|
|
(21), (22) Заявка: 2002114343/04, 15.12.2000
(24) Дата начала отсчета срока действия патента:
15.12.2000
(30) Конвенционный приоритет:
20.12.1999 (пп.1-8) SE 9904674-0
(43) Дата публикации заявки: 10.01.2004
(45) Опубликовано: 20.08.2005
(56) Список документов, цитированных в отчете о поиске:
WO 9723466 A1, 03.07.1997. WO 9828270 A1, 09.12.1997. RU 94046382 A1, 27.10.1996. RU 2141474 C1, 20.11.1999.
(85) Дата перевода заявки PCT на национальную фазу:
22.07.2002
(86) Заявка PCT:
SE 00/02562 (15.12.2000)
(87) Публикация PCT:
WO 01/46174 (28.06.2001)
Адрес для переписки:
191036, Санкт-Петербург, а/я 24, “НЕВИНПАТ”, пат.пов. А.В.Поликарпову
|
(72) Автор(ы):
БРАУН Уильям (CA), УОЛПОЛ Кристофер (CA), ПЛОБЕК Никлас (CA)
(73) Патентообладатель(и):
АстраЗенека АБ (SE)
|
(54) НОВЫЕ СОЕДИНЕНИЯ
(57) Реферат:
Изобретение относится к новым соединениям общей формулы (I),

где R1 выбран из фенила или пиридинила, где каждое фенильное кольцо R1 или пиридинильное кольцо R1 может быть возможно и независимо дополнительно замещено хлором, фтором, бромом и йодом в любом положении указанного кольца, а также к их фармацевтически приемлемым солям. Изобретение также относится к фармацевтической композиции на основе этих соединений, обладающей -агонистической активностью, и к способу лечения боли. Технический результат – получение новых соединений формулы I для применения для устранения боли и производства лекарств для этой цели. 3 н. и 5 з.п. ф-лы, 3 табл.
Область изобретения
Настоящее изобретение относится к новым соединениям, к способу их получения, их применению и фармацевтическим композициям, содержащим эти новые соединения. Эти новые соединения являются полезными в терапии и, в частности, для лечения боли.
Предшествующий уровень техники
-Рецептор идентифицирован как рецептор, играющий роль во многих функциях организма, таких как сердечно-сосудистая и лимфатическая и болевая системы. Следовательно, лиганды для -рецептора могут находить потенциальное применение в качестве анальгетиков и/или в качестве гипотензивных агентов. Показано также, что лиганды для -рецептора обладают иммуномодулирующей активностью.
Идентификация по меньшей мере трех различных групп опиоидных рецепторов ( , и ) в настоящее время четко установлена, и очевидно, что все три находятся как в центральной, так и в периферической нервных системах многих видов, включая человека. Аналгезию наблюдали в различных животных моделях при активации одного или более чем одного из этих рецепторов.
За редким исключением, имеющиеся в настоящее время селективные -опиоидные лиганды являются пептидными по природе и не подходят для введения посредством системных путей. Одним из примеров не пептидного -агониста является SNC80 (Bilsky E.J. et al., Journal of Pharmacology and Experimental Therapeutics, 273 (1), pp. 359-366 (1995)). Однако все еще существует необходимость в селективных -агонистах, обладающих не только повышенной селективностью, но также улучшенным профилем побочных эффектов.
Таким образом, задачей, лежащей в основе настоящего изобретения, являлся поиск новых анальгетиков, обладающих улучшенными болеутоляющими эффектами, но также с улучшенным профилем побочных эффектов по сравнению с современными -агонистами, а также обладающих улучшенной системной эффективностью.
Анальгетики, которые идентифицированы и имеются в уровне техники, имеют много недостатков, заключающихся в том, что они обладают неудовлетворительной фармакокинетикой и не оказывают болеутоляющего действия при введении посредством системных путей. Также документально подтверждено, что предпочтительные соединения -агонисты, описанные в данном уровне техники, проявляют значительные судорожные эффекты при системном введении.
Авторами изобретения в настоящее время обнаружено, что некоторые соединения, конкретно не раскрытые, но включенные в объем WO 97/23466, демонстрируют неожиданно улучшенные -агонистические свойства и эффективность in vivo относительно соединений, раскрытых в WO 97/23466, при системном введении. Соединения по настоящему изобретению демонстрируют значительные и неожиданно повышенные уровни агонизма по отношению к дельта-рецептору и метаболической стабильности.
Краткое изложение сущности изобретения
Новые соединения по настоящему изобретению определены формулой I

где
R1 выбран из
(1) фенила;
(2) пиридинила


где каждое фенильное кольцо R1 и гетероароматическое кольцо R1 может быть возможно и независимо дополнительно замещено 1, 2 или 3 заместителями, выбранными из прямого и разветвленного С1-С6алкила, NO2, CF3, C1-С6алкокси, хлоро, фторо, бромо и йодо. Замещения на фенильном кольце и на гетероароматическом кольце могут иметь место в любом положении на указанных кольцевых системах.
В объем настоящего изобретения также входят фармацевтически приемлемые соли соединений формулы I, а также их изомеры.
Когда фенильное кольцо и гетероароматическое кольцо (кольца) являются замещенными, предпочтительные заместители выбраны любой из CF3, метила, йодо, бромо, фторо и хлоро.
В предпочтительном воплощении данного изобретения соединения формулы I находятся в виде (+)-энантиомера или в виде (-)-энантиомера.
Под “изомерами” авторы изобретения подразумевают соединения формулы I, которые различаются по положению их функциональной группы и/или ориентации. Под “ориентацией” авторы изобретения подразумевают стереоизомеры, диастереоизомеры, региоизомеры и энантиомеры.
Новые соединения по настоящему изобретению являются полезными в терапии, особенно для лечения различных болевых состояний, таких как хроническая боль, невропатическая боль, острая боль, раковая боль, боль, вызванная ревматоидным артритом, мигрень, висцеральная боль и так далее. Этот перечень, однако, не следует интерпретировать как исчерпывающий.
Соединения по настоящему изобретению являются полезными в качестве иммуномодуляторов, особенно при аутоиммунных заболеваниях, таких как артрит, для кожных трансплантатов, трансплантатов органов и подобных хирургических нужд, при коллагенозах, различных аллергиях, для применения в качестве противоопухолевых агентов и противовирусных агентов.
Соединения по настоящему изобретению являются полезными при болезненных состояниях, при которых имеется дегенерация или дисфункция опиоидных рецепторов, либо дегенерация или дисфункция опиоидных рецепторов вовлечена в процесс. В диагностические методики и в применения, связанные с визуализацией, такие как позитронная эмиссионная томография (ПЭТ), может быть также вовлечено использование меченных изотопами вариантов соединений по настоящему изобретению.
Соединения по настоящему изобретению являются полезными для лечения диареи, депрессии, тревоги, недержания мочи, различных психических заболеваний, кашля, отека легких, различных желудочно-кишечных расстройств, повреждения спинного мозга и привыкания к чрезмерному употреблению лекарств, включая лечение злоупотребления алкоголем, никотином, опиоидами и другими лекарствами, а также для лечения расстройств симпатической нервной системы, например гипертензии.
Соединения по настоящему изобретению являются полезными в качестве анальгетического агента для применения во время общей анестезии и контролируемой коррекции анестезии. Комбинации агентов с различными свойствами часто применяют для достижения баланса эффектов, необходимого для поддержания состояния анестезии (например, амнезии, аналгезии, мышечной релаксации и седативного эффекта). В данную комбинацию включены ингаляционные анестетики, снотворные средства, анксиолитики, нейромышечные блокаторы и опиоиды.
В объем настоящего изобретения также входит применение любого из соединений формулы I, указанной выше, для производства лекарства для лечения любого из состояний, обсуждаемых выше.
Следующий аспект настоящего изобретения представляет собой способ лечения субъекта, страдающего от любого из состояний, обсуждаемых выше, при котором пациенту, нуждающемуся в таком лечении, вводят эффективное количество соединения формулы I, указанной выше.
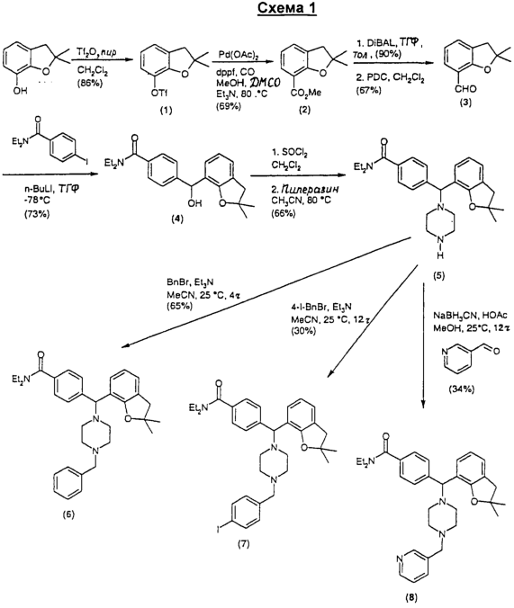
Также в объем настоящего изобретения включено любое новое промежуточное соединение, как описано в приведенной ниже Схеме I, полезное в синтезе соединений формулы I, указанной выше.
Способы получения
Соединения по настоящему изобретению можно получить, следуя методике синтеза, описанной в Схеме I. Эта известная методика описана в Katritsky, A.R., Lan, X. Chem. Soc. Rev., pp. 363-373 (1994), которая включена в данное описание изобретения путем ссылки.

Примеры
Далее изобретение будет описано более подробно с помощью следующих примеров, которые не следует истолковывать как ограничивающие данное изобретение.
Соединения по Примерам 1-3 получили, следуя методике синтеза, описанной в приведенной ниже Схеме 1.

Пример 1
Получение 4-Г(4-бензил-1-пиперазинил)(2,2-диметил-2,3-дигидро-1-бензофуран-7-ил)метил1-N,N-диэтидбензамидадигидрохлорида (соединение 6)
(1) Получение 2,2-диметил-2,3-дигидро-1-бензофуран-7-ил-трифторметансульфоната (соединение 1)
2,2-Диметил-2,3-дигидро-1-бензофуран-7-ол (19 г, 0,11 моль) и пиридин (18 мл, 0,23 моль) растворяли в CH2Cl2 при 0°С. Добавляли по каплям трифторметансульфоновый ангидрид (23 мл, 0,14 моль). После перемешивания в течение 1 ч при 25°С эту смесь разбавляли CH2Cl2 и промывали HCl (водн.), высушивали (MgSO4) и выпаривали в вакууме.
Выход 32 г (96%) соединения 1, которому не требовалась очистка, и его использовали непосредственно в следующей стадии.
1Н ЯМР (CDCl3) 1,50 (s, 6H), 3,09 (s, 2Н), 6,81 (m, 1H), 7,03 (m, 1H), 7.11 (m,1H).
MC (El) m/e 296, 163, 135, 107.
(2) Получение метил-2,2-диметил-2,3-дигидро-1-бензофуран-7-карбоксилата (соединение 2)
Соединение 1, полученное на предыдущей стадии, описанной выше (32 г, 0,11 моль), растворяли в ДМСО (200 мл), МеОН (100 мл) и Et3N (34 мл, 0,25 моль). Через этот раствор пропускали монооксид углерода в течение 2-3 мин, затем добавляли ацетат палладия (0,24 г) и dppf (1,1 г), и эту смесь нагревали при 70°С в атмосфере СО. Через 4 ч добавляли дополнительные количества ацетата палладия (0,10 г) и dppf (0,50 г). Через 12 ч добавляли EtOAc и воду, и органическую фазу промывали HCl (водн.), рассолом, высушивали (MgSO4) и выпаривали. Путем хроматографии на силикагеле (0-20% EtOAc в гептане) получили 12 г (52%) соединения 2.
1H ЯМР (CDCl3) 1,52 (s, 6H), 3,00 (s, 2Н), 3,88 (s, 3H), 6,82 (m, 1H), 7,27 (m, 1H), 7,70 (m, 1H). MC (El) m/e 206, 174, 159, 146, 131.
(3) Получение 2,2-диметил-2,3-дигидро-1-бензофуран-7-карбальдегида (соединение 3)
Соединение 2 (5,0 г, 24 ммоль) растворяли в толуоле (100 мл) и добавляли DIBAL в толуоле (33 мл, 1,5 M, 50 ммоль) при -78°С в атмосфере азота. Через 30 мин эту реакционную смесь обрабатывали добавлением HCl (водн.), органическую фазу высушивали (MgSO4) и выпаривали в вакууме. Остаток растворяли в CH2Cl2 (50 мл) и добавляли порциями тонко измельченный пиридиния дихромат (PDC) (11 г, 29 ммоль). Эту смесь нагревали при 40°С и добавляли порциями PDC (1 г), пока реакция не была завершена. Путем разбавления гептаном, фильтрования через силикагель и упаривания получили неочищенный продукт, который очищали путем хроматографии на силикагеле (0-20% EtOAc в гептане) с получением соединения 3 (3,3 г, 19 ммоль, 67% от соединения 2).
1H ЯМР (CDCl3) 1,54 (s, 6H), 3,03 (s, 2Н), 6,88 (m, 1H), 7,34 (m, 1H), 7,58 (m, 1H), 10,22 (s, 1H). MC (El) m/e 176, 161, 147, 130.
(4) и (5) Получение 4-[(2,2-диметил-2,3-дигидро-1-бензофуран-7-ил)(гидрокси)метил]-N,N-диэтилбензамида (соединение 4) и 4-[(2,2-диметил-2,3-дигидро-1-бензофуран-7-ил)(1-пиперазинил)метил]-N,N-диэтилбензамида (соединение 5)
N,N-Диэтил-4-йодбензамид (соединение I) (14 г, 47 ммоль) растворяли в ТГФ (150 мл) и охлаждали до -78°С в атмосфере азота. Добавляли по каплям н-бутиллитий (n-BuLi) (21 мл, 2,2 M раствор в гексане, 47 ммоль). Перемешивание продолжали в течение 30 мин при -78°С. Добавляли по каплям альдегид (соединение 3) (4,1 г, 24 ммоль), растворенный в ТГФ (2 мл). Через 30 мин добавляли NH4Cl (водн.). После концентрирования в вакууме, экстракции EtOAc/вода, высушивания (MgSO4) и упаривания органической фазы остаток очищали путем хроматографии на силикагеле с получением соединения 4 (6,1 г, 17 ммоль). После обработки SOCl2 (1,5 мл, 20 ммоль) в безводном CH2Cl2 (200 мл) при температуре от 0 до 25°С в течение 1 ч растворитель выпаривали в вакууме. Остаток растворяли в MeCN (100 мл) и подвергали взаимодействию с пиперазином (5,8 г, 68 ммоль) при 80°С в течение 12 ч. После концентрирования в вакууме и хроматографии на силикагеле (от 0 до 15% МеОН в CH2Cl2, с 1% NH4OH) получили соединение 5 (4,9 г, 11 ммоль). Дигидрохлорид получили с HCl (водн.) и лиофилизацией.
Т. пл. 130-40°С (соль diHCl).
ИК (KBr, max) 2982, 2722, 2481, 1628, 1450, 1371, 1292, 1140.
1H ЯМР (CD3OD) 1,1, 1,2 (2m, 6H), 1,36, 1,43 (2s, 6H), 2,72 (m, 4H), 2,95 (m, 2H), 3,25 (m, 6H), 3,5 (m, 2H), 4,8 (s, 1H), 6,74-7,60 (m, 7H). Анализ (С26Н35N3О2) С, Н, N.
(6) Получение соединения, указанного в заголовке, 4-[(4-бензил-1-пиперазинил)(2,2-диметил-2,3-дигидро-1-бензофуран-7-ил)метил]-N,N-диэтилбензамида дигидрохлорида (соединение 6)
Соединение 5 (0,62 г, 1,5 ммоль) и триэтиламин (0,41 мл, 2,9 ммоль) растворяли в MeCN (5 мл) и подвергали взаимодействию с бензилбромидом (0,17 мл, 1,5 ммоль) при 25°С. Через 2 ч добавляли вторую порцию бензилбромида, и через 4 ч эту реакционную смесь подвергали концентрированию в вакууме и хроматографии на силикагеле (от 0 до 10% МеОН в CH2Cl) с получением соединения 6, указанного в заголовке (0,49 г, 0,95 ммоль). Дигидрохлорид получили с HCl (водн.) и лиофилизацией. МС (ES) 512,08 (МН+).
ИК (NaCl, свободный амин, max) 2969, 2806, 2360, 1630, 1451, 1368, 1289, 1135 см-1.
1H ЯМР (CDCl3, свободный амин) 1,1, 1,2 (2m, 6H, амид-Ме), 1,36, 1,46 (2s, 6H, Ме2С), 2,5 (m, 8H, пиперазин-Н), 2,92 (m, 2H, ArCH2), 3,2, 3,5 (2m, амид-СН2), 3,51 (s, 2H, ArCH2N), 4,62 (s, 1H, Ar2СН), 6,72-7,52 (m, 7H, Ar-Н).
Анализ (С33Н41N3O2×3,4 HCl) С, Н, N: вычислено 6,61; обнаружено 7,19.
Пример 2
Получение 4-{(2,2-диметил-2,3-дигидро-1 -бензофуран-7-ил)[4-(4-йодбензил)-1-пиперазинил]метил}-N,N-диэтилбензамида дигидрохлорида (соединение 7)
Методика как для соединения 6. Соединение 5 (0,12 г, 0,29 ммоль) подвергали взаимодействию с 4-йодбензилбромидом (96 мг, 0,32 ммоль) в течение 48 ч с получением соединения 7, указанного в заголовке (56 мг, 88 мкмоль).
МС (ES) 638,24 (МН+). ИК (NaCl, свободный амин, max) 2969, 2810, 1630, 1451, 1288, 1135, 1007 см-1.
1H ЯМР (CDCl3, свободный амин) 1,1, 1,2 (2m, 6H, амид-Ме), 1,36, 1,45 (2s, 6H, Ме2С), 2,4 (m, 8H, пиперазин-Н), 2,94 (m, 2H, ArCH2), 3,2, 3,5 (2m, амид-СН2), 3,43 (s, 2H, ArCH2N), 4,62 (s, 1H, Ar2CH), 6,73 (m, 1H, Ar-Н), 6,94 (d, J=7,3 Гц, 1Н, ArH), 7,05 (d, J=8,0 Гц, 2Н, ArH), 7,19 (d, J=6,6 Гц, 1Н, ArH), 7,25 (d, J=8,0 Гц, 2Н, ArH), 7,48 (d, J=8,0 Гц, 2Н, ArH), 7,61 (d, J=8,0 Гц, 2Н, ArH). Анализ (С26Н37Cl2N3O2) С, Н, N.
Пример 3
Получение 4-{(2,2-диметил-2,3-дигидро-1-бензофуран-7-ил)[4-(3-пиридинилметил)-пиперазинил]метил}-N,N-диэтилбензамида дигидрохлорида (соединение 8)
Соединение 5 (0,20 г, 0,47 ммоль) растворяли в МеОН (2 мл) с 3-пиридинкарбоксальдегидом (90 мкл, 0,95 ммоль) и НОАс (3 мкл, 50 мкмоль). Добавляли цианоборгидрид натрия (60 мг, 0,95 ммоль) при 0°С, и эту реакционную смесь перемешивали в течение 48 ч при 25°С. Эту реакционную смесь подвергали концентрированию в вакууме, экстракции (CH2Cl2/K2СО3 (водн.)) и хроматографии на силикагеле (от 0 до 10% МеОН в CH2Cl2) с получением соединения 8, указанного в заголовке (82 мг, 0,16 ммоль). Дигидрохлорид получили с HCl (водн.) и лиофилизацией.
МС 513,25 (МН+). ИК (NaCl, свободный амин, max) 2970, 2808, 2360, 1631, 1452, 1425, 1290, 1135, 1096, 1009 см-1.
1H ЯМР (CDCl3, свободный амин) 1,1, 1,2 (2m, 6H, амид-Ме), 1,36, 1,46 (2s, 6H, Ме2С), 2,5 (m, 8H, пиперазин-Н), 2,94 (m, 2H, ArCH2), 3,2, 3,5 (2m, амид-СН2), 3,51 (s, 2H, ArCH2N), 4,64 (s, 1H, Ar2CH), 6,72-7,66 (m, 9H, Ar-Н), 8,44-8,54 (m, 2H, Ar-H).
Анализ (С32Н42Cl2N4O2) С, Н, N.
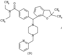
Пример 4
Получение 4-{(2,2-диметил-2,3-дигидро-1 -бензофуран-7-ил)[4-(2-пиридинилметил]-пиперазинил[метил{N,N-диэтилбензамида дитрифторацетата (соединение 9)

Соединение 9, указанное в заголовке, получили путем растворения соединения 5 (0,45 г, 0,98 ммоль) в МеОН (10 мл) с 2-пиридинкарбоксальдегидом (110 мкл, 1,18 ммоль) и НОАс (3 мкл, 50 мкмоль). Добавляли цианоборгидрид натрия (70 мг, 1,18 ммоль) при 0°С, и эту реакционную смесь перемешивали в течение 48 ч при 25°С. Эту реакционную смесь подвергали концентрированию в вакууме, экстракции (CH2Cl2/K2СО3 (водн.)) и обращенно-фазовой ВЭЖХ с получением соединения 9, указанного в заголовке, 461 мг (63%).
МС 513,04 (МН+).
Фармацевтические композиции
Новые соединения по настоящему изобретению можно вводить перорально, внутримышечно, подкожно, местно, интраназально, внутрибрюшинно, интраторакально, внутривенно, эпидурально, внутриоболочечно, интрацеребровентрикулярно и путем инъекции в суставы.
Предпочтительным путем введения является пероральный, внутривенный или внутримышечный.
Дозировка будет зависеть от пути введения, тяжести заболевания, возраста и массы пациента и других факторов, обычно учитываемых лечащим врачом при определении индивидуального режима и уровня дозировки как наиболее подходящих для конкретного пациента.
Для изготовления фармацевтических композиций из соединений по данному изобретению инертные фармацевтически приемлемые носители могут быть либо твердыми, либо жидкими. Препараты в виде твердых форм включают в себя порошки, таблетки, диспергируемые гранулы, капсулы, крахмальные капсулы и суппозитории.
Твердым носителем может быть одно или более чем одно вещество, которые могут также служить в качестве разбавителей, корригентов, солюбилизирующих агентов, смазывающих веществ, суспендирующих агентов, связывающих веществ или разрыхляющих агентов для таблеток; он также может являться инкапсулирующим материалом.
В порошках носитель представляет собой тонко измельченное твердое вещество, которое находится в смеси с тонко измельченным активным компонентом. В таблетках активный компонент смешан с носителем, обладающим необходимыми связующими свойствами, в подходящих пропорциях и спрессован в желаемую форму желаемого размера.
Для приготовления композиций в виде суппозиториев сначала плавят легкоплавкий воск, такой как смесь глицеридов жирных кислот и масла какао, и диспергируют в нем активный ингредиент путем, например, перемешивания. Затем эту расплавленную однородную смесь заливают в формы подходящего размера и оставляют охлаждаться и затвердевать.
Подходящими носителями являются карбонат магния, стеарат магния, тальк, лактоза, сахар, пектин, декстрин, крахмал, трагакант, метилцеллюлоза, натрийкарбоксиметилцеллюлоза, легкоплавкий воск, масло какао и тому подобное.
Фармацевтически приемлемыми солями являются ацетат, бензолсульфонат, бензоат, бикарбонат, битартрат, бромид, ацетат кальция, камсилат, карбонат, хлорид, цитрат, дигидрохлорид, эдетат, эдисилат, эстолат, эзилат, фумарат, глюкаптат, глюконат, глутамат, гликолиларсанилат, гексилрезорцинат, гидрабамин, гидробромид, гидрохлорид, гидроксинафтоат, йодид, изэтионат, лактат, лактобионат, малат, малеат, манделат, мезилат, метилбромид, метилнитрат, метилсульфат, мукат, напсилат, нитрат, памоат (эмбонат), пантотенат, фосфат/дифосфат, полигалактуронат, салицилат, стеарат, субацетат, сукцинат, сульфат, таннат, тартрат, теоклат, триэтиодид, соли бензатина, хлорпрокаина, холина, диэтаноламина, этилендиамина, меглумина, прокаина, алюминия, кальция, лития, магния, калия, натрия и цинка. Предпочтительными фармацевтически приемлемыми солями являются гидрохлориды и битартраты. Соли гидрохлориды являются особенно предпочтительными.
В термин “композиция” следует включать препарат активного компонента с инкапсулирующим материалом в качестве носителя, образующим капсулу, в которой активный компонент (с другими носителями или без них) окружен носителем, который, таким образом, находится в связи с ним. Подобным образом включены крахмальные капсулы.
Таблетки, порошки, крахмальные капсулы и капсулы можно применять в качестве твердых лекарственных форм, подходящих для перорального введения.
Композиции в виде жидких форм включают в себя растворы, суспензии и эмульсии. Растворы активных соединений в стерильной воде или в воде-пропиленгликоле можно упомянуть в качестве примера жидких препаратов, подходящих для парентерального введения. Жидкие композиции можно также изготавливать в виде раствора препарата в растворе водного полиэтиленгликоля.
Водные растворы для перорального введения можно изготавливать путем растворения активного компонента в воде и добавления подходящих красителей, корригентов, стабилизаторов и загущающих агентов по желанию. Водные суспензии для перорального применения можно изготавливать путем диспергирования тонко измельченного активного компонента в воде вместе с вязким материалом, таким как природные и синтетические смолы, камеди, метилцеллюлоза, натрийкарбоксиметилцеллюлоза и другие суспендирующие агенты, известные в области фармацевтических препаратов.
Предпочтительно фармацевтические композиции находятся в стандартной лекарственной форме. В такой форме композиция разделена на стандартные дозы, содержащие подходящие количества активного компонента. Стандартная лекарственная форма может представлять собой упакованный препарат, причем упаковка содержит дискретные количества препаратов, например упакованных таблеток, капсул и порошков во флаконах или в ампулах. Стандартная лекарственная форма может также представлять собой капсулу, крахмальную капсулу или таблетку саму по себе, либо может представлять собой подходящее количество любых из этих упакованных форм.
БИОЛОГИЧЕСКАЯ ОЦЕНКА
Модель in vitro
Культура клеток
Клетки человека 293S, экспрессирующие клонированные -, – и -рецепторы человека и устойчивость к неомицину, выращивали в суспензии при 37°С и 5% СО2 в качалочных колбах, содержащих свободную от кальция модифицированную Дульбекко среду Игла (DMEM), 10% FBS, 5% BCS, 0,1% плюроник (Pluronic) F-68 и 600 мкг/мл генетицина.
Препарат мембран
Клетки осаждали и ресуспендировали в буфере для лизиса (50 мМ Трис, рН 7,0, 2,5 мМ ЭДТА с фенилметилсульфонилфторидом (PMSF), добавленным непосредственно перед использованием до 0,1 мМ из 0,1 М исходного раствора в этаноле), инкубировали на льду в течение 15 мин, затем гомогенизировали, используя Polytron, в течение 30 с. Суспензию центрифугировали при 1000g (максимум) в течение 10 мин при 4°С. Супернатант хранили на льду, а осадки ресуспендировали и центрифугировали, как описано выше. Супернатанты от обоих центрифугирований объединяли и центрифугировали при 46000g (максимум) в течение 30 мин. Осадки ресуспендировали в холодном Трис-буфере (50 мМ Трис/Cl, рН 7,0) и снова центрифугировали. Конечные осадки ресуспендировали в буфере для мембран (50 мМ Трис, 0,32 М сахароза, рН 7,0). Аликвоты (1 мл) в полипропиленовых пробирках замораживали в сухом льду/этаноле и хранили при -70°С до использования. Концентрации белка определяли модифицированным анализом по Лоури с додецилсульфатом натрия (SDS).
Анализы на связывание
Мембраны подвергали оттаиванию при 37°С, охлаждали на льду, пропускали 3 раза через иглу 25 размера и разбавляли в связывающем буфере (50 мМ Трис, 3 мМ MgCl2, 1 мг/мл бычьего сывороточного альбумина (BSA) (Sigma A-7888), рН 7,4, который хранили при 4°С после фильтрования через 0,22 м фильтр, и к которому были добавлены свежеприготовленные 5 мкг/мл апротинина, 10 мкМ бестатина, 10 мкМ дипротина А (без DTT). Аликвоты по 100 мкл (на мкг белка, см. Таблицу 1) добавляли в охлажденные на льду полипропиленовые пробирки 12×75 мм, содержащие 100 мкл соответствующего радиоактивного лиганда (см. Таблицу 1) и 100 мкп тестируемых пептидов в различных концентрациях. Общее (ОС) и неспецифическое (НС) связывание определяли в отсутствие и в присутствии 10 мкМ налоксона соответственно. Пробирки встряхивали и инкубировали при 25°С в течение 60-75 мин, и через это время содержимое быстро фильтровали в вакууме и промывали примерно 12 мл/пробирку охлажденного на льду буфера для отмывки (50 мМ Трис, рН 7,0, 3 мМ MgCl2) через фильтры GF/B (Whatman), предварительно замоченные в течение по меньшей мере 2 ч в 0,1% полиэтиленимине. Радиоактивность (число распадов в минуту, dpm), оставшуюся на фильтрах, измеряли с использованием бета-счетчика после замачивания фильтров в течение по меньшей мере 12 ч в мини-флаконах, содержащих 6-7 мл сцинтилляционной жидкости. Если анализ ставили в 96-луночных планшетах с глубокими лунками, фильтрование осуществляли через 96-луночные стандартные фильтры, замоченные в PEI, которые промывали 3×1 мл буфера для отмывки и высушивали в печи при 55°С в течение 2 ч. Фильтровальные планшеты подсчитывали в TopCount (Packard) после добавления 50 мкл сцинтилляционной жидкости MS-20 на лунку.
Анализ данных
Специфичное связывание (СС) вычисляли как ОС-НС, и СС в присутствии различных тестируемых пептидов выражали в процентах от контрольного СС. Значения IC50 и коэффициента Хилла (Hill) (nН) для лигандов по замещению специфично связанного радиоактивного лиганда вычисляли на основании графиков в логарифмическом масштабе или программ для вычерчивания кривой по точкам, таких как Ligand, GraphPad Prism, SigmaPlot или ReceptorFit. Значения Ki вычисляли на основании уравнения Cheng-Prussoff. Значения среднее ± средняя квадратичная ошибка (СКО) IC50, Ki и nН представляли для тестируемых лигандов по меньшей мере в трех кривых замещения. Биологические данные представлены ниже в Таблице 1.
| Таблица 1 |
| Пример |
HDelta |
HDelta |
Мозг крысы |
Мозг мыши |
MLM |
RLM |
| № |
|
ЕС50 |
% ЕМАХ |
ЕС50 |
% ЕМАХ |
ЕС50 |
% ЕМАХ |
10000% rem. |
100000% rem. |
10000% rem. |
100000% rem. |
| 3 |
3,519 |
19,47 |
103,1 |
133,72 |
92,97 |
|
|
|
|
|
|
| 4 |
3,264 |
7,38 |
103,9 |
72,59 |
118,04 |
144,13 |
118,5 |
44,5 |
93 |
42,5 |
90,5 |
Таблица 1. Сводная таблица биологических данных.
Эксперименты по насыщению рецептора
Значения К радиоактивных лигандов определяли путем проведения анализов на связывание на клеточных мембранах с соответствующими радиоактивными лигандами в концентрациях, находящихся в диапазоне от 0,2 до 5-кратных от оцененного значения К5 (вплоть до 10-кратных, если необходимые количества радиоактивного лиганда доступны). Специфичное связывание радиоактивного лиганда выражали в пмоль/мг мембранного белка. Значения К и Вmax из индивидуальных экспериментов получили на основании нелинейных соответствий специфично связанного (СС) против нМ свободного (С) радиоактивного лиганда из индивидуального эксперимента согласно однопозиционной модели.
ОПРЕДЕЛЕНИЕ МЕХАНИЧЕСКОЙ АЛЛОДИНИИ С ИСПОЛЬЗОВАНИЕМ ТЕСТИРОВАНИЯ ПО VON FREY
Тестирование проводили между 08:00 и 16:00 ч, используя способ, описанный Chaplan et al. (1994). Крыс помещали в плексигласовые клетки на верхнюю поверхность дна из проволочной сетки, которая обеспечивала доступ к лапе, и оставляли для привыкания на 10-15 мин. Тестируемой областью была середина подошвы левой задней лапы, избегая менее чувствительных подушечек стопы. На лапу воздействовали серией из 8 волосков Von Frey логарифмически возрастающей жесткости (0,41, 0,69,1,20, 2,04, 3,63, 5,50, 8,51 и 15,14 грамм; Stoelting, III, USA). Волосок Von Frey прикладывали снизу сетчатого пола перпендикулярно поверхности подошвы с достаточной силой, чтобы вызвать небольшой прогиб против лапы, и держали в течение примерно 6-8 секунд. Положительный ответ отмечали, если лапа резко отдергивалась. Вздрагивание немедленно после удаления волоска также считали положительным ответом. Передвижение считали неопределенным ответом, и в таких случаях стимул повторяли.
ПРОТОКОЛ ТЕСТИРОВАНИЯ
Животных тестировали на 1-е сутки после операции для группы, обработанной FCA. 50%-ное пороговое значение отдергивания определяли, используя прямой способ Dixon (1980). Тестирование начинали с 2,04 г волоска, в середине серии. Стимулы всегда давали последовательным образом, либо восходящим, либо нисходящим. В отсутствие ответа в виде отдергивания лапы на исходно выбранный волосок давали более сильный стимул; в случае отдергивания лапы выбирали следующий более слабый стимул. Для вычисления оптимального порогового значения данным способом необходимо 6 ответов в непосредственной близости от 50%-ного порогового значения, и подсчет этих 6 ответов начинали, когда появлялось первое изменение ответа, то есть когда пороговое значение впервые пересекалось. В случаях, когда пороговые значения оказывались вне диапазона стимулов, соответственно устанавливались значения 15,14 (нормальная чувствительность) или 0,41 (максимальная аллодиния). Полученную в результате картину положительных и отрицательных ответов вносили в таблицу, используя условные обозначения: Х = отсутствие отдергивания; О = отдергивание, и 50%-ное пороговое значение отдергивания интерполировали, используя формулу:
50% г пороговое значение=10(Xf+k )/10000
где Xf = значение последнего использованного волоска Von Frey (логарифмические единицы); k = табличное значение (из Chaplan et al. (1994)) для картины положительных/отрицательных ответов; и = значение разности между стимулами (логарифмические единицы). Здесь = 0,224.
Пороговые значения Von Frey переводили в процент от максимального возможного ответа (% МВО) согласно Chaplan et al., 1994. Для компьютерного вычисления % МВО использовали следующее уравнение:
ВВЕДЕНИЕ ТЕСТИРУЕМОГО ВЕЩЕСТВА
Перед тестированием по Von Frey крысам инъецировали (подкожно, внутрибрюшинно или перорально) тестируемое вещество, время между введением тестируемого соединения и тестом Von Frey зависело от природы тестируемого соединения.
ТЕСТ WRITHING
Уксусная кислота при введении мышам внутрибрюшинно будет вызывать сокращения живота. Затем их тело будет типичным образом вытягиваться. Когда вводят обезболивающие лекарства, это описанное движение наблюдают менее часто, и это лекарство выбирают в качестве потенциального хорошего кандидата.
Рефлекс Writhing считают полным и типичным только тогда, когда присутствуют следующие элементы: животное не находится в движении; нижняя часть спины слегка опущена; видна подошвенная сторона обеих лап.
(1) Приготовление растворов
Уксусная кислота (АсОН): 120 мкл уксусной кислоты добавляют к 19,88 мл дистиллированной воды до получения конечного объема 20 мл при конечной концентрации 0,6% АсОН. Затем этот раствор перемешивают (встряхиванием), и он готов для инъекции.
Соединение (лекарство): Каждое соединение получают и растворяют в наиболее подходящем носителе согласно стандартным методикам.
(2) Введение растворов
Соединение (лекарство) вводят перорально, внутрибрюшинно (i.p.), подкожно (s.c.) или внутривенно (i.v.) в дозе 10 мл/кг (учитывая среднюю массу тела мышей) за 20, 30 или 40 минут (соответственно классу соединения и его характеристикам) до тестирования. Когда соединение доставляют центрально: интравентрикулярно (i.c.v.) или внутриоболочечно (i.t), вводят объем 5 мкл.
АсОН вводят внутрибрюшинно (i.p.) в двух местах в дозе 10 мл/кг (учитывая среднюю массу тела мышей) непосредственно перед тестированием.
(3) Тестирование
Животное (мышь) наблюдают в течение периода 20 минут и в конце эксперимента отмечают и компилируют число случаев (рефлекс Writhing). Мышей держат в индивидуальных клетках “обувная коробка” с контактной подстилкой. Обычно наблюдают всего 4 мышей одновременно: один контроль и три дозы лекарства.
Протокол для определения GTP в мозге крыс
Культура клеток
А. Клетки человека 293S, экспрессирующие клонированные -, -и -рецепторы человека и резистентные к неомицину, выращивали в суспензии при 37°С и 5% СО2 в качалочных колбах, содержащих модифицированную Дульбекко среду Игла (DMEM) без кальция, 10% фетальную сыворотку коровы (FBS), 5% BCS, 0,1% плюроник F-68 и 600 мкг/мл генетицина.
Б. Мозги крыс взвешивали и промывали в ледяном фосфатно-солевом буферном растворе (PBS) (содержащем 2,5 мМ ЭДТА (этилендиаминтетрауксусной кислоты), рН 7,4). Мозги гомогенизировали с помощью Politron в течение 30 секунд (крысы) в ледяном буфере для лизиса (50 мМ Tris (трис-(гидроксиметил)-аминометан), рН 7,0, 2,5 мМ ЭДТА с 0,5 мМ фенилметилсульфонилфторидом (PMSF), который добавляют непосредственно перед применением, приготавливая его из 0,5 М исходного раствора в смеси ДМСО (диметилсульфоксид):этанол).
Получение мембран
Клетки осадили центрифугированием и ресуспендировали в буфере для лизиса (50 мМ Tris, рН 7,0, 2,5 мМ ЭДТА с 0,1 мМ PMSF, который добавляют непосредственно перед применением, приготавливая его из 0,1 М исходного раствора в этаноле), инкубировали на льду в течение 15 минут, затем гомогенизировали с помощью Politron в течение 30 секунд. Суспензию центрифугировали при 1000 g (макс) в течение 10 минут при 4°С. Надосадочную жидкость сохраняли на льду и осадки ресуспендировали и центрифугировали, как описано выше. Надосадочные жидкости от двух центрифугирований объединили и центрифугировали при 46000 g (макс) в течение 30 минут. Осадки ресуспендировали в холодном Tris-буфере (50 мМ Tris/Cl, рН 7,0) и снова центрифугировали. Конечные осадки ресуспендировали в буфере для мембран (50 мМ Tris, 0,32 М сахароза, рН 7,0). Аликвоты (1 мл) в полипропиленовых пробирках заморозили в смеси сухой лед/этанол и хранили при -70°С до применения. Концентрации белка определяли с помощью модифицированного анализа по Лоури с додецилсульфатом натрия.
Тесты на связывание
Мембраны разморозили при 37°С, охладили на льду, пропустили 3 раза через иглу 25-го размера и разбавили в буфере для связывания (50 мМ Tris, 3 мМ MgCl2, 1 мг/мл бычий сывороточный альбумин (BSA) (Sigma A-7888), рН 7,4, который хранили при 4°С после фильтрования через 0,22 мкм фильтр и к которому перед экспериментом добавили 5 мкг/мл апротинина, 10 мкМ бестатина, 10 мкМ дипротина А (diprotin А), без DTT (дитиотрейтол). Аликвоты по 100 мкл добавили к охлажденным льдом полипропиленовым пробиркам (12×75 мм), содержащим 100 мкл соответствующего радиолиганда и 100 мкл тестируемого соединения в различных концентрациях. Общее (ТВ) и неспецифическое (NS) связывание определяли в отсутствие и в присутствии 10 мкМ налоксона соответственно. Пробирки встряхивали и инкубировали при 25°С в течение 60-75 минут, после чего содержимое быстро отфильтровали в вакууме и промыли охлажденным льдом буфером для промывания в количестве примерно 12 мл/на пробирку (50 мМ Tris, рН 7,0, 3 мМ MgCl2) через GF/B фильтры (Whatman), предварительно вымоченные в течение по меньшей мере 2 часов в 0,1%-ном полиэтиленимине. Радиоактивность (число распадов в минуту), оставшуюся на фильтрах, измеряли с помощью счетчика бета-частиц после вымачивания фильтров в течение по меньшей мере 12 часов в мини-флаконах, содержащих 6-7 мл сцинтилляционной жидкости. Если тест проводили в 96-луночных планшетах с глубокими лунками, то фильтрацию осуществляют через 96-луночные универсальные фильтры, вымоченные в полиэтиленимине, которые промывали буфером для промывания (3 × 1 мл) и сушили в сушильном шкафу при 55°С в течение 2 часов. Радиоактивность фильтр-планшетов измеряли с помощью TopCount (Packard) после добавления 50 мкл на лунку сцинтилляционной жидкости MS-20.
Функциональные тесты
Агонистическую активность соединений измеряют определением степени, с которой комплекс рецептор-соединение активирует связывание GTP (гуанозинтрифосфата) с G-белками, с которыми связаны рецепторы. В тесте на связывание GTP GTP[ ]35S объединяют с тестируемыми соединениями и мембранами из клеток HEK-293S, экспрессирующих клонированные опиоидные рецепторы человека, или из гомогенизированного мозга крыс и мышей. Агонисты стимулируют связывание GTP[ ]35S в этих мембранах. Значения ЕС50 (концентрация соединения, при которой наблюдается эффект, равный 50% от максимального) и Еmax (максимальный эффект, который может вызвать соединение) соединений определяют из кривых доза-ответ. Сдвиги вправо кривой доза-ответ дельта-антагонистом налтриндолом (naltrindole) осуществляют, чтобы подтвердить, что агонистическая активность опосредована через -рецепторы. Для функциональных тестов с -рецепторами человека ЕС50 (низкие) измеряют, когда -рецепторы человека, используемые в тесте, экспрессировались на низких уровнях по сравнению с таковыми, используемыми при определении ЕС50 (высокие). Значения Еmax определяли по отношению к стандартному -агонисту SNC80, то есть значение выше 100% имеет соединение, которое обладает лучшей эффективностью, чем SNC80.
Процедура для GTP в мозге крыс
Мембраны мозга крыс размораживают при 37°С, пропускают 3 раза через иглу с тупым концом 25-го размера и разбавляют в буфере для связывания GTP S (50 мМ N-2-гидроксиэтилпиперазин-N’-2-этансульфоновой кислоты (Hepes), 20 мМ NaOH, 100 мМ NaCl, 1 мМ ЭДТА, 5 мМ MgCl2, рН 7,4, добавляют свежий 1 мМ DTT, 0,1% BSA (дитиотрейтол). В конце к растворам мембран добавляют 120 мкМ гуанозиндифосфата (GDP). ЕС50 и Еmax соединений оценивают по 10-точечным кривым доза-ответ, составленным в 300 мкл с подходящим количеством мембранного белка (20 мкг/лунка) и 100000-130000 число распадов в минуту GTP 35S на лунку (0,11-0,14 нМ). Базальное и максимальное стимулированное связывание определяют в отсутствие и в присутствии 3 мкМ SNC80.
Анализ данных
Специфическое связывание (SB) вычисляли как ТВ-NS, и SB в присутствии различных тестируемых соединений выражали как процент от контроля SB. Значения IC50 и коэффициент Хилла (nН) для лигандов при замещении специфически связанного радиолиганда вычисляли из логит-графиков или с помощью строящих кривую по точкам программ, таких как Ligand, GraphPad Prism, SigmaPlot или ReceptorFit. Значения Кi (константы ингибирования) вычисляли по уравнению Cheng-Prussoff. Среднее значение ± стандартная ошибка значений IC50, Кi и nН представлены для лигандов, тестированных по меньшей мере на трех кривых замещения.
При тестировании в тесте по определению GTP в мозге крыс согласно вышеописанному протоколу предпочтительные соединения из WO 9723466 показали следующие результаты.
Таблица 2. Эффективность предпочтительных соединений из WO 9723466 |
| WO 9723466 |
ЕС50 в мозге крыс (нМ) |
| Пример 50 |
445,50 |
| Пример 51 |
Не определяли |
| Соединение 65 |
117,28 |
| Соединение 64 |
Не определяли |
| Соединение 33 |
520,7 |
| Соединение 34 |
386,9 |
| Соединение 37 |
423,3 |
| Соединение 41 |
>30000 |
| Соединение 45 |
492 |
| Соединение 38 |
247,6 |
| Соединение 42 |
Не определяли |
| Соединение 51 |
>90000 |
| Соединение 54 |
357,04 |
| Среднее |
12299 |
При тестировании в указанном тесте соединения по изобретению (соединения из примеров 1-4) показали следующие результаты.

Соединения по изобретению могут быть представлены, например, в виде следующих препаратов.
1. Растворы для внутривенного введения
(1.1)
| Активное соединение (соединение по изобретению) |
5 г |
| Хлорид натрия для инъекций |
6 г |
| 1 М гидроксид натрия для доведения рН ск.треб. |
|
| Вода для инъекций |
до 1000 мл |
Активное соединение и хлорид натрия растворяют в воде. рН доводят до значения рН приблизительно 7 добавлением водного гидроксида натрия и затем добавляют воду до конечного объема. Полученный раствор стерилизуют фильтрованием через фильтр 22 мкм и немедленно разливают в стерильные ампулы на 10 мл, которые герметично запаивают.
(1.2)
| Активное соединение (соединение по изобретению) |
4 г |
| Полиэтиленгликоль 400 для инъекций |
400 г |
| Динатрия гидрофосфат ск. треб. |
|
| Вода для инъекций |
до 1000 мл |
Активное соединение растворяют в полиэтиленгликоле 400 и добавляют 550 мл воды. рН раствора доводят приблизительно до 7 путем добавления водного раствора динатрия гидрокарбоната, а затем добавляют воду до конечного объема 1000 мл. Раствор фильтруют через фильтр 22 мкм и немедленно разливают в стерильные ампулы на 10 мл, которые герметично запаивают.
2. Таблетки для перорального введения
| Активное соединение (соединение по изобретению) |
150 г |
| Алюмосиликат натрия |
20 г |
| Парафин |
120 г |
| Микрокристаллическая целлюлоза |
20 г |
| Гидроксипропилцеллюлоза |
5 г |
| Стеарилфумарат натрия |
3 г |
Активное соединение, алюмосиликат натрия, парафин и микрокристаллическую целлюлозу смешивают и добавляют водный раствор гидроксипропилцеллюлозы. Полученную смесь высушивают и размалывают с получением гранул, которые затем смешивают со стеарилфумаратом натрия. Готовую смесь прессуют в таблетки в таблеточной машине с получением 1000 таблеток, каждая из которых содержит 150 мг активного соединения.
Формула изобретения
1. Соединение формулы I

где R1 выбран из фенила и пиридинила

где каждое фенильное кольцо R1 и пиридинильное кольцо R1 может быть возможно и независимо дополнительно замещено хлором, фтором, бромом и йодом в любом положении на указанном кольце,
а также его фармацевтически приемлемые соли.
2. Соединение по п.1, где возможный заместитель на фенильном или пиридинильном кольце представляет собой хлор.
3. Соединение по п.1, выбранное из любого из
4-[(4-бензил-1-пиперазинил)(2,2-диметил-2,3-дигидро-1-бензофуран-7-ил)метил]-N,N-диэтилбензамида дигидрохлорида (соединение 6),
4-{(2,2-диметил-2,3-дигидро-1-бензофуран-7-ил)[4-(4-йодбензил)-1-пиперазинил]метил}-N,N-диэтилбензамида дигидрохлорида (соединение 7),
4-{(2,2-диметил-2,3-дигидро-1-бензофуран-7-ил)[4-(3-пиридинилметил)-1-пиперазинил]метил}-N,N-диэтилбензамида дигидрохлорида (соединение 8) и
4-{(2,2-диметил-2,3-дигидро-1-бензофуран-7-ил)[4-(2-пиридинилметил)-1-пиперазинил]метил}-N,N-диэтилбензамида дитрифторацетата (соединение 9).
4. Соединение по любому из пп.1-3 в форме его солей гидрохлорида, сульфата, тартрата или цитрата.
5. Соединение по п.1 для применения для устранения боли.
6. Соединение формулы I по п.1 для производства лекарства для применения при лечении боли.
7. Фармацевтическая композиция, проявляющая -агонистические свойства, содержащая соединение формулы I по п.1 в качестве активного ингредиента вместе с фармакологически и фармацевтически приемлемым носителем.
8. Способ лечения боли, при котором субъекту, нуждающемуся в устранении боли, вводят эффективное количество соединения формулы I по п.1.
MM4A – Досрочное прекращение действия патента СССР или патента Российской Федерации на изобретение из-за неуплаты в установленный срок пошлины за поддержание патента в силе
Дата прекращения действия патента: 16.12.2008
Извещение опубликовано: 20.09.2010 БИ: 26/2010
|
|