|
|
(21), (22) Заявка: 2002104935/04, 24.07.2000
(24) Дата начала отсчета срока действия патента:
24.07.2000
(30) Конвенционный приоритет:
27.07.1999 ES 9901694
(43) Дата публикации заявки: 27.09.2003
(45) Опубликовано: 20.08.2005
(56) Список документов, цитированных в отчете о поиске:
WO 9849166 А, 05.11.1998. ЕР 0463756 А, 02.01.1992. ЕР 0417790 А, 20.03.1991. ЕР 0149200 А, 24.07.1985. RU 95109100 C1, 27.12.1996. RU 2080322 С1, 27.05.1997.
(85) Дата перевода заявки PCT на национальную фазу:
27.02.2002
(86) Заявка PCT:
EP 00/07062 (24.07.2000)
(87) Публикация PCT:
WO 01/07441 (01.02.2001)
Адрес для переписки:
129010, Москва, ул. Б.Спасская, 25, стр.3, ООО “Юридическая фирма Городисский и Партнеры”, пат.пов. Е.Е.Назиной
|
(72) Автор(ы):
ГРАСИА ФЕРРЕР Хорди (ES), ФЕЙКСАС ГРАС Хоан (ES), ПРЬЕТО СОТО Хосе Мануэль (ES), ВЕГА НОВЕРОЛА Армандо (ES), ВИДАЛЬ ХУАН Бернат (ES)
(73) Патентообладатель(и):
АЛМИРАЛЬ ПРОДЕСФАРМА С.А. (ES)
|
(54) ПРОИЗВОДНЫЕ 8-ФЕНИЛ-6,9-ДИГИДРО[1,2,4]-ТРИАЗОЛО[3,4-i]ПУРИН-5-ОНА, СПОСОБЫ ИХ ПОЛУЧЕНИЯ, ПРОМЕЖУТОЧНЫЕ СОЕДИНЕНИЯ, ФАРМАЦЕВТИЧЕСКАЯ КОМПОЗИЦИЯ И СПОСОБ ЛЕЧЕНИЯ
(57) Реферат:
Описываются производные 8-фенил-6,9-дигидро[1,2,4]-триазоло[3,4-i]пурин-5-она общей формулы I

где R1 – водород; С1-4алкил, группа -СН2-R6, где R6 – фенил; R2 – С1-5алкил или группа -(CH2)n-R6, где n=1 или 2, а R6 – С1-4алкокси или пиридильная группа. R3 – С1-6алкил; R4 – водород или С1-4алкил, a R5 – (CH2)n-R7, где n=0-4, R7 – 3-7-членное кольцо, включающее 1-3 гетероатома, выбранных из N и О, С3-7циклоалкил или фенил, причем указанные группы могут быть замещены разными заместителями, или R4 и R5 независимо означают Н, С2-6алкинил или С1-6алкил, возможно замещенный, или R4 и R5 вместе с N образуют 4-7-членное кольцо с 1-2 гетероатомами, выбранными из N и О, возможно замещенное, или их фармацевтически приемлемые соли, способы получения этих соединений, промежуточные продукты, фармацевтическая композиция и способ лечения различных заболеваний, опосредованных активностью фосфодиэстеразы 5(ФДЭ5), ингибиторами которой описываемые соединения I являются. 9 н. и 11 з.п. ф-лы, 5 табл.
Изобретение относится к новым терапевтически полезным производным 8-фенил-6,9-дигидро[1,2,4]триазоло[3,4-i]пурин-5-она, способам их получения и содержащим их фармацевтическим композициям.
ЕП 0417790 относится к симм-триазоло[3,4-i]пуринам общей формулы

где Y=Z представляет

где R4 представляет водород, алкил, ароматическую гетероциклическую группу, которая, необязательно, замещена 1 или 2 заместителями, независимо, выбранными из C1-С6-алкила, C1-С6-алкокси и галогена, или замещенный или незамещенный арил; и X2 представляет кислород, серу или NH;
каждый из R1 и R2, независимо, представляет водород, алкил, циклоалкил, аралкил или замещенный или незамещенный арил;
R3 представляет алкил, циклоалкил, аралкил или замещенный или незамещенный арил;
X1 представляет кислород или серу;
представляет одинарную связь или двойную связь и замещенный или незамещенный арил означает арил, который, необязательно, замещен 1 или 2 заместителями, независимо, выбранными из C1-C6-алкила, трифторметила, гидроксила, C1-C6-алкоксила, C1-C6-алкилтио, нитро, галогена, амино, C1-C6-алкиламино, C1-C6-алканоиламино, ароиламина, карбоксила, C1-C6-алкоксикарбонила, C1-C6-алканоила и ароила; которые обладают бронхорасширяющей активностью, диуретической активностью, защищающей почки активностью и/или активностью против потери памяти.
Нами теперь обнаружено, что некоторые производные 8-(дизамещенный)фенил-6,9-дигидро[1,2,4]триазоло[3,4-i]пурин-5-она являются сильнодействующими и селективными ингибиторами специфичной для циклического гуанозин-3′,5′-монофосфата фосфодиэстеразы (цГМФ-специфичная ФДЭ), и более конкретно, ингибиторами фосфодиэстеразы 5 (ФДЭ 5), и являются полезными при лечении стенокардии, гипертензии, застойной сердечной недостаточности, удара, астмы, мужской эректильной дисфункции, женской половой дисфункции, глаукомы и синдрома раздраженной толстой кишки.
В соответствии с этим, настоящее изобретение предлагает соединения, которые являются производными 8-фенил-6,9-дигидро[1,2,4]триазоло[3,4-i]пурин-5-она формулы (I):

где
R1, R2 и R3, каждый независимо, представляют: водород; алкильную группу, которая является незамещенной или замещенной гидрокси, алкокси, алкилтио, амино, моно- или диалкиламино, гидроксикарбонильной, алкоксикарбонильной, ациламино, карбамоильной или алкилкарбамоильной группой; или группу формулы
-(СН2)n-R6
где n равно целому числу от 0 до 4 и R6 представляет циклоалкильную группу; фенильную группу, которая может быть незамещенной или замещенной одним или несколькими атомами галогена или алкильными, гидрокси, алкилендиокси, алкокси, амино, моно- или диалкиламино, нитро, циано или трифторметильными группами; или 3-7-членное кольцо, включающее от 1 до 4 гетероатомов, выбранных из азота, кислорода и серы, указанное кольцо может быть незамещенным или замещенным одним или несколькими атомами галогена или гидрокси, фенильными, алкоксикарбонильными, амино, моно- или диалкиламино или гидроксикарбонильными группами, или одной или несколькими алкильными группами, которые, в свою очередь, могут быть незамещенными или замещенными одним или несколькими атомами галогена или гидрокси, алкокси, гидроксиалкокси, фенильными, алкоксикарбонильными, амино, моно- или диалкиламино или гидроксикарбонильными группами;
либо R4 и R5 вместе с атомом азота, к которому они присоединены, образуют 3-7-членное кольцо, включающее всего от 1 до 4 гетероатомов, выбранных из азота, кислорода и серы, указанное кольцо может быть незамещенным или замещенным одним или несколькими атомами галогена или гидрокси, оксоалкильными, карбамоильными, гидроксикарбонильными, алкоксикарбонильными, трифторацетильными, амино-, моно- или диалкиламиногруппами, или алкиленовой группой, или одной или несколькими алкильными, алкенильными или алкинильными группами, которые, в свою очередь, могут быть незамещенными или замещенными одним или несколькими атомами галогена или гидрокси, алкокси, гидроксиалкокси, амино, моно- или диалкиламиногруппами, либо
R4 и R5, независимо, представляют водород, амидиногруппу или алкильную, алкенильную или алкинильную группу, которая может быть незамещенной или замещенной одним или несколькими атомами галогена или гидрокси, алкокси, алкилтио, амино-, моно- или диалкиламиногруппами, или
R4 представляет водород или алкильную группу и R5 представляет группу формулы
-(СН2)n-R7
где n равно целому числу от 0 до 4 и R7 представляет циклоалкильную группу, которая может быть незамещенной или замещенной одним или несколькими атомами галогена или алкильными, гидрокси, алкилендиокси, алкокси, амино, моно- или диалкиламино, алкиламидо, нитро, циано или трифторметильными группами; фенильную группу, которая может быть незамещенной или замещенной одним или несколькими атомами галогена или алкильными, гидрокси, алкилендиокси, алкокси, амино, моно- или диалкиламино, нитро, циано или трифторметильными группами; или 3-7-членное кольцо, включающее от 1 до 4 гетероатомов, выбранных из азота, кислорода и серы, указанное кольцо может быть незамещенным или замещенным одним или несколькими атомами галогена или гидрокси, алкокси, фенильными, алкоксикарбонильными, амино, моноалкиламино, диалкиламино или гидроксикарбонильными группами, или одной или несколькими алкильными группами, которые могут быть незамещенными или замещенными одним или несколькими атомами галогена или гидрокси, алкокси, гидроксиалкокси, фенильными, алкоксикарбонильными, амино, моно- или диалкиламино или гидроксикарбонильными группами;
и их фармацевтически приемлемые соли.
Алкильные группы и алкильные части, такие как части, присутствующие в алкокси, гидроксиалкокси, алкилкарбамоильных, моно- или диалкиламино, алкилтио, алкилендиокси, алкиламидо и алкоксикарбонильных группах, указанных в отношении групп от R1 до R7, обычно являются “низшим” алкилом, который содержит от 1 до 6, особенно, от 1 до 4 атомов углерода, причем углеводородная цепь является разветвленной или неразветвленной. Предпочтительные алкильные группы и, когда уместно, алкильные части, включают метил, этил, пропил, особенно, н-пропил и бутил, особенно, н-бутил. Алкенильные и алкинильные группы, указанные в отношении формулы (I), предпочтительно, имеют от 2 до 6 атомов углерода, наиболее предпочтительно, от 2 до 4 атомов углерода.
Когда алкильная, алкенильная или алкинильная группа, структура кольца или часть описана как замещенная одним или несколькими заместителями, это, предпочтительно, означает от 1 до 3 заместителей, более предпочтительно, один или два заместителя.
Циклоалкильные группы, указанные в отношении групп R6 и R7, представляют, предпочтительно, С3-10-циклоалкильные группы, более предпочтительно, С3-7-циклоалкильные группы, такие как циклопропильная, циклобутильная, циклопентильная, циклогексильная и циклогептильная группы. В соединениях изобретения, где циклоалкильная группа является замещенной, предпочтительные заместители включают ацетамидо- и моно- или диалкиламино, наиболее предпочтительно, моно- или диэтил-аминогруппы. Являющаяся заместителем группа может быть в любом замещаемом положении циклоалкильного кольца. Циклоалкильное кольцо, предпочтительно, является замещенным в 1-положении.
Атомы галогена, указанные в отношении групп от R4 до R7, являются, предпочтительно, атомами хлора или фтора.
Для соединений изобретения, где R1, R2 или R3 представляет группу формулы
-(CH2)nR6,
n может быть равно 0, 1, 2, 3 или 4, предпочтительно, 0, 1 или 2.
Для соединений изобретения, где R6 представляет 3-7-членное гетероциклическое кольцо, R6 может быть ненасыщенным или насыщенным и может представлять, например, пиперидильную, пирролидильную, азетидинильную, азиридинильную, пиперазинильную, морфолинильную, тиоморфолинильную, пирролильную, имидазолильную, имидазолидинильную, пиразолинильную, индолинильную, изоиндолинильную, пиридильную, пиразинильную, пиримидинильную, пиридазинильную, индолизинильную, изоиндолильную, индолильную, индазолильную, пуринильную, хинолизинильную, изохинолильную, хинолильную, фталазинильную, нафтиридинильную, хиноксалинильную, хиназолинильную, циннолинильную, птеридинильную, хинуклидинильную, триазолильную, пиразолильную, триазолильную, тетразолильную или тиенильную группу, которая может быть замещенной или незамещенной, как указано выше. В предпочтительных соединениях изобретения, где R1, R2 или R3 представляет группу формулы
-(CH2)nR6,
и где R6 представляет 3-7-членное гетероциклическое кольцо,
R6 представляет пиридильную, пиперидильную, пиперазинильную, морфолинильную, триазолильную или тетразолильную группу.
В предпочтительных соединениях изобретения R1 представляет водород; С1-С4-алкильную группу или группу формулы
-(CH2)nR6,
где n равно 0, 1 или 2 и R6 представляет фенил, пиридил или морфолинил. Наиболее предпочтительно, R1 представляет водород или метильную, этильную, пропильную, пиридильную, пиридилметильную, бензильную или N-морфолинилметильную группу.
В предпочтительных соединениях изобретения R2 представляет С1-С5-алкильную группу, особенно, С1-С4-алкильную группу; замещенную С1-С5-алкильную группу; С3-10-циклоалкильную группу или группу формулы
-(СН2)nR6,
где n равно 0, 1 или 2 и R6 представляет незамещенную или замещенную фенильную или пиридильную группу. Наиболее предпочтительно, R2 представляет этильную, пропильную, н-бутильную, изобутильную, н-пентильную, метоксиэтильную, замещенную или незамещенную бензильную или 3-пиридилметильную группу.
В предпочтительных соединениях изобретения R3 представляет С1-С4-алкильную группу; С3-10-циклоалкильную группу или группу формулы
-(СН2)nR6,
где n равно 0, 1 или 2 и R6 представляет незамещенную или замещенную фенильную или пиридильную группу. Наиболее предпочтительно, R3 представляет этильную, пропильную или н-бутильную группу.
Для соединений изобретения, где R4 и R5 вместе с атомом азота, к которому они присоединены, образуют 3-7-членное кольцо, включающее всего от 1 до 4 гетероатомов, кольцо может быть насыщенным или ненасыщенным и, предпочтительно, выбрано из пиперидильной, пирролидильной, азетидинильной, азиридильной, пиперазинильной, [1,4]диазепан-1-ильной, морфолинильной, тиоморфолинильной, пирролильной, пиразолильной, имидазолильной, имидазолидинильной, пиразолинильной, индолинильной или изоиндолинильной группы, причем указанная группа является незамещенной или замещенной, как указано выше. Должно быть понятно, что, когда заместителем является алкиленовая группа, она присоединена к гетероциклическому кольцу в любых двух замещаемых положениях, которые могут быть соседними или несоседними друг к другу. Когда замещаемые положения не являются соседними друг к другу, алкиленовая группа образует мостиковую группу. Алкиленовая группа, предпочтительно, имеет от 1 до 5 атомов углерода.
В предпочтительных соединениях изобретения кольцо, образованное R4, R5 и атомом азота, к которому они присоединены, является замещенной или незамещенной пиперидильной, пиперазинильной, [1,4]диазепан-1-ильной, морфолинильной, пиразолильной, азетидинильной, диаза-бицикло[2.2.1]гепт-2-ильной или гексагидропирроло[2,1-а]пиразинильной группой. Предпочтительными группами-заместителями являются С1-С4-алкильная, С2-С4-алкенильная, карбамоильная, амино, ди-С1-С4-алкиламино, (2-гидроксиэтил)метиламино, гидроксильная, 2,2,2-трифторэтаноильная, 2,2,2-трифторэтильная, формильная группы и гидроксиалкильные группы, алкоксиалкильные группы и гидроксиалкоксиалкильные группы, где алкильные части содержат от 1 до 4 атомов углерода. Наиболее предпочтительно, R4 и R5 вместе с атомом азота, к которому они присоединены, представляют 4-гидроксипиперидильную, 4-карбамоилпиперидильную, 3-карбамоил-пиперидильную, пиперазинильную, 4-метилпиперазинильную, 4-этилпиперазинильную, 4-формилпиперазинильную, [1,4]диазепан-1-ильную, 4-метил-[1,4]диазепан-1-ильную, 4-(2-гидроксиэтил)пиперазинильную, 4-[2-(2-гидроксиэтокси)этил]пиперазинильную, морфолинильную, аминопиразолильную, диаза-бицикло[2.2.1]гепт-2-ильную, 5-метилдиазабицикло[2.2.1]гепт-2-ильную, 5-(2-гидроксиэтил)диазабицикло[2.2.1]гепт-2-ильную, 3(S)-метилпиперазинильную, 3(R)-метилпиперазинильную, (3R,5S)-3,5-диметилпиперазинильную, (2R,5S)-2,5-диметилпиперазинильную, (2S,5R)-2,5-диметилпиперазинильную, 3-ди-метиламиноазетидинильную, 3-диметиламинометилазетидинильную, 4-аллилпиперазинильную, 4-пропилпиперазинильную, гексагидропирроло [1,2-а]пиразин-2-ильную, (3R,5S)-3,4,5-триметилпиперазинильную, 4-(2-метоксиэтил)пиперазинильную, 4-(2-гидроксиэтил)[1,4]диазепан-1-ильную, 4-(2-гидрокси-1-метил-этил)пиперазинильную, 4-(2-гидрокси-1,1-диметилэтил)пиперазинильную, 4-(2,2,2-трифторэтил)пиперазинильную, 4-(3-гидроксипропил)пиперазинильную, 4-(изопропил)пиперазинильную, 4-(2-этоксиэтил)пиперазинильную, 4-(2,2,2-трифторэтаноил)пиперазинильную, 3-гидроксиазетидинильную, 3-(2-гидроксиэтил)метил-аминоазетидинильную или 4-(2-гидроксиэтил)пиперидильную группу.
Для соединений изобретения, где R4 и R5, независимо, представляют водород, амидиногруппу или алкильную, алкенильную или алкинильную группу, которая может быть незамещенной или замещенной одной или несколькими гидрокси, алкокси, алкилтио, амино-, моно- или диалкиламиногруппами, R4 и R5, предпочтительно, представляют водород или С1-С4-алкильную группу, которая является незамещенной или замещенной гидрокси или диметиламиногруппой, пропилинильную группу или амидиногруппу, наиболее предпочтительно, R4 и R5, независимо, представляют водород или метильную, этильную, пропильную, гидроксиэтильную, диметиламиноэтильную, пропинильную, диметиламинопропильную или амидиногруппу.
Для соединений изобретения, где R4 представляет водород или алкил и R5 представляет группу формулы
-(CH2)nR7,
n может быть равно 0, 1, 2, 3 или 4, предпочтительно, 0, 1, 2 или 3.
Для соединений изобретения, где R7 представляет 3-7-членное гетероциклическое кольцо, R7 может быть ненасыщенным или насыщенным и может представлять, например, пиперидильную, пирролидильную, азетидинильную, азиридильную, пиперазинильную, морфолинильную, тиоморфолинильную, пирролильную, имидазолильную, имидазолидинильную, пиразолинильную, индолинильную, изоиндолинильную, пиридильную, пиразинильную, пиримидинильную, пиридазинильную, индолизинильную, изоиндолильную, индолильную, индазолильную, пуринильную, хинолизинильную, изохинолильную, хинолильную, фталазинильную, нафтиридинильную, хиноксалинильную, хиназолинильную, циннолинильную, птеридинильную, хинуклидинильную, триазолильную, пиразолильную, триазолильную, тетразолильную или тиенильную группу, которая может быть замещенной или незамещенной. R7 может, в альтернативном случае, представлять незамещенную или незамещенную циклоалкильную или фенильную группу, как указано выше.
В предпочтительных соединениях изобретения R4 представляет водород или С1-С4-алкильную группу и R5 представляет группу формулы
-(СН2)nR7,
n равно 0, 1, 2 или 3 и R7 представляет пиридильную, пиперидильную, пиперазинильную, морфолинильную, триазолильную, тетразолильную, пирролидинильную, 1-этил-аминоциклогекс-1-ильную, 1-диэтиламиноциклогекс-1-ильную, 1-этиламиноциклогепт-1-ильную, 1-диэтиламиноциклогепт-1-ильную, 3,4-диметоксифенильную, 1-метил-4-фенилпиперидин-4-ильную, имидазолильную, 1-метилпиперидин-4-ильную, тетрагидрофуранильную, 2,2,6,6-тетраметилпиперид-4-ильную, 4-гидроксипиперид-4-ильную, 1-ацетамидоциклогепт-1-ильную, 1-метил-3-азетидинильную или 4-метилпиперазин-1-ильную группу. Наиболее предпочтительными являются соединения, у которых R4 представляет водород или метильную или этильную группу и R5 представляет пиридильную, 1-морфолинилэтильную, 1-пиперидил-этильную, 1-морфолинилпропильную, 1-пирролидилэтильную, 1-этиламиноциклогексилметильную, 1-этиламиноциклогептил-метильную, 1-диэтиламиноциклогексилметильную, 1-диэтил-аминоциклогептилметильную, 2-(3,4-диметоксифенил)этильную, 1-метил-4-фенилпиперидин-4-илметильную, 1Н-[1,2,4]триазол-3-ильную, пиридин-4-илметильную, 2-пиридин-2-илэтильную, 3-имидазол-1-илпропильную, 1-метилпиперидин-4-ильную, тетра-гидрофуран-2-илметильную, 2,2,6,6-тетраметилпиперидин-4-илметильную, 1-ацетамидоциклогепт-1-илметильную, 1-метил-азетидин-3-ильную или 4-метилпиперазин-1-ильную группу.
Соединениями, представляющими большой интерес, являются:
6-этил-8-[5-(4-метилпиперазин-1-сульфонил)-2-пропоксифенил]-6,9-дигидро[1,2,4]триазоло[3,4-i]пурин-5-он,
8-[2-бутокси-5-(4-метилпиперазин-1-сульфонил)фенил]-6-этил-6,9-дигидро[1,2,4]триазоло[3,4-i]пурин-5-он,
8-[5-(4-метилпиперазин-1-сульфонил)-2-пропоксифенил]-6-пропил-6,9-дигидро[1,2,4]триазоло[3,4-i]пурин-5-он,
8-{5-[4-(2-гидроксиэтил)пиперазин-1-сульфонил]-2-пропоксифенил}-6-пропил-6,9-дигидро[1,2,4]триазоло[3,4-i]пурин-5-он,
8-[5-(4-метил[1,4]диазепан-1-сульфонил)-2-пропоксифенил]-6-пропил-6,9-дигидро[1,2,4]триазоло[3,4-i]пурин-5-он
6-бутил-8-{5-[4-(2-гидроксиэтил)пиперазин-1-сульфонил]-2-пропоксифенил}-6,9-дигидро[1,2,4]триазоло[3,4-i]пурин-5-он и
3-(5-оксо-6-пропил-6,9-дигидро-5Н-[1,2,4]триазоло[3,4-i]-пурин-8-ил)-4-пропокси-N-пиридин-4-илбензолсульфонамид,
8-[5-((S)-3-метилпиперазин-1-сульфонил)-2-пропоксифенил]-6-пропил-6,9-дигидро[1,2,4]триазоло[3,4-i]пурин-5-он,
8-[5-((1S,4S)-5-метил-2,5-диазабицикло[2.2.1]гептан-2-сульфонил)-2-пропоксифенил]-6-пропил-6,9-дигидро[1,2,4]-триазоло[3,4-i]пурин-5-он,
8-[5-(3-диметиламинометилазетидин-1-сульфонил)-2-пропоксифенил]-6-пропил-6,9-дигидро[1,2,4]триазоло[3,4-i]пурин-5-он,
8-[5-((3R,5S)-3,5-диметилпиперазин-1-сульфонил)-2-пропоксифенил]-6-пропил-6,9-дигидро[1,2,4]триазоло[3,4-i]пурин-5-он,
N-(3-диметиламино-2,2-диметилпропил)-3-(оксопропил-6,9-дигидро-5Н-[1,2,4]триазоло[3,4-i]пурин-8-ил)-4-пропоксибензолсульфонамид,
8-{5-[4-(2-гидроксиэтил)-[1,4]диазепан-1-сульфонил]-2-пропоксифенил}-6-пропил-6,9-дигидро[1,2,4]триазоло[3,4-i]-пурин-5-он,
8-{5-[4-(2-гидрокси-1,1-диметилэтил)пиперазин-1-сульфонил]-2-пропоксифенил}-6-пропил-6,9-дигидро[1,2,4]триазоло[3,4-i]-пурин-5-он,
6-бутил-8-{5-[4-(2-гидрокси-1,1-диметилэтил)пиперазин-1-сульфонил]-2-пропоксифенил}-6,9-дигидро[1,2,4]триазоло-[3,4-i]пурин-5-он.
В соответствии со следующим признаком настоящего изобретения 8-фенил-6,9-дигидро[1,2,4]триазоло[3,4-i]пурин-5-оны общей формулы (I) получают взаимодействием соответствующего производного гидразинопурина формулы (II):

(где R2, R3, R4 и R5 имеют указанные выше значения) с соответствующей карбоновой кислотой общей формулы

(где R1 имеет указанные выше значения) или ее реакционноспособным производным. Предпочтительными примерами реакционноспособного производного карбоновой кислоты (III) являются галогенангидрид, ортоэфир или ангидрид кислоты. Взаимодействие можно проводить в растворителе, предпочтительно, полярном апротонном растворителе, таком как N,N-диметилформамид, диоксан, ацетон или тетрагидрофуран, в присутствии органического основания, предпочтительно амина, такого как триэтиламин, и при температуре от 15°С до точки кипения растворителя. Взаимодействие можно также проводить в отсутствие растворителя, в этом случае используют избыток карбоновой кислоты (III) или реакционноспособного производного карбоновой кислоты (III), и смесь нагревают при температуре от 40°С до его точки кипения. Таким образом полученное производное 8-фенил-6,9-дигидро[1,2,4]триазоло-[3,4-i]пурин-5-она затем выделяют обычными способами, известными в данной области техники.
Гидразинопурины общей формулы (II) получают взаимодействием 6-тиоксопуринов общей формулы (IV)

(где R2, R3, R4 и R5 имеют указанные выше значения) с гидразингидратом при температуре от 80 до 150°С.
6-Тиоксопурины общей формулы (IV) получают взаимодействием 8-фенилксантинов общей формулы (V)

(где R2, R3, R4 и R5 имеют указанные выше значения) с пентасульфидом фосфора или реагентом Лавессона (2,4-бис(4-метоксифенил)-1,3-дитиа-2,4-дифосфетан-2,4-дисульфидом). Взаимодействие, предпочтительно, проводят в растворителе, таком как бензол, толуол, диоксан или пиридин, при температуре от 40°С до точки кипения растворителя.
8-Фенилксантины общей формулы (V) получают из соответствующего соединения формулы (VI):

(где R2 и R3 имеют указанные выше значения) взаимодействием с хлорсульфоновой кислотой (предпочтительно, в избытке), предпочтительно, в атмосфере азота и при температуре от -50°с до 100°С и с использованием в качестве растворителя той же самой хлорсульфоновой кислоты. По этому способу получают сульфонилхлорид формулы (VII):

где R2 и R3 имеют указанные выше значения, дальнейшим взаимодействием которого с соответствующим амином (VIII):

где R4 и R5 имеют указанные выше значения, получают производное 8-фенилксантина общей формулы (VI). Взаимодействие проводят в органическом растворителе, предпочтительно, полярном апротонном органическом растворителе, таком как диоксан, метиленхлорид или тетрагидрофуран, при температуре от 10°С до точки кипения растворителя и в присутствии органического основания, предпочтительно, основания в виде амина, такого как триэтиламин.
Производные 8-фенил-6,9-дигидро[1,2,4]триазоло[3,4-i]-пурин-5-онов общей формулы (I) получают также, в соответствии со следующим признаком изобретения, из соответствующего фенилксантина формулы (IX):

(где R1, R2 и R3 имеют указанные выше значения) взаимодействием с хлорсульфоновой кислотой (предпочтительно, в избытке), предпочтительно, в атмосфере азота и при температуре от -5°С до 10°С, где растворителем является та же самая хлорсульфоновая кислота. По данному способу получают сульфонилхлорид формулы (X):

где R1, R2 и R3 имеют указанные выше значения, дальнейшим взаимодействием которого с соответствующим амином (VIII)

где R4 и R5 имеют указанные выше значения, получают производное 8-фенил-6,9-дигидро[1,2,4]триазоло[3,4-i]пурин-5-она общей формулы I. Взаимодействие проводят в органическом растворителе, предпочтительно, полярном апротонном органическом растворителе, таком как диоксан, метиленхлорид или тетрагидрофуран, при температуре от 10°С до 40°С и в присутствии органического основания, предпочтительно, амина, такого как триэтиламин. Таким образом полученное производное 8-фенил-6,9-дигидро[1,2,4]триазоло[3,4-i]пурин-5-она затем выделяют обычным способом, известным в данной области техники.
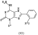
Промежуточные соединения формулы (IX) можно получить взаимодействием соответствующего производного гидразинопурина формулы (XI):

(где R2 и R3 имеют указанные выше значения) и соответствующей карбоновой кислоты общей формулы (III):

(где R1 имеет указанные выше значения) или ее реакционноспособного производного. Реакционноспособным производным карбоновой кислоты (III) является, предпочтительно, галогенангидрид, ортоэфир или ангидрид кислоты. Взаимодействие можно проводить в растворителе, предпочтительно, полярном апротонном растворителе, таком как N,N-диметилформамид, диоксан, ацетон или тетрагидрофуран, в присутствии органического основания, предпочтительно, амина, такого как триэтиламин, и при температуре от 15°С до 40°С. Взаимодействие можно также проводить в отсутствие растворителя, в данном случае используют избыток карбоновой кислоты (III) или реакционноспособного производного карбоновой кислоты (III) и смесь нагревают при температуре от 40°С до его точки кипения.
Гидразинопурины общей формулы (XI) получают взаимодействием 6-тиоксопуринов общей формулы (XII)

(где R2 и R3 имеют указанные выше значения) с гидразингидратом при температуре от 80°С до 150°С.
6-Тиоксопурины общей формулы (XII) получают взаимодействием 8-фенилксантинов общей формулы (VI)

(где R2 и R3 имеют указанные выше значения) с пентасульфидом фосфора или реагентом Лавессона (2,4-бис(4-метоксифенил)-1,3-дитиа-2,4-дифосфетан-2,4-дисульфид ом). Взаимодействие, предпочтительно, проводят в растворителе, таком как бензол, толуол, диоксан или пиридин, при температуре от 40°С до точки кипения растворителя.
8-Фенилксантины общей формулы (VI) можно получить взаимодействием соответствующих 5,6-диаминоурацилов и соответствующих производных салициловой кислоты способами, известными самими по себе, например, описанными в публикации Н. W. Hamilton et al., J. Med. Chem. 1985, 28, 1071-1079 и цитированных в ней ссылках.
Производные 8-фенил-6,9-дигидро[1,2,4]тиазоло[3,4-i]-пурин-5-она формулы (I) можно превратить способами, известными самими по себе, в фармацевтически приемлемые соли, предпочтительно, кислотно-аддитивные соли, обработкой органическими или неорганическими кислотами, такими как фумаровая, винная, янтарная или хлористоводородная кислота. Кроме того, производные 8-фенил-6,9-дигидро[1,2,4]триазоло-[3,4-i]пурин-5-она формулы (I), у которых присутствует кислотная группа, можно превратить в фармакологически приемлемую соль взаимодействием с гидроксидом щелочного металла или органическим основанием, таким как гидроксид натрия или калия. Образованные таким образом кислотно- или щелочно-аддитивные соли можно подвергнуть взаимному превращению подходящими фармацевтически приемлемыми противоионами с использованием способа, известного самим по себе.
Специфичную для циклического ГМФ фосфодиэстеразу (ФДЭ 5) выделили из лизатов тромбоцитов человека ионообменной хроматографией с использованием колонки Mono-Q. Ферментативную активность определили с использованием 0,25 мМ [3Н]-циклического ГМФ в качестве субстрата. Очистку фермента и оценку ФДЭ 5-ингибирующей активности предложенных соединений проводили по существу, как описано Gristwood et al., Br.J. Pharmacol. 1992, 105, 985-991. Результаты приводятся в таблице 1.
| ТАБЛИЦА 1 |
| Пример |
IC50 (нМ) |
| 4 |
11 |
| 6 |
13 |
| 17 |
1,5 |
| 18 |
14 |
| 22 |
3,7 |
| 27 |
4 |
| 43 |
4 |
| 86 |
1,4 |
| 89 |
0,51 |
| 91 |
0,97 |
| 93 |
0,85 |
| 101 |
0,54 |
| 105 |
0,34 |
| 108 |
1,6 |
| 138 |
0,84 |
Из таблицы можно видеть, что соединения формулы (I) являются сильнодействующими ингибиторами специфической для циклического ГМФ фосфодиэстеразы (ФДЭ 5). Предпочтительные производные 8-фенил-6,9-дигидро[1,2,4]триазоло[3,4-i]пурин-5-она изобретения имеют величину IC50 для ингибирования ФДЭ 5 (определена, как указано выше) меньше, чем 30 нМ, предпочтительно, меньше, чем 20 нМ, и, наиболее предпочтительно, меньше, чем 15 нМ. Производные 8-фенил-6,9-дигидро[1,2,4]триазоло[3,4-i]пурин-5-она изобретения полезны при лечении стабильной, нестабильной и вариантной стенокардии, гипертензии, легочной гипертензии, застойной сердечной недостаточности, почечной недостаточности, атеросклероза, состояний пониженной потенции кровеносных сосудов, периферического сосудистого заболевания, сосудистых нарушений (например, болезни Рейно), удара, бронхита, хронической астмы, аллергической астмы, аллергического ринита, глаукомы, мужской эректильной дисфункции, женской половой дисфункции и заболеваний, характеризующихся нарушениями двигательной способности кишечного тракта, например, синдрома раздраженной толстой кишки.
В соответствии с этим, производные 8-фенил-6,9-дигидро[1,2,4]триазоло[3,4-i]пурин-5-она изобретения и их фармацевтически приемлемые соли и фармацевтические композиции, включающие такое соединение и/или его соли, можно использовать в способе лечения нарушений тела человека, который включает введение пациенту, для которого требуется такое лечение, эффективного количества производного 8-фенил-6,9-дигидро[1,2,4]триазоло[3,4-i]пурин-5-она изобретения или его фармацевтически приемлемой соли.
Настоящее изобретение предлагает также фармацевтические композиции, которые включают в качестве активного ингредиента, по меньшей мере, одно производное 8-фенил-6,9-дигидро[1,2,4]триазоло[3,4-i]пурин-5-она формулы (I) или его фармацевтически приемлемую соль в сочетании с фармацевтически приемлемым эксципиентом, таким как носитель или разбавитель.
Активный ингредиент может составлять от 0,001% до 99% масс., предпочтительно, от 0,01% до 90% масс., композиции, в зависимости от природы готовой препаративной формы и от того, нужно ли проводить дальнейшее разбавление перед применением. Композиции, предпочтительно, изготовляют в форме, подходящей для перорального, местного, назального, ректального, подкожного или инъекционного введения.
Фармацевтически приемлемые эксципиенты, которые смешивают с активным соединением или солями такого соединения с образованием композиций данного изобретения, хорошо известны сами по себе, и используемые настоящие эксципиенты зависят, среди прочего, от предназначенного способа введения композиций.
Композиции данного изобретения, предпочтительно, приспособлены для инъекционного и перорального введения. В данном случае композиции для перорального введения могут быть в форме таблеток, таблеток с замедленным действием, подъязычных таблеток, капсул или жидких препаратов, таких как смеси, эликсиры, сиропы или суспензии, причем все содержат соединение согласно изобретению; такие препараты можно изготовить способами, хорошо известными в данной области.
Разбавители, которые можно использовать при получении композиций, включают такие жидкие и твердые разбавители, которые совместимы с активным ингредиентом, вместе, если нужно, с красящими агентами или корригентами. Таблетки или капсулы могут в удобном случае содержать между 2 и 500 мг активного ингредиента или эквивалентное количество его соли.
Жидкая композиция, приспособленная для перорального использования, может быть в форме растворов или суспензий. Растворы могут быть водными растворами растворимой соли или другого производного активного соединения в сочетании, например, с сахарозой для образования сиропа. Суспензии могут включать нерастворимое активное соединение изобретения или его фармацевтически приемлемую соль в сочетании с водой, вместе с суспендирующим агентом или корригентом.
Композиции для парентеральной инъекции можно получить из растворимых солей, которые могут быть или не могут быть высушены замораживанием и которые могут быть растворены в не содержащей пирогены водной среде или другой подходящей для парентеральной инъекции жидкости.
Эффективные дозы находятся обычно в диапазоне 10-600 мг активного ингредиента в день. Суточную дозу можно вводить однократно или несколько раз, предпочтительно, от 1 до 4 в день.
Синтезы соединений согласно изобретению и промежуточных продуктов для использования для их получения иллюстрируются следующими примерами (включая примеры получения (получения 1-37)), которые никоим образом не ограничивают объем изобретения.
Спектры 1H ядерного магнитного резонанса регистрировали на спектрометре Varian Gemini 300. Масс-спектры низкого разрешения (m/z) регистрировали на масс-спектрометре Micromass ZMD с использованием ионизации электрораспылением (ESI). Точки плавления регистрировали с использованием аппаратуры Perkin Elmer DSC-7. Хроматографические разделения проводили с использованием системы Waters 2690, снабженной колонкой Symmetry C18 (2,1×10 мм, 3,5 мкм). Подвижной фазой была муравьиная кислота (0,4 мл), аммиак (0,1 мл), метанол (500 мл) и ацетонитрил (500 мл) (А) и муравьиная кислота (0,46 мл), аммиак (0,115 мл) и вода (1000 мл) (В): сначала от 0% до 95% В в течение 20 мин и затем в течение 4 мин 95% В. Время повторного уравновешивания между двумя впрыскиваниями было 5 мин. Скорость потока была 0,4 мл/мин. Объем впрыскивания был 5 мкл. Диодно-матричные хроматограммы собирали при 210 нМ.
ПРИМЕРЫ ПОЛУЧЕНИЯ
ПОЛУЧЕНИЕ 1
8-(2-Этоксифенил)-6-этил-6,9-дигидро[1,2,4]триазоло[3,4-i]-пурин-5-он
а) Раствор 2-этоксибензоилхлорида (12,0 г, 65 ммоль) в диметилформамиде (10 мл) добавляют по каплям к перемешиваемому раствору 5,6-диамино-1-этил-1Н-пиримидин-2,4-диона (10,4 г, 61 ммоль) и триэтиламина (9,8 мл, 65 ммоль) в диметилформамиде (250 мл). Образовавшуюся смесь перемешивают в течение 20 часов при комнатной температуре, затем упаривают при пониженном давлении. Добавляют водный раствор гидроксида натрия (1 н, 98 мл, 98 ммоль), и смесь нагревают при кипении с обратным холодильником в течение 6 часов. Образовавшийся раствор подкисляют 1 н хлористоводородной кислотой и осадок собирают и сушат отсасыванием с получением 8-(2-этоксифенил)-3-этил-3,7-дигидропурин-2,6-диона в виде бежевого твердого вещества (7,0 г, 72%).
b) К перемешиваемой суспензии вышеуказанного соединения (7,0 г, 23,3 ммоль) в пиридине (115 мл) порциями добавляют пентасульфид фосфора (5,5 г, 12,4 ммоль) и образовавшуюся смесь перемешивают при кипении с обратным холодильником в течение 3 часов, затем упаривают при пониженном давлении. Остаток растирают с хлористоводородной кислотой (2 н, 100 мл) и осадок собирают фильтрованием и сушат в вакууме с получением 8-(2-этоксифенил)-3-этил-6-меркапто-3,7-дигидропурин-2-она (6,9 г, 95%) в виде бледно-коричневого твердого вещества.
c) Перемешиваемую смесь вышеуказанного соединения (6,9 г, 21,8 ммоль) и моногидрата гидразина (100 мл) нагревают до 130°С в течение 3 час. Образовавшуюся смесь охлаждают и осадок собирают фильтрованием и промывают водой и этанолом, затем сушат в вакууме с получением 8-(2-этоксифенил)-3-этил-6-гидразино-3,7-дигидропурин-2-она (6,6 г, 97%) в виде не совсем белого твердого вещества.
d) Перемешиваемую смесь вышеуказанного соединения (6,6 г, 21,0 ммоль) и муравьиной кислоты (110 мл) нагревают при кипении с обратным холодильником в течение 2 часов. Образовавшийся раствор концентрируют в вакууме и остаток распределяют между дихлорметаном и водным раствором бикарбоната натрия, затем органическую фазу отделяют, промывают водой, сушат (MgSO4) и упаривают при пониженном давлении с получением указанного в заголовке продукта (5,4 г, 79%) в виде не совсем белого твердого вещества.
d (ДМСО-d6): 1,38 (3Н, т), 1,49 (3Н, т), 4,27 (4Н, м), 7,08 (1Н, т), 7,21 (1Н, д), 7,47 (1Н, т), 7,97 (1Н, д), 9,21 (1Н, с).
ПОЛУЧЕНИЕ 2
4-Этокси-3-(6-этил-5-оксо-6,9-дигидро-5Н-[1,2,4]триазоло-[3,4-i]пурин-8-ил)бензолсульфонилхлорид
Указанное в заголовке соединение получения 1 (5,4 г, 16,6 ммоль) добавляют порциями к неразбавленной, охлажденной льдом хлорсульфоновой кислоте (16 мл) и образовавшуюся смесь перемешивают при 0°С в течение 30 минут и при комнатной температуре на протяжении ночи. Реакционную смесь осторожно выливают в перемешиваемую смесь лед-вода и осадок собирают фильтрованием и сушат при пониженном давлении с получением указанного в заголовке соединения (6,4 г, 91%) в виде белого твердого вещества.
d (ДМСО-d6): 1,42 (6Н, м), 4,33 (2Н, кв), 4,42 (2Н, кв), 7,23 (1Н, д), 7,73 (1Н, д), 8,39 (1Н, с), 9,59 (1Н, с).
ПОЛУЧЕНИЕ 3
6-Этил-8-(2-пропоксифенил)-6,9-дигидро[1,2,4]триазоло-[3,4-i]пурин-5-он
Получен в виде белого твердого вещества (общий выход 51%) из 5,6-диамино-1-этил-1Н-пиримидин-2,4-диона и 2-пропоксибензоилхлорида методикой, описанной в получении 1.
d (ДМСО-d6): 1,15 (т, 3Н), 1,51 (т, 3Н), 2,05 (м, 2Н), 4,22 (т, 2Н), 4,44 (кв, 2Н), 7,05 (д, 1Н), 7,12 (т, 1Н), 7,42 (т, 1Н), 8,40 (д, 1Н), 8,95 (с, 1Н), 11,40 (шир.с, 1Н).
ПОЛУЧЕНИЕ 4
3-(6-Этил-5-оксо-6,9-дигидро-5Н-[1,2,4]триазоло[3,4-i]пурин-8-ил)-4-пропоксибензолсульфонилхлорид
Получен в виде белого твердого вещества (74%) из указанного в заголовке соединения получения 3 с использованием методики, описанной в получении 2.
d (ДМСО-d6): 0,95 (т, 3Н), 1,39 (т, 3Н), 1,82 (м, 2Н), 4,33 (м, 4Н), 7,22 (д, 1Н), 7,75 (д, 1Н), 8,28 (с, 1Н), 9,55 (с, 1Н), 14,4 (шир.с, 1Н).
ПОЛУЧЕНИЕ 5
8-(2-Бутоксифенил)-6-этил-6,9-дигидро[1,2,4]триазоло[3,4-i]-пурин-5-он
Получен в виде белого твердого вещества (общий выход 70%) из 5,6-диамино-1-этил-1Н-пиримидин-2,4-диона и 2-бутоксибензоилхлорида методикой, описанной в получении 1.
d (ДМСО-d6): 1,05 (т, 3Н), 1,51 (м, 5Н), 1,95 (м, 2Н), 4,25 (т, 2Н), 4,45 (кв, 2Н), 7,05 (д, 1Н), 7,13 (т, 1Н), 7,42 (т, 1Н), 8,40 (д, 1Н), 8,95 (с, 1Н), 11,55 (шир.с, 1Н).
ПОЛУЧЕНИЕ 6
4-Бутокси-3-(6-этил-5-оксо-6,9-дигидро-5Н-[1,2,4]триазоло-[3,4-i]пурин-8-ил)бензолсульфонилхлорид
Получен в виде белого твердого вещества (42%) из указанного в заголовке соединения получения 5 с использованием методики, описанной в получении 2.
d (ДМСО-d6): 0,95 (т, 3Н), 1,40 (м, 5Н), 1,80 (м, 2Н), 4,32 (м, 4Н), 7,22 (д, 1Н), 7,75 (д, 1Н), 8,38 (с, 1Н), 9,55 (с, 1Н), 13,0 (шир.с, 1Н).
ПОЛУЧЕНИЕ 7
8-(2-Этоксифенил)-6-пропил-6,9-дигидро[1,2,4]триазоло-[3,4-i]пурин-5-он
Получен в виде белого твердого вещества (общий выход 28%) из 5,6-диамино-1-пропил-1Н-пиримидин-2,4-диона и 2-этоксибензоилхлорида методикой, описанной в получении 1.
d (ДМСО-d6): 0,96 (3Н, т), 1,41 (3Н, т), 1,83 (2Н, м), 4,18 (2Н, т), 4,28 (2Н, кв), 7,09 (1Н, т), 7,20 (1Н, д), 7,46 (1Н, т), 7,93 (1Н, д), 9,21 (1Н, с).
ПОЛУЧЕНИЕ 8
4-Этокси-3-(5-оксо-6-пропил-6,9-дигидро-5Н-[1,2,4]триазоло-[3,4-i]пурин-8-ил)бензолсульфонилхлорид
Получен в виде белого твердого вещества (73%) из указанного в заголовке соединения получения 7 с использованием методики, описанной в получении 2.
d (ДМСО-d6): 0,99 (3Н, т), 1,42 (3Н, т), 1,89 (2Н, м), 4,22 (2Н, т), 4,32 (2Н, кв), 7,19 (1Н, д), 7,69 (1Н, d), 8,26 (1Н, с), 9,33 (1Н, с).
ПОЛУЧЕНИЕ 9
8-(2-Пропоксифенил)-6-пропил-6,9-дигидро[1,2,4]триазоло-[3,4-i]пурин-5-он
Получен в виде бежевого твердого вещества (общий выход 21%) из 5,6-диамино-1-пропил-1Н-пиримидин-2,4-диона и 2-пропоксибензоилхлорида методикой, описанной в получении 1.
d (ДМСО-d6): 0,96 (3Н, т), 0,99 (3Н, т), 1,83 (4Н, м), 4,17 (4Н, м), 7,10 (1H, т), 7,22 (1Н, д), 7,49 (1Н, т), 7,96 (1Н, д), 9,22 (1Н, с).
ПОЛУЧЕНИЕ 10
3-(5-Оксо-6-пропил-6,9-дигидро-5Н-[1,2,4]триазоло[3,4-i]-пурин-8-ил)-4-пропоксибензолсульфонилхлорид
Получен в виде белого твердого вещества (100%) из указанного в заголовке соединения получения 9 с использованием методики, описанной в получении 2.
d (ДМСО-d6): 0,98 (6Н, м), 1,88 (4Н, м), 4,26 (4Н, м), 7,23 (1Н, д), 7,71 (1Н, д), 8,30 (1Н, с), 9,50 (1Н, с).
ПОЛУЧЕНИЕ 11
6-Бутил-8-(2-этоксифенил)-6,9-дигидро[1,2,4]триазоло[3,4-i]-пурин-5-он
Получен в виде не совсем белого твердого вещества (общий выход 49%) из 5,6-диамино-1-бутил-1Н-пиримидин-2,4-диона и 2-этоксибензоилхлорида методикой, описанной в получении 1.
d (CDCl3): 1,02 (3Н, т), 1,48 (2Н, м), 1,63 (3Н, т), 1,88 (2Н, м), 4,39 (4Н, м), 7,07 (1Н, д), 7,16 (1Н, t), 7,42 (1Н, д), 8,41 (1H, д), 8,93 (1Н, с), 11,37 (1H, шир.с).
ПОЛУЧЕНИЕ 12
3-(6-Бутил-3-оксо-6,9-дигидро-5Н-[1,2,4]триазоло[3,4-i]пурин-8-ил)-4-этоксибензолсульфонилхлорид
Получен в виде белого твердого вещества (90%) из указанного в заголовке соединения получения 11 с использованием методики, описанной в получении 2.
d (CDCl3): 0,96 (3Н, т), 1,42 (5Н, м), 1,82 (2Н, м), 4,28 (2Н, т), 4,39 (2Н, кв), 7,20 (1Н, д), 7,72 (1Н, д), 8,29 (1Н, с), 9,43 (1Н, с).
ПОЛУЧЕНИЕ 13
6-Бутил-8-(2-пропоксифенил)-6,9-дигидро[1,2,4]триазоло-[3,4-i]пурин-5-он
Получен в виде бежевого твердого вещества (общий выход 41%) из 5,6-диамино-1-бутил-1Н-пиримидин-2,4-диона и 2-пропоксибензоилхлорида методикой, описанной в получении 1.
d (CDCl3): 1,03 (3Н, т), 1,12 (3Н, т), 1,50 (2Н, м), 1,90 (2Н, м), 2,05 (2Н, м), 4,26 (2Н, т), 4,39 (2Н, т), 7,12 (2Н, м), 7,43 (1Н, т), 8,40 (1Н, д), 8,95 (1Н, с), 11,36 (1Н, м).
ПОЛУЧЕНИЕ 14
3-(6-Бутил-5-оксо-6,9-дигидро-5Н-[1,2,4]триазоло[3,4-i]пурин-8-ил)-4-пропоксибензолсульфонилхлорид
Получен в виде белого твердого вещества (86%) из указанного в заголовке соединения получения 13 с использованием методики, описанной в получении 2.
d (CDCl3): 1,05 (6Н, м), 1,50 (2Н, м), 1,95 (4Н, м), 4,40 (4Н, м), 7,35 (1Н, д), 8,10 (1Н, д), 8,82 (1Н, с), 9,05 (1Н, с).
ПОЛУЧЕНИЕ 15
8-(2-Бутоксифенил)-6-бутил-6,9-дигидро[1,2,4]триазоло-[3,4-i]пурин-5-он
Получен в виде бежевого твердого вещества (общий выход 22%) из 5,6-диамино-1-бутил-1Н-пиримидин-2,4-диона и 2-бутоксибензоилхлорида методикой, описанной в получении 1.
d (CDCl3): 1,02 (6Н, м), 1,55 (4Н, м), 1,95 (4Н, м), 4,35 (4Н, м), 7,10 (2Н, м), 7,42 (1Н, м), 8,40 (1Н, д), 8,95 (1Н, с), 11,43 (1Н, шир.с).
ПОЛУЧЕНИЕ 16
4-Бутокси-3-(6-бутил-5-оксо-6,9-дигидро-5Н-[1,2,4]триазоло-[3,4-i]пурин-8-ил)-4-бензолсульфонилхлорид
Получен в виде белого твердого вещества (77%) из указанного в заголовке соединения получения 15 с использованием методики, описанной в получении 2.
d (CDCl3): 1,03 (6Н, м), 1,52 (4Н, м), 1,95 (4Н, м), 4,41 (4Н, м), 7,25 (1Н, д), 8,09 (1Н, д), 8,95 (1Н, с), 9,03 (1Н, с), 11,94 (1Н, шир.с).
ПОЛУЧЕНИЕ 17
3-Метил-8-(2-пропоксифенил)-6-пропил-6,9-дигидро[1,2,4]-триазоло[3,4-i]пурин-5-он
Смесь 8-(2-пропоксифенил)-3-пропил-6-гидразино-3,7-дигидропурин-2-она (1,0 г, 2,9 ммоль, см. получение 9) и триэтилортоацетата (10 мл) нагревают при кипении с обратным холодильником в течение 2 час. Образовавшуюся смесь охлаждают и осадок собирают фильтрованием и промывают водой и этанолом, затем сушат в вакууме с получением указанного в заголовке соединения (0,82 г, 77%) в виде не совсем белого твердого вещества.
d (ДМСО-d6): 0,92 (3Н, т), 0,96 (3Н, т), 1,82 (4Н, м), 2,77 (3Н, с), 4,24 (4Н, м), 7,08 (1Н, т), 7,20 (1Н, д), 7,45 (1Н, т), 7,92 (1Н, д).
ПОЛУЧЕНИЕ 18
3-(3-Метил-5-оксо-6-пропил-6,9-дигидро-5Н-[1,2,4]триазоло-[3,4-i]пурин-8-ил)-4-пропоксибензолсульфонилхлорид
Получен в виде белого твердого вещества (88%) из указанного в заголовке соединения получения 17 с использованием методики, описанной в получении 2.
d (CDCl3): 1,10 (4Н, м), 1,96 (2Н, м), 2,09 (2Н, м), 2,96 (3Н, с), 4,32 (2Н, т), 4,48 (2Н, т), 7,28 (1Н, д), 8,09 (1Н, д), 9,07 (1Н, с), 11,8 (1Н, шир.с).
ПОЛУЧЕНИЕ 19
6-Гидразино-8-[5-(4-метилпиперазин-1-сульфонил)-2-пропоксифенил]-3-пропил-3,7-дигидропурин-2-он
а) Пентасульфид фосфора (0,7 г, 3,1 ммоль) добавляют порциями к перемешиваемой суспензии 8-[5-(4-метилпиперазин-1-сульфонил)-2-пропоксифенил]-3-пропил-3,7-дигидропурин-2,6-диона (1,5 г, 23,3 ммоль) в пиридине (15 мл) и образовавшуюся смесь перемешивают при кипении с обратным холодильником в течение 3 час, затем упаривают при пониженном давлении с получением сырого 8-(2-пропоксифенил)-3-пропил-6-меркапто-3,7-дигидропурин-2-она (1,38 г), который используют непосредственно в следующей стадии.
d (ДМСО-d6): 0,89 (3Н, т), 1,03 (3Н, т), 1,75 (2Н, м), 1,82 (2Н, м), 2,15 (3Н, с), 2,37 (4Н, м), 2,92 (4Н, м), 3,97 (2Н, т), 4,20 (2Н, т), 7,42 (1Н, д), 7,82 (1Н, д), 8,16 (1Н, с), 12,34 (1Н, шир.с), 12,67 (1Н, шир.с).
b) Перемешиваемую смесь вышеуказанного соединения (1,38 г) и моногидрата гидразина (15 мл) нагревают до 130°С в течение 3 час. Образовавшуюся смесь охлаждают и осадок собирают фильтрованием и промывают водой и этанолом, затем сушат в вакууме с получением 6-гидразино-8-[5-(4-метилпиперазин-1-сульфонил)-2-пропоксифенил]-3-пропил-3,7-дигидропурин-2-она (1,08 г, общий выход 70%) в виде не совсем белого твердого вещества.
d (ДМСО-d6): 0,89 (3Н, т), 1,04 (3Н, м), 1,70 (2Н, м), 1,89 (2Н, м), 2,13 (3Н, с), 2,36 (4Н, м), 2,91 (4Н, м), 3,96 (2Н, м), 4,28 (2Н, м), 7,51 (1Н, д), 7,81 (1Н, д), 8,51 (1Н, с).
ПОЛУЧЕНИЕ 20
6-Гидразино-8-[5-(пиперазин-1-сульфонил)-2-пропоксифенил]-3-пропил-1,3,6,7-тетрагидропурин-2-он
Получен в виде бежевого твердого вещества (общий выход 10%) из 8-[5-(пиперазин-1-сульфонил)-2-пропоксифенил]-3-пропил-3,7-дигидропурин-2,6-диона методикой, описанной в получении 19.
d (ДМСО-d6): 0,89 (3Н, т), 1,06 (3Н, м), 1,72 (2Н, м), 1,91 (2Н, м), 2,71 (4Н, м), 2,82 (4Н, м), 3,96 (2Н, м), 4,28 (2Н, м), 7,51 (1Н, д), 7,88 (1Н, д), 8,52 (1Н, с).
ПОЛУЧЕНИЕ 21
6-Гидразино-8-[5-(4-метил[1,4]диазепан-1-сульфонил)-2-пропоксифенил]-3-пропил-1,3,6,7-тетрагидропурин-2-он
Получен в виде не совсем белого твердого вещества (общий выход 91%) из 8-[5-(4-метил[1,4]диазепан-1-сульфонил)-2-пропоксифенил]-3-пропил-3,7-дигидропурин-2,6-диона методикой, описанной в получении 19.
d (DMSO-d6): 0,89 (3Н, т), 1,04 (3Н, м), 1,72 (4Н, м), 1,92 (2Н, м), 2,22 (3Н, с), 2,4-2,6 (6Н, м), 3,38 (4Н, м), 3,98 (2Н, т), 4,28 (2Н, т), 7,44 (1Н, д), 7,86 (1Н, д), 8,58 1Н, с).
ПОЛУЧЕНИЕ 22
6-Гидразино-8-[5-(морфолин-4-сульфонил)-2-пропоксифенил]-3-пропил-3,7-тетрагидропурин-2-он
Получен в виде бежевого твердого вещества (общий выход 16%) из 8-[5-(морфолин-4-сульфонил)-2-пропоксифенил]-3-пропил-3,7-дигидропурин-2,6-диона методикой, описанной в получении 19.
d (ДМСО-d6): 0,88 (3Н, т), 1,03 (3Н, м), 1,75 (2Н, м), 1,92 (2Н, м), 2,92 (4Н, м), 3,64 (4Н, м), 3,96 (2Н, м), 4,25 (2Н, м), 7,52 (1Н, м), 7,79 (1Н, м), 8,51 (1Н, с).
ПОЛУЧЕНИЕ 23
8-[2-Бутокси-5-(4-метилпиперазин-1-сульфонил)фенил]-6-гидразино-3-пропил-3,7-дигидропурин-2-он
Получен в виде бежевого твердого вещества (общий выход 71%) из 8-[2-бутокси-5-(4-метилпиперазин-1-сульфонил)фенил]-3-пропил-3,7-дигидропурин-2,6-диона методикой, описанной в получении 19.
d (ДМСО-d6): 0,92 (6Н, м), 1,52 (2Н, м), 1,89 (4Н, м), 2,12 (3Н, с), 2,37 (4Н, м), 2,92 (4Н, м), 3,99 (2Н, т), 4,26 (2Н, т), 7,48 (1Н, д), 7,84 (1Н, д), 8,17 (1Н, с).
ПОЛУЧЕНИЕ 24
8-[2-Бутокси-5-(морфолин-4-сульфонил)фенил]-6-гидразино-3-пропил-3,7-дигидропурин-2-он
Получен в виде бежевого твердого вещества (общий выход 30%) из 8-[2-бутокси-5-(морфолин-4-сульфонил)фенил]-3-пропил-3,7-дигидропурин-2,6-диона методикой, описанной в получении 19.
d (ДМСО-d6): 0,92 (6Н, м), 1,46 (2Н, м), 1,68 (2Н, м), 1,82 (2Н, м), 2,86 (4Н, м), 3,60 (4Н, м), 3,94 (2Н, т), 4,32 (2Н, м), 7,50 (1Н, д), 7,80 (1Н, д), 8,49 (1Н, с).
ПОЛУЧЕНИЕ 25
8-(2-Пропоксифенил)-6-пиридин-2-илметил-6,9-дигидро[1,2,4]-триазоло[3,4-i]пурин-5-он
Получен в виде бежевого твердого вещества (общий выход 19%) из 5,6-диамино-1-пиридин-2-илметил-1Н-пиримидин-2,4-диона и 2-пропоксибензоилхлорида методикой, описанной в получении 1.
ПОЛУЧЕНИЕ 26
3-(5-Оксо-6-пиридин-2-илметил-6,9-дигидро-5Н-[1,2,4]триазоло-[3,4-i]пурин-8-ил)-4-пропоксибензолсульфонилхлорид
Получен в виде белого твердого вещества (65%) из указанного в заголовке соединения получения 25 с использованием методики, описанной в получении 2.
ПОЛУЧЕНИЕ 27
6-Бутил-8-(2-пропоксифенил)-3-пропил-6,9-дигидро[1,2,4]-триазоло[3,4-i]пурин-5-он
Получен в виде белого твердого вещества (общий выход 28%) из 5,6-диамино-1-бутил-1Н-пиримидин-2,4-диона и 2-пропоксибензоилхлорида методикой, описанной в получении 1, с использованием триметилортобутирата вместо муравьиной кислоты в последней стадии.
ПОЛУЧЕНИЕ 28
3-(6-Бутил-5-оксо-3-пропил-6,9-дигидро-5Н-[1,2,4]триазоло-[3,4-i]пурин-8-ил)-4-пропоксибензолсульфонилхлорид
Получен в виде белого твердого вещества (86%) из указанного в заголовке соединения получения 27 с использованием методики, описанной в получении 2.
ПОЛУЧЕНИЕ 29
6-Изобутил-8-(2-пропоксифенил)-6,9-дигидро[1,2,4]триазоло-[3,4-i]пурин-5-он
Получен в виде белого твердого вещества (общий выход 21%) из 5,6-диамино-1-изобутил-1Н-пиримидин-2,4-диона и 2-пропоксибензоилхлорида методикой, описанной в получении 1.
(ДМСО-d6): 0,93 (9Н, м), 1,80 (2Н, м), 2,36 (1Н, м), 4,02 (2Н, д), 4,12 (2Н, т), 7,09 (1Н, т), 7,18 (1Н, д), 7,44 (1Н, т), 7,92 (1Н, д), 9,20 (1Н, с).
ПОЛУЧЕНИЕ 30
3-(6-Изобутил-5-оксо-6,9-дигидро-5Н-[1,2,4]триазоло-[3,4-i]пурин-8-ил)-4-пропоксибензолсульфонилхлорид
Получен в виде белого твердого вещества (62%) из указанного в заголовке соединения получения 29 с использованием методики, описанной в получении 2.
(ДМСО-d6): 1,01 (9Н, м), 1,86 (2Н, м), 2,36 (1Н, м), 4,06 (2Н, д), 4,19 (2Н, т), 7,18 (1Н, д), 7,66 (1Н, д), 8,18 (1Н, с), 9,27 (1Н, с).
ПОЛУЧЕНИЕ 31
6-Пентил-8-(2-пропоксифенил)-6,9-дигидро[1,2,4]триазоло-[3,4-i]пурин-5-он
Получен в виде белого твердого вещества (общий выход 19%) из 5,6-диамино-1-пентил-1Н-пиримидин-2,4-диона и 2-пропоксибензоилхлорида методикой, описанной в получении 1.
(ДМСО-d6): 0,83 (3Н, т), 0,96 (3Н, т), 1,33 (4Н, м), 1,82 (4Н, м), 4,15 (4Н, м), 7,06 (1Н, т), 7,19 (1Н, д), 7,42 (1Н, т), 7,91 (1Н, д), 9,19 (1Н, с).
ПОЛУЧЕНИЕ 32
3-(5-Оксо-6-пентил-6,9-дигидро-5Н-[1,2,4]триазоло[3,4-i]-пурин-8-ил)-4-пропоксибензолсульфонилхлорид
Получен в виде белого твердого вещества (55%) из указанного в заголовке соединения получения 31 с использованием методики, описанной в получении 2.
(ДМСО-d6): 0,88 (3Н, м), 0,98 (3Н, т), 1,38 (4Н, м), 1,82 (4Н, м), 4,26 (4Н, м), 7,20 (1Н, д), 7,68 (1Н, д), 8,22 (1Н, с), 9,38 (1Н, с).
ПОЛУЧЕНИЕ 33
6-(2-Метоксиэтил)-8-(2-пропоксифенил)-6,9-дигидро[1,2,4]-триазоло[3,4-i]пурин-5-он
Получен в виде белого твердого вещества (общий выход 65%) из 5,6-диамино-1-(2-метоксиэтил)-1Н-пиримидин-2,4-диона и 2-пропоксибензоилхлорида методикой, описанной в получении 1.
ПОЛУЧЕНИЕ 34
3-[6-(2-Метоксиэтил)-5-оксо-6,9-дигидро-5Н-[1,2,4]триазоло-[3,4-i]пурин-8-ил]-4-пропоксибензолсульфонилхлорид
Получен в виде белого твердого вещества (95%) из указанного в заголовке соединения получения 33 с использованием методики, описанной в получении 2.
ПОЛУЧЕНИЕ 35
Дигидрохлорид азетидин-3-илметилдиметиламина
a) Раствор 1-(1,1-дифенилметил)азетидин-3-карбонитрила (7,8 г, 31,4 ммоль) в 30 мл тетрагидрофурана медленно добавляют к суспензии литийалюминийгидрида (4,0 г, 105 ммоль) в тетрагидрофуране в атмосфере азота и образовавшуюся смесь перемешивают при кипении с обратным холодильником в течение одного часа. При охлаждении смесь обрабатывают по каплям водой (4 мл), водным гидроксидом натрия (4 мл, 4 н) и водой (12 мл) и фильтруют. Фильтрат концентрируют при пониженном давлении с получением 3-(аминометил)-1-(1,1-дифенилметил)-азетидина в виде белого твердого вещества (5,2 г, 73%).
b) Смесь 3-(аминометил)-1-(1,1-дифенилметил)азетидина (10,9 г, 43 ммоль), формальдегида (21,8 мл) и муравьиной кислоты (21,8 мл) перемешивают при кипении с обратным холодильником в течение одного часа и затем упаривают при пониженном давлении. Образовавшийся остаток смешивают со льдом, подщелачивают водным 2 н гидроксидом натрия и экстрагируют дихлорметаном. Органический раствор промывают водой, насыщенным раствором соли, сушат (MgSO4) и упаривают при пониженном давлении с получением [1-(1,1-дифенилметил)азетидин-3-илметил]диметиламина (10,4 г, 86%) в виде масла.
(CDCl3): 2,16 (6Н, с), 2,44 (2Н, д), 2,6-2,8 (4Н, м), 3,38 (2Н, т), 4,32 (1Н, с), 7,1-7,3 (10Н, м).
с) Хлорид водорода в метаноле добавляют к смеси [1-(1,1-дифенилметил)азетидин-3-илметил]диметиламина (9,9 г, 35 ммоль) в метаноле (150 мл) до достижения рН=4. Добавляют гидроксид палладия (1,5 г, 20%) и образовавшуюся смесь гидрируют при комнатной температуре и 50 фунт/кв. дюйм в течение 4 дней. Смесь фильтруют через целит и фильтрат упаривают при пониженном давлении с получением указанного в заголовке соединения (5,0 г, 76%) в виде белого твердого вещества.
(ДМСО-d6): 2,72 (6Н, с), 3,2-4,1 (8Н, м).
ПОЛУЧЕНИЕ 36
Дигидрохлорид (1S,4S)-2-(2,5-диазабицикло[2.2.1]гепт-2-ил)-этанола
а) Смесь трет-бутилового эфира (1S,4S)-2,5-диазабицикло[2.2.1]гептан-2-карбоновой кислоты (0,5 г, 2,52 ммоль), 2-(2-бромэтокси)тетрагидропирана (0,42 мл, 2,77 ммоль) и карбоната калия (1,2 г, 8,82 ммоль) в 4-метилпентан-2-оне перемешивают при кипении с обратным холодильником на протяжении ночи. Образовавшуюся смесь упаривают при пониженном давлении и остаток распределяют между водой и дихлорметаном. Органический слой промывают насыщенным раствором соли, сушат (MgSO4) и упаривают при пониженном давлении с получением трет-бутилового эфира 5-[2-(тетрагидропиран-2-илокси)этил]-2,5-диазабицикло[2.2.1]гептан-2-карбоновой кислоты (0,80 г, количественный выход) в виде масла.
b) Смесь трет-бутилового эфира 5-[2-(тетрагидропиран-2-илокси)этил]-2,5-диазабицикло[2.2.1]гептан-2-карбоновой кислоты (0,80 г, 2,4 ммоль) и водной хлористоводородной кислоты (2 мл, 2 н) в этаноле (10 мл) перемешивают при кипении с обратным холодильником в течение одного часа и затем упаривают при пониженном давлении с получением сырого дигидрохлорида (1S,4S)-2-(2,5-диазабицикло[2.2.1]гепт-2-ил)этанола (0,51 г) в виде темного масла, которое используют в следующей стадии без дополнительной очистки.
ПОЛУЧЕНИЕ 37
2-Метил-2-пиперазин-1-илпропан-1-ол
а) Смесь бензилового эфира пиперазин-1-карбоновой кислоты (8,8 г, 40 ммоль), этиловый эфир 2-бром-2-метилпропионовой кислоты и карбоната калия перемешивают при 150°С в течение 24 час. При охлаждении образовавшуюся смесь распределяют между дихлорметаном и водой. Органический слой промывают насыщенным раствором соли, сушат (MgSO4) и упаривают при пониженном давлении с получением бензилового эфира 4-(1-этоксикарбонил-1-метилэтил)пиперазин-1-карбоновой кислоты (10,2 г, 77%) в виде масла.
b) Раствор бензилового эфира 4-(1-этоксикарбонил-1-метилэтил)пиперазин-1-карбоновой кислоты (3,5 г, 10,5 ммоль) в 10 мл сухого простого эфира медленно добавляют к суспензии литийалюминийгидрида (0,3 г, 105 ммоль) в тетрагидрофуране при -15°С в атмосфере азота и образовавшуюся смесь перемешивают при 0°С в течение 3 час. При охлаждении смесь обрабатывают по каплям водой (0,3 мл), водным гидроксидом натрия (0,3 мл, 4 н) и водой (0,9 мл) и фильтруют. Фильтрат концентрируют при пониженном давлении с получением бензилового эфира 4-(2-гидрокси-1,1-диметилэтил)пиперазин-1-карбоновой кислоты в виде белого твердого вещества (1,2 г, 41%).
c) Смесь бензилового эфира 4-(2-гидрокси-1,1-диметилэтил) пиперазин-1-карбоновой кислоты (3,0 г, 10,3 ммоль) в метаноле (70 мл) и палладия на угле (0,5 г, 10%) гидрируют при комнатной температуре и при 40 фунт/кв. дюйм в течение ночи. Смесь фильтруют через целит и фильтрат упаривают при пониженном давлении с получением указанного в заголовке соединения (1,55 г, 98%) белого твердого вещества.
(ДМСО-d6): 0,92 (6Н, с), 2,52 (4Н, м), 2,75 (4Н, м), 3,23 (2Н, с), 4,8 (2Н, шир.с).
ПРИМЕРЫ (см. табл.2).



















ПРИМЕР 1
8-[2-Этокси-5-(4-метилпиперазин-1-сульфонил) фенил]-6-этил-6,9-дигидро[1,2,4]триазоло[3,4-i]пурин-5-он
К смеси указанного в заголовке соединения получения 2 (1,1 г, 2,4 ммоль) и триэтиламина (0,4 мл 2,6 ммоль) в дихлорметане (50 мл) по каплям добавляют раствор 1-метилпиперазина (0,3 мл, 2,6 ммоль) в дихлорметане (25 мл) и образовавшуюся смесь перемешивают при комнатной температуре в течение ночи. Реакционную смесь разбавляют дихлорметаном, промывают водным раствором бикарбоната натрия и водой, сушат (MgSO4) и упаривают при пониженном давлении. Образовавшийся сырой остаток при кристаллизации из этанола дает указанное в заголовке соединение (1,1 г, 93%) в виде белого твердого вещества.
Т.пл. 248°С.
d (ДМСО-d6): 1,38 (3Н, т), 1,50 (3Н, т), 2,15 (3Н, с), 2,40 (4Н, м), 2,93 (4Н, м), 4,25 (2Н, м), 4,40 (2Н, м), 7,45 (1H, д), 7,90 (1Н, д), 8,24 (1H, с), 9,28 (1Н, с), 13,70 (1Н, шир.с),
ПРИМЕР 2
8-{2-Этокси-5-[4-(2-гидроксиэтил)пиперазин-1-сульфонил)-фенил}-6-этил-6,9-дигидро[1,2,4]триазоло[3,4-i]пурин-5-он
Получен в виде белого твердого вещества (88%) из указанного в заголовке соединения получения 2 и 1-(2-гидроксиэтил)пиперазина по методике примера 1.
Т.пл. 230°С.
d (ДМСО-d6): 1,40 (3Н, т), 1,50 (3Н, т), 2,38 (2Н, т), 2,50 (4Н, м), 2,90 (4Н, м), 3,40 (2Н, м), 4,28 (2Н, м), 4,40 (3Н, м), 7,46 (1Н, д), 7,90 (1Н, д), 8,26 (1Н, с), 9,27 (1Н, с), 13,65 (1Н, шир.с).
ПРИМЕР 3
6-Этил-8-[2-пропокси-5-(4-пиридиламииосульфонил)]фенил-6,9-дигидро[1,2,4]триазоло[3,4-i]пурин-5-он
Получен в виде белого твердого вещества (46%) из указанного в заголовке соединения получения 2 и 4-амино-пиридина по методике примера 1.
Т.пл. 279°С.
d (ДМСО-d6): 0,98 (3Н, т), 1,39 (3Н, т), 1,83 (2Н, м), 4,19 (4Н, м), 6,94 (2Н, шир.с), 7,38 (1Н, д), 7,84 (1Н, д), 8,04 (2Н, шир.с), 8,39 (1Н, с), 9,22 (1Н, с).
ПРИМЕР 4
6-Этил-8-[5-(4-метилпиперазин-1-сульфонил)-2-пропоксифенил]-6,9-дигидро[1,2,4]триазоло[3,4-i]пурин-5-он
Получен в виде белого твердого вещества (61%) из указанного в заголовке соединения получения 4 и 1-метилпиперазина по методике примера 1.
Т.пл. 117°С.
d (ДМСО-d6): 1,01 (3Н, т), 1,37 (3Н, т), 1,86 (2Н, м), 2,38 (4Н, м), 2,92 (4Н, м), 4,26 (4Н, м), 7,48 (1Н, д), 7,80 (1Н, д), 8,21 (1Н, с), 9,28 (1Н, с), 13,72 (1Н, шир.с).
ПРИМЕР 5
6-Этил-8-{2-пропокси-5-[4-(2-гидроксиэтил)пиперазин-1-сульфонил]фенил}-6,9-дигидро[1,2,4]триазоло[3,4-i]пурин-5-он
Получен в виде белого твердого вещества (86%) из указанного в заголовке соединения получения 4 и 1-(2-гидроксиэтил)пиперазина по методике примера 1.
Т.пл. 217°С.
d (ДМСО-d6): 1,0 (3Н, т), 1,37 (3Н, т), 1,89 (2Н, м), 2,36 (2Н, т), 2,50 (2Н, м), 2,79 (4Н, м), 3,40 (2Н, м), 4,22 (2Н, м), 4,38 (1Н, шир.с), 7,48 (1Н, д), 7,82 (1Н, д), 8,22 (1Н, с), 9,28 (1Н, с), 13,70 (1Н, шир.с).
ПРИМЕР 6
6-Этил-6-(2-бутокси-5-[4-(метилпиперазин-1-сульфонил)фенил]-6,9-дигидро[1,2,4]триазоло[3,4-i]пурин-5-он
Получен в виде белого твердого вещества (56%) из указанного в заголовке соединения получения 6 и 1-метилпиперазина по методике примера 1.
Т.пл. 206°С.
d (ДМСО-d6): 0,94 (3Н, т), 1,38 (3Н, т), 1,48 (2Н, м), 1,84 (2Н, м), 2,16 (3Н, с), 2,38 (4Н, м), 2,94 (4Н, м), 4,31 (4Н, м), 7,80 (1Н, д), 7,81 (1Н, д), 8,22 (1Н, с), 9,26 (1Н, с), 13,71 (1Н, шир.с).
ПРИМЕР 7
4-Бутокси-3-(6-этил-5-оксо-6,9-дигидро-5Н-[1,2,4]триазоло-[3,4-i]пурин-8-ил)-N,N-6ис(2-гидроксиэтил)бензолсульфонамид
Получен в виде белого твердого вещества (71%) из указанного в заголовке соединения получения 6 и диэтаноламина по методике примера 1.
Т.пл. 189°С.
d (ДМСО-d6): 0,94 (3Н, м), 1,39 (5Н, м), 1,84 (2Н, м), 3,23 (4Н, м), 3,56 (4Н, м), 4,29 (4Н, м), 7,43 (1Н, д), 7,89 (1Н, д), 9,25 (1Н, с).
ПРИМЕР 8
6-Этил-8-(2-бутокси-5-[4-(2-гидроксиэтил)пиперазин-1-сульфонил]фенил)-6,9-дигидро[1,2,4]триазоло[3,4-i]пурин-5-он
Получен в виде белого твердого вещества (54%) из указанного в заголовке соединения получения 6 и 1-(2-гидроксиэтил)пиперазина по методике примера 1.
Т.пл. 235°С.
d (ДМСО-d6): 0,93 (3Н, т), 1,37 (3Н, т), 1,45 (2Н, м), 1,86 (2Н, м), 2,38 (2Н, т), 2,50 (4Н, м), 2,91 (4Н, м), 3,42 (2Н, м), 4,30 (5Н, м), 7,48 (1Н, д), 7,80 (1Н, д), 8,20 (1Н, с), 9,26 (1Н, с), 13,72 (1Н, шир.с).
ПРИМЕР 9
4-Бутокси-3-(6-этил-5-оксо-6,9-дигидро-5Н-[1,2,4]триазоло-[3,4-i]пурин-8-ил)-N-(2-морфолин-4-илэтил)бензолсульфонамид
Получен в виде белого твердого вещества (61%) из указанного в заголовке соединения получения 6 и N-(2-аминоэтил)морфолина по методике примера 1.
Т.пл. 158°С.
d (ДМСО-d6): 0,93 (3Н, м), 1,41 (5Н, м), 1,84 (2Н, м), 2,30 (6Н, м), 2,90 (2Н, м), 3,48 (4Н, м), 4,30 (4Н, м), 7,43 (1Н, д), 7,59 (1Н, м), 7,88 (1Н, д), 8,37 (1Н, д), 9,26 (1Н, с).
ПРИМЕР 10
8-(2-Бутокси-5-{4-[2-(2-гидроксиэтокси)этил]пиперазин-1-сульфонил}фенил)-6-этил-6,9-дигидро[1,2,4]триазоло[3,4-i]-пурин-5-он
Получен в виде белого твердого вещества (70%) из указанного в заголовке соединения получения 6 и 1-[2-(2-гидроксиэтокси)этил]пиперазина по методике примера 1.
Т.пл. 108°С.
d (ДМСО-d6): 0,94 (3Н, м), 1,42 (5Н, м), 1,83 (2Н, м), 2,46 (6Н, м), 2,91 (4Н, м), 3,36 (6Н, м), 4,32 (4Н, м), 7,47 (1Н, д), 7,78 (1Н, д), 8,22 (1Н, д), 9,27 (1Н, с).
ПРИМЕР 11
8-{2-Этокси-5-[4-морфолин-1-сульфонил]фенил}-6-пропил-6,9-дигидро[1,2,4]триазоло[3,4-i]пурин-5-он
Получен в виде белого твердого вещества (37%) из указанного в заголовке соединения получения 8 и морфолина по методике примера 1.
Т.пл. 265°С.
d (ДМСО-d6): 0,95 (3Н, т), 1,45 (3Н, т), 1,85 (2Н, м), 2,90 (4Н, м), 3,65 (4Н, м), 4,20 (2Н, т), 4,40 (2Н, м), 7,45 (1Н, д), 7,80 (1Н, д), 8,22 (1Н, с), 9,25 (1Н, с), 13,7 (1Н, шир.с).
ПРИМЕР 12
8-[2-Этокси-5-(4-метилпиперазин-1-сульфонил)фенил]-6-пропил-6,9-дигидро[1,2,4]триазоло[3,4-i]пурин-5-он
Получен в виде белого твердого вещества (68%) из указанного в заголовке соединения получения 8 и 1-метилпиперазина по методике примера 1.
Т.пл. 252°С.
d (ДМСО-d6): 1,0 (3Н, т), 1,48 (3Н, т), 1,88 (2Н, м), 2,19 (3Н, с), 2,40 (4Н, м), 2,94 (4Н, м), 4,21 (2Н, т), 4,41 (2Н, кв), 7,48 (1Н, д), 7,82 (1H, д), 8,22 (1Н, с), 9,28 (1H, с), 13,68 (1H, шир.с).
ПРИМЕР 13
8-{2-Этокси-5-[4-(2-гидроксиэтил)пиперазин-1-сульфонил]-фенил}-6-пропил-6,9-дигидро[1,2,4]триазоло[3,4-i]пурин-5-он
Получен а виде белого твердого вещества (21%) из указанного в заголовке соединения получения 8 и 1-(2-гидроксиэтил)пиперазина по методике примера 1.
Т.пл. 223°С.
d (ДМСО-d6): 0,98 (3Н, т), 1,60 (3Н, т), 1,85 (2Н, м), 2,38 (2Н, т), 2,50 (4Н, м), 2,91 (4Н, м), 3,41 (2Н, м), 4,19 (2Н, т), 2,39 (3Н, м), 7,46 (1H, д), 7,81 (1H, д), 8,22 (1H, с), 9,28 (1H, с), 13,72 (1H, шир.с).
ПРИМЕР 14
8-[2-Этокси-5-(пиперазин-1-сульфонил)фенил]-6-пропил-6,9-дигидро[1,2,4]триазоло[3,4-i]пурин-5-он
Получен в виде белого твердого вещества (25%) из указанного в заголовке соединения получения 10 и пиперазина по методике примера 1.
Т.пл. 230°С.
d (ДМСО-d6): 0,97 (3Н, t), 1,00 (3Н, т), 1,86 (4Н, м), 2,81 (8Н, м), 4,19 (2Н, т), 4,37 (2Н, т), 7,46 (1Н, д), 7,78 (1Н, д), 8,19 (1Н, с), 9,26 (1Н, шир.с).
ПРИМЕР 15
8-[5-(Морфолиносульфонил)-2-пропоксифенил]-6-пропил-6,9-дигидро[1,2,4]триазоло[3,4-i]пурин-5-он
Перемешиваемую смесь указанного в заголовке соединения получения 22 (0,22 г, 0,45 ммоль) и муравьиной кислоты (5 мл) нагревают при кипении с обратным холодильником в течение 2 час. Образовавшийся раствор концентрируют в вакууме и остаток распределяют между дихлорметаном и водным раствором бикарбоната натрия, затем органическую фазу отделяют, промывают водой, сушат (MgSO4) и упаривают при пониженном давлении с получением сырого продукта, который очищают хроматографией на флэш-колонке (SiO2, дихлорметан-метанол, 98:2) с получением указанного в заголовке соединения (0,17 г, 76%) в виде не совсем белого твердого вещества.
Т.пл. 169°С.
d (ДМСО-d6): 0,98 (3Н, т), 1,02 (3Н, т), 1,86 (4Н, м), 2,89 (4Н, м), 3,61 (4Н, м), 4,20 (2Н, т), 4,24 (2Н, т), 7,45 (1Н, д), 7,82 (1Н, д), 8,22 (1Н, с), 9,28 (1Н, с), 13,68 (1Н, с).
ПРИМЕР 16
N-(2-Диметиламиноэтил)-3-(5-оксо-6-пропил-6,9-дигидро-5Н-[1,2, 4]триазоло [3,4-i]пурин-8-ил)-4-пропоксибензолсульфонамид
Получен в виде белого твердого вещества (36%) из указанного в заголовке соединения получения 10 и N,N-диметил-этилендиамина по методике примера 1.
LRMS: m/z 503 (М+1)+.
d (ДМСО-d6): 0,98 (3Н, т), 1,02 (3Н, т), 1,86 (4Н, м), 2,89 (4Н, м), 3,61 (4Н, м), 4,20 (2Н, т), 4,24 (2Н, т), 7,45 (1Н, д), 7,82 (1Н, д), 8,22 (1Н, с), 9,28 (1Н, с), 13,68 (1Н, с).
ПРИМЕР 17
3-(5-Оксо-6-пропил-6,9-дигидро-5Н-[1,2,4]триазоло[3,4-i]-пурин-8-ил)-4-пропокси-N-пиридин-4-илбензолсульфонамид
Получен в виде белого твердого вещества (10%) из указанного в заголовке соединения получения 10 и 4-аминопиридина по методике примера 1.
Т.пл. 265°С.
d (ДМСО-d6): 0,98 (3Н, т), 1,02 (3Н, т), 1,86 (4Н, м), 2,89 (4Н, м), 3,61 (4Н, м), 4,20 (2Н, т), 4,24 (2Н, т), 7,45 (1Н, д), 7,82 (1Н, д), 8,22 (1Н, с), 9,28 (1Н, с), 13,68 (1Н, с).
ПРИМЕР 18
8-[5-(4-Метилпиперазиносульфонил)-2-пропоксифенил]-6-пропил-6,9-дигидро[1,2,4]триазоло[3,4-i]пурин-5-он
Получен в виде белого твердого вещества (82%) из указанного в заголовке соединения получения 19 по методике примера 15.
Т.пл. 272°С.
d (ДМСО-d6): 0,98 (3Н, т), 1,00 (3Н, т), 1,83 (4Н, м), 2,18 (3Н, с), 2,38 (4Н, м), 2,86 (4Н, м), 4,19 (2Н, т), 4,28 (2Н, т), 7,44 (1Н, д), 7,80 (1Н, д), 8,19 (1Н, с), 9,23 (1Н, с), 13,75 (1H, шир.с).
ПРИМЕР 19
8-[5-(4-Гидроксипиперидин-1-сульфонил)-2-пропоксифенил]-6-пропил-6,9-дигидро[1,2,4]триазоло[3,4-i]пурин-5-он
Получен в виде белого твердого вещества (35%) из указанного в заголовке соединения получения 10 и 4-гидроксипиперидина по методике примера 1.
LRMS: m/z 516 (М+1)+.
d (ДМСО-d6): 0,98 (6Н, м), 1,48 (2Н, м), 1,74 (2Н, м), 1,84 (4Н, м), 2,77 (2Н, м), 3,16 (2Н, м), 3,60 (1Н, м), 4,21 (1Н, м), 4,68 (1Н, с), 7,45 (1Н, д), 7,78 (1Н, д), 8,20 (1Н, с), 9,26 (1Н, с), 13,8 (1Н, шир.с).
ПРИМЕР 20
N,N-Бис(2-гидроксиэтил)-3-(5-оксо-6-пропил-6,9-дигидро-5Н-[1,2,4]триазоло[3,4-i]пурин-8-ил)-4-пропоксибензолсульфонамид
Получен в виде белого твердого вещества (28%) из указанного в заголовке соединения получения 10 и диэтаноламина по методике примера 1.
LRMS: m/z 520 (М+1)+.
d (ДМСО-d6): 0,97 (6Н, м), 1,86 (4Н, м), 3,20 (4Н, т), 3,54 (4Н, т), 4,20 (4Н, м), 4,82 (2Н, шир.с), 7,41 (1Н, д), 7,83 (1Н, д), 8,31 (1Н, с), 9,23 (1Н, с), 12,0 (1H, шир.с).
ПРИМЕР 21
4-[3-(5-Оксо-6-пропил-6,9-дигидро-5Н-[1,2,4]триазоло[3,4-i]пурин-8-ил)-4-пропоксибензолсульфонил]пиперазин-1-карбальдегид
Получен в виде белого твердого вещества (28%) из указанного в заголовке соединения получения 20 по методике примера 15.
Т.пл. 232°С.
d (ДМСО-d6): 0,95 (3Н, т), 1,0 (3Н, т), 1,86 (4Н, м), 2,93 (4Н, м), 3,45 (4Н, м), 4,20 (2Н, т), 4,24 (2Н, т), 7,46 (1Н, д), 7,80 (1Н, д), 7,94 (1Н, с), 8,20 (1Н, с), 9,26 (1Н, с), 13,76 (1Н, с).
ПРИМЕР 22
8-[5-(4-Метил[1,4]диазепан-1-сульфонил)-2-пропоксифенил]-6-пропил-6,9-дигидро[1,2,4]триазоло[3,4-i]пурин-5-он
Получен в виде белого твердого вещества (32%) из указанного в заголовке соединения получения 21 по методике примера 15.
Т.пл. 193°С.
d (DMSO-d6): 0,96 (3Н, т), 0,98 (3Н, т), 1,8 (6Н, м), 2,22 (3Н, с), 2,50 (2Н, м), 2,58 (2Н, м), 3,32 (4Н, м), 4,18 (2Н, т), 4,26 (2Н, т), 7,40 (1Н, д), 7,83 (1Н, д), 8,22 (1Н, с), 9,25 (1Н, с).
ПРИМЕР 23
8-[5-(4-Этилпиперазин-1-супьфонил)-2-пропоксифенил]-6-пропил-6,9-дигидро[1,2,4]триазоло[3,4-i]пурин-5-он
Получен в виде белого твердого вещества (48%) из указанного в заголовке соединения получения 10 и 1-этилпиперазина по методике примера 1.
LRMS: m/z 529 (М+1)+.
d (ДМСО-d6): 0,97 (9Н, м), 1,83 (4Н, м), 2,36 (2Н, м), 2,45 (2Н, м), 2,94 (4Н, м), 3,35 (2Н, м), 4,19 (2Н, т), 4,27 (2Н, т), 7,47 (1Н, д), 7,80 (1Н, д), 8,19 (1Н, с), 9,26 (1Н, с).
ПРИМЕР 24
Амид 1-[3-(5-оксо-6-пропил-6,9-дигидро-5Н-[1,2,4]триазоло-[3,4-i]пурин-8-ил)-4-пропоксибензолсульфонил]пиперидин-4-карбоновой кислоты
Получен в виде белого твердого вещества (12%) из указанного в заголовке соединения получения 10 и изонипекотамида по методике примера 1.
Т.пл. 272°С.
d (ДМСО-d6): 0,96 (3Н, т), 0,98 (3Н, т), 1,58 (2Н, м), 1,6-1,8 (6Н, м), 2,07 (1Н, м), 2,36 (2Н, м), 3,57 (2Н, м), 4,19 (2Н, т), 4,28 (2Н, т), 6,81 (1Н, с), 7,20 (1Н, с), 7,46 (1Н, д), 7,82 (1Н, д), 8,20 (1Н, с), 9,27 (1Н, с), 13,72 (1Н, с).
ПРИМЕР 25
Амид 1-[3-(5-оксо-6-пропил-6,9-дигидро-5Н-[1,2,4]триазоло-[3,4-i]пурин-8-ил)-4-пропоксибензолсульфонил]пиперидин-3-карбоновой кислоты
Получен в виде белого твердого вещества (55%) из указанного в заголовке соединения получения 10 и нипекотамида по методике примера 1.
LRMS: m/z 543 (М+1)+.
d (ДМСО-d6): 0,97 (6Н, м), 1,21 (1Н, м), 1,50 (1H, м), 1,82 (6Н, м), 2,26 (2Н, м), 2,40 (1Н, м), 3,62 (2Н, м), 4,18 (2Н, т), 4,27 (2Н, т), 6,95 (1Н, с), 7,42 (1Н, с), 7,46 (1Н, д), 7,80 (1Н, д), 8,20 (1Н, с), 9,25 (1Н, s), 13,75 (1Н, с).
ПРИМЕР 26
3-(5-Оксо-6-пропил-6,9-дигидро-5Н-[1,2,4]триазоло[3,4-i]-пурин-8-ил)-N-(2-пиперидин-1-илэтил)-4-пропоксибензол-сульфонамид
Получен в виде белого твердого вещества (45%) из указанного в заголовке соединения получения 10 и 1-(2-аминоэтил)пиперидина по методике примера 1.
LRMS: m/z 543 (М+1)+.
d (ДМСО-d6): 9,26 (1H, с), 8,32 (1Н, с), 7,83 (1H, д), 7,62 (1H, с), 7,43 (1H, д), 4,21 (4Н, м), 2,92 (2Н, м), 2,41 (6Н, м), 1,86 (4Н, м), 1,46 (4Н, м), 1,38 (2Н, м), 0,97 (6Н, m).
ПРИМЕР 27
8-{5-[4-(2-Гидроксиэтил)пиперазин-1-сульфонил]-2-пропоксифенил}-6-пропил-6,9-дигидро[1,2,4]триазоло[3,4-i]пурин-5-он
Получен в виде белого твердого вещества (41%) из указанного в заголовке соединения получения 10 и 1-(2-гидроксиэтил)пиперазина по методике примера 1.
Т.пл. 194°С.
d (ДМСО-d6): 0,95 (3Н, т), 0,99 (3Н, т), 1,84 (4Н, м), 2,36 (2Н, м), 2,50 (4Н, м), 2,82 (4Н, м), 3,40 (2Н, м), 4,18 (2Н, т), 4,28 (2Н, т), 4,37 (1H, шир.с), 7,46 (1H, д), 7,80 (1H, д), 8,18 (1H, с), 9,26 (1H, с), 13,76 (1H, шир.с).
ПРИМЕР 28
N-(2-Морфолин-4-илэтил)-3-(5-оксо-6-пропил-6,9-дигидро-5Н-[1,2,4]триазоло[3,4-i]пурин-8-ил)-4-пропоксибензолсульфонамид
Получен в виде белого твердого вещества (40%) из указанного в заголовке соединения получения 10 и 4-(2-аминоэтил)морфолина по методике примера 1.
LRMS: m/z 545 (M+1)+.
d (DMSO-d6): 0,97 (6H, м), 1,85 (4Н, м), 2,28 (6Н, м), 2,90 (2Н, м), 3,48 (4Н, м), 4,23 (4Н, м), 7,43 (1Н, д), 7,62 (1Н, с), 7,90 (1Н, д), 8,32 (1Н, с), 9,26 (1Н, с), 13,60 (1Н, шир.с).
ПРИМЕР 29
N-(3-Морфолин-4-илпропил)-3-(5-оксо-6-пропил-6,9-дигидро-5Н-[1,2,4]триазоло[3,4-i]пурин-8-ил)-4-пропоксибензолсульфонамид
Получен в виде белого твердого вещества (29%) из указанного в заголовке соединения получения 10 и 4-(3-аминопропил)морфолина по методике примера 1.
LRMS: m/z 559 (М+1)+.
d (ДМСО-d6): 0,97 (6H, м), 1,86 (4Н, м), 2,30 (6H, м), 2,81 (2Н, м), 3,51 (4Н, м), 4,23 (4Н, м), 7,43 (1Н, д), 7,63 (1Н, с), 7,85 (1Н, д), 8,31 (1Н, с), 9,25 (1Н, с).
ПРИМЕР 30
8-(5-{4-[2-(2-Гидроксиэтокси)этил]пиперазин-1-сульфонил}-2-пропоксифенил)-6-пропил-6,9-дигидро[1,2,4]триазоло[3,4-i]-пурин-5-он
Получен в виде белого твердого вещества (60%) из указанного в заголовке соединения получения 10 и 1-[2-(2-гидроксиэтокси)этил]пиперазина по методике примера 1.
Т.пл. 116°С.
d (ДМСО-d6): 1,03 (6Н, м), 1,84 (4Н, м), 2,45 (6Н, м), 2,92 (4Н, м), 3,39 (6Н, м), 4,21 (4Н, м), 4,58 (1Н, с), 7,41 (1Н, д).
ПРИМЕР 31
8-[2-Бутокси-5-(морфолин-4-сульфонил)фенил]-6-пропил-6,9-дигидро[1,2,4]триазоло[3,4-i]пурин-5-он
Получен в виде белого твердого вещества (39%) из указанного в заголовке соединения получения 23 по методике примера 15.
Т.пл. 208°С.
d (ДМСО-d6): 0,94 (3Н, т), 0,96 (3Н, т), 1,48 (2Н, м), 1,84 (4Н, м), 2,93 (4Н, м), 3,64 (4Н, м), 4,20 (2Н, т), 4,31 (2Н, т), 7,48 (1Н, д), 7,82 (1Н, д), 8,20 (1Н, с), 9,26 (1Н, с), 13,76 (1Н, с).
ПРИМЕР 32
8-[5-(2-Бутокси-4-метилпиперазиносульфонил)фенил]-6-пропил-6,9-дигидро[1,2,4]триазоло[3,4-i]пурин-5-он
Получен в виде белого твердого вещества (17%) из указанного в заголовке соединения получения 24 по методике примера 15.
Т.пл. 208°С.
d (ДМСО-d6): 0,91 (3Н, т), 0,92 (3Н, м), 1,43 (2Н, м), 1,81 (4Н, м), 2,09 (3Н, с), 2,36 (4Н, м), 2,88 (4Н, м), 4,17 (2Н, т), 4,26 (2Н, т), 7,44 (1Н, д), 7,79 (1H, д), 8,17 (1Н, с), 9,25 (1H, с).
ПРИМЕР 33
6-Бутил-8-[2-этокси-5-(4-метилпиперазин-1-сульфонил)фенил]-6,9-дигидро[1,2,4]триазоло[3,4-i]пурин-5-он
Получен в виде белого твердого вещества (72%) из указанного в заголовке соединения получения 12 и 1-метилпиперазина по методике примера 1.
Т.пл. 238°С.
d (ДМСО-d6): 0,99 (3Н, т), 1,42 (5Н, м), 1,82 (2Н, м), 2,16 (3Н, с), 2,40 (4Н, м), 2,92 (4Н, м), 4,22 (2Н, т), 4,40 (2Н, кв), 7,44 (1Н, д), 7,80 (1H, д), 8,22 (1Н, с), 9,24 (1H, с), 13,48 (1H, с).
ПРИМЕР 34
6-Бутил-8-{2-этокси-5-[4-(2-гидроксиэтил) пиперазин-1-сульфонил]фенил}-6,9-дигидро[1,2,4]триазоло[3,4-i]пурин-5-он
Получен в виде белого твердого вещества (45%) из указанного в заголовке соединения получения 12 и 1-(2-гидроксиэтил)пиперазина по методике примера 1.
Т.пл. 241°С.
d (ДМСО-d6): 0,92 (3Н, т), 1,38 (2Н, м), 1,41 (3Н, т), 1,80 (2Н, м), 2,38 (2Н, т), 2,48 (4Н, м), 2,88 (4Н, м), 3,40 (2Н, м), 4,21 (2Н, т), 4,40 (2Н, кв), 7,43 (1H, д), 7,80 (1H, д), 8,24 (1H, с), 9,24 (1H, с), 13,68 (1H, с).
ПРИМЕР 35
3-(6-Бутил-5-оксо-6,9-дигидро-5Н-[1,2,4]триазоло[3,4-i]пурин-8-ил)-N-(2-диметиламиноэтил)-4-пропоксибензолсульфонамид
Получен в виде белого твердого вещества (71%) из указанного в заголовке соединения получения 14 и N,N-диметилэтилендиамина по методике примера 1.
Т.пл. 181°С.
d (ДМСО-d6): 0,96 (6Н, м), 1,37 (2Н, м), 1,84 (4Н, м), 2,08 (6Н, с), 2,29 (2Н, м), 2,86 (2Н, м), 4,25 (4Н, м), 7,42 (1Н, д), 7,57 (1Н, шир.с), 7,86 (1Н, д), 8,34 (1Н, д), 9,24 (1Н, с).
ПРИМЕР 36
6-Бутил-8-[2-пропокси-5-(4-пиридиламиносульфонил)]фенил-6,9-дигидро[1,2,4]триазоло[3,4-i]пурин-5-он
Получен в виде белого твердого вещества (39%) из указанного в заголовке соединения получения 14 и 4-аминопиридина по методике примера 1.
Т.пл. 282°С.
d (ДМСО-d6): 0,97 (6Н, м), 1,40 (2Н, м), 1,82 (4Н, м), 4,22 (4Н, м), 6,97 (2Н, шир.с), 7,38 (1Н, д), 7,89 (1Н, д), 8,03 (2Н, шир.с), 8,39 (1Н, с), 9,23 (1Н, с).
ПРИМЕР 37
6-Бутил-8-(2-пропокси-5-[4-(метилпиперазин-1-сульфонил)-фенил]-6, 9-дигидро [1,2,4]триазоло[3,4-i]пурин-5-он
Получен в виде белого твердого вещества (78%) из указанного в заголовке соединения получения 14 и 1-метилпиперазина по методике примера 1.
Т.пл. 220°С.
d (ДМСО-d6): 0,83 (6Н, м), 1,36 (2Н, м), 1,80 (4Н, м), 2,12 (3Н, с), 2,38 (4Н, м), 2,92 (4Н, м), 4,23 (4Н, м), 7,45 (1Н, д), 7,79 (1Н, д), 8,19 (1Н, с), 9,21 (1Н, с), 13,69 (1Н; шир.с).
ПРИМЕР 38
6-Бутил-8-[5-(4-гидроксипиперидин-1-сульфонил)-2-пропоксифенил]-6,9-дигидро[1,2,4]триазоло[3,4-i]пурин-5-он
Получен в виде белого твердого вещества (70%) из указанного в заголовке соединения получения 14 и 4-гидроксипиперидина по методике примера 1.
Т.пл. 262°С.
d (ДМСО-d6): 0,97 (6Н, м), 1,41 (4Н, м), 1,81 (6Н, м), 2,78 (2Н, м), 3,16 (2Н, м), 3,55 (1Н, шир.с), 4,24 (4Н, м), 4,67 (1Н, д), 7,45 (1Н, д), 7,80 (1Н, д), 8,23 (1Н, д), 9,25 (1Н, с).
ПРИМЕР 39
3-(6-Бутил-5-оксо-6,9-дигидро-5Н-[1,2,4]триазоло[3,4-i] пурин-8-ил)-N,N-бис(2-гидроксиэтил)-4-пропоксибензолсульфонамид
Получен в виде белого твердого вещества (50%) из указанного в заголовке соединения получения 14 и диэтаноламина по методике примера 1.
Т.пл. 202°С.
d (ДМСО-d6): 0,97 (6Н, м), 1,38 (2Н, м), 1,82 (4Н, м), 3,19 (4Н, м), 3,54 (4Н, м), 4,25 (4Н, м), 4,84 (2Н, м), 7,42 (1Н, д), 7,87 (1Н, д), 8,29 (1Н, д), 9,25 (1Н, с), 13,69 (1Н, с).
ПРИМЕР 40
6-Бутил-8-[5-(4-метил[1,4]диазепан-1-сульфонил)-2-пропоксифенил]-6,9-дигидро[1,2,4]триазоло[3,4-i]пурин-5-он
Получен в виде белого твердого вещества (39%) из указанного в заголовке соединения получения 14 и 1-метилгомопиперазина по методике примера 1.
Т.пл. 282°С.
d (CDCl3): 1,03 (3H, т), 1,14 (3H, т), 1,47 (2Н, м), 1,8-2,2 (6Н, м), 2,38 (3H, с), 2,68 (4Н, м), 3,46 (4Н, м), 4,38 (4Н, м), 7,19 (1Н, д), 7,86 (1Н, д), 8,79 (1Н, с), 8,96 (1Н, с).
ПРИМЕР 41
6-Бутил-8-{2-пропокси-5-[4-(этилпиперазин-1-сульфонил)фенил}-6,9-дигидро[1,2,4]триазоло[3,4-i]пурин-5-он
Получен в виде белого твердого вещества (61%) из указанного в заголовке соединения получения 14 и 1-этилпиперазина по методике примера 1.
Т.пл. 208°С.
d (CDCl3): 0,98 (6Н, м), 1,16 (3H, т), 1,48 (2Н, м), 1,91 (2Н, м), 2,04 (2Н, м), 2,42 (2Н, кв), 2,54 (4Н, м), 3,13 (4Н, м), 4,37 (4Н, м), 7,09 (1Н, д), 7,82 (1Н, д), 8,77 (1Н, с), 8,97 (1Н, с).
ПРИМЕР 42
3-(6-Бутил-5-оксо-6,9-дигидро-5Н-[1,2,4]триазоло[3,4-i]пурин-8-ил)-N-(2-пиперидин-3-илэтил)-4-пропоксибензолсульфонамид
Получен в виде белого твердого вещества (60%) из указанного в заголовке соединения получения 14 и 1-(2-аминоэтил)пиперидина по методике примера 1.
Т.пл. 186°С.
d (ДМСО-d6): 0,96 (6Н, м), 1,33 (8Н, м), 1,83 (4Н, м), 2,28 (6Н, м), 2,87 (2Н, м), 4,24 (4Н, м), 7,41 (1Н, д), 7,51 (1Н, м), 7,85 (1Н, д), 8,33 (1Н, д), 9,23 (1Н, с).
ПРИМЕР 43
6-Бутил-8-(2-пропокси-5-[4-(2-гидроксиэтил) пиперазин-1-сульфонил]фенил]-6,9-дигидро[1,2,4]триазоло[3,4-i]пурин-5-он
Получен в виде белого твердого вещества (81%) из указанного в заголовке соединения получения 14 и 1-(2-гидроксиэтил)пиперазина по методике примера 1.
Т.пл. 242°С.
d (ДМСО-d6): 0,96 (3H, т), 1,0 (3H, т), 1,38 (2Н, м), 1,86 (4Н, м), 2,37 (2Н, т), 2,50 (4Н, м), 2,92 (4Н, м), 3,43 (2Н, м), 4,26 (4Н, м), 4,37 (1Н, шир.с), 7,47 (1Н, д), 7,80 (1Н, д), 8,21 (1Н, с), 9,25 (1Н, с), 13,70 (1Н, шир.с).
ПРИМЕР 44
3-(6-Бутил-5-оксо-6,9-дигидро-5Н-[1,2,4]триазоло[3,4-i]пурин-8-ил)-N-(2-морфолин-4-илэтил)-4-пропоксибензолсульфонамид
Получен в виде белого твердого вещества (72%) из указанного в заголовке соединения получения 14 и 4-(2-аминоэтил)морфолина по методике примера 1.
Т.пл. 192°С.
d (ДМСО-d6): 0,95 (6Н, м), 1,38 (2Н, м), 1,83 (4Н, м), 2,28 (6Н, м), 2,90 (2Н, м), 3,46 (4Н, м), 4,25 (4Н, м), 7,42 (1Н, д), 7,59 (1H, м), 7,87 (1Н, д), 8,33 (1H, д), 9,25 (1H, с).
ПРИМЕР 45
3-(6-Бутил-5-оксо-6,9-дигидро-5Н-[1,2,4]триазоло[3,4-i]пурин-8-ил)-N-(3-морфолин-4-илпропил)-4-пропоксибензолсульфонамид
Получен в виде белого твердого вещества (65%) из указанного в заголовке соединения получения 14 и 4-(3-аминопропил)морфолина по методике примера 1.
Т.пл. 174°С.
d (ДМСО-d6): 0,96 (6Н, м), 1,38 (2Н, м), 1,52 (2Н, м), 1,84 (4Н, м), 2,21 (6Н, м), 2,81 (2Н, м), 3,47 (4Н, м), 4,25 (4Н, м), 7,43 (1H, д), 7,63 (1H, м), 7,84 (1H, д), 8,32 (1H, д), 9,25 (1H, с).
ПРИМЕР 46
3-(6-Бутил-6-оксо-6,9-дигидро-5Н-[1,2,4]триазоло[3,4-i] пурин-8-ил)-N-метил-N-(2-морфолин-4-илэтил)-4-пропоксибензолсульфонамид
Получен в виде белого твердого вещества (65%) из указанного в заголовке соединения получения 14 и 4-(3-аминопропил)морфолина по методике примера 1.
Т.пл. 170°С.
d (ДМСО-d6): 0,97 (6Н, м), 1,38 (2Н, м), 1,82 (4Н, м), 2,46 (6Н, м), 2,76 (3H, с), 3,12 (2Н, м), 3,51 (4Н, м), 4,24 (4Н, м), 7,43 (1H, д), 7,84 (1H, д), 8,26 (1H, д), 9,25 (1H, с).
ПРИМЕР 47
6-Бутил-8-(5-{4-[2-(2-гидроксиэтокси)этил]пиперазин-3-сульфонил}-2-пропоксифенил)-6,9-дигидро[1,2,4]триазоло-[3,4-i]пурин-5-он
Получен в виде белого твердого вещества (64%) из указанного в заголовке соединения получения 14 и 1-[2-(2-гидроксиэтокси)этил]пиперазина по методике примера 1.
Т.пл. 143°С.
d (ДМСО-d6): 0,83 (6Н, м), 1,27 (2Н, м), 1,68 (4Н, м), 2,35 (6Н, м), 2,75 (4Н, м), 3,23 (6Н, м), 4,11 (4Н, м), 7,31 (1Н, д), 7,63 (1Н, д), 8,06 (1Н, с), 9,10 (1Н, с).
ПРИМЕР 48
6-Бутил-8-(2-бутокси-5-[4-(метилпиперазин-1-сульфонил)фенил]-6,9-дигидро[1,2,4]триазоло[3,4-i]пурин-5-он
Получен в виде белого твердого вещества (62%) из указанного в заголовке соединения получения 16 и 1-метилпиперазина по методике примера 1.
Т.пл. 201°С.
d (ДМСО-d6): 0,98 (6Н, м), 1,4 (4Н, м), 1,8 (4Н, м), 2,19 (3H, с), 2,4 (4Н, м), 2,90 (4Н, м), 4,25 (2Н, т), 4,30 (2Н, т), 7,45 (1Н, д), 7,79 (1Н, д), 8,20 (1Н, с), 9,25 (1Н, с), 13,65 (1Н, шир.с).
ПРИМЕР 49
6-Бутил-8-(2-бутокси-5-[4-(2-гидроксиэтил)пиперазин-1-сульфонил)фенил]-6,9-дигидро[1,2,4]триазоло[3,4-i]пурин-5-он
Получен в виде белого твердого вещества (66%) из указанного в заголовке соединения получения 16 и 1-метилпиперазина по методике примера 1.
Т.пл. 218°С.
d (ДМСО-d6): 0,95 (6Н, м), 1,20 (4Н, м), 1,85 (4Н, м), 2,40 (2Н, т), 2,51 (4Н, м), 2,92 (4Н, м), 3,40 (2Н, м), 4,25 (5Н, м), 7,48 (1Н, д), 7,80 (1Н, д), 8,24 (1Н, с), 9,28 (1Н, с), 13,65 (1Н, шир.с).
ПРИМЕР 50
8-[5-(4-Метилпиперазин-1-сульфонил)-2-пропоксифенил]-6-пиридин-2-илметил-6,9-дигидро[1,2,4]триазоло[3,4-i]пурин-5-он
Получен в виде белого твердого вещества (82%) из указанного в заголовке соединения получения 26 и 1-метилпиперазина по методике примера 1.
Т.пл. 227°С.
d (ДМСО-d6): 0,93 (3H, м), 1,80 (2Н, м), 2,13 (3H, с), 2,35 (4Н, м), 2,87 (4Н, м), 4,24 (2Н, м), 5,53 (2Н, м), 7,28, (1Н, м), 7,44 (2Н, м), 7,75 (2Н, м), 8,09 (1Н, д), 8,45 (1Н, д), 9,31 (1Н, с).
ПРИМЕР 51
8-[5-(N,N-Диметиламиносульфонил)-2-пропоксифенил]-3-метил-6-пропил-6,9-дигидро[1,2,4]триазоло[3,4-i]пурин-5-он
Получен в виде белого твердого вещества (65%) из указанного в заголовке соединения получения 18 и диметиламина по методике примера 1.
Т.пл. 226°С.
d (ДМСО-d6): 0,96 (3H, т), 0,98 (3H, т), 1,84 (4Н, м), 2,62 (6Н, с), 2,78 (3H, с), 4,16 (2Н, т), 4,24 (2Н, т), 7,44 (1Н, д), 7,81 (1Н, д), 8,21 (1Н, с), 13,59 (1Н, с).
ПРИМЕР 52
3-Метил-8-[5-(4-метилпиперазин-1-сульфонил)-2-пропоксифенил]-6-пропил-6,9-дигидро[1,2,4]триазоло[3,4-i]пурин-5-он
Получен в виде белого твердого вещества (62%) из указанного в заголовке соединения получения 18 и 1-метилпиперазина по методике примера 1.
Т.пл. 226°С.
d (ДМСО-d6): 0,96 (3H, м), 0,99 (3H, т), 1,82 (4Н, м), 2,16 (3H, с), 2,37 (4Н, м), 2,78 (3H, с), 2,84 (4Н, м), 4,14 (2Н, т), 4,28 (2Н, т), 7,44 (1Н, д), 7,78 (1Н, д), 8,19 (1Н, с), 13,60 (1Н, с).
ПРИМЕР 53
8-{5-[4-(2-Гидроксиэтил)пиперазин-1-сульфонил]-2-пропоксифенил}-3-метил-6-пропил-6,9-дигидро[1,2,4]триазоло[3,4-i]-пурин-5-он
Получен в виде белого твердого вещества (61%) из указанного в заголовке соединения получения 18 и 1-(2-гидроксиэтил)пиперазина по методике примера 1.
Т.пл. 199°С.
d (ДМСО-d6): 0,92 (3H, т), 0,98 (3H, т), 1,82 (4Н, м), 2,38 (2Н, м), 2,46 (4Н, м), 2,77 (3H, с), 2,84 (4Н, м), 3,39 (2Н, м), 4,16 (2Н, т), 4,24 (2Н, т), 4,37 (1Н, т), 7,43 (1Н, д), 7,79 (1Н, д), 8,18 (1Н, с), 13,60 (1Н, с).
ПРИМЕР 54
6-Бутил-8-[5-(4-метилпиперазин-1-сульфонил)-2-пропоксифенил]-3-пропил-6,9-дигидро[1,2,4]триазоло[3,4-i] пурин-5-он
Получен в виде твердого вещества кремового цвета (77%) из указанного в заголовке соединения получения 28 и 1-метилпиперазина по методике примера 1.
Т.пл. 206°С.
d (ДМСО-d6): 0,97 (9Н, м), 1,37 (2Н, м), 1,81 (6Н, м), 2,14 (3H, с), 2,37 (4Н, м), 2,92 (4Н, м), 3,19 (2Н, м), 4,17 (2Н, м), 4,26 (2Н, м), 7,45 (1Н, д), 7,79 (1Н, д), 8,19 (1Н, д), 13,59 (1Н, шир.с).
ПРИМЕР 55
6-Бутил-8-{5-[4-(2-гидроксиэтил)пиперазин-1-сульфонил]-2-пропоксифенил}-3-пропил-6,9-дигидро[1,2,4]триазоло[3,4-i]-пурин-5-он
Получен в виде бледно-желтого твердого вещества (83%) из указанного в заголовке соединения получения 28 и 1-(2-гидроксиэтил)пиперазина по методике примера 1.
Т.пл. 193°С.
d (ДМСО-d6): 0,97 (9Н, м), 1,37 (2Н, м), 1,81 (6Н, м), 2,14 (3H, с), 2,37 (4Н, м), 2,92 (4Н, м), 3,19 (2Н, м), 4,17 (2Н, м), 4,26 (2Н, м), 7,45 (1Н, д), 7,79 (1Н, д), 8,19 (1Н, д), 13,59 (1Н, шир.с).
ПРИМЕР 56
6-Бутил-8-(5-{4-[2-(2-гидроксиэтокси)этил]пиперазин-1-сульфонил}-2-пропоксифенил)-3-пропил-6,9-дигидро[1,2,4]-триазоло[3,4-i]пурин-5-он
Получен в виде бледно-желтого твердого вещества (81%) из указанного в заголовке соединения получения 28 и 1-[2-(2-гидроксиэтокси)этил]пиперазина по методике примера 1.
Т.пл. 144°С.
d (ДМСО-d6): 0,97 (9Н, м), 1,38 (2Н, м), 1,81 (6Н, м), 2,46 (6Н, м), 2,91 (4Н, м), 3,19 (2Н, м), 3,37 (6Н, м), 4,18 (2Н, м), 4,27 (2Н, м), 7,45 (1Н, д), 7,80 (1Н, д), 8,19 (1Н, д).
ПРИМЕР 57
3-Бензил-8-[5-(4-метилпиперазин-1-сульфонил]-2-пропоксифенил]-6-пропил-6,9-дигидро[1,2,4]триазоло[3,4-i]пурин-5-он
К смеси указанного в заголовке соединения получения 19 (0,5 г, 1,0 ммоль) и триэтиламина (0,2 мл, 1,3 ммоль) в дихлорметане (40 мл) добавляют фенилацетилхлорид (0,17 мл, 1,3 ммоль) и образовавшуюся смесь перемешивают при комнатной температуре в течение 24 час, затем упаривают при пониженном давлении. К остатку добавляют толуол (40 мл) и каталитическое количество п-толуолсульфоновой кислоты и образовавшуюся смесь кипятят с обратным холодильником в течение 2 час с использованием устройства Дина-Старка, затем упаривают при пониженном давлении с получением сырого продукта, который очищают хроматографией на флэш-колонке (SiO2, дихлорметан-этанол-водный аммиак, 100:4:0,5) с получением указанного в заголовке соединения (0,11 г, 18%) в виде белого твердого вещества.
Т.пл. 202°С.
d (ДМСО-d6): 0,92 (3H, т), 0,96 (3H, т), 1,81 (4Н, м), 2,14 (3H, с), 2,37 (4Н, м), 2,92 (4Н, м), 4,12 (2Н, т), 4,25 (2Н, т), 4,65 (2Н, с), 7,30 (5Н, м), 7,45 (1Н, д), 7,77 (1Н, д), 8,17 (1Н, с).
ПРИМЕР 58
6-Изобутил-8-[5-(4-метилпиперазин-1-сульфонил)-2-пропоксифенил]-6,9-дигидро[1,2,4]триазоло[3,4-i]пурин-5-он
Получен в виде белого твердого вещества (51%) из указанного в заголовке соединения получения 30 и 1-метилпиперазина по методике примера 1.
LRMS: m/z 528 (М+1)+.
(ДМСО-d6): 0,94 (9Н, м), 1,83 (2Н, м), 2,18 (3H, с), 2,40 (1Н, м), 2,45 (4Н, м), 2,93 (4Н, м), 4,02 (2Н, д), 4,24 (2Н, т), 7,44 (1Н, д), 7,78 (1Н, дд), 8,16 (1:4, д), 9,24 (1Н, с), 13,7 (1H, шир.с).
ПРИМЕР 59
6-Изобутил-8-[5-(4-метил[1,4]диазеран-1-сульфонил]-2-пропоксифенил]-6,9-дигидро[1,2,4]триазоло[3,4-i]пурин-5-он
Получен в виде белого твердого вещества (41%) из указанного в заголовке соединения получения 30 и 1-метилгомопиперазина по методике примера 1.
LRMS: m/z 542 (М+1)+.
(ДМСО-d6): 1,02 (9Н, м), 1,88 (5Н, м), 2,48 (1H, м), 2,51 (2Н, м), 2,86 (4Н, м), 3,32 (4Н, м), 4,05 (2Н, д), 4,26 (2Н, т), 7,43 (1H, д), 7,86 (1H, дд), 8,24 (1H, с), 9,27 (1H, с).
ПРИМЕР 60
3-(6-Изобутил-5-оксо-6,9-дигидро-5Н-[1,2,4]триазоло[3,4-i]-пурин-8-ил)-N-(2-морфолин-4-илэтил)-4-пропоксибензолсульфонамид
Получен в виде белого твердого вещества (49%) из указанного в заголовке соединения получения 30 и 4-(2-аминоэтил)морфолина по методике примера 1.
LRMS: m/z 558 (М+1)+.
(ДМСО-d6): 1,00 (9Н, м), 1,85 (2Н, м), 2,35 (6Н, м), 2,94 (2Н, м), 3,40 (4Н, м), 4,06 (2Н, д), 4,26 (2Н, т), 7,43 (1Н, д), 7,70 (1Н, шир.с), 7,88 (1Н, дд), 8,30 (1Н, д), 9,26 (1Н, с), 13,65 (1Н, шир.с).
ПРИМЕР 61
3-(6-Изобутил-5-оксо-6,9-дигидро-5Н-[1,2,4]триазоло[3,4-i]-пурин-8-ил)-N-(3-морфолин-4-илпропил)-4-пропоксибензолсульфонамид
Получен в виде белого твердого вещества (29%) из указанного в заголовке соединения получения 30 и 4-(3-аминопропил)морфолина по методике примера 1.
LRMS: m/z 572 (М+1)+.
(ДМСО-d6): 1,09 (9Н, м), 1,59 (2Н, м), 1,85 (2Н, м), 2,40 (6Н, м), 2,81 (2Н, м), 3,37 (4Н, м), 4,06 (2Н, д), 4,26 (2Н, т), 7,43 (1Н, д), 7,70 (1Н, т), 7,85 (1Н, дд), 8,30 (1Н, д), 9,26 (1Н, с), 13,5 (1Н, шир.с).
ПРИМЕР 62
8-[5-(4-Этилпиперазин-1-сульфонил)-2-пропоксифенил]-6-изобутил-6,9-дигидро[1,2,4]триазоло[3,4-i] пурин-5-он
Получен в виде белого твердого вещества (52%) из указанного в заголовке соединения получения 30 и 1-этилпиперазина по методике примера 1.
LRMS: m/z 542 (М+1)+.
(ДМСО-d6): 1,00 (12H, м), 1,86 (2Н, м), 2,45 (7Н, м), 2,97 (4Н, м), 4,05 (2Н, д), 4,27 (2Н, т), 7,47 (1Н, д), 7,81 (1Н, дд), 8,20 (1Н, д), 9,27 (1Н, с), 13,7 (1Н, шир.с).
ПРИМЕР 63
8-{5-[4-(2-Гидроксиэтил)пиперазин-1-сульфонил]-2-пропоксифенил}-6-изобутил-6,9-дигидро[1,2,4]триазоло[3,4-i]пурин-5-он
Получен в виде белого твердого вещества (42%) из указанного в заголовке соединения получения 30 и 1-(2-гидроксиэтил)пиперазина по методике примера 1.
LRMS: m/z 558 (М+1)+.
(ДМСО-d6): 1,00 (9Н, м), 1,86 (2Н, м), 2,36 (1Н, м), 2,64 (4Н, м), 2,99 (4Н, м), 3,35 (4Н, м), 4,05 (2Н, д), 4,27 (2Н, т), 4,56 (1Н, шир.с), 7,47 (1Н, д), 7,81 (1Н, дд), 8,19 (1Н, д), 9,27 (1Н, с), 13,8 (1Н, шир.с).
ПРИМЕР 64
8-[5-(4-Гидроксипиперидин-1-сульфонил)-2-пропоксифенил]-6-изобутил-6,9-дигидро[1,2,4]триазоло[3,4-i]пурин-5-он
Получен в виде белого твердого вещества (53%) из указанного в заголовке соединения получения 30 и 4-гидроксипиперидина по методике примера 1.
LRMS: m/z 529 (М+1)+.
(ДМСО-d6): 0,95 (9Н, м), 1,45 (2Н, м), 1,79 (4Н, м), 2,36 (1Н, м), 2,77 (2Н, м), 3,17 (2Н, м), 3,55 (1Н, м), 4,04 (2Н, д), 4,26 (2Н, т), 4,69 (1Н, д), 7,45 (1Н, д), 7,80 (1Н, дд), 8,20 (1Н, д), 9,26 (1Н, с), 13,76 (1Н, с).
ПРИМЕР 65
3-(6-Изобутил-5-оксо-6,9-дигидро-5Н-[1,2,4]триазоло[3,4-i]-пурин-8-ил)-N-(2-пиперидин-1-илэтил)-4-пропоксибензолсульфонамид
Получен в виде белого твердого вещества (60%) из указанного в заголовке соединения получения 30 и 1-(2-аминоэтил)пиперидина по методике примера 1.
LRMS: m/z 556 (М+1)+.
(ДМСО-d6): 1,00 (9Н, м), 1,41 (2Н, м), 1,55 (4Н, м), 1,87 (2Н, м), 2,38 (1Н, м), 2,65 (4Н, м), 3,03 (4Н, м), 4,06 (2Н, д), 4,27 (2Н, т), 7,44 (1Н, д), 7,89 (1Н, дд), 7,82 (1Н, шир.с), 8,31 (1Н, д), 9,26 (1Н, с).
ПРИМЕР 66
N-(2-Диметиламиноэтил)-3-(6-изобутил-5-оксо-6,9-дигидро-5Н-[1,2,4]триазоло[3,4-i]пурин-8-ил)-4-пропоксибензолсульфонамид
Получен в виде белого твердого вещества (43%) из указанного в заголовке соединения получения 30 и N,N’-диметилэтилендиамина по методике примера 1.
LRMS: m/z 516 (М+1)+.
(ДМСО-d6): 0,95 (9Н, м), 1,84 (2Н, м), 2,33 (1Н, м), 2,33 (6Н, с), 2,61 (2Н, м), 2,94 (2Н, м), 4,03 (2Н, д), 4,23 (2Н, т), 7,41 (1H, д), 7,82 (1H, шир.с), 7,86 (1H, дд), 8,28 (1H, д), 9,23 (1H, с).
ПРИМЕР 67
6-Изобутил-8-[5-(морфолиносульфонил)-2-пропоксифенил]-6,9-дигидро[1,2,4]триазоло[3,4-i]пурин-5-он
Получен в виде белого твердого вещества (53%) из указанного в заголовке соединения получения 30 и морфолина по методике примера 1.
LRMS: m/z 515 (М+1)+.
(ДМСО-d6): 0,96 (9Н, м), 1,83 (2Н, м), 2,33 (1H, м), 2,88 (4Н, м), 3,62 (4Н, м), 4,02 (2Н, д), 4,24 (2Н, т), 7,45 (1H, д), 7,78 (1H, д), 8,16 (1H, с), 9,23 (1H, с), 13,77 (1H, с).
ПРИМЕР 68
3-(6-Изобутил-5-оксо-6,9-дигидро-5Н-[1,2,4]триазоло[3,4-i]-пурин-8-ил)-N-метил-N-(2-морфолин-4-илэтил)-4-пропоксибензолсульфонамид
Получен в виде белого твердого вещества (53%) из указанного в заголовке соединения получения 30 и 4-[2-(N-метиламино)этил]морфолина по методике примера 1.
LRMS: m/z 572 (М+1)+.
(ДМСО-d6): 0,94 (9Н, м), 1,84 (2Н, м), 2,41 (6Н, м), 2,74 (3H, с), 3,11 (2Н, м), 3,52 (4Н, м), 4,01 (2Н, д), 4,23 (2Н, т), 7,41 (1H, д), 7,83 (1H, д), 8,22 (1H, с), 9,23 (1H, с).
ПРИМЕР 69
8-[5-(4-Метилпиперазин-1-сульфонил)-2-пропоксифенил]-6-пентил-6,9-дигидро[1,2,4]триазоло[3,4-i]пурин-5-он
Получен в виде белого твердого вещества (35%) из указанного в заголовке соединения получения 32 и 1-метилпиперазина по методике примера 1.
LRMS: m/z 542 (М+1)+.
(ДМСО-d6): 0,85 (3H, т), 0,97 (3H, т), 1,33 (4Н, м), 1,83 (4Н, м), 2,25 (3H, с), 2,48 (4Н, м), 2,96 (4Н, м), 4,22 (4Н, м), 7,45 (1Н, д), 7,78 (1Н, д), 8,20 (1Н, с), 9,24 (1Н, с), 13,7 (1Н, шир.с).
ПРИМЕР 70
8-[5-(4-Метил[1,4]диазепан-1-сульфонил)-2-пропоксифенил]-6-пентил-6,9-дигидро[1,2,4]триазоло[3,4-i]пурин-5-он
Получен в виде белого твердого вещества (40%) из указанного в заголовке соединения получения 32 и 1-метил-гомопиперазина по методике примера 1.
LRMS: m/z 556 (М+1)+.
(ДМСО-d6): 0,89 (3H, т), 1,02 (3H, т), 1,37 (4Н, м), 1,85 (7Н, м), 2,50 (2Н, м), 2,98 (4Н, м), 3,32 (4Н, м), 4,23 (4Н, м), 7,44 (1Н, д), 7,86 (1Н, дд), 8,27 (1Н, д), 9,26 (1Н, с).
ПРИМЕР 71
N-(2-Морфолин-4-илэтил)-3-(5-оксо-6-пентил-6,9-дигидро-5Н-[1,2,4]триазоло[3,4-i]пурин-8-ил)-4-пропоксибензолсульфонамид
Получен в виде белого твердого вещества (32%) из указанного в заголовке соединения получения 32 и 4-(2-аминоэтил)морфолина по методике примера 1.
LRMS: m/z 572 (М+1)+.
(ДМСО-d6): 0,90 (3H, т), 0,98 (3H, т), 1,36 (4Н, м), 1,86 (4Н, м), 2,41 (6Н, м), 2,94 (2Н, м), 3,53 (4Н, м), 4,25 (4Н, м), 7,43 (1Н, д), 7,68 (1Н, шир.с), 7,88 (1Н, дд), 8,33 (1Н, д), 8,26 (1Н, с), 13,65 (1Н, шир.с).
ПРИМЕР 72
N-(3-Морфолин-4-илпропил)-3-(5-оксо-6-пентил-6,9-дигидро-5Н-[1,2,4]триазоло[3,4-i]пурин-8-ил)-4-пропоксибензолсульфонамид
Получен в виде белого твердого вещества (38%) из указанного в заголовке соединения получения 32 и 4-(3-аминопропил)морфолина по методике примера 1.
LRMS: m/z 586 (М+1)+.
(ДМСО-d6): 0,87 (3H, т), 0,95 (3H, т), 1,37 (4Н, м), 1,61 (2Н, м), 1,85 (4Н, м), 2,44 (6Н, м), 2,81 (2Н, м), 3,38 (4Н, м), 4,25 (4Н, м), 7,44 (1Н, д), 7,69 (1Н, шир.с), 7,85 (1Н, дд), 8,32 (1Н, д), 9,26 (1Н, с), 13,6 (1Н, шир.с).
ПРИМЕР 73
8-[5-(4-Этилпиперазин-1-сульфонил)-2-пропоксифенил]-6-пентил-6,9-дигидро[1,2,4]триазоло[3,4-i]пурин-5-он
Получен в виде белого твердого вещества (35%) из указанного в заголовке соединения получения 32 и 1-этилпиперазина по методике примера 1.
LRMS: m/z 556 (М+1)+.
(ДМСО-d6): 0,90 (3H, т), 1,00 (6Н, м), 1,38 (4Н, м), 1,85 (4Н, м), 2,49-3,07 (10Н, м), 4,22 (2Н, т), 4,29 (2Н, т), 7,48 (1Н, д), 7,81 (1Н, дд), 8,23 (1Н, д), 9,27 (1Н, с), 13,75 (1Н, шир.с).
ПРИМЕР 74
8-{5-[4-(2-гидроксиэтил)пиперазин-1-сульфонил]-2-пропоксифенил)-6-пентил-6,9-дигидро[1,2,4]триазоло[3,4-i]пурин-5-он
Получен в виде белого твердого вещества (33%) из указанного в заголовке соединения получения 32 и 1-(2-гидроксиэтил)пиперазина по методике примера 1.
LRMS: m/z 572 (М+1)+.
(ДМСО-d6): 0,88 (3H, т), 1,00 (3H, т), 1,36 (4Н, м), 1,88 (4Н, м), 2,46 (4Н, м), 2,70 (4Н, м), 3,36 (4Н, м), 4,28 (4Н, м), 4,46 (1Н, шир.с), 7,48 (1Н, д), 7,80 (1Н, д), 8,22 (1Н, с), 9,27 (1Н, с), 13,8 (1Н, шир.с).
ПРИМЕР 75
8-[5-(4-Гидроксипиперидин-1-сульфонил)-2-пропоксифенил]-6-пентил-6,9-дигидро[1,2,4]триазоло[3,4-i]пурин-5-он
Получен в виде белого твердого вещества (53%) из указанного в заголовке соединения получения 32 и 4-гидроксипиперидина по методике примера 1.
LRMS: m/z 543 (М+1)+.
(ДМСО-d6): 0,88 (3H, т), 1,00 (6Н, м), 1,42 (6Н, м), 1,82 (6Н, м), 2,77 (2Н, м), 3,17 (2Н, м), 3,54 (1Н, м), 4,26 (4Н, м), 4,69 (1Н, с), 7,46 (1Н, д), 7,80 (1Н, дд), 8,23 (1Н, д), 9,26 (1Н, с), 13,7 (1Н, с).
ПРИМЕР 76
3-(5-Оксо-6-пентил-6,9-дигидро-5Н-[1,2,4]триазоло[3,4-i]-пурин-8-ил)-N-(2-пиперидин-1-илэтил)-4-пропоксибензолсульфонамид
Получен в виде белого твердого вещества (55%) из указанного в заголовке соединения получения 32 и 1-(2-аминоэтил)пиперидина по методике примера 1.
LRMS: m/z 579 (М+1)+.
(ДМСО-d6): 0,88 (3H, т), 0,98 (3H, т), 1,37 (6Н, м), 1,60 (4Н, м), 1,85 (4Н, м), 2,60-3,43 (8Н, м), 4,25 (4Н, м), 7,45 (1Н, д), 7,89 (1Н, дд), 7,82 (1Н, шир.с), 8,33 (1Н, д), 9,26 (1Н, с).
ПРИМЕР 77
N-(2-Диметиламиноэтил)-3-(5-оксо-6-пентил-6,9-дигидро-5Н-[1,2,4]триазоло[3,4-i]пурин-8-ил)-4-пропоксибензолсульфонамид
Получен в виде белого твердого вещества (38%) из указанного в заголовке соединения получения 32 и N,N’-диметилэтилендиамина по методике примера 1.
LRMS: m/z 530 (М+1)+.
(ДМСО-d6): 0,88 (3H, т), 0,99 (4Н, м), 1,35 (4Н, м), 1,85 (4Н, м), 2,44 (1Н, м), 2,44 (6Н, с), 2,74 (2Н, м), 2,99 (2Н, м), 4,22 (4Н, м), 7,45 (1Н, д), 7,89 (1Н, дд), 8,34 (1Н, д), 9,26 (1Н, с).
ПРИМЕР 78
8-[5-(Морфолиносульфонил)-2-пропоксифенил]-6-пентил-6,9-дигидро[1,2,4]триазоло[3,4-i]пурин-5-он
Получен в виде белого твердого вещества (30%) из указанного в заголовке соединения получения 32 и морфолина по методике примера 1.
LRMS: m/z 529 (M+1)+.
(ДМСО-d6): 0,90 (3H, т), 0,99 (3H, т), 1,37 (4Н, м), 1,84 (4Н, м), 2,89 (4Н, м), 3,64 (4Н, м), 4,22 (2Н, т), 4,29 (2Н, т), 7,49 (1Н, д), 7,81 (1Н, д), 8,22 (1Н, с), 9,26 (1Н, с), 13,75 (1Н, шир.с).
ПРИМЕР 79
8-[2-Этокси-5-(пиперазин-1-сульфонил)фенил]-6-пропил-6,9-дигидро[1,2,4]триазоло[3,4-i]пурин-5-он
Получен в виде белого твердого вещества (45%) из указанного в заголовке соединения получения 4 и пиперазина по методике примера 1.
Т.пл. 196°С.
(ДМСО-d6): 0,95 (3H, т), 1,45 (3H, т), 1,84 (2Н, м), 2,76 (4Н, м), 2,82 (4Н, м), 4,19 (2Н, т), 4,40 (2Н, т), 7,45 (1Н, д), 7,77 (1Н, д), 8,21 (1Н, с), 9,24 (1Н, с).
ПРИМЕР 80
3-(5-Оксо-6-пропил-6,9-дигидро-5Н-[1,2,4]триазоло[3,4-i]-пурин-8-ил)-4-пропоксибензолсульфонамид
Получен в виде белого твердого вещества (26%) из указанного в заголовке соединения получения 10 и аммиака по методике примера 1.
Т.пл. 275°С.
(ДМСО-d6): 0,96 (6Н, м), 1,85 (4Н, м), 4,19 (т, 2Н), 4,26 (2Н, т), 7,40 (2Н, с), 7,41 (1Н, д), 7,87 (1Н, д), 8,36 (1Н, с), 9,26 (1Н, с), 13,6 (1Н, с).
ПРИМЕР 81
3-(5-Оксо-6-пропил-6,9-дигидро-5Н-[1,2,4]триазоло[3,4-i]-пурин-8-ил)-4-пропокси-1-проп-2-инилбензолсульфонамид
Получен в виде белого твердого вещества (41%) из указанного в заголовке соединения получения 10 и пропаргиламина по методике примера 1.
Т.пл. 251°С.
(ДМСО-d6): 0,97 (6Н, м), 1,85 (4Н, м), 3,06 (1Н, с), 3,71 (2Н, с), 4,23 (4Н, м), 7,42 (1Н, д), 7,87 (1Н, д), 8,33 (1Н, с), 9,26 (1Н, с), 13,6 (1Н, с).
ПРИМЕР 82
N-(2-Диметиламиноэтил)-3-(оксопропил-6,9-дигидро-5Н-[1,2,4]триазоло[3,4-i]пурин-8-ил)-4-пропоксибензолсульфонамид
Получен в виде белого твердого вещества (45%) из указанного в заголовке соединения получения 10 и N,N-диметилэтилендиамина по методике примера 1.
Т.пл. 193°С.
(ДМСО-d6): 0,96 (3H, т), 0,99 (3H, т), 1,86 (4Н, м), 2,08 (6Н, с), 2,29 (2Н, т), 2,86 (2Н, м), 4,20 (2Н, т), 4,27 (2Н, т), 7,42 (1Н, д), 7,59 (1Н, шир.с), 7,86 (1Н, д), 8,32 (1Н, с), 9,25 (1Н, с).
ПРИМЕР 83
8-{5-[(1S,4S)-(2,5-Диазабицикло[2.2.1]гепт-2-ил)сульфонил]-2-пропоксифенил}-6-пропил-6,9-дигидро[1,2,4]триазоло[3,4-i]-пурин-5-он
Получен в виде белого твердого вещества (22%) из указанного в заголовке соединения получения 10 и трет-бутил-(1S,4S)-(-)-2,5-диазабицикло[2.2.1]гептан-2-карбоксилата по методике примера 1 с последующим снятием защиты в смеси 1:1 трифторуксусной кислоты и дихлорметана.
Т.пл. 153°С.
(ДМСО-d6): 0,98 (7Н, м), 1,40 (1Н, д), 1,85 (4Н, м), 2,83 (1Н, д), 2,88 (1Н, д), 3,11 (1Н, д), 3,19 (1Н, д), 3,63 (1Н, д), 4,22 (4Н, м), 4,34 (1Н, с), 4,92 (1Н, шир.с), 7,39 (1Н, д), 7,85 (1Н, д), 8,29 (1Н, с), 9,19 (1Н, с).
ПРИМЕР 84
8-[5-([1,4]Диазепан-1-сульфонил)-2-пропоксифенил]-6-пропил-6,9-дигидро[1,2,4]триазоло[3,4-i]пурин-5-он
Получен в виде белого твердого вещества (59%) из указанного в заголовке соединения получения 10 и гомопиперазина по методике примера 1.
Т.пл. 208°С.
(ДМСО-d6): 0,95 (3H, т), 1,02 (3H, т), 1,72 (2Н, м), 1,85 (4Н, м), 2,80 (2Н, т), 2,85 (2Н, т), 3,27 (4Н, м), 4,20 (4Н, м), 7,38 (1Н, д), 7,79 (1Н, д), 8,27 (1Н, с), 9,20 (1Н, с).
ПРИМЕР 85
8-[5-((R)-3-Метилпиперазин-1-сульфонил)-2-пропоксифенил]-6-пропил-6,9-дигидро[1,2,4]триазоло[3,4-i]пурин-5-он
Получен в виде белого твердого вещества (80%) из указанного в заголовке соединения получения 10 и (R)-(-)-2-метилпиперазина по методике примера 1.
Т.пл. 156°С.
(ДМСО-d6): 0,93 (3H, д), 0,98 (3H, т), 1,00 (3H, т), 1,83 (4Н, м), 2,15 (1Н, м), 2,70 (2Н, м), 2,90 (1Н, м), 3,41 (4Н, м), 4,18 (2Н, т), 4,26 (2Н, т), 7,45 (1Н, д), 7,78 (1Н, д), 8,19 (1Н, с), 9,25 (1Н, с).
ПРИМЕР 86
8-[5-((S)-3-Метилпиперазин-1-сульфонил)-2-пропоксифенил]-6-пропил-6,9-дигидро[1,2,4]триазоло[3,4-i]пурин-5-он
Получен в виде белого твердого вещества (85%) из указанного в заголовке соединения получения 10 и (S-(-)-2-метилпиперазина по методике примера 1.
Т.пл. 163°С.
(ДМСО-d6): 0,93 (3H, д), 0,98 (3H, т), 1,00 (3H, т), 1,83 (4Н, м), 2,15 (1Н, м), 2,70 (2Н, м), 2,90 (1Н, м), 3,41 (4Н, м), 4,18 (2Н, т), 4,26 (2Н, т), 7,45 (1Н, д), 7,78 (1Н, д), 8,19 (1Н, с), 9,25 (1Н, с).
ПРИМЕР 87
8-[5-(3-Диметиламиноазетидин-1-сульфонил)-2-пропоксифенил]-6-пропил-6,9-дигидро[1,2,4]триазоло[3,4-i]пурин-5-он
Получен в виде белого твердого вещества (82%) из указанного в заголовке соединения получения 10 и азетидин-3-илдиметиламина по методике примера 1.
Т.пл. 213°С.
(ДМСО-d6): 0,95 (3H, т), 1,01 (3H, т), 1,84 (4Н, м), 2,97 (1Н, м), 3,36 (6Н, с), 3,45 (2Н, т), 3,78 (2Н, т), 4,19 (2Н, т), 4,29 (2Н, т), 7,49 (1Н, д), 7,88 (1Н, д), 8,25 (1Н, с), 9,27 (1Н, с), 13,79 (1H, с).
ПРИМЕР 88
N-(3-Диметиламинопропил)-3-(оксопропил-6,9-дигидро-5Н-[1,2,4]триазоло[3,4-i]пурин-8-ил)-4-пропоксибензолсульфонамид
Получен в виде белого твердого вещества (69%) из указанного в заголовке соединения получения 10 и N,N-диметил-1,3-пропандиамина по методике примера 1.
Т.пл. 197°С.
(ДМСО-d6): 0,94 (3H, т), 0,97 (3H, т), 1,49 (2Н, м), 1,82 (4Н, м), 2,07 (6Н, с), 2,21 (2Н, т), 2,76 (2Н, т), 4,17 (2Н, т), 4,23 (2Н, т), 7,40 (1H, д), 7,65 (1H, шир.с), 7,81 (1H, д), 8,30 (1H, с), 9,22 (1H, с).
ПРИМЕР 89
8-[5-((1S,4S)-5-Метил-2,5-диазабицикло[2.2.1]гептан-2-сульфонил)-2-пропоксифенил]-6-пропил-6,9-дигидро[1,2,4]-триазоло[3,4-i]пурин-5-он
Смесь указанного в заголовке соединения примера 83 (0,51 г, 1,0 ммоль), формальдегида (0,5 мл, 6,2 ммоль, 37%) и муравьиной кислоты (0,3 мл) перемешивают при 80°С в течение 2 час. Реакционную смесь концентрируют при пониженном давлении, разбавляют дихлорметаном, промывают водным раствором бикарбоната натрия и водой, сушат (MgSO4) и упаривают при пониженном давлении. Образовавшийся сырой остаток очищают хроматографией на флэш-колонке (SiO2, дихлорметан-этанол-гидроксид аммония, 140:8:1) с получением указанного в заголовке соединения (0,22 г, 42%) в виде белого твердого вещества.
Т.пл. 194°С.
(ДМСО-d6): 0,98 (7Н, м), 1,60 (1Н, д), 1,85 (4Н, м), 2,24 (3H, с), 2,54 (1Н, д), 2,70 (1Н, д), 2,99 (1Н, д), 3,32 (с, 1Н), 3,39 (1Н, д), 4,23 (5Н, м), 7,44 (1Н, д), 7,89 (1Н, д), 8,30 (1Н, с), 8,24 (1Н, с).
ПРИМЕР 90
8-[5-(4-Этилпиперазин-1-сульфонил)-2-пропоксифенил]-6-пропил-6,9-дигидро[1,2,4]триазоло[3,4-i]пурин-5-он
Получен в виде белого твердого вещества (66%) из указанного в заголовке соединения получения 10 и N-этилпиперазина по методике примера 1.
Т.пл. 192°С.
(ДМСО-d6): 0,96 (9Н, м), 1,84 (4Н, м), 2,30 (2Н, кв), 2,43 (4Н, м), 2,93 (4Н, м), 4,19 (2Н, т), 4,27 (2Н, т), 7,47 (1Н, д), 7,80 (1Н, д), 8,20 (1Н, с), 9,25 (1Н, с).
ПРИМЕР 91
8-[5-(3-Диметиламинометилазетидин-1-сульфонил)-2-пропоксифенил]-6-пропил-6,9-дигидро[1,2,4]триазоло[3,4-i]пурин-5-он
Получен в виде белого твердого вещества (51%) из указанного в заголовке соединения получения 10 и указанного в заголовке соединения получения 35 по методике примера 1.
Т.пл. 172°С.
(ДМСО-d6): 1,01 (6Н, м), 1,87 (4Н, м), 2,00 (6Н, с), 2,10 (2Н, д), 2,59 (1Н, м), 3,37 (2Н, дд), 3,84 (2Н, дд), 4,20 (2Н, т), 4,30 (2Н, т), 7,51 (1Н, д), 7,89 (1Н, д), 8,29 (1Н, с), 9,26 (1H, с).
ПРИМЕР 92
3-(5-Оксо-6-пропил-6,9-дигидро-5Н-[1,2,4]триазоло[3,4-i]-пурин-8-ил)-4-пропокси-N-(2-пирролидин-1-илэтил)бензолсульфонамид
Получен в виде белого твердого вещества (56%) из указанного в заголовке соединения получения 10 и 1-(2-аминоэтил)пирролидина по методике примера 1.
Т.пл. 198°С.
(ДМСО-d6): 0,96 (3H, т), 0,99 (3H, т), 1,61 (4Н, м), 1,87 (4Н, м), 2,4-2,5 (6Н, м), 2,88 (2Н, т), 4,20 (2Н, т), 4,26 (2Н, т), 7,42 (1H, д), 7,66 (1H, шир.с), 7,86 (1H, д), 8,32 (1H, с), 9,25 (1H, с).
ПРИМЕР 93
8-[5-((3R,5S)-3,5-Диметилпиперазин-1-сульфонил)-2-пропоксифенил]-6-пропил-6,9-дигидро[1,2,4]триазоло[3,4-i]пурин-5-он
Получен в виде белого твердого вещества (83%) из указанного в заголовке соединения получения 10 и цис-2,6-диметилпиперазина по методике примера 1.
Т.пл. 200°С.
(ДМСО-d6): 0,93 (6Н, д), 1,00 (3H, т), 1,03 (3H, т), 1,6-1,9 (6Н, м), 2,77 (2Н, м), 3,50 (2Н, м), 4,18 (2Н, т), 4,26 (2Н, т), 7,45 (1H, д), 7,78 (1H, д), 8,20 (1H, с), 9,25 (1H, с).
ПРИМЕР 94
8-[5-((2RS,5SR)-3,5-Диметилпиперазин-1-сульфонил)-2-пропоксифенил]-6-пропил-6,9-дигидро[1,2,4]триазоло[3,4-i]пурин-5-он
Получен в виде белого твердого вещества (28%) из указанного в заголовке соединения получения 10 и транс-2,5-диметилпиперазина по методике примера 1.
Т.пл. 117°С.
(ДМСО-d6): 1,02 (9Н, м), 1,18 (3H, д), 1,85 (4Н, м), 2,47 (1Н, м), 1,8-3,1 (3H, м), 3,45 (2Н, м), 4,18 (2Н, т), 4,2 (2Н, т), 7,43 (1Н, д), 7,81 (1Н, д), 8,29 (1Н, с), 9,25 (1Н, с).
ПРИМЕР 95
N-(2-Диметиламиноэтил)-N-этил-3-(5-оксо-6-пропил-6,9-дигидро-5Н-[1,2,4]триазоло[3,4-i]пурин-8-ил)-4-пропоксибензолсульфонамид
Получен в виде белого твердого вещества (34%) из указанного в заголовке соединения получения 10 и N,N-диметил-N’-этилэтилендиамина по методике примера 1.
Т.пл. 105°С.
(ДМСО-d6): 0,99 (6Н, м), 1,05 (3H, т), 1,85 (4Н, м), 2,16 (6Н, с), 2,41 (2Н, т), 3,21 (4Н, м), 4,19 (2Н, т), 4,26 (2Н, м), 4,41, (1Н, д), 7,87 (1Н, д), 8,30 (1Н, с), 9,25 (1Н, с).
ПРИМЕР 96
3-[5-(4-Аллилпиперазин-1-сульфонил)-2-пропоксифенил]-6-пропил-6,9-дигидро[1,2,4]триазоло[3,4-i]пурин-5-он
Получен в виде белого твердого вещества (65%) из указанного в заголовке соединения получения 10 и 1-аллилпиперазина по методике примера 1.
Т.пл. 187°С.
(ДМСО-d6): 0,96 (6Н, м), 1,85 (4Н, м), 2,43 (4Н, м), 2,92 (6Н, м), 4,19 (2Н, т), 4,27 (2Н, т), 5,11 (2Н, м), 5,69 (1Н, м), 7,47 (1Н, д), 7,80 (1Н, д), 8,19 (1Н, с), 9,27 (1Н, с), 13,76 (1Н, шир.с).
ПРИМЕР 97
3-{5-[(S)-(Гексагидропирроло[1,2-а]пиразин-2-ил)сульфонил]-2-пропоксифенил}-6-пропил-6,9-дигидро[1,2,4]триазоло[3,4-i]-пурин-5-он
Получен в виде белого твердого вещества (65%) из указанного в заголовке соединения получения 10 и (S)-октагидропирроло[1,2-а]пиразина по методике примера 1.
Т.пл. 180°С.
(ДМСО-d6): 0,99 (6Н, м), 1,21 (1Н, м), 1,5-2,2 (11Н, м), 2,37 (1Н, т), 2,8-3,0 (2Н, м), 3,60 (1Н, д), 3,75 (1Н, д), 4,19 (2Н, т), 4,27 (2Н, т), 7,42 (1Н, д), 7,82 (1Н, д), 8,22 (1Н, с), 9,25 (1Н, с), 13,71 (1Н, шир.с).
ПРИМЕР 98
8-[2-Пропокси-5-(4-пропилпиперазин-1-сульфонил)фенил]-6-пропил-6,9-дигидро[1,2,4]триазоло[3,4-i]пурин-5-он
Получен в виде белого твердого вещества (67%) из указанного в заголовке соединения получения 10 и 1-пропилпиперазина по методике примера 1.
Т.пл. 192°С.
(ДМСО-d6): 0,80 (3H, т), 0,98 (6Н, м), 1,36 (2Н, м), 1,82 (4Н, м), 2,21 (2Н, т), 2,42 (4Н, м), 2,91 (4Н, м), 4,19 (2Н, т), 4,27 (2Н, т), 7,46 (1Н, с), 7,79 (1Н, д), 8,19 (1Н, с), 9,27 (1Н, с).
ПРИМЕР 99
8-[2-Пропокси-5-((3R,5S)-3,4,5-триметилпиперазин-1-сульфонил)фенил]-6-пропил-6,9-дигидро[1,2,4]триазоло[3,4-i]-пурин-5-он
Получен в виде белого твердого вещества (69%) из указанного в заголовке соединения получения 93 по методике примера 89.
Т.пл. 120°С.
(ДМСО-d6): 1,00 (12Н, м), 1,8-2,3 (6Н, м), 2,10 (3Н, с), 3,48 (2Н, д), 4,19 (2Н, т), 4,27 (2Н, т), 7,46 (1Н, д), 7,80 (1Н, д), 8,20 (1Н, с), 9,26 (1Н, с).
ПРИМЕР 100
N-(2-Морфолин-4-илэтил)-3-(5-оксо-6-пропил-6,9-дигидро-5Н-[1,2,4]триазоло[3,4-i]пурин-8-ил)-4-пропоксибензолсульфонамид
Получен в виде белого твердого вещества (66%) из указанного в заголовке соединения получения 10 и 4-(2-аминоэтил)морфолина по методике примера 1.
Т.пл. 191°С.
(CDCl3): 1,07 (3H, т), 1,13 (3H, т), 1,95 (2Н, м), 2,04 (2Н, м), 2,31 (4Н, м), 2,47 (2Н, т), 3,08 (2Н, м), 3,60 (4Н, м), 4,36 (4Н, м), 5,68 (1Н, шир.с), 7,18 (1Н, д), 7,95 (1Н, д), 8,89 (1Н, с), 8,97 (1Н, с), 11,65 (1Н, шир.с).
ПРИМЕР 101
N-(3-Диметиламино-2,2-диметилпропил)-3-(оксопропил-6,9-дигидро-5Н-[1,2,4]триазоло[3,4-i]пурин-8-ил)-4-пропоксибензолсульфонамид
Получен в виде белого твердого вещества (76%) из указанного в заголовке соединения получения 10 и N,N,2,2-тетраметил-1,3-пропандиамина по методике примера 1.
Т.пл. 178°С.
(ДМСО-d6): 0,81 (6Н, с), 0,99 (3H, т), 1,01 (3H, т), 1,88 (4Н, м), 2,09 (2Н, с), 2,19 (6Н, с), 2,61 (2Н, с), 4,23 (4Н, м), 7,42 (1Н, д), 7,55 (1Н, шир.с), 7,86 (1Н, д), 8,34 (1Н, с), 9,24 (1Н, с).
ПРИМЕР 102
8-{5-((1S,4S)-5-(2-Гидроксиэтил)-2,5-диазабицикло[2.2.1]-гептан-2-сульфонил]-2-пропоксифенил}-6-пропил-6,9-дигидро[1,2,4]триазоло[3,4-i]пурин-5-он
Получен в виде белого твердого вещества (67%) из указанного в заголовке соединения получения 10 и указанного в заголовке соединения получения 36 по методике примера 1.
Т.пл. 183°С.
(ДМСО-d6): 0,86 (1Н, д), 0,96 (3H, т), 1,00 (3H, т), 1,54 (1Н, д), 1,86 (4Н, м), 2,57 (1Н, д), 2,82 (1Н, д), 2,97 (1Н, д), 3,38 (4Н,м), 4,24 (5Н, м), 7,44 (1Н, д), 7,90 (1Н, д), 8,29 (1Н, с), 9,27 (1Н, с).
ПРИМЕР 103
N-(3-Морфолин-4-илпропил)-3-(5-оксо-6-пропил-6,9-дигидро-5Н-[1,2,4]триазоло[3,4-i]пурин-8-ил)-4-пропоксибензолсульфонамид
Получен в виде белого твердого вещества (62%) из указанного в заголовке соединения получения 10 и N-(3-аминопропил)морфолина по методике примера 1.
Т.пл. 195°С.
(ДМСО-d6): 0,96 (3H, т), 0,98 (3H, т), 1,52 (2Н, м), 1,86 (4Н, м), 2,22 (6Н, м), 2,80 (2Н, м), 3,48 (4Н, м), 4,20 (2Н, т), 4,26 (2Н, т), 7,43 (1Н, д), 7,65 (1Н, т), 7,84 (1Н, д), 8,32 (1Н, с), 9,26 (1Н, с), 13,58 (1Н, шир.с).
ПРИМЕР 104
8-{5-[4-(2-Метоксиэтил)пиперазин-1-сульфонил]-2-пропоксифенил}-6-пропил-6,9-дигидро[1,2,4]триазоло[3,4-i]пурин-5-он
Получен в виде белого твердого вещества (67%) из указанного в заголовке соединения получения 10 и 1-(2-метоксиэтил)пиперазина по методике примера 1.
Т.пл. 177°С.
(ДМСО-d6): 0,96 (3H, т), 1,01 (3H, т), 1,86 (4Н, м), 2,59 (6Н, м), 2,91 (4Н, м), 3,17 (3H, с), 3,35 (2Н, т), 4,19 (2Н, т), 4,27 (2Н, т), 7,47 (1Н, д), 7,78 (1Н, д), 8,19 (1Н, с), 9,27 (1Н, с).
ПРИМЕР 105
8-{5-[4-(2-Гидроксиэтил)-[1,4]диазеран-1-сульфонил]-2-пропоксифенил}-6-пропил-6,9-дигидро[1,2,4]триазоло[3,4-i]-пурин-5-он
Получен в виде белого твердого вещества (67%) из указанного в заголовке соединения получения 10 и 2-(1,4-диазепан-1-ил)этан-1-ола по методике примера 1.
Т.пл. 193°С.
(ДМСО-d6): 0,98 (6Н, м), 1,72 (2Н, м), 1,87 (4Н, м), 2,63 (2Н, т), 2,72 (2Н, м), 3,35 (10Н, м), 4,23 (4Н, м), 7,42 (1Н, д), 7,83 (1Н, д), 8,25 (1Н, с), 9,26 (1Н, с).
ПРИМЕР 106
8-{5-[4-(2-Гидрокси-1-метилэтил)пиперазин-1-сульфонил]-2-пропоксифенил}-6-пропил-6,9-дигидро[1,2,4]триазоло[3,4-i]-пурин-5-он
Получен в виде белого твердого вещества (65%) из указанного в заголовке соединения получения 10 и 2-пиперазин-1-илпропан-1-ола по методике примера 1.
Т.пл. 216°С.
(ДМСО-d6): 0,86 (3H, д), 0,95 (3H, т), 0,98 (3H, т), 1,85 (4Н, м), 2,56 (4Н, м), 2,89 (4Н, м), 3,20 (1Н, м), 3,39 (2Н, м), 4,19 (2Н, т), 4,27 (2Н, т), 7,46 (1Н, д), 7,79 (1Н, д), 8,18 (1Н, с), 9,25 (1Н, с).
ПРИМЕР 107
N-(1-Этиламиноциклогексилметил)-3-(5-оксо-6-пропил-6,9-дигидро-5Н-[1,2,4]триазоло[3,4-i]пурин-8-ил)-4-пропоксибензолсульфонамид
Получен в виде белого твердого вещества (71%) из указанного в заголовке соединения получения 10 и (1-аминометилциклогексил)этиламина по методике примера 1.
Т.пл. 201°С.
(ДМСО-d6): 0,96 (9Н, м), 1,34 (8Н, м), 1,48 (2Н, м), 1,84 (4Н, м), 2,35 (2Н, м), 2,72 (2Н, с), 4,20 (4Н, м), 7,37 (1H, д), 7,82 (1H, д), 8,36 (1H, с), 9,24 (1H, с).
ПРИМЕР 108
8-{5-[4-(2-Гидрокси-1,1-диметилэтил)пиперазин-1-сульфонил]-2-пропоксифенил}-6-пропил-6,9-дигидро[1,2,4]триазоло[3,4-i]-пурин-5-он
Получен в виде белого твердого вещества (85%) из указанного в заголовке соединения получения 10 и указанного в заголовке соединения получения 37 по методике примера 1.
Т.пл. 223°С.
(ДМСО-d6): 0,88 (6Н, с), 0,93 (3H, т), 1,01 (3H, т), 1,86 (4Н, м), 2,63 (4Н, м), 2,87 (4Н, м), 3,20 (2Н, шир.с), 3,34 (1H, шир.с), 4,20 (2Н, т), 4,27 (2Н, т), 7,47 (1H, д), 7,76 (1H, д), 8,19 (1H, с), 9,25 (1H, с).
ПРИМЕР 109
8-{2-Пропокси-5-[4-(2,2,2-трифторэтил)пиперазин-1-сульфонил]-фенил}-6-пропил-6,9-дигидро[1,2,4]триазоло[3,4-i]пурин-5-он
Получен в виде белого твердого вещества (36%) из указанного в заголовке соединения получения 10 и 1-(2,2,2-трифторэтил)пиперазина по методике примера 1.
Т.пл. 202°С.
(ДМСО-d6): 0,88 (6Н, с), 0,93 (3H, т), 1,01 (3H, т), 1,86 (4Н, м), 2,63 (4Н, м), 2,87 (4Н, м), 3,20 (2Н, шир.с), 3,34 (1H, шир.с), 4,20 (2Н, т), 4,27 (2Н, т), 7,47 (1H, д), 7,76 (1H, д), 8,19 (1H, с), 9,25 (1H, с).
ПРИМЕР 110
N-(1-Этиламиноциклогептилметил)-3-(5-оксо-6-пропил-6,9-дигидро-5Н-[1,2,4]триазоло[3,4-i]пурин-8-ил)-4-пропоксибензолсульфонамид
Получен в виде белого твердого вещества (53%) из указанного в заголовке соединения получения 10 и (1-аминометилциклогептил)этиламина по методике примера 1.
Т.пл. 203°С.
(ДМСО-d6): 0,95 (3H, т), 1,00 (3H, т), 1,2-1,6 (12Н, м), 1,86 (4Н, м), 2,35 (2Н, м), 2,68 (2Н, м), 4,19 (2Н, т), 4,22 (2Н, т), 7,38 (1Н, д), 7,82 (1Н, д), 8,36 (1Н, с), 9,19 (1Н, с).
ПРИМЕР 111
N-(1-Диэтиламиноциклогексилметил)-3-(5-оксо-6-пропил-6,9-дигидро-5Н-[1,2,4]триазоло[3,4-i]пурин-8-ил)-4-пропоксибензолсульфонамид
Получен в виде белого твердого вещества (35%) из указанного в заголовке соединения получения 10 и (1-аминометилциклогексил)диэтиламина по методике примера 1.
Т.пл. 192°С.
(ДМСО-d6): 1,0 (12Н, м), 1,34 (10Н, м), 1,83 (4Н, м), 2,47 (4Н, м), 3,06 (2Н, с), 4,22 (4Н, м), 7,39 (1Н, д), 7,85 (1Н, д), 8,31 (1Н, с), 9,23 (1Н, с).
ПРИМЕР 112
N-[2-(3,4-Диметоксифенил)этил]-N-метил-3-(5-оксо-6-пропил-6,9-дигидро-5Н-[1,2,4]триазоло[3,4-i]пурин-8-ил)-4-пропоксибензолсульфонамид
Получен в виде белого твердого вещества (42%) из указанного в заголовке соединения получения 10 и 2-(3,4-диметоксифенил)-N-метилэтиламина по методике примера 1.
Т.пл. 92°С.
(ДМСО-d6): 0,91 (3H, т), 0,99 (3H, т), 1,84 (4Н, м), 2,72 (5Н, м), 3,21 (2Н, т), 3,33 (3H, с), 3,70 (3H, с), 4,15 (2Н, т), 4,25 (2Н, т), 6,74 (1Н, д), 6,82 (1Н, с), 6,84 (1Н, д), 7,41 (1Н, д), 7,80 (1Н, д), 8,23 (1Н, с), 9,25 (1Н, с), 13,70 (1Н, шир.с).
ПРИМЕР 113
N-(1-Диэтиламиноциклогептилметил)-3-(5-оксо-6-пропил-6,9-дигидро-5Н-[1,2,4]триазоло[3,4-i]пурин-8-ил)-4-пропоксибензолсульфонамид
Получен в виде белого твердого вещества (30%) из указанного в заголовке соединения получения 10 и (1-аминометилциклогептил)диэтиламина по методике примера 1.
Т.пл. 171°С.
(ДМСО-d6): 1,0 (12Н, м), 1,49 (12Н, м), 1,84 (4Н, м), 2,50 (4Н, м), 3,05 (2Н, с), 4,21 (4Н, м), 7,38 (1Н, д), 7,84 (1Н, д), 8,31 (1Н, с), 9,22 (1Н, с).
ПРИМЕР 114
N-(1-Метил-4-фенилпиперидин-4-илметил)-3-(5-оксо-6-пропил-6,9-дигидро-5Н-[1,2,4]триазоло[3,4-i]пурин-8-ил)-4-пропоксибензолсульфонамид
Получен в виде белого твердого вещества (54%) из указанного в заголовке соединения получения 10 и 4-аминометил-1-метил-4-фенилпиперидина по методике примера 1.
Т.пл. 213°С.
(ДМСО-d6): 0,95 (3H, т), 0,99 (3H, т), 1,80 (6Н, м), 2,04 (4Н, м), 2,10 (3H, с), 2,51 (2Н, шир.с), 2,82 (2Н, д), 7,0-7,5 (7Н, м), 7,73 (1Н, д), 8,23 (1Н, с), 9,22 (1Н, с).
ПРИМЕР 115
8-{5-[4-(3-Гидроксипропил) пиперазин-1-сульфонил]-2-пропоксифенил}-6-пропил-6,9-дигидро[1,2,4]триазоло[3,4-i]пурин-5-он
К смеси указанного в заголовке соединения получения 10 (40 мг, 0,09 ммоль) и связанного с полимером морфолина (65 мг, 2,75 ммоль/г на основе анализа на азот) в дихлорметане (3 мл) добавляют 3-пиперазин-1-илпропан-1-ол (14,1 мг, 0,098 ммоль) и образовавшуюся смесь перемешивают при комнатной температуре в течение ночи. Реакционную смесь фильтруют и фильтрат упаривают при пониженном давлении. Остаток растирают с диэтиловым эфиром и осадок собирают фильтрованием и сушат в вакууме с получением указанного в заголовке соединения (41 мг, 82%) в виде белого твердого вещества.
ESI/MC m/e: 559 ([M+H]+, C25H34N8O5S),
время удерживания (мин): 11,7.
ПРИМЕРЫ 116-131
N,N-Диметил-3-(5-оксо-6-пропил-6,9-дигидро-5Н-[1,2,4]-триазоло[3,4-i]пурин-8-ил)-4-пропоксибензолсульфонамид (116)
N-{1-[3-(5-Оксо-6-пропил-6,9-дигидро-5Н-[1,2,4]триазоло-[3,4-i]пурин-8-ил)-4-пропоксифенил]сульфонилгуанидин (117)
N-(2-Гидроксиэтил)-3-(5-оксо-6-пропил-6,9-дигидро-5Н-[1,2,4]триазоло[3,4-i]пурин-8-ил)-4-пропоксибензолсульфонамид (118)
3-(5-Оксо-6-пропил-6,9-дигидро-5Н-[1,2,4]триазоло[3,4-i]-пурин-8-ил)-4-пропокси-N-(1Н-[1,2,4]триазол-3-ил)бензолсульфонамид (119)
N-(2-Диметиламиноэтил)-N-метил-3-(оксопропил-6,9-дигидро-5Н-[1,2,4]триазоло[3,4-i]пурин-8-ил)-4-пропоксибензолсульфонамид (120)
3-(5-Оксо-6-пропил-6,9-дигидро-5Н-[1,2,4]триазоло[3,4-i]-пурин-8-ил)-4-пропокси-N-пиридин-4-илметилбензолсульфонамид (121)
3-(5-Оксо-6-пропил-6,9-дигидро-5Н-[1,2,4]триазоло[3,4-i]-пурин-8-ил)-4-пропокси-N-(2-пиридин-2-илэтил)бензолсульфонамид (122)
N-(3-Имидазол-1-илпропил)-3-(5-оксо-6-пропил-6,9-дигидро-5Н-[1,2,4]триазоло[3,4-i]пурин-8-ил)-4-пропоксибензолсульфонамид (123)
N-Метил-N-(1-метилпиперидин-4-ил)-3-(5-оксо-6-пропил-6,9-дигидро-5Н-[1,2,4]триазоло[3,4-i]пурин-8-ил)-4-пропоксибензолсульфонамид (124)
8-[5-(4-Изопропилпиперазин-1-сульфонил)-2-пропоксифенил]-6-пропил-6,9-дигидро[1,2,4]триазоло[3,4-i]пурин-5-он (125)
N-Этил-3-(5-оксо-6-пропил-6,9-дигидро-5Н-[1,2,4]триазоло-[3,4-i]пурин-8-ил)-4-пропокси-N-(тетрагидрофуран-2-илметил)-бензолсульфонамид (126)
3-(5-Оксо-6-пропил-6,9-дигидро-5Н-[1,2,4]триазоло[3,4-i]-пурин-8-ил)-4-пропокси-N-(2,2,6,6-тетраметилпиперидин-4-ил)-бензолсульфонамид (127)
N-(4-Гидрокси-1-метилпиперидин-4-илметил)-N-метил-3-(5-оксо-6-пропил-6,9-дигидро-5Н-[1,2,4]триазоло[3,4-i]пурин-8-ил)-4-пропоксибензолсульфонамид (128)
N-(4-Гидрокси-1-метилпиперидин-4-илметил)-N-метил-3-(5-оксо-6-пропил-6,9-дигидро-5Н-[1,2,4]триазоло[3,4-i]пурин-8-ил)-4-пропоксибензолсульфонамид (129)
8-{2-Пропокси-5-[4-(2,2,2-трифторэтаноил)пиперазин-1-сульфонил]фенил}-6-пропил-6,9-дигидро[1,2,4]триазоло[3,4-i]-пурин-5-он (130)
N-(1-{[3-(5-Оксо-6-пропил-6,9-дигидро-5Н-[1,2,4]триазоло-[3,4-i]пурин-8-ил)-4-пропоксибензолсульфониламино]метил}-циклогептил)ацетамид (131)
Указанные в заголовке соединения были синтезированы из указанного в заголовке соединения получения 10 по методике примера 115 и с использованием соответствующего реагента, соответственно. Данные ESI/MC, времена удерживания ВЭЖХ и выходы суммированы в таблице 3.
| ТАБЛИЦА 3 |
| Пример |
Молекулярная формула |
ESI/MC m/e [M+H]+ |
Время удерживания (мин) |
Выход, % |
| 115 |
C25H34N8O5S |
559 |
11,7 |
82 |
| 116 |
C20H25N7O4S |
460 |
16,3 |
79 |
| 117 |
С19Н23N9O4S |
445 |
16,5 |
66 |
| 118 |
C20H25N7O5S |
476 |
13,8 |
75 |
| 119 |
C20H22N10O4S |
499 |
15,4 |
85 |
| ТАБЛИЦА 3 (продолжение) |
| Пример |
Молекулярная формула |
ESI/MC m/е [М+Н]+ |
Время удерживания (мин) |
Выход, % |
| 120 |
С23Н32N8О4S |
517 |
11,3 |
84 |
| 121 |
С23Н26N8O4S |
523 |
13,1 |
72 |
| 122 |
C25H28N8O4S |
537 |
13,5 |
77 |
| 123 |
С24Н29N9O4S |
540 |
11,2 |
68 |
| 124 |
C25H34N8O4S |
543 |
11,7 |
66 |
| 125 |
C25H34N8O4S |
543 |
12,0 |
79 |
| 126 |
С25Н33N7O5S |
544 |
18,0 |
82 |
| 127 |
C27H38N8O4S |
571 |
11,9 |
84 |
| 128 |
С26Н36N8O5S |
573 |
11,2 |
74 |
| 129 |
С26Н36N8O5S |
573 |
12,6 |
87 |
| 130 |
C24H27F3N8O5S |
597 |
17,3 |
65 |
| 131 |
С28Н38N8О5S |
447 |
16,5 |
58 |
ПРИМЕР 132
6-Бутил-8-[5-(3-гидроксиазетидин-1-сульфонил)-2-пропоксифенил]-6,9-дигидро[1,2,4]триазоло[3,4-i]пурин-5-он
Получен в виде белого твердого вещества (50%) из указанного в заголовке соединения получения 14 и азетидин-3-ола по методике примера 1.
Т.пл. 238°С.
(ДМСО-d6): 0,95 (3Н, т), 1,02 (3Н, т), 1,39 (2Н, м), 1,83 (4Н, м), 3,36 и 3,39 (4Н, 2д), 3,90 и 3,93 (4Н, 2д), 4,24 (2Н, т), 4,31 (2Н, т), 5,74 (1Н, д), 7,51 (1Н, д), 7,88 (1Н, д), 8,29 (1Н, с), 9,26 (1Н, с), 13,8 (1Н, с).
ПРИМЕР 133
6-Бутил-8-[5-(пиперазин-1-сульфонил)-2-пропоксифенил]-6,9-дигидро[1,2,4]триазоло[3,4-i]пурин-5-он
Получен в виде белого твердого вещества (60%) из указанного в заголовке соединения получения 14 и пиперазина по методике примера 1.
Т.пл. 147°С.
(ДМСО-d6): 0,95 (3H, т), 1,02 (3H, т), 1,72 (2Н, м), 1,85 (4Н, м), 2,80 (2Н, т), 2,85 (2Н, т), 3,27 (4Н, м), 4,20 (4Н, м), 7,38 (1Н, д), 7,79 (1Н, д), 8,27 (1Н, с), 9,20 (1Н, с).
ПРИМЕР 134
3-(6-Бутил-5-оксо-6,9-дигидро-5Н-[1,2,4]триазоло[3,4-i]пурин-8-ил)-N-метил-N-(1-метилазетидин-3-ил)-4-пропоксибензолсульфонамид
Получен в виде белого твердого вещества (19%) из указанного в заголовке соединения получения 14 и метил (1-метилазетидин-3-ил)амина по методике примера 1.
Т.пл. 169°С.
(CDCl3): 1,02 (3H, т), 1,16 (3H, т), 1,48 (2Н, м), 1,89 (2Н, м), 2,08 (2Н, м), 2,30 (3H, с), 2,75 (3H, с), 3,06 (2Н, т), 3,53 (2Н, т), 4,02 (1Н, м), 4,39 (4Н, м), 7,19 (1Н, д), 7,26 (1Н, с), 7,80 (1Н, д), 8,74 (1Н, с), 8,96 (1Н, с).
ПРИМЕР 135
6-Бутил-8-[5-(3-диметиламинометилазетидин-1-сульфонил)-2-пропоксифенил]-6,9-дигидро[1,2,4]триазоло[3,4-i]пурин-5-он
Получен в виде белого твердого вещества (56%) из указанного в заголовке соединения получения 14 и указанного в заголовке соединения получения 33 по методике примера 1.
Т.пл. 198°С.
(ДМСО-d6): 0,96 (3H, т), 1,03 (3H, т), 1,37 (2Н, м), 1,80 (2Н, м), 1,87 (2Н, м), 1,99 (6Н, с), 2,1 (2Н, д), 2,51 (1Н, м), 3,36 (2Н, м), 3,83 (2Н, т), 4,25 (2Н, т), 4,31 (2Н, т), 7,50 (1Н, д), 7,88 (1Н, д), 8,30 (1Н, с), 9,24 (1Н, с).
ПРИМЕР 136
6-Бутил-8-(5-{3-[(2-Гидроксиэтил)метиламино]азетидин-1-сульфонил}-2-пропоксифенил)-6,9-дигидро[1,2,4]триазоло-[3,4-i]пурин-5-он
Получен в виде белого твердого вещества (54%) из указанного в заголовке соединения получения 14 и 2-(азетидин-3-илметиламино)этанола по методике примера 1.
Т.пл. 162°С.
(ДМСО-d6): 0,46 (4Н, м), 1,33 (2Н, м), 1,80 (4Н, м), 1,90 (3H, с), 2,18 (2Н, т), 3,21 (1Н, м), 3,47 (2Н, т), 3,75 (2Н, т), 4,24 (6Н, м), 7,47 (1Н, д), 7,86 (1Н, д), 8,26 (1Н, с), 9,23 (1Н, с), 13,72 (1Н, шир.с).
ПРИМЕР 137
6-Бутил-8-{5-[4-(2-гидрокси-1-метилэтил)пиперазин-1-сульфонил]-2-пропоксифенил}-6,9-дигидро[1,2,4]триазоло-[3,4-i]пурин-5-он
Получен в виде белого твердого вещества (65%) из указанного в заголовке соединения получения 14 и 2-пиперазин-1-илпропан-1-ола по методике примера 1.
Т.пл. 221°С.
(ДМСО-d6): 0,86 (3H, д), 0,95 (3H, т), 1,00 (3H, т), 1,38 (2Н, м), 1,83 (4Н, м), 2,59 (4Н, м), 2,89 (4Н, м), 3,21 (1Н, м), 3,39 (2Н, м), 4,25 (4Н, м), 7,46 (1Н, д), 7,79 (1Н, д), 8,21 (1Н, с), 9,25 (1Н, с), 13,7 (1Н, с).
ПРИМЕР 138
6-Бутил-8-{5-[4-(2-гидрокси-1,1-диметилэтил)пиперазин-1-сульфонил]-2-пропоксифенил}-6,9-дигидро[1,2,4]триазоло-[3,4-i]пурин-5-он
Получен в виде белого твердого вещества (82%) из указанного в заголовке соединения получения 14 и указанного в заголовке соединения получения 37 по методике примера 1.
Т.пл. 237°С.
(ДМСО-d6): 0,87 (6Н, с), 0,95 (3H, т), 1,02 (3H, т), 1,38 (2Н, м), 1,82 (4Н, м), 2,62 (4Н, м), 2,86 (4Н, м), 3,20 (2Н, с), 4,25 (4Н, м), 7,46 (1Н, д), 7,77 (1Н, д), 8,20 (1Н, с), 9,24 (1Н, с).
ПРИМЕРЫ 139-142
N,N-Бис(2-гидроксиэтил)-3-(6-изобутил-5-оксо-6,9-дигидро-5Н-[1,2,4]триазоло[3,4-i]пурин-8-ил)-4-пропоксибензолсульфонамид (139)
3-(6-Изобутил-5-оксо-6,9-дигидро-5Н-[1,2,4]триазоло[3,4-i]-пурин-8-ил)-N-(4-метилпиперазин-1-ил)-4-пропоксибензолсульфонамид (140)
8-{5-[4-(2-Гидроксиэтил)пиперидин-1-сульфонил]-2-пропоксифенил}-6-изобутил-6,9-дигидро[1,2,4]триазоло[3,4-i]пурин-5-он (141)
8-(5-{4-[2-(2-Гидроксиэтокси)этил]пиперазин-1-сульфонил}-2-пропоксифенил)-6-изобутил-6,9-дигидро[1,2,4]триазоло[3,4-i]-пурин-5-он (142)
Указанные в заголовке соединения были синтезированы из указанного в заголовке соединения получения 30 по методике примера 115 и с использованием соответствующего реагента, соответственно. Данные ESI/MC, времена удерживания ВЭЖХ и выходы суммированы в таблице 4.
| ТАБЛИЦА 4 |
| Пример |
Молекулярная формула |
ESI/MC m/е [М+Н]+ |
Время удерживания(мин) |
Выход, % |
| 139 |
С23Н31О6S |
534 |
15,1 |
62 |
| 140 |
С24Н33N9O4S |
544 |
13,1 |
78 |
| 141 |
С26Н35N7O5S |
558 |
18,7 |
75 |
| 142 |
С27Н38N8О6S |
603 |
13,7 |
77 |
ПРИМЕР 143
N-(2-Гидроксиэтил)-3-[6-(2-метоксиэтил)-5-оксо-6,9-дигидро-5Н-[1,2,4]триазоло[3,4-i]пурин-8-ил]-4-пропокси-1-пропилбензолсульфонамид
Получен в виде белого твердого вещества (43%) из указанного в заголовке соединения получения 34 и 2-пропиламиноэтанола по методике примера 1.
Т.пл. 183°С.
(ДМСО-d6): 0,82 (3Н, т), 0,99 (3Н, т), 1,52 (2Н, м), 1,87 (2Н, м), 3,13 (4Н, м), 3,30 (3Н, с), 3,51 (2Н, т), 3,79 (2Н, т), 4,28 (2Н, т), 4,41 (2Н, т), 7,43 (1Н, д), 7,89 (1Н, д), 8,31 (1H, с), 9,29 (1H, с).
ПРИМЕР 144
3-[6-(2-Метоксиэтил)-5-оксо-6,9-дигидро-5Н-[1,2,4]триазоло-[3,4-i]пурин-8-ил]-N-(2-морфолин-4-илэтил)-4-пропоксибензолсульфонамид
Получен в виде белого твердого вещества (48%) из указанного в заголовке соединения получения 34 и 2-морфолин-4-илэтиламина по методике примера 1.
Т.пл. 171°С.
(ДМСО-d6): 0,98 (3H, т), 1,87 (2Н, н), 2,27 (6Н, м), 2,89 (2Н, м), 3,29 (3H, с), 3,48 (4Н, м), 3,79 (2Н, т), 4,27 (2Н, т), 4,42 (2Н, т), 7,43 (1H, д), 7,61 (1H, т), 7,87 (1H, д), 8,34 (1H, с), 9,28 (1H, с).
ПРИМЕР 145
8-{5-[4-(3-Гидроксипропил)пиперазин-1-сульфонил]-2-пропоксифенил}-6-(2-метоксиэтил)-6,9-дигидро[1,2,4]триазоло[3,4-i]-пурин-5-он
Получен в виде белого твердого вещества (32%) из указанного в заголовке соединения получения 34 и 3-пиперазин-1-илпропан-1-ола по методике примера 1.
Т.пл. 171°С.
(ДМСО-d6): 0,99 (3H, т), 1,50 (2Н, м), 1,87 (2Н, м), 2,36 (2Н, м), 2,45 (4Н, м), 2,92 (4Н, м), 3,30 (3H, с), 3,78 (2Н, т), 4,28 (2Н, т), 4,41 (2Н, т), 7,48 (1H, д), 7,78 (1H, д), 8,21 (1H, с), 9,28 (1H, с).
ПРИМЕР 146
3-[6-(2-Метоксиэтил)-5-оксо-6,9-дигидро-5Н-[1,2,4]триазоло-[3,4-i]пурин-8-ил]-N-(3-морфолин-4-илпропил)-4-пропоксибензолсульфонамид
Получен в виде белого твердого вещества (47%) из указанного в заголовке соединения получения 34 и 3-морфолин-4-илпропиламина по методике примера 1.
Т.пл. 149°С.
(ДМСО-d6): 0,96 (3H, т), 1,49 (2Н, м), 1,84 (2Н, м), 2,19 (6Н, м), 2,78 (2Н, м), 3,27 (3H, с), 3,45 (4Н, м), 3,76 (2Н, т), 4,25 (2Н, т), 4,39 (2Н, т), 7,41 (1Н, д), 7,62 (1Н, т), 7,81 (1Н, д), 8,31 (1Н, с), 9,25 (1Н, с).
ПРИМЕРЫ 147-149
N,N-Бис(2-гидроксиэтил)-3-(5-оксо-6-пентил-6,9-дигидро-5Н-[1,2,4]триазоло[3,4-i]пурин-8-ил)-4-пропоксибензолсульфонамид (147)
8-{5-[4-(2-Гидроксиэтил)пиперидин-1-сульфонил]-2-пропоксифенил}-6-пентил-6,9-дигидро[1,2,4]триазоло[3,4-i]пурин-5-он (148)
8-(5-{4-[2-(2-Гидроксиэтокси)этил]пиперазин-1-сульфонил}-2-пропоксифенил)-6-пентил-6,9-дигидро[1,2,4]триазоло[3,4-i]-пурин-5-он (149)
Указанные в заголовке соединения были синтезированы из указанного в заголовке соединения получения 32 по методике примера 115 и с использованием соответствующего реагента, соответственно. Данные ESI/MC, времена удерживания ВЭЖХ и выходы суммированы в таблице 5.
| ТАБЛИЦА 5 |
| Пример |
Молекулярная формула |
ESI/MC m/e [М+Н]+ |
Время удерживания (мин) |
Выход, % |
| 147 |
С24Н33N7O6S |
548 |
16,7 |
85 |
| 148 |
С27Н37N7O5S |
572 |
20,3 |
65 |
| 149 |
С28Н40N8О6S |
617 |
15,0 |
72 |
Следующие примеры иллюстрируют фармацевтические композиции по настоящему изобретению и методику их получения.
ПРИМЕР 1 КОМПОЗИЦИИ
50000 капсул, причем каждая содержит 100 мг активного ингредиента, были получены в соответствии со следующей готовой препаративной формой:
| Активный ингредиент |
5 кг |
| Моногидрат лактозы |
10 кг |
| Коллоидный диоксид кремния |
0,1 кг |
| Кукурузный крахмал |
1 кг |
| Стеарат магния |
0,2 кг |
Методика
Вышеуказанные ингредиенты просеивают через сито 60 меш, загружают в подходящий смеситель и смесь заполняют в 50000 желатиновых капсул.
ПРИМЕР 2 КОМПОЗИЦИИ
50000 таблеток, причем каждая содержит 50 мг активного ингредиента, были получены из следующих компонентов:
| Активный ингредиент |
2,5 кг |
| Микрокристаллическая целлюлоза |
1,95 кг |
| Высушенная распылением лактоза |
9,95 кг |
| Карбоксиметилкрахмал |
0,4 кг |
| Стеарилфумарат натрия |
0,1 кг |
| Коллоидный диоксид кремния |
0,1 кг |
Методика
Все порошки пропускают через сито с отверстиями 0,6 мм, затем смешивают в подходящем смесителе в течение 20 минут и прессуют в таблетки по 300 мг с использованием 9 мм дисковых и плоских штампов со скосом. Время дезинтеграции таблеток составляет приблизительно 3 минуты.
Формула изобретения
1. Производные 8-фенил-6,9-дигидро[1,2,4]-триазоло[3,4-i]пурин-5-она формулы (I)

где R1 представляет водород; С1-4алкильную группу или группу формулы
-СН2-R6
где R6 представляет фенильную группу;
R2 представляет С1-5алкильную группу или группу формулы
-(CH2)n-R6
где n равно целому числу 1 или 2 и R6 представляет пиридильную группу или С1-4алкокси;
R3 представляет C1-6алкильную группу;
либо R4 и R5 вместе с атомом азота, к которому они присоединены, образуют 4-7-членное кольцо, включающее 1 или 2 гетероатомов, выбранных из азота и кислорода, указанное кольцо может быть незамещенным или замещенным С1-5алкиленовой группой или гидрокси, C1-6алкильной группой, которая, в свою очередь, может быть замещена одним или несколькими атомами галогена или гидрокси, С1-4алкокси, гидроксиС1-4алкокси, ди-С1-4алкиламиногруппами; или формилом, С2-4алкенилом, карбамоильной, трифторацетильной или ди-С1-4алкиламиногруппой, причем один алкильный фрагмент которой в свою очередь может быть замещен гидроксигруппой; или
R4 и R5 каждый, независимо, представляют водород или С2-6алкинильную группу или С1-6алкильную группу, которая может быть незамещенной или замещенной одним или несколькими атомами гидрокси, С1-4алкокси или ди-С1-4алкиламиногруппой; или амидиногруппу или R4 представляет водород или С1-4алкильную группу и R5 представляет группу формулы
-(СН2)n-R7
где n равно целому числу от 0 до 4, и R7 представляет 3-7-членное кольцо, включающее от 1 до 3 гетероатомов, выбранных из азота и кислорода, указанное кольцо может быть незамещенным или замещенным одним или несколькими С1-6алкильными группами, гидрокси или фенильной группой; С3-7циклоалкильную группу, которая замещена моно- или диС1-4алкиламиногруппой или С1-4алкиламидогруппой; или фенильную группу, замещенную более чем одной С1-4алкокси группой;
или их фармацевтически приемлемая соль.
2. Соединение по п.1, где R2 представляет C1-С5-алкильную группу или группу формулы
-(CH2)nR6
где n равно 1 или 2 и R6 представляет пиридильную группу, и R3 представляет С1-С5-алкильную группу.
3. Соединение по п.1 или 2, где R1 представляет метильную, этильную, пропильную или бензильную группу; R2 представляет этильную, пропильную, н-бутильную, изобутильную, н-пентильную, метоксиэтильную или 3-пиридилметильную группу; и R3 представляет этильную, пропильную или н-бутильную группу.
4. Соединение по любому одному из пп.1-3, где кольцо, образованное R4, R5 и атомом азота, к которому они присоединены, является пиперидильной, пиперазинильной, [1,4]диазепан-1-ильной, морфолинильной, пиразолильной, азетидинильной или диазабицикло[2.2.1]гепт-2-ильной или гексагидропирроло[2,1-а]пиразинильной группой, которое является незамещенным или замещенным С1-С4-алкильной, С2-С4-алкенильной, карбамоильной, ди-С1-С4-алкиламино, (2-гидроксиэтил)метиламино, гидроксильной, 2,2,2-трифторэтаноильной, 2,2,2-трифторэтильной, формильной, гидроксиалкильной, C1-4алкоксиалкильной и гидроксиС1-4алкоксиалкильной группами, где алкильные части содержат от 1 до 4 атомов углерода.
5. Соединение по п.4, где R4 и R5 вместе с атомом азота, к которому они присоединены, представляют 4-гидроксипиперидильную, 4-карбамоилпиперидильную, 3-карбамоилпиперидильную, пиперазинильную, 4-метилпиперазинильную, 4-этилпиперазинильную, 4-формилпиперазинильную, [1,4]диазепан-1-ильную, 4-метил[1,4]диазепан-1-ильную, 4-(2-гидроксиэтил)пиперазинильную, 4-[2-(2-гидроксиэтокси)этил]пиперазинильную, морфолинильную, диазабицикло[2.2.1]гепт-2-ильную, 5-метилдиазабицикло[2.2.1]гепт-2-ильную, 5-(2-гидроксиэтил)диазабицикло[2.2.1 ]гепт-2-ильную, 3(S)-метилпиперазинильную, 3(R)-метилпиперазинильную, (3R,5S)-3,5-диметилпиперазинильную, (2R,5S)-2,5-диметилпиперазинильную, (2S,5R)-2,5-диметилпиперазинильную, 3-диметиламиноазетидинильную, 3-диметиламинометилазетидинильную, 4-аллилпиперазинильную, 4-пропилпиперазинильную, гексагидропирроло[1,2-а]пиразин-2-ильную, (3R,5S)-3,4,5-триметилпиперазинильную, 4-(2-метоксиэтил)пиперазинильную, 4-(2-гидроксиэтил)[1,4]диазепан-1-ильную, 4-(2-гидрокси-1-метилэтил)пиперазинильную, 4-(2-гидрокси-1,1-диметилэтил)пиперазинильную, 4-(2,2,2-трифторэтил)пиперазинильную, 4-(3-гидроксипропил)пиперазинильную, 4-(изопропил)пиперазинильную, 4-(2-этоксиэтил)пиперазинильную, 4-(2,2,2-трифторэтаноил)пиперазинильную, 3-гидроксиазетидинильную, 3-(2-гидроксиэтил)метиламиноазетидинильную или 4-(2-гидроксиэтил)пиперидильную группу.
6. Соединение по п.1 или 2, где R4 и R5 независимо представляют водород, С1-С4-алкильную группу, которая является незамещенной или замещенной гидрокси- или диметиламиногруппой, пропинильную группу или амидиногруппу.
7. Соединение по п.1 или 2, где R4 представляет водород или C1-C4-алкильную группу и R5 представляет группу формулы
-(СН2)nR7
n равно 0, 1, 2 или 3 и R7 представляет пиридильную, пиперидильную, пиперазинильную, морфолинильную, триазолильную, пирролидинильную, 1-этил-аминоциклогекс-1-ильную, 1-диэтиламиноциклогекс-1-ильную, 1-этиламиноциклогепт-1-ильную, 1-диэтиламиноциклогепт-1-ильную, 3,4-диметоксифенильную, 1-метил-4-фенилпиперидин-4-ильную, имидазолильную, 1-метилпиперидин-4-ильную, тетрагидрофуранильную, 2,2,6,6-тетраметилпиперид-4-ильную, 4-гидроксипиперид-4-ильную, 1-ацетамидоциклогепт-1-ильную, 1-метил-3-азетидинильную или 4-метилпиперазин-1-ильную группу.
8. Соединение по любому одному из пп.1-7, отличающееся тем, что оно имеет величину IC50 для ингибирования ФДЭ 5 меньше, чем 30 нМ.
9. Соединение по п.1, которое представляет
6-этил-8-[5-(4-метилпиперазин-1-сульфонил)-2-пропоксифенил]-6,9-дигидро[1,2,4]триазоло[3,4-i]пурин-5-он,
8-[2-бутокси-5-(4-метилпиперазин-1-сульфонил)фенил]-6-этил-6,9-дигидро[1,2,4]триазоло[3,4-i]пурин-5-он,
8-[5-(4-метилпиперазин-1-сульфонил)-2-пропоксифенил]-6-пропил-6,9-дигидро[1,2,4]триазоло[3,4-i]пурин-5-он,
8-{5-[4-(2-гидроксиэтил)пиперазин-1-сульфонил]-2-пропоксифенил}-6-пропил-6,9-дигидро[1,2,4]триазоло[3,4-i]пурин-5-он,
8-[5-(4-метил-[1,4]диазепан-1-сульфонил)-2-пропоксифенил]-6-пропил-6,9-дигидро[1,2,4]триазоло[3,4-i]пурин-5-он
6-бутил-8-{5-[4-(2-гидроксиэтил)пиперазин-1-сульфонил]-2-пропоксифенил}-6,9-дигидро[1,2,4]триазоло[3,4-i]пурин-5-он,
3-(5-оксо-6-пропил-6,9-дигидро-5Н-[1,2,4]триазоло[3,4-i]-пурин-8-ил)-4-пропокси-N-пиридин-4-илбензолсульфонамид,
8-[5-((S)-3-метилпиперазин-1-сульфонил)-2-пропоксифенил]-6-пропил-6,9-дигидро[1,2,4]триазоло[3,4-i]пурин-5-он,
8-[5-((IS,4S)-5-метил-2,5-диазабицикло[2.2.1]гептан-2-сульфонил)-2-пропоксифенил]-6-пропил-6,9-дигидро[1,2,4]-триазоло[3,4-i]пурин-5-он,
8-[5-(3-диметиламинометилазетидин-1-сульфонил)-2-пропоксифенил]-6-пропил-6,9-дигидро[1,2,4]триазоло[3,4-i]пурин-5-он,
8-[5-((3R,5S)-3,5-диметилпиперазин-1-сульфонил)-2-пропоксифенил]-6-пропил-6,9-дигидро[1,2,4]триазоло[3,4-i]пурин-5-он,
N-(3-диметиламино-2,2-диметилпропил)-3-(оксопропил-6,9-дигидро-5Н-[1,2,4]триазоло[3,4-i]пурин-8-ил)-4-пропоксибензолсульфонамид,
8-{5-[4-(2-гидроксиэтил)-[1,4]диазепан-1-сульфонил]-2-пропоксифенил}-6-пропил-6,9-дигидро[1,2,4]триазоло[3,4-i]-пурин-5-он,
8-{5-[4-(2-гидрокси-1,1-диметилэтил)пиперазин-1-сульфонил]-2-пропоксифенил}-6-пропил-6,9-дигидро[1,2,4]триазоло[3,4-i]-пурин-5-он, или
6-бутил-8-{5-[4-(2-гидрокси-1,1-диметилэтил)пиперазин-1-сульфонил]-2-пропоксифенил}-6,9-дигидро[1,2,4]триазоло-[3,4-i]пурин-5-он или его фармацевтически приемлемую соль.
10. Соединение по пп.1-9, пригодное в способе лечения человека или животного.
11. Способ получения соединения по любому одному из пп.1-9, включающий взаимодействие производного гидразинопурина формулы (II)

где R2, R3, R4 и R5 имеют значения, указанные в любом одном из пп.1-9, с карбоновой кислотой общей формулы (III)

где R1 имеет значения, указанные в любом одном из пп.1-9, или ее реакционноспособным производным, необязательно, в присутствии полярного апротонного растворителя.
12. Способ по п.11, где указанное взаимодействие проводят в присутствии органического основания.
13. Соединение формулы (II)

где R2, R3, R4 и R5 имеют значения, указанные в п.1
14. Соединение формулы (IV)

где R2, R3, R4 и R5 имеют значения, указанные в п.1.
15. Соединение формулы (V)

где R2, R3, R4 и R5 имеют значения, указанные в п.1.
16. Соединение формулы (VI)

где R2 и R3 имеют значения, указанные в п.1.
17. Способ получения соединения общей формулы 1 по п.1, отличающийся тем, что фенилксантин общей формулы (IX)

где R1, R2 и R3 имеют значения, указанные в п.1, подвергают взаимодействию с хлорсульфоновой кислотой и полученный сульфонилхлорид формулы (X)

где R1, R2 и R3 имеют значения, указанные выше, далее подвергают взаимодействию с амином формулы (VIII)

где R4 и R5 имеют значения, указанные в п.1.
18. Способ по п.17, отличающийся тем, что хлорсульфоновую кислоту используют в избытке или в качестве растворителя, и вторую стадию процесса проводят в полярном апротонном растворителе и в присутствии органического основания.
19. Фармацевтическая композиция, обладающая РDЕ5-ингибирующей активностью, включающая в качестве активного ингредиента, по меньшей мере, одно соединение, как указано в любом одном из пп.1-9, или его фармацевтически приемлемую соль и фармацевтически приемлемый эксципиент.
20. Способ лечения человека или животного, страдающего стабильной, нестабильной или вариантной стенокардией, гипертензией, легочной гипертензией, застойной сердечной недостаточностью, почечной недостаточностью, атеросклерозом, состояниями пониженной потенции кровеносных сосудов, периферическим сосудистым заболеванием, сосудистыми нарушениями, инсультом, бронхитом, хронической астмой, аллергической астмой, аллергическим ринитом, глаукомой, мужской эректильной дисфункцией, женской половой дисфункцией или заболеваниями, характеризующимися нарушениями двигательной способности кишечного тракта, включающий введение указанному пациенту, требующему такое лечение, эффективного количества соединения по п.1.
MM4A – Досрочное прекращение действия патента СССР или патента Российской Федерации на изобретение из-за неуплаты в установленный срок пошлины за поддержание патента в силе
Дата прекращения действия патента: 25.07.2006
Извещение опубликовано: 20.12.2007 БИ: 35/2007
|
|