|
(21), (22) Заявка: 2003138230/28, 31.12.2003
(24) Дата начала отсчета срока действия патента:
31.12.2003
(45) Опубликовано: 10.08.2005
(56) Список документов, цитированных в отчете о поиске:
ЛУКЬЯНЕНОК М.Ю. Определение расстояния до места однофазного замыкания на землю в воздушных электрических сетях напряжением 10 кВ: Автореферат. Минск, Белорусский национальный технический университет, 2003, с.2-22. SU 1478168 A1, 07.05.1989. RU 2143703 C1, 27.12.1999. SU 1499282 A1, 07.08.1989. WO 9708562 А2, 06.03.1997.
Адрес для переписки:
346428, Ростовская обл., г. Новочеркасск, ул. Просвещения, 132, ГОУ ВПО ЮРГТУ (НПИ), ОИС
|
(72) Автор(ы):
Левченко И.И. (RU), Засыпкин А.С. (RU), Сацук Е.И. (RU), Шовкопляс С.С. (RU)
(73) Патентообладатель(и):
Государственное образовательное учреждение высшего профессионального образования “Южно-Российский государственный технический университет (Новочеркасский политехнический институт)” (RU), Левченко Иван Иванович (RU), Засыпкин Александр Сергеевич (RU), Сацук Евгений Иванович (RU), Шовкопляс Сергей Сергеевич (RU)
|
(54) СПОСОБ ОПРЕДЕЛЕНИЯ РАССТОЯНИЯ ДО МЕСТА ОДНОФАЗНОГО ЗАМЫКАНИЯ НА ЗЕМЛЮ В ЭЛЕКТРИЧЕСКОЙ СЕТИ
(57) Реферат:
Изобретение может быть использовано для дистанционного определения расстояния до места повреждения – устойчивого однофазного замыкания на землю линии электропередачи, например, при плавке на ней гололеда постоянным или переменным током. Сущность: способ заключается в измерении и запоминании значения тока, проходящего через заземлитель, подключаемый поочередно, минимум два раза, к разным точкам сети с одной стороны линии электропередачи, на которой произошло замыкание на землю, и последующем расчете по этим значениям и известным параметрам электрической сети расстояния до места замыкания. Технический результат изобретения: снижение погрешности определения расстояния до места замыкания на землю при большом переходном сопротивлении благодаря отказу от использования параметров режима повышенной частоты. 2 з.п. ф-лы, 7 ил. 
Изобретение относится к электроэнергетике и может быть использовано для дистанционного определения расстояния до места повреждения – однофазного замыкания на землю линии электропередачи, например, при плавке на ней гололеда постоянным или переменным током.
Известен способ дистанционного двухстороннего измерения для определения расстояния до места замыкания на землю [Аржанников Е.А., Чухин А.М. Методы и приборы определения мест повреждения на линиях электропередачи. – М.: НТФ «Энергопрогресс», 1998, – 64 с., с.10-17]. Согласно этому способу при замыкании на землю измеряют и запоминают (фиксируют) значение тока замыкания на землю на двух сторонах поврежденной линии электропередачи и по двум зафиксированным значениям тока и известным параметрам электрической сети рассчитывают расстояние до места повреждения. Теоретически способ двухстороннего измерения полностью исключает влияние переходного сопротивления в месте замыкания, которое может быть различным в широком диапазоне.
Недостатком вышеописанного способа является необходимость телепередачи зафиксированных значений тока с одного конца линии электропередачи на другой для выполнения расчета расстояния до места повреждения.
Известен способ дистанционного одностороннего определения расстояния до места замыкания на землю линии электропередачи [Патент РФ на изобретение №2153179. Способ определения расстояния до места замыкания на землю линии электропередачи (Дьяков А.Ф., Левченко И.И., Аллилуев А.А., Сацук Е.И.), МПК 7 G 01 R 31/08, 2000]. Согласно этому способу при замыкании на землю линии электропередачи, на которой плавится гололед, подключают источник питания – выпрямитель и фиксируют на одной стороне линии параметры режима: значения постоянной составляющей тока и напряжения и значения составляющей повышенной частоты тока и напряжения, а по этим значениям и известным параметрам линии электропередачи рассчитывают расстояние до места повреждения. Этот способ исключает влияние переходного сопротивления и не требует телепередачи зафиксированных значений тока и напряжения.
Недостатком вышеописанного способа является необходимость использования специального оборудования для выделения составляющей повышенной частоты из тока и напряжения, а также погрешность определения расстояния до места замыкания на землю из-за погрешности учета приращения погонного активного сопротивления линии провод – земля на повышенной частоте по отношению к его значению на постоянном токе.
Известен выбранный в качестве прототипа способ определения расстояния до места однофазного замыкания на землю в электрической сети [Лукьяненок М.Ю. Определение расстояния до места однофазного замыкания на землю в воздушных электрических сетях напряжением 10 кВ. Автореферат диссертации на соискание ученой степени кандидата технических наук. – Минск: Белорусский национальный технический университет, 2003, – 22 с.], заключающийся в том, что при замыкании на землю линии электропередачи подключают источник питания повышенной частоты между линией и заземлителем, фиксируют на одной стороне линии поочередно, минимум два раза, значения параметров режима – напряжения, активной и реактивной составляющих тока, проходящего через заземлитель, при двух различных повышенных частотах, а по этим значениям и известным параметрам линии электропередачи рассчитывают расстояние до места замыкания.
Недостатком этого способа является необходимость подключения к поврежденной линии электропередачи источника питания повышенной частоты и существенная погрешность определения расстояния до места замыкания на землю при большом переходном сопротивлении, что зачастую имеет место в зимний период при плавке гололеда на линии электропередачи. В значительной мере погрешность определения расстояния до места замыкания по данному способу зависит от изменения расчетных параметров линии электропередачи на одной повышенной частоте по отношению к их значениям на другой повышенной частоте.
Задачей изобретения является создание способа определения расстояния до места однофазного замыкания на землю в электрической сети, основанного на методе односторонней фиксации параметров режима, не требующего подключения к поврежденной линии электропередачи источника питания повышенной частоты и обеспечивающего снижение погрешности определения расстояния до места замыкания на землю при большом переходном сопротивлении благодаря отказу от использования параметров режима повышенной частоты.
Поставленная задача решается с помощью способа определения расстояния до места однофазного замыкания на землю в электрической сети, заключающегося в том, что при замыкании на землю линии электропередачи измеряют и запоминают (фиксируют) на одной стороне линии электропередачи поочередно, минимум два раза, значение тока, проходящего через заземлитель, а по этим значениям и известным параметрам электрической сети рассчитывают расстояние до места однофазного замыкания на землю, отличающегося, согласно изобретению, тем, что заземлитель, в котором фиксируют значение тока, поочередно, минимум два раза, подключают к разным точкам сети – к разным полюсам с одной стороны линии с постоянным током или к разным фазам с одной стороны линии с переменным током.
Изобретение имеет развитие, которое состоит в том, что для фиксации значения постоянного тока, проходящего через заземлитель, подключенный к электрической сети с постоянным током, используют трансформатор тока с линейной характеристикой, например трансформатор тока с разрезным магнитопроводом, по импульсному вторичному току которого восстанавливают первичный постоянный ток i(t) в соответствии с формулой:

где nTT, ТВТ – коэффициент трансформации и постоянная времени вторичного контура трансформатора тока с линейной характеристикой.
Это позволяет упростить измерительное оборудование, необходимое для определения расстояния до места замыкания на землю в сети постоянного тока.
Изобретение имеет другое развитие, которое состоит в том, что для определения расстояния до места замыкания на землю в сети с переменным током фиксируют значение модуля переменного тока, проходящего через заземлитель, подключенный к этой сети, а влияние угла сдвига фаз между зафиксированными токами при подключении заземлителя к разным точкам сети учитывают путем последовательного расчета k+1 раз относительного расстояния n до места замыкания, переходного сопротивления в месте замыкания, а по ним угла сдвига фаз между токами до тех пор, пока разность между n(k+1) и nk не станет меньше допустимой погрешности расчета.
Это позволяет уменьшить объем измерительного оборудования для фиксации значений переменного тока.
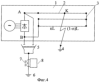
На фиг.1 приведена схема поочередного измерения и запоминания (фиксации) значений тока, проходящего через заземлитель при его поочередном подключении к разным точкам сети с одной стороны линии электропередачи.
На фиг.1 обозначено: 1 – незаземленная сеть, 2 – поврежденная линия или фаза линии электропередачи, 3 – связи в сети (штриховые линии), 4 – место замыкания 2 на землю, 5 – коммутирующее высоковольтное устройство, 6 – заземляющее устройство, к которому поочередно подключаются устройством 5 разные точки А и В сети 1 с одной стороны линии 2, 7 – первичный измерительный преобразователь тока, проходящего через заземлитель 6, 8 – фиксирующий амперметр.
Кроме того, на фиг.1 обозначено: L – длина поврежденной линии 2; n – относительное расстояние до места замыкания К на линии электропередачи.
На фиг.2 и фиг.3 приведены схемы замещения сети 1 для двух положений коммутирующего устройства 5: на фиг.2 – заземлитель 6 и измерительное оборудование 7, 8 подключены к точке А; на фиг.3 – заземлитель 6 и измерительное оборудование 7, 8 подключены к точке В электрической сети 1.
Кроме того, на фиг.2 и фиг.3 обозначены:
U01, U02 – напряжения на соответствующих контактах устройства 5 в режиме, предшествующем их включению;
RП – переходное сопротивление в месте замыкания 4 совместно с сопротивлением заземлителя 6 и с сопротивлением земли между 4 и 6;
ZАК, ZВК – эквивалентные сопротивления электрической сети 1 между точками А и К, В и К соответственно в собственно аварийном режиме, когда все ЭДС в сети 1 принимаются равными нулю;
I1, I2 – зафиксированные значения тока.
Предлагаемый способ реализуется с учетом его развития следующим образом.
После возникновения замыкания на землю одной из фаз линии 2 и включения устройства 5 через заземляющее устройство 6 и измерительное оборудование 7, 8 проходит и фиксируется значение тока, например, I1. После переключение 5 в другое положение фиксируется I2. Эти токи входят в уравнения:


где U01, U02, ZАК, ZВК зависят от известных параметров электрической сети 1 и неизвестного значения n. Значение RП также неизвестно.
Из одного уравнения определяется – в функции от неизвестного значения n, а по другому уравнению рассчитывают значение n – искомое относительное расстояние до места замыкания на землю.
Таким образом, в предлагаемом способе исключается влияние переходного сопротивления в месте замыкания так же, как в способе дистанционного двухстороннего измерения, хотя измерения проводятся с одной стороны линии электропередачи, т.е. не требуется телепередача зафиксированных значений тока, а также снижается погрешность определения расстояния до места замыкания на землю по сравнению с вышеописанными способами дистанционного одностороннего измерения благодаря отказу от использования параметров режима повышения частоты.
Согласно развитию способа для определения расстояния до места замыкания на землю в электрической сети с постоянным током фиксируют интегрирующим фиксирующим амперметром 8 значение постоянного тока I1 и I2 как установившуюся постоянную составляющую тока i(t):

где iВТ(t) – вторичный импульсный ток с линейной характеристикой трансформатора тока 7, например, с разрезным магнитопроводом,
nTT, ТВТ – известные коэффициент трансформации и постоянная времени вторичного контура этого трансформатора тока.
Согласно другому развитию способа для определения расстояния до места замыкания на землю в электрической сети переменного тока фиксируют с помощью фиксирующего амперметра 8 значение модуля переменного тока, проходящего через заземлитель 6, подключенный к этой сети, а влияние угла сдвига фаз между токами I1 и I2 учитывают путем последовательного расчета k+1 раз относительного расстояния n до места замыкания, переходного сопротивления Rп, а по ним угла сдвига фаз между токами I1 и I2 до тех пор, пока разность между n(k+1) и nk не станет меньше допустимой погрешности расчета.
Указанные развития способа позволяют уменьшить объем измерительного оборудования для фиксации значений постоянного и переменного тока.
Конкретный пример №1 реализации заявленного изобретения для определения расстояния до места замыкания на землю в электрической сети постоянного тока при плавке гололеда по схеме «фаза – две фазы» показан на схемах фиг.4 и фиг.5. На схеме подключения фиг.4 использованы те же обозначения, что на фиг.1. Схемы замещения для двух положений подключающего устройства 5 совмещены на фиг.5. На фиг.5 обозначены:
EЭ, RЭ – известные эквивалентные ЭДС и внутреннее сопротивление источника питания сети с постоянным током;
R – известное сопротивление одной фазы линии электропередачи 2;
RП – неизвестное переходное сопротивление в месте замыкания.
Неизвестное значение n рассчитывается по формуле
где I1 и I2 – зафиксированные значения постоянного тока для двух положений коммутирующего устройства 5, подключающего заземлитель 6 сооответственно к точке В и А;
Ксх – коэффициент, зависящий от схемы соединения фазных проводов линии электропередачи. Для схемы «фаза – две фазы» Ксх=1,5, если замкнулась на землю одиночная фаза, как показано на фиг.4; если замкнулась на землю одна или обе параллельно включенные фазы, то Ксх=3,0. Для схемы «фаза – фаза» Ксх=2,0.
Согласно развитию способа для измерения I1 и I2 используется трансформатор тока 7 с разрезным магнитопроводом и интегрирующий фиксирующий амперметр 8.
Конкретный пример №2 реализации заявленного изобретения для определения расстояния до места замыкания на землю в электрической сети переменного тока при плавке гололеда на линии электропередачи методом «двухфазного короткого замыкания» показан на схемах фиг.6 и фиг.7. На схеме подключения фиг.6 использованы те же обозначения, что на фиг.1. Схемы замещения для двух положений переключающего устройства 5 совмещены на фиг.7. На фиг.7 обозначены:
EЭ, ZЭ – известные эквивалентные ЭДС и внутреннее сопротивление источника питания сети с переменным током;
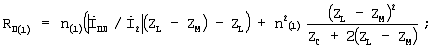
ZL, ZM – известные собственное и взаимное сопротивления линии электропредачи. Неизвестное значение n рассчитывается по формуле

где и – комплексные значения переменного тока для двух положений коммутирующего устройства 5, подключающего заземлитель 6 соответственно к точке А и В;
– известный переменный ток плавки гололеда.
В формулу входят комплексные значения и , а фиксируются модули этих токов и поэтому для определения n используют предложенное развитие способа для электрической сети с переменным током.
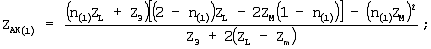
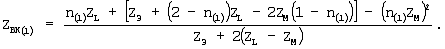
Согласно этому развитию способа рассчитывают на первом шаге значение n(1), по приведенной выше формуле. Подставляя в нее вместо комплексных значений токов их модули 
По значению n(1) рассчитывают сопротивления:



Поскольку 

то на втором шаге рассчитывают углы сдвига фаз 1(2), 2(2) из формул:



а затем подставляют эти значения в формулу для n и рассчитывают n(2). Расчет повторяют k+1 раз до тех пор, пока разность между n(k+1) и n(k) не станет меньше допустимой погрешности расчета.
Способ возможно реализовать в установке плавки гололеда постоянным током подстанции 220 кВ «Дагомыс» Северокавказского региона.
Формула изобретения
1. Способ определения расстояния до места однофазного замыкания на землю в электрической сети, заключающийся в том, что при замыкании на землю линии электропередачи измеряют и запоминают на одной стороне линии электропередачи поочередно, минимум два раза, значение тока, проходящего через заземлитель, а по этим значениям и известным параметрам электрической сети рассчитывают расстояние до места однофазного замыкания на землю, отличающийся тем, что заземлитель, в котором измеряют и запоминают значение тока, поочередно, минимум два раза, подключают к разным точкам сети – к разным полюсам с одной стороны линии с постоянным током или к разным фазам с одной стороны линии с переменным током.
2. Способ по п.1, отличающийся тем, что для фиксации значения постоянного тока, проходящего через заземлитель, подключенный к электрической сети с постоянным током, используют трансформатор тока с линейной характеристикой, по импульсному вторичному току которого iВТ(t) восстанавливают первичный постоянный ток i(t) в соответствии с формулой

где nTT, ТBT – коэффициент трансформации и постоянная времени вторичного контура трансформатора тока с линейной характеристикой.
3. Способ по п.1, отличающийся тем, что для определения расстояния до места замыкания на землю в сети с переменным током фиксируют значение модуля переменного тока, проходящего через заземлитель, подключенный к этой сети, а влияние угла сдвига фаз между зафиксированными токами при подключении заземлителя к разным точкам сети учитывают путем последовательного расчета k+1 раз относительного расстояния n до места замыкания, переходного сопротивления в месте замыкания, а по ним угла сдвига фаз между токами до тех пор, пока разность между n(k+1) и nk не станет меньше допустимой погрешности расчета.
РИСУНКИ
|