Патент на изобретение №2258700
|
||||||||||||||||||||||||||||||||||||||||||||||||||||||||||||||||||||||||||||||||||||||||||||||||||||||||||||||||||||||||||||||||||||||||||||||||||||||||||||||||||||||||||||||||||||||||||||||||||||||||||||||||||||||||||||||||||||||||||||||||||||||||||||||||||||||||||||||||||||||||||||||||||||||||||||||||||||
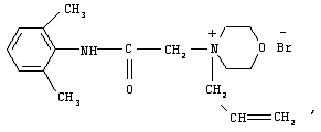
(54) ЧЕТВЕРТИЧНОЕ АММОНИЕВОЕ ПРОИЗВОДНОЕ ЛИДОКАИНА, ОБЛАДАЮЩЕЕ ПРОТИВОАРИТМИЧЕСКОЙ АКТИВНОСТЬЮ И СПОСОБ ЕГО ПОЛУЧЕНИЯ
(57) Реферат:
Изобретение относится к новому биологически активному соединению. Описывается четвертичное аммониевое производное лидокаина формулы (1): обладающее противоаритмической активностью. Также описывается способ получения четвертичного аммониевого производного лидокаина формулы 1, заключающийся в том, что N-(2,6-диметилфениламинокарбонилметил) морфолин подвергают взаимодействию с аллилом бромистым в среде изопропилового спирта при температуре 58-62°С с последующим охлаждением реакционной смеси до комнатной температуры и выделением N-аллил-(2,6-диметилфениламинокарбонилметил) морфолиния бромида. Технический результат – получено новое соединение, обладающее полезными биологическими свойствами. 2 н.п. ф-лы, 4 табл.
Изобретение относится к медицине и может найти применение в медицинской практике для коррекции нарушений ритма сердечной деятельности. Известно соединение N-(2,4,6-триметилфенилкарбамоилметил)-N-аллилморфолиний бромид под названием кватернидин, проявляющий противоишемическое и антиаритмическое действие при ишемической болезни сердца (RU 2105554, МПК 6 А 61 К 31/535, С 07 D 29/037, опубл. 1997). Недостатком известного решения является его высокая токсичность и малая широта терапевтического действия. Технический результат заключается в уменьшении острой токсичности, увеличении широты терапевтического действия и снижении смертности лабораторных животных при хроническом стрессе. Технический результат достигается четвертичным аммониевым производным лидокаина – N-аллил-(2,6-диметилфениламинокарбонилметил) морфолиний бромидом формулы (1): обладающим противоаритмической активностью. Способ получения соединения формулы (1) заключается в том, что N-(2,6-диметилфениламинокарбонилметил)морфолин подвергают взаимодействию с аллилом бромистым в среде изопропилового спирта при температуре 58-62°С с последующим охлаждением реакционной смеси до комнатной температуры и выделением N-аллил-(2,6-диметилфениламинокарбонил-метил)морфолиния бромида. Способ по изобретению иллюстрируется следующим примером. Пример. Синтез N-аллил-N-(2,6-диметилфениламинокарбонилметил)морфолиний бромида К 100 г N-(2,6-диметилфениламинокарбонилметил)морфолина приливают 130 мл спирта изопропилового, к раствору постепенно добавляют 49 мл аллила бромистого. Смесь нагревают до температуры 60°С, перемешивают в течение 5-6 часов, после чего охлаждают, выделившийся продукт отфильтровывают. Получают 133,5 г технического вещества (89,72%), которое очищают перекристаллизацией из изопропилового спирта с добавлением активированного угля. Получают 109,5 г белого кристаллического порошка легкорастворимого в спирте, растворимого в воде, практически нерастворимого в эфире и хлороформе. Т пл. 195-197°С. Найдено %: С 55,12 Н 6,71 N 7,42 О 8,53, Br 21,52 Вычислено, %: С 55,29 Н 6,82 N 7,59 О 8,66, Br 21,64 C17H25N2O2Br, м.м. 369,29 ИК-спектр, Исследование фармакологической активности 1 В отличие от кватернидина 1 выгодно отличается меньшей токсичностью при внутрибрюшинном, оральном и внутривенном способах введения, а также большей безопасностью, что иллюстрируется примером 1. Пример 1. Острая токсичность 1 и ближайших аналогов Острая токсичность 1 изучена в опытах на мышах (n=440, m=18-20 г) при внутрибрюшинном и оральном способах введения, на кошках (n=15, m=1,5-4,8 кг) при внутривенном введении. Показатель LD50 рассчитывали методом Миллера и Тейнтера (кн. Беленький М.Л. Элементы количественной оценки фармакологического эффекта. – Рига: Изд-во АН ЛССР, 1963. – 130 с.). Для определения острой токсичности при внутривенном введении (LD100) растворы в изотоническом растворе хлористого натрия вводили животным до остановки сердечной деятельности. Результаты исследования структурного предшественника лидокаина, кватернидина, а также 1 представлены в табл.1. Из предлагаемых в таблице данных хорошо видно, что заявляемое соединение более токсично, нежели структурный предшественник лидокаин при внутрибрюшинном введении и менее токсично, чем четвертичный дериват тримекаина – кватернидин. При пероральном введении острая токсичность 1 была меньше аналогичного показателя лидокаина и кватернидина. Летальная внутривенная доза 1 для кошек также ниже таковой кватернидина и лидокаина. Пример 2. Антиаритмическая активность 1 и ближайших аналогов при желудочковой аритмии в позднюю стадию экспериментального инфаркта миокарда у собак Результаты тестирования заявляемого соединения и аналогов приведены в табл.2. Исследование 1. Введение 1 в дозе 4 мг/кг позволило подавить аритмию в 100% опытов. Длительность антиаритмического эффекта составила не менее 500 минут наблюдения. Полный противоаритмический эффект развивался в среднем через 15 минут после введения. Таким образом, по силе и длительности противоаритмического эффекта 1 не уступает кватернидину и лидокаину. Так же как и четвертичным производным тримекаина (кватернидину) 1 свойственна двухфазность возникновения антиаритмического действия. Пример 3. Активность 1 и кватернидина на модели аконитиновой аритмии у крыс и мышей Данная модель позволяет судить о широте терапевтического действия представляемого соединения, его ближайших аналогов и структурного предшественника. О широте терапевтического действия судили по величине антиаритмического индекса, определяемого как отношение LD50 при внутрибрюшинном способе введения к ЭД50 на аконитиновой модели аритмий. Проведенный эксперимент показывает, что 1 эффективно купирует предсердную аритмию, вызванную внутривенным введением нитрата аконитина. При этом значение антиаритмического индекса, рассчитанного для 1, намного превосходит таковые кватернидина и лидокаина, следовательно, 1 обладает большей широтой терапевтического действия, чем сравниваемые аналоги, что свидетельствует о большей его безопасности при эквивалентной активности. Пример 4. Изучение влияния 1, лидокаина и кватернидина на экспериментальную летальность при длительном введении животным, находящимся в условиях стресса Результаты изучения 1, лидокаина и кватернидина представлены в табл.4. Все соединения вводили в дозе, составляющей 5% от LD50 при внутрибрюшинном введении для мышей. 1 – в дозе 4 мг/кг внутрибрюшинно, лидокаин – 10 мг/кг, кватернидин – 2 мг/кг. В контроле иммобилизация приводила к гибели части животных, и летальность по истечении 6 недель составила 30%. Лидокаин достоверно повышал летальность мышей при стрессе. Кватернидин обнаруживал тенденцию к ее повышению, а процент гибели животных при введении 1 был наименьшим из всех рассмотренных веществ. Представленные данные свидетельствуют, что N-аллил-N-(2,6-диметилфениламинокарбонилметил) морфолиний бромид (1) проявляет выраженные противоаритмические свойства на моделях желудочковых и предсердно-желудочковых (аконитиновых) аритмий, сопоставимые со свойствами ближайшего аналога (кватернидина) и превосходящие противоаритмические свойства структурного предшественника (лидокаина). Длительность эффекта 1 соответствует аналогичному показателю кватернидина и существенно превышает длительность эффекта лидокаина. Важным достоинством заявляемого соединения является его большая широта терапевтического действия по сравнению с аналогичным показателем у лидокаина и кватернидина. Кроме того, в условиях длительного иммобилизационного стресса при 6-недельном введении, 1 в отличие от лидокаина не повышает смертность подопытных животных. Таким образом, модификация морфолинового аналога лидокаина путем присоединения к атому азота аллильной группировки (синтез N-аллил-N-(2,6-диметилфениламинокарбонилметил) морфолиния бромида) позволяет получить более эффективное и безопасное соединение для терапии нарушений сердечного ритма, чем его структурный предшественник и ближайший аналог.
Формула изобретения
1. Четвертичное аммониевое производное лидокаина формулы (1) обладающее противоаритмической активностью. 2. Способ получения четвертичного аммониевого производного лидокаина формулы 1, отличающийся тем, что N-(2,6-диметилфениламинокарбонилметил) морфолин подвергают взаимодействию с аллилом бромистым в среде изопропилового спирта при температуре 58-62°С с последующим охлаждением реакционной смеси до комнатной температуры и выделением N-аллил-(2,6-диметилфениламинокарбонилметил) морфолиния бромида.
MM4A – Досрочное прекращение действия патента СССР или патента Российской Федерации на изобретение из-за неуплаты в установленный срок пошлины за поддержание патента в силе
Дата прекращения действия патента: 29.06.2006
Извещение опубликовано: 27.01.2008 БИ: 03/2008
|
||||||||||||||||||||||||||||||||||||||||||||||||||||||||||||||||||||||||||||||||||||||||||||||||||||||||||||||||||||||||||||||||||||||||||||||||||||||||||||||||||||||||||||||||||||||||||||||||||||||||||||||||||||||||||||||||||||||||||||||||||||||||||||||||||||||||||||||||||||||||||||||||||||||||||||||||||||



см-1: 1550 (NHCO), 1670 (C=O), 3280 (NH)
