|
|
(21), (22) Заявка: 2003102436/15, 29.06.2001
(24) Дата начала отсчета срока действия патента:
29.06.2001
(30) Конвенционный приоритет:
29.06.2000 (пп.1-15) GB 0016027.5
(43) Дата публикации заявки: 10.11.2004
(45) Опубликовано: 20.08.2005
(56) Список документов, цитированных в отчете о поиске:
WO 99/52532 A1, 21.10.1999. US 5925630 А, 20.07.1999. WO 97/37664 A1, 16.10.1997. WO 94/03176 A1, 17.02.1994. RU 2142802 C1, 20.12.1999.
(85) Дата перевода заявки PCT на национальную фазу:
29.01.2003
(86) Заявка PCT:
GB 01/02929 (29.06.2001)
(87) Публикация PCT:
WO 02/00224 (03.01.2002)
Адрес для переписки:
129010, Москва, ул. Б.Спасская, 25, стр.3, ООО “Юридическая фирма Городисский и Партнеры”, пат.пов. Е.Е.Назиной
|
(72) Автор(ы):
ВЮЛФЕРТ Эрнст (BE), ПРИНГЛ Эшли Кер (GB), САНДСТРОМ Ларс Эрик (GB)
(73) Патентообладатель(и):
ХАНТЭР-ФЛЕМИНГ ЛИМИТЕД (GB)
|
(54) НЕЙРОПРОТЕКТОРНЫЕ 7-БЕТА-ГИДРОКСИСТЕРОИДЫ
(57) Реферат:
Изобретение относится к химико-фармацевтической промышленности и касается лекарственного средства, имеющего структуру 7 -гидрокси-эпиандростерона или 7 -дегидроэпиандростерона, или их фармацевтически приемлемых сложных эфиров, обладающих структурными формулами (I), для защиты нейронов от повреждения. Соединения обладают высокой эффективностью и биодоступностью. 2 н. и 13 з.п. ф-лы, 3 ил., 3 табл. 
Настоящее изобретение относится к использованию серии 3-гидрокси-7 -гидроксистероидных соединений и некоторых их кетонных производных для защиты нервных клеток от гибели, которые, в этой связи, полезны при лечении и профилактике таких состояний и последствий таких состояний, как болезнь Альцгеймера, болезнь Паркинсона, нарушение познавательной функции без деменции (CIND), инсульт, травма головного мозга, поражение спинного мозга и поражение периферических нервов, а также они могут использоваться для улучшения познавательной функции.
Образование in vivo 7 -гидроксилированных метаболитов дегидроэпиандростерона (ДГЭА) было известно с 1959 года с момента идентификации 7 -гидрокси-ДГЭА в моче (J.J. Schneider, M.L. Lewbart, Recent Progr. Horm. Res., 15 (1959), 201-230; L. Starka et al., Clin. Chim. Acta, 7 (1961), 309-316). Начиная с этого момента, появилось много сообщений об обширных исследованиях 7 -гидроксилирования 3 -гидроксистероидных субстратов (включая ДГЭА и эпиандростерон – ЭПИА) в тканевых препаратах из разных органов человека, включая ткань печени взрослого человека и эмбриональной печени, ткань яичек, эпидидимуса, кожи, молочной железы, простаты, тучных клеток стромы и миндалин. Гидроксилирование ДГЭА в 7-положении было показано в печени крыс и в различных тканях и органах мышей. Однако, уделялось мало или вовсе не уделялось внимания 7 -производным. Во всех указанных исследованиях основной образуемый метаболит представлял собой 7 -гидрокси-ДГЭА. Так, Дустзаде с соав. (Doostzadeh et al., Steroids, 63 (1998), 608-614) показал, что скорость образования 7 -гидрокси-ДГЭА микросомами печени мышей была более чем в пятнадцать раз выше, чем скорость образования 7 -гидрокси-ДГЭА.
Было также показано, что ЭПИА, ДГЭА и прегненолон быстро и в значительной мере трансформируются в их соответствующие 7 -гидроксиметаболиты в тканях мозга крысы (J.M. Guiraud et al., Steroids, 34 (1979), 241-248; M. Warner et al., Endocrinology, 124 (1989), 2699-27-06; Y. Akwa et al., Biochem. J., 288 (1992), 959-964).
В документе WO97/37664 раскрывается использование множества различных соединений, включая 7 -гидроксизамещенные стероиды, для лечения психоневрологических, иммунных или эндокринных заболеваний. В число указанных в документе WO97/37664 заболеваний, для лечения которых могут использоваться указанные соединения, была включена и болезнь Альцгеймера. Однако предложенный механизм такого воздействия был связан с принятием гипотезы о том, что указанное заболевание является следствием дефицита 7 -гидроксизамещенного стероида в мозге, и, таким образом, лечение, предлагаемое в WO97/37664, снимает этот дефицит за счет введения 7 -гидроксизамещенного стероида с целью замещения отсутствующего соединения. Таким образом, описанный в документе WO97/37664 способ направлен на излечение имеющегося состояния, а не на профилактику состояния или профилактику ухудшения состояния посредством предупреждения дальнейшего повреждения нервных клеток. Таким образом, в документе WO97/37664 не описывается нейропротекторный эффект. Выводы указанного документа строятся также на положении о том, что активным агентом является 7 -соединение, а 7 -соединение, даже если оно присутствует, является неактивным.
В документе WO94/20111 также раскрывается использование множества производных ДГЭА для профилактики или снижения потери жизнеспособности ткани, вызванной адгезией нейтрофилов к эндотелиальным клеткам. Однако указанный механизм не является тем механизмом, который вызывает заболевания, подлежащие лечению согласно настоящему изобретению.
Несмотря на то, что 7 -гидроксианалоги соединений, раскрытые в документе WO97/37664, известны как образующиеся in vivo, они продуцируются в количествах, меньших, чем 5% в сравнении с уровнем образования более чем 95% для случая 7 -изомера. Кроме того, до сих пор не была описана ферментная система, ответственная за превращение указанных 3-гидроксистероидов в их соответствующие 7 -гидроксипроизводные. В соответствии с указанными причинами и в свете приведенных выше результатов проведенных исследований ясно, что на основе имеющихся литературных данных следует ожидать, что 7 -изомер будет неактивным. В результате, что вытекает из приведенных выше литературных данных, по существу не было проведено исследования возможной биологической активности 7 -соединений.
Вопреки указанным ожиданиям авторы неожиданно обнаружили, что 7 -гидроксизамещенные стероиды обладают биологической активностью и что указанная активность не относится к той активности, которая была описана в документе WO97/37664 для 7 -гидроксизамещенных стероидов. Скорее, указанная активность относится к нейропротекторной активности, которая ранее была продемонстрирована, хотя и для совершенно другого класса соединений, в документе WO99/31049.
При таких состояниях, как длительная гипоксия и ишемия, которые могут быть связаны, а могут и не быть связаны с гипогликемией, возникает повреждение нейронов различной степени тяжести.
Ишемия в типичных случаях возникает при сердечных приступах, но возникающие в таких случаях повреждения по существу ограничены сердечной тканью, и при этом проводится соответствующее лечение. Что касается настоящего изобретения, то авторы рассматривают воздействие как краткосрочной, так и длительной ишемии на мозг, такое, которое имеет место у пациентов при инсульте или в результате травмы головы, а также в ходе медленно текущих нейродегенеративных заболеваний при старении, в случае которых в развитие нейродегенеративных изменений мозга вносят вклад хронические подпороговые уровни ишемии и/или сниженное поступление энергии. Тяжесть ишемии зависит от природы инсульта или повреждения, но, независимо от этого, имеет место повреждение мозга, и именно к указанному повреждению относится настоящее изобретение.
В технике известны различные нейропротекторные средства, которые направлены на облегчение проблем, создаваемых повреждением мозга, но все такие соединения, известные к настоящему времени, связаны с различными неблагоприятными побочными эффектами. Так, например, МК801 (дизоцилпина малеат) представляет собой очень простую молекулу, которая обеспечивает определенный уровень защиты нервных клеток у пациентов с ишемией. Однако, МК801 также ассоциируется с возникновением “психотропного эффекта тревоги” (Мартиндейл), а также с побочными моторными эффектами. Нейропротекторные эффекты также описаны в руководстве Прингла с соавт. (Brain Research, 755 (1996), 36-46 (Pringle, A.K. et al.)), которое включено в настоящее описание в качестве ссылки. Указанные авторы также описали в своей предыдущей работе нейропротекторное действие конотоксина, хотя нейропротекторный эффект этого соединения также сопровождается неблагоприятными побочными воздействиями in vivo.
Таким образом, настоящее изобретение относится к применению 3-гидрокси-7 -гидроксистероида или 3-оксо-7 -гидроксистероида и их фармацевтически приемлемых сложных эфиров для получения лекарственного средства, предназначенного для защиты нервных клеток от повреждения.
Конкретный класс 7 -стероидов, которые представляют особый интерес в рамках настоящего изобретения, включает 3 ,7 -дигидроксистероиды и их фармацевтически приемлемые сложные эфиры.
Предпочтительно, сложные эфиры включают сложные эфиры карбоновой кислоты.
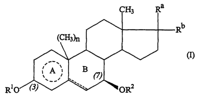
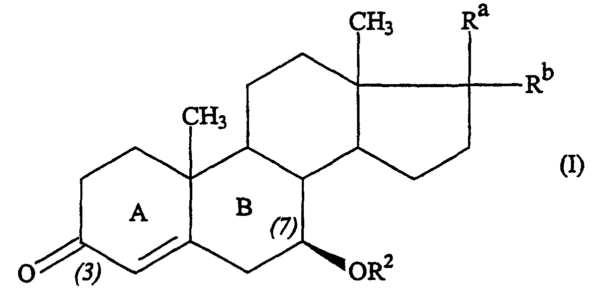
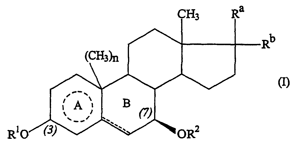
Примеры необязательно замещенных 3 ,7 -дигидроксистероидов и их фармацевтически приемлемых сложных эфиров и других производных, которые могут использоваться в рамках настоящего изобретения, включают соединения формулы (I):

где
R1 и R2 могут быть одинаковыми или могут отличаться друг от друга, и каждый обозначает атом водорода, алкильную группу, содержащую от 1 до 6 атомов углерода, алкенильную группу, содержащую от 2 до 6 атомов углерода, алкинильную группу, содержащую от 2 до 6 атомов углерода, арильную группу, содержащую от 6 до 10 атомов углерода, формильную группу, алкилкарбонильную группу, содержащую от 2 до 7 атомов углерода, алкенилкарбонильную группу, содержащую от 3 до 7 атомов углерода, алкинилкарбонильную группу, содержащую от 3 до 7 атомов углерода, арилкарбонильную группу, содержащую от 7 до 11 атомов углерода, аралкилкарбонильную группу, содержащую от 8 до 15 атомов углерода, аралкенилкарбонильную группу, содержащую от 9 до 15 атомов углерода, или гетероциклкарбонильную группу, указанную ниже;
один из Ra и Rb представляет собой группу формулы -Rc, предпочтительно, в -конфигурации, а второй из указанных заместителей представляет собой атом водорода, или Ra и Rb вместе представляют собой оксогруппу;
Rc обозначает алканоильную группу, содержащую от 1 до 6 атомов углерода, арилкарбонильную группу, в которой арильная часть представляет собой ароматическую карбоциклическую группу, содержащую в кольце от 6 до 10 атомов углерода, гетероциклкарбонильную группу, определенную ниже, или группу формулы -OR4, где R4 обозначает любую из групп и атомов, указанных выше для R1 и R2;
кольцо А, , представляет собой бензольное или циклогексановое кольцо;
в том случае, когда кольцо А представляет собой циклогексановое кольцо, пунктирная линия в кольце В обозначает одинарную или двойную углерод-углеродную связь, и n имеет значение 1; или в том случае, когда кольцо А обозначает бензольное кольцо, пунктирная линия в кольце В обозначает одинарную углерод-углеродную связь, и n обозначает 0;
указанная гетероциклкарбонильная группа представляет собой группу формулы R3-CO, где R3 обозначает гетероциклическую группу, содержащую в кольце от 3 до 7 атомов, в числе которых от 1 до 3 атомов представляют собой гетероатомы, выбираемые из атомов азота, атомов кислорода и атомов серы, а среди оставшихся атомов (или атома) по крайней мере один является или являются атомами углерода;
указанные алкильная, алкенильная или алкинильная группы и алкильная, алкенильная и алкинильная части указанных алкилкарбонильной, алкенилкарбонильной и алкинилкарбонильной групп могут быть незамещенными или содержать по меньшей мере один из приведенных ниже заместителей :
заместители : гидроксигруппы, меркаптогруппы, атомы галогена, аминогруппы, алкиламиногруппы, содержащие от 1 до 6 атомов углерода, диалкиламиногруппы, в которых каждая алкильная группа содержит от 1 до 6 атомов углерода, карбамоильные группы, нитрогруппы, алкоксигруппы, содержащие от 1 до 6 атомов углерода, алкилтиогруппы, содержащие от 1 до 6 атомов углерода, карбоксигруппы, алкоксикарбонильные группы и незамещенные арильные группы, содержащие от 6 до 10 атомов углерода;
указанные арильные группы, указанные гетероциклические группы и арильные части указанных арилкарбонильных групп и указанных аралкилкарбонильных групп могут быть незамещенными или содержать по меньшей мере один из приведенных ниже заместителей :
заместители : любой из заместителей и алкильные группы, содержащие от 1 до 6 атомов углерода, гидроксиалкильные группы, содержащие от 1 до 6 атомов углерода, и галогеналкильные группы, содержащие от 1 до 6 атомов углерода;
и их фармацевтически приемлемые соли и сложные эфиры.
Более предпочтительно в соединениях формулы (I):
R1 и R2 могут быть одинаковыми или могут отличаться друг от друга, и каждый обозначает атом водорода, алкильную группу, содержащую от 1 до 6 атомов углерода, необязательно замещенную фенильную группу, формильную группу, алкилкарбонильную группу, содержащую от 2 до 5 атомов углерода, арилкарбонильную группу, содержащую от 7 до 11 атомов углерода, аралкилкарбонильную группу, содержащую от 8 до 15 атомов углерода или гетероциклкарбонильную группу, определенную ниже;
один из Ra и Rb представляет собой алканоильную группу, содержащую от 1 до 6 атомов углерода, или группу формулы -OR4, где R4 представляет собой любую(ой) одну(ин) из групп и атомов, определенных выше для R1 и R2, в -конфигурации, а другой из указанных заместителей представляет собой атом водорода, или Ra и Rb вместе представляют собой оксогруппу;
указанная гетероциклкарбонильная группа представляет собой группу формулы R3-CO, где R3 обозначает гетероциклическую группу, содержащую в кольце от 3 до 7 атомов, в числе которых от 1 до 3 атомов представляют собой гетероатомы, выбираемые из атомов азота, атомов кислорода и атомов серы, а среди оставшихся атомов (или атома) по крайней мере один является или являются атомами углерода.
Примеры 3-оксо-7 -гидроксистероидов, которые могут использоваться в настоящем изобретении, включают соединения формулы (II):

в которой Ra, Rb и R2 были определены выше, и предпочтительно все вместе представляют собой оксогруппу.
В соединениях согласно настоящему изобретению, в которых R1, R2, R4 или заместитель представляют, каждый, алкильную группу, указанная алкильная группа может обозначать алкильную группу с нормальной или разветвленной цепью, содержащую от 1 до 6 атомов углерода, примеры которой включают метильную, этильную, пропильную, изопропильную, бутильную, изобутильную, втор-бутильную, трет-бутильную, пентильную, 1-метилбутильную, 2-метилбутильную, 3-метилбутильную, 1-этилпропильную, 2-этилпропильную, 1,1-диметилпропильную, гексильную, 1-метилпентильную, 2-метилпентильную, 3-метилпентильную, 4-метилпентильную, 1-этилбутильную, 2-этилбутильную, 3-этилбутильную, трет-гексильную и 1,1-диметилпентильную группы, среди которых предпочтительными являются группы, содержащие от 1 до 4 атомов углерода, и наиболее предпочтительными являются метильная и этильная группы.
В том случае, когда R1, R2 или R4 обозначают, каждый, алкенильную группу, указанная группа может представлять собой алкенильную группу с нормальной или разветвленной цепью, содержащую от 2 до 6 атомов углерода, примеры которой включают винильную, 1-пропенильную, аллильную, изопропенильную, металлильную, 1-, 2-, 3-бутенильную, изобутенильную, 1-, 2-, 3-, 4-пентенильную и 1-, 2-, 3-, 4-, 5-гексенильную группы, среди которых предпочтительными являются алкенильные группы, содержащие от 2 до 4 атомов углерода, и наиболее предпочтительными являются винильная и аллильная группы.
В том случае, когда R1, R2 или R4 обозначают, каждый, алкинильную группу, указанная группа может представлять собой алкинильную группу с нормальной или разветвленной цепью, содержащую от 2 до 6 атомов углерода, примеры которой включают этинильную, 1-, 2-пропинильную, 1-, 2-, 3-бутинильную, изобутинильную, 1-, 2-, 3-, 4-пентинильную и 1-, 2-, 3-, 4-, 5-гексинильную группы, среди которых предпочтительными являются алкинильные группы, содержащие от 2 до 4 атомов углерода.
В том случае, когда R1, R2, R4 или заместитель обозначают, каждый, арильную группу, указанная группа представляет собой ароматическую карбоциклическую группу, содержащую от 6 до 10 атомов углерода. Примеры такой группы включают фенильную, 1-нафтильную, 2-нафтильную и инденильную группы, среди которых предпочтительной является фенильная группа. За исключением случая наличия заместителя , указанные группы могут быть замещенными или незамещенными. В том случае, когда группа замещена, число заместителей ограничивается только количеством замещаемых положений и, возможно, в некоторых случаях, стерическими препятствиями. Так, в случае фенильных групп максимальное число заместителей составляет 5, в случае нафтильных групп максимальное число заместителей составляет 7 и так далее. Однако, предпочтительное количество заместителей составляет от 1 до 3, и такие заместители описываются ниже.
В том случае, когда R1, R2 или R4 обозначают, каждый, алкилкарбонильную группу, указанная группа представляет собой алканоильную группу, которая может быть группой с нормальной или разветвленной цепью, содержащей от 2 до 7 атомов углерода (то есть от 1 до 6 атомов углерода в алкильной части), примеры которой включают ацетильную, пропионильную, бутирильную, изобутирильную, валерильную, изовалерильную, пивалоильную, гексаноильную и гептаноильную группы, среди которых предпочтительными являются группы, содержащие от 2 до 5 атомов углерода, и наиболее предпочтительными являются ацетильная и пропионильная группы. Алкильная часть указанной группы может быть замещенной или незамещенной, и в случае, если она замещена, заместители выбирают из заместителей . Примеры таких замещенных групп включают аланильную, -аланильную, фенилаланильную, аспарагинильную, цистеинильную, гликолоильную, глицильную, метионильную, орнитильную, глицероильную, тропоильную, глютаминильную, глютамильную, гомоцистеинильную, серильную, гомосерильную, треонильную, лактоильную, лейцильную, изолейцильную, норлейцильную, лизильную, валильную, норвалильную и саркозильную группы.
В том случае, когда R1, R2 или R4 обозначают, каждый, алкенилкарбонильную группу, указанная группа может представлять собой алкенилкарбонильную группу с нормальной или разветвленной цепью, содержащую от 3 до 7 атомов углерода, примеры которой включают акрилоильную, метакрилоильную, кротоноильную, изокротоноильную, 3-бутеноильную, пентеноильную и гексеноильную группы, среди которых предпочтительными являются алкенилкарбонильные группы, содержащие от 3 до 5 атомов углерода, и наиболее предпочтительными являются акрилоильная и метакрилоильная группы.
В том случае, когда R1, R2 или R4 обозначают, каждый, алкинилкарбонильную группу, указанная группа может представлять собой алкинилкарбонильную группу с нормальной или разветвленной цепью, содержащую от 3 до 7 атомов углерода, примеры которой включают пропиолоильную, 3-бутинилкарбонильную, пентинилкарбонильную и гексинилкарбонильную группы, среди которых предпочтительными являются алкинилкарбонильные группы, содержащие от 3 до 5 атомов углерода.
В том случае, когда Rc, R1, R2 или R4 обозначают арилкарбонильную группу, арильная часть указанной группы может представлять собой любую из арильных групп, определенных и проиллюстрированных выше. Предпочтительные арилкарбонильные группы включают бензоильную, о-, м- или п-толуоильную, о-, м- или п-анизоильную, о-, м- или п-гидроксибензоильную, пикрильную, галлоильную, протокатехоильную, ванилоильную, вератроильную, антранилоильную 1-нафтоильную и 2-нафтоильную группы.
В том случае, когда R1, R2 или R4 обозначают, каждый, аралкилкарбонильную или аралкенилкарбонильную группу, арильная и, в ряде приемлемых случаев, алкильная или алкенильная группа могут представлять собой любую из определенных и проиллюстрированных выше групп. Конкретные примеры таких групп включают фенилацетильную, 3-фенилпропионильную, бензилоильную, тирозильную, атропоильную, гидратропоильную и циннамоильную группы.
В том случае, когда Rc, R1, R2 или R4 обозначают, каждый, гетероциклкарбонильную группу, указанная группа представляет собой группу формулы R3-CO-, где R3 обозначает гетероциклическую группу, содержащую в кольце от 3 до 7 атомов, в числе которых от 1 до 3 атомов представляют собой атомы азота, кислорода или серы, а остальные атомы являются атомами углерода. По меньшей мере один из атомов кольца должен быть атомом углерода. В том случае, когда имеются 3 гетероатома, предпочтительно, чтобы по меньшей мере один из них был атомом азота. Примеры таких групп включают 2- и 3-фуроильную, 2- и 3-теноильную, 2-пиридинкарбонильную, никотиноильную, изоникотиноильную, пролильную, пиперидинкарбонильную, пиперазинкарбонильную и морфолинкарбонильную группы.
В том случае, когда Rс обозначает алканоильную группу, указанная группа может представлять собой группу с нормальной или разветвленной цепью, содержащую от 1 до 6 атомов углерода, примеры которой включают формильную, ацетильную, пропионильную, бутирильную, изобутирильную, валерильную, изовалерильную, пивалоильную, гексаноильную и гептаноильную группы, среди которых предпочтительными являются группы, содержащие от 2 до 5 атомов углерода, более предпочтительными являются ацетильная и пропионильная группы, и наиболее предпочтительной является ацетильная группа.
В том случае, когда заместитель или заместитель обозначают, каждый, алкиламиногруппу, содержащую от 1 до 6 атомов углерода, алкильная часть указанной группы может представлять собой любую из алкильных групп, определенных и проиллюстрированных выше. Предпочтительные примеры таких алкиламиногрупп включают метиламино, этиламино, пропиламино, изопропиламино, бутиламино, изобутиламино, втор-бутиламино, трет-бутиламино, пентиламино, изопентиламино, неопентиламино, трет-пентиламино, гексиламино и изогексиламиногруппы, среди которых предпочтительными являются те группы, которые содержат от 1 до 4 атомов углерода, и наиболее предпочтительными являются метиламино- и этиламиногруппы.
В том случае, когда заместитель или заместитель обозначает диалкиламиногруппу, то каждая алкильная часть ее содержит от 1 до 6 атомов углерода, и при этом обе алкильные группы могут быть одинаковыми или могут отличаться друг от друга. Указанные алкильные группы могут представлять собой любую из алкильных групп, определенных и проиллюстрированных выше. Предпочтительные примеры таких диалкиламиногрупп включают диметиламино, метилэтиламино, диэтиламино, метилпропиламино, дипропиламино, диизопропиламино, этилбутиламино, дибутиламино, ди-трет-бутиламино, метилпентиламино, дипентиламино, диизопентиламино и дигексиламиногруппы, среди которых предпочтительными являются те группы, которые содержат от 1 до 4 атомов углерода в каждой алкильной группе, и наиболее предпочтительными являются диметиламино и диэтиламиногруппы.
В том случае, когда заместитель или заместитель обозначают, каждый, алкоксигруппу, указанная группа может представлять собой алкоксигруппу с нормальной или разветвленной цепью, содержащую от 1 до 6 атомов углерода, примеры которой включают метокси, этокси, пропокси, изопропокси, бутокси, изобутокси, втор-бутокси, трет-бутокси, пентилокси, изопентилокси, неопентилокси, трет-пентилокси, гексилокси и изогексилоксигруппы, среди которых предпочтительными являются те группы, которые содержат от 1 до 4 атомов углерода, и наиболее предпочтительными являются метокси и этоксигруппы.
В том случае, когда заместитель или заместитель обозначают, каждый, алкилтиогруппу, содержащую от 1 до 6 атомов углерода, алкильная часть указанной группы может представлять собой любую алкильную группу из числа определенных и проиллюстрированных выше. Предпочтительные примеры таких алкилтиогрупп включают метилтио, этилтио, пропилтио, изопропилтио, бутилтио, изобутилтио, втор-бутилтио, трет-бутилтио, пентилтио, изопентилтио, неопентилтио, трет-пентилтио, гексилтио и изогексилтиогруппы, среди которых предпочтительными являются те группы, которые содержат от 1 до 4 атомов углерода, и наиболее предпочтительными являются метилтио и этилтиогруппы.
В том случае, когда заместитель или заместитель обозначают, каждый, алкоксикарбонильную группу, указанная группа может представлять собой алкоксикарбонильную группу с нормальной или разветвленной цепью, содержащую от 2 до 7 атомов углерода, примеры которой включают метоксикарбонильную, этоксикарбонильную, пропоксикарбонильную, изопропоксикарбонильную, бутоксикарбонильную, изобутоксикарбонильную, втор-бутоксикарбонильную, трет-бутоксикарбонильную, пентилоксикарбонильную, изопентилоксикарбонильную, неопентилоксикарбонильную, трет-пентилоксикарбонильную, гексилоксикарбонильную и изогексилоксикарбонильную группы, среди которых предпочтительными являются те группы, которые содержат от 1 до 4 атомов углерода, и наиболее предпочтительными являются метоксикарбонильная и этоксикарбонильная группы.
В том случае, когда заместитель обозначает гидроксиалкильную группу, содержащую от 1 до 6 атомов углерода, алкильная часть указанной группы может представлять собой любую алкильную группу из числа определенных и проиллюстрированных выше. Предпочтительные примеры таких гидроксиалкильных групп включают гидроксиметильную, 1- и 2-гидроксиэтильную, 1-, 2- и 3-гидроксипропильную, 1,2-дигидроксиэтильную, 1,2,3-тригидроксипропильную, 4-гидроксибутильную, 5-гидроксипентильную и 6-гидроксигексильную группы.
В том случае, когда заместитель обозначает галогеналкильную группу, содержащую от 1 до 6, предпочтительно от 1 до 4, атомов углерода, алкильная часть указанной группы может соответствовать тому, что было определено и проиллюстрировано выше, при этом атом галогена является предпочтительно хлором, фтором, бромом или йодом. Примеры таких групп включают фторметильную, хлорметильную, бромметильную, йодметильную, дихлорметильную, дифторметильную, трихлорметильную, трифторметильную, 2,2,2-трихлорэтильную, 2-хлорэтильную, 2-фторэтильную, 2-бромэтильную, 2-йодэтильную, 2,2-дибромэтильную, 2,2,2-трибромэтильную, 3-фторпропильную, 3-хлорпропильную, 4-бромбутильную, 4-фторбутильную, 5-фторпентильную и 6-фторгексильную группы.
Можно видеть, что в том случае, когда соединение содержит группу формулы -OR, где R обозначает любую из групп и атомов, определенных выше для R1 и др., активной формой, вероятно, является соединение, содержащее свободные гидроксигруппы. Соответственно, любая группа, которая может быть превращена in vivo в гидроксигруппу, может быть использована вместо гидроксигруппы.
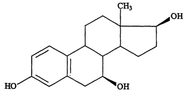
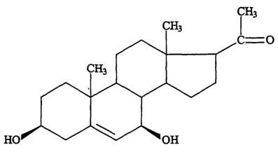
Конкретные примеры соединений согласно настоящему изобретению включают:

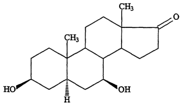
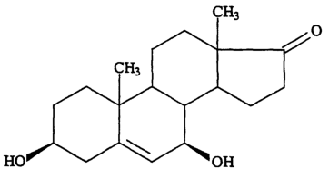
7 -гидроксиэпиандростерон (7 -гидрокси-ЭПИА)

7 -гидроксидегидроэпиандростерон (7 -гидрокси-ДГЭА)

7 -гидрокси-17 -эстрадиол

7 -гидроксипрегненолон

7 -гидроксиэстрон
Кроме того, можно полагать, что приведенное ниже 7 -гидроксисоединение будет проявлять активность того же рода:

7 -гидроксиэстрон
Авторы неожиданно обнаружили, что указанные соединения могут использоваться для защиты от острого и хронического повреждения нейронов, вызванного такими явлениями, как инсульт, травма головного мозга и церебральная ишемия, которые могут быть индуцированы такими явлениями, как субарахноидальная геморрагия, или которые могут иметь место в ходе операции по шунтированию сердца и др.
Соединения согласно настоящему изобретению могут быть получены с помощью множества известных способов, в которых используются в качестве исходных соединений исходные структуры стероидов. Например, они могут быть получены с помощью способов, описанных в цитированной выше литературе, с получением смеси 7 – и соответствующих 7 -соединений, которые затем могут быть разделены известными в технике способами.
В качестве примера можно указать, что 7 -гидрокси-ЭПИА может быть получен из ДГЭА посредством окисления аллильной группы после проведения защиты 3 -гидроксигруппы и 17-кетонной группы с использованием традиционных методик. Полученный при этом продукт затем восстанавливают растворимым катализатором на основе металла (таким как гидрид натрия) и проводят удаление защитных групп от указанных 3 -гидрокси и 17-кетонной групп. 7 -гидрокси и 7 -гидроксиэпимеры могут быть затем разделены обычными способами, например, колоночной хроматографией, и 7 -гидрокси-ЭПИА может быть кристаллизован с получением чистого соединения.
Альтернативный способ синтеза приведен на указанной ниже схеме реакции:

В приведенных выше формулах TBDMSO (ТБДМСО) обозначает трет-бутилдиметилсилилокси, и Ас обозначает ацетил.
На первой стадии приведенной выше схемы реакции соединение формулы (III), эстрон, защищают с использованием трет-бутилдиметилсилилоксигруппы традиционным способом с получением защищенного соединения формулы (IV). Затем указанное соединение подвергают реакции с этиленгликолем в присутствии кислотного катализатора (такого как п-толуолсульфоновая кислота) для защиты кетогруппы в 17-м положении, что дает соединение формулы (V). Затем в 6-е положение, как показано далее в примере 3, может быть введена гидроксигруппа с образованием соединения формулы (VI), которое затем дегидратируют с получением соединения формулы (VII). Указанное соединение подвергают эпоксидированию с образованием соединения формулы (VIII), которое затем восстанавливают до соединения формулы (IX) с 7 -гидроксигруппой. Затем удаляют трет-бутилметилсилильную защитную группу, получая соединение формулы (X), которое далее нагревают с каталитическим количеством кислоты с образованием 7 -гидроксиэстрона (XI). Указанное соединение окисляют, например, с использованием смеси хромовая кислота/серная кислота, что дает 7-кетоэстрон (XII), который затем подвергают реакции с уксусным ангидридом с получением соединения формулы (XIII). Затем указанное соединение гидрируют, например, с использованием водорода в присутствии палладиевого катализатора, с получением соединения формулы (XIV) и, наконец, удаляют ацетильные группы с получением 7 -гидроксиэстрона (XV) – соединения согласно настоящему изобретению. При желании указанное соединение может быть восстановлено с образованием 7 -гидроксиэстрадиола (XVI), которое также является соединением согласно настоящему изобретению.
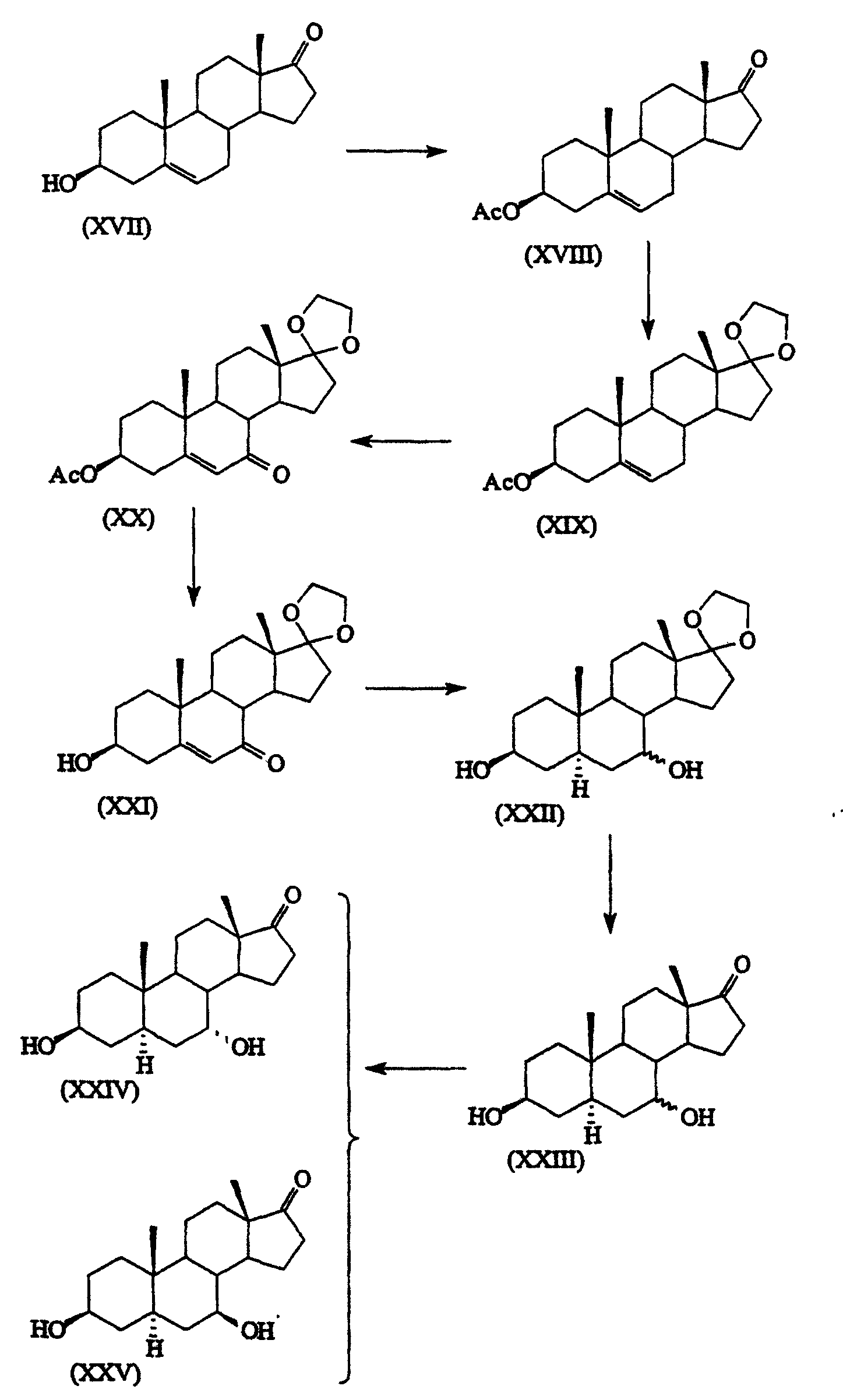
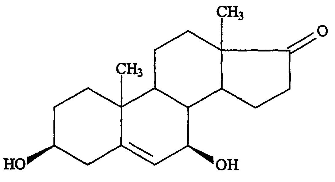
Другие 7 -гидроксисоединения согласно настоящему изобретению могут быть получены аналогичным способом, например, 7 -гидрокси-ДГЭА может быть получен в соответствии с методикой, показанной на приведенной ниже реакционной схеме:

На указанной схеме реакции ДГЭА (XVII) ацетилируют с образованием соответствующего ацетата формулы (XVIII), который затем подвергают реакции с этиленгликолем с получением кеталя формулы (XIX). Затем указанный кеталь (XIX) окисляют, как показано в примере 16, с образованием соответствующего 7-кетосоединения (XX), которое затем подвергают деацетилированию с образованием соединения формулы (XXI). Указанное соединение восстанавливают с получением 7-гидрокси-17-кеталь-ЭПИА формулы (XXII), который затем обрабатывают кислотой для удаления кетальной группы и получения 7-гидрокси-ЭПИА, который в итоге разделяют хроматографически на 7 – и 7 -изомеры с получением 7 -гидрокси-ЭПИА (XXIV) и 7 -гидрокси-ЭПИА (XXV).
Соединения согласно настоящему изобретению могут использоваться в случае тех пациентов, когда имеется подозрение на опасность развития ишемии, в особенности при инсульте или повреждении головы. Такое профилактическое использование чрезвычайно полезно. Однако, было также показано, что соединения согласно настоящему изобретению обладают нужной активностью, даже если их применять после проявления ишемии, но следует понимать, что предпочтительно вводить эти соединения как можно раньше, с тем чтобы по возможности максимально избежать дегенерации нейронов. В некоторых ситуациях может быть желательно вводить повторные дозы, особенно в том случае, когда у пациента сохраняется опасность развития ишемии.
Приемлемые способы введения включают в основном инъекцию для того, чтобы как можно быстрее достичь желаемого результата. Так, особенно предпочтительна внутривенная инъекция, но в некоторых случаях может быть предпочтительным введение соединения непосредственно в цереброспинальную жидкость.
Доза соединения согласно настоящему изобретению может варьировать в зависимости от многих факторов, включающих возраст, вес тела и общее состояние здоровья пациента, а также режим, частоту и способ введения. Однако, в основном рекомендуемая доза составляет от 0,01 до 50 мг/кг веса тела, при этом более предпочтительна доза от 0,05 до 20 мг/кг веса тела. Указанная доза может вводиться в виде однократной дозы или в виде разделенных доз.
Настоящее изобретение далее иллюстрируется приведенными ниже не ограничивающими его примерами, в числе которых примеры 1-20 поясняют получение соединений согласно настоящему изобретению, а примеры 21 и 22 иллюстрируют их активность. В примерах с 1 по 20 римские цифры соответствуют формулам на приведенных выше схемах реакций.
ПРИМЕР 1
3-трет-бутилдиметилсилилэстрон (IV)
4,25 г трет-бутилдиметилсилилхлорида (28,2 ммоль; 3 экв.) добавляют к раствору 50 мл диметилформамида (ДМФ), содержащего 2,54 г эстрона (III) (9,41 ммоль; 1 экв.) и 3,84 г имидазола (56,5 ммоль; 6 экв.) в трехгорлой колбе на 100 мл. Затем указанную смесь оставляют на ночь при комнатной температуре в атмосфере азота. Далее к реакционной смеси добавляют 10% (вес/объем) водный раствор карбоната калия, после чего полученную смесь экстрагируют этилацетатом. Органическую фазу промывают водой и затем сушат над безводным сульфатом натрия и выпаривают досуха. В результате получают 3,76 г 3-трет-бутилдиметилсилилэстрона 2 (9,41 ммоль; 100%).
ПРИМЕР 2
17-кеталь-3-трет-бутилдиметилсилилэстрон (V)
Раствор 60 мл толуола, содержащего 3 г 3-трет-бутилдиметилсилилэстрона (IV) (7,50 ммоль), 3 мл этиленгликоля и каталитическое количество п-толуолсульфоновой кислоты нагревают при кипении с обратным холодильником с отгонкой пара в аппарате Дина-Старка в течение 24 часов. Затем реакционную смесь выливают в 50 мл 10% (вес/объем) водного раствора карбоната калия. Органическую фазу декантируют. Водную фазу экстрагируют этилацетатом. Органические фазы объединяют и выпаривают досуха. В результате получают 3,16 г 17-кеталь-3-трет-бутилдиметилсилилэстрона (V) (7,12 ммоль; 95%).
ПРИМЕР 3
6 -гидрокси-17-кеталь-3-трет-бутилдиметилсилилэстрон (VI)
В трехгорлой колбе на 1 л пропусканием азота дегазируют раствор 100 мл безводного тетрагидрофурана (ТГФ) и охлаждают до -80°С. В реакционную среду добавляют диизопропиламин (20 мл; 143,30 ммоль). Далее к реакционной среде по каплям добавляют 15% (вес/объем) раствор бутиллития в циклогексане (89,9 мл; 143,30 ммоль). Через 10 минут к реакционной среде добавляют по каплям раствор 100 мл безводного ТГФ, предварительно дегазированного, содержащего 17,5 г трет-бутилата калия. Еще через 15 минут в реакционную среду добавляют по каплям раствор 50 мл безводного ТГФ, предварительно дегазированного, содержащего 12,27 г 17-кеталь-3-трет-бутилдиметилсилилэстрона (V) (27,63 ммоль). Полученную реакционную смесь оставляют на 2 часа при -80°С. По истечении указанного времени в реакционную среду по каплям добавляют при -80°С 48 мл триметилбората (429,90 ммоль), после чего смесь оставляют на 1 час при 0°С. Затем добавляют 100 мл 30% (объем/объем) водного раствора перекиси водорода. Полученную реакционную смесь оставляют на 1 час при комнатной температуре и затем добавляют 500 мл воды. Далее реакционную среду экстрагируют этилацетатом. Органическую фазу промывают 10% (вес/объем) водным раствором тиосульфата натрия, промывают водой, сушат над безводным сульфатом натрия и выпаривают досуха. Остаток очищают флэш-хроматографией (SiO2/этилацетат:циклогексан 1/9 и затем 2/8). В результате получают 6,35 г 6 -гидрокси-17-кеталь-3-трет-бутилдиметилсилилэстрона 4 (13,81 ммоль; 50%).
ПРИМЕР 4
17-кеталь-3-трет-бутилдиметилсилил-6-дегидроэстрон (VII)
Раствор 40 мл толуола, содержащего 1,54 г 6 -гидрокси-17-кеталь-3-трет-бутилдиметилсилилэстрона (VI) (3,35 ммоль), 4 мл этиленгликоля и каталитическое количество п-толуолсульфоновой кислоты, нагревают при кипении с обратным холодильником с отгонкой пара в аппарате Дина-Старка в течение 24 часов. Затем реакционную смесь выливают в 50 мл 10% (вес/объем) водного раствора карбоната калия. Органическую фазу декантируют. Водную фазу затем экстрагируют этилацетатом. Органические фазы объединяют и выпаривают досуха. В результате получают 1,48 г 17-кеталь-3-трет-бутилдиметилсилил-6-дегидроэстрона (VII) (3,35 ммоль; 100%).
ПРИМЕР 5
17-кеталь-3-трет-бутилдиметилсилил-6 ,7 -эпоксиэстрон (VIII)
Раствор 20 мл дихлорметана, содержащего 1,16 г м-хлорбензойной кислоты (55%; 3,69 ммоль; 1,1 экв.), добавляют по каплям при 0°С к раствору 20 мл дихлорметана, содержащего 1,85 г 17-кеталь-3-трет-бутилдиметилсилил-6-дегидроэстрона (VII) (3,36 ммоль; 1 экв.). По истечении 2 часов указанную реакционную смесь выливают в 10% (вес/объем) водный раствор гидрокарбоната натрия и затем экстрагируют этилацетатом. Органическую фазу сушат над безводным сульфатом натрия и затем выпаривают досуха. Полученный остаток очищают флэш-хроматографией (SiO2/этилацетат:циклогексан 1/9). В результате получают 769 мг 17-кеталь-3-трет-бутилдиметилсилил-6 ,7 -эпоксиэстрона 6 (1,68 ммоль; 50%).
ПРИМЕР 6
7 -гидрокси-17-кеталь-3-трет-бутилдиметилсилилэстрон (IX)
200 мг литийалюмогидрида (5,40 ммоль; 2 экв.) добавляют в раствор 50 мл безводного ТГФ, содержащего 1,13 г 17-кеталь-3-трет-бутилдиметилсилил-6 ,7 -эпоксиэстрона 6 (2,60 ммоль; 1 экв.). Полученную реакционную среду нагревают при кипении с обратным холодильником в течение 2 часов и затем охлаждают, выливают на лед, фильтруют через фильтрующее устройство с Целитом (торговая марка) и экстрагируют этилацетатом. Органическую фазу сушат над безводным сульфатом натрия и затем выпаривают досуха. Полученный остаток очищают флэш-хроматографией (SiO2/этилацетат:циклогексан 1/9). В результате получают 837 мг 7 -гидрокси-17-кеталь-3-трет-бутилдиметилсилилэстрона (IX) (1,82 ммоль; 70%).
ПРИМЕР 7
7 -гидрокси-17-кетальэстрон (X)
Раствор 20 мл ТГФ, содержащего 1,5 г хлорида тетрабутиламмония (4,78 ммоль; 1,10 экв.), добавляют при комнатной температуре к раствору 50 мл ТГФ, содержащего 2 г 7 -гидрокси-17-кеталь-3-трет-бутилдиметилсилилэстрона (IX) (4,35 ммоль; 1 экв.). Полученную реакционную среду выливают в 70 мл 10% (вес/объем) водного раствора карбоната натрия. Реакционную среду экстрагируют этилацетатом. Органическую фазу сушат над безводным сульфатом натрия и затем выпаривают досуха. В результате получают 1,39 г 7 -гидрокси-17-кетальэстрона (X) (4,22 ммоль; 97%).
ПРИМЕР 8
7 -гидроксиэстрон (XI)
Раствор 50 мл ацетона, содержащего 1 мл воды, 1,0 г 7 -гидрокси-17-кетальэстрона (X) (3,03 ммоль) и каталитическое количество п-толуолсульфоновой кислоты нагревают при кипении с обратным холодильником в течение 2 часов. Далее реакционную среду выливают в 70 мл 10% (вес/объем) водного раствора карбоната натрия. Полученную реакционную среду экстрагируют этилацетатом. Органическую фазу сушат над безводным сульфатом натрия и затем выпаривают досуха. В результате получают 814 мг 7 -гидроксиэстрона (XI) (2,85 ммоль; 94%), который затем повторно кристаллизуют из этилацетата.
ПРИМЕР 9
7-кетоэстрон (XII)
8 н раствор хромовой кислоты в серной кислоте по каплям добавляют до сохранения желтого окрашивания к охлажденному до 0°С раствору 40 мл ацетона, содержащего 300 мг 7 -гидроксиэстрона (XI) (1,05 ммоль). Указанную реакционную среду выливают в 50 мл воды и затем экстрагируют этилацетатом. Органическую фазу промывают водным раствором карбоната натрия и затем сушат над безводным сульфатом натрия и выпаривают досуха. Полученный остаток очищают флэш-хроматографией (SiO2/этилацетат:циклогексан 3/7). В результате получают 200 мг 7-кетоэстрона 10 (0,70 ммоль; 67%).
ПРИМЕР 10
3,7-диацетат 7-гидрокси-6-дегидроэстрона (XIII)
Раствор 10 мл уксусного ангидрида, содержащего 5 г безводного ацетата натрия и 1 г 7-кетоэстрона (XII) (3,52 ммоль), нагревают при кипении с обратным холодильником в течение 1 часа. Затем реакционную среду охлаждают и выливают в воду и экстрагируют диэтиловым эфиром. Органическую фазу промывают водным раствором карбоната натрия и затем сушат над безводным сульфатом натрия и выпаривают досуха. Полученный остаток очищают флэш-хроматографией (SiO2/этилацетат:циклогексан 1/9). В результате получают 1,25 г 3,7-диацетата 7-гидрокси-6-дегидроэстрона (XIII) (3,41 ммоль; 97%).
ПРИМЕР 11
3,7-диацетат 7-гидроксиэстрона (XIV)
Раствор 80 мл ледяной уксусной кислоты, содержащей 1,0 г 3,7-диацетата 7-гидрокси-6-дегидроэстрона (XIII) (2,72 ммоль), гидрируют с использованием 200 мг 10% катализатора палладий-на-угле в атмосфере водорода при давлении 1 бар. Через 2 часа реакционную среду фильтруют и выпаривают досуха. Полученный остаток очищают флэш-хроматографией (SiO2/этилацетат:циклогексан 1/9). В результате получают 855 мг 3,7-диацетата 7-гидроксиэстрона (XIV) (2,31 ммоль; 85%).
ПРИМЕР 12
7 -гидроксиэстрон (XV)
Раствор 50 мл метанола, содержащего 1% гидроксида калия и 1 г 3,7-диацетата 7-гидроксиэстрона 12 (2,70 ммоль), нагревают при кипении с обратным холодильником в течение 2 часов. Далее реакционную среду охлаждают, нейтрализуют и затем экстрагируют этилацетатом. Органическую фазу сушат над безводным сульфатом натрия и затем выпаривают досуха. В результате получают 695 мг 7 -гидроксиэстрона (XV) (2,43 ммоль; 90%), который затем повторно кристаллизуют из метанола.
ПРИМЕР 13
7 -гидроксиэстрадиол (XVI)
264 мг боргидрида натрия (7,00 ммоль; 2 экв.) добавляют к раствору 50 мл метанола, содержащего 1,0 г 7 -гидроксиэстрона 13 (3,50 ммоль). Указанную реакционную среду выливают в воду и экстрагируют этилацетатом. Органическую фазу сушат над безводным сульфатом натрия и затем выпаривают досуха. В результате получают 917 мг 7 -гидроксиэстрадиола 14 (3,18 ммоль; 91%), который затем повторно кристаллизуют из метанола.
ПРИМЕР 14
ДГЭА-3-ацетат (XVIII)
Раствор 50 мл пиридина и 50 мл уксусного ангидрида, содержащего 10 г ДГЭА (XVII) (34,72 ммоль), нагревают при кипении с обратным холодильником в течение 4 часов. Затем реакционную среду охлаждают, выливают в воду и экстрагируют этилацетатом. Органическую фазу сушат над безводным сульфатом натрия и выпаривают досуха. В результате получают 11,0 г ДГЭА-3-ацетата (XVIII) (33,33 ммоль; 96%), который затем повторно кристаллизуют из этанола.
ПРИМЕР 15
17-кеталь-ДГЭА-3-ацетат (XIX)
Раствор 100 мл толуола, содержащего 5 г ДГЭА-3-ацетата (XVIII) (15,15 ммоль), 5 мл этиленгликоля и каталитическое количество п-толуолсульфоновой кислоты, нагревают при кипении с обратным холодильником с отгонкой пара в аппарате Дина-Старка в течение 24 часов. Затем реакционную среду выливают в 100 мл 10% (вес/объем) водного раствора карбоната калия. Органическую фазу декантируют. Водную фазу экстрагируют этилацетатом. Органические фазы объединяют и выпаривают досуха. В результате получают 5,10 г 17-кеталь-3-ДГЭА-ацетата (XIX) (13,64 ммоль; 90%), который затем повторно кристаллизуют из этанола.
ПРИМЕР 16
7-кето-17-кеталь-ДГЭА-3-ацетат (XX)
Раствор 70 мл пиридина, содержащего 5 г 17-кеталь-ДГЭА-3-ацетата (XIX) (13,37 ммоль) и каталитическое количество Бенгальского розового, облучают с использованием ртутной лампы (с парами ртути под умеренным давлением) при барботаже кислорода. Через 24 часа к указанной реакционной смеси добавляют каталитическое количество ацетата меди. Еще через 24 часа указанную реакционную среду выпаривают досуха. Полученный остаток очищают флэш-хроматографией (SiO2/этилацетат:циклогексан 3/7). В результате получают 3,11 г 7-кето-17-кеталь-ДГЭА-3-ацетата (XX) (8,02 ммоль; 60%).
ПРИМЕР 17
7-кето-17-кеталь-ДГЭА (XXI)
Раствор 50 мл метанола, содержащего 1% гидроксида калия и 1 г 7-кето-17-кеталь-ДГЭА-3-ацетата (XX) (2,58 ммоль), нагревают при кипении с обратным холодильником в течение 2 часов. Затем реакционную среду охлаждают, нейтрализуют и далее экстрагируют этилацетатом. Органическую фазу сушат над безводным сульфатом натрия и затем выпаривают досуха. В результате получают 802 мг 7-кето-17-кеталь-ДГЭА 5 (2,32 ммоль; 90%), который затем повторно кристаллизуют из метанола.
ПРИМЕР 18
7-гидрокси-17-кеталь-ЭПИА (XXII)
10 г 7-кето-17-кеталь-ДГЭА (XXI) (28,90 ммоль) добавляют при -33°С к раствору жидкого аммиака, содержащего 2,65 г натрия. Через 4 часа добавляют хлорид аммония до исчезновения синего окрашивания. Затем добавляют 2,65 г натрия. Через 4 часа снова добавляют хлорид аммония до исчезновения синего окрашивания. Далее добавляют воду и дают аммиаку испариться. Реакционную среду экстрагируют этилацетатом. Органическую фазу сушат над безводным сульфатом натрия и затем выпаривают досуха. В результате получают 6,07 г 7-гидрокси-17-кеталь-ЭПИА (XXII) (17,34 ммоль; 60%).
ПРИМЕР 19
7-гидрокси-ЭПИА (XXIII)
Раствор 100 мл ацетона, содержащего 5 мл воды, 10 г 7-гидрокси-17-кеталь-ЭПИА (XXII) (28,57 ммоль; 50%) и каталитическое количество п-толуолсульфоновой кислоты, нагревают при кипении с обратным холодильником в течение 4 часов. Затем реакционную среду охлаждают, выливают в 100 мл 10% (вес/объем) водного раствора карбоната натрия и затем экстрагируют этилацетатом. Органическую фазу сушат над безводным сульфатом натрия и выпаривают досуха. Полученный остаток очищают флэш-хроматографией (SiO2/этилацетат). В результате получают 5,24 г 7-гидрокси-ЭПИА (XXIII) (17,14 ммоль; 60%).
ПРИМЕР 20
7 -гидрокси-ЭПИА (XXIV) и 7 -гидрокси-ЭПИА (XXV)
7-гидрокси-ЭПИА (XXIII) (5 г), содержащий 7 – и 7 -эпимеры в соотношении 65/35, очищают флэш-хроматографией (Al2O3/CHCl3). Вначале получают 7 -гидрокси-ЭПИА (XXV) (2,5 г), а затем 7 -гидрокси-ЭПИА (XXIV) (1,34 г). 7 -гидрокси-ЭПИА (XXV) и 7 -гидрокси-ЭПИА (XXIV) повторно кристаллизуют из этилацетата.
ПРИМЕР 21
Протокол изучения гипоксического повреждения нейронов
Органотипические культуры среза гиппокампа получают с использованием базовой методики Прингла с соав. (Pringle et al., (1996, 1997)), модифицированной следующим образом:
Детенышей крыс линии Вистар (8-11-дневного возраста) обезглавливают и быстро отделяют гиппокамп в охлажденном льдом сбалансированном солевом растворе Гея с добавкой 4,5 мг/мл глюкозы. Срезы отделяют и помещают на планшеты для культивирования тканей Millicell CM (по 4 на лунку) и выдерживают при 37°С с 5% СО2 в течение 14 дней. Поддерживающая среда состоит из 25% лошадиной сыворотки, инактивированной прогреванием, 25% сбалансированного солевого раствора Хэнка (HBSS) и 50% минимальной основной среды с добавлением солей по Эрлу (минимальная среда Эрла; MEM), обогащенной 1 мМ глутамина и 4,5 мг/мл глюкозы. Среду меняют каждые 3-4 дня.
Экспериментальную гипоксию осуществляют по описанной ранее методике (Pringle et al., 1996; 1997). Вкратце, процедура состоит в том, что культуры переносят в бессывороточную среду (SFM: 75% MEM, 25% HBSS, обогащенные 1 мМ глутамина и 4,5 мг/мл глюкозы), содержащую 5 мкг/мл флуоресцентного исключающего красителя пропидиумйодида (ПИ). Культуры оставляют для уравновешивания в SFM в течение 60 минут перед анализом. Флуоресценцию ПИ обнаруживают с использованием инверсионного микроскопа Leica, снабженного комплектом родаминового фильтра. Любые культуры, в которых на данной стадии обнаруживается флуоресценция ПИ, исключаются из дальнейшего исследования. Гипоксию индуцируют путем переноса культур в SFM (+ПИ), которую предварительно насыщают смесью 95% N2/5% CO2. Культуральные планшеты (без крышек) затем запечатывают в герметичной камере, в которой атмосфера насыщена смесью 95% N2/5% CO2 посредством непрерывного пропускания газа расходом 10 л/мин в течение десяти минут перед герметизацией и помещением ее в инкубатор на 170 минут (общее время гипоксии, таким образом, составляет 180 минут). По окончании периода гипоксии культуры возвращают в нормальную по кислороду среду SFM, содержащую ПИ, и помещают обратно в инкубатор на 24 часа.
Повреждение нейронов оценивают по описанной ранее методике (Pringle et al., 1996; 1997) с использованием либо программы NIH Image 1.60, работающей на компьютере Apple IIsi, либо программы OpenLab 2.1 (Improvision), работающей на компьютере Macintosh G4/400. Изображения регистрируют с использованием монохромной камеры и сохраняют на оптическом диске для проведения последующего анализа. Перед добавлением лекарственных средств снимают на камеру изображения световой трансмиссии, а в конце 24-часового восстановительного периода после гипоксии записывают картинки ПИ-флуоресценции. Площадь слоя клеток CA1 определяют на снимке со световой трансмиссией. Площадь ПИ-флуоресценции в клетках СА1 измеряют с использованием функции определения плотности среза в рамках программы NIH Image или OpenLab и повреждения нейронов выражают в виде процента клеток СА1, в которых ПИ-флуоресценция обнаруживается на уровне выше фоновых значений.
Стероидные соединения получают посредством приготовления исходного раствора в этаноле с концентрацией 1 мг/мл и последующим разведением в среде SFM. Соединения добавляют в культуры за 45 минут до гипоксии, в процессе сеанса гипоксии и в течение пост-гипоксического восстановительного периода. Контрольные эксперименты включают культуры, обработанные одним только носителем.
РЕЗУЛЬТАТЫ
Эксперимент 1
Был проведен первоначальный эксперимент для определения того, обладают ли 7 -ОН-ЭПИА и 7 -ОН-ЭПИА нейропротекторным действием в высокой концентрации, равной 100 нМ. Гипоксия вызывает поражение у 25,5±6,4% СА1. Указанное поражение значительно снижается под действием как 7 -ОН-ЭПИА, так и 7 -ОН-ЭПИА в случае их присутствия перед, во время и после гипоксии (см. таблицу I).
| Таблица I |
| Соединение |
N |
% поражения в СА1 |
| Контрольная гипоксия |
17 |
25,5±6,4 |
Гипоксия + 100 нМ 7 -ОН-ЭПИА |
16 |
4,0±2,9** |
Гипоксия + 100 нМ 7 -ОН-ЭПИА |
16 |
9,0±4,7* |
Эксперимент 2
Имея данные о том, что и -, и -изомеры 7-ОН-ЭПИА обладают нейропротекторным действием, авторы оценили зависимость данного эффекта от концентрации. Контрольная гипоксия приводит к поражению нейронов в 31,9±4,7% СА1. 7 -ОН-ЭПИА обладает существенным нейропротекторным действием в концентрации 10 нМ и 100 нМ, но активность теряется при снижении концентрации до 1 нМ, как показано ниже в таблице II.
| Таблица II |
| Соединение |
N |
% поражения в СА1 |
| Контрольная гипоксия |
29 |
31,9±4,7 |
Гипоксия + 1 нМ 7 -ОН-ЭПИА |
15 |
20,6±7,2 |
Гипоксия + 10 нМ 7 -ОН-ЭПИА |
12 |
11,9±4,7* |
Гипоксия + 100 нМ 7 -ОН-ЭПИА |
13 |
14,3±5,0* |
Эксперимент 3
Имея данные о том, что 7 -ОН-ЭПИА обладает нейропротекторной активностью, авторы далее исследовали, почему 7 -ОН-ДГЭА является нейропротектором. Культуры инкубируют либо со 100 нМ 7 -ОН-ДГЭА, либо с носителем, перед, во время и после гипоксии. Гипоксия приводит к повреждению в 29,0±6,2% клеток СА1. В культурах, обработанных 7 -ОН-ДГЭА, наблюдается сильное, ярко выраженное снижение повреждения нейронов, как показано в приведенной ниже таблице III.
| Таблица III |
| Соединение |
N |
% Поражения в СА1 |
| Контрольная гипоксия |
21 |
29,0±6,2 |
Гипоксия + 100 нМ 7 -ОН-ДГЭА |
16 |
4,2±1,9** |
ПРИМЕР 22
Общая церебральная ишемия у крыс (окклюзия 4 сосудов)
Церебральную ишемию индуцируют окклюзией 4 сосудов (4VO) у самцов крыс линии Вистар (250-280 г). Обе позвоночные артерии подвергают окклюзии посредством электроприжигания в условиях анестезии пентобарбиталом (60 мг/кг, в/б). Животных затем оставляют для восстановления в течение 24 часов со свободным доступом к воде, но не к пище. На следующий день вскрывают сонные артерии под анестезией 2% галотаном в смеси 30% кислорода/70% окиси азота и проводят окклюзию в течение 10 минут с помощью зажимов для микрососудов. Затем оба зажима удаляют и обе артерии обследуют на наличие мгновенной реперфузии. В процессе операции и в последующие 3 часа у животных поддерживается нормальная температура (37,5±0,5°С) путем использования термостатически контролируемого согревающего одеяла, соединенного с ректальным термометром. В контроле у животных с симуляцией оперативного вмешательства обе позвоночные артерии прижигаются в условиях анестезии пентобарбиталом и обе сонные артерии вскрываются, но на следующий день не пережимаются в условиях анестезии 2% галотаном в смеси 30% кислорода/70% окиси азота. Раны обрабатывают гелем лидокаина и затем зашивают. Животных выдерживают под греющей лампой с поддержанием температуры окружающей среды на уровне 30°С до того момента, когда животные приходят в себя.
Исследованию были подвергнуты семь групп животных:
1. (n=8) стероидное соединение, 7 -ОН-ЭПИА (0,1 мг/кг; в/в через хвостовую вену; три инъекции: 15 минут до индукции ишемии, во время ишемии и через 5 минут после реперфузии);
2. (n=8) стероидное соединение, 7 -ОН-ЭПИА (0,3 мг/кг; в/в; три инъекции, как описано в п.1);
3. (n=8) стероидное соединение, 7 -ОН-ЭПИА (1 мг/кг; в/в; три инъекции как описано в п.1);
4. (n=8) NBQX (динатриевая соль, в связи с ее большей растворимостью в воде) в качестве стандартного соединения и позитивного контроля (TOCRIS, Германия, 30 мг/кг; в/б; три инъекции, как описано в п.1);
5. (n=8) получают носитель (0,9% NaCl, содержащий 100 мкл этанола; три инъекции, как описано в п.1);
6. (n=8) только ишемия;
7. (n=8) контроли с симулированным оперативным вмешательством.
NBQX представляет собой 2,3-дигидрокси-6-нитро-7-сульфамоилбензо(F)хиноксалин, известный как соединение, обладающее нейропротекторной активностью (Gill, R., Nordholm, L., Lodge, D.: The neuroprotective action of 2,3-dihydroxy-6-nitro-7-sulfamoyl-benzo(F)quinoxaline (NBQX) in a rat focal ischaemia model. Brain Res., 580, 35-43, 1992).
7 -ОН-ЭПИА представляет собой 7 -гидроксиэпиандростерон, соединение согласно настоящему изобретению.
Вещества растворяют в 100 мкл этанола и впоследствии разбавляют 0,9% NaCl.
По истечении периода выживания, равного 7 дням после ишемии, всех животных подвергают перфузии при фиксации транскардиально с использованием 4% параформальдегида. Затем осторожно удаляют мозг и оставляют фиксированными в том же фиксаторе в течение 2 часов. После криопротекции в 30% сахарозе, все образцы мозга быстро замораживают в изопентане и сохраняют при -80°С. Криостатированные срезы толщиной двадцать микрометров, включающие структуру гиппокампа, окрашивают по Нисслу (Nissl) с применением толуидинового синего или флуоресцентного красителя Neuro Trace.
Анализ данных
Тяжесть повреждения нейронов в СА1 регионе гиппокампа после ишемии оценивают по числу выживших нейронов с использованием окрашивания по Нисслу. В СА1 регионе для каждой группы подсчитывают среднее число морфологически интактных нейронов на участке в 400 мкм длиной. Подсчет клеток проводят в 3-5 срезах на животное, в 6 областях СА1 участка длиной 400 мкм на каждом срезе с использованием светового микроскопа, снабженного объективом 20Х. Данные подвергают статистической обработке по т-тесту Стьюдента. Полученные данные представляют собой среднее значение ±СКО.
Результаты и обсуждение
Результаты представлены на фиг.1-3.
Морфологически неизмененные нейроны СА1 области гиппокампа характеризуют посредством окрашивания по Нисслу (толуидиновый синий или Neuro Trace; фиг.2), используя следующие критерии: чистая форма нейронального перикария, большие ядра с позитивно мечеными ядрышками, малая цитоплазматическая зона вокруг ядер с позитивным окрашиванием по Нисслу, что указывает на неизмененный шероховатый эндоплазматический ретикулюм с рибосомами, и, в этой связи, интактный механизм белкового синтеза.
10-минутная общая ишемия (мягкая ишемия) и время выживания в 7 дней ведут к нейродегенерации пирамидальных клеток селективно в СА1 регионе гиппокампа (фиг.1А-1С). Среднее число пирамидальных клеток в СА1 регионе у животных с симулированным оперативным вмешательством составляет 121,5±4,3 (взято за 100%). Исходя из этого, следует, что 60% СА1 нейронов погибло после 10-минутной общей ишемии (фиг.1В). Число нейронов в группе животных с ишемией и в/в инъекцией носителя (NaCl плюс 100 мкл этанола), проводившейся, как было описано в экспериментальном разделе, сравнимо с уровнем, отмечаемым в группе только с ишемией (фиг.1А, 1В). NBQX (30 мг/кг; в/в; три инъекции, как описано в экспериментальном разделе) демонстрирует значимую (р=0,03) нейропротекцию в пирамидальных клетках СА1 по сравнению с группой с ишемией. При сравнении с группой только с ишемией, видно, что NBQX ведет к 47,5% нейропротекции, тогда как сравнение с животными с симулированной операцией указывает на защитный эффект 68,5%. Нейропротекторное действие, вызванное NBQX, соответствует данным Гила с соав. (Gill et al., 1992 и Gill, 1994), указывая на достоверность модели общей ишемии, использованной авторами в экспериментах. 7 -ОН-ЭПИА приводит к зависимому от концентрации нейропротекторному действию на пирамидальные клетки СА1 области гиппокампа после 10-минутной общей ишемии и периода выживания в 7 дней (фиг.1А). Анализ с использованием т-теста выявил высоко значимое нейропротекторное действие 7 -ОН-ЭПИА в концентрациях 0,1 мг/кг (р=0,01) и 0,3 мг/кг (р=0,0008). По сравнению с группой с симулированным оперативным вмешательством 7 -ОН-ЭПИА демонстрирует 74,8% (0,1 мг/кг) и 83,9% (0,3 мг/кг) нейропротекторный эффект на СА1 пирамидальные клетки, соответственно (фиг.1С). 7 -ОН-ЭПИА в концентрации 1,0 мг/кг демонстрирует только тенденцию к нейропротекции, но эффект не является значимым.
Во всех экспериментах с инъекцией 7 -ОН-ЭПИА в/в, перед, во время и после ишемии авторы никогда не обнаруживали каких-либо аномалий в поведении животных.
Описание фигур:
Количество морфологически неизмененных пирамидальных клеток СА1 гиппокампа крыс через 7 дней после общей церебральной ишемии у крыс и под влиянием различных соединений.
Фиг.1А: Данные представлены в виде среднего количества ±СКО неизмененных нейронов на участке в 400 мкм длиной в СА1 регионе.
Фиг.1В: Данные выражены в виде процента неизмененных нейронов на участке в 400 мкм длиной в СА1 регионе по сравнению с результатами, полученными на животных с симулированным оперативным вмешательством, взятыми за 100%.
Фиг.1С: Данные представлены в виде абсолютного процента нейропротекции, если число выживших нейронов в группе с ишемией принять за ноль, а их число в группе с симулированной операцией принять за 100%.
Формула изобретения
1. Лекарственное средство, имеющее структуру 7 -гидрокси-эпиандростерона или 7 -гидрокси-дегидроэпиандростерона, и их фармацевтически приемлемых сложных эфиров для защиты нейронов от повреждения.
2. Лекарственное средство по п.1, отличающееся тем, что указанный стероид представляет собой соединение формулы (I)

где R1 и R2 могут быть одинаковыми или могут отличаться друг от друга и каждый обозначает атом водорода, алкильную группу, содержащую от 1 до 6 атомов углерода, алкенильную группу, содержащую от 2 до 6 атомов углерода, алкинильную группу, содержащую от 2 до 6 атомов углерода, арильную группу, содержащую от 6 до 10 атомов углерода, формильную группу, алкилкарбонильную группу, содержащую от 2 до 7 атомов углерода, алкенилкарбонильную группу, содержащую от 3 до 7 атомов углерода, алкинилкарбонильную группу, содержащую от 3 до 7 атомов углерода, арилкарбонильную группу, содержащую от 7 до 11 атомов углерода, аралкилкарбонильную группу, содержащую от 8 до 15 атомов углерода, аралкенилкарбонильную группу, содержащую от 9 до 15 атомов углерода, или гетероциклокарбонильную группу, указанную ниже;
один из Ra и Rb представляет собой группу формулы -Rc, предпочтительно в -конфигурации, а второй из указанных заместителей представляет собой атом водорода, или Ra и Rb вместе представляют собой оксогруппу;
Rc обозначает алканоильную группу, содержащую от 1 до 6 атомов углерода, арилкарбонильную группу, в которой арильная часть представляет собой ароматическую карбоциклическую группу, содержащую в кольце от 6 до 10 атомов углерода, гетероциклкарбонильную группу, определенную ниже, или группу формулы -OR4, где R4 обозначает любую(ой) из групп и атомов, указанных выше для R1 и R2;
кольцо А, , представляет собой бензольное или циклогексановое кольцо;
в том случае, когда кольцо А представляет собой циклогексановое кольцо, пунктирная линия в кольце В обозначает одинарную или двойную углерод-углеродную связь и n имеет значение 1; или в том случае, когда кольцо А обозначает бензольное кольцо, пунктирная линия в кольце В обозначает одинарную углерод-углеродную связь и n имеет значение 0;
указанная гетероциклкарбонильная группа представляет собой группу формулы R3-CO, где R3 обозначает гетероциклическую группу, содержащую в кольце от 3 до 7 атомов, в числе которых от 1 из 3 атомов представляют собой гетероатомы, выбираемые из атомов азота, атомов кислорода и атомов серы, а среди оставшихся атомов (или атома) по крайней мере один является или являются атомами углерода;
указанные алкильная, алкенильная или алкинильная группы и алкильная, алкенильная и алкинильная части указанных алкилкарбонильной, алкенилкарбонильной и алкинилкарбонильной групп могут быть незамещенными или могут содержать, по меньшей мере, один из приведенных ниже заместителей :
заместители : гидроксигруппы, меркаптогруппы, атомы галогена, аминогруппы, алкиламиногруппы, содержащие от 1 до 6 атомов углерода, диалкиламиногруппы, в которых каждая алкильная группа содержит от 1 до 6 атомов углерода, карбамоильные группы, нитрогруппы, алкоксигруппы, содержащие от 1 до 6 атомов углерода, алкилтиогруппы, содержащие от 1 до 6 атомов углерода, карбоксигруппы, алкоксикарбонильные группы и незамещенные арильные группы, содержащие от 6 до 10 атомов углерода;
указанные арильные группы, указанные гетероциклические группы и арильные части указанных арилкарбонильных групп и указанных аралкилкарбонильных групп могут быть незамещенными или могут содержать, по меньшей мере, один из приведенных ниже заместителей :
заместители : любой из заместителей и алкильные группы, содержащие от 1 до 6 атомов углерода, гидроксиалкильные группы, содержащие от 1 до 6 атомов углерода, и галогеналкильные группы, содержащие от 1 до 6 атомов углерода;
и их фармацевтически приемлемые соли и сложные эфиры.
3. Лекарственное средство по п.2, отличающееся тем, что
R1 и R2 могут быть одинаковыми или могут отличаться друг от друга и каждый обозначает атом водорода, алкильную группу, содержащую от 1 до 6 атомов углерода, необязательно замещенную фенильную группу, формильную группу, алкилкарбонильную группу, содержащую от 2 до 5 атомов углерода, арилкарбонильную группу, содержащую от 7 до 11 атомов углерода, аралкилкарбонильную группу, содержащую от 8 до 15 атомов углерода или гетероциклкарбонильную группу, определенную ниже;
один из Ra и Rb представляет собой алканоильную группу, содержащую от 1 до 6 атомов углерода, или группу формулы -OR4, где R4 представляет собой любую(ой) одну(ин) из групп и атомов, определенных выше для R1 и R2, в -конфигурации, а другой из указанных заместителей представляет собой атом водорода, или Ra и Rb вместе представляют собой оксогруппу; указанная гетероциклкарбонильная группа представляет собой группу формулы R3-CO, где R3 обозначает гетероциклическую группу, содержащую в кольце от 3 до 7 атомов, в числе которых от 1 до 3 атомов представляют собой гетероатомы, выбираемые из атомов азота, атомов кислорода и атомов серы, а среди оставшихся атомов (или оставшийся атом), по крайней мере, один является или являются атомами углерода.
4. Лекарственное средство по п.1, отличающееся тем, что стероид представляет собой соединение формулы (II)

в которой один из Ra и Rb обозначает группу формулы -Rc, предпочтительно в -конфигурации, а другой из указанных заместителей представляет собой атом водорода, или Ra и Rb вместе представляют собой оксогруппу;
R0 обозначает алканоильную группу, содержащую от 1 до 6 атомов углерода, арилкарбонильную группу, в которой арильная часть представляет собой ароматическую карбоциклическую группу, содержащую от 6 до 10 атомов углерода в кольце, гетероциклкарбонильную группу, определенную ниже, или группу формулы -OR4, где R4 обозначает любую(ой) одну(ин) из групп и атомов, определенных выше для R1 и R2.
5. Лекарственное средство по п.1, отличающееся тем, что указанный стероид представляет собой 7 -гидроксиэпиандростерон.
6. Лекарственное средство по п.1, отличающееся тем, что указанный стероид представляет собой 7 -гидроксидегидроэпиандростерон.
7. Лекарственное средство по п.1, отличающееся тем, что указанный стероид представляет собой 7 -гидрокси-17 -эстрадиол.
8. Лекарственное средство по п.1, отличающееся тем, что указанный стероид представляет собой 7 -гидроксипрегненолон.
9. Лекарственное средство по п.1, отличающееся тем, что указанный стероид представляет собой 7 -гидроксиэстрон.
10. Лекарственное средство по п.1, отличающееся тем, что указанный стероид представляет собой 7 -гидроксиэстрон.
11. Лекарственное средство по любому одному из предшествующих пунктов, отличающееся тем, что указанное повреждение нейронов вызывается хроническим заболеванием.
12. Лекарственное средство по п.11, отличающееся тем, что указанное хроническое заболевание представляет собой болезнь Альцгеймера, болезнь Паркинсона или нарушение познавательной функции без деменции.
13. Лекарственное средство по любому одному из предшествующих пунктов, отличающееся тем, что указанное повреждение нейронов вызывается острым заболеванием.
14. Лекарственное средство по п.13, отличающееся тем, что указанное острое заболевание вызвано инсультом, травмой головного мозга, поражением спинного мозга или поражением периферических нервов.
15. Способ защиты нейронов млекопитающих от повреждения посредством введения им эффективного количества 3-гидрокси-7 -гидроксистероида или 3-оксо-7 -гидроксистероида, или их фармацевтически приемлемого сложного эфира.
РИСУНКИ
|
|