|
(21), (22) Заявка: 2004107937/28, 17.03.2004
(24) Дата начала отсчета срока действия патента:
17.03.2004
(45) Опубликовано: 10.08.2005
(56) Список документов, цитированных в отчете о поиске:
RU 2193184 С2, 20.11.2002. SU 1753379 A1, 12.07.1990. SU 1059515 А, 07.12.1983. RU 2037810 C1, 19.06.1995. JP 9-96673 А, 08.04.1997.
Адрес для переписки:
392006, г.Тамбов, ТВАИИ, научно-исследовательский отдел
|
(72) Автор(ы):
Федюнин П.А. (RU), Дмитриев Д.А. (RU)
(73) Патентообладатель(и):
Тамбовский военный авиационный инженерный институт (RU)
|
(54) СВЧ-СПОСОБ ИЗМЕРЕНИЯ ДЛИНЫ, ТОЛЩИНЫ И ДИЭЛЕКТРИЧЕСКОЙ ПРОНИЦАЕМОСТИ ДИЭЛЕКТРИЧЕСКОГО ПОКРЫТИЯ НА МЕТАЛЛИЧЕСКОЙ ПОВЕРХНОСТИ
(57) Реферат:
Изобретение относится к способам измерения электрофизических и геометрических параметров диэлектрических покрытий на металлической подложке. Сущность изобретения: последовательно создают СВЧ электромагнитные поля бегущих поверхностных медленных Е-волн и Е1 и Е2 на двух близких по величине длинах волн генератора Г1, Г2 над поверхностью диэлектрик-металл в одномодовом режиме. Измеряют в нормальной плоскости относительно распространения медленной поверхности волны коэффициенты затухания E1 и Е2 напряженности электрического поля. Рассчитывают действительную величину диэлектрической проницаемости и толщины покрытия. По измеренным значениям величин коэффициентов затухания рассчитывают величины коэффициентов замедления для данных длин волн по формуле Измеряют в дальней зоне с помощью вертикально ориентированного приемного вибратора угол наклона максимума диаграммы направленности махДН(ДЗ)= E1(E2). Определяют длину диэлектрического покрытия lE1 и lE2 по формуле
и усредняют его значение l=(lE1+lE2)/2. Технический результат: повышение точности определения продольных размеров диэлектрического покрытия. 1 ил. 
Предлагаемое изобретение относится к способам измерения электрофизических и геометрических параметров диэлектрических покрытий на металлической подложке и может быть использовано при контроле состава и свойств жидких и твердых покрытий в химической и других отраслях промышленности.
Известен способ определения толщины диэлектрических покрытий на изделиях из ферромагнитных материалов, в основу которого положен пондеромоторный принцип /см., например, Приборы для неразрушающего контроля материалов и изделий. Справочник под. ред. В.В.Клюева. – 2-е изд., перераб. и доп. – М.: Машиностроение, 1986/.
Этот способ обладает следующими недостатками: малое быстродействие сканирования больших поверхностей, низкая чувствительность к изменению диэлектрической и магнитной проницаемостей, а также невозможность определения длины покрытия.
Известен способ определения толщины диэлектрических покрытий на электропроводящей основе /см. Приборы для неразрушающего контроля материалов и изделий. Справочник под. ред. В.В.Клюева. – 2-е изд., перераб. и доп. – М.: Машиностроение, 1986. С.120-125/, заключающийся в создании вихревых токов в электропроводящей подложке и последующей регистрации комплексных напряжений или сопротивлений вихретокового преобразователя как функции электропроводности подложки и величины зазора между преобразователем и подложкой.
Недостатками данного способа являются: зависимость точности измерения толщины покрытия от зазора между преобразователем и подложкой, отсутствие возможности измерения диэлектрической и магнитной проницаемостей покрытия, а также его длины, высокая чувствительность к изменению параметров подложки (удельной электропроводности и магнитной проницаемости) и малое быстродействие сканирования больших поверхностей.
Известен принятый за прототип СВЧ способ определения диэлектрической проницаемости и толщины диэлектрических покрытий на металле /см. Суслин М.А., Дмитриев Д.А. и др. «СВЧ способ определения диэлектрической проницаемости и толщины покрытий на металле». Патент №2193184, кл. G 01 N 15/00, от 20.11.02, Бюл №32/, заключающийся в создании СВЧ электромагнитного поля бегущей поверхностной медленной Е волны на двух близких по величине длинах Г1, Г2, возбуждаемых генератором, волн над поверхностью диэлектрик-металл в одномодовом режиме, измерении коэффициентов затухания напряженности электрического поля Е1, Е2 в нормальной плоскости относительно распространения медленной поверхностной волны и расчете диэлектрической проницаемости и толщины покрытия b по формулам:


Недостатком данного способа является невозможность определения продольных размеров диэлектрического покрытия.
Техническим результатом изобретения является повышение точности определения продольных размеров диэлектрического покрытия.
Сущность изобретения состоит в том, что в СВЧ способе измерения длины, толщины и диэлектрической проницаемости диэлектрического покрытия на металлической поверхности, заключающемся в последовательном создании СВЧ электромагнитных полей бегущих поверхностных медленных Е-волн Е1 и Е2 на двух близких по величине длинах волн генератора Г1, Г2 над поверхностью диэлектрик-металл в одномодовом режиме, измерении в нормальной плоскости относительно распространения медленной поверхностной волны коэффициентов затухания Е1 и Е2 напряженности электрического поля и расчете действительной величины диэлектрической проницаемости и толщины покрытия; по измеренным значениям величин коэффициентов затухания рассчитывают величины коэффициентов замедления для данных длин волн по формуле ;
измеряют в дальней зоне с помощью вертикально ориентированного приемного вибратора угол наклона максимума диаграммы направленности махДН(ДЗ)= Е1(E2); определяют длину диэлектрического покрытия lE1 и lЕ2 по формуле
и усредняют его значение l=(lE1+lE2)/2.
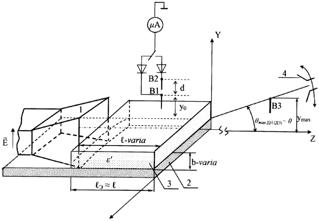
СВЧ способ измерения длины, толщины и диэлектрической проницаемости диэлектрического покрытия на металлической поясняется реализуется следующим образом (см. чертеж).
Устройством возбуждения медленных поверхностных волн (рупор) 1 вдоль диэлектрического покрытия 3 ( =1) на электропроводящей металлической подложке 2 последовательно возбуждают медленную поверхностную E-волну в одномодовом режиме на разных, но близких длинах волн Г1, Г2 так, чтобы произведение коэффициента фазы волны Е на толщину покрытия b удовлетворяло условию: Е1b< /2.
С помощью системы вертикально ориентированных приемных вибраторов В1 и В2 в начальной точке (X0,Z0) на середине покрытия (ленты) по линии максимума ДН вблизи диэлектрического покрытия измеряют коэффициенты затухания E1 и E2 напряженности электрического поля E(X0,Z0) в нормальной плоскости относительно направления распространения медленной поверхностной Е-волны.
Условием пренебрежения влияния геометрического и электрофизического градиентов исследуемого слоя является измерение при малом значении базы d между приемными вибраторами (см. чертеж) и на малой высоте y0.
Решают транцендентные уравнения:


При условии
и Еb< /2
решение транцендентных уравнений (1) и (2) записывается в виде системы арифметических уравнений:


Таким образом, по значениям измеренных коэффициентов затухания поля поверхностной медленной E-волны определяют диэлектрическую проницаемость (ее действительную часть) и толщину диэлектрического покрытия (ленты) на ее середине.
По измеренным значениям величин коэффициентов затухания и длин волн генератора, на которых возбуждается медленная поверхностная E-волна, определяют величины коэффициентов замедления для данных длин волн генератора:

Величина угла наклона максимума диаграммы направленности махДН(ДЗ)= Е1(Е2) возбуждающего рупора в дальней зоне (lДЗ=const> Г1(Г2)), индицируемого по максимальному значению тока (максимум электрического поля) вертикально ориентированного приемного вибратора В3 (см. чертеж), определяется по формуле:

где умахЕ1,Е2 – максимальное расстояние от приемного вибратора В3 по нормали до горизонтальной плоскости поверхности диэлектрического покрытия.
В качестве приемной части вместо вертикально ориентированного вибратора можно использовать рупорную апертуру – приемный рупор 4 (см. чертеж). В этом случае угол наклона максимума ДН будет соответствовать углу наклона приемного рупора 4, регистрируемому по максимуму электрического поля в нем.
Выражение для ДН в ДЗ для системы антенны поверхностных волн, при условии l=varia и b=varia, имеет вид:

причем =Ф1(b, ), а махДН(ДЗ)= =Ф2( З,l) / см., например, Лавров А.С., Резников Г.В. Антенно-фидерные устройства – Киев: КВИАВУ ВВС, 1969, с.560/.
При условии поиска максимума первого лепестка ДН, величины
и ,
тогда максимальный угол наклона ДН махДН(ДЗ)= , соответствующий положению максимума ДН, определяют из условия [F( )]’=0, откуда

Приближенно можно считать, что

и решая уравнение (8) с учетом (9) относительно cos , получают:

т.к. 0 cos 1, a 3 всегда больше единицы, тогда:

Рассмотрим два случая: квазиоптический и квазистационарный.
а) Квазиоптический – . В этом случае выражение (10) примет вид или

на основании чего по измеренным и вычисленным значениям 3 и (cos ) определяют величину l – длину диэлектрического покрытия (ленты). Заметим, что при увеличении длины диэлектрической ленты l и коэффициента замедления З, величина уменьшается. В этом случае угол близок к нулю.
б) Квазистационарный –
В данном случае с учетом того, что
,
где 
выражение (10) примет вид
откуда находят:

Из выражения (12) видно, что при увеличении длины диэлектрического покрытия (ленты) l и коэффициента замедления З, величина уменьшается. В этом случае угол стремится к /2, что подтверждает адекватность рассмотренного способа.
Из рассмотренных двух случаев с точки зрения практической реализуемости измерений параметров покрытия применяется квазиоптический случай, при котором l> Г.
По измеренным значениям величин 1(2) и ЗЕ1(Е2) определяют длину диэлектрического покрытия (ленты) lE1 и lЕ2 по формуле (11) и усредняют его значение l=(lE1+lE2)/2.
Таким образом, предлагаемый СВЧ способ измерения длины, толщины и диэлектрической проницаемости диэлектрического покрытия на металлической поверхности позволяет повысить точность определения продольных размеров диэлектрического покрытия.
Формула изобретения
СВЧ-способ измерения длины, толщины и диэлектрической проницаемости диэлектрического покрытия на металлической поверхности, заключающийся в последовательном создании СВЧ-электромагнитных полей бегущих поверхностных медленных Е-волн и Е1 и Е2 на двух близких по величине длинах волн генератора Г1, Г2 над поверхностью диэлектрик – металл в одномодовом режиме, измерении в нормальной плоскости относительно распространения медленной поверхности волны коэффициентов затухания E1 и E2 напряженности электрического поля и расчете действительной величины диэлектрической проницаемости и толщины покрытия, отличающийся тем, что по измеренным значениям величин коэффициентов затухания рассчитывают величины коэффициентов замедления для данных длин волн по формуле

измеряют в дальней зоне с помощью вертикально ориентированного приемного вибратора угол наклона максимума диаграммы направленности махДН(ДЗ)= Е1(Е2); определяют длину диэлектрического покрытия lЕ1 и lЕ2 по формуле

и усредняют его значение l=(lE1+lЕ2)/2.
РИСУНКИ
MM4A – Досрочное прекращение действия патента СССР или патента Российской Федерации на изобретение из-за неуплаты в установленный срок пошлины за поддержание патента в силе
Дата прекращения действия патента: 18.03.2006
Извещение опубликовано: 20.09.2007 БИ: 26/2007
|