|
|
(21), (22) Заявка: 2003128307/04, 19.02.2002
(24) Дата начала отсчета срока действия патента:
19.02.2002
(30) Конвенционный приоритет:
20.02.2001 US 60/270,034
(43) Дата публикации заявки: 10.03.2005
(45) Опубликовано: 20.08.2005
(56) Список документов, цитированных в отчете о поиске:
WO 00/69810 A1, 23.11.2000. EP 0 144 101 A2, 12.06.1985. POPOV D.V., Probl. onkol., vol. 8, 1980, p. 59-62. RU 2 108 325 C1, 10.04.1998.
(85) Дата перевода заявки PCT на национальную фазу:
22.09.2003
(86) Заявка PCT:
US 02/04777 (19.02.2002)
(87) Публикация PCT:
WO 02/066035 (29.08.2002)
Адрес для переписки:
129010, Москва, ул. Б.Спасская, 25, стр.3, ООО “Юридическая фирма Городисский и Партнеры”, пат.пов. Е.Е.Назиной
|
(72) Автор(ы):
АРРХЕНИУС Томас (US), ЧЭН Цзе Фэй (US), УИЛСОН Марк (US), СЕРАФИМОВ Росси (US)
(73) Патентообладатель(и):
ЧУГАИ СЕЙЯКУ КАБУСИКИ КАЙСЯ (JP)
|
(54) АЗОЛЫ В КАЧЕСТВЕ ИНГИБИТОРОВ МАЛОНИЛ-СОА-ДЕКАРБОКСИЛАЗЫ, ПОЛЕЗНЫЕ В КАЧЕСТВЕ МОДУЛЯТОРОВ МЕТАБОЛИЗМА
(57) Реферат:
Настоящее изобретение относится к способам лечения заболеваний или синдромов, связанных с метаболизмом жирных кислот и глюкозы, и к новым соединениям и их фармацевтически приемлемым солям. В частности, данное изобретение относится к применению новых соединений и фармацевтических композиций для лечения сердечно-сосудистых заболеваний, диабета, раковых заболеваний, ацидоза и ожирения через ингибирование малонил-СоА-декарбоксилазы (MCD). Указанные соединения имеют формулы (I) и (II), где Y, C, R1, R2, R6 и R7 имеют значения, указанные в формуле изобретения. 5 н. и 22 з.п. ф-лы, 8 табл.

Данная заявка испрашивала приоритет на основании предварительной заявки на патент, порядковый №60/270034, поданной 20 февраля 2001, включенной в данное описание в качестве ссылки.
Область техники, к которой относится изобретение
Настоящее изобретение относится к способу лечения некоторых обменных заболеваний (болезней метаболизма) и к новым соединениям и их пролекарствам и/или фармацевтически приемлемым солям, фармацевтическим композициям, содержащим такие соединения, полезные при лечении таких заболеваний. В частности, данное изобретение относится к применению новых соединений и композиций для профилактики, устранения или лечения сердечно-сосудистых заболеваний, диабета, раковых заболеваний и ожирения через ингибирование малонилкофермент-А-декарбоксилазы (малонил-СоА-декарбоксилазы, MCD).
Уровень техники
Малонил-СоА является важным посредником метаболизма, продуцируемым в организме ферментом ацетил-СоА-карбоксилазой (АСС). В печени, адипоцитах и других тканях малонил-СоА является субстратом для синтазы жирных кислот (FAS). АСС и малонил-СоА обнаружены в ткани скелетных мышц и сердечной мышцы, где содержание синтазы жирных кислот низкое. Фермент малонил-СоА-декарбоксилаза (MCD, ЕС 4.1.1.9) катализирует конверсию малонил-СоА в ацетил-СоА и посредством этого регулирует содержание малонил-СоА. Описана MCD активность во многих организмах, в том числе, прокариотах, птицах и млекопитающих. Ее выделили в чистом виде из бактерий Rhizobium trifolii (An et al., J. Biochem. Mol. Biol., 32:414-418 (1999)), надхвостных желез водоплавающих птиц (Buckner et al., Arch. Biochem. Biophys., 177:539 (1976); Kim and Kolattukudy, Arch. Biochem. Biophys., 190:585 (1978)), митохондрий печени крысы (Kim and Kolattukudy, Arch. Biochem. Biophys., 190:234 (1978)), молочных желез крысы (Kim and Kolattukudy, Biochem. Biophys., Acta, 531:187 (1978)), -клеток поджелудочной железы крысы (Voilley et al., Biochem. J., 340:213 (1999)) и гуся (Anser anser) (Jang et al., J. Biol. Chem., 264:3500 (1989)). Идентификация пациентов с дефицитом MCD привела к клонированию гена человека, гомологичного генам MCD гуся и крысы (Gao et al., J. Lipid. Res., 40:178 (1999); Sacksteder et al., J. Biol. Chem., 274:24461 (1999); FitzPatrick et al., Am. J. Hum. Genet., 65:318 (1999)). Методом Назерн-Блоттинга обнаруживают единственную мРНК MCD человека. Наивысшие уровни экспрессии мРНК обнаруживаются в мышечных и сердечной тканях, далее следуют печень, почки и поджелудочная железа с количествами, поддающимися обнаружению, во всех других исследованных тканях.
Малонил-СоА является сильным эндогенным ингибитором карнитин-пальмитоилтрансферазы-I (СРТ-I) – фермента, существенного для метаболизма длинноцепочечных жирных кислот. СРТ-I является ферментом, который ограничивает скорость окисления жирных кислот и катализирует образование ацилкарнитина, который переносится из цитозоля через митохондриальные мембраны ацилкарнитин-транслоказой. В митохондриях длинноцепочечные жирные кислоты снова переходят в форму СоА под действием комплементарного фермента СРТ-II, и в митохондриях ацил-СоА входит в каскад -окисления, генерируя ацетил-СоА. В печени высокое содержание ацетил-СоА имеет место, например, после еды, что приводит к повышенному содержанию малонил-СоА, ингибирующего СРТ-I, что предотвращает метаболизм жиров и благоприятствует синтезу жиров. Напротив, низкое содержание малонил-СоА благоприятствует метаболизму жиров за счет переноса длинноцепочечных жирных кислот в митохондрии. Поэтому малонил-СоА является основным метаболитом, играющим ключевую роль в балансе (равновесии) синтеза и окисления жирных кислот (Zammit, Biochem. J., 343:5050-515 (1999)). Последние работы показывают, что MCD способен регулировать цитоплазматические, а также митохондриальные уровни малонил-СоА [Alam and Saggerson, Biochem. J., 334:233-241 (1998); Dyck et al., Am. J. Physiology, 275:H2122-2129 (1998)].
Хотя малонил-СоА присутствует в мышечных и сердечной тканях, в указанных тканях обнаружено только низкое содержание FAS. Полагают, что роль малонил-СоА и MCD в указанных тканях состоит в регулировании метаболизма жирных кислот. Это достигается через ингибирование малонил-СоА мышечной (М) и печеночной (L) изоформ СРТ-I, кодируемых разными генами (McGarry and Brown, Eur. J. Biochem., 244:1-14 (1997)). Мышечная изоформа более чувствительна к ингибированию малонил-СоА (IC50 0,03 мкМ), чем печеночная изоформа (IC50 2,5 мкМ). Описана регуляция СРТ-1 малонил-СоА в печени, сердце, склелетной мышце и -клетках поджелудочной железы. Кроме того, также описана чувствительная к малонил-СоА ацил-СоА-трансферазная активность, присутствующая в микросомах, возможно, части системы, доставляющей ацильные группы в эндоплазматический ретикулум (Fraser et al., FEBS Lett., 446:69-74 (1999)).
Сердечно-сосудистые заболевания. Здоровое человеческое сердце использует доступные метаболические субстраты. Когда содержание глюкозы в крови высокое, поглощение и метаболизм глюкозы обеспечивают основной источник питания сердца. В состоянии голода липиды обеспечиваются жировыми тканями, и поглощение жирных кислот и метаболизм в сердце регулируются по типу отрицательной обратной связи с метаболизмом глюкозы. Регуляция промежуточного метаболизма сывороточными уровнями жирных кислот и глюкозы включает цикл глюкоза-жирная кислота (Randle et al., Lancet, 1:785-789 (1963)). При ишемических состояниях ограниченное поступление кислорода ослабляет как окисление жирных кислот, так и глюкозы, и снижает количество АТФ (АТР), образующегося за счет окислительного фосфорилирования в тканях сердца. В отсутствие достаточного количества кислорода гликолиз возрастает при попытке сохранить уровни АТФ и накопление лактата, и в результате снижается внутриклеточный рН. Энергия тратится на поддержание ионного гомеостаза, и имеет место гибель миоцитов как результат аномально низких уровней АТФ и нарушенной клеточной осмолярности. Кроме того, АМРК, активизировавшийся при ишемии, фосфорилируется и, таким образом, инактивирует АСС. Общее содержание сердечного малонил-СоА падает, поэтому возрастает активность СРТ-I, и окисление жирных кислот преобладает над окислением глюкозы. Благоприятным эффектом метаболических модуляторов в ткани сердца являются повышенная эффективность АТФ/моль кислорода для глюкозы по сравнению с жирными кислотами и, что более важно, повышенное сопряжение гликолиза с окислением глюкозы, проявляющееся в суммарном снижении протонной нагрузки в ишемической ткани.
Ряд клинических и экспериментальных исследований показывает, что сдвиг энергетического обмена в сердце в сторону окисления глюкозы является эффективным подходом к ослаблению симптомов, связанных с сердечно-сосудистыми заболеваниями, такими как миокардиальная ишемия (Hearse, “Metabolic approaches to ischemic heart disease and its management”, Science Press), и другими. Некоторые прошедшие клинические испытания лекарственные средства против стенокардии, в том числе, пергексилен и амиодарон, ингибируют окисление жирных кислот через ингибирование СРТ-I (Kennedy et al., Biochem. Pharmacology, 52:273 (1996)). Показано, что лекарственные средства против стенокардии ранолазин, находящийся в фазе III клинических испытаний, и триметазидин ингибируют -окисление жирных кислот (McCormack et al., Genet. Pharmac., 30:639 (1998); Pepine et al., Am. J. Cardiology, 84:46 (1999)). Показано, что триметазидин специфически ингибирует длинноцепочечную 3-кетоацил-СоА-тиолазу – существенный этап при оксилении жирных кислот (Kantor et al., Circ. Res., 86:580-588 (2000)). Дихлорацетат усиливает окисление глюкозы, стимулируя комплекс пируватдегидрогеназы и улучшает сердечную функцию у пациентов с белезнями венечной артерии (Wargovich et al., Am. J. Cardiol., 61:65-70 (1996)). Ингибирование активности СРТ-I через повышенное содержание малонил-СоА ингибиторами MCD может привести не только к новому, но также к более безопасному, по сравнению с другими известными ингибиторами СРТ-I с маленькими молекулами, способу профилактики и лечения сердечно-сосудистых заболеваний.
Большинство стадий, включенных в глицеролипидный синтез, происходит в цитозоле мембраны эндоплазматического ретикулума (ER) печени. Синтез триацилглицерина (TAG) для секреции в ER, из диацилглицерина (DAG) и ацил-СоА зависит от транспорта ацил-СоА через ER мембрану. Этот транспорт зависит от активности ацил-СоА трансферазы, чувствительной к малонил-СоА (Zammit, Biochem. J., 343:505 (1999); Abo-Hashema, Biochem., 38:15840 (1999); и Abo-Hashema, J. Biol. Chem., 274:35577 (1999)). Ингибирование биосинтеза TAG ингибитором MCD может улучшить липидный профиль крови и, следовательно, ослабить фактор риска для болезни коронарной артерии у пациента.
Диабет. Двумя метаболическими осложнениями, наиболее часто ассоциированными с диабетом, являются сверхпродуцирование кетонных телец в печени (в NIDDM) и интоксикации органов, связанные с длительным повышенным содержанием глюкозы. Ингибирование окисления жирных кислот может регулировать содержание глюкозы в крови и улучшает некоторые симптомы диабета по типу II. Ингибирование малонил-СоА СРТ-I является наиболее важным регуляторным механизмом, регулирующим скорость окисления жирных кислот при возникновении гипоинсулинемического-гиперглюкагонемического состояния. Некоторые необратимо и обратимо действующие ингибиторы СРТ-I оценивали на их способность регулировать содержание глюкозы в крови, и все они неизменно оказывались гипогликемическими (Anderson, Current Pharmaceutical Design, 4:1 (1998)). Специфический для печени и обратимо действующий ингибитор СРТ SDZ-ZPI-975 существенно снижает уровни глюкозы у здоровых голодавших в течение 18 часов приматов, не относящихся к человеку, и крыс, не вызывая сердечной гипертрофии (Deems et al., Am. J. Physiology, 274:R524 (1998)). Малонил-СоА играет важную роль в качестве сенсора (чувствительного элемента) относительной доступности глюкозы и жирных кислот в панкреатических -клетках и, таким образом, связывает метаболизм глюкозы с клеточным энергетическим статусом и секрецией инсулина. Показано, что средство, усиливающее секрецию инсулина, повышает концентрацию малонил-СоА в -клетках (Prenki et al., Diabetes, 45:273 (1996)). Однако, лечение диабета непосредственно ингибиторами СРТ-I приводит к механизму с сопутствующим отравлением печени и миокарда. Ингибиторы MCD, ингибирующие СРТ-I через повышение содержания своего эндогенного ингибитора малонил-СоА, являются, таким образом, более безопасными и превосходными для лечения диабета по сравнению с ингибиторами СРТ-I.
Раковые заболевания. Предполагается, что малонил-СоА является возможным медиатором цитотоксичности, вызванной ингибированием синтазы жирных кислот в клетках рака молочной железы человека и ксенотрансплантатах (Pizer et al., Cancer Res., 60:213 (2000)). Обнаружено, что ингибирование синтазы жирных кислот с использованием противоопухолевого антибиотика церуленина или синтетического аналога С75 заметно повышает содержание малонил-СоА в клетках рака молочной железы. С другой стороны, ингибитор синтазы жирных кислот TOFA (5-(тетрадецилокси)-2-фуранкарбоновая кислота), которая только подавляет уровень ацетил-СоА-карбоксилазы (АСС), не показывает какой-либо противоопухолевой активности, в то время как при этом содержание малонил-СоА снижается на 60% от контроля. Полагают, что повышенное содержание малонил-СоА ответственно за противоопухолевую активность таких ингибиторов синтазы жирных кислот. Таким образом, регулирование содержания малонил-СоА с использованием ингибиторов MCD составляет чрезвычайно важную терапевтическую стратегию в случае лечения раковых заболеваний.
Ожирение. Предполагается, что малонил-СоА может играть ключевую роль в сигнале о потребности в пище в головном мозге через ингибирование каскада реакций нейропептида Y (Loftus et al., Science, 288:2379 (2000)). Системное или интрацеребровентрикулярное введение мышам ингибитора синтазы жирных кислот (FAS) церуленина или С75 приводит к ингибированию потребления корма и значительной потере массы. Обнаружено, что С75 ингибирует экспрессию профагового сигнального нейропептида Y в гипоталамусе и действует в лептиннезависимой форме, что, как оказывается, опосредуется малонил-СоА. Следовательно, регулирование содержания малонил-СоА через ингибирование MCD представляет новый подход к профилактике и лечению ожирения.
О создании ингибиторов MCD для лечения сердечно-сосудистых заболеваний, диабета, рака или ожирения в литературе не сообщается. Авторы нашли новый ряд соединений, содержащих триазолы и оксазолы, члены которого являются сильными ингибиторами MCD. Соединения, испытанные как in vitro, так и in vivo, ингибируют активности малонил-СоА-декарбоксилазы и повышают концентрацию малонил-СоА в организме. Кроме того, в ходе эксперимента выбранные соединения индуцируют значительное усиление окисления глюкозы по сравнению с контролем в анализе с изолированным перфузированным сердцем крысы (McNeill, Measurement of Cardiovascular Function, CRC Press, 1997). Преимущественно, предпочтительные соединения изобретения, такие как в табл.3, № пп 16, и табл.8, № пп 7, обладают более выраженным действием по сдвигу метаболизма, чем известные модуляторы метаболизма, такие как ранолазин или триметазидин. Поэтому соединения изобретения и фармацевтическая композиция, содержащая такие соединения, полезны в медицине, в частности, при профилактике и лечении различных сердечно-сосудистых заболеваний, диабета, раковых заболеваний и ожирения.
Кроме того, такие соединения также полезны в качестве средства диагностики в случае болезней, связанных с дефицитом или нарушением функций MCD.
Краткое изложение сущности изобретения
Настоящее изобретение относится к новым соединениям, изображаемым структурами I и II, новым фармацевтическим композициям, содержащим такие соединения, и способам профилактики, устранения и лечения болезней метаболизма и болезней, модулированных ингибированием MCD. Соединения данного изобретения полезны для профилактики, устранения и лечения болезней, в том числе, метаболизма глюкоза/жирные кислоты, регулируемого малонил-СоА. В частности, такие соединения и фармацевтические композиции, содержащие указанные соединения, показаны при профилактике, устранении и лечении сердечно-сосудистых заболеваний, диабета, рака и ожирения. Кроме того, новые соединения и композиции данного изобретения, промежуточные соединения и способы, полезные для получения соединений изобретения, также входят в объем данного изобретения.
Настоящее изобретение также включает в свой объем способы диагностики для обнаружения болезней, связанных с дефицитом или нарушением функций MCD.
Соединения изобретения представляют приведенные далее структуры

где Y, C, R1, R2, R6 и R7 имеют значения, указанные ниже. В объем данного изобретения также входят соответствующие энантиомеры, диастереоизомеры, пролекарства и фармацевтически приемлемые соли указанных соединений. Другие аспекты данного изобретения станут очевидны из следующего описания данного изобретения. Итак, приведенное выше только суммирует некоторые аспекты изобретения не предназначается, и не должно рассматриваться, как какое-либо ограничение данного изобретения.
Подробное описание изобретения
Следующее далее подробное описание не предназначено быть исчерпывающим или для ограничения изобретения приведенными подробностями. Подробности выбраны и описаны для наилучшего понимания изобретения другими специалистами в данной области техники.
Настоящее изобретение относится к соединениям, представленным следующими формулами

где
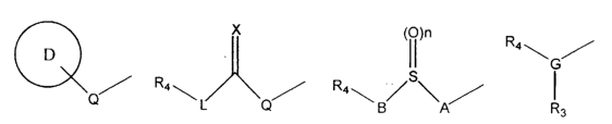
Y выбирают из S или О; С представляет собой замещенное моноциклическое 5-7-членное кольцо, содержащее один-три гетероатома, где указанные гетероатомы выбирают из O, N или S, и где указанные заместители выбирают, независимо, из R1 и R2;
R1 и R2 являются разными, и каждый выбран, независимо, из водорода, галогена, гидрокси, нитро, циано, (С1-С12)-алкила, замещенного (С1-С12)-алкила, алкиламино, алкилсульфанила, арила, (С1-С12)-алкокси, замещенного (С1-С12)-алкокси, -С(Х)R3,
-CR11(V)R12, -CH2CR11(V)R12, -S(O)nR3, -NR4P(O)(R5)2, -P(O)(R5)2 или замещенного или незамещенного моноциклического 3-7-членного кольца, содержащего от нуля до трех гетероатомов, где указанные гетероатомы выбирают из O, N или S, и где указанные заместители выбирают, независимо, из R9; либо R1 и R2 могут представлять собой группу одной из приведенных далее формул

где цикл D является замещенным или незамещенным моноциклическим 3-7-членным кольцом, содержащим от нуля до трех гетероатомов, где указанные гетероатомы выбирают из O, N или S, и где указанные заместители выбирают, независимо, из R9, и R3 и R4, взятые вместе, могут образовывать замещенный или незамещенный моноциклическое 3-7-членное кольцо, содержащее от нуля до трех гетероатомов, где указанные гетероатомы выбирают из O, N или S, и где указанные заместители выбирают, независимо, из R9, либо R1 и R2, взятые вместе, могут образовывать замещенное или незамещенное 5-7-членное кольцо, содержащее от нуля до трех гетероатомов, выбранных из N, O или S, и где указанные заместители выбирают, независимо, из R9;
R3 выбирают из водорода, гидрокси, амино, (С1-С12)-алкила, замещенного (С1-С12)-алкила, алкиламино, арила, (С1-С12)-алкокси, замещенного (С1-С12)-алкокси или моноциклического 3-7-членного кольца, содержащего от нуля до трех гетероатомов, где указанные гетероатомы выбирают из O, N или S, и где указанные заместители выбирают, независимо, из R9;
R4 выбирают из водорода, (С1-С12)-алкила, замещенного (С1-С12)-алкила, арила или моноциклического 3-7-членного кольца, содержащего от нуля до трех гетероатомов, где указанные гетероатомы выбирают из O, N или S, и где указанные заместители выбирают, независимо, из R9;
R5 выбирают из водорода, (С1-С12)-алкила, замещенного (С1-С12)-алкила, алкиламино, алкокси, арила или моноциклического 3-7-членного кольца, содержащего от нуля до трех гетероатомов, где указанные гетероатомы выбирают из O, N или S, и где указанные заместители выбирают, независимо, из R9;
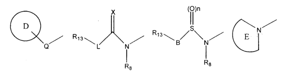
R6, который занимает или 5-ое, или 6-ое положение в структуре II, выбирают из -NR8P(O)(R5)2 или группы одной из следующих формул

где цикл D является замещенным моноциклическим 5-7-членным кольцом, содержащим один-три гетероатома, где указанные гетероатомы выбирают из O, N или S, и где указанные заместители выбирают, независимо, из R9, а цикл Е представляет собой замещенное 5-членное гетероароматическое кольцо или моноциклический 3-, 4-, 6- или 7-членный гетероцикл, содержащий один-три гетероатома, где указанные гетероатомы выбирают из O, N или S, и где указанные заместители выбирают, независимо, из R9, и Q выбирают из -NR8, -C(O)- или -О-;
R7 выбирают из водорода, (С1-С12)-алкила, (С1-С12)-алкокси, галогена, циано, SO2R4, SO2NR4R4,
или R7 и R6, взятые вместе, могут образовывать конденсированное замещенное 5-7-членное кольцо, содержащее от одного до трех гетероатомов, где указанные гетероатомы выбирают из N, O или S, и где указанные заместители выбирают из R9;
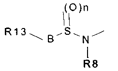
R8 выбирают из замещенного (С2-С12)-алкила, разветвленного (С3-С12)-алкила, ((С2-С6)-(алкилен))R14, -CH(CF3)2,
-CH((CF2)nCF3)n, -CH(CF3)R11, -CHR12(арила), -CHR11(гетероарила), -CHR11(гетероциклила), циклоалкила или моноциклического 3-7-членного кольца, содержащего от нуля до трех гетероатомов, где указанные гетероатомы выбирают из O, N или S, и где указанные заместители выбирают, независимо, из R9;
R9 выбирают из водорода, галогена, -CN, -C(O)CF3,
-S(O)nCF3, -C(O)CH2F, -CH(OH)CF3, -N(CN)2, -C(CN)3, -CHR10R11, (С1-С12)-алкила, замещенного (С1-С12)-алкила, -CF3, -(CF2)mCF3,
-CH(CF3)2, -CF(CF3)2, -SO3H, алкиламино, алкилсульфанила, арила, (С1-С12)-алкокси, замещенного (С1-С12)-алкокси, -С(Х)R10,
-CR11(V)R12, -CH2CR11(V)R12, -S(O)nR12, -S(O)2NHMe(OH), -S(O)2NH(2-тиазолила), -(4-оксо-2-тиоксотиазолидин-5-илидена), тетразолила, -СН2(1,1-диоксо-1лямбда*6*-тиоморфолин-4-ила),
-S(O)2CH2NO2, -S(O)2CH2S(O)2R12, -P(O)(OR11)R12, -NR11P(O)OR12,
-P(O)(NR11R12), замещенного или незамещенного моноциклического 3-7-членного кольца, содержащего один-три гетероатома, где указанные гетероатомы выбирают из О, N или S;
R10 выбирают из гидрокси, амино, NHCN, (С1-С12)-алкила, замещенного (С1-С12)-алкила, циклоалкила, алкиламино, (С1-С12)-алкокси, -CF3, гетероциклила, арила;
R11 выбирают из водорода, (С1-С12)-алкила, замещенного (С1-С12)-алкила, гетероциклила или арила;
R12 выбирают из (С1-С12)-алкила, замещенного (С1-С12)-алкила, гетероциклила или арила;
R13 выбирают из замещенного (С2-С12)-алкила, замещенного (С2-С12)-алкенила, замещенного (С2-С12)-алкинила, гетероциклила, простого алкилэфира, алкиламино и незамещенного или замещенного гетероарила или п-R9-замещенного фенила;
R14 выбирают из -COR3, R6;
А представляет собой связь, -NR5– или -CR4R5-;
В представляет собой связь, -NR4-, -CR4H-, -CR4(OH)- или
-CR4R5-;
G представляет собой -CH(CH2)m-, >C=CH-, -N(CH2)m-;
L представляет собой связь, -O-, -C(O)-, -NR5-, -CR4H-,
-CR4(OH)- или -CR4R5-, -NHNR5-;
Q представляет собой связь, -NR5-, -C(O)-, -O- или
-CR4R5-;
X представляет собой O, S, NR4, NOR4, NCN, NNO2, CR11NO2, CR11CN, C(CN)2, CR11R12 или N-NR11R12;
V представляет собой -ОН, -SH, -CN;
m равен нулю, единице, двум или трем;
n равен единице или двум;
их соответствующим энантиомерам, диастереоизомерам или таутомерам,
или фармацевтически приемлемым солям, или их пролекарствам в фармацевтически приемлемом носителе.
Как описано выше, соединения данного изобретения можно предоставить в виде пролекарств, примерами которых могут служить

В структуре III имеется дисульфидная связь, которая in vivo превращается в активную форму, т.е., структуру I. Структура IV описывает этиловый эфир, который in vivo превращается в соответствующую кислоту, т.е., форму -СО2Н.
Специалисту следует иметь в виду, что обозначение

описывает расположение заместителей Ri и Rj в любой доступной позиции в цикле, и любая позиция соотносится с другой, и что относительные позиции Ri и Rj в приведенном выше обозначении не предполагают ничего иного, кроме их положения в цикле. Указанное правило используется во всем данном описании для описания радикалов, которые можно располагать по любой доступной валентности, причем ничто иное не подразумевается.
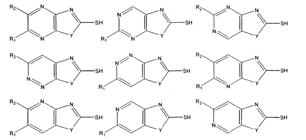
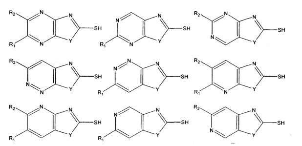
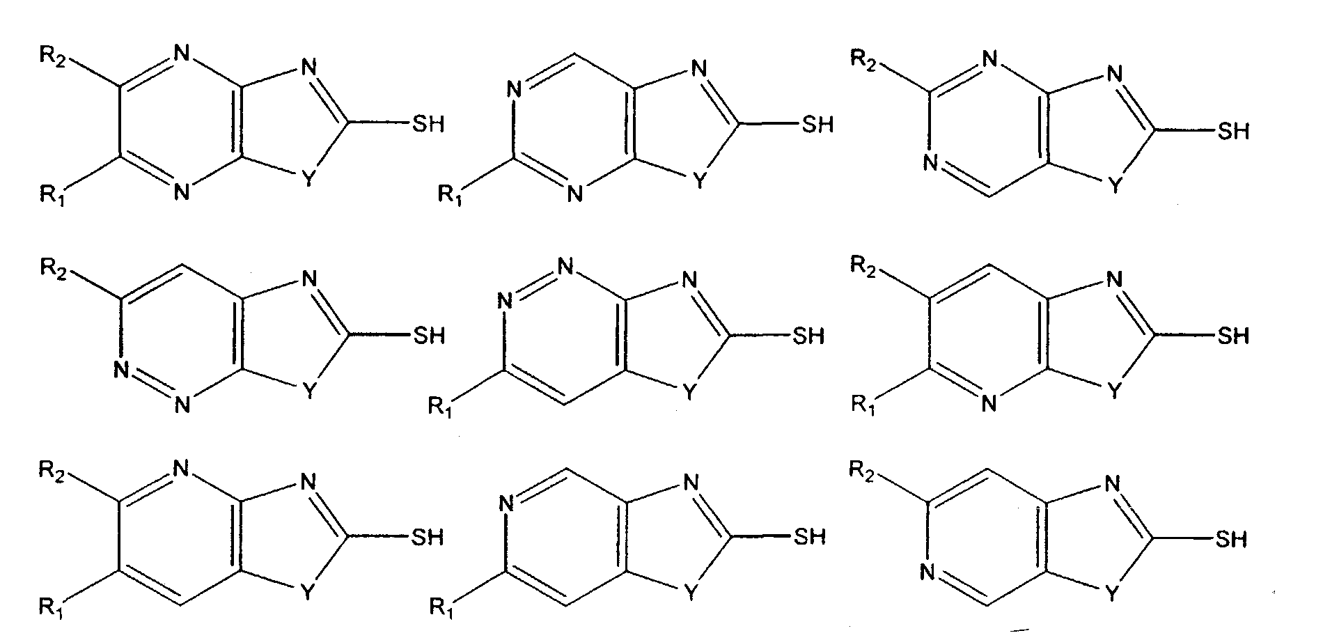
Кроме того, что касается номенклатуры в данном описании, то соединения, названные точно, как правило, названы с использованием соглашения ИЮПАК, но в соединениях, строение которых описывается, используется следующая нумерация в цикле, независимо от соглашения ИЮПАК или гетероатомов, присутствующих в цикле:

Следовательно, содержат или нет соединения гетероатомы, такие как N, например, в 6-членной части цикла, радикалы, присоединенные к этой части цикла, описываются с помощью нумерации, указанной выше. Так, примерами гетероциклов являются

Правило нумерации, описанное выше, применяется, и, как правило, при описании делается ссылка на “структуру II”, за исключением соединений, названных точно.
Существует несколько предпочтительных вариантов воплощения настоящего изобретения. Одним из таких предпочтительных вариантов является вариант, где Y в структурах I и II представляет собой атом серы. Другим таким предпочтительным вариантом является вариант, где цикл С в структуре I представляет собой или пиридин или пиримидин. Другим таким предпочтительным вариантом является вариант, где заместители R1 и R2 в структуре I занимают положение 5 или положение 6, как показывают следующие структуры:

В другом предпочтительном варианте заместитель R2 представляет собой водород или, в другом случае, отсутствует, и R1 присоединяется в положении 6, как показывают следующие структуры:

Другим таким предпочтительным вариантом является вариант, где цикл С представляет собой пиридин, заместитель R2 представляет собой водород или, в другом случае, отсутствует, и R1 присоединяется в положении 6, как показывают следующие структуры:

где заместитель R1 представляет собой группу одной из следующих формул:

Даже более предпочтительным вариантом является вариант, где R1 представляет собой группу, выбранную из групп одной из следующих формул:

Еще более предпочтительным вариантом является вариант, где в перечисленных выше функциональных группах R5′ представляет собой водород, и R5 выбирают из разветвленного (С3-С12)-алкила, ((С2-С8)-(алкилен))R14, циклоалкила,
-СН2(гетероциклила), -СН2(арила), гетероциклила, и R4 представляет собой замещенный (С6-С12)-алкил, ((С2-С8)-(алкилен))R14, замещенный гетероарил, замещенный гетероциклил или п-R9-замещенный фенил. Предпочтительнее, R4 представляет собой замещенный 5-6-членный гетероциклил, R9-замещенный гетероарил или п-R9-замещенный фенил. Другим таким предпочтительным вариантом является вариант, где в структуре II заместитель R7 представляет собой водород, и R6 присоединяется в положении 6, как показывает структура

Более предпочтительным вариантом является вариант, где в вышеуказанной структуре R6 представляет собой группу, выбранную из групп одной из следующих формул:

Особенно предпочтительным вариантом является вариант, где R6 выбирают из разветвленного (С3-С12)-алкила, ((С2-С8)-(алкилен))R14, циклоалкила, -СН2(гетероарила),
-СН2(гетероциклила), гетероциклила, и R13 представляет собой замещенный (С6-С12)-алкил, ((С2-С8)-(алкилен))R14, гетероциклил, замещенный гетероарил или п-R9-замещенный фенил. Предпочтительнее, R13 в вышеуказанных функциональных группах представляет собой R9-замещенный гетероарил или п-R9-замещенный фенил.
Еще более предпочтительным вариантом является вариант, где R8 в вышеуказанных формулах представляет собой разветвленный (С3-С7)-алкил, в частности, изопропил или изобутил, (С3-С7)-циклоалкил, в частности, циклопропил, циклобутил, циклопентил и циклогексил, 5-6-членный гетероциклил, в частности, тетрагидропиранил, тетрагидрофуранил, пиперидинил и пирролининил, -СН2(гетероарил), в частности, метилпиридинил, метилтиазолил и метилизоксазолил, -СН2(гетероарил), в частности, метилтетрагидропиранил, метилтетрагидрофуранил, метилпиперидинил и метилпирролининил; и R13 представляет собой ((С2-С8)-(алкилен))R14, предпочтительнее, -(СН2)2-8R14, незамещенный гетероарил или R9-замещенный гетероарил, в частности, 5-6-членный гетероарил, например, пиридил и оксазолинил, тиофенил, и особенно предпочтительный R13 представляет собой п-R9-замещенный фенил.
Весьма предпочтительным вариантом воплощения изобретения является вариант, где в приведенных выше формулах R13 представляет собой п-R9-замещенный фенил, где наиболее предпочтительный R9 выбирают из -CN, -C(O)CF3, -S(O)nCF3,
-C(O)CH2F, -CH(OH)CF3, -N(CN)2, -C(CN)3, -CHR10R11, (С1-С12)-алкила, замещенного (С1-С12)-алкила, -CF3, -(CF2)mCF3, -CH(CF3)2, -CF(CF3)2, -SO3H, (С2-С12)-алкокси, замещенного (С2-С12)-алкокси, -С(Х)R10, -CR11(V)R12, -CH2CR11(V)R12, -S(O)nR12, -S(O)2NHMe(OH),
-S(O)2NH(2-тиазолила), -(4-оксо-2-тиоксотиазолидин-5-илидена), тетразолила, -СН2(1,1-диоксо-1лямбда*6*-тиоморфолин-4-ила),
-S(O)2CH2NO2, -S(O)2CH2S(O)2R12, -P(O)(OR11)R12, -NR11P(O)OR12,
-P(O)(NR11R12) или цикла, выбранного из

| присоединен в положении 1 или 2 |
присоединен в положении 2, 4 или 5 |
присоединен в положении 2, 4 или 5 |
присоединен в положении 2, 4 или 5 |

| присоединен в положении 4 или 5 |
присоединен в положении 2 или 4 |
присоединен в положении 2 или 4 |
присоединен в положении 4 или 5 |
Особенно весьма предпочтительным вариантом является вариант формулы

где R6 выбирают из

наиболее предпочтительный R8 выбирают из разветвленного (С3-С7)-алкила, (С3-С7)-циклоалкила, 5-6-членного гетероциклила, -(СН2)4-8R14, и наиболее предпочтительный R13 выбирают из R9-замещенного 5-6-членного гетероарила или п-R9-замещенного фенила, где наиболее предпочтительный R9 выбирают из F, Cl, Br, I, OH, -CN, -N(CN)2, -C(CN)3, -CF3, -(CF2)mCF3, -CH(CF3)2,
-CF(CF3)2, -SO3H, (С2-С12)-алкилсульфанила, (С2-С12)-алкокси, замещенного (С2-С12)-алкокси, -С(Х)R10, тетразолила, 3-гидроксиизоксазол-4-ила, 3-гидроксиизоксазол-5-ила, и наиболее предпочтительный R14 выбирают из -С(Х)R10, и Х представляет собой O, NH2, NCN, NNO2, где наиболее предпочтительный R10 выбирают из -ОН, амино, алкиламино, CF3, NHCN и 5-6-членного гетероциклила.
Композиции
Композиции настоящего изобретения содержат
(а) безопасное и терапевтически эффективное количество ингибирующего MCD соединения I или II, его соответствующего энантиомера, диастереоизомера или таутомера, или его фармацевтически приемлемой соли или его пролекарства; и
(b) фармацевтически приемлемый носитель.
Как описано выше, на многие заболевания можно действовать лечением, связанным с MCD. Таким образом, соединения данного изобретения полезны при лечении состояний с участием такой MCD-активности.
Соответственно, поэтому соединения данного изобретения можно вводить в фармацевтические композиции для применения в профилактике, устранении и лечении таких состояний. Используют стандартные способы получения фармацевтических композиций, описанные, например, в Remington’s Pharmaceutical Sciences, Mack Publishing Company, Easton, PA.
“Безопасным и терапевтически эффективным количеством” соединения настоящего изобретения является количество, эффективное для ингибирования MCD в месте(ах) активности в организме субъекта в ткани или клетке, и предпочтительно – в организме животного, предпочтительнее – млекопитающего, без чрезмерного вредного побочного действия (такого как токсичность, раздражение или аллергическая реакция), соразмерное с разумным соотношением польза/риск, при использовании согласно данному изобретению. Конкретное “безопасное и терапевтически эффективное количество” будет, очевидно, изменяться в зависимости от таких факторов, как конкретное состояние, которое лечат, физическое состояние пациента, длительность лечения, характер сопутствующего лечения (если оно есть), конкретной используемой лекарственной формы, используемого носителя, растворимости соединения в нем и схемы приема, желательной для композиции.
Кроме целевого соединения композиции – предмет изобретения содержат фармацевтически приемлемый носитель. Термин “фармацевтически приемлемый носитель”, используемый в данном описании, обозначает один или несколько совместимых твердых или жидких носителей, разбавителей или инкапсулирующих веществ, подходящих для введения млекопитающему. Термин “совместимый”, используемый в данном описании, означает, что компоненты композиции способны смешиваться с целевым соединением и друг с другом таким образом, что осутствует взаимодействие, которое могло бы существенно снизить фармацевтическую эффективность композиции в обычных условиях применения. Фармацевтически приемлемые носители должны, конечно, быть достаточно чистыми и достаточно малотоксичными, чтобы отнести их к пригодным для введения, предпочтительно, животному, предпочтительно – млекопитающему, которое лечат.
Некоторыми примерами веществ, которые могут служить в качестве фармацевтически приемлемых носителей или их компонентов, являются сахара, такие как лактоза, глюкоза и сахароза; крахмалы, такие как кукурузный крахмал и картофельный крахмал; целлюлоза и ее производные, такие как натрийкарбоксиметилцеллюлоза, этилцеллюлоза и метилцеллюллоза; измельченный трагакант; солод; желатин; тальк; твердые смазывающие вещества, такие как стеариновая кислота и стеарат магния; сульфат кальция; растительные масла, такие как арахисовое масло, хлопковое масло, кунжутное масло, оливковое масло, кукурузное масло и масло какао; полиолы, такие как пропиленгликоль, глицерин, сорбит, маннит и полиэтиленгликоль; альгиновая кислота; эмульгаторы, такие как твины; смачивающие вещества, такие как лаурилсульфат натрия; красители; отдушки; вещества, способствующие таблетированию, стабилизаторы; антиоксиданты; консерванты; апирогенная вода; изотонический физиологический раствор и фосфатные буферные растворы.
Выбор фармацевтически приемлемого носителя для применения в сочетании с целевым соединением определяется, в основном, способом, которым соединение следует вводить.
Если целевое соединение следует инъецировать, предпочтительным фармацевтически приемлемым носителем является стерильный физиологический раствор с суспендирующим веществом, совместимым с кровью, рН которого доведен до примерно 7,4. В частности, фармацевтически приемлемые носители для системного введения включают сахара, крахмалы, целлюлозу и ее производные, солод, желатин, тальк, сульфат кальция, растительные масла, синтетические масла, полиолы, альгиновую кислоту, фосфатные буферные растворы, эмульгаторы, изотонический физиологический раствор и апирогенную воду. Предпочтительными носителями для парентерального введения являются пропиленгликоль, этилолеат, пирролидон, этанол и кунжутное масло. Предпочтительно, фармацевтически приемлемый носитель в композициях для парентерального введения составляет по меньшей мере примерно 90 мас.% от всей композиции.
Композиции данного изобретения, предпочтительно, предоставляются в стандартной лекарственной форме. Термин “стандартная лекарственная форма”, используемый в данном описании, относится к композиции данного изобретения, содержащей количество соединения, подходящее для введения животному, предпочтительно – млекопитающему, в однократной дозе согласно основательной медицинской практике. (Однако, препарат однократной или стандартной лекарственной формы не означает, что лекарственная форма вводится один раз в сутки или один раз на курс лечения. Предполагается, что такие лекарственные формы вводят один, два, три или более раз в сутки, и ожидается, что в курсе лечения они принимаются более одного раза, хотя конкретно однократное введение не исключается. Специалисту будет понятно, что композиция не предназначается конкретно для полного курса лечения, и такие решения, а не композиция, остаются за специалистами в данной области.) Такие композиции предпочтительно содержат от примерно 5 мг (миллиграмм), предпочтительнее – от примерно 10 мг до примерно 1000 мг, предпочтительнее – до примерно 500 мг, наиболее предпочтительно – до примерно 300 мг, выбранного соединения.
Композиции данного изобретения могут находиться в любой из разнообразных форм, подходящих (например) для перорального, назального, ректального, местного (включая трансдермальное), глазного, интрацеребрального, внутривенного, внутримышечного или парентерального введения. (Специалисту следует иметь в виду, что композиции для перорального и назального введения включают композиции, которые вводят путем ингаляции и получают с использованием доступных методик.) В зависимости от конкретного нужного способа введения можно использовать разнообразные фармацевтически приемлемые носители, хорошо известные в технике. К ним относятся твердые и жидкие наполнители, разбавители, гидротропы, поверхностно-активные вещества и инкапсулирующие вещества. Можно включать, необязательно, фармацевтически активные вещества, которые существенно не влияют на ингибирующую активность соединения. Количество носителя, используемого в сочетании с соединением, является достаточным для обеспечения практического количества материала для введения на дозу соединения. Методы и композиции для получения лекарственных форм, полезных в способах данного изобретения, описываются в указанных далее работах, включенных в данное описание в качестве ссылок: Modern Pharmaceutics, Chapter 9 and 10 (Banker & Rhodes, editors, 1979); Leiberman et al., Pharmaceutical Dosage Forms: Tablets (1981); и Ansel, Introduction to Pharmaceutical Dosage Forms, 2d Edition (1976).
Можно использовать различные пероральные лекарственные формы, в том числе такие твердые формы, как таблетки, капсулы, гранулы и нерасфасованные порошки. Такие пероральные лекарственные формы содержат безопасное и эффективное количество соединения, как правило, по меньшей мере примерно 5%, и предпочтительно – от примерно 25% до примерно 50%. Таблетки могут быть прессованными, таблеточными тритурациями, с энтеросолюбильным покрытием, с сахарным покрытием, с пленочным покрытием или многослойными, содержащими подходящие связующие вещества, смазывающие вещества, разбавители, вещества, способствующие рассыпанию, красители, отдушки, агенты текучести, и флюсы. Жидкие пероральные лекарственные формы включают водные растворы, эмульсии, суспензии, растворы и/или суспензии, восстанавливаемые из гранул без выделения газа, и шипучие препараты, восстанавливаемые из гранул с выделением газа, содержащие подходящие растворители, консерванты, эмульгаторы, суспендирующие вещества, разбавители, подсластители, флюсы, красители и отдушки.
Фармацевтически приемлемые носители, подходящие для получения стандартных лекарственных форм для перорального ведения, хорошо известны в технике. Таблетки, как правило, содержат обычные фармацевтически совместимые адъюванты, например, инертные разбавители, такие как карбонат кальция, карбонат натрия, маннит, лактоза и целлюлоза; связующие вещества, такие как крахмал, желатин и сахароза; вещества, способствующие дезинтеграции, такие как крахмал, альгиновая кислота и кроскармелоза; смазывающие вещества, такие как стеарат магния, стеариновая кислота и тальк. Можно использовать глиданты, такие как диоксид кремния, для улучшения характеристик текучести порошкообразной смеси. Для придания внешнего вида можно добавлять красители, такие как красители FD&C. Подсластители и отдушки, такие как аспартам, сахарин, ментол, перечная мята и фруктовые отдушки, являются полезными адъювантами для жевательных таблеток. Капсулы, как правило, содержат один или несколько твердых разбавителей, описанных выше. Отбор компонентов носителя зависит от соображений второго порядка, подобных вкусу, стоимости и устойчивости при хранении, которые не являются критическими для целей изобретения и могут быть легко реализованы специалистом в данной области техники.
Пероральные композиции также включают жидкие растворы, эмульсии, суспензии и т.п. Фармацевтически приемлемые носители, подходящие для получения таких композиций, хорошо известны в технике. Типичными компонентами носителей для сиропов, эликсиров, эмульсий и суспензий являются этанол, глицерин, пропиленгликоль, полиэтиленгликоль, жидкая сахароза, сорбит и вода. В случае суспензии типичными суспендирующими веществами являются метилцеллюлоза, натрийкарбоксиметилцеллюлоза, авицел RC-591, трагакант и альгинат натрия; типичными смачивающими агентами являются лецитин и полисорбат 80; и типичными консервантами являются метилпарабен и бензоат натрия. Пероральные жидкие композиции также могут содержать один или несколько таких компонентов, как подсластители, отдушки и красители, описанные выше.
На такие композиции также можно нанести покрытия обычными способами, как правило, покрытия, зависящие от рН или времени, такие, что целевое соединение высвобождается в желудочно-кишечном тракте вблизи нужного места применения или в различное время для продления нужного действия. Такие лекарственные формы, как правило, содержат одно или несколько веществ из ацетофталата целлюлозы, поливинилацетатфталата, фталата гидроксипропилметилцеллюлозы, этилцеллюлозы, покрытий Eudragit, восков и шеллака. Композиции настоящего изобретения могут содержать, необязательно, другие лекарственные средства.
Другие композиции, полезные для достижения системной доставки целевых соединений, включают подъязычные, буккальные и назальные лекарственные формы. Такие композиции обычно содержат один или несколько наполнителей, таких как сахароза, сорбит и маннит, и связующие вещества, такие как аравийская камедь, микрокристаллическая целлюлоза, карбоксиметилцеллюлоза и гидроксипропилметилцеллюлоза. Также могут включаться глиданты, смазывающие вещества, подсластители, красители, антиоксиданты и отдушки, описанные выше.
Композиции данного изобретения также можно вводить субъекту местно, например, путем непосредственного нанесения или намазывания композиции на эпидермальную или эпителиальную ткань субъекта, или трансдермально через “пластырь”. Такие композиции включают, например, лосьоны, кремы, растворы, гели и твердые композиции. Такие композиции для местного применения, предпочтительно, содержат безопасное и эффективное количество соединения, как правило, по меньшей мере 0,1%, и предпочтительно – от примерно 1% до примерно 5%. Подходящие носители для местного введения, предпочтительно, остаются на коже в месте нанесения в виде сплошной пленки, и стойкий слой удаляется с потом или погружением в воду. Как правило, носитель является органическим веществом по природе и способен диспергировать или растворять соединениие. Носитель может включать фармацевтически приемлемый мягчитель, эмульгаторы, загустители, растворители и подобные вещества.
Способы применения
Соединения и композиции данного изобретения можно вводить местно или системно. Системное применение включает любой способ введения соединения в ткани организма, например, интраартикулярное, внутриоболочечное, эпидуральное, внутримышечное, трансдермальное, внутривенное, интраперитонеальное, подкожное, подъязычное введение, ингаляцию, реактальное или пероральное введение. Соединения настоящего изобретения предпочтительно вводят перорально.
Конкретная дозировка вводимого соединения, а также продолжительность лечения должны определяться индивидуально лечащими врачами. Как правило, взрослому человеку (массой приблизительно 70 кг) назначают от примерно 5 мг, предпочтительно – от примерно 10 мг, до примерно 3000 мг, предпочтительнее – до примерно 1000 мг, предпочтительнее – до примерно 300 мг, выбранного соединения в сутки. Следует иметь в виду, что указанные интервалы дозировки являются только примерами, и что суточное введение можно уточнить в зависимости от факторов, описанных выше.
При всем вышесказанном соединения изобретения конечно можно вводить одни или в виде смесей, и композиции также могут включать другие лекарственные средства или эксципиенты, подходящие согласно показаниям. Например, при лечении сердечно-сосудистых заболеваний четко предполагается, что изобретение можно использовать в сочетании с бета-блокаторами, антагонистами кальция, ингибиторами АСЕ, диуретиками, ингибиторами ангиотензиновых рецепторов или известными сердечно-сосудистыми лекарственными средствами или методами лечения. Следовательно, в данном примере новые соединения или композиции данного изобретения полезны, когда вводятся вместе с другим активным средством и могут быть объединены с ним в одну лекарственную форму или композицию.
Композиции также можно вводить в форме систем липосомной доставки, таких как однослойные везикулы, крупные однослойные везикулы и многослойные везикулы. Липосомы можно получить из ряда фосфолипидов, таких как холестерин, стеариламин или фосфатидилхолины.
Определения
Используемый в данном описании термин “алкил” обозначает линейный алкановый, алкеновый или алкиновый заместитель, содержащий только углерод и водород, такой как метил, этил, бутил, пентил, гептил и т.п. Алкильные группы могут быть насыщенными или ненасыщенными (т.е., содержащими связи -С=С- или -С С-) в одном или нескольких положениях. Когда предпочтительна определенная степень ненасыщенности, указанный заместитель называют “алкенилом” или “алкинилом”, обозначая заместители, содержащие связи -С=С- или -С С-, соответственно. Число атомов углерода может отмечаться как “(Сi-Cj)-алкил”, где i и j обозначают минимальное и максимальное число атомов углерода, соответственно. Как правило, алкильные группы будут содержать 1-12 атомов углерода, предпочтительно – 1-10, и предпочтительнее – 2-8, атомов углерода.
Используемый в данном описании термин “замещенный алкил” обозначает углеводородный заместитель, который является линейным, циклическим или разветвленным, в котором один или несколько атомов водорода замещены карбокси, гидрокси, алкокси, циано, нитро, карбонилом, арилом, карбоксиалкилом, меркапто, амино, амидо, уреидо, карбамоилом, сульфонамидо, сульфамидо или галогеном. Предпочтительные замещенные алкилы содержат в своей алкильной части (т.е., части, представляющей собой алкил) от 1 до примерно 5 углеродов и могут быть разветвленными или линейными, и могут включать циклические заместители или как часть или как всю свою структуру. Предпочтительными примерами “замещенных алкилов” являются 4-карбоксибутил, пиридин-2-илметил и 1,3-тиазол-2-илметил, бензил, фенетил и трифторметил. Термин “замещенный алкил” может быть объединен с другими терминами, принятыми в технике. Например, “замещенный алкокси” обозначает алкокси как он известен в технике, где алкильная часть заместителя является замещенной.
Используемый в данном описании термин “разветвленный алкил” обозначает подтип “алкила” и, таким образом, относится к углеводородному заместителю, который является разветвленным. Предпочтительные разветвленные алкилы содержат от 3 до примерно 12 атомов углерода и могут содержать в своей структуре циклоалкил. Примерами разветвленного алкила являются изопропил, изобутил, 1,2-диметилпропил, циклопентилметил и подобные группы. Термин “разветвленный алкил” может быть объединен с другими терминами, принятыми в технике. Например, “разветвленный алкокси” обозначает алкокси как он известен в технике, где алкильная часть заместителя является разветвленной.
Используемый в данном описании термин “циклоалкил” обозначает углеводородный заместитель, который является циклическим и может быть замещенным или незамещенным. Когда он является замещенным, один или несколько атомов водорода замещены карбокси, гидрокси, алкокси, циано, нитро, карбонилом, арилом, карбоксиалкилом, меркапто, амино, амидо, уреидо, карбамоилом, сульфонамидо, сульфамидо или галогеном. Предпочтительные циклические алкилы содержат 3-7 атомов углерода. Примерами циклоалкила являются циклопропил, циклопентил, 4-фторциклогексил, 2,3-дигидроксициклопентил и подобные группы.
Используемый в данном описании термин “алкилен” обозначает алкильный бирадикал, т.е., алкил со свободными валентностями у двух разных атомов углерода. Поэтому “(алкилен)Ri” представляет собой алкильный бирадикал, присоединенный к одному углероду и имеющий заместитель Ri, присоединенный к другому углероду, который может отстоять на один или несколько атомов углерода от точки присоединения. Алкилен может быть линейным, разветвленным или циклическим. Примерами алкилена являются -СН2-, -СН2СН2-, -(СН2)4-,-(циклогексил)- и подобные группы.
Используемый в данном описании термин “арил” относится к замещенному или незамещенному ароматическому, т.е., к которому применимо правило Хюккеля 4n + 2, радикалу, имеющему один цикл (например, фенил) или несколько конденсированных циклов (например, нафтил или антрил), который может содержать от нуля до 4 гетероатомов. Поэтому термин “гетероарил”, конечно, рассматривается в термине “арил”. Предпочтительным карбоциклическим арилом является фенил. Предпочтительными моноциклическими гетероциклами, т.е., гетероарилами, являются 5- или 6-членные циклы. Предпочтительно, когда термин “арил” представляет ароматический гетероцикл, такой ароматический гетероцикл называют “гетроарилом” или “гетероароматическим”, и он содержит один или несколько гетероатомов. Предпочтительным количеством таких гетероатомов являются от одного до трех атомов N, и предпочтительно, когда “гетероарил” является гетероциклом из пяти атомов, он содержит один или два гетероатома, выбранных из О, N или S. Следовательно, предпочтительные гетероциклы содержат до трех, предпочтительнее – два или меньше, гетероатомов, присутствующих в ароматическом цикле. Специалистам будет понятно, что среди гетероарилов имеются как пяти-, так и шестичленные циклы. Примерами “гетероарила” являются тиенил, пиридил, пиримидил, пиридазил, фурил, оксазолил, имидазолил, тиазолил, оксадиазилил, триазинил, триазолил, тиадиазолил и другие группы, известные специалистам. В данном определении подразумевается, что замещение арильного цикла входит в объем изобретения. Когда замещение имеет место, радикал называют “замещенным арилом”. Предпочтительно, к арильному циклу присоединяются от одного до трех, предпочтительнее – один или два, заместителя, и наиболее предпочтительно – один заместитель. Хотя многие заместители будут полезны, предпочтительными являются заместители, которые обычно встречаются в арильных соединениях, такие как алкил, гидрокси, алкокси, циано, нитро, галоген, галогеналкил, меркапто и т.п. Такие заместители вводят с использованием известных методик. Такие заместители могут присоединяться в разных положениях арильного цикла, и когда данное местоположение предпочтительно, такое местоположение указывается как “о-, м-, п-Ri-арил”. Таким образом, если заместитель Ri присоединяется в пара-положении арила, тогда такой арил называют “п-Ri-замещенный арил”.
Используемый в данном описании термин “амид” включает как RNR’CO- (алкиламинокарбонил- в случае, когда R = алкил), так и RCONR’- (алкилкарбониламино- в случае, когда R = алкил).
Используемый в данном описании термин “сложный эфир” включает как ROCO- (алкоксикарбонил- в случае, когда R = алкил), так и RCOO- (алкилкарбонилокси- в случае, когда R = алкил).
Используемый в данном описании термин “галоген” обозначает радикал, образованный атомом хлора, брома, фтора или иода. Предпочтительными галогенами являются хлор, бром и фтор. Термин “галоген” также иногда предполагает названия “гало” или “галогенид”.
Используемый в данном описании термин “алкиламино” обозначает аминорадикал, в котором по меньшей мере один атом водорода у атома азота заменен алкилом. Предпочтительными примерами являются этиламино, бутиламино, изопропиламино и подобные группы. Алкильный компонент может быть линейным, разветвленным, циклическим, замещенным, насыщенным или ненасыщенным.
Используемый в данном описании термин “алкилсульфанил” обозначает тиольный радикал, в котором атом водорода у атома серы заменен на алкил. Предпочтительными примерами являются этилсульфанил, бутилсульфанил, изопропилсульфанил и подобные группы. Алкильный компонент может быть линейным, разветвленным, циклическим, замещенным, насыщенным или ненасыщенным. Используемый в данном описании термин “алкокси” обозначает гидроксирадикал, в котором атом водорода у атома кислорода заменен на алкил. Предпочтительными примерами являются этокси, бутокси, бензилокси и т.п. Алкильный компонент может быть линейным, разветвленным, циклическим, замещенным, насыщенным или ненасыщенным.
Используемый в данном описании термин “гетероцикл(ы)” обозначает циклические системы, предпочтительно, 3-7-членные, которые являются насыщенными или ненасыщенными и неароматическими. Они могут быть замещенными или незамещенными и присоединяются к другим частям молекулы через любую доступную валентность, предпочтительно – любую доступную валентность углерода или азота. Более предпочтительными являются 5- или 6-членные гетероциклы. В шестичленных моноциклических гетероциклах гетероатомом(ами) является(ются) один-три атома О, S или N, и когда гетероцикл является пятичленным, предпочтительно, он содержит один или два гетероатома, выбранные из О, N или S.
Используемый в данном описании термин “гетероциклил” обозначает радикал гетероцикла. Такие радикалы могут быть замещенными или незамещенными и присоединяются к другим частям молекулы через любую доступную валентность, предпочтительно – любую доступную валентность углерода или азота.
Используемый в данном описании термин “сульфамидо” обозначает группу алкил-N-S(O)2N-, арил-NS(O)2N- или гетероциклил-NS(O)2N-, где алкильная, арильная или гетероциклильная группа имеют значения, указанные выше.
Используемый в данном описании термин “сульфонамидо” обозначает группу алкил-S(O)2N-, арил-S(O)2N- или гетероциклил-S(O)2N-, где алкильная, арильная или гетероциклильная группа имеют значения, указанные выше.
Используемый в данном описании термин “уреидо” обозначает группу алкил-NCON-, арил-NCON- или гетероциклил-NCON-, где алкильная, арильная или гетероциклильная группа имеют значения, указанные выше.
Заместитель, называемый в данном описании радикалом, может образовывать цикл с другим радикалом данного описания. Когда такие радикалы объединяются, специалисту будет понятно, что в таком случае незанятых валентностей нет, но что специфические замещения, например, связи для водорода, имеют место. Следовательно, некоторые радикалы можно описывать как образующие циклы совместно. Специалисту будет понятно, что такие циклы могут образовываться и легко образуются обычными химическими реакциями и в пределах компетенции специалиста как в части представлений о таких циклах, так и в части способов их образования. Предпочтительными являются 3-7-членные циклы, предпочтительнее – 5- или 6-членные. Соединения, описанные в данном описании, могут включать циклические структуры, такие как цикл R1 и R2. В этом отношении специалисту известно, что такой способ описания обычен в химии лечебных препаратов, хотя не может точно отразить путь химического синтеза. Используемый в данном описании термин “цикл” или “кольцо”, когда они образуются объединением двух радикалов, относится к гетероциклическим или карбоциклическим радикалам, и такие радикалы могут быть насыщенными, ненасыщенными или ароматическими. Например, предпочтительные гетероциклические кольцевые системы включают гетероциклические кольца, такие как морфолинил, пиперидинил, имидазолил, пирролидинил и пиридил.
Специалисту в данной области техники будет понятно, что радикал формулы

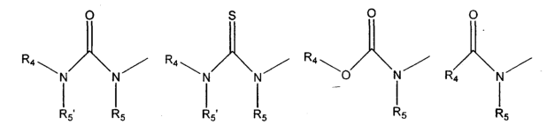
представляет ряд различных функциональностей. Предпочтительными соединениями с функциональностями, представленными такой структурой, являются амиды, мочевины, тиомочевины, карбаматы, сложные эфиры, сложные тиоэфиры, амидины, кетоны, оксимы, нитроолефины, гидроксигуанидины и гуанидины. Более предпочтительными соединениями с такими функциональностями являются мочевины, тиомочевины, амиды и карбаматы.
Специалисту в данной области техники будет понятно, что некоторые структуры, описанные в данном описании, могут являться резонансными формами или таутомерами соединений, которые могут быть в известной степени представлены другими химическими структурами. Специалисту понятно, что такие структуры входят в объем данного изобретения, хотя резонансные формы или таутомеры в данном описании не представлены. Например, структуры
ясно представляют одни и те же соединения, и ссылка на одну из них ясно предполагает другую. Кроме того, соединения данного изобретения можно получить в виде пролекарств, примерами которых являются

где R представляет собой группу (или связь), удаляемую в ходе биологических процессов. Поэтому данное изобретение также относится к соединениям, получаемым в виде пролекарств, способных к биологическому гидролизу, как это понимается в технике. “Пролекарство” в данном описании представляет собой любое соединение, которое под воздействием биологических процессов в организме претерпевает гидролиз, метаболизм, дериватизируется или претерпевает подобное с образованием активного вещества, обладающего нужной активностью. Специалисту в данной области техники будет понятно, что пролекарства могут иметь или не иметь какую-либо активность как пролекарства. Целью являются пролекарства, описанные в данном описании, не оказывающие вредного действия на субъекта, которого лечат, когда вводятся в безопасных и эффективных количествах. К ним относятся, например, способные к биологическому гидролизу амиды и сложные эфиры. “Амид, способный к биологическому гидролизу” представляет собой амид, который, по существу, не влияет на активность соединения, или который легко конвертируется in vivo клеткой, тканью или организмом человека, млекопитающиго или другого животного с образованием активного соединения изобретения. “Эфиром, способным к биологическому гидролизу” называют сложный эфир изобретения, который, по существу, не влияет на активность таких соединений, или который легко конвертируется организмом животного с образованием активного соединения формулы (I). Такие способные к биологическому гидролизу пролекарства известны специалистам в данной области техники и реализованы в соответствии с регулирующими руководствами.
Соединения и композиции данного изобретения также предполагают применение фармацевтически приемлемых солей – катионных или анионных. “Фармацевтически приемлемая соль” представляет собой анионную соль, образованную любой кислотной (например, карбоксильной) группой или катионную соль, образованную любой основной (например, амино) группой. Многие такие соли известны в технике, например, описанные в публикации WPP 87/05297, Johnston et al., опубликованной 11 сентября 1987 (включенной в данное описание в качестве ссылки). Предпочтительные противоионы солей, которые могут образовываться по кислотным группам, могут включать катионы солей, таких как соли щелочных металлов (например, натрия и калия) и щелочноземельных металлов (например, магния и кальция) и органических солей. Предпочтительные противоионы солей, которые могут образовываться по щелочным группам, могут включать анионы солей, таких как галогениды (например, хлориды). Конечно, специалист в данной области техники понимает, что можно использовать многие и разные соли, и в литературе имеются примеры и органических, и неорганических солей, полезных в данном случае.
Для всех соединений изобретения, которые могут содержать один или несколько стереогенных центров, “оптический изомер”, “стереоизомер”, “энантиомер”, “диастереомер”, упоминаемые в данном описании, имеют обычные значения, известные в технике (ср. Hawleys Condensed Chemical Dictionary, 11th Ed.), и включены в заявляемые соединения как рацематы или их оптические изомеры энантиомеры и диастереомеры.
Подобным образом, для всех соединений изобретения, которые могут существовать в виде “региоизомеров”, а именно, соединений формулы I, имеющих несколько относительных ориентаций гетеро-атомов в цикле С, такое название изомеров имеет обычное принятое в технике значение (ср. Hawleys Condensed Chemical Dictionary, 11th Ed.), и включены в заявляемые соединения.
Используемый в данном описании термин “Обменные заболевания” (болезнь метаболизма) обозначает группу идентифицированных расстройств, при которых имеют место нарушения метаболизма, дисбаланс в метаболизме или недостаточный метаболизм. В данном описании к болезням метаболизма также относится болезнь, которую можно лечить через модуляцию метаболизма, хотя сама болезнь может быть или не быть вызвана специфическими нарушениями метаболизма. Предпочтительно, такая болезнь метаболизма захватывает каскад реакций окисления глюкозы и жирных кислот. Предпочтительнее, такая болезнь метаболизма захватывает MCD или модулируется содержанием малонил-СоА, и называется в данном случае “расстройством, связанным с MCD или МСА”.
Получение соединений изобретения
Исходные вещества, используемые при получении соединений изобретения, известны, получаются известными способами или доступны коммерчески. Для специалиста в данной области техники будет очевидно, что способы получения предшественников и соединений, функционально родственных соединениям, заявляемым в данном изобретении, как правило, описываются в литературе. Специалист в данной области техники, имеющий литературу и данное описание, будет иметь все необходимое для получения любого из заявляемых соединений.
Понятно, что специалист в области органической химии может легко осуществить операции без дополнительных указаний, т.е., специалист компетентен в теории и на практике для осуществления таких манипуляций. К ним относятся восстановление карбонильных соединений до их соответствующих спиртов, восстановительное алкилирование аминов, окисление, ацилирование, ароматическое замещение как электрофильное, так и нуклеофильное, получение простых и сложных эфиров, омыление и подобные взаимодействия. Такие манипуляции описываются в классических трудах, таких как March, Advanced Organic Chemistry (Wiley); Carey and Sundberg, Advanced Organic Chemistry, и подобных работах.
Специалисту в данной области техники будет легко представить, что некоторые взаимодействия лучше всего осуществлять, когда другие функциональные группы в молекуле экранированы (маскированы) или защищены, причем таким образом можно избежать нежелательных побочных реакций и/или повысить выход реакции. Часто специалисты в данной области техники используют защитные группы для достижения таких повышенных выходов или для того, чтобы избежать нежелательных реакций. Такие реакции описываются в литературе и также входят в компетенцию специалистов. Примеры многих из подобных манипуляций можно найти, например, в T. Greene and P. Wuts, Protecting Groups in Organic Synthesis, 2nd Ed., John Wiley & Sons (1991).
Приведенные далее схемы примеров даются как руководство для читателя и представляют предпочтительные способы получения соединений, примеры которых приводятся в данном описании. Указанные способы не являются ограничительными, и следует иметь в виду, что можно использовать другие пути для получения указанных соединений. Такие способы включают, конкретно, химические синтезы в твердой фазе, включая комбинаторную химию. Специалисту для получения указанных соединений достаточно указанных способов, описанных в литературе, и данного описания.

Как видно на схеме 1, амино-2-меркаптобензотиазол(ы) 1, который(е) коммерчески доступен(ны) или легко получают с использованием известных способов, конденсируют с альдегидами или кетонами и восстанавливают цианоборогидридом натрия, и получают соответствующий(е) N-алкиланилин(ы) 2. Затем соединение(я) 2 превращают в соответствущую(ие) мочевину(ы) или тиомочевину(ы) (3, R13 = алифатический, ароматический, гетероциклил или гетероарил), амиды (4, R13 = алифатический, ароматический, гетероциклил или гетероарил), сульфонамиды (5, R13 = алифатический, ароматический, гетероциклил или гетероарил) или карбаматы (6, R13 = алифатический, ароматический, гетероциклил или гетеро- арил), в описанных условиях реакции.
Как видно на схеме 2, аналоги тиогидантоина (7) получают непосредственной обработкой 1 различными изоцианатными эфирами аминокислот (R9 = алкил, арил, гетероциклил) в горячем пиридине.

Пиримидиновый(е) и пиридиновый(е) каркасы 10 получают так, как показано на схеме 3. Повторное замещение атомов хлора в 8 (которое доступно коммерчески или легко синтезируется с использованием известных способов) с помощью диэтилдитиокарбамата натрия и первичного амина (R4NH2), соответственно, дает промежуточное(ые) соединение(я) 9, которое(ые) после восстановления/тиолиза основным сульфидом натрия и конденсации с калиевой солью ксантановой кислоты дает(ют) 10.

Специалисту в данной области техники понятно, что соедиения, такие как 10, используют так же, как соединение(я) 1, описанное(ые) выше, для получения соединений настоящего изобретения. Специалисту также понятно применение подобных пиримидинов и пиридинов (т.е., их региоизомеров), описанных здесь, подобно соединениям 1, для получения соединений, описанных в данном изобретении. Другие соединения, описанные в настоящем изобретении, получают аналогично описанию в Arrehenius, Chen et al., заявки СН010-01.РСТ, СН010-02.РСТ и СН011-01.РСТ, зарегистрированы 12 янв. 2002, включено в данное описание в качестве ссылок.
Биологическая активность
Анализ ингибирования MCD in vitro
Спектрофотометрический способ анализа для определения активности малонил-СоА-декарбоксилазы, описанный в литературе, адаптируют и модифицируют для анализа ингибирования MCD-активности в высокопроизводительном формате (Kolattukudy et al., Methods in Enzymology, 71:150 (1981)). В лунки 96-луночного титрационного планшета добавляют следующие реагенты: буфер трис-HCl – 20 мкл; DTE – 10 мкл; l-малат – 20 мкл; NAD – 10 мкл; NADH – 25 мкл; вода – 80 мкл; яблочная дегидрогеназа – 5 мкл. Содержимое смешивают и инкубируют в течение 2 мин, и затем добавляют 5 мкл цитрат-синтазы. Добавляют соединение и затем 5 мкл малонил-СоА-декарбоксилазы, полученной из сердца крысы, и 20 мкл малонил-СоА. Содержимое инкубируют, и измеряют поглощение при 460 нм.
Активные соединения характеризуют концентрацией соединения, вызывающей 50% инигбирование активности MCD (IC50). Предпочтительные соединения имеют величину IC50 менее 10 мкМ. Наиболее предпочтительные соединения имеют величину IC50 менее 100 нМ (см. табл.1).
Таблица 1 IC50 ингибиторов MCD |
| Соединение |
IC50 (мкМ) |
| Табл.3, № пп 1 |
0,031 |
| Табл.3, № пп 3 |
0,093 |
| Табл.3, № пп 16 |
0,023 |
| Табл.3, № пп 17 |
0,042 |
| Табл.4, № пп 4 |
0,075 |
| Табл.4, № пп 6 |
1,604 |
| Табл.7, № пп 1 |
0,062 |
| Табл.7, № пп 8 |
0,052 |
| Табл.8, № пп 1 |
0,098 |
| Табл.8, № пп 7 |
0,025 |
Измерение окисления глюкозы и окисления жирных кислот в перфузированном сердце крысы
Изолированные работающие сердца самцов крыс Sprague-Dawley подвергают 60-минутной аэробной перфузии модифицированным раствором Кребса-Хенселейта, содержащим 5 ммоль/л глюкозы; 100 мкЕ/мл инсулина; 3% BAS и 1,2 ммоль/л пальмитата. Работающие сердца используют при таких исследованиях для приближения к метаболическим потребностям сердца, наблюдаемым in vivo (Kantor et al., Circulation Research, 86:580-588 (2000)). Испытываемое соединение добавляют 5 минут в период перфузии.
Степени окисления глюкозы определяют, собирая количественно 14СО2, продуцированный перфузированными сердцами с буфером, содержащим [U14]-глюкозу. Степени окисления жирных кислот определяют, собирая количественно 14СО2, продуцированный перфузированными сердцами с буфером, содержащим [14С]пальмитат (McNeill J.H., в “Measurment of cardiovascular function”, chapter 2, CRC press, New York (1997)).
Активные соединения характеризуются усилением окисления глюкозы при сравнении с контрольным экспериментом (ДМСО). Соединения, вызывающие статистически значимое усиление окисления глюкозы, считаются активными. Предпочтительные соединения вызывают статистически значимое усиление окисления глюкозы при 20 мкМ. Статистическую значимость можно вычислить с использованием критерия Стъюдента для парных и непарных образцов, соответственно. Результаты с Р<0,05 рассматриваются как статистически значимые.
ПРИМЕРЫ
Для дополнительного пояснения данного изобретения далее приводятся примеры. Примеры не следует истолковывать как конкретно ограничивающие изобретение. Вариации таких примеров в объеме формулы изобретения находятся в компетенции специалистов в данной области техники и рассматриваются как попадающие в объем описанного изобретения и заявленные. Читателю будет понятно, что специалист в данной области техники, руководствующийся настоящим описанием и работающий в данной области, может получить и применить соединение изобретения без исчерпывающих примеров.
Товарные знаки, используемые в описании, приведены только как примеры и отражают иллюстративные материалы на момент создания изобретения. Специалистам в данной области техники будет понятно, что предполагаются возможные изменения партии, способов получения и т.п. Следовательно, примеры и используемые в них торговые знаки не являются ограничительными, и они не предназначаются для ограничения, но являются только иллюстрацией того, как специалист может выбрать и осуществить один или несколько вариантов воплощения изобретения.
Спектры 1Н ядерного магнитного резонанса (ЯМР) измеряют в CDCl3 или других растворителях, указанных для ЯМР-спектрометра Varian (Unity Plus 400, 400 МГц для 1Н), если нет иных указаний, и положения пиков выражаются в химсдвиге в миллионных долях (м.д.) относительно тетраметилсилана. Формы пиков обозначают следующим образом: с – синглет; д – дублет; т – триплет; к – квартет; м – мультиплет.
Используемые аббревиатуры имеют следующие значения:
Ас – ацетил,
Bn – бензил,
Bz – бензоил,
CDI – карбонилдиимидазол,
CH2Cl2 – дихлорметан,
DIBAL – гидрид диизобутилалюминия,
DMAP – 4-(диметиламино)пиридин,
ДМФА – N,N-диметилформамид,
ДМСО – диметилсульфоксид,
EDCI или ЕСАС – гидрохлорид 1-[3-(диметиламино)пропил]-3-этилкарбодиимида,
ESIMS – масс-спектрометрия с ионизацией электронным распылением,
Et3N – триэтиламин,
EtOAc – этилацетат,
НМТА – гексаметилентетрамин,
LDA – диизопропиламид лития,
LHDMS – бис(триметилсилил)амид лития,
MgSO4 – сульфат магния,
NaH – гидрид натрия,
NBS – N-бромсукцинимид,
NCS – N-хлорсукцинимид,
NH4Cl – хлорид аммония,
Ph – фенил,
Py – пиридинил,
r.t. – комнатная температура,
ТФК – трифторуксусная кислота,
ТГФ – тетрагидрофуран,
ТСХ – тонкослойная хроматография,
Tf2O – ангидрид трифторметансульфокислоты;
аббревиатуры алкильных групп:
Ме – метил,
Et – этил,
н-Pr – нормальный пропил,
изо-Pr – изопропил,
н-Bu – нормальный бутил,
изо-Bu – изобутил,
трет-Bu – третичный бутил,
втор-Bu – вторичный бутил,
с-Нех – циклогексил.
Таблица 2 Получение N-алкилбензотиазолов |
 |
| № пп |
R8 |
| 1 |
изобутил |
| 2 |
4-пиридил-2-илметил |
| 3 |
2-бензилоксиэтил |
| 4 |
4-тиазол-2-илметил |
| 5 |
изопропил |
| 6 |
карбоксиметил |
| 7 |
-СН2(5-метилтиофен) |
Пример процедуры синтеза N-алкилбензотиазолов

6-[(2-Метилпропил)амино]-1,3-бензотиазол-2-тиол (табл.2, № пп 1)
В 500-мл круглодонную колбу загружают 6-амино-1,3-бензотиазол-2-тиол (5,0 г, 0,03 моль), гексаналь (3,0 г, 0,03 моль), метанол (250 мл), ледяную уксусную кислоту (2,5 мл), воду (1 мл) и NaCNBH3 (1,9 г, 0,03 моль). Смесь перемешивают в течение 4 час, фильтруют, и фильтрат концентрируют, и получают светло-желтое твердое вещество. Твердое вещество промывают водой и обрабатывают диэтиловым эфиром, и получают 4,0 г (61%) названного в заголовке соединения. 1Н ЯМР (ДМСО-d6) = 0,88 (т, 6Н), 1,79 (м, 1Н), 2,77 (т, 2Н), 6,64 (д, 1Н), 6,72 (с, 1Н), 6,99 (д, 2Н); ESIMS: m/z 239 (M-Н).
Таблица 3 Получение бензотиазолуреидосоединений |
 |
| № пп |
R8 |
R13 |
| 1 |
изобутил |
4-(трифторметил)фенил |
| 2 |
изобутил |
4-бромфенил |
| 3 |
изобутил |
4-цианофенил |
| 4 |
изобутил |
4-пиридин-3-ил |
| 5 |
4-пиридин-2-ил |
4-бромфенил |
| 6 |
4-пиридин-2-ил |
4-(трифторметил)фенил |
| 7 |
4-пиридин-2-ил |
2-хлорэтил |
| 8 |
-СН2(5-метилтиофен) |
4-бромфенил |
| 9 |
-СН2(5-метилтиофен) |
4-(трифторметил)фенил |
| 10 |
2-бензилоксиэтил |
4-бромфенил |
| 11 |
2-бензилоксиэтил |
4-(трифторметил)фенил |
| 12 |
4-тиазол-2-илметил |
2-хлорэтил |
| 13 |
4-тиазол-2-илметил |
4-(трифторметил)фенил |
| 14 |
изопропил |
4-бутоксифенил |
| 15 |
изопропил |
4-цианометилфенил |
| 16 |
изопропил |
4-(трифторметил)фенил |
| 17 |
изопропил |
4-карбоксиметилфенил |
| 18 |
изопропил |
-(СН2)5СО2Et |
Пример процедуры синтеза бензотиазолуреидосоединений

N-(2-Меркапто-1,3-бензотиазол-6-ил)-N-(2-метилпропил)-N’-[4-(трифторметил)фенил]мочевина (табл.3, № пп 1)
В 50-мл круглодонную колбу загружают 6-[(2-метилпропил)амино]-1,3-бензотиазол-2-тиол (52,36 мг, 0,22 ммоль), дихлорметан (10 мл) и , , -трифтор-п-толилизоцианат (41,1 мг, 0,22 ммоль). Реакционную смесь перемешивают в течение 8 час, фильтруют, и полученное твердое вещество обрабатывают хлороформом, затем смесью хлороформ/метанол (смесь 9:1), и получают 60 мг (64%) названного в заголовке соединения. 1Н ЯМР (ДМСО-d6) = 0,84 (д, 6Н), 1,66 (м, 1Н), 3,49 (д, 2Н), 7,30 (с, 2Н), 7,50 (д, 2Н), 7,60 (д, 2Н), 7,71 (с, 1Н); ESIMS: m/z 424 (M-Н).
Таблица 4 Получение бензотиазолкарбамильных соединений |
 |
| № пп |
R8 |
R13 |
| 1 |
изобутил |
4-хлорфенил |
| 2 |
изобутил |
4-метоксифенил |
| 3 |
изобутил |
4-фторфенил |
| 4 |
изопропил |
4-хлорфенил |
| 5 |
изопропил |
2-метоксиэтил |
| 6 |
изопропил |
2-бензилоксиэтил |
Пример процедуры синтеза бензотиазолкарбамильных соединений

4-Хлорфенил-2-меркапто-1,3-бензотиазол-6-ил(метилпропил)карбамат (табл.4, № пп 1)
В 50-мл круглодонную колбу загружают 6-[(2-метилпропил)амино]-1,3-бензотиазол-2-тиол (100 мг, 0,42 ммоль), ацетон (10 мл), N,N-диизопропилэтиламин (54,2 мг, 0,42 ммоль) и 4-хлорфенилхлорформиат (78,8 мг, 0,42 ммоль). Реакционную смесь перемешивают в течение 10 час, фильтруют, и полученное твердое вещество обрабатывают диэтиловым эфиром, и получают 38 мг (48%) названного в заголовке соединения. 1Н ЯМР (ДМСО-d6) = 0,85 (д, 6Н), 1,70 (м, 1Н), 3,53 (ушс, 2Н), 7,12 (д, 2Н), 7,31 (д, 1Н), 7,41 (м, 3Н), 7,79 (с, 1Н); ESIMS: m/z 393 (M+Н).
Пример процедуры синтеза бензотиазолсульфонамидов

4-Фтор-N-изопропил-N-(2-меркаптобензотиазол-6-ил)бензолсульфонамид
В 50-мл круглодонную колбу загружают 6-[(2-метилпропил)амино]-1,3-бензотиазол-2-тиол (200 мг, 0,89 ммоль), пиридин (10 мл) и 4-фторфенилсульфонилхлорид (208 мг, 1,07 ммоль). Реакционную смесь перемешивают в течение 1 часа и затем концентрируют. Полученное твердое вещество обрабатывают диэтиловым эфиром и затем очищают препаративной ТСХ (5% МеОН в CHCl3), и получают 11 мг (3%) названного в заголовке соединения. 1Н ЯМР (ДМСО-d6) = 0,90 (д, 6Н), 4,41 (м, 1Н), 6,91 (ушс, 1Н), 7,24 (ушс, 1Н), 7,41 (м, 3Н), 7,77 (м, 2Н), 13,9 (ушс, 1Н); ESIMS: m/z 381 (M-Н).
Таблица 5 Получение бензотиазолтиогидантоинов |
 |
| № пп |
R9 |
| 1 |
Н |
| 2 |
этил |
| 3 |
изопропил |
| 4 |
изобутил |
| 5 |
бензил |
| 6 |
2-метилсульфанилэтил |
Пример процедуры синтеза бензотиазолтиогидантоинов

3-(2-Меркапто-1,3-бензотиазол-6-ил)-2-тиоксоимидазолидин-4-он (табл.5, № пп 1)
Во флакон из пирекса® 13х100 мм с навинчивающейся крышкой загружают 6-амино-1,3-бензотиазол-2-тиол (108 мг, 0,59 ммоль), метил-2-изотиоцианатоацетат (94,8 мг, 0,72 ммоль) и пиридин (2 мл). Флакон продувают Ar, закрывают крышкой и встряхивают в сушильном шкафу при 60оС в течение 8 час. Раствор концентрируют, и остаток обрабатывают Et2O, и получают ржаво-коричневый порошок (59 мг, 35%). 1Н ЯМР (ДМСО-d6) = 4,27 (с, 2Н), 7,26 (д, 1Н), 7,35 (д, 1Н), 7,61 (с, 1Н), 10,40 (с, 1Н), 13,86 (ушс, 1Н); ESIMS: m/z 280 (M-Н); т.пл. >266оС.
Таблица 6 Получение 5-алкиламинотиазол[5,4-b]пиридин(или пиримидин)-2-тиола(ов) |
 |
| № пп |
z |
R5 |
| 1 |
СН |
изопропил |
| 2 |
СН |
этил |
| 3 |
СН |
Н |
| 4 |
N |
этил |
| 5 |
N |
изопропил |
Пример процедуры синтеза 5-алкиламинотиазол[5,4-b]пиридин-2-тиола(ов)

Получение 5-изопропиламинотиазол[5,4-b]пиридин-2-тиола (табл.6, № пп 1)
Стадия 1. В 1-л колбу загружают 2,6-дихлор-3-нитропиридин (15,01 г, 77,78 ммоль) и безводный ТГФ. Раствор охлаждают на водяной бане со льдом в течение 10 мин и дегазируют, откачивая и продувая Ar. Получают раствор диэтилдитиокарбамата натрия (19,34 г, 85,8 ммоль) в 275 мл ТГФ, и дегазируют его, и затем в течение 30 мин добавляют по каплям к раствору хлорпиридина. Раствор перемешивают при 0°С в течение 5 час и затем оставляют нагреваться до комнатной температуры. Растворитель выпаривают, темно-оранжевый остаток растворяют в EtOAc, и раствор промывают 3х водой и затем 1х раствором соли. Органическую фракцию сушат (MgSO4), фильтруют и концентрируют, и получают масло янтарного цвета. Очистка на флэш-колонке (SiO2-гель; 10% EtOAc/гексан) дает 17,3 г (73%) оранжевого масла (6-хлор-3-нитропиридин-2-иловый эфир диэтилдитиокарбаминовой кислоты).
Стадия 2. В 250-мл круглодонную колбу загружают продукт реакции, полученный на стадии 1 (12,38 г, 40,48 ммоль), К2СО3 (5,64 г, 40,8 ммоль) и ацетонитрил (100 мл). Добавляют изопропиламин (3,5 мл, 40,5 ммоль) в течение 5 мин, и раствор перемешивают в течение ночи. Реакционный раствор фильтруют через 2-см слой целита, концентрируют, остаток растворяют в EtOAc, и раствор промывают 3х 1 М лимонной кислотой и затем раствором соли. Органическую фракцию сушат (MgSO4), фильтруют и концентрируют, и получают оранжево-красное масло. Кристаллизация из смеси Et2O/гексан дает 12,3 г (92%) названного в заголовке соединения (9, Z = С, R5 = изопропил) в виде оранжевого кристаллического вещества. 1Н ЯМР (CDCl3) = 1,98 (д, 6Н), 1,24 (т, 3Н), 1,28 (т, 3Н), 3,81 (к, 2Н), 4,08 (к, 2Н), 5,08 (к, 1Н), 6,18 (д, 1Н), 8,19 (д, 1Н).
Стадия 3. В 250-мл круглодонную колбу загружают (9, Z = С, R5 = изопропил, 4,55 г, 13,8 ммоль) и EtOH (100 мл). Постепенно добавляют раствор NaOH (5,66 г, 141 ммоль) и Na2S (5,58 г, 71,5 ммоль) в 50 мл воды, и реакционную смесь кипятят с обратным холодильником в течение ночи в атмосфере Ar. Реакционную смесь нейтрализуют до рН 6 лимонной кислотой и затем концентрируют. Остаток растворяют в EtOAc, и слои разделяют. Водную фракцию экстрагируют 2х EtOAc, и объединенные органические фракции промывают раствором соли, затем сушат (MgSO4), фильтруют и концентрируют, и получают 3-амино-6-изопропиламинопиридин-2-тиол в виде коричневого слежавшегося вещества.
Стадия 4. В 250-мл круглодонную колбу, содержащую неочищенный продукт реакции, полученный на стадии 3 (13,8 ммоль), добавляют калиевую соль этилксантогеновой кислоты (3,42 г, 21,3 ммоль) и EtOH (100 мл). Реакционную смесь кипятят с обратным холодильником в течение 5 час в атмосфере Ar, затем охлаждают прибл. до 40оС и обесцвечивают активированным углем. Фильтрация через 2-см слой целита дает светло-коричневый остаток на фильтре, который растворяют в минимальном количестве воды, раствор подкисляют уксусной кислотой, и получают сырой продукт реакции в виде желтовато-коричневого твердого вещества. Фильтрация и промывка водой, а затем эфиром дают 2,55 г (82% от 9) 5-изопропиламинотиазол[5,4-b]пиридин-2-тиола (табл.6, № пп 1) в виде желтовато-коричневого порошка. 1Н ЯМР (ДМСО-d6) = 1,09 (д, 6Н), 3,90 (м, 1Н), 6,44 (д, 1Н), 6,74 (д, 1Н), 7,25 (д, 1Н), 13,36 (ушс, 1Н); ESIMS: m/z 224 (M-Н).
Таблица 7 Получение [5,4-b]пиридинуреидосоединений |
 |
| № пп |
R5 |
R4 |
| 1 |
этил |
4-бутоксифенил |
| 2 |
этил |
4-(трифторметил)фенил |
| 3 |
этил |
4-карбоксиметилфенил |
| 4 |
изопропил |
4-гексилоксифенил |
| 5 |
изопропил |
4-карбоксиметилфенил |
| 6 |
изопропил |
4-(1-оксоэтил)фенил |
| 7 |
изопропил |
изопропил 4-трет-бутоксифенил |
| 8 |
изопропил |
4-(трифторметил)фенил |
Пример процедуры синтеза [5,4-b]пиридинуреидосоединений

3-(4-Бутоксифенил)-1-этил-1-(2-меркаптотиазоло[5,4-b]пиридин-5-ил)мочевина (табл.7, № пп 1)
В реакционный флакон 13х100 мм из пирекса загружают 5-этиламинотиазоло[5,4-b]пиридин-2-тиол (105 мг, 0,49 ммоль), безводный пиридин (2 мл) и 4-бутоксифенилизоцианат (135 мкл, 0,74 ммоль). Реакционную смесь перемешивают в течение 3,5 час и затем концентрируют. Очистка препаративной ТСХ (40% EtOAc в гексане) дает 26 мг (13%) названного в заголовке соединения. 1Н ЯМР (ДМСО-d6) = 0,91 (т, 3Н), 1,10 (т, 3Н), 1,39 (м, 2Н), 1,61 (м, 2Н), 3,91 (м, 1Н), 6,80 (д, 2Н), 7,30 (м, 3Н), 7,99 (ушд, 1Н), 9,43 (с, 1Н); ESIMS: m/z 401 (M-Н); т.пл. 134,3-135оС.

Таблица 8 Получение [5,4-b]пиридинамидов |
| № пп |
R5 |
R4 |
| 1 |
этил |
феноксиметил |
| 2 |
этил |
бензил |
| 3 |
этил |
4-бутоксифенил |
| 4 |
этил |
4-гексилоксифенил |
| 5 |
этил |
пиридин-4-ил |
| 6 |
изопропил |
3-метилбутил |
| 7 |
изопропил |
4-(трифторметил)фенил |
| 8 |
изопропил |
4-хлорфенил |
Пример процедуры синтеза [5,4-b]пиридинамидов

N-Этил-N-(2-меркаптотиазоло[5,4-b]пиридин-5-ил)-2-феноксиацетамид (табл.8, № пп 1)
В реакционный флакон 13х100 мм из пирекса загружают 5-этиламинотиазоло[5,4-b]пиридин-2-тиол (99 мг, 0,47 ммоль), безводный пиридин (1,5 мл) и 4-бутоксифенилизоцианат (100 мкл, 0,72 ммоль). Реакционную смесь перемешивают в течение 2,5 час и затем концентрируют. Очистка препаративной ТСХ (40% EtOAc в гексане) дает 36 мг (22%) названного в заголовке соединения. 1Н ЯМР (ДМСО-d6) = 1,02 (т, 3Н), 3,73 (м, 2Н), 6,70 (д, 2Н), 6,86 (т, 1Н), 7,19 (т, 2Н), 7,29 (д, 1Н), 7,59 (ушд, 1Н); ESIMS: m/z 344 (M-Н); т.пл. 107,5-109,0оС.

Пример процедуры синтеза [5,4-b]пиридинкарбамильных соединений
В 1,5-мл СВЧ-реактор загружают 5-изопропиламинотиазоло[5,4-b]пиридин-2-тиол (50 мг, 0,22 ммоль), безводный пиридин (1,5 мл) и 4-хлорфенилхлорформиат (40 мкл, 0,29 ммоль). Реакционную смесь греют СВЧ при 120оС в течение 15 мин и затем концентрируют. Очистка препаративной ТСХ (40% EtOAc в гексане) дает 10,2 мг (12%) названного в заголовке соединения. 1Н ЯМР (ДМСО-d6) = 1,21 (д, 6Н), 4,42 (м, 1Н), 7,17 (д, 2Н), 7,39 (д, 2Н), 7,70 (д, 1Н), 8,39 (д, 1Н); ESIMS: m/z 378 (M-Н).
Все ссылки, указанные в данном описании, включены в него в качестве ссылок, например, в качестве ссылок включены все цитированные патенты, заявки на патент и публикации.
Модификация описанных вариантов воплощения изобретения под силу специалистам в данной области техники с учетом указаний, приведенных в описании, и состояния техники.
Хотя описаны определенные варианты воплощения данного изобретения, специалистам в данной области техники следует иметь в виду, что различные изменения и модификации данного изобретения можно осуществить без отхода от сущности и объема изобретения. Предполагается, что все такие модификации в объеме данного изобретения охватываются формулой изобретения. Поэтому вышеизложенное описание рассматривается как достаточное для того, чтобы дать возможность специалисту в данной области техники осуществить изобретение на практике. Действительно, подразумевается, что различные модификации описанных выше работ для осуществления изобретения, очевидные для специалистов в области молекулярной биологии, химии, медицины, фармации или родственных областях, охватываются приведенной далее формулой изобретения.
Формула изобретения
1. Соединение, выбранное из группы, включающей соединения формул

где Y представляет собой S;
C представляет собой замещенное моноциклическое 5-7-членное кольцо, содержащее один атом азота;
R1 и R2 являются разными, и каждый представляет собой водород, (С1-С12)-алкиламино или группу формулы

где Х представляет собой O;
L представляет собой -NR5-, -O-, -СН2– или связь;
Q представляет собой -NR5-; и
R4 выбран из замещенного (С1-С12)-алкила, замещенного арила, где указанные заместители независимо выбраны из R9, определенного ниже;
R5 представляет собой водород или прямой или разветвленный (С1-С12)-алкил;
R6 находится или в 5-м, или в 6-м положении структуры II и выбран из (С1-С12)-алкиламино, -NR8P(O)(R5)2 и одной из следующих групп формул:

где Х представляет собой O;
L представляет собой -NR5-, -O-, -СН2– или связь;
R8 представляет собой разветвленный (С3-С12)-алкил;
R13 представляет собой замещенный (С2-С12)-алкил или п-R9-замещенный фенил,
где заместитель R9 выбран из водорода, галогена, циано, -CF3, -О-арила, (С1-С12)-алкокси, замещенного (С1-С12)-алкокси и карбокси(С1-С12)-алкила;
В представляет собой связь;
n равно единице или двум;
кольцо Е представляет собой замещенное 5-членное азотсодержащее гетероароматическое кольцо;
R7 представляет собой водород;
его соответствующие энантиомеры, диастереоизомеры или таутомеры, или фармацевтически приемлемая соль.
2. Соединение по п.1, где цикл С представляет собой пиридин.
3. Соединение по п.2, где R1 и R2 присоединены в положениях 5 или 6 в соответствии с нумерацией в цикле, указанной для структуры II.
4. Соединение по п.3, где R1 присоединен в положении 6 в соответствии с нумерацией в цикле, указанной для структуры II.
5. Соединение по п.4, формулы

[5,4-b]пиридин,
где R1 представляет собой группу формулы

6. Соединение по п.5, где R1 выбран из групп, имеющих формулы

7. Производные [5,4-b]пиридина по п.6, выбранные из группы, в которую входят следующие амидопроизводные:
N-(2-меркапто[1,3]тиазоло[5,4-b]пиридин-5-ил)-N-(1-метилэтил)-4-(трифторметил)бензамид,
4-циано-N-(2-меркапто[1,3]тиазоло[5,4-b]пиридин-5-ил)-N-(1-метилэтил)бензамид,
N-(2-меркапто[1,3]тиазоло[5,4-b]пиридин-5-ил)-N-(2-метилпропил)-4-(трифторметил)бензамид,
4-циано-N-(2-меркапто[1,3]тиазоло[5,4-b]пиридин-5-ил)-N-(2-метилпропил)бензамид,
N-этил-N-(2-меркапто[1,3]тиазоло[5,4-b]пиридин-5-ил)-4-(трифторметил)бензамид,
4-циано-N-этил-N-(2-меркапто[1,3]тиазоло[5,4-b]пиридин-5-ил)бензамид,
N-(2-меркапто[1,3]тиазоло[5,4-b]пиридин-5-ил)-N-метил-4-(трифторметил)бензамид,
4-циано-N-(2-меркапто[1,3]тиазоло[5,4-b]пиридин-5-ил)-N-метилбензамид.
8. Производные [5,4-b]пиридина по п.6, выбранные из группы, включающей следующие уреидосоединения:
N-(2-меркапто[1,3]тиазоло[5,4-b]пиридин-5-ил)-N-(1-метилэтил)-N’-[4-(трифторметил)фенил]мочевина,
N’-(4-цианофенил)-N-(2-меркапто[1,3]тиазоло[5,4-b]пиридин-5-ил)-N-(1-метилэтил)мочевина,
N-(2-меркапто[1,3]тиазоло[5,4-b]пиридин-5-ил)-N-(2-метилпропил)-N’-[4-(трифторметил)фенил]мочевина,
N’-(4-цианофенил)-N-(2-меркапто[1,3]тиазоло[5,4-b]пиридин-5-ил)-N-(2-метилпропил)мочевина
N-этил-N-(2-меркапто[1,3]тиазоло[5,4-b]пиридин-5-ил)-N’-[4-(трифторметил)фенил]мочевина,
N’-(4-цианофенил)-N-этил-N-(2-меркапто[1,3]тиазоло[5,4-b]пиридин-5-ил)мочевина,
N-(2-меркапто[1,3]тиазоло[5,4-b]пиридин-5-ил)-N-метил-N’-[4-(трифторметил)фенил]мочевина,
N’-(4-цианофенил)-N-(2-меркапто[1,3]тиазоло[5,4-b]пиридин-5-ил)-N-метилмочевина.
9. Производные [5,4-b]пиридина по п.6, выбранные из группы, включающей следующие карбамильные соединения:
4-(трифторметил)фенил-2-меркапто[1,3]тиазоло[5,4-b]пиридин-5-ил(1-метилэтил)карбамат,
4-хлорфенил-2-меркапто[1,3]тиазоло[5,4-b]пиридин-5-ил(1-метилэтил)карбамат,
4-цианофенил-2-меркапто[1,3]тиазоло[5,4-b]пиридин-5-ил(1-метилэтил)карбамат,
4-(трифторметил)фенил-2-меркапто[1,3]тиазоло[5,4-b]пиридин-5-ил)(2-метилпропил)карбамат
4-хлорфенил-2-меркапто[1,3]тиазоло[5,4-b]пиридин-5-ил(2-метилпропил)карбамат,
4-цианофенил-2-меркапто[1,3]тиазоло[5,4-b]пиридин-5-ил(2-метилпропил)карбамат
4-хлорфенилэтил(2-меркапто[1,3]тиазоло[5,4-b]пиридин-5-ил)карбамат
4-цианофенилэтил(2-меркапто[1,3]тиазоло[5,4-b]пиридин-5-ил)карбамат
4-(трифторметил)фенил-2-меркапто[1,3]тиазоло[5,4-b]пиридин-5-ил(метил)карбамат,
4-хлорфенил-2-меркапто[1,3]тиазоло[5,4-b]пиридин-5-ил(метил)карбамат.
10. Соединение по п.1, где R6 присоединен в положении 6, как указано в следующей структуре:

11. Соединение по п.10, где R6 выбран из группы, включающей радикалы, представленные формулами

где R8 представляет собой разветвленный (С3-С12)-алкил, и R13 представляет собой замещенный (С6-С12)-алкил или п-R9-замещенный фенил.
12. Соединение по п.11, где R9 представляет собой -CN, -CF3, (С2-С12)-алкокси или замещенный (С2-С12)-алкокси.
13. Соединение по п.11, где R8 представляет собой разветвленный (С3-С7)-алкил, и R13 представляет собой п-R9-замещенный фенил, где R9 представляет собой F, Cl, Br, I, -CN, -CF3, (С2-С12)-алкокси или замещенный (С2-С12)-алкокси.
14. Соединение по п.11, выбранное из группы, включающей следующие уреидопроизводные:
N-(2-меркапто-1,3-бензотиазол-6-ил)-N-(1-метилэтил)-N’-[4-(трифторметил)фенил]мочевина,
N’-(4-цианофенил)-N-(2-меркапто-1,3-бензотиазол-6-ил)-N-(1-метилэтил)мочевина,
N-(2-меркапто-1,3-бензотиазол-6-ил)-N-(2-метилпропил)-N’-[4-(трифторметил)фенил]мочевина,
N’-(4-цианофенил)-N-(2-меркапто-1,3-бензотиазол-6-ил)-N-(2-метилпропил)мочевина.
15. Соединение по п.11, выбранное из группы, включающей следующие карбамильные производные:
4-(трифторметил)фенил-2-меркапто-1,3-бензотиазол-6-ил(1-метилэтил)карбамат,
4-хлорфенил-2-меркапто-1,3-бензотиазол-6-ил(1-метилэтил)карбамат,
4-цианофенил-2-меркапто-1,3-бензотиазол-6-ил(1-метилэтил)карбамат,
4-(трифторметил)фенил-2-меркапто-1,3-бензотиазол-6-ил)(2-метилпропил)карбамат,
4-хлорфенил-2-меркапто-1,3-бензотиазол-6-ил(2-метилпропил)карбамат,
4-цианофенил-2-меркапто-1,3-бензотиазол-6-ил(2-метилпропил)карбамат.
16. Способ ингибирования малонил-СоА-декарбоксилазы в организме пациента, включающий введение терапевтически эффективного количества соединения по п.1.
17. Способ изменения метаболизма жирных кислот у пациента в сторону метаболизма углеводов, включающий введение терапевтически эффективного количества соединения по п.1.
18. Способ лечения заболеваний или синдромов, связанных с метаболизмом жирных кислот и глюкозы, путем повышения концентрации малонил-СоА в организме пациента, включающий введение терапевтически эффективного количества соединения по п.1.
19. Способ по п.18, где указанное заболевание представляет собой сердечно-сосудистое заболевание.
20. Способ по п.19, где указанное сердечно-сосудистое заболевание представляет собой застойную сердечную недостаточность.
21. Способ по п.19, где указанное заболевание представляет собой ишемическое сердечно-сосудистое заболевание.
22. Способ по п.18 для снятия стенокардии, являющейся результатом ишемического сердечно-сосудистого заболевания.
23. Способ по п.18, где указанное заболевание представляет собой диабет.
24. Способ по п.18, где указанное заболевание представляет собой ацидоз.
25. Способ по п.18, где указанное заболевание представляет собой ожирение.
26. Способ по п.18, где указанное заболевание представляет собой рак.
27. Фармацевтическая композиция, ингибирующая малонил-СоА-декарбоксилазы, для лечения связанных с метаболизмом жирных кислот и глюкозы заболеваний путем повышения концентрации СоА в организме пациента, содержащая терапевтически эффективное количество соединений по п.1 и фармацевтически приемлемый носитель.
MM4A – Досрочное прекращение действия патента СССР или патента Российской Федерации на изобретение из-за неуплаты в установленный срок пошлины за поддержание патента в силе
Дата прекращения действия патента: 20.02.2007
Извещение опубликовано: 27.07.2010 БИ: 21/2010
|
|