|
|
(21), (22) Заявка: 2004109276/02, 29.03.2004
(24) Дата начала отсчета срока действия патента:
29.03.2004
(45) Опубликовано: 20.08.2005
(56) Список документов, цитированных в отчете о поиске:
RU 2212330 C1, 20.09.2003. RU 2066626 C1, 20.09.1996. EP 0120198 A1, 18.01.1984. FR 2065598 A, 30.07.1971.
Адрес для переписки:
690041, г.Владивосток, ул. Радио, 5, ИАПУ ДВО РАН, лаб. № 064, В.Ф. Филаретову
|
(72) Автор(ы):
Филаретов В.Ф. (RU)
(73) Патентообладатель(и):
Институт автоматики и процессов управления Дальневосточного отделения Российской Академии наук (ИАПУ ДВО РАН) (RU)
|
(54) УСТРОЙСТВО ДЛЯ УПРАВЛЕНИЯ ПРИВОДОМ РОБОТА
(57) Реферат:
Изобретение относится к робототехнике и может быть использовано при создании приводов роботов. Технический результат – обеспечение полной инвариантности динамических свойств электропривода к непрерывным и быстрым изменениям его динамических моментных нагрузочных характеристик при движении манипулятора по всем четырем рассматриваемым степеням подвижности и тем самым повышение его динамической точности управления. Сущность: в устройство дополнительно введены корректирующие устройства, обеспечивающие инвариантность показателей качества управления к изменяющимся параметрам нагрузки. 3 ил. 
Изобретение относится к робототехнике и может быть использовано при создании приводов роботов.
Известно устройство для управления приводом робота, содержащее последовательно соединенные первый сумматор, первый блок умножения, второй сумматор, усилитель и двигатель, связанный с первым датчиком скорости непосредственно и через редуктор – с шестерней, приводящей в движение рейку, закрепленную неподвижно на основании робота, последовательно соединенные релейный блок и третий сумматор, второй вход которого подключен к выходу первого датчика скорости, входу релейного блока и входу первого сумматора, третий вход – к выходу второго блока умножения, а выход – ко второму входу второго сумматора, третий вход которого подключен к выходу первого сумматора, последовательно соединенные первый датчик положения и четвертый сумматор, второй вход которого подключен ко входу устройства, а выход – ко второму входу первого сумматора, последовательно соединенные второй датчик скорости, квадратор и третий блок умножения, последовательно соединенные датчик массы и пятый сумматор, второй вход которого соединен с выходом источника постоянного сигнала, а выход – со вторым входом второго блока умножения, причем выход датчика массы соединен со вторым входом первого блока умножения (см. патент РФ №2037173, БИ №16, 1995 г.).
Недостатком этого устройства является то, что оно эффективно только для конкретного исполнительного органа робота, имеющего три степени подвижности (выдвижение руки, поворот вертикальной стойки и вертикальное перемещение руки). Однако при этих трех степенях подвижности у робота мала рабочая зона (зона обслуживания). Если ввести два взаимно перпендикулярных движения вертикальной стойки в горизонтальной плоскости, то зона обслуживания робота при его движении в этой плоскости может быть существенно расширена. Однако в этом случае в соответствующих приводах появляются возмущающие моментные воздействия, значительно ухудшающие их показатели качества. Рассматриваемое устройство не обеспечит высокую динамическую точность управления новому роботу.
Известно также устройство для управления приводом робота, содержащее последовательно соединенные первый сумматор, первый блок умножения, второй сумматор, усилитель и двигатель, связанный с первым датчиком скорости непосредственно и через редуктор – с шестерней, приводящей в движение рейку, закрепленную неподвижно на основании робота, последовательно соединенные релейный блок и третий сумматор, второй вход которого подключен к выходу первого датчика скорости, входу релейного блока и входу первого сумматора, третий вход – к выходу второго блока умножения, а выход – ко второму входу второго сумматора, третий вход которого подключен к выходу первого сумматора, последовательно соединенные первый датчик положения и четвертый сумматор, второй вход которого подключен ко входу устройства, а выход – ко второму входу первого сумматора, последовательно соединенные второй датчик скорости, квадратор и третий блок умножения, последовательно соединенные датчик массы и пятый сумматор, второй вход которого соединен с выходом источника постоянного сигнала, а выход – с первым входом второго блока умножения, причем выход датчика массы соединен со вторым входом первого блока умножения, последовательно соединенные второй датчик положения, синусный функциональный преобразователь, четвертый блок умножения, второй вход которого подключен к выходу датчика ускорения, и шестой сумматор, второй вход которого соединен с выходом третьего блока умножения, а выход – со вторым входом второго блока умножения, причем второй вход третьего блока умножения через косинусный функциональный преобразователь подключен к выходу второго датчика положения (см. патент РФ №2212330, БИ №26, 2003 г.).
Данное устройство по своей технической сущности является наиболее близким к предлагаемому изобретению. Однако в этом устройстве не учитывается, полагаясь малой, электрическая постоянная времени электродвигателя и это устройство предназначено для другой степени подвижности рассматриваемого робота. В результате известная система уже не обеспечивает высокую точность управления и возникает задача более точного учета всех воздействий на рассматриваемую степень подвижности робота с учетом электрической постоянной времени двигателя для более точной компенсации вредных моментных воздействий за счет введения дополнительных сигналов коррекции.
Задачей, на решение которой направлено заявляемое техническое решение, является обеспечение полной инвариантности динамических свойств электропривода к непрерывным и быстрым изменениям его динамических моментных нагрузочных характеристик при движении манипулятора по всем четырем рассматриваемым степеням подвижности и тем самым повышение динамической точности его управления.
Технический результат, который может быть получен при реализации заявляемого технического решения, выражается в получении дополнительного сигнала управления, подаваемого на вход привода, который обеспечивает получение дополнительного моментного воздействия, компенсирующего вредное моментное воздействие со стороны остальных степеней подвижности на качественные показатели работы рассматриваемого привода.
Поставленная задача решается тем, что в устройство для управления приводом робота, содержащее последовательно соединенные первый сумматор, первый блок умножения, второй сумматор, усилитель и двигатель, связанный с первым датчиком скорости 6 непосредственно и через редуктор – с шестерней, приводящей в движение рейку, закрепленную неподвижно на основании робота, последовательно соединенные релейный блок и третий сумматор, второй вход которого подключен к выходу первого датчика скорости, входу релейного блока и входу первого сумматора, третий вход – к выходу второго блока умножения, а выход – ко второму входу второго сумматора, третий вход которого подключен к выходу первого сумматора, последовательно соединенные первый датчик положения и четвертый сумматор, второй вход которого подключен ко входу устройства, а выход – ко второму входу первого сумматора, последовательно соединенные второй датчик скорости, квадратор, третий блок умножения и пятый сумматор, последовательно соединенные датчик массы и шестой сумматор, второй вход которого соединен с выходом источника постоянного сигнала, а выход – с первым входом второго блока умножения, второй вход которого подключен к выходу пятого сумматора, причем выход датчика массы соединен со вторым входом первого блока умножения, последовательно соединенные второй датчик положения и синусный функциональный преобразователь, последовательно соединенные первый датчик ускорения и четвертый блок умножения, выход которого подключен ко второму входу пятого сумматора, а вход косинусного функционального преобразователя подключен к выходу второго датчика положения, дополнительно введены последовательно соединенные дифференциатор, седьмой сумматор, второй вход которого подключен к выходу пятого блока умножения, и шестой блок умножения, второй вход которого соединен с выходом косинусного функционального преобразователя и вторым входом четвертого блока умножения, а выход – с третьим входом пятого сумматора, последовательно соединенные седьмой блок умножения, первый вход которого подключен к выходу второго датчика скорости и первому входу пятого блока умножения, второй вход которого соединен с выходом квадратора, а второй вход – к выходу первого датчика ускорения и входу дифференциатора, и восьмой блок умножения, второй вход которого подключен к выходу синусного функционального преобразователя и второму входу третьего блока умножения, а выход – к четвертому входу пятого сумматора, а также второй датчик ускорения, механически соединенный входом с выходным валом двигателя, а выходом – с четвертым входом второго сумматора.
Сопоставительный анализ существенных признаков предлагаемого технического решения и существенных признаков аналога и прототипа свидетельствует о его соответствии критерию “новизна”.
При этом отличительные признаки формулы изобретения обеспечивают высокую точность и устойчивость рассматриваемого привода робота в условиях существенного изменения параметров нагрузки.
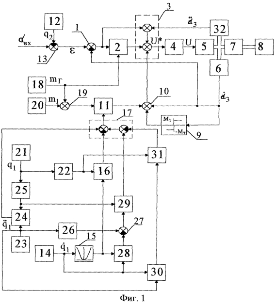
На фиг.1 представлена функциональная схема устройства; на фиг.2 – кинематическая схема исполнительного органа робота; а на фиг.3 – вид кинематической схемы исполнительного органа робота сверху.
Устройство для управления приводом робота содержит последовательно соединенные первый сумматор 1, первый блок 2 умножения, второй сумматор 3, усилитель 4 и двигатель 5, связанный с первым датчиком скорости 6 непосредственно и через редуктор 7 – с шестерней 8, приводящей в движение рейку, закрепленную неподвижно на основании робота, последовательно соединенные релейный блок 9 и третий сумматор 10, второй вход которого подключен к выходу первого датчика 6 скорости, входу релейного блока 9 и первому входу первого сумматора 1, третий вход – к выходу второго блока 11 умножения, а выход – ко второму входу второго сумматора 3, третий вход которого подключен к выходу первого сумматора 1, последовательно соединенные первый датчик 12 положения и четвертый сумматор 13, второй вход которого подключен ко входу устройства, а выход – ко второму входу первого сумматора 1, последовательно соединенные второй датчик 14 скорости, квадратор 15, третий блок 16 умножения и пятый сумматор 17, последовательно соединенные датчик 18 массы и шестой сумматор 19, второй вход которого соединен с выходом источника 20 постоянного сигнала, а выход – с первым входом второго блока 11 умножения, второй вход которого подключен к выходу пятого сумматора 17, причем выход датчика 18 массы соединен со вторым входом первого блока 2 умножения, последовательно соединенные второй датчик 21 положения и синусный функциональный преобразователь 22, последовательно соединенные первый датчик 23 ускорения и четвертый блок 24 умножения, выход которого подключен ко второму входу пятого сумматора 17, а вход косинусного функционального преобразователя 25 подключен к выходу второго датчика 21 положения, последовательно соединенные дифференциатор 26, седьмой сумматор 27, второй вход которого подключен к выходу пятого блока 28 умножения, и шестой блок 29 умножения, второй вход которого соединен с выходом косинусного функционального преобразователя 25 и вторым входом четвертого блока 24 умножения, а выход – с третьим входом пятого сумматора 17, последовательно соединенные седьмой блок 30 умножения, первый вход которого подключен к выходу второго датчика 14 скорости и первому входу пятого блока 28 умножения, второй вход которого соединен с выходом квадратора 15, а второй вход – к выходу первого датчика 23 ускорения и входу дифференциатора 26, и восьмой блок 31 умножения, второй вход которого подключен к выходу синусного функционального преобразователя 22 и второму входу третьего блока 16 умножения, а выход – к четвертому входу пятого сумматора 17, а также второй датчик ускорения 32, механически соединенный входом с выходным валом двигателя 5, а выходом – с четвертым входом второго сумматора 3.
Рассматриваемый привод управляет линейным перемещением в горизонтальной плоскости вертикальной стойки манипулятора по координате q3. Конструкция робота позволяет осуществлять еще поворот вертикального звена (обобщенная координата q1), горизонтальное прямолинейное (координата q2) и вертикальное прямолинейное (координата q3) перемещения.
На чертежах введены следующие обозначения:
вх – сигнал желаемого значения координаты q2;
– ошибка привода (величина рассогласования);
m1, m4, mг – массы соответствующих звеньев исполнительного органа робота и захваченного груза;
, – скорость и ускорение первой обобщенной координаты;
l=const – расстояние от оси вращения горизонтального звена до его центра масс;
lг=const – расстояние от оси вращения горизонтального звена до груза;
, – соответственно скорость и ускорение вращения ротора двигателя третьей степени подвижности;
U*,U – соответственно усиливаемый сигнал и сигнал управления двигателем 5.
Вертикальное звено в горизонтальной плоскости перемещается по координате q3 с помощью электропривода посредством передачи шестерня – рейка. Причем рейка установлена в основании робота, а шестерня 8 – на выходном валу редуктора 7 и имеет радиус r.
Несложно показать, что в процессе этого движения на рассматриваемый привод робота действует сила

Эта сила создает на выходном валу редуктора 7 момент, равный


С учетом соотношения (1), а также уравнений электрической и механической 
цепей электродвигателя постоянного тока с постоянными магнитами или независимого возбуждения, рассматриваемый привод робота можно описать следующим дифференциальным уравнением:

где R, L – соответственно активное и индуктивное сопротивления якорной цепи двигателя 5;
kм – коэффициент крутящего момента;
k – коэффициент противоЭДС;
J – момент инерции якоря двигателя и вращающихся частей редуктора, приведенных к валу двигателя;
kв – коэффициент вязкого трения;
ip – передаточное отношение редуктора;
Мстр – момент сухого трения;
ky – коэффициент усиления усилителя 4;
i – ток якоря двигателя 5;


Из (3) видно, что параметры этого уравнения, а следовательно, параметры и динамические свойства привода, управляющего координатой q3, являются существенно переменными, зависящими от и mг. В результате для реализации поставленной выше задачи необходимо сформировать такое корректирующее устройство, которое стабилизировало бы параметры привода таким образом, чтобы он описывался дифференциальным уравнением с постоянными желаемыми параметрами.
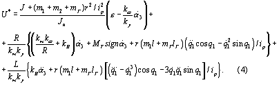
Второй положительный вход сумматора 1 (со стороны сумматора 13) имеет единичный коэффициент усиления, а его второй отрицательный вход – коэффициент усиления k /ky. Следовательно, на выходе сумматора 1 формируется сигнал 
Источник 20 постоянного сигнала формирует сигнал m1. Первый положительный вход сумматора 19 (со стороны датчика 18) имеет коэффициент усиления lгr/ip, а его второй положительный вход – коэффициент усиления lr/ip. В результате на выходе сумматора 19 формируется сигнал r(m1l+mгlг)/ip.
Датчики 21, 14 и 23 установлены в первой степени подвижности робота (фиг.2) и соответственно измеряют координаты В результате на выходе блока 24 умножения формируется сигнал а на выходе блока 16 умножения – сигнал Первый положительный (со стороны дифференциатора 26) и второй отрицательный входы сумматора 27 имеют единичные коэффициенты усиления. В результате на выходе блока умножения 29 формируется сигнал 
Первый отрицательный (соответственно со стороны блока 16) и второй положительный (со стороны блока 24) входы сумматора 17 имеют единичные коэффициенты усиления, третий положительный (со стороны блока 29 умножения) – коэффициент усиления, равный L/R, а четвертый отрицательный (со стороны блока 31 умножения), на вход которого поступает сигнал – коэффициент усиления, равный 3L/R. В результате на выходе блока 11 умножения формируется сигнал

Первый (со стороны релейного элемента 9) и третий (со стороны блока 11) положительные входы третьего сумматора 10 имеют единичные коэффициенты усиления, а его второй положительный вход – коэффициент усиления, равный В результате на выходе этого сумматора формируется сигнал

Выходной сигнал релейного элемента 9 с нулевой нейтральной точкой имеет вид

где |Mт| – величина момента сухого трения при движении.
Все входы сумматора 3 положительные. Его первый вход (со стороны блока 2) имеет коэффициент усиления (где Jн – номинальное значение момента инерции, приведенного к валу электродвигателя 5), второй (со стороны сумматора 10) – коэффициент усиления, равный R/kмky, третий (со стороны сумматора 1) – коэффициент усиления а четвертый – коэффициент усиления kвL/(kмky).
В результате на выходе сумматора 3 формируется сигнал

Несложно показать, что поскольку при движении привода достаточно точно соответствует Мстр, то, подставив полученное значение U* (4) в соотношение (3), получим уравнение

которое имеет постоянные желаемые параметры. То есть рассматриваемый привод, управляющий координатой q3 будет обладать постоянными желаемыми динамическими свойствами и качественными показателями, которые определяются выбором желаемых значений ky, Jн,
Формула изобретения
Устройство для управления приводом робота, содержащее последовательно соединенные первый сумматор, первый блок умножения, второй сумматор, усилитель и двигатель, связанный с первым датчиком скорости непосредственно и через редуктор – с шестерней, приводящей в движение рейку, закрепленную неподвижно на основании робота, последовательно соединенные релейный блок и третий сумматор, второй вход которого подключен к выходу первого датчика скорости, входу релейного блока и первому входу первого сумматора, третий вход – к выходу второго блока умножения, а выход – ко второму входу второго сумматора, третий вход которого подключен к выходу первого сумматора, последовательно соединенные первый датчик положения и четвертый сумматор, второй вход которого подключен ко входу устройства, а выход – ко второму входу первого сумматора, последовательно соединенные второй датчик скорости, квадратор, третий блок умножения и пятый сумматор, последовательно соединенные датчик массы и шестой сумматор, второй вход которого соединен с выходом источника постоянного сигнала, а выход – с первым входом второго блока умножения, второй вход которого подключен к выходу пятого сумматора, причем выход датчика массы соединен со вторым входом первого блока умножения, последовательно соединенные второй датчик положения и синусный функциональный преобразователь, последовательно соединенные первый датчик ускорения и четвертый блок умножения, выход которого подключен ко второму входу пятого сумматора, а вход косинусного функционального преобразователя подключен к выходу второго датчика положения, отличающееся тем, что в него дополнительно введены последовательно соединенные дифференциатор, седьмой сумматор, второй вход которого подключен к выходу пятого блока умножения, и шестой блок умножения, второй вход которого соединен с выходом косинусного функционального преобразователя и вторым входом четвертого блока умножения, а выход – с третьим входом пятого сумматора, последовательно соединенные седьмой блок умножения, первый вход которого подключен к выходу второго датчика скорости и первому входу пятого блока умножения, второй вход которого соединен с выходом квадратора, а второй вход – к выходу первого датчика ускорения и входу дифференциатора, и восьмой блок умножения, второй вход которого подключен к выходу синусного функционального преобразователя и второму входу третьего блока умножения, а выход – к четвертому входу пятого сумматора, а также второй датчик ускорения, механически соединенный входом с выходным валом двигателя, а выходом – с четвертым входом второго сумматора.
РИСУНКИ
MM4A – Досрочное прекращение действия патента СССР или патента Российской Федерации на изобретение из-за неуплаты в установленный срок пошлины за поддержание патента в силе
Дата прекращения действия патента: 30.03.2006
Извещение опубликовано: 20.03.2007 БИ: 08/2007
|
|