Патент на изобретение №2258507
|
||||||||||||||||||||||||||
(54) СПОСОБ ПОЛУЧЕНИЯ 1,2,5-ТРИМЕТИЛ-4-ФЕНИЛ-4-ПРОПИОНИЛОКСИПИПЕРИДИНА, ГИДРОХЛОРИДА (ПРОМЕДОЛА)
(57) Реферат:
Изобретение относится к химии гетероциклических соединений, а именно к способу получения 1,2,5-триметил-4-фенил-4-пропионилоксипиперидина гидрохлорида (промедола) – широко применяемого анальгетического лекарственного средства. Реакцию 1,2,5-триметилпиперидона-4 с ароматическим соединением щелочного или щелочноземельного металла проводят при температуре от -10° до -100°С. На 1 моль 1,2,5-триметилпиперидона-4 используют 1-1,15 моль ароматического соединения щелочного или щелочноземельного металла, в частности фениллития или фенилмагнийбромида. Далее проводят обработку хлористым пропионилом, предпочтительно, двухкратную. Изобретение обеспечивает повышение выхода промедола. 4 з.п. ф-лы.
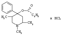
Изобретение относится к химии гетероциклических соединений, а именно к способу получения 1,2,5-триметил-4-фенил-4-пропионилоксипиперидина гидрохлорида (промедола). Промедол – оригинальный отечественный анальгетик [1]. Широко применяется как болеутоляющее средство при травмах и различных заболеваниях (в том числе и онкологических), сопровождающихся болями, а также для обезболивания и ускорения родов. Известно множество примеров получения 4-фенилпиперидинов присоединением металлоорганических соединений к различным пиперидонам-4 [2-7]. Широко известно, что с ростом пространственных затруднений в исходном аминокетоне выход целевого соединения снижается, что объясняется ростом доли побочных реакций – альдольная конденсация, реакция восстановления, енолизация исходного кетона [8]. При получении промедола используется 1,2,5-триметилпиперидон-4, метильные группы которого создают значительное пространственное препятствие в реакции с металлоорганическим соединением, что приводит к снижению выхода и образованию побочных веществ. В качестве прототипа выбрано описание промышленного способа получения промедола, заключающегося во взаимодействии фениллития и 1,2,5-триметил-пиперидона-4 в мольном соотношении 1,17:1. Реакцию проводят при интенсивном кипении диэтилового эфира (40°С). Затем реакционную массу обрабатывают 1,70 мольным избытком (на загруженный 1,2,5-триметил-пиперидон-4) хлористого пропионила. После подщелачивания и перегонки проводят повторное ацилирование 0,76 мольным избытком хлористого пропионила и оставляют реакционную массу на 10 часов. Выпавший кристаллический осадок отфильтровывают, промывают бензолом, перекристаллизовывают из изопропилового спирта, сушат. Получают 121,1 г промедола [9]. Выход промедола гидрохлорида по данному способу в расчете на 1,2,5-триметилпиперидон-4 составляет 38,7%, что является явно недостаточным для промышленного производства. Задача, на решение которой направлено настоящее изобретение, состоит в разработке нового способа получения 1,2,5-триметил-4-фенил-4-пропионилоксипиперидина гидрохлорида (промедола). Технический результат, который может быть получен при осуществлении изобретения, заключается в повышении выхода промедола, уменьшении расхода дорогостоящих реагентов – металлоорганических соединений, снижении количества отходов и, как следствие, значительном росте экономических показателей и конкурентоспособности производства. Способ получения промедола по изобретению осуществляется реакцией ароматического соединения щелочного или щелочноземельного металла, в частности фениллития или фенилмагнийгалогенида, с 1,2,5-триметилпиперидоном-4 в мольном соотношении (1-1,15):1, соответственно, и при температуре от -10 до -100°С, с последующим ацилированием хлористым пропионилом. В качестве ароматического соединения щелочного или щелочноземельного металла используют фениллитий или фенилмагнийгалогенид. Исчерпывающее ацилирование достигается двухкратной обработкой хлористым пропионилом. В приведенных примерах варьируется соотношение ароматического соединения щелочного или щелочноземельного металла и 1,2,5-триметилпиперидона-4, а также температура. Проведение реакции присоединения фениллития к 1,2,5-триметилпиперидону-4 при -10°C и -40°C приводит к повышению выхода промедола до 45% и 49% соответственно, но при этих температурах доля побочных реакций еще достаточно велика. При понижении температуры до -70°С происходит резкое повышение селективности процесса и выход промедола возрастает до 87%. Дальнейшее понижение температуры не приводит к существенному росту выхода и ограничивается температурой замерзания диэтилового эфира. Проведение реакции при температуре -70°С и эквимольном соотношении фениллития и 1,2,5-триметилпиперидона-4 приводит лишь к незначительному уменьшению выхода промедола, что косвенно свидетельствует о почти полном подавлении побочных реакций при данной температуре. Относительно низкий выход промедола при использовании фенилмагнийбромида объясняется его меньшей реакционной способностью в сравнении с фениллитием. Сущность настоящего метода иллюстрируется, но не ограничивается следующими примерами. Пример 1. 1,2,5-триметил-4-фенил-4-пропионилоксипиперидина гидрохлорид. Мольное соотношение 1,2,5-триметилпиперидона-4 и фениллития составляет 1:1,1. К 1100 мл 1 М раствора фениллития в диэтиловом эфире, в атмосфере аргона, при температуре -70°С добавляют раствор 141 г 1,2,5-триметилпиперидона-4 в 200 мл сухого диэтилового эфира. После перемешивания при -70°С в течение 2-х часов добавляют 112 г пропионилхлорида, поднимают температуру до 20-25°С и перемешивают 1 час. Затем реакционную массу осторожно подкисляют разбавленной соляной кислотой, эфирный слой отделяют, водный – экстрагируют бензолом (2×100 мл). К водному слою добавляют 1 л бензола и подщелачивают 20% раствором гидроокиси натрия до рН 10-11. Бензольный слой отделяют, водный – экстрагируют бензолом (2×200 мл). Из объединенного бензольного экстракта отгоняют растворитель, остаток перегоняют в вакууме 1 мм рт.ст., собирая фракцию в интервале 120-148°С. Дистиллят растворяют в 800 мл бензола, добавляют 97 г пропионилхлорида и реакционную массу оставляют при комнатной температуре на 12 часов. Выпавший осадок отделяют фильтрованием, промывают бензолом, сушат и перекристаллизовывают из 2-пропанола. Получают 271,0 г 1,2,5-триметил-4-фенил-4-пропионилоксипиперидина гидрохлорида. Выход 86,9%. Найдено %: С 65,53; Н 8,24; N 4,43; Cl 11,32. C17H25NO2×HCl Вычислено %: С 65,47; Н 8,34; N 4,49; Cl 11,36. УФ-спектр: ИК-спектр: 1737 см-1 (С=О), 2410 см-1 (NH), 2980-2938 см-1 (С-Н), 1601, 1495 см-1 (=СН). Пример 2. Мольное соотношение 1,2,5-триметилпиперидона-4 и фенилмагнийбромида составляет 1:1,1. Аналогично примеру 1 из 1100 мл 1 М раствора фенилмагнийбромида в диэтиловом эфире, 141 г 1,2,5-триметилпиперидона-4, 209 г пропионилхлорида получают 193,2 г 1,2,5-триметил-4-фенил-4-пропионилоксипиперидина гидрохлорида. Выход 61,9%. Найдено%: С 65,81; Н 8,11; N4,35; Cl 11,49. C17H25NO2×HCl Вычислено%: С 65,47; Н 8,34; N 4,49; Cl 11,36. Пример 3. Мольное соотношение 1,2,5-триметилпиперидона-4 и фениллития составляет 1:1. Аналогично примеру 1 из 1000 мл 1 М раствора фениллития в диэтиловом эфире, 141 г 1,2,5-триметилпиперидона-4, 209 г пропионилхлорида получают 231,4 г 1,2,5-триметил-4-фенил-4-пропионилоксипиперидина гидрохлорида. Выход 74,2%. Найдено%: С 65,71; Н 8,15; N 4,38; Cl 11,49. C17H25NO2×HCl Вычислено %: С 65,47; Н 8,34; N 4,49; Cl 11,36. Пример 4. Сравнительный пример. Мольное соотношение 1,2,5-триметилпиперидона-4 и фениллития составляет 1:1,1. Аналогично примеру 1 из 1100 мл 1 М раствора фениллития в диэтиловом эфире, 141 г 1,2,5-триметилпиперидона-4, 209 г пропионилхлорида. Присоединение фениллития к 1,2,5-триметилпиперидону-4 проводят при +40°С и получают 134,6 г 1,2,5-триметил-4-фенил-4-пропионилоксипиперидина гидрохлорида. Выход 43,2%. Найдено %: С 65,77; Н 8,13; N 4,32; Cl 11,42. C17H25NO2×HC1 Вычислено %: С 65,47; Н 8,34; N 4,49; Cl 11,36. Пример 5. Мольное соотношение 1,2,5-триметилпиперидона-4 и фениллития составляет 1:1,1. Аналогично примеру 1 из 1100 мл 1 М раствора фениллития в диэтиловом эфире, 141 г 1,2,5-триметилпиперидона-4, 209 г пропионилхлорида. Присоединение фениллития к 1,2,5-триметилпиперидону-4 проводят при -10°С и получают 141,3 г 1,2,5-триметил-4-фенил-4-пропионилоксипиперидина гидрохлорида. Выход 45,3%. Найдено %: С 65,72; Н 8,17; N 4,41; Cl 11,48. C17H25NO2×HCl Вычислено %: С 65,47; Н 8,34; N 4,49; Cl 11,36. Пример 6. Мольное соотношение 1,2,5-триметилпиперидона-4 и фениллития составляет 1:1,1. Аналогично примеру 1 из 1100 мл 1 М раствора фениллития в диэтиловом эфире, 141 г 1,2,5-триметилпиперидона-4, 209 г пропионилхлорида. Присоединение фениллития к 1,2,5-триметилпиперидону-4 проводят при -40°С и получают 154,7 г 1,2,5-триметил-4-фенил-4-пропионилоксипиперидина гидрохлорида. Выход 49,6%. Найдено %: С 65,78; Н 8,10; N 4,33; Cl 11,46. C17H25NO2×HCl Вычислено %: С 65,47; Н 8,34; N 4,49; Cl 11,36. Пример 7. Мольное соотношение 1,2,5-триметилпиперидона-4 и фениллития составляет 1:1,1. Аналогично примеру 1 из 1100 мл 1 М раствора фениллития в диэтиловом эфире, 141 г 1,2,5-триметилпиперидона-4, 209 г пропионилхлорида. Присоединение фениллития к 1,2,5-триметилпиперидону-4 проводят при -100°С и получают 284,4 г 1,2,5-триметил-4-фенил-4-пропионилоксипиперидина гидрохлорида. Выход 91,2%. Найдено %: С 65,79; Н 8,21; N 4,38; Cl 11,47. C17H25NO2×HCl Вычислено %: С 65,47; Н 8,34; N 4,49; Cl 11,36. Пример 8. Мольное соотношение 1,2,5-триметилпиперидона-4 и фениллития составляет 1:1,15. Аналогично примеру 1 из 1150 мл 1 М раствора фениллития в диэтиловом эфире, 141 г 1,2,5-триметилпиперидона-4, 209 г пропионилхлорида. Присоединение фениллития к 1,2,5-триметилпиперидону-4 проводят при -70°С и получают 274,6 г 1,2,5-триметил-4-фенил-4-пропионилоксипиперидина гидрохлорида. Выход 88,1%. Найдено %: С 65,74; Н 8,19; N 4,34; Cl 11,42. C17H25NO2×HCl Вычислено %: С 65,47; Н 8,34; N 4,49; Cl 11,36. Спектральные параметры и физико-химические константы 1,2,5-триметил-4-фенил-4-пропионилоксипиперидина, гидрохлорида, полученные в примерах, идентичны. Таким образом, предлагаемый способ позволяет получать с более высоким выходом 1,2,5-триметил-4-фенил-4-пропионилоксипиперидина гидрохлорид. Изобретение позволяет уменьшить расход металлоорганических соединений, которые являются дорогостоящими и дефицитными продуктами, а также снизить количество отходов. Литература. 1. Машковский М.Д. Лекарственные средства. Вильнюс, 1994, с.150. 2. S.M. McElvain and M.D. Barnett, J.Am.Chem.Soc., 1956, v.78, p.3140. 3. Патент США 3518276, 1970. 4. Патент США 2798073, 1957. 5. A.Ziering and J.Lee, J.Org.Chem., v.12, p. 911, 1947. 6. A.H.Beckett, A.F.Casy and G.Kirk, J.Med.Pharm.Chem., 1959, v.1, p.37. 7. A.c. 1262908, СССР. Гидрохлорид 1-(2-этоксиэтил)-4-фенил-4-пропионилоксипиперидина, обладающий анальгетической активностью /Пралиев К.Д., Соколов Д.В. и др./. 8. Buhler, J.Org.Chem., 1973, v.38, p.904. 9. М.В.Рубцов, А.Г. Байчиков. Синтетические химико-фармацевтические препараты. М.: Медицина, 1971, с.195-198.
Формула изобретения
1. Способ получения промедола – 1,2,5-триметил-4-фенил-4-пропионилоксипиперидина гидрохлорида реакцией 1,2,5-триметилпиперидона-4 с ароматическим соединением щелочного или щелочноземельного металла и последующим ацилированием хлористым пропионилом, отличающийся тем, что реакцию 1,2,5-триметилпиперидона-4 с ароматическим соединением щелочного или щелочноземельного металла проводят при температуре от -10 до -100°С и на 1 моль 1,2,5-триметилпиперидона-4 берут 1-1,15 моль ароматического соединения щелочного или щелочноземельного металла. 2. Способ по п.1, отличающийся тем, что в качестве ароматического соединения щелочного или щелочноземельного металла используют фениллитий. 3. Способ по п.1, отличающийся тем, что в качестве ароматического соединения щелочного или щелочноземельного металла используют фенилмагнийгалогенид. 4. Способ по любому из пп.1-3, отличающийся тем, что реакцию 1,2,5-триметилпиперидона-4 с ароматическим соединением щелочного или щелочноземельного металла проводят при температуре -70°С. 5. Способ по п.1, отличающийся тем, что на стадии ацилирования осуществляют двухкратную обработку хлористым пропионилом.
MM4A Досрочное прекращение действия патента Российской Федерации на изобретение из-за неуплаты в установленный срок пошлины за поддержание патента в силе
Дата прекращения действия патента: 19.12.2005
Извещение опубликовано: 27.01.2007 БИ: 03/2007
|
||||||||||||||||||||||||||



max251 нм (log
=2.18),