Патент на изобретение №2258704
|
||||||||||||||||||||||||||
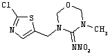
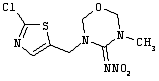
(54) СПОСОБ ПОЛУЧЕНИЯ 3-(2-ХЛОРО-5-ТИАЗОЛИЛМЕТИЛ)-5-МЕТИЛ-4-НИТРОИМИНОТЕТРАГИДРО-1,3,5-ОКСАДИАЗИНА
(57) Реферат:
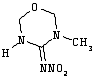
Изобретение относится к усовершенствованному способу получения соединения формулы который отличается тем, что соединение формулы подвергают взаимодействию с соединением формулы где Q обозначает хлор или бром, в присутствии растворителя или разбавителя, межфазного катализатора и основания, причем растворитель или разбавитель представляют собой сложный эфир угольной кислоты, межфазный катализатор представляет собой четвертичную соль аммония, а основанием является карбонат. Технический результат – подавление процесса образования нежелательных изомеров.
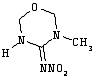
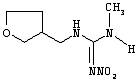
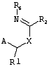
Настоящее изобретение относится к новому типу способа получения замещенных 2-нитрогуанидиновых и нитроенаминовых производных. Известно, что для получения замещенных нитрогуанидинов, нитроенаминов и цианоенаминов в эти соединения может быть введен дополнительный заместитель (например, алкилированием), который уже может быть замещен один или несколько раз (см., например, ЕР 0375907). Благодаря наличию в веществах, используемых в качестве исходного материала для проведения этих реакций, нескольких водородных атомов, ранее предложенные реакции замещения такого типа часто оказываются неселективными, и процесс приводит к образованию продуктов с нежелательными заместителями. В качестве примера в вышеупомянутой ЕР заявке описано получение 1,3-дизамещенных 2-нитрогуанидинов реакцией монозамещенных нитроизотиомочевин с первичными аминами при одновременном отщеплении меркаптана. Однако эти содержащие уходящие алкилтиогруппы нитроизотиомочевиновые соединения, которые предложены для использования в известных способах в качестве исходных соединений, могут быть получены только с затруднениями технологического порядка. В ЕР А-0483062 также описан способ получения соединений приведенной ниже формулы (I) гидролизом гексагидротриазинов. Было установлено, что вышеупомянутые способы получения соединений формулы (I) не удовлетворяют требованиям, предъявляемым к способу химического получения, таким, как доступность, токсичность, стабильность при хранении и чистота исходных и вспомогательных эксципиентов, время взаимодействия, потребление энергии и объемы материалов, с которыми приходится иметь дело при проведении процесса, количества и удаление накапливающихся побочных продуктов и отходов, а также чистота и выход конечного продукта. Следовательно, существует необходимость в разработке усовершенствованных способов получения этих соединений. Таким образом, целью настоящего изобретения является разработка усовершенствованного способа получения замещенных 2-нитрогуанидинов, 2-нитроенаминов, 2-цианоенаминов и 2-цианоаминов из легко получаемых исходных соединений, осуществление которого обеспечивает возможность конкретного замещения без образования больших количеств нежелательных побочных продуктов. Следовательно, объектом настоящего изобретения является способ получения соединений формулы в которой R1 обозначает водородный атом или С1-С4 алкил; R2 обозначает водородный атом, С1-С8 алкил, С3-Сб циклоалкил или радикал -N(R3)R4; или R1 и R6 совместно обозначают -CH2-CH2-S-, вследствие чего этиленовая группа связана с азотным атомом; R3 и R4 каждый независимо друг от друга обозначает водородный атом, C1-С4 алкил, С3-С6 циклоалкил или радикал -CH2В; R6 обозначает водородный атом, С1-С8 алкил, арил или бензил; или R3 и R6 совместно обозначают -СН2-СН2-, -СН2-СН2-СН2-, -СН2-O-СН2-, -CH2-S-CH2– или -CH2-N(R5)-CH2-; Х обозначает N-CN, CH-CN, CH-NO2 или N-NO2; А обозначает ароматический или неароматический, моноциклический или бициклический гетероциклический радикал, который не замещен или – в зависимости от возможностей замещения кольцевой системы – от моно до пентазамещен заместителями, выбранными из ряда, включающего атомы галогена, C1-С3 алкил, C1-С3 алкокси, гало – С1-С3 алкил, C1-С3 галоалкокси, циклопропил, галоциклопропил, С2-С3 алкенил, С1-С3 алкинил, С2-С3 галоалкенил и С2-С3 галоалкинил, C1-С3 алкилтио, C1-С3 галоалкилтио, аллилокси, пропаргилокси, аллилтио, пропаргилтио, галоаллилокси, галоаллилтио, циано- и нитрогруппы; а В обозначает фенил, 3-пиридил или тиазолил, который необязательно замещен, включая от одного до трех заместителей из ряда, включающего C1-С3 алкил, C1-С3 галоалкил, циклопропил, галоциклопропил, C2-С3 алкенил, C2-С3 алкинил, C1-С3 алкокси, C2-С3 галоалкенил, C2-С3 галоалкинил, C1-С3 галоалкокси, C1-С3 алкилтио, C1-С3 галоалкилтио, аллилокси, пропаргилокси, аллилтио, пропаргилтио, галоаллилокси, галоаллилтио, атомы галогена, циано- и нитрогруппы; отличающийся тем, что проводят реакцию соединения формулы которое известно или может быть получено по известным методам, где R2, R6 и Х имеют такие же значения, как указанные выше для формулы (I), в присутствии межфазного катализатора и основания с соединением формулы которое известно или может быть получено по известным методам, где А и R1 имеют такие же значения, как указанные выше для формулы (I), a Q обозначает уходящую группу. Соединения формулы (I) частично могут находиться в форме таутомеров. Следовательно, любую ссылку на соединения формулы (I), приведенную выше и в дальнейшем, во всех случаях следует понимать как охватывающую также их соответствующие таутомеры, даже если эти последние конкретно не упомянуты. Соединения формулы (I) и, когда это приемлемо, их E/Z-изомеры и таутомеры могут существовать в виде солей. Соединения формулы (I), у которых имеется по меньшей мере один основной центр, способны образовывать, например, кислотно-аддитивные соли. Они образуются, например, с сильными неорганическими кислотами, такими как минеральные кислоты, в частности серная кислота, фосфорная кислота и галоводородные кислоты, с сильными органическими карбоновыми кислотами, такими как C1-C4 алканкарбоновые кислоты, замещенные, например, когда это приемлемо, атомами галогена, в частности уксусная кислота, такими как необязательно ненасыщенные дикарбоновые кислоты, например щавелевая, малоновая, малеиновая, фумаровая и фталевая кислоты, такими как гидроксикарбоновые кислоты, например аскорбиновая, молочная, яблочная, винная и лимонная кислоты, или бензойная кислота, или с органическими сульфокислотами, такими как C1-С4 алкансульфоновые или арилсульфоновые кислоты, замещенные, например, когда это приемлемо, атомами галогена, например метансульфоновая или п-толуолсульфоновая кислота. В предпочтительном варианте соли соединений формулы (I) с кислотами упомянутого типа получают, когда обрабатывают реакционные смеси. В более широком смысле соли с основаниями могут образовывать соединения формулы (I), содержащие по меньшей мере одну кислотную группу. Приемлемыми солями с основаниями являются, например, металлические соли, такие как соли щелочных и щелочно-земельных металлов, например натриевые, калиевые и магниевые соли, или соли аммония или органических аминов, таких как морфолин, пипередин, пирролидин, моно-, ди- или три(низший апкиламин), соответственно три(низш.)алкиламин, например этил-, диэтил-, триэтил- или диметилпропиламин, и моно-, ди- или тригид-рокси(низш.)алкиламин, например моно-, ди- и триэтаноламин. Когда это приемлемо, могут быть также получены соответствующие внутренние соли. Предпочтительные соединения, охватываемые объемом настоящего изобретения, представляют собой соли, целесообразные для использования в сельском хозяйстве. В вышеприведенной части настоящего описания и в дальнейшем под свободными соединениями формулы (I) следует также понимать, когда это приемлемо, аналоги соответствующих солей, а под солями следует понимать также свободные соединения формулы (I). То же применимо и к E/Z-изомерам и таутомерам соединений формулы (I) и к их солям. Свободная форма предпочтительна. В приведенных выше описаниях формул с (I) по (III) и в дальнейшем под индивидуальными общими обозначениями необходимо иметь в виду следующее. Под атомами галогена подразумевают атомы фтора, хлора, брома и иода, из которых предпочтительны атомы фтора, хлора и брома, в особенности хлора. В этом контексте под атомом галогена подразумевается независимый заместитель или часть заместителя, такого как галоалкил, галоалкилтио, галоалкокси, галоциклоалкил, галоалкенил, галоалкинил, галоаллилокси или галоаллилтио. Алкильный, алкилтио-, алкенильный, алкинильный и алкокси-радикалы могут быть прямоцепочечными или разветвленными. Во всех случаях, если не указано иное, каждая из алкильных групп содержит до 6 углеродных атомов. Примерами таких алкилов, которые могут быть упомянуты, служат метил, этил, пропил, изопропил, бутил, изобутил, втор-бутил и трет-бутил. Алкоксирадикалами являются, например, метокси, этокси, пропокси, изопропокси и бутокси, а также их изомеры. Алкилтио представляет собой, например, метилтио, этилтио, изопропилтио, пропилтио или изомерный бутилтио. Алкильная, алкокси-, алкенильная, алкинильная и циклоалкильная группы, которые замещены атомами галогена, могут быть только частично или также пергалоидированными. Вышеприведенные определения в настоящем описании применительны к атомам галогена, алкилам и алкокси. Примерами алкильных компонентов этих групп являются метил, который от моно- до тризамещен атомом фтора, хлора и/или брома, в частности CHF2 или CF3; этил, который от моно- до пентазамещен атомом фтора, хлора и/или брома, в частности СН2CF3, CF2CF3, CF2CCl3, CF2CHCl2, CF2CHF2, CF2CFCl2, CF2CHBr2, CF2CHClF, CF2CHBrF или CClFCHClF; пропил или изопропил, от моно- до гептазамещенный атомом фтора, хлора и/или брома, в частности СН2CHBrCH2Br, CF2CHFCF3, CH2CF2CF3 или СН(CF3)2; бутил или один из его изомеров, от моно- до ноназамещенный атомом фтора, хлора и/или брома, в частности CF(CF3)CHFCF3 или СН2(CF2)2CF3; 2-хлорциклопропил или 2,2-дифторциклопропил, 2,2-дифторвинил, 2,2-дихлорвинил, 2-хлоралкил, 2,3-дихлорвинил или 2,3-дибромвинил. Типичными представителями алкенильных и алкинильных групп являются аллил, металлил, пропаргил, винил и этинил. В предпочтительном варианте двойные или тройные связи в аллилокси, пропаргилокси, аллилтио и пропаргилтио отделены от места присоединения к гетероатому (N, О или S) насыщенным углеродным атомом. Если описанные алкильные, алкоксильные, алкенильные, алкинильные или циклоалкильные группы замещены другими заместителями, они могут быть однократно или многократно замещены заместителями, аналогичными перечисленным или отличными от них. В предпочтительном варианте в замещенных группах должен содержаться один или два дополнительных заместителя. Циклоалкил представляет собой циклопропил, циклобутил, циклопентил или циклогексил. Термином “арил” обозначен фенил, нафтил, фенантренил или антраценил, преимущественно фенил. В контексте описания настоящего изобретения в предпочтительном варианте понятие “гетероарильный радикал” служит для обозначения от 5- до 7-членного ароматического или не ароматического кольца, содержащего от одного до трех гетероатомов, выбранных из группы, включающей N, О и S. Предпочтение отдают ароматическим 5- и 6-членным кольцам, которые включают в качестве гетероатома азотный атом и необязательно один дополнительный гетероатом предпочтительно азота, кислорода или серы, главным образом азота. Под уходящими группами Q в предыдущей части настоящего описания и в дальнейшем понимают все удаляемые группы, которые в химических реакциях являются обычными и известными специалисту в данной области техники, в частности атомы галогена, такие как атомы фтора, хлора, брома и иода, -O-С(=O)-А, -O-P(=O)(W)2, -O-Si(C1-C8алкил), -О-(С1-С8алкил), -О-арил, -O-S(=O)2W, -S-P(=O)(W)2, -S-P(=S)(W)2, -S-S-(C1-C8алкил), -S-S-арил, -S-(C1-С8алкил), -S-арил, -S(=O)W или -S(=O)2W, где радикал W необязательно замещен С1-С8алкилом, С2-С8алкенилом, С2-С8 алкинилом, необязательно замещенным арилом, необязательно замещенным бензилом, C1-С8алкокси или ди(С1-С8алкил)амином, в которых алкильные группы друг от друга не зависят, NO3, NO2 или остатком сульфата, сульфита, фосфата, фосфита, карбоксилата, сложного иминоэфира, N2 или остатком карбамата. В качестве уходящих групп особенно предпочтительны атомы хлора и брома, в особенности хлора. В качестве предпочтительных соединений при осуществлении способа, предлагаемого в соответствии с изобретением, получают соединения формулы (I), у которых R1 обозначает водородный атом; у которых R2 обозначает радикал -N(R3)R4; у которых R3 обозначает водородный атом или С1-С4 алкил; у которых R4 обозначает водородный атом; у которых R2 обозначает радикал -N(R3)R4, а R3 и R6 совместно обозначают -СН2-СН2-, -СН2-О-СН2– или -СН2-N(СН3)-СН2-, преимущественно -СН2-СН2– или -СН2-O-СН2-; у которых R6 обозначает водородный атом, С1-С8 алкил, арил или бензил; у которых Х обозначает CH-NO2 или N-NO2, главным образом N-NO2; у которых А обозначает пиридил, тиазолил или тетрагидрофуранил, необязательно замещенный атомом галогена, C1-С3 алкилом, C1-С3 алкокси, гало-C1-С3 алкилом, C1-С3 галоалкокси, преимущественно 2-хлортиазол-5-ил или 2-хлорпирид-5-ил. В наиболее предпочтительном варианте по способу в соответствии с изобретением получают следующие индивидуальные соединения: (вместо многоточий разместить формулы, приведенные на с. 6 и 7 оригинала) тиаметоксам формулы известный из ЕР А-580553; имидаклоприд формулы известный из The Pesticide Manual, издание 11-е (1997), The British Crop Protection Council, Лондон, с. 706; ацетамиприд (NI-25) формулы известный из The Pesticide Manual, издание 11-е (1997), The British Crop Protection Council, Лондон, с.9; нитенпирам (TI-304) формулы известный из The Pesticide Manual, издание 11-е (1997), The British Crop Protection Council, Лондон, с.880; клотианидин (Ti-435) формулы известный из ЕР А-0375907; MTI-446 формулы известный из ЕР А-0649845; тиаклоприд формулы известный из ЕР А-192060, и соединение формулы известное из ЕР А-0428941. В качестве всех межфазных катализаторов можно применять обычные соединения, т.е. соли четвертичного аммония, соли четвертичного фосфония, краун-эфиры, хелатообразователи, 1,4-диазабицикло[2.2.2]октан (ДАБЦО) и 1,5-диазабицикло[4.3.0]нон-5-ен (ДБН), их четвертичные аммониевые соли, а также полимерные межфазные катализаторы. Их список приведен в научном докладе “Phase Transfer Catalysts”, подготовленном на фирме Fluka, Buchs, Швейцария, издание 1986 г., с. с 7 по 25. Таким образом, перечисленные в этой работе межфазные катализаторы включены в описание настоящего изобретения в качестве ссылок. Особенно предпочтительными солями четвертичного аммония как межфазными катализаторами являются, например, бензилтриметиламмонийхлорид, бензилтриэтиламмонийхлорид, бензилтрибутиламмонийхлорид, бензилтриэтиламмонийбромид, бензилтриметиламмонийметоксид, бензилтриметиламмонийгидроксид (тритон В), глицидилтриметиламмонийхлорид, гексадецилтриметиламмонийхлорид, гексадецилтриметиламмонийбромид, гексадецилпиридинийбромид, гексадецилпиридинийхлорид, 2-гидроксиэтилтриметиламмонийхлорид, 2-гидроксиэтилтриметиламмонийгидроксид, фенилтриметиламмонийхлорид, фенилтриметиламмонийгидроксид, тетрабутиламмонийхлорид, тетрабутиламмонийбромид, тетрабутиламмонийгидроксид, тетрабутиламмонийтетрафторборат, тетрабутиламмонийнитрат, тетрадециламмонийхлорид, тетрадодециламмонийацетат, тетраэтиламмонийхлорид, тетраэтиламмонийгидроксид, тетрадодециламмонийнитрат, тетрадодециламмонийтолуолсульфонат, тетрагексиламмонийхлорид, тетрагексиламмонийбромид, тетраметиламмонийхлорид, тетраметиламмонийбромид, тетраметиламмонийгидроксид, тетраметиламмонийиодид, тетраметиламмонийтолуолсульфонат, тетраоктиламмонийхлорид, тетрапропиламмонийхлорид, тетрапропиламмонийбромид, трибутилметиламмонийхлорид и трибутилгептиламмонийбромид, причем наиболее предпочтительны гидроксиды четвертичного аммония, в частности тетраметиламмонийгидроксид в пентагидратной форме. Солями четвертичного фосфония могут служить бензилтрифенилфосфонийхлорид, гексадецилтрибутилфосфонийбромид, гексадецилтриметилфосфонийбромид, тетрабутилфосфонийхлорид, тетрафенилфосфонийхлорид и тетрафенилфосфонийбромид, а также гексилтрибутилфосфонийбромид, закрепленный на полимерной матрице. Краун-эфирами как межфазными катализаторами в способе синтеза в соответствии с изобретением могут быть, например, 12-краун-4, 15-краун-5, 18-краун-6, дибензо-18-краун-6; полиэтиленгликоли, например средней молекулярной массы 1000, 1500 или 2000; тетраэтиленгликоль и тетраэтиленгликольдиметиловый эфир. Предпочтительными для осуществления способа в соответствии с изобретением растворителями или разбавителями являются сложные эфиры, такие как этилацетат; простые эфиры, такие как диэтиловый эфир, дипропиловый эфир, диизопропиловый эфир, дибутиловый эфир, трет-бутилметиловый эфир, этиленгликольмонометиловый эфир, этиленгликольмоноэтиловый эфир, этиленгликольдиметиловый эфир, диметоксидиэтиловый эфир, тетрагидрофуран и диоксан; кетоны, такие как ацетон, метилэтилкетон и метилизобутилкетон; амиды, такие как N,N-диметилформамид, N,N-диэтилформамид, N,N-диметилацетамид, N-метилпирролидон и триамид гексаметилфосфорной кислоты; нитрилы, такие как ацетонитрил и пропионитрил; и сульфоксиды, такие как диметилсульфоксид; и вода. Особенно предпочтительны эфиры угольных кислот, уксусная кислота, муравьиная кислота, кетоны, нитрилы, простые эфиры, амиды N-алкилированных кислот, диметилсульфоксид, N-алкилпирролидоны, главным образом ацетонитрил, диметилкарбонат, диэтилкарбонат, N-метилпирролидон, диметилформамид, диметилацетамид, этоксиэтилацетат, метилацетат, пропионитрил, бутиронитрил, диметилсульфоксид, этилацетат, ацетон, метилэтилкетон, метилизобутилкетон. Особенно предпочтительными растворителями являются ацетонитрил, диметилкарбонат, диэтилкарбонат, N-метилпирролидон, диметилформамид, диметилацетамид и этоксиэтилацетат, в особенности диметилкарбонат. Особенно предпочтительным сочетанием является диметилкарбонат как растворитель и тетраметиламмонийгидроксид в качестве межфазного катализатора. Основаниями в безводных системах могут служить, в частности, карбонаты, а в случаях водных систем растворителей прибегают также к добавлению с регулированием рН гидроксидов щелочных металлов; предпочтителен карбонат калия. В предпочтительном варианте количество используемого основания составляет от одного до двух молей на моль соединения формулы (III). Реакционные условия зависят от точки кипения применяемого растворителя. Целесообразный температурный интервал находится в пределах от примерно 40 до примерно 100°С, предпочтительно в пределах от примерно 60 до примерно 70°С. Предпочтительное время реакции составляет от примерно 0,1 до примерно 24 ч, преимущественно от примерно 3 до примерно 5 ч. Было установлено, что осуществление способа в соответствии с изобретением дает возможность в значительной мере удовлетворить перечисленным в начале настоящего описания требованиям, в особенности тем, которые относятся к чистоте получаемого материала. Так, в частности, было продемонстрировано, что, когда осуществляют способ в соответствии с изобретением, возможно подавление процесса образования нежелательных изомеров. В частности, в случае гуанидиновых производных было показано, что замещение может также происходить по азотному атому, который несет нитро- или цианогруппу, например, Применение подходящих межфазных катализаторов позволяет использовать растворители, в которых образуются только небольшие количества нежелательных изомеров и которые можно легко регенерировать. Примеры получения П1: получение 5-(2-хлортиазол-5-илметил)-3-метил-4-нитроиминопергидро-1,3,5-оксадиазина (тиаметоксам) 184 г 100%-ного 3-метил-4-нитроиминопергидро-1,3,5-оксадиазина в 400 г диметилкарбоната загружают в колбу для сульфирования и в виде расплава добавляют 168 г 100%-ного 2-хлор-5-хлорметилтиазола (1,0 моля). Эту смесь нагревают до 65°С. С одновременным перемешиванием в течение 60 мин при температуре от 62 до 68°С дозируют смесь, содержащую 350 г диметилкарбоната, 4 г пентагидрата тетраметиламмонийгидроксида и 242 г порошкообразного карбоната калия. При одновременном интенсивном перемешивании реакционную смесь выдерживают в течение от 5 до 6 ч, до вступления во взаимодействие более 99% 2-хлор-5-хлорметилтиазола (контролируют жидкостной хроматографией). В дальнейшем реакционную смесь охлаждают до температуры от 45 до 50°С и смешивают с 600 г воды. Добавлением примерно 260 г 32%-ной соляной кислоты рН реакционной смеси доводят до 6,5, а затем выдерживают при температуре от 60 до 65°C до полного растворения. Раствор оставляют стоять до разделения фаз и отделяют органическую фазу. При 50°С водную фазу повторно экстрагируют 300 г диметилкарбоната. Органическую фазу в результате повторной экстракции объединяют с органической фазой из реакционной смеси. Объединенные органические фазы концентрируют под вакуумом (давление от 350 до 400 мбар) при температуре от 60 до 65°С до конечной массы 600 г (480 мл). Смесь медленно охлаждают до температуры от 0 до 5°С и выдерживают в течение 1 ч. Затем полученную суспензию фильтруют. Фильтровальный пирог промывают при температуре от 5 до 10°С 300 г диметилкарбоната в виде двух порций, а затем 300 мл воды в виде двух порций и влажный продукт сушат под вакуумом при 70°С. Выход: от 218 до 220 г указанного в заглавии продукта степени чистоты от 98 до 99% (74% от теоретического в пересчете на 100%-ный 2-хлор-5-хлорметилтиазол). Вышеупомянутого изомера формулы (IV) не обнаруживают. Перекристаллизацией из диметилкарбоната указанный в заглавии продукт может быть получен со степенью чистоты 99,5%. Другой способ получения включает одновременное добавление карбоната калия, 3-метил-4-нитроиминопергидро-1,3,5-оксадиазина и пентагидрата тетраметиламмонийгидроксида в 1100 г диметилкарбоната и дозирование при 65°С в течение 60 мин 2-хлор-5-хлорметилтиазола. Далее последующие реакцию и обработку проводят аналогично изложенному выше.
Формула изобретения
Способ получения соединения формулы отличающийся тем, что соединение формулы подвергают взаимодействию с соединением формулы где Q обозначает хлор или бром в присутствии растворителя или разбавителя, межфазного катализатора и основания, причем растворитель или разбавитель представляют собой сложный эфир угольной кислоты, межфазный катализатор представляет собой четвертичную соль аммония, а основанием является карбонат.
|
||||||||||||||||||||||||||




















