Патент на изобретение №2154055
|
||||||||||||||||||||||||||
(54) ЗАМЕЩЕННЫЕ АМИНОКИСЛОТОЙ БЕНЗОИЛГУАНИДИНЫ, СПОСОБ ИХ ПОЛУЧЕНИЯ, СПОСОБ ИНГИБИРОВАНИЯ ЦЕЛЛЮЛЯРНОГО NA+/Н+-ИОНООБМЕНА И ЛЕКАРСТВЕННОЕ СРЕДСТВО
(57) Реферат: Описываются новые замещенные аминокислотой бензоилгуанидины общей формулы I, где значения R(1) – R(5) указаны в п.1 формулы изобретения. Соединение формулы I пригодно для получения лекарственного средства в целях лечения кровообращения сердца. Описывается также способ их получения, способ ингибирования целлюлярного Na+/Н+-ионообмена и лекарственное средство. 4 с. и 4 з.п. ф-лы.
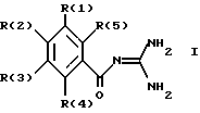
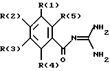
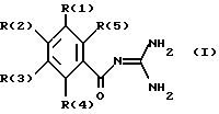
Изобретение относится к бензоилгуанидинам формулы (I) ![]() один из трех заместителей R(1), R(2) и R(3) обозначает -Y-4-/(CH2)k-CHR(7)-(C=O)R(8)/-фенил; -Y-3-(CH2)k-CHR(7)-(C=O)R(8)/-фенил или -Y-2-/CH2)k-CHR(7)-(C=O)R(8)/-фенил, Y обозначает кислород, R(7) обозначает -NR(10) R(11), R(10) и R(11) независимо друг от друга обозначают водород или C1-C8 алкил, (C1-C8)алканоил, (C1-C8)алкоксикарбонил, R(8) обозначает OR(12), R(12) обозначает водород или (C1-C8)алкил; другие остатки R(1), R(2) и R(3) независимо друг от друга означают водород, (C1-C8)алкил, X-(CH2)p-(CqF2q+1), R(22)-SO4, R(25)-CO-, причем перфторалкильная группа является линейной или разветвленной, Х обозначает связь, и обозначает 0, 1, 2, р обозначает 0, 1, 2, q обозначает 1, 2, 3, 4, 5, 6, R(22) и R(25) обозначает независимо друг от друга (C1-C8)алкил; R(4) и R(5) независимо друг от друга обозначают водород, (C1-C4)алкил, CrF2r+1, r обозначает 1, 2, 3 или 4, а также их фармацевтически приемлемые соли. Предпочтительны соединения формулы (I), в которых: R(1) обозначает (C1-C4)-алкил или водород, R(22)-SO2, R(25)-CO-, R(22) и R (25) независимо друг от друга обозначают (C1-C4)алкил, один из заместителей R(2) или R(3) обозначает -Y-4/(CH2)k-CHR(7)-(C=O)R(8)/-фенил, -Y-3-/(CH2)k-CHR(7)-(C=O)R(8)/-фенил или -Y-2/(CH2)k-CHR(7)-(C=O)R(8)/-фенил, R(10) и R(11) независимо друг от друга обозначают водород, (C1-C5)алкил, (C1-C5)алканоил, (C1-C4)алкоксикарбонил, R(12) обозначает (C1-C4)алкил, к обозначает 0, 1 или 2, и смотря по обстоятельствам, другой заместитель R(2) или R(3) независимо друг от друга обозначает (C1-C4)алкил или водород, R(4) и R(5) независимо друг от друга обозначают водород, метил или трифторметил. Если один из заместителей R(1) – R(5) содержит один или несколько центров асимметрии, то они, независимо друг от друга, могут быть как S, так и также R-конфигурации. Соединения могут находиться в виде оптических изомеров, в виде диастереомеров, в виде рацематов или в виде их смесей. Указанные алкильные и перфторалкильные остатки могут быть как линейными, так и также разветвленными. Изобретение относится, далее, к способу получения соединений формулы (I), отличающемуся тем, что соединения формулы (II): ![]() где R(1) – R(5) имеют вышеуказанные значения и L обозначает легко нуклеофильно замещаемую удаляемую группу, вводят во взаимодействие с гуанидином. Активированные производные кислоты формулы (II), где L обозначает алкокси-, предпочтительно метокси-, группу или фенокси-группу, фенилтио-, метилтио-, 2-пиридилтио-группу, или азотсодержащий гетероцикл, предпочтительно имидазол-1-ил, получают предпочтительно само по себе известным образом из соответствующих хлорангидридов карбоновых кислот (формула (II), L = Cl), которые, со своей стороны, опять само по себе известным образом можно получать из соответствующих карбоновых кислот (формула (II), L = ОН), например, с помощью тионилхлорида. Наряду с хлорангидридами карбоновых кислот формулы (II) (L = Cl), также другие активированные производные кислот формулы (II) можно получать само по себе известным образом непосредственно из соответствующих производных бензойной кислоты (формула (II), L = ОН), как, например, сложные метиловые эфиры формулы (II) с L = OCH3 – путем обработки с помощью газообразного HCl в метаноле, имидазолиды формулы (II) – путем обработки с помощью карбонилдиимидазола (L имидазол-1-ил; Staab, Angew. Chem, Int, Ed.Eng 1. , 351 – 367 (1962), смешанные ангидриды формулы (II) – с помощью C1-COOC2H5 или тозилхлорида в присутствии триэтиламина в инертном растворителе; как также активирование бензойных кислот можно осуществлять с помощью дициклогексилкарбодиима (DCC) или с помощью O-/(циано(этоксикарбонил)-метилен)-амино/-1,1,3,3-тетраметилуроний-тетрафторбората (“TOTU”) [Proeeding оf the 21, European Реptide Symposium Peptides, 1990, редакторы E.Giraet и D. Andreu, Escom, Leiden 1991]. Ряд пригодных способов получения активированных производных карбоновой кислоты общей формулы (II) приведен, при ссылке на литературные источники, в J. March, Advanced Organic Chemistry, 3-е изд. (John Wiley and Sons 1985), с. 350.
Взаимодействие активированного производного карбоновой кислоты формулы (I) с гуанидином осуществляют само по себе известным образом в протонном или апротонном, полярном, однако, инертном, органическом растворителе. При этом, при взаимодействии метилового эфира бензойной кислоты (формула (II), L = OCH3) с гуанидином в качестве растворителя используют метанол, изопропанол или ТГФ при температуре от 20oC до температуры кипения этих растворителей. При большинстве взаимодействий соединений формулы (II) с бессолевым гуанидином предпочтительно работать в инертных растворителях, таких как ТГФ, диметоксиэтан, диоксан или изопропанол. Однако также в качестве растворителя может служить вода.
Когда L обозначает Cl то предпочтительно работают при добавке акцептора кислоты, например, в виде избыточного количества гаунидина, для связывания галогенводородной кислоты.
Неизвестные соединения формулы (II) можно получать по известным из литературы способам, тем, что, например, 4-галоген-3-хлорсульфонилбензойные кислоты с помощью аммиака или аминов переводят в 3-аминосульфонил-4-галогенбензойные кислоты, соответственно, с помощью слабого восстановителя, как бисульфит натрия, и последующего алкилирования, – в 3-алкил-сульфонил-4-галогенбензойные кислоты и согласно одному из вышеуказанных вариантов способа превращают в предлагаемые согласно изобретению соединения формулы (I).
Получение замещенных в фенильном кольце с помощью S-, О- или N-нуклеофильных реагентов производных фенилаланина осуществляют путем известных из литературы методов нуклеофильного замещения ароматических углеводородов. В качестве удаляемой группы в производном бензойной кислоты при этом замещении содержатся галогениды и трифторметансульфонаты. Работают предпочтительно в диполярном апротонном растворителе, как ДМФ или ТМИ, при температуре от 0oC до температуры кипения растворителя, предпочтительно от 80oC до температуры кипения растворителя. В качестве акцептора кислоты предпочтительно используют соль щелочного или щелочноземельного металла с анионом высокой основности и меньшей нуклеофильностью, например, как K2CO3 или CSCO3. Для защиты функциональных групп аминокислоты можно использовать известные стандартные способы. Для защиты азота оказались пригодными трет.-бутокси-карбонил, бензилоксикарбонил, дибензил, а также трифенилметил. В случае кислотной функции можно работать без защиты, или может найти применение ее защита в виде пригодного сложного эфира или пригодного амида.
Введение алкильных или арильных заместителей осуществляют путем известных из литературы методов перекрестного сочетания, в присутствии палладия, арилгалогенидов, например, с цинкорганическими соединениями, оловоорганическими соединениями, борорганическими кислотами или борорганическими соединениями.
Бензоилгуанидины формулы (I) представляют собой в общем слабые основания и могут связываться с кислотой с образованием солей. В качестве солей присоединения кислот принимают во внимание соли всех фармакологически приемлемых кислот, например, галогениды, в особенности гидрохлориды, лактаты, сульфаты, цитраты, тартраты, ацетаты, фосфаты, метилсульфонаты, п-толуолсульфонаты.
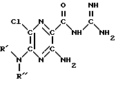
Соединения формулы (I) представляют собой замещенные ацилгуанидины. Самым известным представителем ацилгуанидинов является пиразиновое производное Амилорид, который находит применение в терапии в качестве щадящего калий диуретического средства. В литературе описываются многочисленные другие соединения амилоридного типа, как, например, диметиламилорид или этилизопропиламилорид.
![]() Амилорид: R’, R” = H Диметиламилорид: R’, R” = CH3 Этилизопропиламилорид: R’ = C2H5; R” = CH(CH3)2 Кроме того, известны исследования, которые указывают на антиаритмические свойства Амилорида /Circulation, 79, 1257 – 1263 (1989)/. Широкому применению в качестве антиаритмического средства, однако, препятствует то, что этот эффект только слабо выражен и сопровождается снижающим кровяное давление и салуретическим действием, а эти побочные действия нежелательны при лечении нарушений ритма сердца. Указание на антиаритмические свойства Амилорида также получают при экспериментах на изолированном сердце животных [Eur. Heart J., 9 (дополнение 1): 167 (1988) (book of abstracts)]. Так, например, в случае сердца крыс найдено, что искусственно вызванное мерцание желудочков сердца полностью подавляется Амилоридом. Еще более сильнодействующим, чем Амилорид, в этой модели является вышеуказанное производное Амилорида – этилизопропиламилорид. В патенте США 5 091 394 описываются бензоилгуанидины, которые в соответствующем остаткам R(1), R(4) и R(5) положении содержат атом водорода. В выложенном описании изобретения к неакцептованной заявке на европейский патент 0 556 674 (HOE 92/F 034) описываются бензоилгуаниды, в которых, однако, заместители не имеют заявляемых согласно настоящему изобретению значений. Не описываются никакие производные аминокислот. Кроме того, водорастворимость этих известных бензоилгуанидинов оставляет желать лучшего. В патенте США 3 780 027 заявляются ацилгуанидины, которые структурно подобны соединениям формулы (I) и производятся от находящихся в продаже анастамозных диуретических средств как Буметанид. Соответственно для этих соединений сообщается о сильной салуретической активности. Поэтому оказалось неожиданным, что предлагаемые согласно изобретению соединения не обладают никакими нежелательными и отрицательными салуретическими свойствами, однако, обладают очень хорошими антиаритмическими свойствами, которые важны для лечения заболеваний, которые возникают, например, при явлениях недостатка кислорода. Соединения вследствие своих фармакологических свойств превосходно пригодны в качестве антиаритмических лекарственных средств с кардиозащитными компонентами для профилактики инфаркта и лечения инфаркта, а также для лечения стенокардии, причем они также предохранительно ингибируют или сильно уменьшают патофизиологические процессы при возникновении ишемически индуцированных повреждений, в особенности при возникновении ишемически индуцированных аритмий сердца. Вследствие защитного действия против патологических и ишемических ситуаций предлагаемые согласно изобретению соединения формулы (I), вследствие ингибирования целлюлярного механизма Na+/H+-обмена, могут применяться в качестве лекарственного средства для лечения любых острых или хронических, вызываемых ишемией, повреждений или индуцированных вследствие этого первичных или вторичных заболеваний. Это относится к их применению в качестве лекарственных средств для оперативных вмешательств, например, при трансплантациях органов, причем соединения могут применяться как для защиты органов у донора до и во время изъятия, для защиты изъятых органов, например, при обработке с помощью или при их хранении в физиологических жидкостях, как также при перенесении в организм реципиентов. Соединения также представляют собой ценные, защитные лекарственные средства при осуществлении ангиопластических оперативных вмешательств, например, в случае сердца, как также в случае периферических сосудов. Соответственно их защитному действию против индуцированных ишемически повреждений соединения также пригодны в качестве лекарственных средств для лечения ишемий нервной системы, в особенности центральной нервной системы, причем они пригодны, например, для лечения инсульта или отека головного мозга. Сверх того, предлагаемые согласно изобретению соединения формулы (I) также пригодны для лечения различных форм шока, как, например, аллергического, кардиогенного, гиповолемического и бактериального шока. Кроме того, предлагаемые согласно изобретению соединения формулы (I) отличаются сильным ингибирующим воздействием на пролиферации клеток, например, на пролиферацию фибробластов и пролиферацию клеток гладкой мускулатуры сосудов. Поэтому соединения формулы (I) применяют в качестве ценных терапевтических средств для лечения заболеваний, при которых пролиферация клеток представляет собой первичную или вторичную причину, и поэтому могут применяться в качестве средств против атеросклероза, средств против поздних диабетических осложнений, раковых заболеваний, фибротических заболеваний, как фиброз легких, фиброз печени или фиброз почек, гипертрофии и гиперплазии органов, в особенности при гиперплазии, соответственно, гипертрофии простаты. Предлагаемые согласно изобретению соединения являются эффективными ингибиторами целлюлярного Na+/H+-антипереноса (Na+/H+-ионообмена), который в случае многочисленных заболеваний (эссенциальная гипертония, атеросклерозы, диабет и т.д.) также повышен в таких клетках, которые легко доступны измерениям, как, например, в эритроцитах, тромбоцитах или лейкоцитах. Предлагаемые согласно изобретению соединения поэтому пригодны в качестве превосходных и простых исследовательских “инструментов”, например, при их применении в качестве диагностических средств для определения и распознавания определенных форм гипертонии, однако, также атеросклероза, диабета, пролиферативных заболеваний и т.д. Сверх того, соединения формулы (I) пригодны для профилактики с целью предотвращения генеза высокого кровяного давления, например, эссенциальной гипертонии. В противоположность известным соединениям, соединения изобретения обладают значительно улучшенной водорастворимостью. Поэтому они значительно более пригодны для внутривенного введения. Лекарственные средства, которые содержат соединение формулы (I), при этом могут применяться орально, парентерально, внутривенно, ректально или путем ингаляции, причем предпочтительное применение зависит от соответствующей клинической картины. Соединения формулы (I) при этом можно применять индивидуально или вместе с галеновыми вспомогательными веществами, как в медицине, так и в ветеринарии. Какие вспомогательные вещества пригодны для желательной формулировки лекарственного средства, специалист определяет на основании своего специального знания. Наряду с растворителями, гелеобразователями, основами свечей, вспомогательными веществами для получения таблеток и другими носителями биологически активного вещества могут применяться, например, антиоксиданты, диспергаторы, эмульгаторы, антивспениватели, корригирующие неприятный вкус лекарственного средства вещества, консерванты, агенты растворения или красители. Для оральной формы применения активные соединения смешивают с пригодными для этой цели добавками, как носители, стабилизаторы или инертные разбавители, и обычными методами доводят до пригодных дозировочных форм, как таблетки, драже, разъемные капсулы с лекарством, водные, спиртовые или масляные растворы. В качестве инертных носителей можно применять, например, гуммиарабик, магнезию, карбонат магния, фосфат калия, молочный сахар, глюкозу или крахмал, в особенности кукурузный крахмал. При этом приготовление можно осуществлять как в виде сухого, так и в также в виде влажного гранулята. В качестве масляных носителей или в качестве растворителей принимают во внимание, например, растительные или животные масла, как подсолнечное масло или рыбий жир. Для подкожного или внутривенного введения активные соединения, в случае необходимости вместе с обычными для этой цели веществами, как агенты растворения, эмульгаторы или другие вспомогательные вещества, доводят до состояния раствора, суспензии или эмульсии. В качестве растворителей применяют например, воду, физиологический раствор хлорида натрия или спирты, например, этанол, пропанол, глицерин; наряду с ними также растворы сахара, как растворы глюкозы или маннита, или также смесь из различных указанных растворителей. В качестве фармацевтического препарата для введения в форме аэрозолей или распыляемых препаратов пригодны, например, растворы, суспензии или эмульсии биологически активного вещества формулы (I) в фармацевтически приемлемом растворителе, как в частности этанол или вода, или в смеси таких растворителей. Препарат при необходимости может содержать также еще другие фармацевтические вспомогательные вещества, как поверхностно-активные вещества, эмульгаторы и стабилизаторы, а также рабочий газ. Такая композиция содержит обычно биологическое активное вещество в концентрации примерно 0,1 – 10, в особенности примерно 0,3 – 3 мас.%. Дозировка вводимого биологически активного вещества формулы (I) и частота приема зависят от эффективности и продолжительности действия используемых соединений; кроме того, также от рода и интенсивности излечиваемого заболевания, а также пола, возраста, веса и индивидуальной чувствительности излечиваемого млекопитающего. В среднем суточная доза соединения формулы (I) в случае пациентов весом примерно 75 кг составляет по меньшей мере 0,001 мг/кг веса тела, предпочтительно по меньшей мере 0,01 мг/кг веса тела, вплоть до самое большее 10 мг/кг веса тела, предпочтительно вплоть до самое большее 1 мг/кг веса тела. В случае острых вспышек болезни, например, непосредственно после перенесения инфаркта сердца, также могут быть необходимы еще более высокие и прежде всего более частые дозировки, например, вплоть до 4-х разовых доз в день. В особенности при внутривенном применении, например, в случае пациента с инфарктом в отделении интенсивной терапии, могут требоваться вплоть до 100 мг в день. Перечень сокращений МеОН = метанол; ДМФ = N,N-диметилформамид; ТМИ = N,N,N’N’-тетраметилмочевина; NBS = N-бромсукцинимид; AIBN = , -азо-бис-изобутиронитрил; E1 = импульсный электрон; DCl = десорбционно-химическая ионизация; ЕЕ = этилацетат (EtOAc); DIP = диизопропиловый эфир; МТВ = метил-трет.-бутиловый простой эфир; т. пл. = температура плавления; НЕР = н-гептан; ДМЕ = диметоксиэтан; FAB = бомбардировка быстрыми атомами; CH2Cl2 = дихлорметан; ТГФ = тетрагидрофуран; экв. = эквивалент; ES = Elektrospray – ионизация; Me = метил; Et = этил; Вп = бензил; ZNS = центральная нервная система; рассол = насыщенный водный раствор NaCl.
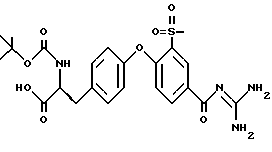
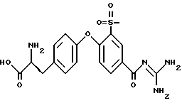
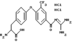
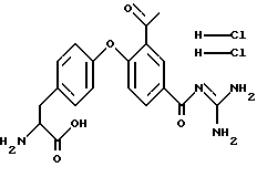
Экспериментальная частьОбщая методика получения бензоилгуанидинов формулы (I). Вариант А: из бензойных кислот (формула (II), L = ОН) 0,01 моль Производного бензойной кислоты формулы (II) растворяют или суспендируют в 60 мл безводного ТГФ и затем смешивают с 1,78 г (0,011 моль) карбонилдиимидазола. После перемешивания в течение 2-х часов при комнатной температуре в реакционный раствор вносят 2,95 г (0,05 моль) гуанидина. После перемешивания в течение ночи ТГФ отгоняют при пониженном давлении (ротационный испаритель), смешивают с водой, с помощью 2 н. HCl устанавливают pH 6-7 и отфильтровывают соответствующий бензоилгуанидин (формула (I)). Таким образом полученные бензоилгуанидины путем обработки с помощью водного, метанольного или в простом эфире раствора HCl или других фармакологически приемлемых кислот переводят в соответствующие соли. Общая методика получения бензоилгуанидинов формулы (I) Вариант Б: из сложных алкиловых эфиров бензойной кислоты (формула (II), L = O-алкил 5 ммоль Сложного алкилового эфира бензойной кислоты формулы (II), а также 25 ммоль гуанидина (свободное основание) растворяют в 15 мл изопропанола или суспендируют в 15 мл ТГФ и кипятят с обратным холодильником (типичное время реакции 2-5 часов) вплоть до полного превращения (контроль с помощью тонкослойной хроматографии). Растворитель отгоняют при пониженном давлении (ротационный испаритель), обрабатывают с помощью 300 мл этилацетата (ЕЕ) и промывают 3 раза по 50 мл раствора NaHCO3. Сушат над сульфатом натрия, растворитель отгоняют в вакууме и хроматографируют на силикагеле с помощью пригодного растворителя (элюирующего средства), например, ЕЕ/МеОН в соотношении 5:1. Солеобразование, сравнимое с вариантом А). Пример 1. N-трет.-Бутоксикарбонил-4-/(4-гуанидинокарбонил-2- метил-сульфонил)фенокси/фенилаланин; ![]() 1,8 г N-трет. -Бутоксикарбонил-4-/(4-метоксикарбонил-2-метилсульфонил)фенокси/-фенилаланина и 1,1 г гуанидина вводят во взаимодействие согласно варианту Б с получением 700 мг бесцветного твердого вещества. Т.пл. >270oC. Rf (ацетон/вода = 10:1) = 0,37; масс-спектр (FAB): 521 (М + Н)+. а) N-трет. -Бутоксикарбонил-4-/(4-метоксикарбонил-2-метилсульфонил)-фенокси/-фенилаланин. 4,5 г Бензилового эфира N-трет./бутоксикарбонил-4-/(4-метоксикарбонил-2-метилсульфонил)фенокси/фенилаланина и 500 мг 10%-ного палладия-на-угле в 50 мл МеОН гидрируют при нормальном давлении водорода в течение 20 часов. Затем катализатор отфильтровывают, растворитель удаляют в вакууме и хроматографируют с помощью ЕЕ/МеОН в соотношении 10:1. Получают 2,1 г бесцветного вязкого масла. Rf (ЕЕ/МеОН = 10:1) = 0,12; масс-спектр (DС1): 494 (М+Н)+. б) Бензиловый эфир N-трет.бутоксикарбонил-4-/(4- метоксикарбонил-2-метилсульфонил)фенокси/фенилаланина 2,8 г Бензилового эфира N-трет.-бутоксикарбонил-тирозина, 2,2 г метилового эфира 4-фтор-3-трифторметилбензойной кислоты и 4,0 г K2CO3 в 100 мл ДМФ (безводного) перемешивают 45 минут при 110oC. Реакционную смесь выливают в 500 мл воды, с помощью NaHSO4 устанавливают pH 2 и экстрагируют 3 раза по 200 мл ЕЕ. Сушат над сульфатом натрия и растворитель удаляют в вакууме. Получают 4,2 г бесцветного масла. Rf (DIР) = 0,12; масс-спектр (ES): 584 (М+Н)+. Пример 2. 4-/(4-Гуанидинокарбонил-2-метилсульфонил)фенокси/фенилаланин ![]() 170 мг целевого соединения примера 1 суспендируют в 5 мл CH2Cl2, и к полученной суспензии при комнатной температуре добавляют 61 мкл трифторметансульфокислоты. Перемешивают 90 минут при этой температуре и выливают в 50 мл насыщенного водного раствора K2HPO4. После этого экстрагируют с помощью 100 мл этилацетата (ЕЕ), сушат над сульфатом натрия и растворитель удаляют в вакууме. Получают 125 мг аморфного твердого вещества. Rf (ЕЕ/МеОН= 1:1)= 0.43; масс-спектр (ES): 421 (М+Н)+. Пример 3. N-трет.-Бутоксикарбонил-4-/(4-гуанидинокарбонил-2-трифторметил)фенокси/фенилаланин ![]() 3,5 г N-трет. -Бутоксикарбонил-4-/(4-метоксикарбонил-2-трифторметил)-фенокси/фенилаланина гуанилируют с помощью 2,2 г гуанидина в 10 мл изопропанола по варианту Б. Получают 1,68 г бесцветного твердого вещества. Т.пл. = 231oC; Rf (ацетон/вода = 20:1) = 0,30; масс-спектр (FAB): 512 (М+Н+). а) N-трет. -Бутоксикарбонил-4-/(4-метоксикарбонил-2-трифторметил)-фенокси/фенилаланин 4,6 г Бензилового эфира N-трет.-бутоксикарбонил-2-трифторметил)фенокси/фенилаланина в 100 мл МеОН и в присутствии 860 мг 10%-ного палладия-на-активном угле (50% содержание воды) перемешивают при нормальном давлении и при комнатной температуре в течение 24-х часов в атмосфере водорода. Затем катализатор отфильтровывают и летучие составные части удаляют в вакууме. Получают 3,5 г бесцветного масла. Rf (ЕЕ/МеОН=10:1) = 0,10; масс-спектр (ES): 484 (M+H)+. б) Бензиловый эфир 11-трет.-бутоксикарбонил-4-/(4-метоксикарбонил-2-трифторметил)фенокси/фенилаланина 4,0 г Boc-Tyr-OBn, 2,4 г метилового эфира 4-фтор-3-трифторметилбензойной кислоты и 7,0 г CS2CO3 в 30 мл безводной тетраметилмочевины перемешивают 2 часа при 110oC. Оставляют охлаждаться, разбавляют с помощью 800 мл ЕЕ и промывают 3 раза по 100 мл воды и 3 раза по 100 мл насыщенного водного раствора NaCl. Органическую фазу сушат над сульфатом натрия и растворители удаляют в вакууме. Хроматография на силикагеле с помощью DIP дает 4,7 г бесцветного масла. Rf (DIP) = 0.41; масс-спектр (FAB): 574 (М+Н)+. Пример 4. 4-/(4-Гуанидинокарбонил-2- трифторметил)фенокси/фенилаланиндигидрохлорид ![]() 0,8 г N-трет.-Бутоксикарбонил-4-/(4-гуанидинокарбонил-2-трифторметил)-фенокси/фенилаланина растворяют в 50 мл CH2Cl2 и при 0oC смешивают с 277 мкл трифторметансульфокислоты. Оставляют температуру повышаться до комнатной, при этом выпадает комковатый осадок. Разбавляют с помощью 50 мл DME, затем перемешивают 1 час при комнатной температуре. Растворители удаляют в вакууме, остаток обрабатывают с помощью 15 мл воды и с помощью насыщенного водного раствора NaHCO3 устанавливают pH 7. Выпадающий при этом осадок отфильтровывают и осуществляют хроматографию на силикагеле с помощью смеси CH2Cl2, /MeOH/H2O/уксусная кислота в соотношении 8:4:1:1. Продукт растворяют в 2 мл 4 н. раствора HCl и летучие составные части удаляют в вакууме. Получают 100 мг бесцветных кристаллов. Т. пл. = 245oC. Rf (CHCl /MeOH /H2O /уксусная кислота= 8:4:1:1) = 0,27; масс-спектр (FAB): 411 (М+Н)+. Пример 5. N-трет.-Бутоксикарбонил-4-/(4-гуанидинокарбонил-2-ацетил)-фенокси/-фенилаланин ![]() 350 мг N-трет.-Бутоксикарбонил-4-/(4-бутоксикарбонил/-2-ацетил)-фенокси/фенилаланина гуанилируют с помощью 200 мг гуанидина в 2 мл изопропанола, согласно варианту В. Получают 170 мг бесцветного аморфного твердого вещества. Rf (ацетон/вода = 20:1) = 0.20; масс-спектр (FAB): 485 (М+Н)+. а) N-трет. -Бутоксикарбонил-4-/(4-бутоксикарбонил-2-ацетил)-фенокси/-фенилаланин 460 мг Бензилового сложного эфира N-трет.-бутоксикарбонил-4-/(4-н-бутоксикарбонил-2-ацетил)фенокси/фенилаланина и 86 мг 10%-ного палладия-на-угле (50% содержание воды) при нормальном давлении и при комнатной температуре, в 10 мл метанола, перемешивают в течение 10 часов в атмосфере водорода. Затем катализатор отфильтровывают, и летучие составные части удаляют в вакууме. Получают 350 мг бесцветного масла. Rf (ЕЕ/ MeOH = 5:1) = 0,10; масс-спектр (ES): 500 (М+Н)+. б) Бензиловый сложный эфир N-трет.-бутоксикарбонил-4-/(4-н-бутоксикарбонил-2-ацетил)фенокси/фенилаланина 8,1 г Boc-Tyr-OBn, 5,1 г н-бутилового эфира 4-фтор-3-ацетилбензойной кислоты и 14,2 г C2CO3 в 60 мл безводного П-метилпирролидона перемешивают в течение 2-х часов при 110oC. Оставляют охлаждаться, разбавляют с помощью 1 л ЕЕ и промывают 1 раз с помощью 200 мл воды и 3 раза с помощью 100 мл насыщенного водного раствора NaCl. Органическую фазу сушат над сульфатом натрия и растворители удаляют в вакууме. Хроматография на силикагеле при использовании DIP дает 8,6 г бесцветного масла. Rf (DIP) = 0,25; масс-спектр (FAB): 590 (М+H)+. в) н-Бутиловый эфир 4-фтор-3-ацетилбензойной кислоты 12,4 г 2-фтор-5-бромацетофенона, 30 мл три-н-бутиламина, 5,6 г ацетата палладия – (II) и 10 г 1,3-бис-(дифенилфосфино)-пропана в 80 мл н-бутанола и 160 мл ДМФ перемешивают 3 часа при 110oC. Затем охлаждают до комнатной температуры, и летучие составные части удаляют в вакууме. Остаток обрабатывают с помощью 1 л ЕЕ, содержащий палладий остаток отфильтровывают и фильтрат промывают 2 раза по 500 мл 5%-ного водного раствора NaHSO4, а также 1 раз с помощью 500 мл воды. Сушат над сульфатом натрия, растворитель удаляют в вакууме и затем хроматографируют на силикагеле при использовании смеси ЕЕ/HEP в соотношении 1:4. Получают 7,8 г бесцветного масла. Rf (ЕЕ/HEP = 1: 4) = 0,59; масс-спектр (E1):239 (М+Н)+. г) 2-фтор-5-бромацетофенон 20 г 2-Фторацетофенона растворяют в 76 мл 96%-ной N2SO4 и затем при комнатной температуре прикапывают раствор из 20 г дибромциануровой кислоты в 230 мл 96%-ной Н2SO4. Перемешивают в течение 1 часа при комнатной температуре, после чего выливают на 1 кг льда и экстрагируют 3 раза по 200 мл CH2Cl2. Сушат над сульфатом натрия и растворитель удаляют в вакууме. Остаток подвергают фракционной перегонке, и получают 12,4 г бесцветного масла с т. кип. 70oC (2 мбара). Rf (CH2Cl2) = 0,53; масс-спектр (ES): 217 (М+Н)+. Пример 6. 4-/(4-Гуанидинокарбонил-2-ацетил)фенокси/фенилаланин-дигидрохлорид ![]() 80 мг N-трет.-Бутоксикарбонил-4-/(4-гуанидинокарбонил-2- ацетил)фенокси/фенилаланина растворяют в 5 мл CH2Cl2 и при 0oC смешивают с 28 мкл трифторметансульфокислоты. Оставляют температуру повышаться до комнатной, при этом выпадает комковатый осадок. Разбавляют с помощью 5 мл DME, затем перемешивают 1 час при комнатной температуре. Растворители удаляют в вакууме, остаток обрабатывают с помощью 5 мл воды, и с помощью насыщенного водного раствора NaHCO3 устанавливают pH 7. Выпадающий при этом осадок отфильтровывают, и осуществляют хроматографирование на силикагеле при использовании смеси CH2Cl2 /метанол H2O /уксусная кислота в соотношении 8:4:1:1. Продукт растворяют в 2 мл 4 н. HCl, и летучие составные части удаляют в вакууме. Получают 40 мг бесцветных кристаллов с т.пл. 210oC (разложение). Rf (CH2Cl2/метанол/H2O /уксусная кислота = 8:4:1:1) =0,20; масс-спектр (FAB): 385 (М+Н)+. Пример 7. N-трет. -Бутоксикарбонил-4-(4-гуанидинокарбонил-2 -изопропил)-фенокси/-фенилаланин ![]() 1,75 г N-трет. -Бутоксикарбонил-4-/(4-н-бутоксикарбонил-2-изопропил)-фенокси/фенилаланина гуанилируют с помощью 1,0 г гуанидина в 10 мл изопропанола, согласно варианту В. Получают 950 мг бесцветного аморфного твердого вещества. Rf (ацетон/вода = 20:1) = 0.25; масс-спектр (FAB): 485 (М+Н)+ а) N-трет. -Бутоксикарбонил-4-/(4-н-бутоксикарбонил-2-изопропил)-фенокси/фенилаланин 2,3 Бензилового сложного эфира N-трет./б/токсикарбонил-4-/(4-н-бутоксикарбонил-2-изопропенил)фенокси/фенилаланина и 400 мг 10%-ного палладия-на-угле (50% содержание воды) в 50 мл метанола перемешивают при комнатной температуре и нормальном давлении в течение 24-х часов в атмосфере водорода. Затем катализатор отфильтровывают, и летучие составные части) удаляют в вакууме. Получают 1,80 г безцветного масла. Rf(ЕЕ/MeOH = 10:1) = 0,10; масс-спектр (ES):500 (М+Н)+. б) Бензиловый сложный эфир N-трет.-бутоксикарбонил-4-/(4-н-бутоксикарбонил-2-изопропенил)фенокси/фенилаланина 4,2 г Метил-трифенилфосфонийиодида суспендируют в 100 мл ТГФ, затем добавляют 1,2 г трет.-бутилата калия и все перемешивают 3 часа при комнатной температуре. После этого вводят раствор из 5,9 г бензилового сложного эфира N-трет.-бутоксикарбонил-4-/(54-н-бутоксикарбонил-2-ацетил)фенокси/фенилаланина в 50 мл ТГФ и перемешивают 30 минут при комнатной температуре. Реакционную смесь затем выливают в 100 мл насыщенного водного раствора NaHCO3 и экстрагируют 3 раза по 100 мл ЕЕ. Сушат над сульфатом натрия, растворитель удаляют в вакууме, и осуществляют хроматографирование на силикагеле при использовании DIP. Получают 2,7 г бесцветного масла. Rf (DIP) = 0,35; масс-спектр (FAB): 588 (М+Н)+. Пример 8. 4-/(4-Гуанидинокарбонил-2-изопропил)фенокси/фенилаланин ![]() 800 мг N-трет. -Бутоксикарбонил-4-/(4-гуанидинокарбонил-2-изопропил)-фенокси/фенилаланина растворяют в 50 мл CH2Cl2 и при 30oC смешивают с 280 мкл трифторметансульфокислоты. Оставляют температуру повышаться до комнатной, при этом выпадает комковатый осадок. Разбавляют с помощью 50 мл DME, после чего перемешивают 1 час при комнатной температуре. Растворители удаляют в вакууме, остаток обрабатывают 50 мл воды, и с помощью насыщенного водного раствора NaHCO3 устанавливают pH 7. Выпадающий при этом осадок отфильтровывают, и осуществляют хроматографирование на силикагеле с помощью смеси CH2Cl2/MeOH/H2O/уксусная кислота = 8:4:1:1. Продукт растворяют в 20 мл 4 н. HCl, и летучие составные части удаляют в вакууме. Получают 320 мг бесцветных кристаллов. Т.пл. 230oC (разложение). Rf (CH2Cl2/MeOH/H2O/уксусная кислота = 8:4:1:1) = 0,30; масс-спектр (FAB): 385 (М+Н)+. Фармакологические данные: Ингибирование Na+/H+-ионообмена кроличьих эритроцитов Белые новозеландские кролики (Ivanovas) получают стандартную диету с 2% холестерина в течение 6 недель, чтобы активировать Nab+/H+-обмен и чтобы можно было определять таким образом с помощью пламенно-фотометрического детектора приток Na+ в эритроциты за счет Na+/H+-обмена. Отбирают кровь из ушных артерий и делают ее несвертываемой за счет 25 1E гепарина калия. Часть каждой пробы используют для двойного определения гематокрита путем центрифугирования. Аликвоты по 100 мкл служат для измерения исходного содержания ионов Na+ в эритроцитах. Для того, чтобы определить чувствительный к Амилориду приток Na+, 100 мкл каждой пробы крови в 5 мл гиперосмолярной среды соль-сахароза (в ммоль/л: 140 NaCl, 3 KCl, 150 сахарозы; 0,1 Ouabain, 20 трис-гидроксиметиламинометана) инкубируют при 37oC и при pH 7,4. Эритроциты затем промывают трижды с помощью охлажденного льдом раствора MgCl2 – Ouabain – (в ммоль/л: 112 MgCl2, 0,1 Ouabain) и гемолизируют в 2,0 мл дистиллированной воды. Внутриклеточное содержание натрия определяют с помощью пламенно-фотометрического детектора. Чистый приток Na+ рассчитывают из разности между исходным количеством натрия и содержанием натрия в эритроцитах после инкубации. Подавляемый Амилоридом приток натрия определяют из разницы между содержанием натрия в эритроцитах после инкубации с или без Амилорида, 3 10-4 моль/л. Таким образом также поступают в случае предлагаемых согласно изобретению соединений.
РезультатыИнгибирование Na+/H+-ионообмена Пример – 1C50 мкмоль/л 1 – 0,43 2 – 1,0 4 – 0,026 Формула изобретения
![]() где один из трех заместителей R(I), R(2), R(3) обозначает -Y-4-[(CH2)k-CHR(7)-C(O)-R(8)] -фенил, -Y-3-[(CH2)k-CHR(7)-C(O)-R(8)]-фенил или -Y-2-[(CH2)k-CHR(7)-C(O)-R(8)]-фенил, Y обозначает кислород; R(7) обозначает -NR(10)R(11), R(10) и R(11) независимо друг от друга обозначают водород или (C1-C8)алкил, (C1-C8)алканоил, (C1-C8)алкоксикарбонил; R(8) обозначает OR(12), R(12) обозначает водород или (C1-C8)алкил; другие остатки R(1), R(2) и R(3) независимо друг от друга означают водород, (C1-C8)алкил, X-(CH2)p-(CgF2g+1), R(22)-SOu, R(25)-CO-, причем перфторалкильная группа является линейной или разветвленной, X обозначает связь, u обозначает 0, 1, 2, p обозначает 0, 1, 2, g обозначает 1, 2, 3, 4, 5, 6, R(22) и R(25) обозначает независимо друг от друга (C1-C8)алкил; k означает 0, 1, 2, 3, 4, R(4) и R(5), независимо друг от друга, обозначают водород, (C1-C4)алкил, (CrF2r+1), r обозначает 1, 2, 3 или 4, а также их фармацевтически приемлемые соли. 2. Бензоилгуанидины формулы I по п.1, где R(1) обозначает (C1-C4)алкил или водород, R(22)-SO2, R(25)-CO-, R(22) и R(25) независимо друг от друга обозначают (C1-C4)-алкил, один из заместителей R(2) или R(3) обозначает -Y-4-[(CH2)k-CHR(7)-(С= O)-R(8)]-фенил, -Y-3-[(CH2)k-CHR(7)-(C=O)-R(8)]-фенил или -Y-2-[(CH2)k-CHR(7)-(C=O)-R(8)]-фенил, R(10) и R(11) независимо друг от друга обозначают водород, (C1-C5)алкил, (C1-C5)алканоил, (C1-C4)алкоксикарбонил, R(12) обозначает (C1-C4)алкил, k обозначает 0, 1 или 2, и, смотря по обстоятельствам, другой заместитель R(2) или R(3) независимо друг от друга обозначает (C1-C4)алкил или водород, R(4) и R(5) независимо друг от друга обозначают водород, метил или трифторметил. 3. Бензоилгуанидины формулы I по п.1 или 2 где R(22) и R(25) независимо друг от друга обозначают метил, один из заместителей R(2) или R(3) обозначает -Y-2-[(CH2)k-CHR(7)-(С=O) R(8)]-фенил, -Y-3-[(CH2)k-CHR(7)-(C=O) R(8)] -фенил или -Y-4-[(CH2)k-CHR(7)-(C=O) R(8)]-фенил, R(10) и R(11) независимо друг от друга обозначают водород, (C1-C4)алкил, (C1-C5)алканоил, (C1-C4)алкоксикарбонил, R(12) обозначает (C1-C4)алкил, и, смотря по обстоятельствам, другой заместитель R(2) или R(3) независимо друг от друга обозначает (C1-C4)алкил или водород, R(4) и R(5) независимо друг от друга обозначают водород, метил или трифторметил. 4. Замещенные аминокислотой бензоилгуанидины формулы I по п.1, обладающие аритмической активностью. 5. Замещенные аминокислотой бензоилгуанидины формулы I по п.1, обладающие свойством ингибировать целлюлярный Na+/H+-ионообмен. 6. Способ получения замещенных аминокислотой бензоилгуанидинов формулы I по п.1, отличающийся тем, что соединение формулы II ![]() где R(1) – R(5) имеют указанные в п.1 значения и где L обозначает легко нуклеофильно замещаемую удаляемую группу, вводят во взаимодействие с гуанидином. 7. Способ ингибирования целлюлярного Na+/H+-ионообмена введением активного вещества, при необходимости вместе с обычными добавками, отличающийся тем, что в качестве активного вещества используют соединение формулы I по пп.1 – 3 в эффективном количестве. 8. Лекарственное средство для ингибирования целлюлярного Na+/H+-ионообмена, содержащее активное вещество и, при необходимости, фармацевтически приемлемые добавки, отличающееся тем, что в качестве активного вещества оно содержит соединение формулы I по п.1 в эффективном количестве. MM4A Досрочное прекращение действия патента Российской Федерации на изобретение из-за неуплаты в установленный срок пошлины за поддержание патента в силе
Дата прекращения действия патента: 08.09.2003
Извещение опубликовано: 10.05.2005 БИ: 13/2005
|
||||||||||||||||||||||||||



имидазол-1-ил; Staab, Angew. Chem, Int, Ed.Eng 1. , 351 – 367 (1962), смешанные ангидриды формулы (II) – с помощью C1-COOC2H5 или тозилхлорида в присутствии триэтиламина в инертном растворителе; как также активирование бензойных кислот можно осуществлять с помощью дициклогексилкарбодиима (DCC) или с помощью O-/(циано(этоксикарбонил)-метилен)-амино/-1,1,3,3-тетраметилуроний-тетрафторбората (“TOTU”) [Proeeding оf the 21, European Реptide Symposium Peptides, 1990, редакторы E.Giraet и D. Andreu, Escom, Leiden 1991]. Ряд пригодных способов получения активированных производных карбоновой кислоты общей формулы (II) приведен, при ссылке на литературные источники, в J. March, Advanced Organic Chemistry, 3-е изд. (John Wiley and Sons 1985), с. 350.
Взаимодействие активированного производного карбоновой кислоты формулы (I) с гуанидином осуществляют само по себе известным образом в протонном или апротонном, полярном, однако, инертном, органическом растворителе. При этом, при взаимодействии метилового эфира бензойной кислоты (формула (II), L = OCH3) с гуанидином в качестве растворителя используют метанол, изопропанол или ТГФ при температуре от 20oC до температуры кипения этих растворителей. При большинстве взаимодействий соединений формулы (II) с бессолевым гуанидином предпочтительно работать в инертных растворителях, таких как ТГФ, диметоксиэтан, диоксан или изопропанол. Однако также в качестве растворителя может служить вода.
Когда L обозначает Cl то предпочтительно работают при добавке акцептора кислоты, например, в виде избыточного количества гаунидина, для связывания галогенводородной кислоты.
Неизвестные соединения формулы (II) можно получать по известным из литературы способам, тем, что, например, 4-галоген-3-хлорсульфонилбензойные кислоты с помощью аммиака или аминов переводят в 3-аминосульфонил-4-галогенбензойные кислоты, соответственно, с помощью слабого восстановителя, как бисульфит натрия, и последующего алкилирования, – в 3-алкил-сульфонил-4-галогенбензойные кислоты и согласно одному из вышеуказанных вариантов способа превращают в предлагаемые согласно изобретению соединения формулы (I).
Получение замещенных в фенильном кольце с помощью S-, О- или N-нуклеофильных реагентов производных фенилаланина осуществляют путем известных из литературы методов нуклеофильного замещения ароматических углеводородов. В качестве удаляемой группы в производном бензойной кислоты при этом замещении содержатся галогениды и трифторметансульфонаты. Работают предпочтительно в диполярном апротонном растворителе, как ДМФ или ТМИ, при температуре от 0oC до температуры кипения растворителя, предпочтительно от 80oC до температуры кипения растворителя. В качестве акцептора кислоты предпочтительно используют соль щелочного или щелочноземельного металла с анионом высокой основности и меньшей нуклеофильностью, например, как K2CO3 или CSCO3. Для защиты функциональных групп аминокислоты можно использовать известные стандартные способы. Для защиты азота оказались пригодными трет.-бутокси-карбонил, бензилоксикарбонил, дибензил, а также трифенилметил. В случае кислотной функции можно работать без защиты, или может найти применение ее защита в виде пригодного сложного эфира или пригодного амида.
Введение алкильных или арильных заместителей осуществляют путем известных из литературы методов перекрестного сочетания, в присутствии палладия, арилгалогенидов, например, с цинкорганическими соединениями, оловоорганическими соединениями, борорганическими кислотами или борорганическими соединениями.
Бензоилгуанидины формулы (I) представляют собой в общем слабые основания и могут связываться с кислотой с образованием солей. В качестве солей присоединения кислот принимают во внимание соли всех фармакологически приемлемых кислот, например, галогениды, в особенности гидрохлориды, лактаты, сульфаты, цитраты, тартраты, ацетаты, фосфаты, метилсульфонаты, п-толуолсульфонаты.
Соединения формулы (I) представляют собой замещенные ацилгуанидины. Самым известным представителем ацилгуанидинов является пиразиновое производное Амилорид, который находит применение в терапии в качестве щадящего калий диуретического средства. В литературе описываются многочисленные другие соединения амилоридного типа, как, например, диметиламилорид или этилизопропиламилорид.

,







10-4 моль/л. Таким образом также поступают в случае предлагаемых согласно изобретению соединений.
Результаты
