Патент на изобретение №2154063
|
||||||||||||||||||||||||||
(54) ПРОИЗВОДНЫЕ ПИРАЗОЛА И СОДЕРЖАЩИЕ ИХ ГЕРБИЦИДЫ
(57) Реферат: Описываются новые производные пиразола общей формулы I, где R1 – С1-С6алкил; R2, X1 и Х2 – независимо С1-С4алкил; R3 – водород или С1-С4алкил; m = 0 или 1; R4 – С1-С4алкил или группу формулы, где Y – атом галогена, С1-С4алкокси или С1-С4алкил; n равно от 0 до 3; R5 – A-группа-S(O)2-, -С-; -СН2-С- или (-C-), где R5 или R6-атом водорода, а p равно от 1 до 4, и соединения общей формулы II, где R11, R12, R13, R14, R15, R16, R17, X3, A2, В, n и p имеют указанные в п.11 формулы изобретения значения. Эти соединения используются в качестве гербицида. Производные пиразола общей I селективны в отношении риса-падди и кукурузы и в низких дозах уничтожают широкий спектр сорняков на затопляемых и суходольных полях. Производные пиразола общей формулы (II) не обладают фитотоксическим действием на растения риса-падди и в низких дозах уничтожают широкий спектр сорняков на суходольных полях и на рисовых затопляемых полях, особенно петушье просо и сыть длинную. 5 с. и 16 з.п.ф-лы, 32 табл., 5 ил.
![]()
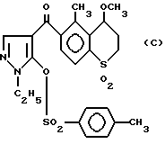
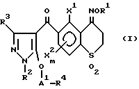
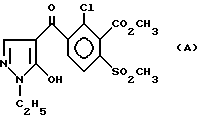
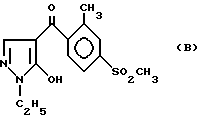
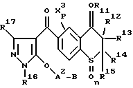
Изобретение относится к производным пиразола и содержащим их гербицидам. Гербициды имеют большое значение, так как обеспечивают снижающее трудовые затраты уничтожение сорняков и повышение продуктивности сельского хозяйства и садоводства, поэтому они активно изучаются и разрабатываются в течение многих лет. В настоящее время в качестве гербицидов используется целый ряд соединений. Однако, даже сегодня сохраняется необходимость в создании новых химикатов с определенными гербицидными свойствами, особенно химикатов, которые не токсичны для культур и могут в низких дозах селективно уничтожать сорняки. При выращивании кукурузы и др. культур обычно использовались гербициды триазинового ряда, например атразин, и гербициды из класса анилидов кислот, такие как, например, алахлор и метолахлор. Однако атразин имеет низкую эффективность в отношении травянистых (злаковых) сорняков, а алахлор и метолахлор малоэффективны в отношении широколистных сорняков. Поэтому в настоящее время трудно уничтожать травянистые и широколистные сорняки с помощью одного гербицида. Кроме того, указанные гербициды нежелательны с точки зрения экологии, так как они должны применяться в высоких дозах. Известно также, что на затопляемых рисовых полях растет не только рис-падди, но и различные сорняки, в том числе однолетние травянистые сорняки, такие как петушье просо, однолетние осокоцветные сорняки, например сыть длинная, однолетние широколистные сорняки, такие как, например, monochoria и ротала ветвистая, а также многолетние сорняки, такие как стрелолист (Saggitaria pygmaca miguel), рдест широколистный, частуха восточная, камыш озерный, камыш игольчатый прямостоящий, сыть поздняя (Cyperus serotinus rottboсll), водный каштан, стрелолист (arrowhead) и лабазник. При выращивании риса большое значение имеет эффективное уничтожение сорняков без фитотоксического действия на рис, а также опрыскивание химикатами в небольших дозах для уменьшения загрязнения окружающей среды. Известно, что химикаты, обладающие высокой гербицидной активностью в отношении петушьего проса, обычно оказывают фитотоксическое действие и на растения риса и поэтому особенно важной проблемой остается создание химиката, который обладает высокой гербицидной активностью в отношении петушьего проса, относящегося к травянистым сорнякам, и отличается прекрасной внутривидовой селективностью в отношении риса-падди и петушьего проса. Между тем, в настоящее время известно, что некоторые производные 4-бензоилпиразола обладают гербицидной активностью (см. JP-A-63-122672, JP-A-63-122673, JP-A-63-170365, JP-A-1-52759, JP-A-2-173 и JP-A-2-288866). Типичными примерами производных 4-бензоилпиразола (A) и (B), которые описаны в приведенных выше публикациях ((A); Соединение 35 в JP-A-2-173, (B); Соединение 1 в JP-A-63-122672), являются следующие соединения: ![]() ![]() Однако полученные до настоящего времени производные 4- бензоилпиразола обладают гербицидной активностью, недостаточной для практического применения. В частности, они обладают низкой гербицидной активностью с отношении таких сорняков, как петушье просо и щетинник зеленый. Кроме того, при применении их в качестве гербицида на рисовых полях указанные соединения повреждают и растения риса, так как они имеют низкую селективность в отношении растений риса и злаковых сорняков. В связи с этим. Заявители в ранее поданной на рассмотрение заявке предлагали производные пиразола, содержащие тиохромановое кольцо (см. PCT/JP93/00274, WO 93/18031). Типичным примером соединений (соединение 66), описанных в указанной патентной публикации, является соединение следующего строения: ![]() Это соединение имеет высокую гербицидную активность при применении на рисовых полях, но недостаточно безопасно для риса. Настоящее изобретение выполнено с учетом рассмотренной выше ситуации и его целью является создание производных пиразола, которые не обладают фитотоксичностью в отношении кукурузы и риса-падди и в низких дозах могут уничтожать широкий спектр сорняков на суходольных полях и сорняков на затопляемых рисовых полях, в особенности петушье просо на рисовых полях, а также создание гербицида, содержащего производное пиразола. Описание изобретение. Для достижения указанной цели Заявители провели тщательное исследование и установили, что новые соединения общей формулы (I) не фитотоксичны в отношении кукурузы и риса-падди и в низких дозах уничтожают широкий спектр сорняков на суходольных полях и сорняков на рисовых полях. Кроме того, в настоящем изобретении показано, что производное пиразола общей формулы (XI) не обладает фитотоксическим действием на растения риса-падди и в низких дозах может уничтожать широкий спектр сорняков на суходольных полях и на рисовых затопляемых полях, особенно петушье просо и сыть длинную. Таким образом, объектом настоящего изобретения является производное пиразола общей формулы (I) ![]() и производное пиразола общей формулы (XI) ![]() Краткое описание рисунков. На фиг. 1 показано получение производного пиразола формулы (I) в соответствии с настоящим изобретением. На фиг.2 показано получение соединения общей формулы (II) На фиг.3 показано получение соединения общей формулы (IV) На фиг. 4 показано получение 4-метоксиимино-5-метил-6-(1- этил-5-гидроксипиразол-4-карбонилтиохроман)-1,1-диоксида, который является одним из исходных продуктов. На фиг. 5 показано получение производного пиразола формулы (XI) в соответствии с настоящим изобретением. Предпочтительные варианты осуществления изобретения. В начале приводится описание производных пиразола общей формулы (I). В общей формуле (I) для указанных производных пиразола заместитель R1 представляет собой C1-C6-алкильную группу, например метил, этил, пропил, бутил, пентил или гексил. Пропил, бутил, пентил или гексил могут быть линейными, циклическими или разветвленными. Заместитель R1 предпочтительно представляет собой C1-C4-алкильную группу, более предпочтительно – метил или этил. Каждый из заместителей R2, X1 и X2 независимо друг от друга представляет собой C1-C4-алкильную группу, включая метил, этил, пропил и бутил, причем пропил и бутил могут быть линейными, циклическими и разветвленными. Предпочтительно, когда заместители R2, X1 и X2 представляют собой метил иди этил. Заместитель R3 представляет собой атом водорода или C1-C4-алкильную группу. C1-C4-алкильные группы принимают значения, описанные выше для заместителей R2, X1 и X2. Предпочтительно заместитель R3 представляет собой атом водорода или метил, наиболее предпочтительно – атом водорода. Пропил и бутил могут быть линейными или разветвленными. m определяет число заместителей X2 и принимает значения 0 или 1. Когда m равно 1, заместитель X2 предпочтительно находится в положении 8. Заместитель R4 представляет собой C1-C10-алкильную группу или группу формулы ![]() Примерами соответствующих C1-C10-алкильных групп в качестве заместителей R4 являются метил, этил, пропил, бутил, пентил, гексил, гептил, октил, нонил или децил. Пропил, бутил, пентил, гексил, гептил, октил, нонил и децил могут быть линейными, циклическими или разветвленными. Предпочтительно заместитель R4 представляет собой C1-C4-алкильную группу. В заместителе R4 формулы Y представляет собой атом галогена, нитро-группу, C1-C4-алкокси-группу или C1-C4-алкильную группу. К атомам галогена относятся атомы фтора, хлора, брома и иода. К C1-C4-алкильным группам относятся группы, описанные выше для заместителей R2. Заместитель Y предпочтительно представляет собой атом хлора, фтора, нитро-группу, метил или метокси-группу.
n определяет число заместителей Y и принимает целые значения от 1 до 3.
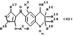
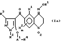
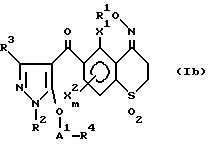
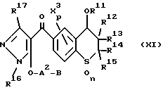
Фрагмент A1 представляет собой – S(O)2-, или ![]() где каждый из заместителей R5 и R6 независимо друг от друга представляет собой атом водорода или C1-C4-алкильную группу, а “p” равняется 0 или принимает целые значения от 1 до 4. В качестве заместителей R5 и R6 C1-C4-алкильные группы принимают значения, описанные выше для заместителей R2, X1 и X2. Производные пиразола формулы (I) включают также геометрические изомеры относительно алкоксиимино группы, представленные формулами (Ia) и (Ib), и производные пиразола в соответствии с настоящим изобретением могут представлять любой из этих изомеров или их смесь. Когда m=1, заместитель X2 может находиться в положении 7 или 8, но предпочтительным является положение 8. ![]() ![]() Далее приводится описание производных пиразола общей формулы (XI). В производных пиразола формулы (XI) заместитель R11 представляет собой C1-C6-алкильную группу, например метил, этил, пропил, бутил, пентил или гексил, причем пропил, бутил, пентил и гексил могут быть линейными или разветвленными. Предпочтительно, когда заместитель R11 представляет собой C1-C4-алкильнуи группу, более предпочтительно – метил, этил или изопропил. Каждый из заместителей R12, R13, R14 и R15 независимо друг от друга представляют собой атом водорода или C1-C4– алкильную группу. К C1-C4-алкильным группам относятся метил, этил, пропил и бутил, причем пропил и бутил могут быть линейными или разветвленными. Заместители R12, R13, R14 и R15 предпочтительно представляют собой атом водорода или метил, наиболее предпочтительно – атом водорода. Заместитель R16 представляет собой C1-C4-алкильную группу и принимает значения, описанные выше для заместителей R12-R15. Предпочтительно, когда заместитель R16 представляет собой метил или этил. Заместитель R17 представляет собой атом водорода или C1-C4-алкильную группу, и C1-C4-алкильная группа принимает значения, описанные для заместителей R12-R16. Предпочтительно заместитель R17 представляет собой атом водорода или метил. Заместитель X3 представляет собой C1-C4-алкильную группу или атом галогена, где C1-C4-aлкильнaя группа принимает значения, описанные выше для заместителей R12-R16, а атом галогена представляет собой атом хлора, брома, иода или фтора. Предпочтительно, когда заместитель X3 представляет собой С1-С4-алкильную группу, и более предпочтительно – метил. “p” определяет число заместителей X3 и принимает значения 0, 1 или 2. Когда p= 2, заместители X3 могут быть одинаковыми или разными. Предпочтительно “p” принимает значения 1 или 2, при этом предпочтительным положением заместителя является положение 5, или предпочтительно, когда заместители находятся в положениях 5 и 8. n определяет число атомов кислорода, связанных с атомом серы, и принимает значения 0, 1 или 2. Когда n=0, то соединение представляет собой сульфид. Когда n= 1, соединение представляет собой сульфоксид. Когда n=2, соединение представляет собой сульфон. Предпочтительно, когда n =2 (сульфон). Фрагмент A2 выбирается из числа остатков формул и CR18R19.
В приведенных выше формулах, определяющих значение фрагмента A2, заместители R18 и R19 независимо друг от друга представляют собой атом водорода или C1-C4-алкильную группу, при этом C1-C4-алкильная группа принимает значения, описанные выше для заместителей R12-R16. Предпочтительно, когда заместители R18 и R19 представляют собой атом водорода.
Кроме того, “k” определяет число метиленовых цепочек и принимает значения от 0 до 3, предпочтительно 0 или 1. Когда k=0, метиленовый фрагмент отсутствует, что означает, что фрагмент A2 представляет собой карбонил.
Фрагмент В выбирается из числа C1-C12-алкильной группы, циклоалкильной группы и группы формулы![]() В формуле, определяющей значение фрагмента В, заместитель Y представляет собой атом водорода, C1-C4-алкильную группу, C1-C4-алкокси-группу, C1-C4-галогеналкильную группу, нитро-группу или атом галогена, а m определяет число заместителей Y и принимает целые значения 1 или 2. Когда фрагмент A2 представляет собой остаток формулы “k” предпочтительно принимает значения 0 или 1, и фрагмент В представляет собой С1-C12-алкильную группу, циклоалкильную группу или галогензамещенную или незамещенную галогеном фенильную группу.
Когда фрагмент A2 представляет собой -CR18R19, заместители R18 и R19 предпочтительно представляют собой атом водорода, а фрагмент В – фенильную группу.
Производное пиразола общей формулы (XI) содержит асимметричные атомы углерода и может существовать в виде различных изомеров, и производные пиразола в соответствии с настоящим изобретением включают все изомеры и смеси этих изомеров.
Гербицид настоящего изобретения в качестве активного ингредиента содержит по меньшей мере одно соединение, выбираемое из новых производных пиразола формулы (I) и новых производных пиразола формулы (XI), которые предлагаются настоящим изобретением. Эти соединения смешиваются с жидким носителем, таким как растворитель, или с твердым носителем, таким как тонко измельченный минеральный порошок, и используются в виде смачивающегося порошка, эмульгирующегося концентрата, дуста или гранул. Для достижения эмульгирования, диспергирования и хорошего распределения активных соединений в указанные препаративные формы добавляют поверхностно-активное вещество (ПАВ).
Когда гербицид в соответствии с настоящим изобретением используется в виде смачивающегося порошка, то при получении соответствующей композиции обычно смешивают 10-55 мас. % производного пиразола, 40-88 мас.% твердого носителя и 2-5 мас.% ПАВ.
Когда гербицид настоящего изобретения используется в виде эмульгирующегося концентрата, то последний получают при смешении 20-50 мас.% производного пиразола, 35-75 мас.% растворителя и 5- 15 мас.% ПАВ.
Когда гербицид настоящего изобретения используется в виде дуста, то дуст получают путем смешивания 1-15 мас.% производного пиразола, 80-97 мас.% твердого носителя и 2-5 мас.% ПАВ.
Кроме того, гербицид настоящего изобретения может быть использован в виде гранул. Гранулы обычно получают путем смешения 1-15 мас.% производного пиразола, 90-97 мас.% твердого носителя и 2-5 мас.% ПАВ.
Указанный твердый носитель выбирается из числа минеральных порошков. Примерами таких минеральных порошков являются оксиды, например диатомовая земля и гашеная известь, фосфаты, такие как апатит, сульфаты, например гипс, и силикаты, такие как тальк, пирофиллит, глина, каолин, бентонит, кислый сульфат кальция, белая сажа, порошкообразный кварц и порошкообразная двуокись кремния.
Растворитель выбирается из числа органических растворителей и примерами таких растворителей являются ароматические углеводороды, такие как бензол, толуол и ксилол, хлорированные углеводороды, такие как о-хлортолуол, трихлорэтан и трихлорэтилен, спирты, такие как циклогексанол, амиловый спирт и этиленгликоль, кетоны, такие как изофорон, циклогексанон и циклогексенил-циклогексанон, простые эфиры, такие как бутил-целлозольв, диэтиловый эфир и метилэтиловый эфир, сложные эфиры, такие как изопропилацетат, бензилацетат и метилфталат, амиды, такие как диметилформамид, а также их смеси.
Поверхностно-активные вещества выбираются из числа анионных, неионных, катионных и амфотерных ПАВ (аминокислота и бетаин).
Гербицид настоящего изобретения в дополнение к производному пиразола общей формулы (I) и/или общей формулы (XI) может содержать в качестве активного соединения другие соединения, обладающие гербицидной активностью. “Другими”, обладающими гербицидной активностью, соединениями являются известные гербициды, например, гербициды из числа фенокси-производных, дифениловых эфиров, триазинов, мочевин, карбаматов, тиолкарбаматов, анилидов кислот, производных пиразола, производных фосфорной кислоты, сульфонилмочевин, оксадиазонов. “Другие” гербицидные соединения выбираются соответствующим образом из приведенных выше гербицидов.
Гербицид настоящего изобретения может быть использован в смеси с другими пестицидами, фунгицидами, регуляторами роста растений, удобрениями и т.д.
Новые производные пиразола в соответствии с настоящим изобретением могут быть получены с помощью метода, представленного на фиг.1 (где X1, X2, R1, R2, R3, R4, m, n, p, A1, R5 и R6 принимают определенные ранее значения, a “Hal” соответствует атому галогена).
В соответствии с этим методом предпочтительное мольное отношение реагента формулы (III) к исходному соединению формулы (II) составляет от 1:1 до 1: 3. Для поглощения галогенида водорода, образующегося в качестве побочного продукта реакции, предпочтительно использовать основание, например карбонат натрия, карбонат калия, триэтиламин или пиридин, в мольных количествах или немного выше по отношению к исходному соединению формулы (II). Температура реакции предпочтительно лежит между комнатной температурой и температурой кипения используемого растворителя. В качестве растворителя для проведения этой реакции выбирают ароматические углеводороды, например бензол или толуол, простые эфиры, например диэтиловый эфир, или галогенированные углеводороды, например метиленхлорид или хлороформ.
Можно использовать также двухфазную систему растворителей, состоящую из названных выше растворителей и воды. В этом случае положительный эффект может быть достигнут, если к реакционной смеси добавить катализатор межфазного переноса, например краун-эфир или триэтиламмонийбензилхлорид.
Соединение формулы (II), используемое в качестве исходного материала в схеме, представленной на фиг.1, может быть получено по схеме фиг. 2.
То есть, соединение формулы (II) получают при взаимодействии соединения формулы (IX) с соединением формулы (IV) в инертном растворителе в присутствии дегидратирующего агента, такого как N, N’-дициклогексилкарбодиимид (ДЦК, DCC), и основания.
В соответствии с этим способом предпочтительно использовать соединение формулы (IX) в количестве от 0,1 до 3,0 молей на моль соединения формулы (IV). Предпочтительное количество ДЦК составляет 1,0-1,5 моля на моль соединения формулы (IV).
Основание, которое используется вместе с ДЦК, не ограничивается специально, однако предпочтительно использовать карбонат калия или карбонат натрия в количестве от 0,5 до 2,0 молей на моль соединения формулы (IV). В качестве растворителя может быть использован любой инертный растворитель, но предпочтительными растворителями являются трет.-бутиловый спирт, трет.-амиловый спирт и изопропиловый спирт. Температура реакции лежит в интервале от комнатной температуры до температуры кипения растворителя, однако предпочтительной является температура 50 – 100oC.
Пиразол формулы (IX), используемый в качестве реагента в рассмотренном выше способе, может быть получен, например, по методике, описанной в патенте JP-A-61-257974.
Кроме того, соединение формулы (IV), используемое в качестве исходного соединения в способе, описанном на фиг.2, может быть получено методом, представленным на фиг.3.
Тиохроман-4-оны формулы (VIII), используемые в качестве исходного соединения в схеме на фиг.3, могут быть получены различными способами, например способами, описанными в патенте JP- A-58-198483, международной патентной заявке WO 088/06155, а также в работе Canadiаn Journal of Chemistry, Vol. 51, р.839 (1973).
В соответствии со схемой на фиг. 3 синтез оксима (VI) из кетона (VIII) проводят путем обработки последнего алкоксиамином (VII) в воде или в органическом растворителе (например, в этаноле, метаноле иди уксусной кислоте) в присутствии кислого катализатора (например, в присутствии соляной кислоты) или основного катализатора (например, в присутствии пиридина, гидроксида натрия или карбоната натрия) при температуре от 0oC до температуры кипения растворителя (воды или органического растворителя). Например, описанный выше синтез предпочтительно проводить в этаноле в присутствии пиридина при температуре кипения этанола. В этой реакции количество алкоксамина (VII) на моль кетона (VIII) предпочтительно составляет от 1,0 до 5,0 молей, предпочтительно от 1,0 до 2,0 мюлей.
Далее полученный оксим (VI) обрабатывают магнием (Mg) с получением реактива Гриньяра и сразу же – двуокисью углерода (CO2) с получением сульфида производного ароматической карбоновой кислоты формулы (V). В качестве растворителя предпочтительно использовать простые эфиры, такие как диэтиловый эфир или тетрагидрофуран. Температура реакции лежит в интервале от -78 до 50oC, предпочтительно от 0 до 50oC.
Для получения реактива Гриньяра предпочтительно используют от 1,0 до 5,0 молей магния на моль оксима (VI). Реакцию Гриньяра осторожно проводят в присутствии йодистого алкила, например йодистого метила, или бромистого алкила, например бромистого этила. Количество используемого алкилгалогенида в этом случае составляет предпочтительно от 0,1 до 3,0 молей на моль оксима (VI).
Реакции между реактивом Гриньяра и двуокисью углерода проводят путем продувания газообразной двуокиси углерода из баллона или двуокиси углерода, получаемой из сухого льда, в раствор реактива Гриньяра. Кроме того, сухой лед может быть непосредственно добавлен к реактиву Гриньяра.
Далее окисляют атом серы с использованием окисляющего агента в количестве по меньшей мере двух эквивалентов и получают сульфон, т.е. соединение формулы (IV). В качестве окислителя может быть использована перекись водорода.
Новые производные пиразола настоящего изобретения формулы (IX) могут быть получены в соответствии со схемой, приведенной на фиг.5 (где R11, R12, R13, R14, R15, R16, R17, R18, R19, X3, Y, k, p, m, A2 и B принимают значения, определенные выше для формулы (XI), a Hal соответствует атому галогена).
Исходное соединение формулы (XIH) взаимодействует с соединением формулы B-A2-Hal (где фрагмент B-A2– принимает значения, уже определенные для соединений общей формулы (XI) и Hal соответствуют атому галогена) в инертном растворителе в присутствии основания с образованием производного пиразола общей формулы (XI).
Мольное отношение соединения формулы (XIH) к соединению формулы (XII) составляет предпочтительно от 1:1 до 1:3, а для поглощения галогенида водорода, образующегося в качестве побочного продукта, предпочтительно использовать основание, такое как карбонат натрия, карбонат калия, триэтиламин или пиридин в эквимолярном количестве иди несколько большем из расчета на исходное соединение формулы (XIH). Температура реакции предпочтительно лежит в интервале от комнатной температуры до температуры кипения используемого растворителя. Растворитель для данной реакции выбирается из числа ароматических углеводородов, например бензола и толуола, простых эфиров, таких как диэтиловый эфир, кетонов, таких как метилэтилкетон, а также хлорированных углеводородов, таких как метиленхлорид и хлороформ. Кроме того, можно использовать двухфазную систему растворителей, состоящую из названных выше растворителей и воды. В этом случае положительный эффект может быть достигнут, если к реакционной смеси добавить катализатор межфазного переноса, например краун-эфир или триэтиламмонийбензилхлорид.
Производное пиразола формулы (XIH), используемое в качестве исходного соединения, может быть синтезировано, например, по методике, описанной в заявке WO 93/18031.
Настоящее изобретение дополнительно иллюстрируется Примерами, представленными ниже.
Примеры получения соединения (I) настоящего изобретения.
Пример 1.
В грушевидную колбу объемом 100 мл для приготовления раствора помещают 1,1 г (2,9 ммоля) 4-метоксиимино-5-метил-6-(1-этил-5- гидроксипиразол-4-ил)карбонилтиохроман-1,1-диоксида и 20 мл метиленхлорида. Затем добавляют раствор 0,14 г карбоната калия в 20 мл дистиллированной воды. Кроме того, в качестве реакционного реагента добавляют раствор 0,6 г (4,2 ммоля) н- пропансульфонилхлорида в 5 мл метиленхлорида, после чего добавляют 0,05 г триэтиламмонийбензилхлорид в качестве катализатора. Полученную смесь оставляют перемешиваться при комнатной температуре в течение 24 часов. По окончании реакции слой метиленхлорида отделяют и сушат безводным сульфатом натрия, метиленхлорид отгоняют при пониженном давлении. Полученное маслянистое вещество очищают на колонке с силикагелем. В качестве элюента используют смесь этилацетата с н-гексаном.
По описанному способу получают 4-метоксиимино-5-метил-6-(1- этил-5-н-пропансульфонилоксипиразол-4-ил)-карбонилтиохроман-1,1- диоксид (соединение 1) в виде твердого вещества в количестве 0,88 г. Выход 62%.
Пример 2.
4-Метоксиимино-5,8-диметил-6-(1-этил-5-н-пропансульфонил- оксипиразол-4-ил)-карбонилтиохроман-1,1-диоксид (соединение 2) получают с выходом 48% по методике, аналогичной методике, описанной в примере 1, за исключением того, что исходное соединение заменяют на 4-метоксиимино-5,8-диметил-6-(1-этил-5- гидроксипиразол-4-ил)карбонилтиохроман-1,1-диоксид.
Пример 3.
4-Метоксиимино-5,8-диметил-6-(1-этил-n-толуолсульфонил- оксипиразол-4-ил)карбонилтиохроман-1,1-диоксид (соединение 3) получают с выходом 42% по методике, аналогичной методике, описанной в примере 1, за исключением того, что исходное соединение заменяют на 4-метоксиимино-5,8-диметил-6-(1-этил- 5-гидроксипиразол-4-ил)карбонилтиохроман-1,1-диоксид и в качестве реакционного реагента используют n-толуолсульфонилхлорид.
Примеры 4-11.
Соединения 4-11 получают по методике Примера 1, за исключением того, что реакционный реагент н-пропансульфонилхлорид заменяют на метансульфонилхлорид, этансульфонилхлорид, н- бутансульфонилхлорид, н-октансульфонилхлорид, n-толуолсульфонилхлорид, о-толуолсульфонилхлорид, n – нитробензолсульфонилхлорид или n-метоксибензолсульфонилхлорид.
Примеры 12-17.
Соединения с 12 по 17 получают по методике Примера 1, за исключением того, что исходное соединение заменяют на 4- метоксиимино-5,8-диметил-6-(1-этил-5-гидроксипиразол-4-ил)- карбонилтиохроман-1,1-диоксид и реакционный реагент заменяют на изопропансульфонилхлорид, н-бутансульфонилхлорид, бензолсульфонилхлорид, n-хлорбензолсульфонилхлорид, n-фторбензолсульфонилхлорид или 3,4-дифторбензолсульфонилхлорид.
Примеры 18 и 19.
Соединения 18 и 19 получают по методике Примера 1, за исключением того, что исходное соединение заменяют на 4- метоксиимино-5,8-диметил-6-(1,3-диметил-5-гидроксипиразол-4- ил)карбонилтиохроман-1,1-диоксид и в качестве реакционных реагентов используют н-пропансульфонилхлорид или n – толуолсульфонилхлорид.
Пример 20.
В грушевидную колбу объемом 100 мл для приготовления раствора помещают 0,4 г (1,1 ммоля) 4-метоксиимино-5-метил-6-(1-этил-5- гидроксипиразол-4-ил)карбонилтиохроман-1,1-диоксида и 10 мл метиленхлорида. Затем добавляют 0,14 г триэтиламина и раствор 0,10 г (1,3 ммоля) ацетилхлорида в 5 мл метиленхлорида. Полученную смесь оставляют перемешиваться при комнатной температуре в течение 4 часов. По окончании реакции добавляют 10 мл воды и слой метиленхлорида отделяют, промывают насыщенным водным раствором хлорида натрия и сушат безводным сульфатом натрия. Затем метиленхлорид отгоняют при пониженном давлении. Полученное маслянистое вещество очищают на колонке с силикагелем. В качестве элюента используют смесь этилацетата с н-гексаном.
По описанной выше методике получают 4-метоксиимино-5-метил- 6-(1-этил-5-ацетоксипиразол-4-ил)карбонилтиохроман-1,1-диоксид (соединение 20).
Примеры 21-24.
Соединения 21-24 получают по методике Примера 20, за исключением того, что ацетилхлорид заменяют на хлорангидрид пропионовой кислоты, хлорангидрид н-масляной кислоты, хлорангидрид н-валериановой кислоты и н-гептаноилхлорид.
Пример 25.
Соединение 25 получают по методике, описанной в Примере 20, за исключением того, что исходное соединение заменяют на 4- метоксиимино-5,8-диметил-6-(1-этил-5-гидроксипиразол-4- ил)карбонилтиохроман-1,1-диоксид и в качестве реакционного реагента используют хлорангидрид н-масляной кислоты.
Пример 26.
К 10 мл ацетона добавляют 0,4 г (1,1 ммоля) 4-метоксиимино- 5-метил-6-(1-этил-5-гидроксипиразол-4-ил)карбонилтиохроман-1,1- диоксида, 0,23 r (1,2 ммоля) фенацилбромида и 0,15 г карбоната калия. Полученную смесь перемешивают при нагревании в течение 8 часов. Нерастворимые вещества отфильтровывают и упаривают ацетон. Остаток растворяют в этилацетате и полученный раствор промывают насыщенным водным раствором хлорида натрия и сушат безводным сульфатом натрия. Этилацетат отгоняют при пониженном давлении и остаток подвергают колоночной хроматографии (элюент гексан/этилацетат), получают требуемый 4-метоксиимино-5-метил-6- (1-этил-5-фенацилоксипиразол-4-ил)-карбонилтиохроман-1,1-диоксид (соединение 26), выход 52%.
Пример 27.
Соединение 27 получают по методике, описанной в Примере 26, за исключением того, что фенацетилбромид заменяют на хлорацетон.
Примеры 28 и 29.
Соединения 28 и 29 получают по методике, описанной в Примере 26, за исключением того, что исходное соединение заменяют на 4- метоксиимино-5,8-диметил-6-(1-этил-5-гидрокси-пиразол-4- ил)карбонилтиохроман-1,1-диоксид и в качестве реакционных реагентов используют фенацилбромид и бензилбромид.
Примеры 30 и 31.
4-Этоксиимино-5-метил-6-(1-этил-5-н-пропансульфонилокси- пиразол-4-ил)карбонилтиохроман-1,1-диоксид (соединение 30) и 4- этоксиимино-5-метил-6-(1-этил-5-n-толуолсульфонилоксипиразол-4- ил)карбонилтиохроман-1,1-диоксид (соединение 31) получают соответственно с выходами 52% и 37% по методике, описанной в Примере 1, за исключением того, что исходное соединение заменяют на 4-этоксиимино-5-метил-6-(1-этил-5-гидрокси-пиразол-4- ил)карбонилтиохроман-1,1-диоксид и в качестве реакционных реагентов используют н-пропансульфонилхлорид и n- толуолсульфонилхлорид.
Пример 32.
4-этоксиимино-5-метил-6-(1-этил-5-фенацилоксипиразол-4- ил)-карбонилтиохроман-1,1-диоксид (соединение 32) получают с выходом 28% по методике, описанной в примере 26, за исключением того, что исходное соединение заменяют на 4-этоксиимино-5-метил- 6-(1-этил-5-гидроксипиразол-4-ил)карбонилтиохромат-1,1-диоксид и в качестве реакционного реагента используют фенацилбромид.
Пример 33.
4-этоксиимино-5-метил-6-(1-этил-5-циклогексанкарбонилоксипиразол-4-ил) карбонилтиохроман-1,1-диоксид (соединение 33) получают с выходом 50% по методике, описанной в Примере 20, за исключением того, что исходное соединение заменяют на 4-этоксиимино-5-метил-6- (1-этил-5-гидроксипиразол-4-ил)карбонилтиохроман-1,1-диоксид и в качестве реакционного реагента используют циклогексанкарбонилхлорид.
В таблицах 1-8 приведены исходные соединения, реакционные реагенты, структуры и выходы соединений, полученных в примерах 1- 33, в таблицах 9-17 приведены физические свойства полученных соединений.
Примеры получения соединения (XI) настоящего изобретения.
Пример 51.
В качестве исходного соединения (XIH) используют 4-метокcи-5-метил-6-(1-этил-5-гидроксипиразол-4-ид) карбонилтиохроман-1,1-диоксид. В 4 мл метиленхлорида растворяют 0,40 г (1,1 ммоля) названного соединения, добавляют 0,22 г (2,2 ммоля) триэтиламина в качестве основания и 0,17 г (2,2 ммоля) ацетилхлорида в качестве реакционного реагента (XII). Полученную смесь выдерживают при комнатной температуре в течение 8 часов. К реакционной смеси добавляют насыщенный водный раствор карбоната натрия, реакционную смесь экстрагируют этилацетатом, органический слой сушат безводным сульфатом натрия. Растворитель отгоняют при пониженном давлении и полученное масло очищают быстрой колоночной хроматографией (Wako Gel С-300, элюент гексан/этилацетат = 1: 2), получают 0,33 г (выход 73%) 4-метокси-5-метил-6-(1-этил-5-ацетоксипиразол-4- ил)карбонилтиохроман-1,1-диоксида (соединение 51) в качестве конечного соединения общей формулы (XI). В таблице 18 приведены структуры исходных соединений (XIH), реакционных реагентов (XII) и структуры и выходы конечных продуктов (XI).
Примеры 52-58.
Соединения 52-58, представленные в таблицах 18 и 19, получены по методике, описанной в Примере 51, за исключением того, что реакционный реагент ацетилхлорид (XII) заменяют на реакционные реагенты, приведенные в таблицах 18 и 19, а в качестве исходных соединений (XIH) используют исходные соединения, приведенные в таблицах 18 и 19.
Пример 59.
В качестве исходного соединения (XIH) используют 4-метокси-5-метил-6-(1-этил-5-гидроксипиразол-4-ил)карбонилтиохроман-1,1-диоксид. В 10 мл метилэтилкетона растворяют 0,4 г (1,10 ммоля) названного соединения и 0,15 г (1,10 ммоля) бромацетона в качестве реакционного реагента (XII) и добавляют 0,30 г (2,20 ммоля) карбоната калия в качестве основания. Полученную смесь кипятят в течение 3 часов. К реакционной смеси добавляют воду и экстрагируют этилацетатом. Органический слой отделяют, сушат безводным сульфатом натрия. Затем растворитель отгоняют при пониженном давлении и полученное масло очищают быстрой колоночной хроматографией (Wako Gel C-300, элюент гексан/этилацетат 1: 2), получают 0,29 г (выход 63%) 4-метокси-5-метил-6-(5- ацетилметилокси-1-этилпиразол-4-ил)карбонилтиохроман-1,1-диоксида (соединение 59) в качестве конечного соединения общей формулы (XI). В таблице 20 приведены структуры исходных соединений (XIH), реакционных реагентов (XII) и структуры и выходы конечных продуктов (XI).
Примеры 60-61.
Соединения 60-61, представленные в таблице 20, получены по методике, описанной в Примере 59, за исключением того, что реакционный реагент бромацетон (XII) заменяют на реакционные реагенты, приведенные в таблице 20, а в качестве исходных соединений (XIH) используют исходные соединения, приведенные в таблице 20.
Пример 62.
В качестве исходного соединения (XIH) используют 4-метокси-5-метил-6-(1-этил-5-гидроксипиразол-4-ил)карбонилтиохроман-1,1- диоксид. В 5 мл ацетона растворяют 0,4 г (1,10 ммоля) названного соединения и добавляют 0,21 г (1,21 ммоля) бензилбромида в качестве реакционного реагента (XII) и 0,15 г (1,10 ммоля) карбоната калия в качестве основания. Полученную смесь кипятят в течение 3 часов. К реакционной смеси добавляют воду и экстрагируют этилацетатом. Органический слой отделяют, сушат безводным сульфатом натрия. Затем растворитель отгоняют при пониженном давлении и полученное масло очищают быстрой колоночной хроматографией (Wako Gel C-300, элюент гексан/этилацетат = 2:3), получают 0,37 г (выход 74%) 4-метокси-5-метил-6-(5-бензилокси-1- этилпиразол-4-ил)карбонилтиохроман-1,1-диоксида (соединение 62) в качестве конечного соединения общей формулы (XI). В таблице 21 приведена структура исходного соединения (XIH), реакционного реагента (XII) и структура и выход конечного продукта (XI).
Пример 63.
B качестве исходного соединения (XIH) используют 4-метокси-5-метил-6-(1-этил-5-гидроксипиразол-4-ил)карбонилтиохроман-1,1- диоксид. В 6 мл метиленхлорида растворяют 0,40 г (1,1 ммоля) названного соединения, добавляют раствор 0,30 г (2,20 ммоля) карбоната калия в 4 мл воды в качестве основания, 0,29 г (1,30 ммоля) n-нитробензолсульфонилхлорида и 0,05 г (0,20 ммоля) триэтиламмонийбензилхлорида в качестве реакционных реагентов (XII). Полученную смесь выдерживают при комнатной температуре а течение 2 часов. Затем реакционную смесь кипятят с обратным холодильником в течение 2 часов. После охлаждения смеси слой метиленхлорида отделяют и сушат над безводным сульфатом натрия. Затем растворитель отгоняют при пониженном давлении и полученное масло очищают быстрой колоночной хроматографией, получают 0,42 г (выход 70%) 4-метокси-5-метил-6-(1-этил-5-(n-нитробензолсульфонил) оксипиразол-4-ил)карбонилтиохроман-1,1- диоксида (соединение 63) в качестве конечного соединения общей формулы (XI). В таблице 22 приведены структуры исходных соединений (XIH), реакционных реагентов (XII) и структуры и выход конечных продуктов (XI).
Примеры 64-65.
Соединения 64-65, представленные в таблице 22, получены по методике, описанной в Примере 63, за исключением того, что реакционный реагент n-нитробензолсульфонилхлорид (XII) заменяют на реакционные реагенты, приведенные в таблице 22.
В таблицах 23, 24 и 25 приведены спектры ЯМР и ИК-спектры соединений 51-65, полученных в примерах 51-65.
Примеры гербицидов.
(1) Приготовление гербицидов, содержащих пиразольное соединение формулы (1).
Для приготовления носителя для смачивающегося порошка растирают до однородного состояния и смешивают 97 мас.ч. талька (торговое название: Zeaklite) в качестве носителя, 1,5 мас.ч. алкиларилсульфоновой кислоты (торговое название: neoplex, поставляется Као-atlas К.К.) в качестве поверхностно-активного вещества и 1,5 мас.ч. неионного и анионного поверхностно-активного вещества (торговое название: Sorpol 800A, поставляется Joho Chemical Со., ZTd).
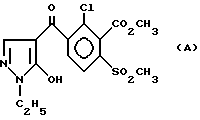
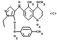
Для получения гербицида растирают до однородного состояния и смешивают 90 мас. ч. вышеописанного носителя и 10 мас.ч. одного из соединений формулы (I) настоящего изобретения, полученных в приведенных выше примерах (соединения 1-33) (или 10 мас.ч. одного из следующих соединений A, B и C (соединение A: соединение 35 в JP-A-2-173; соединение В: соединение 1 в JP-A- 63-122627; соединение C: соединение 66 в РСТ/JP 93/00274 (WO 93/18031) в качестве сравнительных примеров).
![]() ![]() ![]() (2) Биологические испытания (довсходовая обработка затопляемой почвы). Фарфоровый сосуд на 1/15500 ар (1/155 га) заполняют почвой затопляемого поля и в поверхностный слой почвы высевают семена петушьего проса и сыти длинной, а затем высаживают рис-падди в стадии двух листьев. Готовят разбавленный раствор заранее рассчитанного количества гербицида, полученного в примере (I), равномерно разбрызгивают на поверхность воды в период прорастания сорняков и выдерживают сосуд в теплице при соответствующем орошении водой. Через 20 дней после обработки раствором гербицида оценивают эффективность гербицида и его фитотоксичность в отношении растений риса-падди. Полученные результаты представлены в Таблицах 26-29. Доза гербицида соответствует количеству активного ингредиента на 10 ар. Кроме того, определяют вес высушенных на воздухе растений и гербицидную активность и фитотоксичность для риса-падди оценивают следующим образом. Отношение веса оставшихся растений к весу необработанных растений: (вес растений, оставшихся в обработанном сосуде/вес растений, оставшихся в необработанном сосуде) 100.
Гербицидная активность – Отношение веса оставшихся растений к весу необработанных растений, %0 – 81-100 1 – 61-80 2 – 41-60 3 – 23-40 4 – 1-20 5 – 0 Фитотоксичность для риса-падди – Отношение веса оставшихся растений к весу необработанных растений,% 0 – 100 1 – 95-99 2 – 90-94 3 – 80-89 4 – 0-79 (3) Биологические испытания (обработка суходольной почвы). Семена сорняков, таких как росичка кровяная, петушье просо, щетинник зеленый, дурнишник, канатник Теофраста и ширица, а также семена кукурузы, высевают в сосуды Вагнера на 1/5000 ар (1/50 га), заполненные суходольной почвой, и покрывают этой почвой. Затем заранее рассчитанное количество гербицида, полученного в примере (1), суспендируют в воде и полученной суспензией равномерно опрыскивают поверхность почвы. Семена проращивают в теплице и через 20 дней после обработки оценивают эффективность гербицида и его фитотоксичность для кукурузы. Полученные результаты представлены в таблицах 30 и 31. Доза гербицида выражена в виде количества активного ингредиента на 10 ар. Кроме того, определяют вес высушенных на воздухе растений и гербицидную активность и фитотоксичность для кукурузы оценивают следующим образом. Отношение веса оставшихся растений к весу необработанных растений: (вес растений, оставшихся в обработанном сосуде/вес растений, оставшихся в необработанном сосуде) 100.
Гербицидная активность – Отношение веса оставшихся растений к весу необработанный растений, %0 – 81-100 1 – 61-80 2 – 41-60 3 – 21-40 4 – 1-20 5 – 0 Фитотоксичность для кукурузы – Отношение веса оставшихся растений к весу необработанный растений, % 0 – 100 1 – 95-99 2 – 90-94 3 – 80-89 4 – 0-79 Из результатов, представленных в Таблицах 26-31, очевидно, что гербициды, содержащие производные пиразола формулы (I), предлагаемые настоящим изобретением, в низких дозах могут уничтожать широкий спектр сорняков на затопляемых полях и на суходольных полях, не оказывая фитотоксического действия на растения риса и кукурузы. (II). Приготовление гербицидов, содержащих пиразольное соединение формулы (XI). Для приготовления носителя для смачивающегося порошка растирают до однородного состояния и смешивают 97 мас.ч. талька (торговое название: Zeaklite) в качестве носителя, 1,5 мас.ч. алкиларилсульфоновой кислоты (торговое название: Neoplex, поставляется Као-atlas K.К.) в качестве поверхностно-активного вещества и 1,5 мас.ч. неионного и анионного поверхностно-активного вещества (торговое название: Sorpol 800A, поставляется Joho Chemical Co., Ztd.). Для получения гербицида растирают до однородного состояния и смешивают 90 мас.ч. описанного носителя и 10 мас.ч. одного из соединений формулы (XI) настоящего изобретения, полученных в приведенных выше примерах (или 10 мас. ч. соединения (C) в качестве сравнительного гербицида). Соединение (C), используемое в качестве сравнительного гербицида, является соединением 66 в заявке PCT/JP 93/00274 (WO 93/18031) и имеет следующую структуру. ![]() (12) Биологические испытания (обработка затопляемой почвы). Фарфоровый сосуд на 1/15500 ар (1/155 га) заполняют почвой затопляемого поля и в поверхностный слой почвы высевают семена петушьего проса и сыти длинной, а затем высаживают рис-падди в стадии 2,5 листьев. Готовят разбавленный раствор заранее рассчитанного количества гербицида, полученного в примере (11), и равномерно разбрызгивают на поверхность воды в период прорастания сорняков и выдерживают сосуд в теплице при соответствующем орошении водой. Через 20 дней после обработки раствором гербицида оценивают эффективность гербицида и его фитотоксичность в отношении растений риса-падди. Полученные результаты представлены в Таблице 32. Доза гербицида выражена в виде количества активного ингредиента на 10 ар. Кроме того, определяют вес высушенных на воздухе растений и гербицидную активность и фитотоксичность для риса-падди оценивают следующим образом. Гербицидная активность – Отношение веса оставшихся растений к весу необработанных растений, % 0 – 81-100 1 – 61-80 2 – 41-60 3 – 21-40 4 – 1-20 5 – 0 Фитотоксичность для риса-падди – Отношение веса оставшихся растений к весу необработанных растений, % 0 – 100 1 – 95-99 2 – 90-94 3 – 80-89 4 – 0-79 Отношение веса оставшихся растений к весу необработанных растений: (вес растений, оставшихся в обработанном сосуде/вес растений, оставшихся в необработанном сосуде) 100.
Из результатов, представленных в таблице 32, очевидно, что соединения настоящего изобретения в низких дозах могут полностью уничтожать петушье просо и сыть длинную, не оказывая фитотокcического действия на растения риса.
Для справочных целей ниже приводится пример получения исходного соединения для синтеза соединений формулы (I) настоящего изобретения.
Пример получения исходного соединения.
Получение 4-метоксиимино-5-метил-6-(1-этил-5-гидроксипиразол-4-ил) карбонилтиохроман-1,1-диоксида (см. фиг.4).
(1) В смеси растворителей, состоящей из 10 мл этанола и 10 мл пиридина, в течение 30 минут кипятят 3,0 г (12 ммолей) 5-метил-6- бромтиохроман-4-она и 1,9 г (23 ммоля) гидрохлорида 0-метилгидроксамина. Растворители отгоняют при пониженном давлении, добавляют 50 мл 5% соляной кислоты и полученное твердое вещество отфильтровывают, промывают водой и затем сушат, получают 3,2 r (выход 93%) 4-метоксиимино-5-метил-6-бромтиохромана.
(2) В 10 мл ТГФ диспергируют 1,1 г (46 ммолей) магния и по каплям в атмосфере азота добавляют 2,2 г (20 ммолей) этилбромида. Через 10 минут при комнатной температуре медленно добавляют раствор в ТГФ 2,9 г (10 ммолей) 4-метоксиимино-5-метил-6-бромтиохромана, полученного на стадии (1). Полученную смесь кипятят в течение 3 часов и затем охлаждают до комнатной температуры и в течение часа барботируют двуокись углерода. К реакционной смеси добавляют 5%-ную соляную кислоту и экстрагируют эфиром. Эфирный слой экстрагируют 5%-ным водным раствором карбоната калия, водный слой нейтрализуют концентрированной соляной кислотой. Нейтрализованный продукт экстрагируют этилацетатом и экстракт промывают насыщенным водным раствором хлорида натрия. Промытый экстракт сушат сульфатом натрия и затем упаривают растворитель, получают 1,6 г (выход 63%) 4- метоксиимино-5-метилтиохроман-6-карбоновую кислоту.
(3) Полученную на стадии (2) 4-метоксиимино-5-метилтиохроман-6- карбоновую кислоту (1,9 г, 4,0 ммоля) обрабатывают 1,3 г (12 ммолей) 30%-ного водного раствора перекиси водорода в 5 мл уксусной кислоты при 100oC в течение 1 часа. Затем к реакционной смеси добавляют этилацетат и полученную смесь промывают насыщенным водным раствором хлорида натрия и сушат сульфатом натрия. Растворитель упаривают, получают 1,1 г (97%) 1,1-диоксид 4- метоксиимино-5-метилтиохроман-6-карбоновой кислоты.
(4) Растворяют 0,9 г (3,2 ммоля) 1,1-диоксида 4-метоксиимино-5- метилтиохроман-6-карбоновой кислоты в 5 мл трет.-амилового спирта и при комнатной температуре добавляют 0,81 г (3,9 ммоля) ДЦК (дициклогексилкарбодиимид). Полученную смесь перемешивают при комнатной температуре в течение 2 часов и затем добавляют 0,74 г (5,4 ммоля) карбоната калия в течение 8 часов при температуре 90oC. По окончании реакции растворитель упаривают, добавляют этилацетат и экстрагируют 5%-ным водным раствором карбоната калия. Водный слой нейтрализуют концентрированной соляной кислотой и экстрагируют этилацетатом. Экстракт промывают насыщенным водным раствором гидроксида натрия, сушат сульфатом натрия и упаривают. Получают 0,88 г (выход 72%) 4-метоксиимино-5-метил-6-(1-этил-5- гидроксипиразол-4-ил) карбонилтиохроман-1,1-диоксид.
Спектр ПМР полученного соединения (ДМСО- d6, внутренний стандарт – тетраметилсилан, м.д.):1.28 (3H, т), 2.58 (2Н, с), 3.1-3.7 (4Н, м), 4.02 (3H, с), 3.0-4.2 (2Н, м), 7.5-8.0 (2Н, м), 7.82 (1Н, с). Как указывалось выше, настоящее изобретение предлагает производные пиразола и гербицид, содержащий эти производные в качестве активного ингредиента, которые не фитотоксичны для риса-падди и кукурузы и в низких дозах уничтожают широкий спектр сорняков на затопляемых рисовых полях и на суходольных полях. Формула изобретения
![]() где заместитель R1 представляет собой C1-C6-алкильную группу; каждый из заместителей R2, X1 и X2 независимо друг от друга представляет собой C1-C4-алкильную группу; заместитель R3 представляет собой атом водорода или C1-C4-алкильную группу; m принимает значения 0 или 1; заместитель R4 представляет собой C1-C4-алкильную группу или группу формулы ![]() где Y представляет собой атом галогена, C1-C4-алкоксигруппу или C1-C4-алкильную группу; n принимает целые значения от 0 до 3; группа A1 представляет собой -S(O)2-, или ![]() где каждый из заместителей R5 или R6 представляет собой атом водорода, а p равняется 0 или принимает целые значения от 1 до 4. 2. Производное пиразола по п.1, где заместитель R1 представляет собой C1-C4-алкильную группу. 3. Производное пиразола по п.2, где заместитель R1 представляет собой метил или этил. 4. Производное пиразола по п.1, где каждый из заместителей R2, X1 и X2 независимо друг от друга представляют собой метил или этил. 5. Производное пиразола по п.1, где заместитель R3 представляет собой атом водорода или метил. 6. Производное пиразола по п.1, где, когда m принимает значения I, заместитель X2 находится в положении 8 тиохроманового кольца. 7. Производное пиразола по п.1, где заместитель R4 представляет собой C1-C4-алкильную группу. 8. Производное пиразола по п.1, где заместитель R4 представляет собой группу формулы ![]() где заместитель Y представляет собой атом хлора, фтора, метильную или метоксигруппу. 9. Производные пиразола по п.1, где формула ![]() представляет собой -(CH2)-. 10. Гербицид, содержащий активный компонент в эффективном количестве, отличающийся тем, что в качестве указанного активного компонента содержит соединение по любому из пп.1 – 9. 11. Производное пиразола формулы XI ![]() где заместитель R11 представляет собой C1-C6-алкильную группу, каждый из заместителей R12, R13, R14 и R15 независимо друг от друга представляет собой атом водорода или C1-C4-алкильную группу; заместитель R16 представляет собой C1-C4-алкильную группу; заместитель R17 представляет собой атом водорода или C1-C4-алкильную группу; заместитель X3 представляет собой C1-C4-алкильную группу или атом галогена; p принимает целые значения от 0 до 2; n принимает целые значения или 2; фрагмент A2 выбирают из числа групп, формул и -CR18R19,где каждый из заместителей R18 и R19 независимо друг от друга представляют собой атом водорода; k определяет число метиленовых цепочек и принимает значения от 0 до 3, фрагмент B выбирается из C1-C12-алкильной группы, циклоалкильной группы и группы формулы ![]() где заместитель Y представляет собой атом водорода, C1-C4-алкильную группу, C1-C4-алкоксигруппу, C1-C4-галогеналкильную группу, нитрогруппу или атом галогена; m принимает целые значения 1 или 2]. 12. Производное пиразола по п.11, где заместитель R11 в общей формуле XI представляет собой C1-C4-алкильную группу. 13. Производные пиразола по п.11, каждый из заместителей R12, R13, R14 и R15 в формуле XI независимо друг от друга представляют собой атом водорода. 14. Производное пиразола по п.11, где заместитель R16 в общей формуле XI представляет собой метил или этил. 15. Производное пиразола по п.11, где заместитель R17 в общей формуле XI представляет собой метил или этил. 16. Производное пиразола по п.11, где в общей формуле XI заместитель X3 представляет собой C1-C4-алкильную группу, а p определяет число заместителей X3 и принимает значения 1 или 2. 17. Производное пиразола по п.11, где в общей формуле XI n определяет число атомов кислорода, связанных с атомом серы, и равняется 2. 18. Производное пиразола по п.11, где в общей формуле XI фрагмента A2 представляет собой группу формулы ![]() где k принимает значения 0 или 1; фрагмент B представляет собой C1-C12-алкильную группу, циклоалкильную группу или замещенную атомом галогена или незамещенную фенильную группу. 19. Производное пиразола по п.11, где в общей формуле XI фрагмента A2 представляет собой группу -CR18R19, где каждый из заместителей R18 и R19 представляет собой атом водорода, а фрагмент B представляет собой фенильную группу. 20. Гербицид, содержащий активный компонент в эффективном количестве, отличающийся тем, что в качестве указанного активного компонента содержит соединение по любому из пп.11 – 19. 21. Производное пиразола, выбранное из группы следующих соединений: 4-метоксиимино-5-метил-6-(1-этил-5-гидроксипиразол-4-ил)карбонилтиохроман-1,1-диоксид, 4-метоксиимино-5,8-диметил-6-(1-этил-5-гидроксипиразол-4-ил)карбонилтиохроман-1,1-диоксид, 4-метоксиимино-5,8-диметил-6-(1,3-диметил-5-гидроксипиразол-4-ил)карбоксилтиохроман-1,1-диоксид, 4-этоксимино-5-метил-6-(1-этил-5-гидроксипиразол-4-ил)карбонилтиохроман-1,1-диоксид. Приоритет по пунктам и признакам: 09.11.93 – при R1-C1-C6алкил; каждый из R2, X1, X2 – независимо представляет C1-C4алкил; R3-атом водорода или C1-C4алкил, m = 0 или 1; R4-C1-C4алкил или группа формулы где Y-атом галогена или C1-C4алкил и n-0,1 или 2; A1-SO2 и по п.10.
17.05.94 – по пп.11 – 21.
27.05.94 – при п= 3; A1-группа![]() или где R5 и R6-атом водорода; p=0 – 4, и по п.10.
РИСУНКИ
MM4A Досрочное прекращение действия патента Российской Федерации на изобретение из-за неуплаты в установленный срок пошлины за поддержание патента в силе
Дата прекращения действия патента: 09.11.2002
Извещение опубликовано: 20.11.2004 БИ: 32/2004
|
||||||||||||||||||||||||||

где Y – атом галогена, С1-С4алкокси или С1-С4алкил; n равно от 0 до 3; R5 – A-группа-S(O)2-, -С-; -СН2-С- или (-C-), где R5 или R6-атом водорода, а p равно от 1 до 4, и соединения общей формулы II, где R11, R12, R13, R14, R15, R16, R17, X3, A2, В, n и p имеют указанные в п.11 формулы изобретения значения. Эти соединения используются в качестве гербицида. Производные пиразола общей I селективны в отношении риса-падди и кукурузы и в низких дозах уничтожают широкий спектр сорняков на затопляемых и суходольных полях. Производные пиразола общей формулы (II) не обладают фитотоксическим действием на растения риса-падди и в низких дозах уничтожают широкий спектр сорняков на суходольных полях и на рисовых затопляемых полях, особенно петушье просо и сыть длинную. 5 с. и 16 з.п.ф-лы, 32 табл., 5 ил.







Y представляет собой атом галогена, нитро-группу, C1-C4-алкокси-группу или C1-C4-алкильную группу. К атомам галогена относятся атомы фтора, хлора, брома и иода. К C1-C4-алкильным группам относятся группы, описанные выше для заместителей R2. Заместитель Y предпочтительно представляет собой атом хлора, фтора, нитро-группу, метил или метокси-группу.
n определяет число заместителей Y и принимает целые значения от 1 до 3.
Фрагмент A1 представляет собой – S(O)2-,
или 


и CR18R19.
В приведенных выше формулах, определяющих значение фрагмента A2, заместители R18 и R19 независимо друг от друга представляют собой атом водорода или C1-C4-алкильную группу, при этом C1-C4-алкильная группа принимает значения, описанные выше для заместителей R12-R16. Предпочтительно, когда заместители R18 и R19 представляют собой атом водорода.
Кроме того, “k” определяет число метиленовых цепочек и принимает значения от 0 до 3, предпочтительно 0 или 1. Когда k=0, метиленовый фрагмент отсутствует, что означает, что фрагмент A2 представляет собой карбонил.
Фрагмент В выбирается из числа C1-C12-алкильной группы, циклоалкильной группы и группы формулы
“k” предпочтительно принимает значения 0 или 1, и фрагмент В представляет собой С1-C12-алкильную группу, циклоалкильную группу или галогензамещенную или незамещенную галогеном фенильную группу.
Когда фрагмент A2 представляет собой -CR18R19, заместители R18 и R19 предпочтительно представляют собой атом водорода, а фрагмент В – фенильную группу.
Производное пиразола общей формулы (XI) содержит асимметричные атомы углерода и может существовать в виде различных изомеров, и производные пиразола в соответствии с настоящим изобретением включают все изомеры и смеси этих изомеров.
Гербицид настоящего изобретения в качестве активного ингредиента содержит по меньшей мере одно соединение, выбираемое из новых производных пиразола формулы (I) и новых производных пиразола формулы (XI), которые предлагаются настоящим изобретением. Эти соединения смешиваются с жидким носителем, таким как растворитель, или с твердым носителем, таким как тонко измельченный минеральный порошок, и используются в виде смачивающегося порошка, эмульгирующегося концентрата, дуста или гранул. Для достижения эмульгирования, диспергирования и хорошего распределения активных соединений в указанные препаративные формы добавляют поверхностно-активное вещество (ПАВ).
Когда гербицид в соответствии с настоящим изобретением используется в виде смачивающегося порошка, то при получении соответствующей композиции обычно смешивают 10-55 мас. % производного пиразола, 40-88 мас.% твердого носителя и 2-5 мас.% ПАВ.
Когда гербицид настоящего изобретения используется в виде эмульгирующегося концентрата, то последний получают при смешении 20-50 мас.% производного пиразола, 35-75 мас.% растворителя и 5- 15 мас.% ПАВ.
Когда гербицид настоящего изобретения используется в виде дуста, то дуст получают путем смешивания 1-15 мас.% производного пиразола, 80-97 мас.% твердого носителя и 2-5 мас.% ПАВ.
Кроме того, гербицид настоящего изобретения может быть использован в виде гранул. Гранулы обычно получают путем смешения 1-15 мас.% производного пиразола, 90-97 мас.% твердого носителя и 2-5 мас.% ПАВ.
Указанный твердый носитель выбирается из числа минеральных порошков. Примерами таких минеральных порошков являются оксиды, например диатомовая земля и гашеная известь, фосфаты, такие как апатит, сульфаты, например гипс, и силикаты, такие как тальк, пирофиллит, глина, каолин, бентонит, кислый сульфат кальция, белая сажа, порошкообразный кварц и порошкообразная двуокись кремния.
Растворитель выбирается из числа органических растворителей и примерами таких растворителей являются ароматические углеводороды, такие как бензол, толуол и ксилол, хлорированные углеводороды, такие как о-хлортолуол, трихлорэтан и трихлорэтилен, спирты, такие как циклогексанол, амиловый спирт и этиленгликоль, кетоны, такие как изофорон, циклогексанон и циклогексенил-циклогексанон, простые эфиры, такие как бутил-целлозольв, диэтиловый эфир и метилэтиловый эфир, сложные эфиры, такие как изопропилацетат, бензилацетат и метилфталат, амиды, такие как диметилформамид, а также их смеси.
Поверхностно-активные вещества выбираются из числа анионных, неионных, катионных и амфотерных ПАВ (аминокислота и бетаин).
Гербицид настоящего изобретения в дополнение к производному пиразола общей формулы (I) и/или общей формулы (XI) может содержать в качестве активного соединения другие соединения, обладающие гербицидной активностью. “Другими”, обладающими гербицидной активностью, соединениями являются известные гербициды, например, гербициды из числа фенокси-производных, дифениловых эфиров, триазинов, мочевин, карбаматов, тиолкарбаматов, анилидов кислот, производных пиразола, производных фосфорной кислоты, сульфонилмочевин, оксадиазонов. “Другие” гербицидные соединения выбираются соответствующим образом из приведенных выше гербицидов.
Гербицид настоящего изобретения может быть использован в смеси с другими пестицидами, фунгицидами, регуляторами роста растений, удобрениями и т.д.
Новые производные пиразола в соответствии с настоящим изобретением могут быть получены с помощью метода, представленного на фиг.1 (где X1, X2, R1, R2, R3, R4, m, n, p, A1, R5 и R6 принимают определенные ранее значения, a “Hal” соответствует атому галогена).
В соответствии с этим методом предпочтительное мольное отношение реагента формулы (III) к исходному соединению формулы (II) составляет от 1:1 до 1: 3. Для поглощения галогенида водорода, образующегося в качестве побочного продукта реакции, предпочтительно использовать основание, например карбонат натрия, карбонат калия, триэтиламин или пиридин, в мольных количествах или немного выше по отношению к исходному соединению формулы (II). Температура реакции предпочтительно лежит между комнатной температурой и температурой кипения используемого растворителя. В качестве растворителя для проведения этой реакции выбирают ароматические углеводороды, например бензол или толуол, простые эфиры, например диэтиловый эфир, или галогенированные углеводороды, например метиленхлорид или хлороформ.
Можно использовать также двухфазную систему растворителей, состоящую из названных выше растворителей и воды. В этом случае положительный эффект может быть достигнут, если к реакционной смеси добавить катализатор межфазного переноса, например краун-эфир или триэтиламмонийбензилхлорид.
Соединение формулы (II), используемое в качестве исходного материала в схеме, представленной на фиг.1, может быть получено по схеме фиг. 2.
То есть, соединение формулы (II) получают при взаимодействии соединения формулы (IX) с соединением формулы (IV) в инертном растворителе в присутствии дегидратирующего агента, такого как N, N’-дициклогексилкарбодиимид (ДЦК, DCC), и основания.
В соответствии с этим способом предпочтительно использовать соединение формулы (IX) в количестве от 0,1 до 3,0 молей на моль соединения формулы (IV). Предпочтительное количество ДЦК составляет 1,0-1,5 моля на моль соединения формулы (IV).
Основание, которое используется вместе с ДЦК, не ограничивается специально, однако предпочтительно использовать карбонат калия или карбонат натрия в количестве от 0,5 до 2,0 молей на моль соединения формулы (IV). В качестве растворителя может быть использован любой инертный растворитель, но предпочтительными растворителями являются трет.-бутиловый спирт, трет.-амиловый спирт и изопропиловый спирт. Температура реакции лежит в интервале от комнатной температуры до температуры кипения растворителя, однако предпочтительной является температура 50 – 100oC.
Пиразол формулы (IX), используемый в качестве реагента в рассмотренном выше способе, может быть получен, например, по методике, описанной в патенте JP-A-61-257974.
Кроме того, соединение формулы (IV), используемое в качестве исходного соединения в способе, описанном на фиг.2, может быть получено методом, представленным на фиг.3.
Тиохроман-4-оны формулы (VIII), используемые в качестве исходного соединения в схеме на фиг.3, могут быть получены различными способами, например способами, описанными в патенте JP- A-58-198483, международной патентной заявке WO 088/06155, а также в работе Canadiаn Journal of Chemistry, Vol. 51, р.839 (1973).
В соответствии со схемой на фиг. 3 синтез оксима (VI) из кетона (VIII) проводят путем обработки последнего алкоксиамином (VII) в воде или в органическом растворителе (например, в этаноле, метаноле иди уксусной кислоте) в присутствии кислого катализатора (например, в присутствии соляной кислоты) или основного катализатора (например, в присутствии пиридина, гидроксида натрия или карбоната натрия) при температуре от 0oC до температуры кипения растворителя (воды или органического растворителя). Например, описанный выше синтез предпочтительно проводить в этаноле в присутствии пиридина при температуре кипения этанола. В этой реакции количество алкоксамина (VII) на моль кетона (VIII) предпочтительно составляет от 1,0 до 5,0 молей, предпочтительно от 1,0 до 2,0 мюлей.
Далее полученный оксим (VI) обрабатывают магнием (Mg) с получением реактива Гриньяра и сразу же – двуокисью углерода (CO2) с получением сульфида производного ароматической карбоновой кислоты формулы (V). В качестве растворителя предпочтительно использовать простые эфиры, такие как диэтиловый эфир или тетрагидрофуран. Температура реакции лежит в интервале от -78 до 50oC, предпочтительно от 0 до 50oC.
Для получения реактива Гриньяра предпочтительно используют от 1,0 до 5,0 молей магния на моль оксима (VI). Реакцию Гриньяра осторожно проводят в присутствии йодистого алкила, например йодистого метила, или бромистого алкила, например бромистого этила. Количество используемого алкилгалогенида в этом случае составляет предпочтительно от 0,1 до 3,0 молей на моль оксима (VI).
Реакции между реактивом Гриньяра и двуокисью углерода проводят путем продувания газообразной двуокиси углерода из баллона или двуокиси углерода, получаемой из сухого льда, в раствор реактива Гриньяра. Кроме того, сухой лед может быть непосредственно добавлен к реактиву Гриньяра.
Далее окисляют атом серы с использованием окисляющего агента в количестве по меньшей мере двух эквивалентов и получают сульфон, т.е. соединение формулы (IV). В качестве окислителя может быть использована перекись водорода.
Новые производные пиразола настоящего изобретения формулы (IX) могут быть получены в соответствии со схемой, приведенной на фиг.5 (где R11, R12, R13, R14, R15, R16, R17, R18, R19, X3, Y, k, p, m, A2 и B принимают значения, определенные выше для формулы (XI), a Hal соответствует атому галогена).
Исходное соединение формулы (XIH) взаимодействует с соединением формулы B-A2-Hal (где фрагмент B-A2– принимает значения, уже определенные для соединений общей формулы (XI) и Hal соответствуют атому галогена) в инертном растворителе в присутствии основания с образованием производного пиразола общей формулы (XI).
Мольное отношение соединения формулы (XIH) к соединению формулы (XII) составляет предпочтительно от 1:1 до 1:3, а для поглощения галогенида водорода, образующегося в качестве побочного продукта, предпочтительно использовать основание, такое как карбонат натрия, карбонат калия, триэтиламин или пиридин в эквимолярном количестве иди несколько большем из расчета на исходное соединение формулы (XIH). Температура реакции предпочтительно лежит в интервале от комнатной температуры до температуры кипения используемого растворителя. Растворитель для данной реакции выбирается из числа ароматических углеводородов, например бензола и толуола, простых эфиров, таких как диэтиловый эфир, кетонов, таких как метилэтилкетон, а также хлорированных углеводородов, таких как метиленхлорид и хлороформ. Кроме того, можно использовать двухфазную систему растворителей, состоящую из названных выше растворителей и воды. В этом случае положительный эффект может быть достигнут, если к реакционной смеси добавить катализатор межфазного переноса, например краун-эфир или триэтиламмонийбензилхлорид.
Производное пиразола формулы (XIH), используемое в качестве исходного соединения, может быть синтезировано, например, по методике, описанной в заявке WO 93/18031.
Настоящее изобретение дополнительно иллюстрируется Примерами, представленными ниже.
Примеры получения соединения (I) настоящего изобретения.
Пример 1.
В грушевидную колбу объемом 100 мл для приготовления раствора помещают 1,1 г (2,9 ммоля) 4-метоксиимино-5-метил-6-(1-этил-5- гидроксипиразол-4-ил)карбонилтиохроман-1,1-диоксида и 20 мл метиленхлорида. Затем добавляют раствор 0,14 г карбоната калия в 20 мл дистиллированной воды. Кроме того, в качестве реакционного реагента добавляют раствор 0,6 г (4,2 ммоля) н- пропансульфонилхлорида в 5 мл метиленхлорида, после чего добавляют 0,05 г триэтиламмонийбензилхлорид в качестве катализатора. Полученную смесь оставляют перемешиваться при комнатной температуре в течение 24 часов. По окончании реакции слой метиленхлорида отделяют и сушат безводным сульфатом натрия, метиленхлорид отгоняют при пониженном давлении. Полученное маслянистое вещество очищают на колонке с силикагелем. В качестве элюента используют смесь этилацетата с н-гексаном.
По описанному способу получают 4-метоксиимино-5-метил-6-(1- этил-5-н-пропансульфонилоксипиразол-4-ил)-карбонилтиохроман-1,1- диоксид (соединение 1) в виде твердого вещества в количестве 0,88 г. Выход 62%.
Пример 2.
4-Метоксиимино-5,8-диметил-6-(1-этил-5-н-пропансульфонил- оксипиразол-4-ил)-карбонилтиохроман-1,1-диоксид (соединение 2) получают с выходом 48% по методике, аналогичной методике, описанной в примере 1, за исключением того, что исходное соединение заменяют на 4-метоксиимино-5,8-диметил-6-(1-этил-5- гидроксипиразол-4-ил)карбонилтиохроман-1,1-диоксид.
Пример 3.
4-Метоксиимино-5,8-диметил-6-(1-этил-n-толуолсульфонил- оксипиразол-4-ил)карбонилтиохроман-1,1-диоксид (соединение 3) получают с выходом 42% по методике, аналогичной методике, описанной в примере 1, за исключением того, что исходное соединение заменяют на 4-метоксиимино-5,8-диметил-6-(1-этил- 5-гидроксипиразол-4-ил)карбонилтиохроман-1,1-диоксид и в качестве реакционного реагента используют n-толуолсульфонилхлорид.
Примеры 4-11.
Соединения 4-11 получают по методике Примера 1, за исключением того, что реакционный реагент н-пропансульфонилхлорид заменяют на метансульфонилхлорид, этансульфонилхлорид, н- бутансульфонилхлорид, н-октансульфонилхлорид, n-толуолсульфонилхлорид, о-толуолсульфонилхлорид, n – нитробензолсульфонилхлорид или n-метоксибензолсульфонилхлорид.
Примеры 12-17.
Соединения с 12 по 17 получают по методике Примера 1, за исключением того, что исходное соединение заменяют на 4- метоксиимино-5,8-диметил-6-(1-этил-5-гидроксипиразол-4-ил)- карбонилтиохроман-1,1-диоксид и реакционный реагент заменяют на изопропансульфонилхлорид, н-бутансульфонилхлорид, бензолсульфонилхлорид, n-хлорбензолсульфонилхлорид, n-фторбензолсульфонилхлорид или 3,4-дифторбензолсульфонилхлорид.
Примеры 18 и 19.
Соединения 18 и 19 получают по методике Примера 1, за исключением того, что исходное соединение заменяют на 4- метоксиимино-5,8-диметил-6-(1,3-диметил-5-гидроксипиразол-4- ил)карбонилтиохроман-1,1-диоксид и в качестве реакционных реагентов используют н-пропансульфонилхлорид или n – толуолсульфонилхлорид.
Пример 20.
В грушевидную колбу объемом 100 мл для приготовления раствора помещают 0,4 г (1,1 ммоля) 4-метоксиимино-5-метил-6-(1-этил-5- гидроксипиразол-4-ил)карбонилтиохроман-1,1-диоксида и 10 мл метиленхлорида. Затем добавляют 0,14 г триэтиламина и раствор 0,10 г (1,3 ммоля) ацетилхлорида в 5 мл метиленхлорида. Полученную смесь оставляют перемешиваться при комнатной температуре в течение 4 часов. По окончании реакции добавляют 10 мл воды и слой метиленхлорида отделяют, промывают насыщенным водным раствором хлорида натрия и сушат безводным сульфатом натрия. Затем метиленхлорид отгоняют при пониженном давлении. Полученное маслянистое вещество очищают на колонке с силикагелем. В качестве элюента используют смесь этилацетата с н-гексаном.
По описанной выше методике получают 4-метоксиимино-5-метил- 6-(1-этил-5-ацетоксипиразол-4-ил)карбонилтиохроман-1,1-диоксид (соединение 20).
Примеры 21-24.
Соединения 21-24 получают по методике Примера 20, за исключением того, что ацетилхлорид заменяют на хлорангидрид пропионовой кислоты, хлорангидрид н-масляной кислоты, хлорангидрид н-валериановой кислоты и н-гептаноилхлорид.
Пример 25.
Соединение 25 получают по методике, описанной в Примере 20, за исключением того, что исходное соединение заменяют на 4- метоксиимино-5,8-диметил-6-(1-этил-5-гидроксипиразол-4- ил)карбонилтиохроман-1,1-диоксид и в качестве реакционного реагента используют хлорангидрид н-масляной кислоты.
Пример 26.
К 10 мл ацетона добавляют 0,4 г (1,1 ммоля) 4-метоксиимино- 5-метил-6-(1-этил-5-гидроксипиразол-4-ил)карбонилтиохроман-1,1- диоксида, 0,23 r (1,2 ммоля) фенацилбромида и 0,15 г карбоната калия. Полученную смесь перемешивают при нагревании в течение 8 часов. Нерастворимые вещества отфильтровывают и упаривают ацетон. Остаток растворяют в этилацетате и полученный раствор промывают насыщенным водным раствором хлорида натрия и сушат безводным сульфатом натрия. Этилацетат отгоняют при пониженном давлении и остаток подвергают колоночной хроматографии (элюент гексан/этилацетат), получают требуемый 4-метоксиимино-5-метил-6- (1-этил-5-фенацилоксипиразол-4-ил)-карбонилтиохроман-1,1-диоксид (соединение 26), выход 52%.
Пример 27.
Соединение 27 получают по методике, описанной в Примере 26, за исключением того, что фенацетилбромид заменяют на хлорацетон.
Примеры 28 и 29.
Соединения 28 и 29 получают по методике, описанной в Примере 26, за исключением того, что исходное соединение заменяют на 4- метоксиимино-5,8-диметил-6-(1-этил-5-гидрокси-пиразол-4- ил)карбонилтиохроман-1,1-диоксид и в качестве реакционных реагентов используют фенацилбромид и бензилбромид.
Примеры 30 и 31.
4-Этоксиимино-5-метил-6-(1-этил-5-н-пропансульфонилокси- пиразол-4-ил)карбонилтиохроман-1,1-диоксид (соединение 30) и 4- этоксиимино-5-метил-6-(1-этил-5-n-толуолсульфонилоксипиразол-4- ил)карбонилтиохроман-1,1-диоксид (соединение 31) получают соответственно с выходами 52% и 37% по методике, описанной в Примере 1, за исключением того, что исходное соединение заменяют на 4-этоксиимино-5-метил-6-(1-этил-5-гидрокси-пиразол-4- ил)карбонилтиохроман-1,1-диоксид и в качестве реакционных реагентов используют н-пропансульфонилхлорид и n- толуолсульфонилхлорид.
Пример 32.
4-этоксиимино-5-метил-6-(1-этил-5-фенацилоксипиразол-4- ил)-карбонилтиохроман-1,1-диоксид (соединение 32) получают с выходом 28% по методике, описанной в примере 26, за исключением того, что исходное соединение заменяют на 4-этоксиимино-5-метил- 6-(1-этил-5-гидроксипиразол-4-ил)карбонилтиохромат-1,1-диоксид и в качестве реакционного реагента используют фенацилбромид.
Пример 33.
4-этоксиимино-5-метил-6-(1-этил-5-циклогексанкарбонилоксипиразол-4-ил) карбонилтиохроман-1,1-диоксид (соединение 33) получают с выходом 50% по методике, описанной в Примере 20, за исключением того, что исходное соединение заменяют на 4-этоксиимино-5-метил-6- (1-этил-5-гидроксипиразол-4-ил)карбонилтиохроман-1,1-диоксид и в качестве реакционного реагента используют циклогексанкарбонилхлорид.
В таблицах 1-8 приведены исходные соединения, реакционные реагенты, структуры и выходы соединений, полученных в примерах 1- 33, в таблицах 9-17 приведены физические свойства полученных соединений.
Примеры получения соединения (XI) настоящего изобретения.
Пример 51.
В качестве исходного соединения (XIH) используют 4-метокcи-5-метил-6-(1-этил-5-гидроксипиразол-4-ид) карбонилтиохроман-1,1-диоксид. В 4 мл метиленхлорида растворяют 0,40 г (1,1 ммоля) названного соединения, добавляют 0,22 г (2,2 ммоля) триэтиламина в качестве основания и 0,17 г (2,2 ммоля) ацетилхлорида в качестве реакционного реагента (XII). Полученную смесь выдерживают при комнатной температуре в течение 8 часов. К реакционной смеси добавляют насыщенный водный раствор карбоната натрия, реакционную смесь экстрагируют этилацетатом, органический слой сушат безводным сульфатом натрия. Растворитель отгоняют при пониженном давлении и полученное масло очищают быстрой колоночной хроматографией (Wako Gel С-300, элюент гексан/этилацетат = 1: 2), получают 0,33 г (выход 73%) 4-метокси-5-метил-6-(1-этил-5-ацетоксипиразол-4- ил)карбонилтиохроман-1,1-диоксида (соединение 51) в качестве конечного соединения общей формулы (XI). В таблице 18 приведены структуры исходных соединений (XIH), реакционных реагентов (XII) и структуры и выходы конечных продуктов (XI).
Примеры 52-58.
Соединения 52-58, представленные в таблицах 18 и 19, получены по методике, описанной в Примере 51, за исключением того, что реакционный реагент ацетилхлорид (XII) заменяют на реакционные реагенты, приведенные в таблицах 18 и 19, а в качестве исходных соединений (XIH) используют исходные соединения, приведенные в таблицах 18 и 19.
Пример 59.
В качестве исходного соединения (XIH) используют 4-метокси-5-метил-6-(1-этил-5-гидроксипиразол-4-ил)карбонилтиохроман-1,1-диоксид. В 10 мл метилэтилкетона растворяют 0,4 г (1,10 ммоля) названного соединения и 0,15 г (1,10 ммоля) бромацетона в качестве реакционного реагента (XII) и добавляют 0,30 г (2,20 ммоля) карбоната калия в качестве основания. Полученную смесь кипятят в течение 3 часов. К реакционной смеси добавляют воду и экстрагируют этилацетатом. Органический слой отделяют, сушат безводным сульфатом натрия. Затем растворитель отгоняют при пониженном давлении и полученное масло очищают быстрой колоночной хроматографией (Wako Gel C-300, элюент гексан/этилацетат 1: 2), получают 0,29 г (выход 63%) 4-метокси-5-метил-6-(5- ацетилметилокси-1-этилпиразол-4-ил)карбонилтиохроман-1,1-диоксида (соединение 59) в качестве конечного соединения общей формулы (XI). В таблице 20 приведены структуры исходных соединений (XIH), реакционных реагентов (XII) и структуры и выходы конечных продуктов (XI).
Примеры 60-61.
Соединения 60-61, представленные в таблице 20, получены по методике, описанной в Примере 59, за исключением того, что реакционный реагент бромацетон (XII) заменяют на реакционные реагенты, приведенные в таблице 20, а в качестве исходных соединений (XIH) используют исходные соединения, приведенные в таблице 20.
Пример 62.
В качестве исходного соединения (XIH) используют 4-метокси-5-метил-6-(1-этил-5-гидроксипиразол-4-ил)карбонилтиохроман-1,1- диоксид. В 5 мл ацетона растворяют 0,4 г (1,10 ммоля) названного соединения и добавляют 0,21 г (1,21 ммоля) бензилбромида в качестве реакционного реагента (XII) и 0,15 г (1,10 ммоля) карбоната калия в качестве основания. Полученную смесь кипятят в течение 3 часов. К реакционной смеси добавляют воду и экстрагируют этилацетатом. Органический слой отделяют, сушат безводным сульфатом натрия. Затем растворитель отгоняют при пониженном давлении и полученное масло очищают быстрой колоночной хроматографией (Wako Gel C-300, элюент гексан/этилацетат = 2:3), получают 0,37 г (выход 74%) 4-метокси-5-метил-6-(5-бензилокси-1- этилпиразол-4-ил)карбонилтиохроман-1,1-диоксида (соединение 62) в качестве конечного соединения общей формулы (XI). В таблице 21 приведена структура исходного соединения (XIH), реакционного реагента (XII) и структура и выход конечного продукта (XI).
Пример 63.
B качестве исходного соединения (XIH) используют 4-метокси-5-метил-6-(1-этил-5-гидроксипиразол-4-ил)карбонилтиохроман-1,1- диоксид. В 6 мл метиленхлорида растворяют 0,40 г (1,1 ммоля) названного соединения, добавляют раствор 0,30 г (2,20 ммоля) карбоната калия в 4 мл воды в качестве основания, 0,29 г (1,30 ммоля) n-нитробензолсульфонилхлорида и 0,05 г (0,20 ммоля) триэтиламмонийбензилхлорида в качестве реакционных реагентов (XII). Полученную смесь выдерживают при комнатной температуре а течение 2 часов. Затем реакционную смесь кипятят с обратным холодильником в течение 2 часов. После охлаждения смеси слой метиленхлорида отделяют и сушат над безводным сульфатом натрия. Затем растворитель отгоняют при пониженном давлении и полученное масло очищают быстрой колоночной хроматографией, получают 0,42 г (выход 70%) 4-метокси-5-метил-6-(1-этил-5-(n-нитробензолсульфонил) оксипиразол-4-ил)карбонилтиохроман-1,1- диоксида (соединение 63) в качестве конечного соединения общей формулы (XI). В таблице 22 приведены структуры исходных соединений (XIH), реакционных реагентов (XII) и структуры и выход конечных продуктов (XI).
Примеры 64-65.
Соединения 64-65, представленные в таблице 22, получены по методике, описанной в Примере 63, за исключением того, что реакционный реагент n-нитробензолсульфонилхлорид (XII) заменяют на реакционные реагенты, приведенные в таблице 22.
В таблицах 23, 24 и 25 приведены спектры ЯМР и ИК-спектры соединений 51-65, полученных в примерах 51-65.
Примеры гербицидов.
(1) Приготовление гербицидов, содержащих пиразольное соединение формулы (1).
Для приготовления носителя для смачивающегося порошка растирают до однородного состояния и смешивают 97 мас.ч. талька (торговое название: Zeaklite) в качестве носителя, 1,5 мас.ч. алкиларилсульфоновой кислоты (торговое название: neoplex, поставляется Као-atlas К.К.) в качестве поверхностно-активного вещества и 1,5 мас.ч. неионного и анионного поверхностно-активного вещества (торговое название: Sorpol 800A, поставляется Joho Chemical Со., ZTd).
Для получения гербицида растирают до однородного состояния и смешивают 90 мас. ч. вышеописанного носителя и 10 мас.ч. одного из соединений формулы (I) настоящего изобретения, полученных в приведенных выше примерах (соединения 1-33) (или 10 мас.ч. одного из следующих соединений A, B и C (соединение A: соединение 35 в JP-A-2-173; соединение В: соединение 1 в JP-A- 63-122627; соединение C: соединение 66 в РСТ/JP 93/00274 (WO 93/18031) в качестве сравнительных примеров).



100.
Гербицидная активность – Отношение веса оставшихся растений к весу необработанных растений, %
м.д.):

или 



и -CR18R19,

где Y-атом галогена или C1-C4алкил и n-0,1 или 2; A1-SO2 и по п.10.
17.05.94 – по пп.11 – 21.
27.05.94 – при п= 3; A1-группа
или
где R5 и R6-атом водорода; p=0 – 4, и по п.10.