|
|
(21), (22) Заявка: 2003119917/28, 01.07.2003
(24) Дата начала отсчета срока действия патента:
01.07.2003
(43) Дата публикации заявки: 20.12.2004
(45) Опубликовано: 10.08.2005
(56) Список документов, цитированных в отчете о поиске:
SU 934215 A, 28.07.1980. SU 853380 A1, 07.08.1981. RU 2155320 C2, 27.08.2000. US 5467184 A, 14.11.1995.
Адрес для переписки:
630092, г.Новосибирск, пр. К. Маркса, 20, НГТУ, А.Г. Вострецову
|
(72) Автор(ы):
Краснопевцев Е.А. (RU)
(73) Патентообладатель(и):
Новосибирский государственный технический университет (RU)
|
(54) СПОСОБ СПЕКЛ-ИНТЕРФЕРОМЕТРИИ ПЛОСКОГО ОБЪЕКТА
(57) Реферат:
Способ спекл-интерферометрии плоского объекта, при котором для измерения перемещения в плоскости и угла наклона плоского участка поверхности освещают объект когерентным излучением, рассеянное объектом излучение направляют в оптическую систему, которая выполняет интегральное оптическое преобразование волнового поля. При этом используют последовательно два преобразования Фурье-Френеля на основе собирающей линзы, фиксируют промежуточный и окончательный результаты на фотопластинки, образующие спеклограмму и интерферограмму, при этом объект и фотопластинку располагают на разных варьируемых расстояниях от линзы, за счет чего разделяют измеряемые величины и подбирают желаемые чувствительности измерения, зависящие от фокусного расстояния первой линзы f, параметров первого оптического преобразования Фурье-Френеля , и от фокусного расстояния второй линзы f’, параметра второго оптического преобразования Фурье-Френеля . Технический результат – разработка способа спекл-интерферометрии плоского объекта с варьируемой чувствительностью и расширенным диапазоном измерения смещения и наклона. 2 ил. 
Предлагаемое изобретение относится к экспериментальной механике деформируемого твердого тела и может быть использовано в машиностроении для бесконтактного оптического измерения параметров деформированного состояния плоских участков поверхности деталей ответственных конструкций с варьируемой чувствительностью и широким диапазоном измерений.
Известен способ спекл-интерферометрии плоского объекта (Джоунс Р., Уайкс К. Голографическая и спекл-интерферометрия. – М., 1986) для измерения микроскопических перемещений плоских элементов деформируемой поверхности, при котором диффузно рассеивающая поверхность освещается когерентным излучением, которое рассеивается и, пройдя через фокусирующую линзу, попадает на фотопластинку. Экспозиция повторяется после деформации объекта. Полученная двухэкспозиционная сфокусированная спеклограмма интенсивностей просвечивается лазерным лучом. Спекл-структура, связанная с идентичными парами точек объекта, соответствующих исходному и деформированному состояниям, образует на экране интерференционные полосы Юнга. По расстоянию между ними определяется величина перемещения в собственной плоскости участка деформируемой поверхности.
Однако указанный способ не позволяет измерить нормальные к поверхности объекта перемещения, связанные с наклоном участка, вариация чувствительности незначительна, диапазон измерений узок.
) от собирающей линзы с фокусным расстоянием f, где , p – порядок преобразования Фурье. В симметричной к линзе плоскости u, располагаемой на расстоянии s с другой стороны от линзы, регистрируется интенсивность Фурье-образа дробного порядка р. Затем регистрация повторяется после деформации объекта, что дает интенсивность , где а – величина, связанная с внутриплоскостным перемещением исследуемого участка, u0 – с углом его наклона. Полученная с помощью фотопластинки функция интенсивности I(u)=I0(u)+I0(u+acos -u0sin ) переводится с помощью традиционного преобразования Фурье в координатное представление, что дает распределение интенсивности в виде интерференционных полос, расстояние между которыми зависит от параметров деформации a, u0 и от параметров преобразования , f.
Однако указанный способ содержит кроме фокусного расстояния линзы лишь один варьируемый параметр 0   , который используется для разделения вкладов перемещения и наклона, что не позволяет существенно изменять чувствительность измерения каждого из параметров деформации. В результате диапазон измерений оказывается узким.
Задачей предлагаемого изобретения является разработка способа спекл-интерферометрии плоского объекта с варьируемой чувствительностью и расширенным диапазоном измерения смещения и наклона.
Поставленная задача достигается тем, что освещают объект когерентным излучением, рассеянное объектом излучение направляют в оптическую систему, которая выполняет последовательно два преобразования Фурье-Френеля на основе собирающей линзы, фиксируют промежуточный и окончательный результаты на фотопластинки, образующие спеклограмму и интерферограмму, при этом объект и фотопластинку располагают на разных варьируемых расстояниях от линзы, за счет чего разделяют измеряемые величины и подбирают желаемую чувствительность измерения каждой из величин.
На фиг.1 приведена структурная схема, реализующая предложенный способ спекл-интерферометрии плоского объекта, и изображены следующие элементы: 1 – плоский участок объекта, 2 – собирающая линза, 3 – фотопластинка, 4 – двухэкспозиционная спеклограмма, 5 – собирающая линза, 6 – интерферограмма. На фиг.2 дана оптическая схема интегрального преобразования Фурье-Френеля и показана плоскость мнимого изображения в линзе участка объекта.
Способ осуществляется следующим образом: плоский участок объекта 1 освещается когерентным излучением, рассеянная волна f(х) попадает на линзу 2 с фокусным расстоянием f, расположенную на расстоянии s. Далее излучение падает на фотопластинку 3, расположенную от линзы на расстоянии s’. При этом осуществляется преобразование Фурье-Френеля волнового поля

где s=f(1-cos ), s’=s+ f, , 0< < , x и u безразмерные. Размерные переменные связаны с безразмерными x’=xq, u’=qu, где q2=q0 2 (sin + ctg ), . Параметрами преобразования являются: f – фокусное расстояние линзы 2, – определяет расстояние между объектом 1 и линзой 2, – определяет расстояние между линзой 2 и фотопластинкой 3.
Фотопластинка 3 регистрирует спеклограмму, т.е. интенсивность волны . После деформации исследуемая поверхность испускает волну exp(i2 u0x)f(x+а), где , , , , A – перемещение исследуемого участка вдоль оси x, – угол наклона участка по отношении к оси x. На ту же фотопластинку регистрируется новый сигнал .
Проявленная фотопластинка 4 является двухэкспозиционной спеклограммой и содержит распределение интенсивности в виде I(u)=I0(u)+I0(u+acos -u0sin -а ).
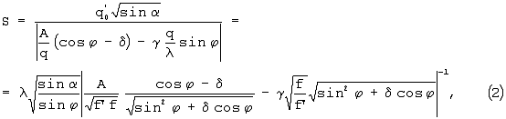
Спеклограмма 4, собирающая линза 5 с фокусным расстоянием f’ и фотопластинка 6 выполняют второе преобразование Фурье-Френеля. В результате происходит переход к пространственной переменной x’ и формируется амплитуда . Параметрами преобразования являются: f’ – фокусное расстояние линзы 5, – определяет расстояние между спеклограммой 4 и линзой 5. На фотопластинке 6, являющейся интерферограммой, регистрируется распределение интенсивности . Обозначая и учитывая , находим . Образуется система интерференционных полос, расстояние между которыми зависит от параметров деформации А, и от параметров преобразования f, f’, , , 

где  cos -1, 0< < . Чувствительности измерений kA и k связаны с расстоянием между интерференционными полосами соотношением и, согласно (2), равны


Чувствительности зависят от фокусных расстояний линз f, f’ и от параметров , , , определяющих расстояния между объектом, первой линзой, спеклограммой и второй линзой.
Для нахождения А и выполняют два двухэкспозиционных измерения с отличающимися наборами параметров 1, 1, 1 и 2, 2, 2. При первом измерении полагают 1=cos 1, тогда , и из (2) получают угол наклона участка . При втором измерении полагают q2= q0, <1, тогда , и, если при этом вклад наклона в (2) несущественный, то определяют смещение участка в собственной плоскости .
Таким образом, преимущество предлагаемого способа измерения по сравнению с прототипом состоит в расширении диапазона измерения смещения и наклона благодаря тому, что соответствующие чувствительности зависят от варьируемых параметров f, f’, , , .
Формула изобретения
Способ спекл-интерферометрии плоского объекта, при котором для измерения перемещения в плоскости и угла наклона плоского участка поверхности освещают объект когерентным излучением, рассеянное объектом излучение направляют в оптическую систему, которая выполняет интегральное оптическое преобразование волнового поля, отличающийся тем, что используют последовательно два преобразования Фурье-Френеля на основе собирающих линз, фиксируют промежуточный и окончательный результаты на фотопластинки, образующие спеклограмму и интерферограмму, при этом объект и фотопластинки располагают на разных варьируемых расстояниях от линзы, за счет чего разделяют измеряемые величины и подбирают желаемые чувствительности измерения, зависящие от фокусного расстояния первой линзы f, параметров первого оптического преобразования Фурье-Френеля , и от фокусного расстояния второй линзы f, параметра второго оптического преобразования Фурье-Френеля .
РИСУНКИ
MM4A – Досрочное прекращение действия патента СССР или патента Российской Федерации на изобретение из-за неуплаты в установленный срок пошлины за поддержание патента в силе
Дата прекращения действия патента: 02.07.2008
Извещение опубликовано: 20.06.2010 БИ: 17/2010
|
|