гидрохлорида) в виде медленной внутривенной инъекции (в течение 5 минут) или с помощью инфузионного насоса (Perfusor® ED 2, B.Braun). Общий объем инъекции в каждой экспериментальной группе доводили до 1 мл.
3-(1Н-имидазол-4-илметил)индан-5-ол индуцировал немедленное и дозозависимое повышение САД (максимально +31%) и продолжительное понижение ЧСС (максимально -19%) после медленного (в течение 5 минут) в/в введения дозы 1 и 3 мкг/кг (см. фиг.1 и таблицу 1). Напротив, ссылочное соединение дексмедетомидин (3 и 10 мкг/кг) индуцировало немедленное и дозозависимое понижение как САД, так и ЧСС (максимально -37% и -21% соответственно) (см. фиг.2 и таблицу 1) после медленного внутривенного введения испытуемых доз.
| ТАБЛИЦА 1 |
| Изучалось влияние 3-(1Н-имидазол-4-илметил)индан-5-ола и дексмедетомидина на среднее артериальное давление (САД) и частоту сердечных сокращений (ЧСС) после медленного (в течение 5 минут) внутривенного введения крысам под наркозом. Величины представлены как средние ±СО средних, n=6 в каждой группе. |
Доза (мкг/кг) |
Время (мин) |
MPV-2426 Al |
Доза (мкг/кг) |
Время (мин) |
Дексмедетомидин |
| САД (мм рт.ст.) |
ЧСС (уд./мин) |
САД (мм рт.ст.) |
ЧСС (уд./мин) |
| 1 |
0 |
97±4 |
373±8 |
3 |
0 |
89±5 |
348±12 |
| |
3 |
114±3 |
324±9 |
|
3 |
86±5 |
310±6 |
| |
5 |
112±3 |
321 ±9 |
|
5 |
79±7 |
310±5 |
| |
10 |
83±4 |
327±7 |
|
10 |
61±4 |
308±4 |
| |
20 |
84±4 |
319±9 |
|
20 |
65±2 |
309±5 |
| |
30 |
80±3 |
317±9 |
|
30 |
67±2 |
309±5 |
| 3 |
0 |
94±5 |
366±11 |
10 |
0 |
92±2 |
383±11 |
| |
3 |
123±9 |
309±7 |
|
2 |
94±4 |
308±5 |
| |
5 |
117±12 |
311±4 |
|
5 |
75±6 |
309±3 |
| |
10 |
88±4 |
321 ±4 |
|
10 |
59±3 |
303±3 |
| |
20 |
83±5 |
321 ±6 |
|
20 |
68±2 |
296±7 |
| |
30 |
77±3 |
305±6 |
|
30 |
73±2 |
297±6 |
Немедленное и дозозависимое первоначальное гипертензивное действие наблюдалось после введения 3-(1Н-имидазол-4-илметил)индан-5-ола во всех изучавшихся дозах. Кроме того, 3-(1Н-имидазол-4-илметил)индан-5-ол во всех изучавшихся дозах вызывал немедленную и длительную брадикардию. Напротив, сслочное соединение дексмедетомидин (3 и 10 мкг/кг) после медленного внутривенного введения понижало как САД, так и ЧСС. После медленного внутривенного введения 3-(1Н-имидазол-4-илметил)индан-5-ол вызывал как гипертензию, так и брадикардию, в отличие от дексмедетомидина, который, в свою очередь, оказывал типичное для агониста альфа-2-адреноцепторов действие на сердечно-сосудистую систему.
Специалистам будет понятно, что, несмотря на проиллюстрированные и описанные конкретные варианты осуществления настоящего изобретения, можно производить различные модификации и изменения без отступления от идеи и объема настоящего изобретения.
Другие варианты осуществления настоящего изобретения будут понятны специалистам при рассмотрении настоящего описания и практическом осуществлении изобретения, описанного в настоящем документе. Настоящее описание и примеры предназначены только для иллюстрации настоящего изобретения; истинный объем и идея настоящего изобретения указаны в следующей формуле изобретения.
Все источники, обсуждавшиеся в настоящем документе целиком включены в него в качестве ссылки.
Формула изобретения
1. Способ предупреждения или лечения гипотензии и шока, вызванных низким сопротивлением периферического кровообращения, включающий введение млекопитающему, нуждающемуся в этом, эффективного количества производного имидазола формулы I:

где R представляет водород или метил,
или его фармацевтически приемлемого эфира или соли.
2. Способ кардиопульмональной реанимации, включающий введение млекопитающему, нуждающемуся в этом, эффективного количества производного имидазола формулы I:

где R представляет водород или метил,
или его фармацевтически приемлемого эфира или соли.
3. Способ по любому из пп.1-2, в котором вводят 3-(1Н-имидазол-4-илметил)индан-5-ол.
4. Способ по п.3, в котором вводят гидрохлорид 3-(1Н-имидазол-4-илметил)индан-5-ола.
5. Способ по любому из пп.1-4, в котором введение осуществляют внутривенно.
6. Способ по любому из пп.1-5, в котором млекопитающим является человек.
7. Способ по любому из пп.5-6, в котором вводимое эффективное количество составляет приблизительно 10-500 мкг на пациента.
8. Способ по п.7, в котором вводимое эффективное количество составляет приблизительно 30-200 мкг на пациента.
9. Применение производного имидазола формулы I:

где R представляет водород или метил,
или его фармацевтически приемлемого эфира или соли для производства лекарственного средства для предупреждения или лечения гипотензии и шока, вызванных низким сопротивлением периферического кровообращения.
10. Применение производного имидазола формулы I:

где R представляет водород или метил,
или его фармацевтически приемлемого эфира или соли для изготовления лекарственного средства для кардиопульмональной реанимации.
11. Применение по любому из пп.9-10, при котором лекарственное средство представляет 3-(1Н-имидазол-4-илметил)индан-5-ол.
12. Применение по п.11, при котором лекарственное средство представляет собой гидрохлорид 3-(1Н-имидазол-4-илметил)индан-5-ола.
13. Применение по любому из пп.9-11, при котором лекарственное средство вводят человеку внутривенно в количестве приблизительно 10-500 мкг на пациента.
14. Применение по п.13, при котором лекарственное средство вводят в количестве приблизительно 30-200 мкг на пациента.
РИСУНКИ
|